Artículos científicos
Modelos matemáticos para la determinación del turno óptimo en plantaciones forestales
Mathematical models for determining the optimal rotation in forest plantations
Modelos matemáticos para la determinación del turno óptimo en plantaciones forestales
Madera y bosques, vol. 25, núm. 1, e2511636, 2019
Instituto de Ecología A.C.
Recepción: 25 Septiembre 2017
Aprobación: 31 Julio 2018
Resumen: En el presente trabajo se proponen procedimientos de determinación de los turnos técnicos, económicos y técnico-económicos en plantaciones forestales. Se procedió a la determinación de los criterios clásicos de máxima productividad: incremento medio anual y máximo valor esperado de la tierra. Para la determinación de los turnos, además de utilizar las herramientas analíticas (por ajuste de modelos de crecimiento forestal) y gráficas convencionalmente utilizadas, se propusieron modelos de programación matemática: el modelo R-01 basado en la programación lineal entera, para la determinación de los turnos monocriterios, y los modelos R-02 y R-03 basados en la programación por metas ponderada entera y en la programación por metas lexicográficas entera, respectivamente, para la determinación del turno con múltiples objetivos. La validez de los modelos propuestos fue verificada a través de la consistencia y realismo biológico de las edades de rotación técnicas, económicas y técnico-económicas determinadas por índice de sitio en plantaciones de Pinus caribaea Morelet var. caribaea Barr. & Golf. de la empresa Macurije. Los turnos técnicamente óptimos variaron entre 31 años y 35 años según la calidad del sitio y los turnos económicamente óptimos entre 18 años y 21 años. Se percibió que los turnos técnico-económicos son altamente influenciados por el criterio de mayor importancia, tanto en el enfoque de metas ponderadas como en el de metas lexicográficas. Los resultados encontrados para el Pinus caribaea var. caribaea con esos enfoques indicaron turnos intermedios entre los técnicos y los económicos, variando estos entre 23 años y 25 años.
Palabras clave: crecimiento forestal, incremento medio anual, programación lineal entera, programación por metas entera, turno económicamente óptimo, valor esperado de la tierra.
Abstract: In this paper, procedures are proposed for determining the technical, economic and technical-economic rotations in forest plantations. The classical criteria of maximum productivity were determined: annual average increase and maximum land expected value. For the determination of the rotations, in addition to using the analytical tools (by adjusting forest growth models) and graphical tools conventionally used, mathematical programming models were proposed: model R-01 based on integer linear programming for the determination of the mono-criteria rotations and the models R-02 and R-03 based on weighted integer goal programming and lexicographic integer goal programming, respectively, for multi-criteria rotation determination. The validity of the proposed models was verified through the consistency of the technical, economic and technical-economic rotation ages determined by diverse site index in Pinus caribaea Morelet var. caribaea Barr. & Golf. plantations. The technically optimal rotations varied between 31 years and 35 years according to the site index and the economically optimal rotations between 18 years and 21 years. It was noticed that the technical-economic rotations are highly influenced by the criterion of greater importance in both approaches. The results found for Pinus caribaea var. caribaea with these approaches indicated intermediate rotations between the technical and the economic ones, these varying between 23 years and 25 years.
Keywords: forest growth, annual average increment, integer linear programming, integer goal programming, economical optimal rotation, land expected value.
Introducción
Una de las cuestiones fundamentales en la economía forestal es la determinación del turno óptimo de una plantación forestal (Posavec, Beljan, Krajter y Persun, 2012) y este problema ha captado la atención de gestores forestales a lo largo de los últimos 40 años (Bettinger, Boston, Siry y Grebner, 2009). Según Bauhaus, Puettmann y Messier (2009), esta edad de corta de los árboles puede variar entre 25 años y 150 años en dependencia de las prácticas silvícolas en la producción maderera; Schneider (2009) atribuye esta gran variación al hecho de que la rotación en sí misma depende de factores como especie, sitio, meta económica y meta técnica definidos por el sistema de manejo y los objetivos de la producción (tipo de madera).
El turno es el tiempo transcurrido entre la realización de la siembra y el corte raso de un bosque coetáneo (Clutter, Fortson, Pienaar, Brister y Bailey, 1983; Bettinger et al., 2009; Posavec et al., 2012), definido conforme a criterios de madurez biológica o económica (Gagnon, 2013). Bettinger et al. (2009) identifican siete tipos de rotaciones o turnos: la física, la técnica, la silvicultural, la biológica, la basada en la generación de ingresos, la económico-financiera y la basada en el valor del crecimiento porcentual. De todos estos turnos, los más populares son los técnicos basados en el criterio de máxima productividad (incremento medio anual [IMA] = incremento corriente anual [ICA]) y los económicos generalmente basados en el valor presente líquido (VPL), en la máxima renta del bosque o en el valor esperado de la tierra (VET), también conocido como el paradigma Faustmann-Pressler-Ohlin (FPO) o criterio de Faustmann (1995). Este último criterio consiste en maximizar el VPL del proyecto no tomando en consideración el costo de la tierra.
