Artículos científicos
Cambio de uso de suelo y fragmentación del paisaje en el centro de Veracruz, México (1989 - 2015)
Land-use change and landscape fragmentation in central Veracruz, Mexico (1989-2015)
Cambio de uso de suelo y fragmentación del paisaje en el centro de Veracruz, México (1989 - 2015)
Madera y bosques, vol. 28, núm. 1, e2812294, 2022
Instituto de Ecología A.C.
Recepción: 28 Noviembre 2020
Aprobación: 29 Agosto 2021
Publicación: 24 Febrero 2022
Financiamiento
Fuente: Consejo Nacional de Ciencia y Tecnología
Nº de contrato: 165051
Resumen: La deforestación y fragmentación son consideradas amenazas para la biodiversidad. Ambos procesos tienen efectos negativos en la función y dinámica de los sistemas ecológicos a diferentes escalas espaciales y temporales. Se analizó el cambio de uso de suelo y la fragmentación del paisaje en la región central de Veracruz, México, para los años 1989, 2003 y 2015. Las clases de cobertura se obtuvieron de imágenes Landsat, mediante una clasificación supervisada. Se cuantificó el cambio y la pérdida de vegetación, y se evaluó la fragmentación mediante métricas del paisaje. De 1989 a 2015, la superficie de vegetación disminuyó 57%, con una tasa de cambio anual de cobertura de -2.15%. Entre 1989 y 2015, se registró una disminución en el tamaño medio del fragmento, el área interior total, el índice de contraste y la proximidad media. El número de fragmentos, la densidad de fragmentos y la longitud total del borde disminuyeron de 1989 a 2003, y posteriormente aumentaron en 2015. La zona de estudio muestra una tendencia a la homogeneización del paisaje, donde los fragmentos agropecuarios y la vegetación secundaria ocupan áreas cada vez más extensas. Reconocer los fragmentos de vegetación con mayor riesgo al cambio en el uso del suelo es clave para evaluar su efecto sobre la conservación de la biodiversidad y en los servicios ambientales que estos proporcionan; también permitiría definir políticas de conservación, que contribuyan a promover prácticas agrícolas y ganaderas sostenibles, en esta región de México.
Palabras clave: bosque mesófilo de montaña, cambio de uso de suelo, cultivos agroforestales, efectos de borde, índices de paisaje, río La Antigua..
Abstract: Deforestation and fragmentation are considered threats to biodiversity. Both processes have negative effects on the function and dynamics of ecological systems at different spatial and temporal scales. Land -use change and landscape fragmentation in the central region of Veracruz, Mexico, were analyzed for the years 1989, 2003, and 2015. Cover classes were obtained from Landsat images, using supervised classification. Vegetation change and loss were quantified, and fragmentation was evaluated using landscape metrics. From 1989 to 2015, the vegetation area decreased 57%, with an annual rate of land cover change of-2.15%. Between 1989 and 2015, there was a decrease in mean fragment size, total core area, contrast index, and mean proximity. The number of fragments, the fragment density, and the total edge length decreased from 1989 to 2003 and subsequently increased in 2015. The study area shows a tendency towards landscape homogenization, where agricultural fragments and secondary vegetation occupy increasingly large areas. Recognizing the vegetation fragments most at risk to land use change is key to assessing their effect on the conservation of biodiversity and the environmental services they provide; it would also make it possible to define conservation policies that help promote sustainable agricultural and livestock practices in this region of Mexico.
Keywords: mountain cloud forest, land-use change, agroforestry crops, edge effects, landscape indices, La Antigua river..
Introducción
El cambio en el uso del suelo es la actividad humana que genera mayor impacto en la vegetación forestal. Esta actividad se refleja en dos procesos, deforestación y fragmentación, con diversos efectos negativos en la estructura, función y dinámica de los sistemas ecológicos, a diferentes escalas espaciales y temporales (Armenteras et al., 2003; Didham, 2010). La deforestación influye en la estabilidad microclimática, la degradación del suelo, y aumenta los gases de efecto invernadero, entre otros (Rudel et al., 2005); mientras que la fragmentación, involucra la división progresiva de la superficie del hábitat, aumenta el aislamiento de las poblaciones e incrementa los efectos de borde (Fahrig, 2003).
