Artículos científicos
Patrón y magnitud de la variación de la densidad de la madera en rodales semilleros de Pinus oocarpa
Pattern and magnitude of the variation of the wood density in seed production stands of Pinus oocarpa
Patrón y magnitud de la variación de la densidad de la madera en rodales semilleros de Pinus oocarpa
Madera y bosques, vol. 25, núm. 3, e2531615, 2019
Instituto de Ecología A.C.
Recepción: 02 Agosto 2017
Recibido del documento revisado: 22 Octubre 2019
Aprobación: 13 Diciembre 2019
Resumen: En el estado de Chiapas, México, Pinus oocarpa Schiede ex Schlechtendal es una especie predilecta para el establecimiento de plantaciones forestales y de restauración ecológica. Sin embargo, se desconoce la variación de variables importantes como la densidad de la madera. El objetivo fue conocer las fuentes de variación fenotípica de la densidad básica de la madera, los patrones de variación axial y radial, y los modelos predictivos para estimar densidad promedio de la madera (DPM) de Pinus oocarpa en rodales semilleros en Chiapas, México. Se recolectaron especímenes obtenidas a 0.30 m, 1.30 m, a 40% y a 60% de la altura total del fuste. La densidad de la madera (dm) se determinó con el método empírico. La variación fenotípica se determinó mediante análisis de varianza y de componentes de varianza. La variación atribuible a rodales semilleros fue baja (10.70%). La mayor variación se detectó entre y dentro de árboles con 39.30% de la variación total. El patrón de variación axial fue descendente, presentando mayor densidad en la parte baja del fuste. La variación radial indica aumento de la densidad de la madera de la médula hacia corteza. El modelo DPM = 0.107 + (0.714 * den0.30) es el más simple y tiene un valor de R2 ajustada de 0.927 para determinar la DPM del árbol. Los índices de correlación en Corazón del Valle sugieren la posibilidad de seleccionar y producir genotipos de P. oocarpa de rápido crecimiento y obtener al mismo tiempo mayor densidad en la madera producida.
Palabras clave: componentes de varianza, densidad de la madera, patrones de variación, Pinus oocarpa, variación axial y radial, variación fenotípica.
Abstract: In the state of Chiapas, Mexico, Pinus oocarpa Schiede ex Schlechtendal is one favorite species for the establishment of forest plantations and ecological restoration. However, the variation of important variables such as wood density is unknown. The objective of this study was to know the sources of the phenotypic variation of the basic wood density, the patterns of axial and radial variation, and predictive models to estimate the mean wood density (DPM) of Pinus oocarpa in seed production stands in Chiapas, Mexico. Wood samples was obtained at a 1.30 m, 0.30 m, 1.30 m, 40% and 60% height from trees from each population. The density of the wood was determined with an empirical method. The variation was determined by an analysis of variance and components variance. The variation attributable to the seed production stands was low (10.70%). The highest variation was detected between and within trees with 39.30% of the total variation. The pattern of axial variation was descending, presenting higher density in the lower part of the stem. The radial variation for this species indicates an increase in the density of the wood from the pit to the bark. The model DPM = 0.107 + (0.714 * den0.30) is the simplest and has a value of R2adj of 0.927 to determine the mean density of the tree. The correlation indexes in Corazón del Valle suggest the possibility of selecting and producing P. oocarpa genotypes of fast growth, and at the same time obtaining a higher density in the produced wood.
Keywords: components of variance, wood density, variation patterns, Pinus oocarpa, axial and radial variation, phenotypic variation.
Introducción
Pinus oocarpa Schiede ex Schlechtendal ha recibido recientemente gran atención debido a su alta resistencia al hongo chancro Fusarium circinatum Nirenberg y O’Donnell (Hodge y Dvorak, 2000). En el estado de Chiapas, México, es una de las especies de pino predilectas para el establecimiento de plantaciones forestales y de gran potencial para restauración ecológica (Gutiérrez et al., 2010). Además, en Chiapas se ha tornado como la especie de mayor potencial para la resinación. En zonas tropicales y subtropicales de Colombia, Brasil y en varios países de África se han establecido extensas plantaciones comerciales de esta especie, y la calidad de la madera en ocasiones supera a la de P. patula Schl. et Cham., P. maximinoi Moore y P. tecunumanii Eguiluz et Perry (Dvorak, Gutierrez, Osorio, Hodge y Brawner, 2000).
A pesar de la importancia de P. oocarpa, en México recibe atención marginal por lo que es necesario realizar estudios para mejorar su uso en plantaciones comerciales y establecer fuentes confiables y accesibles de semilla de esta especie (Viveros, Sáenz y Guzmán, 2005). En Chiapas se han establecido rodales semilleros de P. oocarpa para obtener semilla de calidad genética que puede ser certificada por su origen geográfico conocido, para el establecimiento de plantaciones forestales comerciales y de restauración (Gutiérrez-Vázquez y Flores-Montaño, 2017). No obstante, se desconoce la variación de variables importantes en P. oocarpa como la densidad de la madera. Existen estudios limitados, como el de Cornejo, Bucio, Gutiérrez, Valencia y Flores (2009) que utilizaron la densidad de la madera al establecer un rodal semillero a partir de un ensayo de procedencias. Por tanto, es necesario estudiar esta característica porque determina el valor y la utilidad de los productos maderables y está altamente correlacionada con la resistencia mecánica, la rigidez, la conductividad térmica y el calor específico (Tuset y Duran, 1986); además presenta heredabilidad alta.
Estudios revelan que la densidad de la madera de esta especie está estrechamente relacionada con la altitud, ya que se registran valores más altos de densidad en las zonas más altas y menores en zonas bajas (Gutiérrez et al., 2010; Tamarit-Urías y Fuentes-Salinas, 2003). La variación y estimación de esta variable es de suma importancia para los silvicultores (Ordóñez, Rivera, Tapia y Ahedo, 2015) y particularmente importante para evitar la sobreestimación del contenido y captura potencial de carbono (Ordóñez et al., 2015); estos autores recomiendan realizar estudios de la estimación de la densidad básica de la madera, incorporando variables como la competencia, especies presentes, pendiente del terreno, suelo, entre otras, tanto en plantaciones forestales como ambientes naturales; y evitar el uso de valores genéricos o ponderados para la densidad de la madera en un mismo género o familia. Además, incluyen a P. oocarpa en la lista de especies de las que se necesita conocer su densidad.