Dos aspectos motivaron la realización de la presente investigación: un aspecto teórico relacionado con el antiguo, pero aún actual conflicto existente entre los criterios de determinación del turno forestal y otro práctico relacionado con la no coincidencia de los turnos predeterminados con los turnos finales realmente adoptados. Este último aspecto, según Schneider (2009), se atribuye a razones económicas y de disponibilidad de madera que pueden llevar las empresas a anticipar o prolongar su ciclo de rotación. Por lo tanto, se consideró que el carácter monocriterio de la mayoría de los métodos clásicos de determinación del turno (edad de rotación) puede ser considerado como una limitación, recurriendo a alternativas más sofisticadas que permitan la combinación de los criterios generalmente utilizados (IMA y VET).
Las técnicas de optimización son herramientas que facilitan la planificación estratégica ideal, resolviendo problemas como la determinación de la edad de rotación (Diaz-Balteiro, Bertomeu y Bertomeu, 2009). De estas técnicas, las de toma de decisión multicriterio son las más usadas en las últimas décadas y entre las numerosas investigaciones que se han desarrollado usándolas, se pueden citar las de Romero, Ros y Diaz-Balteiro (1998), Ríos, Díaz-Balteiro y Romero (1998), Dragoi y Borlea (1998), Diaz-Balteiro, Martell, Romero y Weintraub (2014), basadas en el uso múltiple de los bosques, utilizando como método de análisis multiobjetivo, para remover las divergencias entre los óptimos, la programación compromiso.
Ante el expuesto y bajo la hipótesis de que los turnos bicriterio (criterios volumétricos de máxima productividad y criterios económicos) serían más realistas y prácticos en la gestión de plantaciones forestales, el presente estudio fue realizado con el objetivo que se presenta a continuación.
Objetivos
Proponer alternativas de determinación de turnos técnicos, económicos y técnico-económicos a través del uso de métodos de programación lineal entera, programación por metas ponderadas y programación por metas lexicográficas en plantaciones de Pinus caribaea Morelet var. caribaea Barr. & Golf. de la Empresa Forestal Integral (EFI) Macurije, Pinar del Río, Cuba.
Materiales y métodos
Área de estudio, fuente de datos y análisis de suficiencia muestral
El presente estudio se realizó en las plantaciones de Pinus caribaea var. caribaea pertenecientes a la EFI Macurije, ubicada en la región más occidental de la provincia de Pinar del Río, Cuba.
La base de datos utilizada para la modelación fue constituida por 550 parcelas temporales de 500 m² (r = 12,615 m) levantadas en áreas de la EFI Macurije, siguiendo un muestreo completamente aleatorio. El análisis de la suficiencia muestral fue realizado para la variable volumen (m³/ha) por medio del cálculo del error de muestreo () que deberá ser inferior al error admisible de 10%, a un nivel de probabilidad de 95%, para que la muestra piloto de 550 parcelas sea considerada suficiente para la realización de las estimaciones.
Turno técnicamente óptimo (TTO)
El TTO es la edad en la cual la plantación alcanza su máxima productividad, generalmente definida por la relación (01) que indica que el TTO corresponde también a la edad en que el incremento medio anual () y el incremento corriente anual () se igualan.
donde:
IMA=incremento medio anual (m3/ha/año)ICA=incremento corriente anual (m3/ha/año)Los TTO fueron determinados por medio de dos métodos: el método gráfico, que consiste en determinar gráficamente la edad en la cual las curvas de IMA e ICA se cruzan (igualan), y el método analítico, que consiste en determinar una expresión matemática para el cálculo del TTO a partir del conocimiento de las estimaciones de los parámetros de un determinado modelo de crecimiento forestal ajustado a datos locales de la especie.
En el presente estudio, las expresiones de determinación de los TTO fueron determinadas para los modelos de la Tabla 1, que fueron ajustados para las plantaciones de Pinus caribaea var. caribaea de la EFI Macurije. De esos modelos, el de mejor adherencia a la base completa de datos fue ajustado por índice de sitio para obtener estimaciones de volumen más específicas y precisas. Las clases de sitio adoptadas se basaron en las curvas de índice de sitio polimórficas construidas por Guera (2017).

Los ajustes de los modelos de crecimiento forestal (Tabla 1) fueron realizados por medio de los métodos iterativos de Levenberg-Marquardt y Gauss-Newton en el software SPSS vers. 20. Los ajustes se llevaron a cabo en tres etapas: (1) la evaluación de la bondad de ajuste de los modelos utilizando los siguientes criterios: el coeficiente de determinación ajustado () y el error típico de estimación (Syx); (2) Análisis de la significancia de las pruebas de F aplicadas a los modelos y de las pruebas de t aplicadas a sus respectivos parámetros; (3) el análisis de la distribución de los residuos y verificación de los supuestos de normalidad, homocedasticidad y ausencia de autocorrelación serial por las pruebas de Kolmogorov-Smirnov, White y Durbin-Watson, respectivamente. Las fórmulas de cálculo de los TTO fueron encontradas a partir de las siguientes demostraciones:
Expresión de determinación del TTO basada en el modelo deSilva y Bailey (1986)
El modelo de Silva y Bailey (1986) se define por la expresión (02).
donde:
Y:producción (m³/ha)I:edad (años)La expresión de determinación del ICA se define por la primera derivada de la función de producción (02), se establece entonces:
La expresión del IMA (04) fue determinada dividendo la producción (02) por la edad:
Igualando las relaciones (03) y (04), conforme indicado en la ecuación (01), se tiene:
La ecuación (05) no tiene solución en la matemática convencional y por eso se recurrió a las propiedades de la función de Lambert, según la cual es la solución de la ecuación, siendo la función de Lambert. Para ello, se procedió a la transformación de la ecuación (05) para obtener la identidad de la función de Lambert:
Sea
Sustituyendo (06) en (05) se tiene:
Considerando , se tiene:
Identificando y aplicando la función de Lambert para la resolución de la ecuación (07), se tiene:
Sustituyendo x por su valor, se llega a
La expresión de determinación del TTO, basándose en el modelo de Silva y Bailey (1986) es:
donde:
b1 y b2 : estimaciones respectivas de los parámetros β1 y β2 del modelo de Silva y Bailey (1986), obtenidas después del ajuste de este.