Se estima que México tiene una de las tasas de deforestación más altas de América Latina, con una pérdida de vegetación anual de 1.9% (Cairns et al., 2000). Challenger et al. (2009) señalan que, de 1976 a 2002, se registró una pérdida de 50% de la vegetación primaria a escala nacional, la cual coincide con un incremento en la superficie de agricultura, pastizales y asentamientos humanos (Rosete-Vergés et al., 2014). A escala de cuenca, se estima que entre los años 1970 y 2009, 80% de las cuencas en México perdieron aproximadamente 20% de la vegetación primaria, en las restantes la vegetación primaria disminuyó cerca de 50% (Cuevas et al., 2010). Esta tendencia también se observa a escala estatal, particularmente en el estado de Veracruz, con 26% de la vegetación remanente, de los cuales 8.6% podría ser vegetación primaria (Elis y Martínez-Bello, 2010).
Veracruz ocupa el tercer lugar en biodiversidad del país (Ramamoorthy et al., 1993), se encuentra entre los nueve estados con mayor número de endemismos (Comisión Nacional para el Conocimiento y Uso de la Biodiversidad [Conabio], 1998). Además, la porción central montañosa del estado se caracteriza por la presencia de ecosistemas con alta diversidad y servicios ecosistémicos que proporcionan a sus habitantes y a las cuencas bajas de los ríos que en ellas nacen (Williams-Linera et al., 2007). Sin embargo, se ha señalado que la deforestación y fragmentación podrían afectar negativamente la diversidad florística de esta región de México (Williams-Linera et al., 2002).
La detección de cambios en las coberturas, mediante técnicas de procesamiento de imágenes satelitales multitemporales, permite contextualizar los procesos de pérdida, degradación y recuperación de la vegetación y tener una visión integral de las repercusiones ambientales y socioeconómicas relacionadas con dichos cambios (Cuevas et al., 2010). Además, proporciona información específica para las políticas y toma de decisiones en estrategias de planificación del uso del suelo a escalas local y regional (Zeleke y Hurni, 2001).
Objetivos
El objetivo de este estudio fue analizar el cambio del uso del suelo y la fragmentación del paisaje en el centro de Veracruz, México, en los últimos 26 años. En particular, se determinó el cambio de las coberturas y fragmentación del paisaje, en dos períodos (1989 a 2003 y 2003 a 2015).
Materiales y métodos
Área de estudio
El estudio se realizó en la zona central del estado de Veracruz, México, entre los meridianos 19° 34’ y 19° 09’ latitud norte y los paralelos 97° 16’ y 96° 40’ longitud oeste. Tiene una superficie de 2027 km2, que corresponden a las zonas alta y media de la Región Hidrológica Prioritaria 77 Río La Antigua (Arriaga-Cabrera et al., 1998) (Fig. 1). El clima predominante corresponde a cálido húmedo tropical (Awo), con una precipitación media anual de 1393 mm y temperatura media anual que oscila entre 18.7 °C y 25.2 °C (García, 2004). Las unidades edafológicas con mayor distribución son Feozem, Vertisol, Rendzina y Luvisol (Geissert et al., 1994). En esta cuenca se encuentran seis tipos de vegetación y usos de suelo: agricultura, pastizal inducido, bosque de encino, bosque de pino, selva baja caducifolia y selva mediana subcaducifolia (Instituto Nacional de Estadística y Geografía [Inegi], 2017). Esta región es importante por su agricultura, en ella se cultiva café, caña de azúcar, maíz, mango, entre otros; pero además es la fuente principal de agua de las ciudades de Xalapa y Coatepec.

Procesamiento de imágenes
Los datos de vegetación y uso de suelo se integraron y analizaron mediante imágenes Landsat 4 (TM, octubre de 1989), Landsat 7 (ETM, enero de 2003) y Landsat 8 (Oli Tirs, enero de 2015), obtenidas de Global Land Cover Facility con distorsiones geométricas y atmosféricas, que posteriormente fueron corregidas (Hantson et al., 2011). El proceso de correcciones atmosféricas se realizó con las opciones del plugin Complemento de Clasificación Semiautomática (SCP) de QGIS, que facilita la forma de trabajar con la composición RGB de las bandas y hacer reclasificaciones supervisadas. Se dispuso de los metadatos asociados a estas y se accedió a la sección preprocesamiento de SCP; se incorporaron las bandas de trabajo desde la pestaña específica de Landsat y, posteriormente, se indicó la ruta donde se encuentran las bandas y la ruta donde se encuentra el archivo de metadatos de Landsat. De este modo, se aplicaron las correcciones con el sistema de referencia WGS84 coordenadas UTM zona 14 N. La corrección geométrica se realizó mediante 200 puntos de verificación en campo. La información de apoyo consistió en un modelo de elevación digital generado a partir de curvas de nivel cada 15 metros, obtenidas del Inegi (2016). Además, se utilizaron mapas de uso del suelo y vegetación escala 1: 250 000, serie VI (Inegi, 2017).
