Artículos científicos
Almacenamiento de carbono aéreo en un bosque templado de Oaxaca: manejo de alta y baja intensidad
Aboveground carbon storage in a temperate forest: high and low intensity forest management
Almacenamiento de carbono aéreo en un bosque templado de Oaxaca: manejo de alta y baja intensidad
Madera y bosques, vol. 27, núm. 4, Esp., e2742440, 2021
Instituto de Ecología A.C.
Recepción: 11 Noviembre 2019
Aprobación: 15 Enero 2021
Publicación: 02 Diciembre 2021
Resumen: El manejo forestal sustentable es una alternativa para conservar la biodiversidad, mantener la estructura forestal y, por ende, el almacenamiento de carbono. El objetivo del presente trabajo fue determinar el efecto del manejo forestal sobre la diversidad y estructura de las especies arbóreas y cuantificar el contenido de carbono almacenado en la biomasa aérea de bosques templados en tres sistemas: (1) método mexicano de ordenación de bosques irregulares (MMOBI), (2) método de desarrollo silvícola (MDS) y (3) bosque no manejado (BNM), ubicados en Santiago Xiacuí y Santiago Comaltepec, Oaxaca, México. Para estimar la diversidad arbórea se utilizaron índices alfa. La estructura se evaluó a partir del índice de valor de importancia (IVI). El carbono almacenado en la biomasa se estimó con datos dasométricos y ecuaciones volumétricas. Se identificaron 44 especies distribuidas en 14 familias. De acuerdo con el IVI, las especies más importantes en los tres sistemas fueron Q. laurina Humb. & Bonpl. y P. patula Schiede ex Schltdl. & Cham. presentando los mayores contenidos de carbono. El sistema forestal con mayor contenido de carbono en la biomasa fue el BNM (341.6 Mg ha-1 de biomasa y 164.7 Mg ha-1 de contenido de carbono), además de presentar la densidad más alta (872 árboles ha-1). Los bosques manejados con el MMOBI tienen mayor potencial de almacenamiento de carbono respecto a los MDS, debido a que tienen mayor similitud en diversidad y densidad que un bosque no manejado.
Palabras clave: fagácea, MDS, MMOBI, pinácea, Sierra Norte de Oaxaca.
Abstract: Sustainable forest management is an alternative to conserve biodiversity, maintain forest structure and therefore, carbon storage. The objective of this work was to determine the effect of forest management on the diversity and structure of tree species, and to quantify the carbon content stored in the above-ground biomass of temperate forests in three systems: (1) Mexican Management Method of Irregular Forests (MMOBI) (2) Silvicultural Development Method (MDS) and (3) unmanaged forest (BNM), located in Santiago Xiacuí and Santiago Comaltepec, Oaxaca, Mexico. Alpha indices were used to estimate tree diversity. The structure was evaluated from the importance value index (IVI). The carbon stored in the biomass was estimated with dasometric data and volumetric equations. 44 species distributed in 14 families were identified. According to IVI, the most important species in the three systems were Q. laurina Humb. & Bonpl. and P. patula Schiede ex Schltdl. & Cham. presenting the highest carbon contents. While the system with the highest carbon content in the biomass was the BNM (341.6 Mg ha-1 of biomass and 164.7 Mg ha-1 of carbon content), in addition to having the highest density (872 trees ha-1). Forests managed with the MMOBI have greater carbon storage potential than MDS, because they have greater similarity in diversity and density than an unmanaged forest.
Keywords: fagacea, MDS, MMOBI, pinacea, Northern Sierra of Oaxaca.
Introducción
Los bosques son uno de los reservorios de carbono más grandes e importantes a escala mundial, pues juegan un papel crucial en la regulación del clima (Houghton, 2005; Kurz et al., 2016). El contenido de carbono es variable según la especie y tipo de tejido del árbol (Gayoso y Guerra, 2005). En México se han realizado diferentes investigaciones sobre captura y almacenamiento de carbono en ecosistemas forestales (De Jong et al., 1999; Masera, Cerón y Ordóñez, 2001; Ordóñez-Díaz et al., 2008; Soriano-Luna et al., 2018); sin embargo, son pocos los estudios que comparan el almacenamiento de carbono en bosques aprovechados con diferentes sistemas de manejo. Los tratamientos silvícolas utilizados para el aprovechamiento forestal modifican la estructura, composición y función del bosque, por ello es importante analizar el efecto de los diferentes sistemas de manejo con base en dichas variables relacionadas con las reservas de carbono forestal (Luna-Bautista, Hernández-de la Rosa, Velázquez-Martínez, Gómez-Guerrero y Acosta-Mireles, 2015). Cuando las prácticas de manejo forestal omiten aspectos de conservación de la biodiversidad se fomenta la pérdida de carbono almacenado, no así cuando dichas prácticas consideran la manutención de la diversidad a la par de producir madera para su comercialización (Gamfeldt et al., 2013; Pacheco-Aquino, Durán-Medina y Ordóñez-Díaz, 2015).
En México existen diferentes métodos de manejo forestal como el método mexicano de ordenación de bosques irregulares (MMOBI), el cual se sugiere para cosechas menos intensivas en comparación con otras alternativas de mayor intensidad de corta como el método de desarrollo silvícola (MDS); el MDS se considera de alta intensidad y se refiere a tala rasa en franjas al eliminar la cobertura del dosel casi por completo, propiciando bosques con características homogéneas en especies, edad, altura, densidad y estructura; en contraste, el MMOBI, considerado como de baja intensidad se basa en selección en grupo y remueve menos árboles, generando un menor impacto en el paisaje, lo que promueve una mayor hetero-geneidad vegetal con árboles de edades y tallas diferentes (Hernández-Díaz, 2008; Aldape y Santos, 2016; Ramírez-Maldonado, 2017). Actualmente, estos métodos son empleados por ejidos y comunidades rurales dando lugar al manejo comunitario que implica la venta de productos forestales (maderables y no maderables) sin dejar la conservación de los bosques (Durán, Mas y Velázquez, 2005), lo que en algunas zonas ha disminuido las tasas de deforestación (Palacio-Prieto et al., 2000; Bray, Merino y Barry, 2007).
La finalidad de estos estudios comparativos es contribuir al desarrollo de estrategias de manejo forestal que permita a los silvicultores mantener o incrementar los reservorios de carbono sin dejar de aprovechar sus bosques, con la posibilidad de acceder a subsidios o apoyos por almacenamiento de carbono.
Objetivos
Determinar el efecto de dos sistemas de manejo forestal, en comparación con un bosque no manejado, sobre la diversidad, densidad, estructura de las especies arbóreas y contenido de carbono en la biomasa aérea en dos comunidades de la Sierra Norte de Oaxaca.
Materiales y métodos
Descripción del área de estudio
El trabajo se realizó en rodales con aprovechamiento forestal de Santiago Xiacuí (1680.61 ha; 17° 16´ 18´´ N y 96° 25´ 09´´ O; 17° 18´ 44´´ N y 96° 21´ 47´´ O) y Santiago Comaltepec (18 070.17 ha; 17° 34´ 19´´ N y 96° 26´ 39´´ O; 17° 32´ 53´´ N y 96° 32´ 17´´ O), distrito de Ixtlán en la Sierra Norte de Oaxaca (SNO) (Fig. 1). Los climas predominantes son el templado húmedo (C) y subhúmedo (Cx) con temperatura media anual entre 12 °C y 18 °C con lluvias en verano, precipitación anual de 200 mm a 180 mm Los suelos predominantes son cambisol (CM) y acrisol (AC). El tipo de vegetación predominante es el bosque de pino-encino, bosque mesófilo de montaña y vegetación secundaria de bosque de pino-encino (Instituto Nacional de Estadística y Geografía [Inegi] 2013).