Wn : la función de Lambert
Expresión de determinación del TTO basada en el modelo deChapman (1961)yRichards (1959)
El modelo de Chapman-Richards se define por la expresión (09).
donde:
Y:producción (m³/ha)I:edad (años)La expresión de determinación del ICA se define por la primera derivada de la función de producción (09):
La expresión del IMA (11) fue determinada dividiendo la producción (09) por la edad:
Igualando las relaciones (10) y (11), de acuerdo con la ecuación (01), se tiene:
Aplicando la función de Lambert a la ecuación (14) se tiene:
La expresión de determinación del TTO por medio del modelo de Chapman- Richards (Richards, 1959; Chapman, 1961) es:
donde:
b1 y b2 : estimaciones respectivas de los parámetros β1 y β2 del modelo de Chapman-Richards, obtenidas después del ajuste de este.
Turno económicamente óptimo (TEO)
El turno económicamente óptimo fue determinado por el VET o criterio de Faustmann, que representa el valor presente neto de un proyecto de reforestación, aproximando el valor de la tierra en rotaciones idénticas repetidas perpetuamente. Utilizando los datos de costos e ingresos obtenidos del departamento de economía de la empresa (Tabla 2), el cálculo del VET se realizó con las expresiones 20 y 21 (Bullard y Straka, 1993):

donde:
VET =valor esperado de la tierraVFL=valor futuro líquido para una rotaciónt=edad de rotación (años)i=tasa de descuento expresada en decimalesRn=receta en el año nCn=costo en el año nn=año de ocurrencia de un ingreso o costoTurno técnica y económicamente óptimo (TTEO)
Con el fin de combinar el IMA y el VET en la determinación de un turno en el cual ambos criterios sean considerados, se propusieron tres modelos de programación matemática: un modelo monocriterio de programación lineal entera (R-01) para la determinación de los turnos técnicamente o económicamente óptimos y dos modelos multicriterio para la determinación de los turnos técnicamente y económicamente óptimos: un modelo de programación por metas ponderadas (R-02) y un modelo de programación por metas lexicográficas (R-03).
La asignación de las ponderaciones a cada uno de los criterios, según su importancia, es la clave del éxito de los modelos programación por metas ponderadas (Caballero et al., 1997). En la presente investigación, los diferentes escenarios (Tabla 3) se determinaron variando las ponderaciones λ en las expresiones (18) y (19).
| Escenarios | Ponderaciones | wm1 | wm2 |
|---|---|---|---|
| C1 | λ = 0 | 0 | 1 |
| C2 | λ = 0,25 | 0,25 | 0,75 |
| C3 | λ = 0,50 | 0,50 | 0,50 |
| C4 | λ = 0,75 | 0,75 | 0,25 |
| C5 | λ = 1 | 1 | 0 |
donde:
wm1=importancia atribuida al criterio de máxima productividad (IMA)wm2=importancia atribuida al criterio económico (máximo VET)λ=coeficiente de ponderaciónLa ponderación λ = 0 permite determinar la edad económica, ya que wm1 = λ = 0; λ = 1 permite determinar el turno técnicamente óptimo, ya que esta ponderación elimina el criterio económico (wm2 = 0) y atribuye la máxima importancia al criterio técnico; y las ponderaciones λ = 0,25; λ = 0,50 y λ = 0,75 permiten determinar los turnos con la combinación de ambos criterios en proporciones diferentes. En el modelo de programación por metas lexicográficas, se consideraron dos escenarios: "A" definido asignando la primera prioridad a la rotación técnica y "B" considerando la rotación económica como primera prioridad. Los turnos generados por la solución del modelo lexicográfico en el nivel de prioridad 01 de cada escenario fueron denominados “edades de rotaciones parciales (ERP)” y los obtenidos en el nivel 02, que es el turno óptimo a ser considerado, “edades de rotaciones definitivas (ERD)”. Todos los modelos se han resuelto en el software LINDO 6.1. El algoritmo simplex desarrollado por Dantzig (1947) fue utilizado para los modelos R-01 y R-02 y el modelo R-03 requirió la aplicación secuencial del algoritmo simplex.
Modelos de programación matemática para la determinación de la edad de rotación
Los modelos de programación matemática propuestos fueron: el modelo R-01, basado en la programación lineal entera para la determinación de las edades monocriterio, y los modelos R-02 y R-03 para la determinación de las edades multicriterio.