Clasificación de imagen de satélite
Se realizó una clasificación supervisada de las imágenes de satélite de los años 1989, 2003 y 2015, con la finalidad de obtener la información espectral, mediante la estimación de máxima verosimilitud (Lillesand et al., 2015). En la clasificación de las coberturas de las escenas de 1989, se utilizaron 250 puntos de referencia de mapas de vegetación y uso del suelo del mismo año, escala 1:250000 (Inegi, 1989). La clasificación de 2003 se realizó con 250 puntos de referencia a partir de los mapas obtenidos por Muñoz-Villers y López-Blanco (2008). En la clasificación de 2015, la evaluación consistió en 300 puntos de verificación en campo definidos aleatoriamente, realizados durante marzo a abril de 2016, apoyados por imágenes de Google Earth®.
Se emplearon los sistemas de clasificación de Inegi (1993) para la conformación de la leyenda de las coberturas de uso de suelo y vegetación, con las siguientes clases: bosque de coníferas, bosque de pino-encino, bosque de encino, bosque mesófilo de montaña, selva mediana subcaducifolia, selva baja caducifolia, pastizal alpino, pastizal inducido, agricultura de temporal, cultivo de café a sol, cultivo de café bajo sombra, cultivos agroforestales, cultivo de caña, cuerpos de agua y asentamientos humanos. Las capas de información raster y vectoriales empleadas se unificaron en proyección Universal Tranversa de Mercator (UTM Zona 14), datum WGS84. El procesamiento digital se realizó en el programa QGIS (2017).
La validación de la precisión temática en la clasificación de las imágenes de 1989 y 2003 se realizó mediante 150 puntos de referencia basados en mapas de uso de suelo y vegetación de los mismos años, escala 1: 2500. En la imagen de 2015, se tomaron 300 puntos de referencia recolectados en campo. Con la finalidad de evitar sesgos, se aseguró que los puntos de referencia no coincidieran con los utilizados en la clasificación de las imágenes. Se elaboraron matrices de confusión, para comparar las coberturas identificadas en cada muestra (punto de referencia/cobertura) con las clasificadas de las imágenes de satélite.
Estimación del cambio de coberturas
Los cambios en las coberturas de los años 1989, 2003 y 2015 fueron analizados en el SIG ArcView versión 3.2; con la extensión Spatial Analyst 2.0. El cambio en las coberturas se estimó mediante una matriz de transición, con la finalidad de cuantificar la ganancia, pérdida y persistencia entre las coberturas analizadas (Pontius et al., 2004). Se calculó la tasa de cambio anual de las coberturas (r) propuesta por Puyravaud (2003), mediante la fórmula:
Donde:
A1 = superficie de la cobertura al inicio del período
A2 = superficie de la cobertura al final del período
t1 = año de inicio del intervalo analizado
t2 = año final.