Para el presente estudio se analizó un área de producción intervenida en el Plan de Manejo Forestal (PMF) (2004-2014), la cual se dividió en un bosque no manejado (BNM) y zona de producción forestal de alta intensidad (MDS) y de baja intensidad (MMOBI), con un ciclo de corta de 10 años para ambas comunidades. El MDS es usado en áreas de pino-encino donde el interés principal es la producción comercial de madera con ciclos de corta de 10 años; contempla un tratamiento de corta de regeneración de tala rasa en franjas, aclareos (dos para Santiago Xiacuí y cuatro para Santiago Comaltepec) y una fase de renovación mediante regeneración natural o plantación, dando lugar a rodales coetáneos o regulares. El MMOBI se utiliza en los rodales con encino-pino con un ciclo de corta de 10 años, contempla un tratamiento de corta de regeneración de selección en grupos que implica la apertura de pequeños claros en el bosque utilizando la técnica de curva guía De Liocourt para definir el arbolado a extraer con base en la distribución de frecuencias diamétricas (López-Hernández, 2017), lo cual es aplicado en zonas con pendientes pronunciadas y donde las especies forman manchones y presentan tolerancia a la sombra. Por último, el BNM es clasificado como refugio de vida silvestre, protección de cuencas, reservas forestales, regeneración y áreas semilleras en las cuales no hay aprovechamiento maderable, solamente actividades de saneamiento, control de plagas e incendios. Cabe mencionar que la superficie bajo conservación es mayor a la superficie destinada a producción forestal, decisión tomada en asamblea comunitaria de ambas comunidades (Unión de Comunidades Productoras Forestales Zapotecas-Chinantecas [Uzachi], 2003a; Uzachi, 2003b).
Datos dasométricos
Los datos para estimar las variables de diversidad, densidad, estructura de especies, biomasa y contenido de carbono de la zona de estudio se obtuvieron del inventario forestal maderable (IFM) del programa de manejo forestal (PMF) de Santiago Xiacuí y Santiago Comaltepec realizados en el periodo 2015-2016. En el IFM se utilizó un diseño de muestreo estratificado, considerando las unidades mínimas de manejo (UMM) como estratos. El tamaño de muestra para Santiago Xiacuí fue de 326 sitios temporales y para Santiago Comaltepec 636 sitios. Las dimensiones de las unidades de muestreo fueron de 1000 m2, distribuidos en 116 UMM y 149 UMM para Santiago Xiacuí y Santiago Comaltepec, respectivamente. El nivel de confiabilidad para el inventario maderable fue de 95%, con errores de muestreo de 3.5% y 4.3% para Santiago Comaltepec y Santiago Xiacuí, respectivamente.
Diversidad, densidad y estructura arbórea
Para obtener la distribución de las especies arbóreas por cada método de manejo forestal se utilizó la información de las especies arbóreas registradas con Dn ≥ 7.5 cm. Con esto, se realizaron histogramas de frecuencia por categoría diamétrica con intervalos de 5 cm de amplitud.
A través del programa PAST (Hammer, Harper y Ryan, 2001) se calcularon los índices de diversidad: Shannon-Weiner (H’) (ecuación 1) y de Simpson (S) (ecuación 2).
Donde:
H’ es el índice de Shannon-Weiner
Pi es la proporción de individuos de la especie i
Donde:
D = índice de Simpson
ni = número de individuos de la especie i
N = número total de individuos en la muestra
La densidad en árboles por hectárea se determinó con los árboles inventariados (Dn ≥ 7.5 cm) en cada sitio estudiado (ecuación 3).
Donde:
N = densidad en árboles por hectárea
n = número de árboles inventariados en los sitios de muestreo
Si= Superficie del sitio i en proyección horizontal (m2) N sitios= número de sitios levantados (Manzano-Méndez, Sandoval y Rosas 2016; Castillo-López et al., 2017)
Para jerarquizar la dominancia se aplicó el índice de valor de importancia (IVI), el cual consiste en la sumatoria de los valores relativos de densidad, frecuencia y dominancia e indica la importancia ecológica relativa de las especies arbóreas en un sitio o rodal específ co (ecuación 4).
Donde la abundancia relativa (AR) es la relación entre el número de individuos de una determinada especie y el número de individuos de todas las especies muestreadas multiplicado por 100; dominancia relativa (DR) es la relación entre el área basal total de una determinada especie y el área basal total de todas las especies muestreadas multiplicado por 100 y, por último, la frecuencia relativa (FR) es la relación entre la frecuencia absoluta de una determinada especie y las frecuencias absolutas de todas las especies multiplicado por 100 (Curtis y McIntosh, 1951).
Biomasa y carbono aéreo
La biomasa y el carbono almacenados se estimaron en el estrato arbóreo vivo de las dos comunidades de estudio, se siguió la metodología de Winrock International (Goslee et al., 2014). Para esto, se agruparon los sitios de muestreo temporales con base en las UMM definidas en el PMF de Santiago Xiacuí y Santiago Comaltepec. Posteriormente, se estimó indirectamente el volumen maderable de todas las especies arbóreas registradas en el inventario forestal por UMM, el cual fue calculado con ecuaciones volumétricas (ecuación 5) del Sistema Biométrico Forestal para el manejo de los bosques de México (SiBiFor) (Vargas Larreta et al., 2017). El SiBiFor no cubrió todas las especies registradas, por esta razón, el análisis se complementó con los modelos volumétricos del inventario forestal de Oaxaca (Manzano-Méndez, Sandoval y Rosas 2016; Castillo-López et al., 2017) (ecuación 6), además, se agregó un factor de expansión de 6% (Gayoso y Guerra, 2005) para compensar la fracción de ramas no incluida en estos modelos.
Donde:
VTAcc = volumen total del árbol con corteza (m3)
Dn = diámetro normal con corteza (cm)
At = altura total (m)
αo, α2 , α2 y b0 varían de acuerdo con la especie. los tres primeros funcionan para obtener el volumen del fuste con corteza y el último para obtener el volumen de las ramas.
La ecuación 5 se utilizó para 17 especies de la familia Fagácea, 10 de la familia Pinácea y cinco latifoliadas.
Donde:
VT = volumen del fuste (m3)
bi (i=0, 1 y 2) = estimaciones de los coeficientes obtenidos mediante análisis de regresión
La ecuación 6 se utilizó para 12 especies arbóreas latifoliadas y una conífera.
Para determinar la biomasa arbórea aérea (BAA, Mg ha-1) se multiplicó VTAcc y VT (volumen maderable VM) de cada árbol por la densidad específica de la madera de cada especie (∂) (ecuación 7).
Los valores de la densidad de la madera por especie se obtuvieron en diferentes fuentes bibliográficas (Fuentes, 1998; Comisión Nacional Forestal [Conafor] 2008, Nájera y García, 2009; Ordóñez et al., 2015).
Una vez estimada la biomasa, esta se convirtió a carbono almacenado para cada especie medida, con base en un factor de reducción (ecuación 8). La ecuación recomendada por Goslee et al. (2014) tiene la estructura siguiente:
Donde: CCA es el contenido de carbono almacenado en la biomasa (Mg ha-1) de cada árbol, BAA es la biomasa total aérea arbórea de cada árbol; Fc es la fracción de carbono de la biomasa, los valores de la Fc por especie se obtuvieron en diferentes fuentes bibliográficas (Grupo Intergubernamental de Expertos sobre el Cambio Climático, US [IPCC], 2006; Díaz-Franco et al., 2007; Acosta-Mireles, Carrillo-Anzures y Díaz-Lavariega, 2009; Yerena-Yamallel, Jiménez-Pérez, Aguirre-Calderón y Treviño-Garza, 2012; Jiménez-Pérez, Aguirre-Calderón y Yarena-Yama-llel, 2013; Martínez-Orellana, 2016).