En los modelos propuestos, los índices caracterizan a aquellos factores controlables que influyen directamente en la maximización del IMA o del VET:
: valor del criterio de determinación de la edad de rotación de la plantación en la edad i y en el índice de sitio s (IMA o VET);
I: edad máxima que puede ser alcanzada por la plantación o edad hasta donde llega la ecuación de crecimiento y producción
S: cantidad de clases de sitio identificadas en el área de estudio
y : incremento medio anual y valor esperado de la tierra en la edad i, en el sitio s
: variable entera binaria, que toma el valor “0” si la plantación no debe ser cortada en la edad i en el sitio s y el valor “1” en el caso contrario.
: ponderación (relativa a importancia) atribuida a la meta mx en los sitios s; con x=1 para el IMA y x=2 para el VET
coeficiente de ponderación de las metas. Estos coeficientes son complementarios y suman 1, siguiendo la relación:
: niveles de aspiraciones de la meta mx en cada uno de los sitios s
: variables de desvíos positivos y negativos en el intento de alcanzar los niveles de aspiraciones de la meta mx en cada uno de los índices de sitio s
Modelo de programación lineal entera (Modelo R-01)
Sujeto a:
Restricción de una ocasión única de corte por calidad de sitio en el período considerado
Condición binaria de las variables de decisión
, con
Modelos de programación por metas ponderadas (R-02) y de programación por metas lexicográficas (R-03) para la determinación de los turnos técnico-económicos
Las funciones objetivo FO1 y FO2 corresponden a los modelos de programación por metas ponderadas (PMP) y programación por metas lexicográficas (PML), respectivamente. En la formulación de los modelos, cada una de estas funciones fue sujeta a las mismas restricciones (R1 y R2), que representan las metas y sus variables de desvío. La inclusión de las variables de desvío convierte esas restricciones en “restricciones blandas” que confieren a esos modelos una flexibilidad ausente en los modelos de programación lineal. Las restricciones duras R3 y R4 representan la condición binaria de las variables de decisión y R5 representa la restricción de ocasión única de corte por calidad de sitio en el período considerado.
Sujeto a:
Un algoritmo es un conjunto de operaciones lógicas y matemáticas, realizadas en una secuencia especificada (Dykstra, 1984). Los algoritmos seguidos para la aplicación de los modelos de programación matemática propuestos se encuentran resumidos en la Figura 1.

Resultados
Turnos técnicamente óptimos (TTO) para Pinus caribaea var. caribaea
El error de muestreo fue de 2,19%; al ser inferior al error permisible del 10%, la muestra piloto fue considerada suficiente para la realización de las estimaciones y ajustes de los modelos.
En la Tabla 4 se presentan las estimaciones de los parámetros de cada uno de los modelos después de la realización de los ajustes. Las pruebas de Kolmogorov-Smirnov no fueron significativas únicamente para los modelos de Schumacher y Silva-Bailey. Este resultado indicó que el supuesto de normalidad fue observado apenas en estos modelos. La prueba de Durbin-Watson indicó que solo el modelo de Schumacher presentó residuos libres de autocorrelación serial. Los modelos de Chapman-Richards y Silva-Bailey presentaron una autocorrelación serial negativa. En cuanto a la homocedasticidad, los modelos que cumplieron con ese supuesto fueron los de Schumacher y Chapman-Richards. Estos resultados fueron confirmados por la distribución de los residuos (Fig. 2).


Esos resultados, sumados al alto coeficiente de determinación ajustado y menor error típico de estimación (Tabla 4), favorecieron la selección de la ecuación obtenida del ajuste del modelo de Schumacher como la más adecuada para la predicción precisa del crecimiento y producción en las plantaciones de Pinus caribaea var. caribaea en la empresa Macurije.
El modelo de Schumacher linealizado y ajustado permitió obtener las ecuaciones de la Tabla 5. Por el método gráfico se obtuvieron turnos (Fig. 3 y 4) coincidentes con los alcanzados con el método analítico (Tablas 4 y 5). Los resultados indican TTO comprendidos entre 31 años y 35 años, inversamente proporcionales al índice de sitio (Tabla 5; Fig. 3).



Turnos económicamente óptimos para P. caribaea var. caribaea
En el turno económico, los resultados son muy divergentes ya que dependen de muchos factores económicos, siendo la principal, la tasa de interés adoptada. Los resultados del presente trabajo fueron TEO de 18 años para el sitio I, de 19 años para los sitios II y III, de 20 años para el sitio IV y de 21 años para el sitio V (Fig. 5) con VET proporcionales al índice de sitio.

Modelo R-01 para la determinación de las edades de rotación de P. caribaea var. caribaea
Como se puede apreciar en la Tabla 6, las edades de rotación determinadas tanto por el criterio técnico y por el económico dieron resultados semejantes a los obtenidos con los enfoques analíticos y gráficos generalmente utilizados.