En un estudio preliminar de las mismas poblaciones, Gutiérrez et al. (2010) hallaron variación de la densidad de la madera a escala de población en P. oocarpa. No obstante, esta propiedad varía ampliamente dentro de un árbol, de la médula hacia el exterior o axialmente desde la base del tronco hacia el ápice (Goche, Fuentes, Borja y Ramírez, 2000). Conocer estas variaciones permitiría realizar muestreos de madera representativos del valor del árbol completo y reconocer diferencias de calidad en relación con los usos (Downes et al., 1997). Gutiérrez, Cornejo, Gutiérrez y Gómez (2012) ajustaron un modelo para Cedrela odorata L. que permite una rápida determinación de la densidad de la madera a una altura de fácil acceso y que se puede hacer por medios no destructivos.
El estudio de estas poblaciones se considera importante, ya que, al examinar la variación fenotípica en variables dasométricas de conos y de acículas en las poblaciones de este trabajo, Gutiérrez, Gómez, Gutiérrez y Mallén (2012) encontraron diferencias significativas e indicaron que la población de Corazón del Valle es un caso de adaptación local a un clima cálido subhúmedo debido a la gran plasticidad ecológica de la especie. Asimismo, en estas mismas poblaciones, Gutiérrez-Vázquez y Flores-Montaño (2018) calcularon la captura de carbono y estimaron los modelos alométricos para estimar biomasa mediante la densidad de la madera.
Aunado a esto, son limitados los estudios sobre la densidad de la madera llevados a cabo en el estado de Chiapas; por ejemplo, Bárcenas (1995) al caracterizar veinte especies maderables de la Selva Lacandona, Chiapas; Gutiérrez, Gómez y Gutiérrez (2010) al estudiar la variación de la densidad básica de Gmelina arborea Roxb., C. odorata L. y Tabebuia rosea (Bertol.) DC. Gutiérrez et al. (2010) al estudiar la densidad de la madera en P. oocarpa y Gutiérrez et al. (2012) al determinar el patrón y la magnitud de la variación de la densidad básica de la madera de C. odorata; Pimienta de la Torre, Silvestre y Posada (2018) al estimar la densidad básica de la madera de Pinus ayacahite var. Veitchii Shaw en el ejido El Rodeo, Chiapas, México; por lo que es de suma importancia generar nuevos conocimientos en este tema.
Objetivos
El objetivo de este estudio fue evaluar el patrón y la magnitud de la variación fenotípica de la densidad básica de la madera en tres rodales semilleros de P. oocarpa. Los objetivos específicos fueron: 1) determinar la variación de la densidad básica en la madera entre rodales semilleros o localidades, entre árboles y dentro de ellos; 2) evaluar el patrón de variación axial y radial en P. oocarpa; y 3) ajustar modelos para estimar densidad promedio del árbol.
Este trabajo contempla dos hipótesis. Hipótesis uno: plantea que no existen variaciones de esta variable con la altura relativa del árbol y en forma radial dentro del fuste. Hipótesis dos: la densidad promedio de un árbol se puede estimar utilizando especímenes de un punto del fuste a 1.30 m.
Materiales y métodos
Antecedentes de rodales semilleros. El estudio se llevó a cabo en invierno, en enero de 2017, en tres rodales semilleros de P. oocarpa, establecidos dentro de su distribución natural en los ejidos de Motozintla, Municipio de Motozintla de Mendoza, General Leyva Velázquez, Municipio de Las Margaritas y Corazón del Valle, Municipio de Cintalapa de Figueroa, en Chiapas, México (Tabla 1).
| Rodal semillero | Latitud N | Longitud O | Altitud (m) | PMA (mm) | TMA (ºC) | Clima |
| Motozintla | 15º21´09.07´´ | 92º15´03.54´´ | 1500 | 1750 | 17 | Templado subhúmedo |
| General Leyva V. | 16º27´03.20´´ | 91º49´44.38´´ | 2000 | 1750 | 17 | Templado húmedo |
| Corazón del Valle | 16º25´04.38´´ | 93º58´35.20´´ | 801 | 1350 | 23 | Cálido subhúmedo |
Obtención de especímenes. En cada rodal semillero se eligieron 10 árboles dominantes para recolectar especímenes de madera de acuerdo con López y Valencia (2001), lo cual se considera aceptable de acuerdo con el estudio de la variación de la densidad relativa de la madera entre y dentro de poblaciones en Pinus greggii Engelm, al muestrear de 5 a 11 árboles por población. Para evitar problemas de consanguinidad en árboles seleccionados, se estableció la distancia mínima de 70 m entre ellos (Bramlett et al., 1977). En cada árbol se midieron características dasométricas como el diámetro a la base del fuste (BD) y el diámetro normal (a 1.30 m de altura) (DN) en centímetros con una cinta diamétrica Forestry Suppliers Inc® modelo 283D E.U.A. y la altura total del árbol (AT) en metros con un clinómetro Suunto® PM-5/360PC Finlandia (Tabla 2). De cada árbol seleccionado se extrajeron especímenes a cuatro alturas diferentes, razón de una pieza por altura (0.30 m, 1.30 m, a la altura de 40% y 60% de la altura total del árbol). La obtención del espécimen consistió en extraer un cilindro de madera con un taladro de Pressler Haglöf Suecia® de 5 mm de diámetro.
| Rodal semillero | Densidad(Arb ha-1) | Edad promedio (años) | Diámetro normal (cm) | Diámetro basal (cm) | Altura total(m) |
| Motozintla | 63 | 37 | 34.8 ± 6.4 | 40.4 ± 6.6 | 18.8 ± 2.6 |
| General Leyva V. | 375 | 40 | 45.5 ± 3.2 | 54.2 ± 4.9 | 19.2 ± 1.3 |
| Corazón del Valle | 516 | 37 | 31.9 ± 2.5 | 36.6 ± 2.7 | 15.6 ± 0.6 |
Cada espécimen se identificó con el nombre del rodal semillero, el número de árbol y altura de extracción y se guardó en un cilindro de plástico para su protección durante el traslado al laboratorio. Se determinó la densidad básica (peso anhidro/volumen verde) de la madera en g cm-3, con el método empírico propuesto por Valencia y Vargas (1997). A diferencia del proceso de determinación de la variación axial donde se utilizó el espécimen completo; para determinar la variación radial fue necesario seccionar cada espécimen o sección de madera en dos subespecímenes de 5 cm, un subespécimen de la sección cercana a la médula y otro de la sección cercana a la corteza. Además, se estimó el ancho total de los anillos de crecimiento (AA) en mm, el número de anillos (NA) para determinar la edad en cada uno de los cilindros de madera, con un microscopio de incrementos marca olympus bx51® Japón. El incremento corriente anual en diámetro (ICAD) en cm año-1, se calculó sumando la longitud total de cinco anillos de cada sección, después se multiplicó por dos y posteriormente se dividió entre los cinco anillos.