Análisis estadístico
Para determinar las diferencias en la biomasa y el contenido de carbono entre los diferentes métodos de manejo forestal y BNM se utilizó un análisis de varianza (Anova) y la prueba de comparación de medias de Tukey (p ≤ 0.05). La normalidad en la distribución de los errores se verificó con la prueba Shapiro-Wilk (Shapiro y Wilk, 1965), en tanto que, el supuesto de homogeneidad de varianzas se comprobó mediante la prueba de Bartlett (Bartlett, 1937). Estos procedimientos estadísticos fueron realizados en el paquete SAS® versión 9.0 (SAS Institute Inc., 2004).
La incertidumbre se estimó con los datos de biomasa y carbono por UMM utilizando la simulación de Montecarlo con 10 000 repeticiones, una vez simulado se realizó otro remuestreo con bootstrapping con 1000 repeticiones. Una vez que se realizaron ambas simulaciones se utilizó la ecuación 8, recomendada por el IPCC (2006a). El análisis se llevó a cabo con el programa R-Studio versión 3.6.1 (R Core Team, 2019).
Resultados y discusión
Diversidad
En Santiago Comaltepec se contabilizaron 20 especies arbóreas en el BNM distribuidas en 8 familias; en el MMOBI fueron 33 especies en 10 familias y en el MDS se registraron 18 especies en 8 familias. En las tres condiciones de manejo la familia Fagácea fue la más representativa con 8 (BNM), 13 (MMOBI) y 7 (MDS) (Tabla 1).

En Santiago Xiacuí se registraron 23 especies arbóreas en el BNM distribuidas en 12 familias predominando Fagáceas y Pináceas, ambas con seis especies, y un grupo de especies no identificadas agrupadas en la categoría “otras latifoliadas”, especies que no fueron identificadas por el PMF. En el MMOBI se registraron 28 especies arbóreas (12 familias) y el grupo de otras latifoliadas, predominando Fagáceas y Pináceas, ambas con ocho especies. En el MDS se registraron 26 especies arbóreas, agrupadas en 12 familias y el grupo de otras latifoliadas, la familia con mayor número de especies fue Pinácea (8 especies) (Tabla 1).
En ambas comunidades los rodales con mayor riqueza de especies arbóreas fueron los manejados con el MMOBI (33 especies en Santiago Comaltepec y 28 en Santiago Xiacuí), la menor riqueza de especies arbóreas en Santiago Comaltepec fueron los rodales manejados con el MDS (18 especies) y en Santiago Xiacuí los rodales del BNM (23 especies). En Santiago Comaltepec los rodales con tratamiento silvícola de selección en grupos del MMOBI presentaron un índice de Simpson y Shannon (0.58 y 1.20) mayor en comparación con los encontrados en el bosque con tala rasa en franjas del MDS (0.48 y 0.92) y BNM (0.52 y 1.03).
En el caso de Santiago Xiacuí, los índices de Simpson y Shannon de mayor valor se encontraron en los rodales con tratamientos de tala rasa en franjas y aclareos del MDS (0.66 y 1.39), seguido del tratamiento de selección en grupos del MMOBI (0.62 y 1.28) y con un valor menor el BNM (0.50 y 0.99).
Los índices de Simpson y Shannon-Wiener indican que en Santiago Comaltepec hay mayor diversidad arbórea en los rodales manejados con el MMOBI, mientras que en Santiago Xiacuí fueron los rodales con el MDS. La diversidad más baja en Santiago Comaltepec se encontró en los rodales con el MDS y en Santiago Xiacuí en la zona del BNM. La diversidad de especies arbóreas aumenta las existencias de carbono (Liu et al., 2018), esta condición se cumplió en los rodales manejados con el MMOBI de Santiago Comaltepec al ser los más diversos y con un contenido de carbono similar al del BNM, en cambio, los resultados de Santiago Xiacuí indicaron que los rodales más diversos fueron los manejados con el MDS pero en contenido de carbono almacenado fueron los más bajos, esto se atribuye a que las especies arbóreas en estos rodales tuvieron Dn y At menores en comparación con los árboles del BNM y de los rodales con el MMOBI de la misma comunidad, los resultados coinciden con la discusión planteada por Gamfeldt et al. (2013), quienes mencionan que los efectos de la biodiversidad sobre los servicios ecosistémicos son mixtos, por lo tanto, se requiere de estudios explícitos del vínculo entre biodiversidad y servicios ecosistémicos a escalas regionales.
Densidad
En Santiago Comaltepec la densidad arbórea fue mayor en el MMOBI con 767 árboles ha-1 en comparación con el MDS (765 árboles ha-1) y el BNM (689 árboles ha-1). En el MDS y el BNM la especie con mayor densidad fue P. patula (398 árboles ha-1 y 251 árboles ha-1 respectivamente) y en el MMOBI fue C. mexicana (179 árboles ha-1). En Santiago Xiacuí la densidad arbórea fue mayor en el BNM con 872 árboles ha-1 en comparación con el MDS (838 árboles ha-1) y el MMOBI (829 árboles ha-1). El grupo de otras latifoliadas obtuvo la mayor densidad en las tres condiciones de manejo con 372 árboles ha-1 para el MDS, 233 árboles ha-1 para el BNM y 222 árboles ha-1 para el MMOBI (Tabla 1).
Estructura arbórea
El IVI permitió jerarquizar la dominancia de las familias y especies arbóreas dentro de cada sistema de manejo forestal y en el BNM. Las especies sobresalientes por su alto valor de IVI presentes en las tres condiciones estudiadas de ambas comunidades fueron: P. patula, Q. laurina, Q. rugosa, Q. crassifolia, C. mexicana, T. mexicana, P. pseu-dostrobus y P. douglasiana (Tabla 1).
La dominancia de P. patula en rodales tratados con el MDS de Santiago Comaltepec y Santiago Xiacuí, es un indicador del cumplimiento de los objetivos de las cortas de regeneración de tala rasa en franjas, ya que genera claros que favorecen la germinación de especies heliófilas que son las de interés comercial (principalmente Pinus) (López-Hernández et al., 2017; Monárrez-González, Pérez-Verdín, López-González, Márquez-Linares y González-Elizondo, 2018). La dominancia de la familia Pinácea tiene ventajas comerciales porque las especies de pinos son las de mayor valor económico en el mercado; sin embargo, se encontró que ello redujo la diversidad arbórea en Santiago Comaltepec. En los rodales manejados con el MMOBI, la familia Fagácea fue la dominante para Santiago Comaltepec y Santiago Xiacuí, destacando las especies C. mexicana Q. laurina y Q. rugosa, esta dominancia se asocia al desarrollo de árboles remanentes de Quercus y latifoliadas como efecto de los pequeños claros del manejo MMOBI que reducen la entrada de luz y favorecen la regeneración de especies tolerantes a la sombra, lo cual dificultó el desarrollo de la familia Pinácea (Hernández, 2007).
Los rodales manejados con el MMOBI (tratamiento de selección en grupos) generó una estructura más diversa que el manejado con MDS, debido a que se asemeja a un bosque no manejado con un dosel continuo, debido a que este sistema de extracción selectiva favorece a especies tolerantes a la sombra como los encinos y latifoliadas, desplazando a las especies intolerantes a la sombra como los pinos (Bray y Merino, 2004; Jardel, 2015a; Müller et al., 2018; García-García, Narváez, Olivas y Hernández, 2019).