Modelo R-02 para la determinación de los turnos óptimos para P. caribaea var. caribaea
Los escenarios C1 y C5 , en los cuales una de las metas se elimina por recibir el peso cero, redujo el modelo de programación por metas ponderadas a un modelo monoobjetivo de programación lineal. Esto explica el alcance de las metas a pesar de la utilización de los niveles de aspiraciones máximas de VET e IMA obtenidos en los enfoques clásicos (analíticos y gráficos). Los turnos del escenario 1 fueron similares a los turnos económicamente óptimos (Fig. 5), variando entre 18 años y 21 años e inversamente proporcionales al índice de sitio. El mismo comportamiento se observó en el escenario 5 con una variación de los turnos entre 31 años y 35 años (Tabla 7), conforme a lo observado en la determinación de los turnos técnicos utilizando los enfoques clásicos (Tabla 5; Fig. 3).
| Escenarios | Sitio I | Sitio II | Sitio III | Sitio IV | Sitio V | |||||
|---|---|---|---|---|---|---|---|---|---|---|
| Variables no deseadas | ||||||||||
| n11 | n21 | n12 | n22 | n13 | n23 | n14 | n24 | n15 | n25 | |
| C1 | - | 0,00 | - | 0,00 | - | 0,00 | - | 0,00 | - | 0,00 |
| C2 | 1,72 | 5,01 | 1,92 | 0,003 | 1,66 | 5,90 | 1,72 | 0,00 | 0,92 | 0,001 |
| C3 | 1,37 | 19,50 | 1,25 | 25,10 | 1,348 | 19,44 | 1,15 | 23,43 | 0,61 | 12,37 |
| C4 | 0,62 | 102,46 | 0,58 | 105,92 | 0,66 | 92,09 | 0,57 | 92,16 | 0,30 | 48,77 |
| C5 | 0,00 | - | 0,00 | - | 0,00 | - | 0,00 | - | 0,00 | - |
| IRC1 | 18 | 19 | 19 | 20 | 21 | |||||
| IRC2 | 19 | 19 | 19 | 20 | 21 | |||||
| IRC3 | 23 | 23 | 24 | 25 | 25 | |||||
| IRC4 | 23 | 24 | 24 | 25 | 26 | |||||
| IRC5 | 31 | 32 | 33 | 34 | 35 | |||||
En los escenarios 2, 3 y 4, los niveles de aspiración adoptados para cada una de las metas fueron los máximos alcanzados (Tabla 6) cuando se optimizó cada una de las metas de forma independiente con el modelo R-01 o cuando fueron utilizados los enfoques clásicos. Debido a eso y, como era de esperarse, no se alcanzó ninguna de las metas () en estos tres escenarios en los cuales las dos metas o criterios (VET e IMA) fueron combinados.
La clave del éxito del uso de los modelos de programación por metas está en la determinación de los niveles de aspiraciones alcanzables (Romero, 1993). Con el fin de alcanzar soluciones viables, los niveles de aspiraciones fueron bajados a IMA = 12 m³/ha/año y VET = 700 USD/ha. Los resultados (Tabla 8) indicaron una mejor satisfacción de las metas en los sitios.

En el primer sitio, todas las metas fueron alcanzadas en los diferentes escenarios. Pero en el segundo sitio, se observó que la meta 1 (IMA) quedó 0,13 m³/ha/año por debajo de su nivel de aspiración en los escenarios 2, 3 y 4. En el sitio III, el nivel de aspiración de esta misma meta tampoco fue alcanzado; esta vez, quedó 0,76 m³/ha/año por debajo del nivel de aspiración en los escenarios 2 y 3 y en 0,65 m³/ha/año por debajo en el escenario 4. En este mismo escenario 4 del sitio III, se registró que la meta 2 (VET) quedó debajo del nivel de aspiración en 15,66 USD/ha. Ninguna de las metas fue alcanzada en los sitios IV y V, como era de esperar, ya que los mismos presentaron productividades máximas y VET inferiores a los niveles de aspiración preestablecidos (IMA = 12 m³/ha/año y VET = 700 USD/ha).
En los escenarios de los sitios IV y IV, se registraron incumplimientos mínimos de la meta 1. Estos incumplimientos fueron disminuyendo a medida que la meta 1 fue teniendo la mayor importancia (peso). En cuanto a la meta 2 en esos sitios, los niveles de incumplimientos fueron mayores y crecientes a medida que esa meta fue perdiendo su importancia, es decir a medida que se va evolucionando del escenario 1 (máxima importancia al VET) al escenario 5 (mínima importancia al VET) (Tabla 8).
Modelo R-03 para la determinación de los turnos óptimos para P. caribaea var. caribaea
En el nivel 01 del escenario A, los resultados indicaron el alcance de la primera meta ), con turnos (en años) de 31, 32, 33, 35 y 35 para los cinco sitios, respectivamente (Tabla 9). Los mismos resultados indicaron que en este nivel, el nivel de aspiración de la meta 1 no fue alcanzado en los sitios IV y V.