Análisis de fragmentación
El análisis de fragmentación del paisaje se realizó considerando los métodos utilizados en diferentes estudios en regiones tropicales y templadas de América Latina (Echeverría et al., 2006; López-Barrera et al., 2014); incluyó el análisis del tamaño medio del fragmento (ha), el número y la densidad de fragmentos (número de fragmentos en 100 ha), la longitud total de borde (km), el área interior total (superficie del fragmento en hectáreas, excluyendo el borde de amortiguación de 100 m), el índice de proximidad medio (relación entre el tamaño y la proximidad de todos los fragmentos, cuyos bordes están dentro de un kilómetro del fragmento focal), el índice de agregación (porcentaje de adyacencias similares entre celdas del mismo tipo de fragmento) y el índice de contraste (CON). Este último mide el grado de afectación de un fragmento en relación con el uso del suelo y vegetación que lo rodea y describe el grado de disimilitud entre fragmentos a lo largo de su perímetro; varía entre 0 y 1, los valores cercanos a 1 representan mayor contraste entre el fragmento focal y el área circundante (McGarigal et al., 2005). De acuerdo con Ochoa-Gaona et al. (2004), los valores de contraste utilizados para cuantificar el CON fueron 0.75, cuando el área del fragmento de un tipo de vegetación estableció contacto con asentamientos humanos, zonas agrícolas y pecuarias; 0.50 cuando el borde del fragmento limitó con vegetación secundaria; 0.25 para fragmentos cuyos bordes colindaron con otro tipo de vegetación, y cero cuando una porción del borde del fragmento estaba en contacto con otro fragmento del mismo tipo de vegetación mejor conservado. La cuantificación de las métricas del paisaje se realizó con Fragstats v4.2.1 (McGarigal et al., 2012).
Resultados
Cambios en el paisaje
Las coberturas de vegetación y uso del suelo de los años 1989, 2003 y 2015 en la zona de estudio se muestran en la Figura 2. La precisión global de la clasificación de la imagen de 1989 fue de 71%; mientras que, en las imágenes de 2003 y 2015 fueron de 74% y 75%, respectivamente. En las imágenes de 1989 y 2003, los valores más bajos de exactitud del usuario (error de comisión) se obtuvieron en los cultivos agroforestales, pastizal alpino y pastizal inducido, debido a la dificultad en su clasificación (29%); como consecuencia, algunos de estos pixeles fueron clasificados en bosque mesófilo de montaña y selva mediana subcaducifolia (Anexo 1). También las coberturas de pastizal inducido y alpino presentaron algunos problemas de diferenciación (44% y 43% de exactitud de usuario, respectivamente), debido a que los píxeles de estas coberturas fueron clasificados en bosque mesófilo de montaña y bosque de coníferas (Anexo 2). En la imagen de 2015, las clases pertenecientes a selva mediana subcaducifolia y bosque de encino presentaron los valores más bajos de exactitud del usuario (38% y 43%, respectivamente), ya que, algunos de estos pixeles fueron clasificados en café bajo sombra (Anexo 3).

En cuanto a los valores obtenidos en las exactitudes del algoritmo en las matrices de error de las imágenes analizadas, se observó que las coberturas con los valores más bajos corresponden a cultivos de caña y café bajo sombra. En el caso de los cultivos de café, la mayor parte de los pixeles se ubicaron en el bosque de encino, cultivos agroforestales y selva mediana subcaducifolia. Mientras que los pixeles de los cultivos de caña se registraron en selva baja caducifolia y cultivos agroforestales.
El análisis de cambio de uso de suelo indica que de 1989 a 2003 y 2003 a 2015, la superficie de vegetación natural disminuyó y la de coberturas agropecuarias aumentó (Tabla 1). Entre los procesos de cambio de las coberturas naturales durante 1989 a 2003, se registró una marcada transformación en el bosque mesófilo de montaña, que fue reemplazado por café bajo sombra, cultivos agroforestales y pastizal inducido (pérdida de 10.23%). De la superficie correspondiente a selva baja caducifolia, 6.48% fue transformado a cultivos de caña de azúcar y pastizal inducido, principalmente; mientras que la selva mediana subcaducifolia fue sustituida por cultivos de café bajo sombra y caña de azúcar, con 3% de pérdida de superficie. Además, 1% de la superficie de bosque de coníferas y 1.2% de bosque de pino-encino fueron reemplazados por agricultura de temporal (Tabla 2).


Durante 2003 a 2015, 0.89% de selva mediana subcaducifolia fue sustituida principalmente por cultivos de café bajo sombra y caña de azúcar, 5.4% de la superficie del bosque mesófilo fue reemplazada por pastizal inducido, cultivos de café bajo sombra y agroforestales. Además, 4.1% de la superficie de selva baja caducifolia fue transformada en cultivos de caña de azúcar, agricultura de temporal y pastizal inducido, y 1.45% de la superficie de bosque de coníferas fue reemplazado principalmente por la agricultura de temporal (Tabla 3).