En la zona forestal manejada con el MMOBI en la SNO, se favoreció la conversión de bosques de pino a bosques de encino, debido a que la extracción selectiva deja parches pequeños que disminuyen la entrada de luz, lo que reduce la regeneración de pino y favorece la de encino y latifoliadas (Snook y Negreros, 1994), por el contrario, el MDS incrementa la producción de madera de pino, por su valor comercial, al favorecer la entrada de luz por aperturas forestales más grandes que a su vez disminuye la competencia y favorece el desarrollo de especies como P. patula y P. pseudotrobus (Bray y Merino, 2004; Ríos-Altamirano et al., 2016). La conservación de la biodiversidad en los ecosistemas forestales es fundamental en el contexto de brindar servicios ecosistémicos, entre estos la captura y almacenamiento de carbono. Esta premisa aplica también para bosques con manejo forestal, los cuales a la par de la producción de madera, pueden capturar y almacenar carbono (Pacheco-Aquino, 2014). Esto depende del sistema de regeneración que se utilice (Ali, Khan, Ahmad y Khan., 2019). Mantener un bosque con producción y productividad forestal depende de la conservación de agua, suelos y biodiversidad (Jardel, 2015b). Las especies arbóreas crean diferentes condiciones de hábitat para la regeneración de árboles, plantas herbáceas, animales y microorganismos en el suelo (Vargas-Larreta et al., 2017).
En los rodales manejados con el MMOBI, 60% de los individuos se distribuyeron en las dos primeras clases diamétricas (7.5 cm a 17.5 cm), con una estructura de J invertida, esto significa que la mayoría de los individuos están en la categoría diamétrica inicial, y que conforme aumenta la categoría diamétrica disminuye el número de árboles (Fig. 2). La alta concentración de individuos en categorías diamétricas menores indica que el bosque se encuentra en una etapa de crecimiento (Imaña, Antunes y Imaña, 2011). Así mismo, dicha distribución indica procesos de regeneración en el reemplazo de árboles que fueron eliminados por los tratamientos silvícolas aplicados anteriormente (Imaña, Antunes y Imaña, 2011; Juárez y Saragos, 2015; Esparza-Olguín, Vargas-Contreras, Martínez-Romero y Escalona-Segura, 2019). La distribución de individuos en forma de J invertida es característica de especies tolerantes a la sombra y de rodales manejados con el MMOBI (Hernández, 2007).

Biomasa y carbono aéreo por especies en los diferentes sistemas de manejo forestal y el BNM
En el BNM los contenidos de biomasa y carbono más altos se obtuvieron para las especies de P. patula en Santiago Comaltepec y otras latifoliadas en Santiago Xiacuí. En el MMOBI los contenidos de biomasa y carbono más altos fueron para las especies P. patula (Santiago Xiacuí) y P. pseudostrobus (Santiago Comaltepec); en el MDS los mayores contenidos de biomasa y carbono fueron para las especies P. patula en ambas comunidades. Las especies Q. crassifolia, Q. laurina, Q. rugosa y C. mexicana presentaron valores intermedios respecto a las demás especies de los rodales de BNM y los manejados con el MDS y el MMOBI (Fig. 3).

La mayor cantidad de biomasa y carbono en los tres sistemas evaluados está concentrada en pocas especies, 50% en tres de ellas (P. patula, P. pseudostrobus y Q. lauriana), dicha tendencia en ambas comunidades se debió a que son los árboles de mayor talla y abundancia por unidad de superficie (Fig. 3). Las clases diamétricas mayores a 70 cm fueron dominadas por el género Pinus y Quercus, en esta categoría diamétrica se concentró la mayor cantidad de biomasa y carbono, aun cuando representa menos de 5% del total de árboles.
Los árboles de diámetros y alturas menores fueron importantes en cuanto al almacenamiento de carbono debido a su densidad arbórea. Por ejemplo, la especie C. mexicana en el bosque manejado con el MMOBI en Santiago Comaltepec representó una densidad arbórea de 12%, T. mexicana en el bosque Santiago Xiacuí con el MMOBI representa 5% del total de biomasa y carbono. Así mismo, en Santiago Xiacuí el grupo de otras latifoliadas presentó una densidad más alta (213 árboles ha-1), así como 11% del total de biomasa y carbono. Estas especies en ocasiones son aprovechadas comercialmente como leña y materia prima para artesanías, sin embargo, representan un potencial para almacenar carbono, la especie F. uhdei es una especie longeva, por ello, una medida de conservación de las especies latifoliadas en zonas de aprovechamiento intensivo puede ser que una vez que las especies de pino alcancen mayor Dn (de 10 cm a 50 cm) estas se combinen con especies latifoliadas que no representen competencia para su crecimiento (Hernández, 2007).
En los rodales tratados con el MDS en Santiago Comaltepec, la especie de mayor importancia ecológica fue P. patula (37%), la cual también resultó ser la especie con mayor cantidad de biomasa y carbono almacenado, mientras que en el MMOBI, la especie C. mexicana fue la más importante ecológicamente (19%), pero no fue la de mayor cantidad de biomasa y carbono al presentar 12% del total. En Santiago Xiacuí, el grupo de otras latifoliadas fue el más importante ecológicamente en el MDS y el MMOBI, pero no en términos de biomasa y carbono (24%), puesto que estuvieron por debajo del P. patula, y Q. lauriana con 26% de la biomasa y carbono con 13% de importancia ecológica (Tabla 1).
Existen diferencias en el número de especies e individuos en los bosques manejados y no manejados, en el MMOBI de Santiago Xiacuí dominan las especies de Quercus y otras latifoliadas, que se caracterizan por ser tolerantes a la sombra (Jardel, 2015b), condición que se presenta en los pequeños claros. En el MDS en Santiago Comaltepec y Santiago Xiacuí dominó el P. patula, porque es la especie de mayor interés comercial. En el BNM de Santiago Comaltepec y Santiago Xiacuí dominaron el P. patula, Q. rugosa, Q. lauriana y P. pseudostrobus, esto se debe a que algunas áreas están proyectadas como zona de reserva comercial, las cuales podrán ser aprovechadas maderablemente en futuros ciclos de corta.
El mayor o menor almacenamiento de carbono en un bosque manejado está en función de la acumulación de la biomasa, de modo que cualquier actividad debería ser analizada con base en estrategias que incrementen la biomasa ( Pimienta-De la Torre, Domínguez, Aguirre-Calderón, Javier-Hernández y Jiménez-Pérez, 2007). Los rodales tratados con el MMOBI tuvieron mayor diversi-dad de especies, esto contribuyó a que presentaran más carbono almacenado con respecto a los rodales tratados con el MDS, existe una relación positiva entre la diversidad arbórea y las reservas de carbono (Gamfeldt et al., 2013; Lecina-Díaz et al., 2018) (Fig. 3). Este resultado indica que se requiere de mayor atención sobre las estrategias y acciones de extracción de madera con la finalidad de no afectar su capacidad de almacenar carbono al reducir su diversidad. En el caso del bosque tratado con el MDS se sugiere la búsqueda de técnicas que incrementen la diversidad de especies, por ejemplo, disminución en la intensidad de podas, lo que fomentaría la diversidad y el posible aumento en la reserva de carbono.
Biomasa aérea y carbono almacenado en los bosques manejados y no manejados
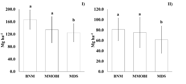
En Santiago Comaltepec, la biomasa aérea y el carbono almacenado no fueron significativamente diferentes (p ≥ 0.05) entre el BNM y el manejado con el MMOBI, sin embargo, sí existieron diferencias significativas (p < 0.05) en comparación con el manejado con el MDS (Fig. 4). En Santiago Xiacuí, la biomasa y el carbono almacenado fueron significativamente mayores (p < 0.05) en el BNM en comparación con los rodales tratados con el MMOBI y el MDS, entre estos últimos, la biomasa y el carbono no mostraron diferencias estadísticamente significativas (p ≥ 0.05) (Fig. 5).