Manejo y análisis de datos. Para estudiar el efecto de rodal semillero, de árboles dentro del rodal semillero y de los especímenes dentro de cada árbol, se consideró el diseño completamente al azar, con efecto anidado o jerárquico. Todos los subespecímenes tomados de un mismo árbol fueron tratados como repeticiones de la densidad de la madera dentro de cada árbol (Ecuación 1). Se llevó a cabo un análisis de varianza para determinar si existía variación significativa entre rodales semilleros en cuanto al ancho anillos de crecimiento, la edad y el ICAD (Ecuación 2).
1
2
donde i = 1,2,3 (número de rodales semilleros)
j= 1, 2,3,4…n (número de árboles en cada rodal semillero)
k= 1, 2,3,4 (número de especímenes en cada árbol)
l= 1, 2 (número de subespecímenes en cada espécimen)
Yij = valor de la observación
μ = efecto de la media general
Ri = efecto del i-ésimo rodal semillero
Ai (j)= efecto del j-ésimo árbol dentro del i-ésimo rodal semillero
Mi (jk)= efecto de la k-ésima espécimen dentro del j-ésimo árbol del i-ésimo rodal semillero εi(jkl) = error experimental (subespecímenes)
De acuerdo con los modelos descritos, se realizó el proceso de análisis de varianza con el PROC GLM y de componentes de varianza para la variable densidad de la madera con el PROC VARCOMP (p ≤ 0.05); se realizó una prueba de comparación múltiple de medias (Tukey, p ≤ 0.05). Se realizó un análisis de correlación de Pearson con el PROC CORR (p ≤ 0.05), utilizando las variables de DPM, densidad a la altura del DN con variables morfológicas (altura total, diámetro basal y diámetro normal), de crecimiento (edad, AA e ICAD) y variables ambientales (latitud, longitud, altitud, PMA y TMA). También se realizó el ajuste de modelos con el PROC REG para determinar la DPM a partir de la densidad obtenida a la altura de 0.30 m y a la del diámetro normal. La elección de los mejores modelos se fundó en los siguientes criterios: a) el valor mínimo del cuadrado medio del error (CME), b) el valor máximo del coeficiente de determinación (R2), c) análisis de los residuales (r-Student), d) análisis de normalidad con la prueba de Kolmogorov-Smirnov, e) el valor mínimo de los predichos residuales de la sumatoria de cuadrados (PRESS), y f) la simplicidad del modelo. Todos los análisis fueron ejecutados con el paquete estadístico Statistical Analisis System® (SAS) versión 9.1 (SAS Institute, 2004). Previo a todos los análisis estadísticos, se comprobaron los supuestos de homogeneidad de varianza y de normalidad con la prueba de Kolmogorov-Smirnov.
Resultados
Análisis y componentes de varianza. El valor promedio en la densidad básica de los tres rodales fue de 0.493 g cm-3. El análisis de varianza a nivel población mostró diferencias estadísticas altamente significativas (p ≤ 0.01) entre rodales semilleros, donde el rodal semillero Corazón del Valle (0.527 g cm-3) fue estadísticamente igual al rodal semillero de Motozintla (0.493 g cm-3), pero ambos rodales estadísticamente diferentes a General Leyva (0.458 g cm-3) (Tabla 3). Igualmente se encontraron diferencias estadísticamente significativas (p ≤ 0.01) entre y dentro de árboles de los rodales semilleros para la densidad de la madera. A su vez, el análisis de componentes de varianza (ACV) muestra que, de la variación total de la densidad de la madera, 10.70% es atribuible al efecto de diferencias entre rodales semilleros, mientras que 8.20% se atribuye al efecto de diferencias entre árboles dentro de rodales semilleros, 31.10% se atribuye al efecto de diferencias entre las especímenes dentro de los árboles de los rodales semilleros y 50.00% restante se atribuye al error o fuente no identificada (Tabla 4). Estos resultados manifiestan que existe ligeramente mayor variación entre rodales semilleros que entre árboles dentro de los rodales semilleros. El ACV manifestó que la mayor variación encontrada fue a nivel árbol (entre árboles y dentro de ellos) con 39.30% de la variación total.
| Rodales semilleros | Densidad de la madera (g cm-3) | Agrupación de Tukey (α = 0.05) |
| Motozintla | 0.493 ± 0.091 | a |
| General Leyva V. | 0.458 ± 0.069 | a |
| Corazón del Valle | 0.527 ± 0.099 | b |
| F.V. | C.M. | Componentes de los cuadrados Medios esperados | Componentes de varianza (%) |
| RS | 0.0537** | σ2e + 1.972 σ2 (Mue(RS*Arb)) + 7.748 σ2 (Arb(RS)) + σ2 (RS) | 10.70 |
| Arb(RS) | 0.0157** | 0.016 σ2e + 1.967 σ2 (Mue(RS*Arb)) + 7.652 σ2 (Arb(RS)) | 8.20 |
| Mue(Arb(RS)) | 0.0100** | σ2e + 1.935 σ2 (Mue(RS*Arb)) | 31.10 |
| Error | 0.0045 | σ2e | 50.00 |
| Total | 100 |
El análisis de varianza para las variables de ancho anillos de crecimiento, edad e ICAD, no mostró diferencias significativas entre rodales semilleros (Tabla 5 y 6).
| F.V. | Variable | C.M. | Pr > F |
| Rodal semillero | NA | 21.507 | 0.454 |
| ICAD | 0.0004 | 0.976 | |
| AA | 0.0113 | 0.976 |
| Rodales semilleros† | NA†(años) | ICAD †(cm año-1) | AA †(mm) |
| Motozintla | 37 ± 5.29 a | 0.69 ± 0.12 a | 3.48 ± 0.60 a |
| General Leyva V. | 40 ± 5.31 a | 0.71 ± 0.19 a | 3.57 ± 0.95 a |
| Corazón del Valle | 37 ± 4.44 a | 0.70 ± 0.09 a | 3.51 ± 0.49 a |
Variación axial y radial de la densidad de la madera
Debido a que cada rodal semillero evaluado presentó diferente patrón de variación de la densidad de la madera. A continuación, se presenta un análisis por rodal semillero.