| Escenarios | Sitio I | Sitio II | Sitio III | Sitio IV | Sitio V | ||||||
|---|---|---|---|---|---|---|---|---|---|---|---|
| Variables no deseadas por sitio | |||||||||||
| A | n11 | p11 | n12 | p12 | n13 | p13 | n14 | p14 | n15 | p15 | |
| 01 | 0,00 | 1,013 | 0,00 | 0,35 | 0,00 | 0,001 | 1,038 | 0,00 | 5,630 | 0,00 | |
| ERP | 31 | 32 | 33 | 34 | 35 | ||||||
| n21 | p21 | n22 | p22 | n23 | p23 | n24 | p24 | n25 | p25 | ||
| 02 | 0,00 | 0,00 | 35,18 | 0,00 | 322,75 | 0,00 | -- | -- | -- | -- | |
| ERD | 22 | 24 | 25 | -- | -- | ||||||
| B | 01 | n21 | p21 | n22 | p22 | n23 | p23 | n24 | p24 | n25 | p25 |
| 0,00 | 232,29 | 0,00 | 128,1 | 0,00 | 76,43 | 48,32 | 0,00 | 483,5 | 0,00 | ||
| ERP | 18 | 19 | 19 | 20 | 21 | ||||||
| n11 | p11 | n12 | p12 | n13 | p13 | n14 | p14 | n15 | p15 | ||
| 02 | 0,00 | 0,00 | 0,13 | 0,00 | 0,76 | 0,00 | -- | -- | -- | -- | |
| ERD | 22 | 24 | 24 | -- | -- | ||||||
En el nivel 02 del escenario A, solamente se consideraron los tres primeros sitios en los cuales se alcanzaron los niveles de aspiraciones de la primera meta en el nivel 01. Los resultados obtenidos (Tabla 9) indican la satisfacción de la segunda meta únicamente en el sitio I con un turno de 22 años. En los sitios II y III, se observó que en los turnos de 24 años y 25 años indicados en la solución del modelo, la segunda meta no fue alcanzada. Las faltas de alcance fueron de 35,18 USD/ha y 322,75 USD/ha para los sitios II y III, respectivamente.
El escenario B presentó resultados similares. En el nivel 01, la primera meta (VET = 700 USD/ha) fue satisfecha solo en los tres primeros sitios con turnos variando entre 18 años y 19 años. Esos turnos están en consonancia con los anteriormente encontrados en esos sitios por los enfoques analíticos, gráficos y por los modelos de programación lineal entera y de programación por metas ponderadas. En los últimos dos sitios de este mismo nivel, la meta no fue alcanzada en en el sitio IV y en el sitio V, con turnos de 20 años y 21 años, respectivamente.
Pasando al nivel 02 de este escenario B, en los sitios I, II y III por ser los únicos que tuvieron sus niveles de aspiración satisfechos en el nivel 01, la segunda meta fue alcanzada solo en el sitio I con un turno de 22 años, resultado en conformidad con los encontrados en los enfoques anteriores. Aunque en los sitios II y III no se hayan alcanzado los niveles de aspiraciones por valores mínimos, se observaron turnos similares de 24 años.
Discusión
La ecuación resultante del ajuste del modelo de Schumacher indica que los plantíos de Pinus caribaea var. caribaea presentaron una producción de 375,734 m³/ha correspondiendo a un IMA de 11,051 m³/ha/año. Ese incremento es superior al señalado por Aldana, Puentes y Romero (2006) para la especie en el plan de ordenación de la empresa (6,5 m³/h /año), pero está en consonancia con resultados más recientes como los de Barrero, Peraza, Álvarez y Guera (2011), quienes encontraron incrementos comprendidos entre 10 m³/ha/año y 12 m³/ha/año.
Todas las ecuaciones indican TTO comprendidos entre 32 años y 34 años (Tabla 4) para la especie en la empresa. Este resultado está en conformidad con los turnos encontrados por Alder, Drichi y Elungat (2003), Aldana, Padilla y Rodríguez (2011) y Barrero et al. (2011) que fueron 22 años - 33 años, 31 años y de 30 años - 35 años, respectivamente. Los estudios de Peraza (2011) indicaron TTO más cortos de 27 años.
Las expresiones de determinación del TTO de los modelos de Schumacher y Chapman-Richards indicaron turnos únicos. Sin embargo, la expresión del TTO del modelo de Silva-Bailey indicó dos edades de rotación (turnos) (Fig. 4). Es común que, a lo largo del crecimiento de las plantaciones, el ICA y el IMA se igualen más de una vez. Esto ocurre en las predicciones realizadas con ciertos modelos y queda evidente en su expresión de determinación del TTO. Si el argumento de la función de Lambert, que es una función no inyectiva contenida en la expresión del TTO, pertenece al intervalo (-1/e; 0), esta será doble-valuada y cada uno de estos valores permitirá obtener un determinado TTO. En el presente estudio, el argumento de la función de Lambert es . Este valor pertenece al intervalo (-1/e; 0), por ello, la función de Lambert tomó los valores -2,76 y -0,22 que proporcionan TTOs de 32,21 años y 2,54 años, respectivamente. La invalidez del menor turno es evidente ya que la madera es producida para aserrío y a esa edad las plantaciones aún no alcanzaron las características dendrométricas exigidas. Los resultados obtenidos por este enfoque analítico (Tabla 4) coinciden con los observados por el método gráfico (Fig. 4). En cuanto a los TEO, los resultados económicamente consistentes de la Figura 5 y la Tabla 6 difieren de los de Peraza (2011), que encontró turnos que variaron entre 22 años y 34 años.
En los puntos A y B de la Figura 6 ocurren los turnos económicos (19 años) y técnicos (33,57 años), respectivamente. Según Rodriguez, Bueno y Rodriges (1997), existen valores específicos de volumen de madera, valor esperado de la tierra, precio por unidad de volumen, coinciden y generan una única edad de rotación volumétrica y económicamente óptima. Las técnicas multicriterio aplicadas en la presente investigación no buscan esos valores, sino una edad en la cual, niveles de aspiraciones de IMA y VET deseados por el productor o el tomador de decisión sean satisfechos. Es de esperarse que los niveles de aspiración alcanzables, considerando ambos criterios, sean menores que los alcanzados en los óptimos individuales.