La mayor recuperación en las coberturas naturales de 1989 a 2003 se registró en el bosque de pino-encino, bosque mesófilo de montaña y selva baja caducifolia. De 2003 a 2015, la vegetación con mayor recuperación fue en el bosque de pino-encino, bosque mesófilo de montaña y bosque de coníferas; mientras que la recuperación más baja se observó en la selva baja subcaducifolia, el bosque de encino y selva baja caducifolia (Tabla 3).
Tasa de cambio anual de las coberturas
De 1989 a 2003, las tasas brutas anualizadas de cambio de cobertura en el área de estudio fueron de -2.68%; mientras que de 2003 a 2015, fueron de -1.54%. Los resultados indican que durante 1989 a 2003, el bosque mesófilo de montaña perdió superficie a una tasa anual de 3.05%; mientras que, la selva baja caducifolia, selva mediana subcaducifolia y bosque de encino disminuyen su superficie a una tasa de 3.6%, 6.5% y 7.3%, respectivamente. En cambio, los cultivos agroforestales, cultivos de caña de azúcar, café bajo sombra y pastizal inducido, registraron una ganancia de superficie durante este periodo (29%, 3.8%, 3% y 5.9%, respectivamente). De 2003 a 2015 destaca un incremento en la pérdida de cobertura de la selva baja caducifolia y mediana subcaducifolia, a una tasa de cambio anual de 6.6% y 11.5%, respectivamente. En las coberturas antrópicas se observó una disminución de la superficie en los cultivos agroforestales (3.5% anual). El caso contrario se presentó en los bosques de pino-encino, donde la tasa de cambio mostró un aumento significativo de 2.1% anual (Fig. 3).

Bosque mesófilo de montaña (Bmm), bosque de pino-encino (Bp-bq), bosque de coníferas (BC), bosque de encino (Bq), selva mediana subcaducifolia (Smsc), selva baja caducifolia (Sbc), pastizal alpino (Palp), cultivo de café a sol (Csol), cultivo de café a sombra (Csom), cultivos agroforestales (Agro), agricultura de temporal (At), cultivo de caña (Can), pastizal inducido (Pi), asentamientos humanos (Ah), recuperación total (Rec. total).
En negritas porcentaje de superficie que se mantiene sin cambio entre un año y otro (diagonal). Valores arriba de la diagonal indican las pérdidas en superficie y los valores debajo de la diagonal indican la ganancia Bosque mesófilo de montaña (Bmm), bosque de pino-encino (Bp-bq), bosque de coníferas (BC), bosque de encino (Bq), selva mediana subcaducifolia (Smsc), selva baja caducifolia (Sbc), pastizal alpino (Palp), cultivo de café a sol (Csol), cultivo de café a sombra (Csom), cultivos agroforestales (Agro), agricultura de temporal (At), cultivo de caña (Can), pastizal inducido (Pi), asentamientos humanos (Ah).
En negritas porcentaje de superficie que se mantiene sin cambio entre un año y otro (diagonal). Valores arriba de la diagonal indican las pérdidas en superficie y los valores debajo de la diagonal indican la ganancia.
Las barras arriba de cero representan las coberturas de vegetación con pérdidas en su superficie y las barras por debajo de cero indican las cubiertas que incrementaron sus extensiones. Bosque mesófilo de montaña (Bmm), bosque de pino-encino (Bp-bq), bosque de coníferas (BC), bosque de encino (Bq), selva mediana subcaducifolia (Smsc), selva baja caducifolia (Sbc), pastizal alpino (Palp), cultivo de café a sol (Csol), cultivo de café a sombra (Csom), cultivos agroforestales (Agro), agricultura de temporal (At), cultivo de caña (Can), pastizal inducido (Pi), asentamientos humanos (Ah).