Rodal semillero Corazón del Valle. Este rodal semillero presentó densidad básica promedio de la madera de 0.527 g cm-3, con valores mínimos y máximos de 0.356 g cm-3 y 0.671 g cm-3 y un coeficiente de variación de 18.79%. Las alturas muestreadas mostraron diferencias estadísticas (p < 0.01) con patrón de variación axial de la densidad de la madera de forma descendente de la base del árbol hacia el ápice. Donde las alturas a 0.30 m (0.586 g cm-3) y a 1.30 m (0.542 g cm-3) fueron mayores que a las alturas de 40% (0.459 g cm-3) y de 60% (0.423 g cm-3). Asimismo, se presentó variación radial significativa (p < 0.05) de la densidad en el fuste con densidad mayor en la sección cercana a la corteza (0.557 g cm-3) que la sección cercana a la médula (0.499 g cm-3). Además, existieron diferencias significativas (p < 0.05) a nivel de árboles dentro del rodal semillero y diferencias altamente significativas entre especímenes dentro de cada árbol (p < 0.01). El ACV muestra que 9.21% es atribuible al efecto de diferencias entre árboles dentro del rodal semillero, 54.08% se atribuye al efecto de diferencias entre los especímenes dentro de los árboles del rodal semillero y 36.71% restante se atribuye al error o fuente no identificada.
Rodal semillero Motozintla. Los valores mínimo, promedio y máximo encontrados en densidad de la madera fueron 0.362 g cm-3, 0.493 g cm-3 y 0.715 g cm-3, respectivamente, y con 18.6% de variación. Se observaron diferencias significativas (p < 0.01) en la variación axial con un patrón de variación de la densidad de la madera de forma descendente en el fuste del árbol. La altura a 0.30 m con 0.473 g cm-3 fue estadísticamente mayor que la densidad a la altura de 1.30 m con 0.470 g cm-3, que a la altura de 40% con 0.429 g cm-3 y de 60% con 0.427 g cm-3, estas últimas tres sin diferencias significativas. No se encontró variación radial significativa de la densidad en el fuste entre la sección cercana a la corteza (0.509 g cm-3) y la sección cercana a la médula (0.486 g cm-3). El análisis detectó diferencias significativas (p < 0.01) a nivel de árboles dentro del rodal semillero y también entre especímenes dentro de cada árbol. Al realizar el ACV se observó que 38.71% es debido al efecto de diferencias entre árboles dentro del rodal semillero, 29.72% se atribuye al efecto de diferencias entre los especímenes dentro de los árboles del rodal semillero y el restante 31.57% se atribuye al error o fuente no identificada.
Rodal semillero General Leyva Velázquez. El coeficiente de variación encontrado en este rodal fue de 14.75%, con una densidad básica promedio de 0.458 g cm-3, con un valor mínimo de 0.33 y máximo de 0.62 g cm-3. Se encontraron diferencias significativas (p < 0.01) en la variación axial como en los otros rodales semilleros. Las alturas a 0.30 m (0.476 g cm-3) y a 1.30 m (0.488 g cm-3) presentan los valores más altos, y la altura de 40% (0.451 g cm-3) y al 60% (0.419 g cm-3), fueron los más bajos. También se encontró variación radial significativa (p < 0.01) de la densidad entre la sección cercana a la corteza (0.514 g cm-3) y la sección cercana a la médula (0.417 g cm-3). En el análisis se detectaron diferencias significativas (p < 0.05) a nivel de árboles dentro del rodal semillero y entre especímenes dentro de cada árbol. Los componentes de varianza muestran que 13.77% es debido al efecto de diferencias entre árboles dentro del rodal semillero, 63.29% se atribuye al efecto de diferencias entre los especímenes dentro de los árboles del rodal semillero y el restante 22.94% se atribuye al error o fuente no identificada. El coeficiente de variación estimado para la densidad de la madera de Corazón del Valle (18.60%) y Motozintla (18.70%) son mayores que el presentado por General Leyva (14.70%).
El análisis de la variación axial sustenta la diferencia encontrada a nivel rodal semillero, ya que la población Corazón del Valle presenta una amplia separación en las alturas de muestreo de 0.30 m y a 1.30 m (Fig. 1). Se observa que a la altura de 0.30 m, Corazón del Valle se separa considerablemente de las otras dos poblaciones que presentan valores muy similares. Sin embargo, en las alturas de 40% y 60%, los árboles muestreados presentaron densidades similares. El análisis de la variación radial de la densidad de la madera, al igual que en la variación axial, muestra que el rodal semillero de Corazón del Valle presenta valores más altos de densidad. El patrón de variación radial encontrado indica aumento de la densidad de la madera de la médula hacia corteza, aunque, el rodal semillero Motozintla mantiene una densidad ligeramente más constante (Fig. 2).