La Figura 7, como resultados de la implementación del modelo R-02, indicó turnos que variaron desde los turnos económicamente óptimos (p = 0) (18-21) años a los técnicamente óptimos (p = 1) (31-35) años. Se percibe en esos resultados que los escenarios en los que el VET tiene mayor peso han generado turnos más próximos del TEO y en caso contrario, turnos mayores hasta llegar a los TTO encontrados en el escenario 5 ( ).

La combinación de los dos criterios permitió obtener turnos intermedios entre el técnico y el económico. Es importante especificar que estos resultados son específicos de los presentes escenarios analizados y no son generalizables, existiendo la posibilidad de obtener, conforme lo señalado por Rodriguez et al. (1997), turnos económicos más largos que turnos técnicos o volumétricos para determinados escenarios económicos.
Un turno intermedio fue obtenido también por Romero et al. (1998). Considerando la captura de carbono como un servicio público a ser respetado en la gestión de los bosques, para resolver la divergencia entre la rotación económica de Faustmann (VET) y la rotación social (máximo ingreso generado por créditos de CO2), que dieron respectivamente turnos de 50 años y 100 años para Fagus sylvatica, los autores propusieron un modelo de programación compromiso que permitió obtener un turno intermedio de 80 años que maximiza el peso de ambos criterios.
En los bosques templados de coníferas de la Columbia Británica, añadiendo el riesgo de incendios forestales a los criterios anteriores y utilizando la programación compromiso, Diaz-Balteiro et al. (2014) encontraron un turno económico de 65 años reducido a los 48 años por la consideración del riesgo de incendio; y un turno o rotación social que pasó de 122 años a 82 años debido al mismo factor.
Comparación de los diferentes enfoques en la determinación de los turnos óptimos
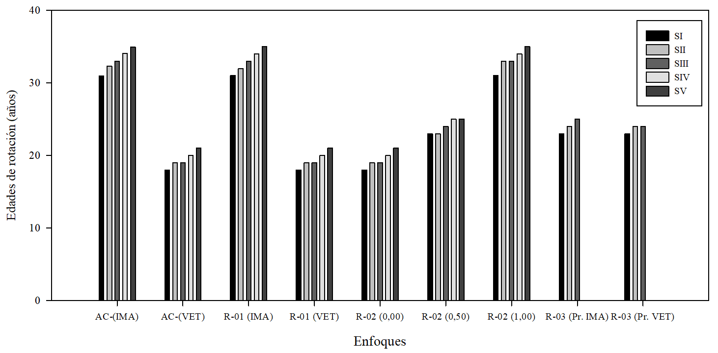
En los tres enfoques utilizados en el presente trabajo, los turnos fueron inversamente proporcionales a las cualidades de sitio, es decir a medida que la calidad del sitio aumenta, la edad de corte disminuye. Esta coherencia en los resultados es indicativa de la consistencia de las técnicas tradicionalmente utilizadas y de los modelos propuestos (Fig. 8).

El modelo de programación lineal entera (R-01) maximizando el IMA y el modelo de programación por metas ponderadas (R-02) con la máxima ponderación atribuida al IMA (λ = 1) presentaron resultados similares a los obtenidos con los enfoques clásicos - AC- (IMA), generalmente utilizados para determinar el turno técnicamente óptimo. Tendencias similares se observaron en los turnos económicos, ya que los resultados de estos modelos maximizando el VET fueron similares a los de los enfoques clásicos maximizando el mismo criterio.
En cuanto al modelo de programación por metas lexicográficas, sus resultados fueron similares a los del modelo de programación por metas ponderadas cuando el mismo peso o importancia fue atribuido a los dos criterios (IMA y VET), es decir cuando λ = 0,5.
Se percibió, a través de los resultados obtenidos, una mayor versatilidad del modelo de programación por metas ponderadas, pues el mismo permitió una mejor manipulación de las ponderaciones o pesos a ser atribuidos a cada una de las metas (criterios) y así simular y determinar los turnos óptimos en todos los posibles escenarios.
Conclusiones
Los turnos técnicamente óptimos del Pinus caribaea var. caribaea variaron entre 31 años y 35 años, según la calidad del sitio y los económicamente óptimos entre 18 años y 21 años.
Los turnos técnico-económicos están altamente influenciados por el criterio de mayor importancia en el enfoque de metas ponderadas.
Los turnos técnico-económicos encontrados para el Pinus caribaea var. caribaea en la EFI Macurije con ambos enfoques fueron edades intermedias entre los turnos económicos y los técnicos, variando entre 23 años y 25 años en función de la capacidad productiva del sitio.
El modelo programación por metas ponderadas fue el más versátil en la determinación del turno técnica y económicamente óptimo en los diferentes escenarios.
Reconocimientos
Los autores del presente trabajo agradecen: a la Empresa Forestal Integral Macurije (Pinar del Río/Cuba), al Programa de Posgrado en Ciencias Forestales de la Universidad Federal Rural de Pernambuco (PPGCF/ UFRPE), al Departamento Forestal de Universidad de Pinar del Río “Hermanos Saiz Montes de Oca” y al Programa PEC-PG de CAPES/Brasil.