Los bosques manejados con el MMOBI se asemejan, en biomasa y en contenido de carbono, al BNM (Bray y Merino, 2004; Müller et al., 2018; García-García, Narváez, Olivas y Hernández, 2019), lo cual le confiere mayor potencial para almacenar carbono con respecto a uno manejado con el MDS, esto debido a que los rodales tratados con el MMOBI concentraron la mayor cantidad de biomasa y carbono en la familia Fagácea y Pinácea que agruparon a las especies con dimensiones mayores en altura y volumen. Sin embargo, los bosques manejados con el MDS podrían presentar mayor producción maderable en comparación con el MMOBI, como fue el caso del bosque de Santiago Comaltepec, donde la especie dominante fue P. patula. La reducción en la extracción y venta de madera en el MMOBI se asocia a un manejo económicamente no viable, por lo que si se pretende conservar este tipo de manejo es necesario beneficiar a las comunidades con apoyos por brindar servicios ecosistémicos o mediante la obtención de productos del bosque.
La variación de la biomasa y carbono entre el BNM y el tratado con el MDS se debe a que el BNM presentó mayor densidad arbórea, en Santiago Xiacuí se obtuvieron 872 árboles ha-1, en comparación con el MDS con 838 árboles ha-1. En Santiago Comaltepec, la densidad arbórea fue menor en el BNM respecto a los rodales manejados con el MDS y el MMOBI, sin embargo, la talla de los individuos muestreados en el BNM fue mayor. Una causa probable de estas diferencias son los tratamientos silvícolas aplicados en los programas de manejo autorizados a partir de los años 90 y la extracción maderable ejecutada por empresas paraestatales a partir de los años 50 y 60 del siglo XX en la zona de estudio (Ortega-Ponce, 2004; Roldán-Félix, 2014).
Los contenidos de biomasa y carbono arbóreo estimados en el presente trabajo se encontraron dentro de los intervalos reportados en la literatura nacional para bos-ques templados (Figueroa-Navarro, Ángeles-Pérez, Veláz-quez-Martínez y De los Santos-Posadas, 2010; Razo-Zárate, Gordillo-Martínez, Rodríguez-Laguna, Maycotte-Morales y Acevedo-Sandoval, 2013; Buendía-Rodríguez, Treviño-Garza, Aguirre-Calderón, Alanís y Acosta-Mireles, 2015; Ordoñez-Díaz et al., 2015; Chávez-Pascual, Rodríguez-Ortiz, Enríquez-del Valle, Velasco-Velasco y Gómez-Cárdenas, 2017). Algunos autores como Soriano-Luna et al. (2018) y Pacheco-Aquino et al. (2015), afirman que los bosques manejados tienen potencial para producir biomasa y fijar carbono sin dejar atrás la producción y venta de madera, actividad económica fundamental para la economía de las comunidades indígenas de la región. Sin embargo, como se muestra en este trabajo, es necesario determinar qué tipo de manejo, o que modificaciones serían necesarias para cada uno de ellos, para que así las comunidades vean un beneficio tanto económico como de preservación de recursos y servicios ambientales.
La variabilidad de la biomasa y carbono arbóreo en ambos sistemas de manejo se relacionó con la densidad, diversidad arbórea y el tamaño de los árboles (diámetros y alturas totales). La UMM con el contenido de biomasa más bajo se localizó en Santiago Comaltepec en el MMOBI (24.5 Mg ha-1), tuvo una densidad arbórea de 380 árboles ha-1, y solo tres especies arbóreas diferentes, P. patula, P. rudis y Q. rugosa. El tratamiento silvícola que reportó la menor cantidad de biomasa y carbono fue aquel donde se realiza la corta de regeneración de tala rasa en franjas (MDS) en Santiago Comaltepec, los árboles inventariados mostraron un Dn promedio de 12 cm y At promedio de 11 m, lo que indica que el arbolado está en la categoría diamétrica inicial. El mayor contenido de biomasa arbórea correspondió al BNM de Santiago Xiacuí (461.2 Mg ha-1) con 858 árboles por hectárea y ocho especies arbóreas (P. patula, P. pseudostrobus, Q. laurina, C. mexicana, O. xalapensis, T. mexicana, las más abundantes) y el grupo “otras latifoliadas”. Un aspecto importante para los altos contenidos de biomasa y carbono fue la talla de los árboles de P. pseudostrobus y Q. laurina con Dn de 7.5 cm a 119.0 cm y alturas de hasta 50 m, pues se sabe que, al aumentar las dimensiones y edad de los árboles, la cantidad de biomasa y carbono se incrementa (Soriano-Luna, Ángeles-Pérez, Martínez-Trinidad, Plascencia-Escalante y Razo-Zárate, 2015). En términos de producción forestal maderable, el MDS de Santiago Comaltepec y Santiago Xiacuí presentó más de la mitad de la biomasa y el car-bono en la familia Pinácea, esto lo hace más importante en términos de extracción maderable, sin embargo, actualmente los servicios ecosistémicos que provee el bosque son tan importantes como los productos maderables, por tal motivo, el manejo forestal deberá contemplar estrategias que mantengan al bosque sano, diverso y productivo (Cortés-Montaño, Vargas y Jardel, 2013; Aguirre-Calderón, 2015).
El valor de la incertidumbre al calcular la biomasa en el BNM de Santiago Comaltepec fue de ± 16.7%, en el MMOBI ± 11.2% y en el MDS ± 18.5%. Mientras que en el cálculo del carbono fue de ± 16.7%, ± 10.9% y ± 16.4% para BNM, MMOBI y MDS respectivamente. Para el caso de los bosques en Santiago Xiacuí, la incertidumbre para el cálculo de la biomasa fue ± 11.5%, ± 14.2% y ± 8.8%, para BNM, MMOBI y MDS respectivamente, para el carbono en el BNM ± 11.6%, MMOBI ± 14.3% y MDS ± 8.7%.
La cuantificación de la incertidumbre asociada en las estimaciones de carbono es un indicador de la precisión de los datos (Kauffman, Donato y Adame, 2013), así, la incertidumbre más baja fue en el cálculo de biomasa y carbono de los rodales manejados con el MDS de Santiago Xiacuí, en cambio, el mismo sistema en Santiago Comal-tepec presentó los valores más altos, lo cual se debe a los errores aleatorios así como a la imprecisión instrumental utilizada en el muestreo; tamaño y cantidad de parcelas medidas; y a los errores en la conversión de la medición del árbol en biomasa con los modelos alométricos (Mora, Romijn y Herold, 2016). Sin embargo, los valores de incertidumbre reportados en este trabajo se encuentran dentro del intervalo documentado para la biomasa y carbono aéreo de un bosque templado en México y un bosque templado colombiano (Vásquez y Arellano, 2012; Soriano-Luna et al., 2018). Las estimaciones de la incertidumbre es un elemento esencial de un inventario de emisiones de gases de efecto invernadero (GEI), la cual pretende contribuir para mejorar la exactitud de los inventarios en el futuro y orientar las decisiones sobre la elección de metodologías para estimar las emisiones de GEI (IPCC, 2006b).
Conclusiones
Los bosques manejados con el Método Mexicano de Ordenación de Bosques Irregulares (MMOBI) tienen potencial de almacenamiento de carbono mayor que los manejados con el Método de Desarrollo Silvícola (MDS), debido a que conserva en mayor medida las características de diversidad y densidad originales del bosque no manejado. Las especies arbóreas de P. patula, P. pseudostrobus y Q. laurina son las más relevantes en términos de contenido de biomasa y carbono almacenado en su parte aérea. Las estimaciones de los reservorios de carbono de los bosques manejados, aunque presentan limitaciones al considerar únicamente el estrato arbóreo aéreo, pueden servir como línea base para gestionar incentivos financieros para la conservación del bosque, por captura y almacén de carbono en el mercado nacional e internacional, sin dejar la producción de madera actual.