Análisis de correlación de Pearson. El análisis de correlación de la densidad con variables de forma y crecimiento se realizó por rodal semillero, ya que se asociaron de manera diferente en cada uno de ellos (Tabla 7). El rodal semillero Corazón del Valle presentó correlación positiva significativa (p < 0.05) entre la DPM con el ICAD (r = 0.878) y altamente significativa (p < 0.01) con el ancho de anillos (r = 0.890). En el rodal semillero de Motozintla fue la densidad a la altura del diámetro normal quien mostró índices de correlación negativos y significativos (p < 0.05) con el ICAD (r = -0.974) y el ancho de anillos (-0.976). En el rodal semillero General Leyva Velázquez, las variables de densidad no mostraron evidencias de correlación significativas con las variables de crecimiento y de forma.
| Rodal semillero | Diámetro normal | Diámetro basal | Altura del árbol | ICAD | Ancho de anillos | |
| Corazón del Valle | DPM | 0.692 | 0.508 | 0.160 | 0.878* | 0.890** |
| dn130 | 0.484 | 0.335 | 0.230 | 0.670 | 0.676 | |
| Motozintla | DPM | 0.820 | -0.789 | 0.379 | -0.868 | -0.861 |
| dn130 | 0.444 | -0.785 | -0.0451 | -0.974* | -0.976* | |
| General Leyva V. | DPM | -0.572 | -0.610 | 0.0684 | -0.0454 | -0.210 |
| dn130 | 0.164 | -0.0690 | -0.697 | 0.285 | 0.341 |
El análisis de correlación de la DPM con las variables ambientales mostró relación positiva con la longitud (r = 1.000), altamente significativa; mientras que la altitud (r = -0.995) mostró correlación negativa significativa. No obstante, los índices de correlación para PMA y TMA no fueron significativos (Tabla 8).
| Latitud | Longitud | Altitud | PMA | TMA | |
| DPM | -0.007 | 1.000** | -0.995* | -0.862 | 0.862 |
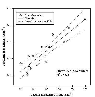
Ajuste de modelos de predicción de la densidad media del árbol. Se llevó a cabo el ajuste de tres modelos que explicaron de manera óptima la variación de la DPM del árbol y que permitieron estimar la DPM de la madera en Pinus oocarpa. El primer modelo (Ecuación 3) ajustado con base en la densidad obtenida a la altura del diámetro normal (den1.30) con R2 de 0.806 (Fig. 3). Se ajustó un segundo modelo basado en la densidad determinada a la altura de 0.30 m (den0.30) que presentó mejor ajuste (R2 = 0.927) que el anterior (Fig. 4) y quedó representado por la ecuación 4.
3


4
Se observó que, al realizar una regresión múltiple, se lograba mejor ajuste (R2=0.943) que con los modelos antes desarrollados, utilizando ambas variables (den1.30 y den0.30) (Ecuación 5; Fig. 5; Tabla 9).
5
| No | Modelos | R2 | CME | PRESS | RCME | CV | p |
| 1 | DPM = 0.162 + (0.625 * den1.30) | 0.806 | 0.026 | 0.0113 | 0.025 | 5.30 | <0.01 |
| 2 | DPM = 0.107 + (0.714 * den0.30) | 0.927 | 0.025 | 0.0188 | 0.026 | 5.50 | <0.01 |
| 3 | DPM = 0.103 + (0.552 * den0.30) + (0.175 * den1.30) | 0.943 | 0.015 | 0.0083 | 0.016 | 3.43 | <0.01 |

Discusión
Análisis y componentes de varianza. El patrón de variación a nivel población en este trabajo también fue encontrado por Gutiérrez et al. (2010) al realizar un estudio preliminar en las mismas poblaciones, utilizando solo la densidad de la madera a la altura del diámetro normal. Los valores de densidad encontrados en los especímenes evaluados son menores a los hallados por Gutiérrez et al. (2010), sin embargo, se consideran más representativos y recomendables en la toma de decisiones, ya que provienen de especímenes de diferentes porciones del árbol. Lo anterior, demuestra la necesidad de realizar estimaciones de la densidad de la madera por medio de muestreo a diferentes puntos del radio y a diferentes alturas del fuste. El ajuste de modelos para estimar la densidad de la madera, realizados con información obtenida a una sola altura de muestreo, pueden dar como resultado subestimación o sobreestimación de la densidad y, por ende, también puede ocurrir en cálculos donde se utiliza esta variable como el cálculo de biomasa y carbono. No obstante, dependerá del patrón de variación axial y radial, ya que es inherente a la especie.
La variación encontrada entre rodales semilleros, entre y dentro de árboles de los rodales semilleros para la densidad de la madera muestra que existe efecto de rodal semillero y dentro de él; como ya se ha señalado para P. chiapensis (Martínez) Andresen (Yáñez y Caballero, 1991), Pseudotsuga pseudotsuga Carr. (Zúñiga y Valencia (1999) y P. greggii Engelm. (López y Valencia, 2001). Los resultados de ACV manifiestan que existe ligeramente mayor variación entre rodales semilleros que entre árboles dentro de los rodales semilleros, lo cual es discrepante a lo encontrado en P. chiapensis (Yáñez y Caballero, 1991), en Pseudotsuga (Zúñiga y Valencia, 1999) y en P. greggii (López y Valencia, 2001), donde el efecto de árboles fue mayor que el de localidades.
Resulta interesante observar que la variación atribuible a rodales semilleros o localidades es baja (10.71%) y coincide con las diferencias encontradas en la densidad de la madera a nivel rodal semillero, lo que permite detectar que existe variación de la densidad de la madera asociada a la adaptabilidad de P. oocarpa y que existe la posibilidad de realizar selección. Esta adaptabilidad es debido a la gran plasticidad ecológica que presenta P. oocarpa, ya que el rodal semillero Corazón del Valle con mayor densidad de la madera se encuentra adaptada al clima cálido subhúmedo, y los rodales semilleros de Motozintla y General Leyva Velázquez se ubican en clima templado; consecuentemente presentan diferente precipitación y temperatura.
La mayor variación encontrada a nivel árbol (entre árboles y dentro de ellos) con 39% de la variación total; es de interés, ya que la densidad de la madera es una variable de alta heredabilidad (Zobel y van Buijtenen, 1989); y la variación a nivel árbol está más asociada con la heredabilidad a nivel individual (Zobel y Talbert, 1988). Además, Zobel y Jett (1995) señalan que esta variable es parcialmente controlada por efectos genéticos y consecuentemente podría ser utilizada en futuros programas de mejoramiento genético. Aunque esta variación encontrada sea explicada en su mayoría por efectos genéticos; también es influenciada por efectos ambientales. Por lo tanto, es de suma importancia determinar en futuros estudios qué porcentaje de esta variación es netamente genética y su grado de heredabilidad en P. oocarpa.