Patrones de fragmentación
Los resultados del análisis de fragmentación de la vegetación a escala de paisaje entre 1989 y 2015 indican una disminución en tamaño medio del fragmento, área interior total, índice de contraste y proximidad media (Tabla 4). En cambio, el número de fragmentos, su densidad y la longitud total del borde disminuyeron de 1989 a 2003, aunque posteriormente aumentaron en 2015. Lo contrario ocurrió con el índice de agregación, ya que presentó una disminución en el primer período y posteriormente un incremento en 2015. Los cambios más notables en estos índices se observaron de 1989 a 2003, cuando se registró la mayor pérdida de cobertura vegetal. En este período, se redujo la agregación y la proximidad media de los fragmentos del bosque mesófilo de montaña, del bosque de pino-encino, de la selva mediana subcaducifolia y de la selva baja caducifolia. Lo contrario ocurrió con los fragmentos de bosque de coníferas, que presentaron un incremento en los valores de agregación y proximidad. De 1989 a 2015, se observó un aumento en la densidad en los fragmentos de bosque mesófilo de montaña, bosque de coníferas y pastizal alpino; aunque disminuyó la densidad de los fragmentos de bosque de pino-encino, bosque de encino, selva mediana subcaducifolia y selva baja caducifolia (Tabla 5).


Los valores corresponden a los promedios de los índices de paisaje de la vegetación.
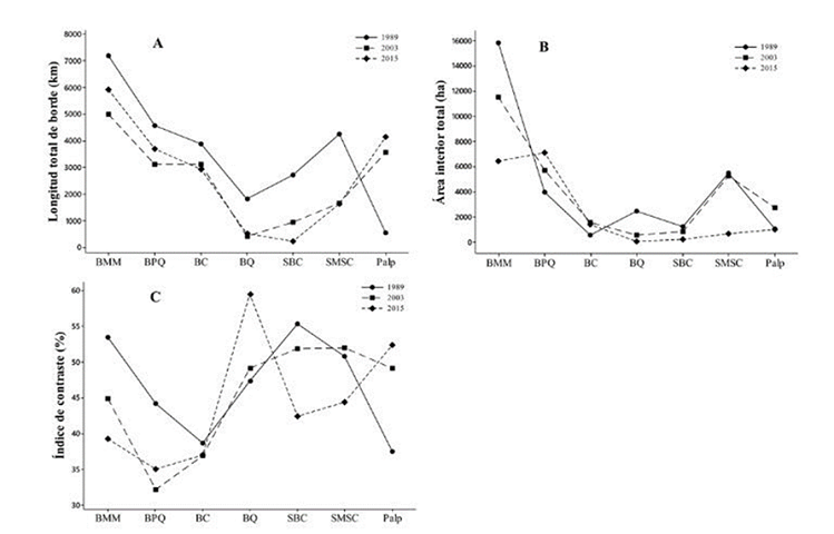
La mayor longitud total del borde se observó durante 1989 en el bosque mesófilo de montaña, posteriormente, en 2003, disminuyó y aumentó nuevamente en 2015 (Fig. 4A); mientras que el área interior total disminuyó de 1989 a 2015 (Fig. 4B). De manera similar, en los fragmentos de bosque de coníferas, la longitud total del borde aumentó y el área interior total disminuyeron, en el mismo período. En los fragmentos de bosque de pino-encino, bosque de encino, selva mediana subcaducifolia y selva baja caducifolia, se presentó una reducción tanto en la longitud del borde como en el área interior total. En el período 1989-2015, los fragmentos de vegetación natural se localizaron en matrices de contrastes medios, rodeados principalmente por vegetación secundaria (Fig. 4C).

Discusión
La precisión total obtenida en la clasificación de las imágenes de los años 1989, 2003 y 2015 fue alta: 71%, 74% y 75%, respectivamente. Estos valores son cercanos a los señalados por Muñoz-Villers y López-Blanco (2008) en la misma región (78.2% 79.7%), con imágenes Landsat TM y ETM, para los años 1990 y 2003, respectivamente. Gómez-Díaz et al. (2018) analizaron imágenes de Landsat de 1993, 2000 y 2014, de la zona central de Veracruz, México, y obtuvieron una precisión de 82%, 88.9% y 84.3%, respectivamente. Además, en la misma región de Veracruz, López-Barrera et al. (2014) registraron valores de precisión de 76% y 94% de las imágenes Landsat de 1976 y 2007, respectivamente. Lo anterior indica que la clasificación realizada en la zona estudio es una representación adecuada de los tipos de coberturas analizadas.