Referencias
Aldana, E., Puentes, M., & Romero, J. L. (2006). Proyecto de ordenación de la EFI Macurije. La Habana: Ministerio de la Agricultura.
Aldana, E. P., Padilla, T. G., & Rodríguez, P. J. (2011). Turno de corta eficiente para la obtención de mayores productos maderables en plantaciones de Pinus caribaea de la Empresa Forestal Integral Viñales. Revista Forestal Baracoa, 30(1), 29-35.
Alder, D., Drichi, P., & Elungat, D. (2003). Yields of eucalyptus and caribbean pine in Uganda. Consultancy report. Uganda: Kampala, Uganda Forest Resources Management and Conservation Programme.
Barrero, M. H., Peraza, E. O., Álvarez, L. D., & Guera, O. G. M. (2011). Determinación del turno de corta para Pinus caribaea var. caribaeaen la Empresa Forestal Integral “Macurije”. Floresta e Ambiente, 18(1), 109-116. doi: 10.4322/floram.2011.028
Bauhaus, J.; Puettmann, K., & Messier, C. (2009). Silviculture for old-growth attributes. Forest Ecology and Management, 258(4), p. 525-537. doi: 10.1016/j.foreco.2009.01.053
Bettinger, P., Boston, K., Siry, J. P., & Grebner, D. L. (2009). Forest management and planning. Nueva York: Elsevier.
Bullard, S. H., & Straka, T. J. (1993) Basic concepts in forest valuation and investment analysis. Faculty Publications, Paper 119.
Caballero, R., Gómez, T., González, M., Muñoz, M. M., Rey, L., & Ruiz, F. (1997). Programación matemática para economistas. España: Servicio de publicaciones e Intercambio científico de la Universidad de Málaga.
Chapman, D. G. (1961). Statistical problems in population dynamics. En J. Neyman (Ed.) Proceedings of the fourth Berkeley symposium on mathematical statistics and probability, California: University of California.
Clutter, J. L., Fortson, J. C., Pienaar, L. V., Brister, G. H., & Bailey, R. L. (1983). Timber management: a quantitative approach. Nueva York: John Wiley & Sons.
Diaz-Balteiro, L., Martell, D. L., Romero, C., & Weintraub, A. (2014). The optimal rotation of a flammable forest stand when both carbon sequestration and timber are valued: a multi-criteria approach. Nat Hazards, 72, 375-387. doi: 10.1007/s11069-013-1013-3
Diaz-Balteiro, L.; Bertomeu, M., & Bertomeu, M. (2009). Optimal harvest scheduling in Eucalyptus plantations: A case study in Galicia (Spain). Forest Policy and Economics, 11(8), 548-554. doi: 10.1016/j.forpol.2009.07.005
Dragoi, M., & Borlea, F. (1998). An approach of the forest rotation problem. INRA- Actes et Communications, 15, 235-243.
Dykstra, D. P. (1984). Mathematical programming for natural resource management. Nueva York: McGraw-Hill, Inc.
Faustmann, M. (1995). Calculation of the value which forest land and immature stands possess for forestry. Journal of Forest Economics, 1(1), 7-44.
Gagnon, J. (2013). Forest Ecology and Management in Virginia. Virginia: Communications and Marketing, College of Agriculture and Life Sciences, Virginia Polytechnic Institute and State University Publication.
Peraza, E. O. (2011). Turno financiero y técnicos forestales para Pinus caribaea Morelet var. caribaea Barrett & Golfari en sitios de la provincia de Pinar Del Río. (Tesis de maestría). Universidad de Pinar del Río, Pinar Del Río, Cuba.
Posavec, S.; Beljan, K.; Krajter, S., & Persun, D. (2012). Calculation of economic rotation period for even-aged stand in Croatia. South East European Forestry, 109-113. doi: 10.15177/seefor.11-12
Richards, F. J. (1959). A flexible growth function for empirical use. Journal of Experimental Botany, 10(2), 290-300. doi: 10.1093/jxb/10.2.290
Ríos, V., Díaz-Balteiro, L., & Romero, C. (1998). Carbon sequestration and timber production: A bi-criteria optimisation problem. Trends in multicriteria decision making. Lecture Notes in Economics and Mathematical Systems, 465, 336-344.
Rodriguez, L. C. E.; Bueno, A. R. S., & Rodrigues, F. A. (1997). Rotações de eucaliptos mais longas: análise volumétrica e econômica. Scientia Forestalis, 51, 15-28.
Romero, C., Ros, V., & Diaz-Balteiro, L. (1998). Optimal forest rotation age when carbon captured is considered: Theory and applications. Journal of the Operational Research Society, 49(2), 121-131. doi 10.1057/palgrave.jors.2600497
Romero, C. (1993). Teoría de la decisión multicriterio: conceptos, técnicas y aplicaciones. Madrid: Alianza Editorial.
Schneider, P. R. (2009). Manejo florestal: planejamento da produção florestal. Santa Maria: UFSM.
Schumacher, F. X. (1939). A new growth curve and its applications to timber-yield studies. Journal of Forestry, 37, 819-820.
Silva, J. A. A. (1986). Dynamics of stand structure in fertilized slash pine plantations. (Tesis doctoral). University of Georgia, Athens./
Notas de autor
*Autor de correspondencia. gueraforest@gmail.com