Los coeficientes de variación de la densidad de la madera, aquí encontrados, son más altos a los valores registrados por otros autores. Por ejemplo, al estudiar la variación entre poblaciones y entre árboles de Pseudostuga, Zúñiga y Valencia (1999) señalan un coeficiente de variación de 9.1%, y López y Valencia (2001) de 7.53% al estudiar la variación de la densidad de la madera entre árboles y entre poblaciones en P. greggii. Los coeficientes de variación encontrados en este estudio se consideran útiles para programas de mejoramiento genético, más aún si se comprueba alta heredabilidad en la densidad de la madera de P. oocarpa en los rodales semilleros estudiados.
El ACV muestra que el rodal semillero de Corazón del Valle, a pesar de ser superior en densidad de la madera, tiene baja posibilidad de realizar selección de árboles para un programa genético debido a la poca variación entre árboles (9.21%); al igual que en General Leyva (13.77%). A diferencia de los otros rodales semilleros, Motozintla ofrece mayores posibilidades de selección de árboles debido a su mayor variación (38.71%). Lo anterior, demuestra que a pesar de que los árboles de P. oocarpa exhiban patrones de variación similares, su magnitud es diferente. La baja variación presentada por Corazón del Valle quizás se deba a problemas de endogamia, ya que Dvorak, Potter, Hipkins y Hodge (2009) mostraron altos coeficientes de endogamia para la procedencia Ciénega de León, ubicada en el mismo Municipio que Corazón del Valle.
El análisis de la variación axial sustenta la diferencia encontrada a nivel rodal semillero, ya que la población Corazón del Valle presenta amplia separación en las alturas de muestreo de 0.30 m y a 1.30 m (Fig. 1). Además, el patrón de variación axial encontrado concuerda con Markstrom, Troxell, y Boldt (1983) para P. ponderosa Dougl. Ex Laws creciendo en Estados Unidos y con Jovanovski, Jaramillom, Loguercio y Antequera (2002) con la misma especie en localidades de Argentina, donde valores de densidad fueron superiores en las porciones inferiores del árbol. De igual manera, el patrón de variación radial descrita enmarca de manera general con el modelo citado por Falkenhagen (1979), quien sustenta que la madera de coníferas presenta baja densidad en la médula e incremento de la médula hacia la corteza. Asimismo, Delmastro, Diaz-Vaz y Schlatter (1981) en P. radiata D. Don,Jovanovski et al. (2002) en P. ponderosa y Goche, Velázquez, Borja, Capulín y Palacios (2011) en P. patula aseveran que existe aumento de la densidad de la médula hacia la corteza, que luego decrece en anillos periféricos estrechos de árboles sobremaduros.
Las diferencias no significativas en la tasa de crecimiento en diámetro, la edad y el ancho de anillos, demuestran que no están influyendo significativamente en la variación de la densidad de la madera; ya que estas variables tienen efecto predominante en la variación de la madera dentro y entre los árboles, tanto en términos de densidad, de espesor de las paredes de las fibras, como de su longitud (Downes et al., 1997).
La importancia de la superioridad de la densidad de la madera en P. oocarpa en Corazón del Valle, es la posibilidad de seleccionar individuos genéticamente superiores en esta característica, al mejorar la calidad y eficiencia de la madera de P. oocarpa que se utiliza para muebles, ebanistería, molduras, artesanías y en pulpa para papel, como combustible, leña y carbón en las poblaciones estudiadas. Esto debido a que la mayoría de las propiedades físicas y mecánicas de la madera como: la dureza, el peso, la resistencia al impacto y a la abrasión están directamente relacionadas con la densidad (Rodríguez et al., 2015).
Análisis de correlación de Pearson. Los índices de correlación negativos encontrados en Motozintla y General Leyva muestran que a mayor incremento corriente anual en diámetro y a mayor ancho de los anillos de crecimiento, la densidad de la madera disminuye. Correlaciones negativas entre la densidad y variables de crecimiento han sido documentadas para otras especies como en P. ponderosa (Jovanovski et al., 2002), en P. taeda L. (Paludzyszyn, Shimoyama y Mora, 2005) y P. radiata (Baltinus, Wu y Powell, 2007; Wu et al., 2008). Contrariamente, Corazón del Valle presenta correlación positiva con las mismas variables; de tal manera que los árboles que presentan mayor ICAD o diámetro son los que muestran densidades de madera más altas y sugiere la posibilidad de seleccionar y producir genotipos de P. oocarpa de rápido crecimiento y obtener al mismo tiempo mayor densidad en la madera producida en este rodal semillero. Martinez-Meier, Gallo, Pastorino, Mondino y Rozenberg (2011) registraron correlación (r = 0.14) de la densidad con el crecimiento en diámetro, pero esta no fue significativa. No obstante, es importante resaltar que las relaciones descritas en este trabajo son correlaciones fenotípicas. Así que, no es posible deducir el tamaño y el signo de la correlación genética y ambiental.
La relación significativa encontrada en DPM de la madera con la longitud y altitud, respalda lo planteado por Gutiérrez et al. (2010), quienes notaron que, conforme aumenta la altitud, la densidad de la madera de P. oocarpa disminuye. Asimismo, en estos resultados se observa variación clinal en la densidad de madera en P. oocarpa; además, se considera que la variación encontrada en este estudio se debe, principalmente, a efectos genéticos. Se hace esta consideración pues Campbell (1979) y Rehfeldt (1991) mencionan que las poblaciones de coníferas tienden a diferenciarse genéticamente a lo largo de pendientes altitudinales en respuesta a la selección natural.
Ajuste de modelos de predicción de la densidad media del árbol. Para la determinación rápida de la DPM de la madera en P. oocarpa por medios no destructivos; se recomienda utilizar el modelo DPM = 0.107 + (0.714 * den0.30), por ser ecuación lineal simple y mostrar R2 de 0.927. Los modelos desarrollados para estimar la DPM del árbol en este estudio, presentan mayor ajuste (R2 = 0.81 a 0.94) que el generado por Jovanovski et al. (2002) para P. ponderosa (y = 0.6336x0.2173) utilizando el ancho de anillos (R2 = 0.28); también a los publicadosdos por Goche et al. (2011) para P. patula en tres modelos, utilizando el número de anillos (Y = 0.4691 + 0.0011x, R2 = 0.570; Y = 0.3794 + 0.0062x - 0.0001x2, R2 = 0.7218; Y = 0.3695 + 0.0294 ln(x), R2 = 0.6565). Davel, Jovanovski y Bell (2005) ajustaron modelos para predecir la densidad de la madera de Pseudotsuga menziesii (Mirb.) Franco usando el ancho de anillos y el índice de sitio; los valores de R2 fueron menores que los de este estudio con 0.46 y 0.30, respectivamente.