Referencias
Acosta-Mireles, M., Carrillo-Anzures, F., & Díaz-Lavariega, M. (2009). Determinación del carbono total en bosques mixtos de Pinus patula Schl. et cham. Terra Latinoamericana, 27(2), 105-114.
Aguirre-Calderón, O. A. (2015). Manejo Forestal en el Siglo XXI. Madera y Bosques, 21(Especial), 17-28. doi: 10.21829/myb.2015.210423
Aldape-López, C. T., & Santos-Moreno, A. (2016). Efecto del manejo forestal en la herpetofauna de un bosque templado del occidente de Oaxaca, México. Biología Tropical, 64(3), 931-943. doi: 10.15517/rbt.v64i3.21525
Ali, F., Khan, N., Ahmad, A., & Khan, A. (2019). Structure and biomass carbon of Olea ferruginea forests in the foot hills of Malakand division, Hindukush range mountains of Pakistan. Acta Ecologica Sinica, 39, 261-266. doi: 10.1016/j.chnaes.2019.05.011
Barlett, M. S. (1937). Properties of sufficiency and statistical tests. En M. S. Barlett (Eds.), Proceedings of the Royal Society of London (pp.268-282). Serie A. Mathematical and Physical Sciences Vol 160, No. 901.
Bray, D. B., Merino, L., & Barry, D. (2007). El manejo comunitario en sentido estricto: las empresas forestales comunitarias de México. En B. D. Bray , L. Merino, & D. Barry (Eds.), Los bosques comunitarios de México. Manejo sustentable de paisajes forestales (pp. 21-49), México, D.F.
Bray, D. B., & Merino, L. (2004). La experiencia de las comunidades forestales en México, Veinticinco años de silvicultura y construcción de empresas forestales comunitarias (1ª ed.). México D.F. Instituto Nacional de Ecología (Ine-Semarnat).
Buendía-Rodríguez, E., Treviño-Garza, E., Aguirre-Calderón, O. A., Alanís, R. E., & Acosta-Mireles, M. (2015). Contenido de carbono en dos masas forestales con diferente historial de uso. En G. J. C. Wong, & P. F. Paz (Eds.), VI Simposio Internacional del Carbono en México. Programa Mexicano de Carbono. 73-78. Villahermosa, Tabasco: Programa Mexicano de Carbón.
Castillo-López, A., Hernández, I., Vásquez, M., Herrera, M., Melchor, V., & de la Cruz, M. (2017). Programa de manejo forestal para el aprovechamiento de recursos forestales maderables nivel avanzado. Santiago Comaltepec, Oaxaca.
Chávez-Pascual, E., Rodríguez-Ortiz, G., Enríquez-del Valle, J., Velasco-Velasco, V., & Gómez-Cárdenas, M. (2017). Compartimentos de biomasa aérea en rodales de Pinus oaxa-cana bajo tratamientos silvícolas. Madera y Bosques, 23(3), 147-161. doi: 10.21829/myb.2017.2331627
Comisión Nacional Forestal [Conafor]. (2008). Fichas técnicas sobre características tecnológicas y usos de maderas comercializadas en México. Tomo II. Zapopan, Jalisco, México.
Cortés-Montaño, C., Vargas, S., & Jardel, E., (2013). Guía para identificar altos valores de conservación en ecosistemas forestales de México. México: Rainforest Alliance México-Alianza para Bosques, A.C. (RA).
Curtis, T., & McIntosh, P. (1951). An Upland Forest Continuum in the Prairie-Forest Border Region of Wisconsin. Ecology, 32(3), 476-496. doi: 10.2307/1931725
De Jong, B., Cairns, M., Haggerty, P., Ramírez, M., Ochoa, G., Mendoza, V., González, E., & March, M. (1999). Land-use change and carbon flux between 1970s and 1990s in the central highlands of Chiapas, México. Environmental Management, 23(3), 373-385. doi: 10.1007/ s002679900193
Díaz-Franco, R., Acosta-Mireles, M., Carrillo-Anzures, F., Buen-día-Rodríguez, E., Flores-Ayala, E., & Etchevers, J. (2007). Determinación de ecuaciones alométricas para estimar bio-masa y carbono en Pinus patula Schl. et cham. Madera y Bosques, 3(01). 25-34. doi: 10.21829 / myb.2007.1311233
Durán, E., Mas, J. F., & Velázquez, A. (2005). Land use/cover change in community-based forest management regions and protected areas in Mexico. En D. B. L. Bray, P. Merino & D. Barry (Eds.), The Community Forests of Mexico: Managing for Sustainable Landscapes (pp. 215-238). University of Texas Press. Austin, TX, USA.
Esparza-Olguín, L., Vargas-Contreras, J., Martínez-Romero, E., & Escalona-Segura, G. (2019). Diversidad y biomasa de la selva circundante al Volcán de los Murciélagos, en Campeche, México. Ecosistemas y Recursos Agropecuarios, 6(16), 79-90. doi: 10.19136/era.a6n16.1986
Figueroa-Navarro, C., Ángeles-Pérez, G., Velázquez-Martínez, A., & De los Santos-Posadas, H. M. (2010). Estimación de la biomasa en un bosque bajo manejo de Pinus patula Schltdl. et Cham. en Zacualtipán, Hidalgo. Revista Mexicana de Ciencias Forestales, 1(1), 105-112. doi: 10.29298/rmcf. v1i1.658
Flores-Nieves, P., López-López, M., Ángeles-Pérez, G., Isla-Serrano, M., & Calva-Vásquez, G. (2011). Modelos para estimación y distribución de biomasa de Abies religiosa (Kunth) Schltdl. et Cham. En proceso de declinación. Revista mexicana de Ciencias Forestales, 2(8), 9-20.
Fuentes, M. (1998). Propiedades tecnológicas de las maderas mexicanas de importancia en la construcción. Revista Chapingo Serie Ciencias Forestales y del Ambiente, 4(1), 221-229.
Gamfeldt, L., Snäll, T., Bagchi, R., Jonsson, M., Gustafsson, L., Kjellander, P., Ruiz-Jaen, M., Fröberg, M., Stendahl, J., Philipson, C., Mikusiński, G., Andersson, E., Westerlund, B., Andre´n, H., Moberg, F., Moen, J., & Bengtsson, J. (2013). Higher levels of multiple ecosystem services are found in forests with more tree species. Nature Communications, 4(1). doi: 10.1038/ncomms2328
García-García, S., Narváez, R., Olivas, J., & Hernández, J. (2019). Diversidad y estructura vertical del bosque de pino-encino en Guadalupe y Calvo, Chihuahua. Revista Mexicana de Ciencias Forestales, 10(53), 41-63. doi: 10.29298/rmcf.v10i53.173
Gayoso, J., & J, Guerra. (2005). Contenido de carbono en la bio-masa aérea de bosques nativos en Chile. Bosque, 26(2), 33-38. doi.org/10.4067/S0717-92002005000200005
Gorgonio-Ramírez, M., Clark-Tapia, R., Campos, J. E., Mon-salvo-Reyes, A., & Alfonso Corrado, C. (2017). Diversidad y estructura genética de Quercus crassifolia en sitios de manejo forestal y uso local en Sierra Juárez, Oaxaca. Madera y Bosques, 23(2), 85-98. doi: 10.21829/ myb.2017.2321122
Goslee, K., Walker, S., Grais, A., Murray, L., Casarim, F., & Brown, S., (2014). Leaf technical guidance series for the development of a forest carbon monitoring system for REDD+. Module C-CS: Calculations for Estimating Carbon Stocks. Winrock International.
Grupo Intergubernamental de Expertos sobre el Cambio Climático, US [IPCC]. (2006). Guidelines for national green-house gas inventories. Volume 4 Agriculture, forestry and other land use. Recuperado de http://www.ipcc-nggip.iges.or.jp/public/2006gl/index.html.
Grupo Intergubernamental de Expertos sobre el Cambio Climá-tico, US [IPCC]. (2006). La cuantificación de las incerti-dumbres en la práctica. En Orientación del IPCC sobre las buenas prácticas y la gestión de la incertidumbre en los inventarios nacionales de gases de efecto invernadero (pp. 6.1-6.35). Recuperado de https://www.ipcc-nggip.iges.or. jp/public/gp/spanish/gpgaum_es.html.
Hammer, O., Harper, D., & Ryan, P. (2001). PAST: paleontological statistics software package for education and data analysis. Palaeontologia Electronica, 4(1), 1-9.
Hernández-Díaz, J. C., Corral-Rivas, J. J., Quiñones-Chávez, A., Bacon-Sobbe, J. R., & Vargas-Larreta, B. (2008). Evaluación del manejo forestal regular e irregular en bosques de la Sierra Madre Occidental. Madera y Bosques, 14(3), 25-41. doi: 10.21829/myb.2008.1431205
Hernández, I. (2007). Cambios en la estructura y composición del bosque bajo dos tratamientos silviculturales en la Comunidad de Capulálpam de Méndez, Ixtlán, Oaxaca, México. Tesis de maestría, Centro Agronómico Tropical de Investigación y Enseñanza, Turrialba, Costa Rica.
Houghton, R., (2005). Aboveground Forest Biomass and the Global Carbon Balance. Global Change Biology, 11(6), 945-958. doi: 10.1111/j.1365-2486.2005.00955.x.
Imaña, J., Antunes, O., & Imaña, C. (2011). Estructura diamétrica de un fragmento del bosque tropical seco de la región del Eco-Museo del Cerrado, Brasil. Colombia Forestal, 14, 23-30. doi: 10.14483/udistrital.jour.colomb.for.2011.1.a02
Instituto Nacional de Estadística y Geografía [Inegi]. (2018). Base de datos geográf icos. Diccionario de datos de uso del suelo y vegetación (vectorial). Escala 1:250,000 (Serie VI). Instituto Nacional de Estadística, Geografía e Informática. Aguascalientes, México.
Jardel, E. (2015a). Guía para la caracterización y clasificación de hábitats forestales. (1ª ed.). México: Comisión Nacional Forestal.
Jardel, E. (2015b). Criterios para la conservación de la biodiversidad en los programas de manejo forestal (1ª ed.). México: Comisión Nacional Forestal.
Jiménez-Pérez, J., Aguirre-Calderón, O. A., & Yarena-Yamallel, J. (2013). Catálogo de contenido de carbono en especies forestales de tipo arbóreo del noreste de México. Comisión Nacional Forestal [Conafor]. Zapopan, Jalisco, México.
Juárez-García, A., & Saragos-Méndez, J., (2015). Estructura diamétrica de árboles en potreros de la región Bajo Mixe, Oaxaca. Teoría y Praxis, (18), 131-151. doi: 10.22403/ uqroomx/typ18/05
Kauffman, J. B., Donato, D. C., & Adame, M. F. (2013). Protocolo para la medición, monitoreo y reporte de la estructura, biomasa y reservas de carbono de los manglares. Documento de Trabajo 117. Bogor, Indonesia: CIFOR.
Kurz, W. A., Birdsey, R., Mascorro, V., Greenberg, D., Dai, Z., Olguín, M., & Colditz, R. (2016). Modelización y evaluación integradas de la dinámica del carbono forestal en América del Norte: herramientas para monitorear, registrar en informes y proyectar emisiones y remociones de gases de efecto invernadero en el sector forestal. Comisión para la Cooperación Ambiental, Montreal, 24 p.
Lecina-Diaz, J., Álvarez, A., Regos, A., Drapeu, P., Paquette, A., Messier, C., & Retana, J. (2018). The positive carbon stocks - biodiversity relationship in forests: cooccurrence and drivers across five sub-climates. Ecological Applica-tions, 28(6). doi: 10.1002/eap.1749
Liu, X., Trogisch, S., He, J., Niklaus, P., Bruelhaide, H., Tang, Z., Erfmeier, A., Scherer-Lorenzen, M., Pietsch, K., Yang, B., Kühn, P., Scholten, T., Huang, Y., Wang, C., Staab, M., Leppert, K., Wirth, C., Schmid, B., & Ma, K. (2018). Tree species richness increases ecosystem carbon storage in sub-tropical forests. Proceedings of the Royal Society B: Biological Sciences, 285(1885), 20181240. doi:10.1098/ rspb.2018.1240
López-Hernández, J. A., Aguirre-Calderón, O., Alanis-Rodrí-guez, E., Monárrez-González, J., González-Tagle, M., & Jiménez-Pérez, J., (2017). Composición y diversidad de especies forestales en bosques templados de Puebla, México. Madera y Bosques, 23 (1), 39-51. doi: 10.21829/ myb.2017.2311518
Luna-Bautista, L., Hernández-de la Rosa, P., Velázquez-Martínez, A., Gómez-Guerrero, A., & Acosta-Mireles, M. (2015). Understory in the composition and diversity of managed forest areas in Santa Catarina Ixtepeji, Oaxaca. Revista Chapingo Serie Ciencias Forestales y del Ambiente, 21(1), 109-121. doi: 10.5154/r.rchscfa.2014.08.037
Manzano-Méndez, F., Sandoval, R., & Rosas, F., (2016). Programa de manejo forestal para el aprovechamiento de recursos forestales maderables nivel avanzado. Santiago Xiacuí, Oaxaca.
Martínez-Orellana, L. I. (2016). Estimación de carbono forestal para Quercus sp. en parcelas permanentes de monitoreo en la reserva biológica Uyuca, Honduras. Tesis de ingeniería, Escuela Agrícola Panamericana. Zamorano, Honduras.
Masera, O., Cerón, A., & Ordóñez, A. (2001). Forestry mitigation options for Mexico: finding synergies between national sustainable development priorities and global concerns. Mitigation Adaptation Strategies Global Change, 6, 291-312. doi: 10.1023/A:1013327019175
Monárrez-González, J. C., Pérez-Verdín, G., López-González, C., Márquez-Linares, M. A., & González-Elizondo, M. S. (2018). Efecto del manejo forestal sobre algunos servicios ecosistémicos en los bosques templados de México. Madera y Bosques, 24(2). E2421569. doi: 10.21829/ myb.2018.2421569
Mora, B., Romijn, E., & Herold, M. (2016). Monitoring progress towards sustainable development goals - the role of land monitoring. 5thGEOSS Science and technology stake-holder workshop linking the sustainable development goals to earth observations, models and capacity building. Berkeley, California, United States. doi: 10.13140/ RG.2.2.22013.77284
Müller, J., Boch, S., Prati, D., Socher, S., Pommer, U., Hessen-möller, D., Schall, P., Schulze, E., & Fischer, M. (2019). Effects of forest management on bryophyte species richness in Central European forests. Forest Ecology and Management, 432, 850-859. doi: 10.1016/j.foreco.2018.10.019
Nájera, J. A.; García, P. 2009. Propiedades físicas de la madera de Juniperus deppeana y Arbustus xalapensis de la región del Salto Durango. TecnoINTELECTO Instituto Tecnológico de Ciudad Victoria 6(1), 37-41.