Conclusiones
La variación atribuible a rodales semilleros o localidades es baja, pero permite detectar que existe variación de la densidad de la madera asociada a la adaptabilidad de P. oocarpa y la posibilidad de realizar selección a nivel procedencia. La mayor variación fue entre y dentro de árboles. El patrón de variación axial fue descendente de la base hacia el ápice, presentando mayor densidad en la parte baja del fuste de P. oocarpa. La variación radial de la densidad de la madera indica aumento de la densidad de la médula hacia la corteza. Los índices de correlación negativos encontrados en Motozintla y General Leyva muestran que a mayor incremento corriente anual en diámetro y a mayor ancho de los anillos de crecimiento, la densidad de la madera disminuye. En Corazón del Valle la correlación fue positiva y los árboles que presentan mayor crecimiento en diámetro muestran densidades más altas y sugiere la posibilidad seleccionar y producir genotipos de P. oocarpa de rápido crecimiento y obtener mayor densidad en la madera producida. Para la determinación rápida de la densidad media de la madera (DPM) en P. oocarpa por medios no destructivos se recomienda utilizar el modelo DPM = 0.107 + (0.714 * den0.30).
Referencias
Baltinus, B., Wu, H., & Powell, M. (2007). Inheritance of density, microfibril angle, and modulus of elasticity in juvenile wood of Pinus radiata at two locations in Australia. Canadian Journal of Forest Research, 37(11), 2164-2174. doi: 10.1139/X07-061
Bárcenas , P. G. M. (1995). Caracterización tecnológica de veinte especies maderables de la Selva Lacandona, Chis., México. Madera y Bosques, 1(1), 9-38. doi: 10.21829/myb.1995.111400
Bramlett, D. L., Belcher, Jr. E. W., DeBarr, G. L., Hertel, J. L., Karrfalt, R. P., Lantz, C. W., Miller, T., Ware, K. D., & III Yates, H. O. (1977). Cone analysis of Southern pines: a Guidebook. General Technical Report SE-13. Asheville, N.C.: USDA, Forest Service.
Campbell, R. K. (1979). Genecology of Douglas-fir in a watershed in the Oregon Cascades. Ecology, 60, 1036-1050. doi: 10.2307/1936871
Cornejo, O. E. H., Bucio, Z. E., Gutiérrez, V. B., Valencia, M. S., & Flores, L. C. 2009. Selección de árboles y conversión de un ensayo de procedencias a un rodal semillero. Revista Fitotecnia Mexicana, 32(2), 87-92.
Davel, M. M., Jovanovski, A., & Bell, D. M. (2005). Densidad básica de la madera de pino oregón y su relación con las condiciones de crecimiento en la Patagonia Andina Argentina. Bosque, 26(3), 55-62. doi: 10.4067/S0717-92002005000300006
Delmastro, R., Diaz-Vaz, J., & Schlatter, J. (1981). Variabilidad de las características tecnológicas hereditarias del Pinus radiata (D. Don). Informe N° 3. Chile: Universidad Austral de Chile.
Downes, G. M., Hudson, I., Raymond, C., Dean, A., Micheli, A., Schimlek, L., Evans, R., & Muneri, A. (1997). Sampling Eucalyptus for wood and fibre properties. Australia: CSIRO Publishing.
Dvorak, W. S., Gutierrez, E. A., Osorio, L. F., Hodge, G. R., & Brawner, J. T. (2000). Pinus oocarpa. En CAMCORE Cooperative (Ed.), Conservation and Testing of Tropical and Subtropical Forest Tree Species by the CAMCORE Cooperative (p. 129-147). Raleigh, North Carolina, USA: College of Natural Resources, North Carolina State University.
Dvorak, W. S., Potter, K. M., Hipkins, V. D., & Hodge, G. R. (2009). Genetic Diversity and Gene exchange in Pinus oocarpa, a Mesoamerican pine with resistance to the pitch canker fungus (Fusarium circinatum). International Journal of Plant Sciences, 170(5), 609-626. doi: 10.1086/597780
Falkenhagen, E. (1979). Provenance variation in growth; timber and pulp properties on Pinus caribaea in South Africa. South Africa: Department Forest Service of Africa.
Goche, T. J. R., Fuentes, S. M., Borja, R. A., & Ramirez, M. H. (2000). Variación de las propiedades físicas de la madera en un árbol de Abies religiosa y de Pinus ayacahuite var. veitchii. Revista ChapingoSerie Ciencias Forestales y del Ambiente, 6(1), 83-92.
Goche, T. J. R., Velázquez, M. A., Borja, R. A., Capulín, G. J., & Palacios, M. C. (2011). Variación radial de la densidad básica en Pinus patula Schltdl. et Cham. de tres localidades en hidalgo. Revista Mexicana de Ciencias Forestales, 2(7), 71-78.
Gutiérrez , V. B., Gómez, C. M., & Gutiérrez, V. M. H. (2010). Variación de la densidad básica de la madera de tres especies tropicales. En V. A. Vidal M. (Presidencia), XXXIII Congreso Nacional y III Internacional de Fitogenética. Nayarit, México: Sociedad Mexicana de Fitogenética A.C.
Gutiérrez , V. B. N., Gómez, C. M., Valencia, M. S., Cornejo, O. E. H., Ruiz, P. J. A., & Gutiérrez, V. M. H. (2010). Variación de la densidad de la madera en poblaciones naturales Pinus oocarpa Schiede ex Schltdl. en el estado de Chiapas, México. Revista Fitotecnia Mexicana , 33(Núm. Especial 4), 75-78.
Gutiérrez-Vázquez, B. N., Cornejo-Oviedo, E. H., Gutiérrez-Vázquez, M. H., & Gómez-Cárdenas, M. (2012). Variación y predicción de la densidad básica de la madera de Cedrela odorata. Revista Fitotecnia Mexicana , 35(Núm. Especial 5), 87-90.