Ordóñez-Díaz, A., De Jong, B., García, F., Aviña, F., Pérez, J., Guerrero, G., Martínez, R., & Masera, O. (2008). Carbon content in vegetation, litter, and soil under 10 different land-use and land-cover classes in the Central Highlands of Michoacán, México. Forest Ecology and Management, 255(7), 2074-2084. doi: 10.1016/j.foreco.2007.12.024
Ordóñez-Díaz, J. A., Galicia, A., Venegas, N., Hernández, T., Ordóñez-Díaz, M., & Dávalos, R. (2015). Densidad de las maderas mexicanas por tipo de vegetación con base en la clasificación de J. Rzedowski: compilación. Madera y Bosques, 21(Especial), 77-126. doi: 10.21829/ myb.2015.210428
Ortega-Ponce, L. (2004). Las comunidades indígenas forestales de la Sierra de Juárez Oaxaca, México. Estudio de caso sobre innovación participativa. En M. Córdoba, M. Gottret, T. López, A. Montes, L. Ortega, & S. Perry (Eds.), Innovación participativa: experiencias con pequeños productores agrícolas en seis países de América Latina (pp. 57-66). Santiago de Chile: Naciones Unidas.
Pacheco-Aquino, G. (2014) Análisis del carbono forestal en la comunidad de Ixtlán de Juárez y el potencial para que ésta reciba incentivos por carbono. Tesis de maestría, Centro Interdisciplinario de Investigación para el Desarrollo Integral Regional Unidad Oaxaca. Oaxaca de Juárez, Oaxaca.
Pacheco-Aquino, G., Durán-Medina, E., & Ordóñez-Díaz, J. A. (2015). Estimación del carbono arbóreo en el área de manejo forestal de Ixtlán de Juárez, Oaxaca, México. Revista Mexicana de Ciencias Forestales, 6(29), 126-145. doi: 10.29298/rmcf.v6i29.221
Palacio-Prieto, J. L., Bocco, G., Velázquez, A., Mas, J. F., Takaki, F., Victoria, A., Luna, L., Gómez, G., López, J., Palma, M., Trejo, I., Peralta, A., Prado, M., Rodríguez, A., Mayorga, R., & González, F. (2000). La condición actual de los recursos forestales en México: resultados del Inventario Forestal Nacional. 2000. Investigaciones Geográficas, Boletín del Instituto de Geografía, UNAM,43, 183-203
Patrick, R. (1982) An extension of Shapiro and Wilk's W test for normality to large samples. Applied Statistics, 31, 115- 124. doi: 10.2307/2347973
Pimienta-De la Torre, D. J., Domínguez, G., Aguirre-Calderón, O., Javier-Hernández, F., & Jiménez-Pérez, J. (2007). Estimación de biomasa y contenido de carbono de Pinus cooperi Blanco, en Pueblo Nuevo, Durango. Madera y Bosques, 13(1), 35-46. doi: 10.21829/myb.2007.1311234
Razo-Zárate, R., Gordillo-Martínez, A., Rodríguez-Laguna, R., Maycotte-Morales, C., & Acevedo-Sandoval, O. (2013). Estimación de biomasa y carbono almacenado en árboles de oyamel afectados por el fuego en el Parque nacional “El Chico”, Hidalgo, México. Madera y Bosques, 19(2), 73-86. doi: 10.21829/myb.2013.192341
R Core Team. (2019) R: A language and environment for statistical computing. R Foundation for Statistical Computing. Vienna, Austria. Recuperado de https://www.R-project.org/
Ríos-Altamirano, A., Alfonso-Corrado, C., Aguirre-Hidalgo, V., Ángeles-Pérez, G., Mendoza-Díaz, M., Roldán-Félix, E., & Clark-Tapia, R. (2016). Abundancia y distribución del género Pinus en Capulálpam de Méndez, Sierra Juárez, Oaxaca. Madera y Bosques, 22(3), 61-74. doi: 10.21829/myb.2016.2231457
Roldán-Félix, E. (2014). Experiencias comunitarias de manejo forestal en bosques templados. Seminario Internacional de Manejo Forestal Sustentable: Experiencias y perspectivas para México. Comisión Nacional Forestal [Conafor] y FAO (Food and Agriculture Organization). Ciudad de México, México. Recuperado de https://coin.fao.org/coinstatic/cms/media
SAS Institute Inc. (2004). SAS/STAT 9.1 User's guide. Cary, NC USA.
Soriano-Luna, M. A., Ángeles-Pérez, G., Martínez-Trinidad, T., Plas-cencia-Escalante, F., & Razo-Zárate, R. (2015). Estimación de biomasa aérea por componente estructural en Zacualtipán, Hidalgo, México. Agrociencia, 49(4), 423-438.
Soriano-Luna, M. A., Ángeles-Pérez, G., Guevara, M., Birdsey, R., Pan, Y., Vaquera-Huerta., Valdez-Lazalde, J. R., Johnson, K., & Vargas, R. (2018). Determinants of Above-Ground Biomass and Its Spatial Variability in a Temperate Forest Managed for Timber Production. Forests, 9(8), 490. doi: 10.3390/f9080490
Unión de Comunidades Productoras Forestales Zapotecos-Chinantecos [Uzachi]. (2003a). Programa de manejo forestal para el aprovechamiento maderable persistente de la comunidad de Santiago Xiacuí, Ixtlán, Oaxaca. Uzachi.
Unión de Comunidades Productoras Forestales Zapotecos-Chinantecos [Uzachi]. (2003b). Programa de manejo forestal para el aprovechamiento maderable persistente de la comunidad de Santiago Comaltepec, Ixtlán, Oaxaca. Uzachi.
Unión de Comunidades Productoras Forestales Zapotecos-Chinantecos [Uzachi]. (2014). Desarrollo de protocolos para el monitoreo comunitario participativo (MCP) de los acervos de carbono y cobeneficio ambientales en la Unión de Comunidades Productoras Forestales Zapotecos-Chinantecos de la Sierra Juá-rez de R. I. Oaxaca, México: Alianza México Redd+; Usaid.
Vargas-Larreta, B. (2013). Manual de mejores prácticas de manejo forestal para la conservación de la biodiversidad en ecosistemas templados de la región norte de México. México, D.F. Comisión Nacional Forestal/Programa de las Naciones Unidas para el Desarrollo.
Vargas-Larreta, B., Corral-Rivas, J. J., Aguirre-Calderón, O. A., López-Martínez J. O., De los Santos-Posadas, H. M., Zamudio-Sánchez, F. J., Treviño-Garza, E., Martínez-Salvados, M., & Aguirre-Calderón, C. G. (2017). SiBiFor: Forest Biometric System for forest management in Mexico. Revista Chapingo Serie Ciencias Forestales, 23(3). doi: 10.5154/r.rchscfa.2017.06.040
Vásquez-Cortez, V., Clark-Tapia, R., Manzano-Méndez, F., González-Adame, G., & Aguirre-Hidalgo, V. (2018). Estructura, composición y diversidad arbórea y arbustiva en tres condiciones de manejo forestal de Ixtlán de Juárez, Oaxaca. Madera y Bosques, 24(3), e2431649. doi: 10.21829/myb.2018.2431649
Yerena-Yamallel, J., Jiménez-Pérez, J., Aguirre-Calderón, O. A., &Treviño-Garza, E. J. (2012). Contenido de carbono total en los componentes de especies arbóreas y arbustivas en áreas con diferente uso, en el matorral espinoso tamauli-peco, en México. Bosques, 33(2), 145-152. doi: 10.4067/ S0717-92002012000200004
Yerena-Yamallel, J., Jiménez-Pérez, J., Aguirre-Calderón, O. A., Treviño-Garza, E. J., & Alanís-Rodríguez, E. (2012). Concentración de carbono en el fuste de 21 especies de coníferas del noreste de México. Revista Mexicana de Ciencias Forestales, 3(13), 51-56. doi: 10.29298/rmcf.v3i13.488
Notas de autor
*Autor para correspondencia: mfponce@correo.xoc.uam.mx