Gutiérrez , V. B. N., Gómez, C. M., Gutiérrez, V. M. H., & Mallén, R. C. (2012). Variación fenotípica de poblaciones naturales de Pinus oocarpa Schiede ex Schltdl. en Chiapas. Revista Mexicana de Ciencias Forestales , 4(19), 46-61.
Gutiérrez-Vázquez, B. N., & Flores-Montaño, A. (2017). Rodales semilleros: Opción para la conservación in situ de recursos genéticos forestales en Chiapas, México. Foresta Veracruzana, 19(2), 41-48.
Gutiérrez-Vázquez, B. N. & Flores-Montaño, A. (2018). Captura de carbono y modelos alométricos para estimar biomasa en rodales naturales de Pinus oocarpa Schl. et Cham. en Chiapas, México. Foresta Veracruzana , 20(2), 21-28.
Hodge, G. R., Dvorak W. S. (2000) Differential responses of Central American and Mexican pine species and Pinus radiata to infection by the pitch canker fungus. New Forest, 19(3), 241-258. doi: 10.1023/A:1006613021996
Jovanovski, A., Jaramillom, M., Loguercio, G., & Antequera, S. (2002). Densidad de la madera de Pinus ponderosa (Dougl. Ex Laws) en tres localidades de Argentina. Bosque , 23(2), 99-104. doi: 10.4067/S0717-92002002000200011
López, L. M. & Valencia, M. S. (2001). Variación de la densidad relativa de la madera de Pinus greggii Engelm. del norte de México. Madera y Bosques , 7(1), 37-46. doi: 10.21829/myb.2001.711317
Markstrom, D., Troxell, H., & Boldt, C. (1983). Wood properties of immature Pine ponderosa after thinning. Forest Products Journal, 33(4), 33-36.
Martinez-Meier, A., Gallo, L., Pastorino, M., Mondino, V., & Rozenberg, P. (2011). Phenotypic variation of basic wood density in Pinus ponderosa plus trees. Bosque , 32(3), 221-226. doi: 10.4067/S0717-92002011000300003
Ordóñez, D. J. A. B., Rivera, V. R., Tapia, M. M. E., & Ahedo, H. L. R. (2015). Contenido y captura potencial de carbono en la biomasa forestal de San Pedro Jacuaro, Michoacán. Revista Mexicana de Ciencias Forestales , 6(32), 7-16.
Ordóñez, D. J. A. B., Galicia, N. A., Venegas, M. N. J., Hernández, T. T., Ordóñez, D. M. J., & Dávalos-Sotelo, R. (2015). Densidad de las maderas mexicanas por tipo de vegetación con base en la clasificación de J. Rzedowski: compilación. Madera y Bosques, 21(Núm. esp.), 77-126. doi: 10.21829/myb.2015.210428
Paludzyszyn, F. E., Shimoyama, V. e Mora, A. (2005). Seleçao precoce pra incremento simultaneo do crescimento e da qualidade da madeira em Pinus taeda L. Boletim de Pesquisa Florestal, 46, 31-46.
Pimienta de la Torre, D. J., Silvestre, R. R. E., & Posada, C. S. (2018). Densidad básica de la madera de Pinus ayacahite var. Veitchii Shaw en Chiapas, México. Avances en Investigación Agropecuaria, 22(3), 7-15.
Rehfeldt, G. E. (1991). A model of genetic variation for Pinus ponderosa in the Inland Northwest (USA): applications in gene resource management. Canadian Journal of Forest Research , 21, 1491-1500. doi: 10.1139/x91-209
Rodríguez, A. R., Ramírez, A. A. M., Palacios, J. H., Fuentes, T. F. J., Silva, G. J. A., & Saucedo, C. A. R. (2015). Características anatómicas, físico-mecánicas y de maquinado de la madera de mezquite (Prosopis velutina Wooton). Revista Mexicana de Ciencias Forestales , 6(28):156-173.
SAS Institute Inc. (2004). SAS/STAT® 9.1 User’s Guide. Cary, NC: SAS Institute Inc.
Tamarit-Urías, J. C. & Fuentes-Salinas, M. (2003). Parámetros de humedad de 63 maderas latifoliadas mexicanas en función de su densidad básica. Revista ChapingoSerie Ciencias Forestales y del Ambiente, 9(2), 155-164.
Tuset, R., y Durán, F. (1986). Manual de la madera comercial, equipos y procesos de utilización. Montevideo, Uruguay: Hemisferio Sur.
Valencia, M. S. & Vargas, H. J. J. (1997). Método empírico para estimar la densidad básica en muestras pequeñas de madera. Madera y Bosques , 3(1), 81-87. doi: 10.21829/myb.1997.311381
Viveros, V. H., Sáenz, R. C., & Guzmán, R. R. R. 2005. Control genético de las características de crecimiento en vivero de plántulas de Pinus oocarpa. Revista Fitotecnia Mexicana , 28(4), 333-338.
Wu, H., Ivkovic, M., Gapare, W. J., Matheson, A. C., Baltunis, B. S., Powell, M. B., & Mcrae, T. A. (2008). Breeding for Wood Quality and profit in Pinus radiata: a review of genetic parameter estimates and implications for breeding and deployment. New Zealand Journal of Forestry Science, 38, 56-87.
Yáñez, M. O. & Caballero, D. M. (1991). Variación de algunas características de Pinus strobus var. chiapensis Mtz. de tres localidades de su distribución natural: densidad relativa y longitud de traqueidas de la madera. Revista Chapingo , 15(75), 18-24.
Zobel, B. & Talbert, J. (1988). Técnicas de mejoramiento genético de árboles forestales. Buenos Aires, Argentina: Limusa.
Zobel, B. J. & Van Buijtenen, J. P. (1989). Wood Variation, its causes and control. Germany: Springer Verlag.
Zobel, B. & Jett, J. B. (1995). Genetics of wood production. Berlin-Heidelberg, Germany: Springer-Verlag.
Zúñiga, B. M. C. & Valencia, M. S. (1999). Variación de la densidad de la madera de Pseudotsuga entre árboles y entre localidades del Norte de México. En Resúmenes del IV Congreso Mexicano sobre Recursos Forestales. Durango, México: Sociedad Mexicana de Recursos Forestales.
Notas de autor
*Autor de correspondencia. bn_gutierrez@hotmail.com