Algunas coberturas presentaron problemas de diferenciación que causaron confusión en el proceso de clasificación y, en consecuencia, una subestimación de algunas clases como los cultivos de café bajo sombra que mantienen especies de bosque mesófilo de montaña o selva mediana subcaducifolia; la misma situación se observó en los cultivos agroforestales, pastizal alpino y pastizal inducido. Los cultivos de café bajo sombra presentaron los valores más bajos de exactitud del usuario y fueron más propensos a ser confundidos con el bosque mesófilo de montaña, debido a que estas coberturas muestran patrones espectrales similares en el compuesto de color de las imágenes Landsat (Muñoz-Villers y López-Blanco, 2008; Evangelista-Oliva et al., 2010).
Patrones de cambio de uso del suelo
El análisis de cambios de cobertura en el periodo 1989-2003 indica que más de la mitad de la superficie de vegetación natural disminuyó, mientras que en las coberturas de origen antrópico se incrementó. Esta reducción en la vegetación es consistente con las reformas agrarias realizadas las décadas de los setenta y la de los noventa y con los incentivos gubernamentales para la industria agropecuaria implementados desde 1994 (Klepeis y Vance, 2003). Durante este periodo, se estima que 70% de la vegetación forestal de Veracruz fue reemplazada por cafetales, cultivos de caña de azúcar y pastizal inducido. En la década de los noventa, 26.3% de la vegetación tropical fue modificada por actividades agrícolas y 30.9% por las ganaderas (Toledo y Ordóñez, 1998).
Durante el periodo de 2003 a 2015, la recuperación en el bosque de pino-encino (2.14%) fue notable en áreas previamente ocupadas por agricultura de temporal y pastizal inducido. Esta recuperación se atribuye principalmente al abandono de las zonas agrícolas, al cambio en las actividades productivas, al adecuado manejo forestal, así como a la aplicación de programas de reforestación (Tuirán, 2002; García-Barrios et al., 2009). Bonilla-Moheno y Mitchell-Aide (2020) señalan que el abandono de las tierras agrícolas y el aumento de la vegetación leñosa en los bosques húmedos de Veracruz es el resultado de factores socioeconómicos que actúan en sinergia a diferentes escalas espaciales. El abandono de las tierras de cultivo en la zona de estudio probablemente se deba al aumento en la agricultura basada en la industria y a la disminución de los subsidios para la agricultura y ganadería que el gobierno mexicano otorgó desde 1994. Como consecuencia, las tierras agrícolas menos rentables fueron abandonadas, lo que resultó en la emigración de la población rural (De Janvry et al., 2001). En este sentido, diferentes estudios indican la relación entre el abandono de las tierras agrícolas, el crecimiento del bosque secundario y la recuperación de la cobertura forestal, que se refleja en la disminución de la tasa de cambio (García-Barrios et al., 2009; López-Barrera et al., 2014).
Aunque en algunas regiones de México las tasas de cambio anual han disminuido en las últimas décadas, en la mayoría de los casos la pérdida de vegetación aumentó (Mass et al., 2004; Rosete-Vergés et al., 2014). Se ha señalado que la distribución de las coberturas de origen antrópico podría estar relacionada con la topografía del terreno y los regímenes de tenencia de la tierra (Marten y Sancholuz, 1982; Bonilla-Moheno et al., 2013). García-Barrios et al. (2009), observaron que las pérdidas forestales superan a la recuperación de vegetación secundaria, particularmente en áreas de menor altitud y poca pendiente. En la zona de estudio, las áreas con estas características corresponden a las ocupadas por selva baja caducifolia y selva mediana subcaducifolia. López Barrera et al. (2014) indican que, en la región central de Veracruz, los principales factores asociados con la deforestación de las selvas secas corresponden a la proximidad de los pastizales y a la infraestructura de riego. Otros estudios indican que la densidad poblacional podría ser un factor que influye en la deforestación de estos ecosistemas (García-Barrios et al., 2009; Bonilla-Moheno et al., 2013).
El bosque mesófilo de montaña fue la vegetación con la mayor reducción de área, lo que indica que su transformación es mayor que otros tipos de vegetación (Williams-Linera, 2007; 2015). Se considera que la principal causa de deforestación del bosque mesófilo de montaña en México es su conversión a pastizales (Williams-Linera et al., 2002). Sin embargo, en la zona de estudio, estos bosques fueron reemplazados principalmente por plantaciones agroforestales, café bajo sombra, cultivos de caña de azúcar y pastizal inducido. Se estima que entre 1993 y 2013 se perdió más de 50% de la superficie de este tipo de vegetación (Ochoa-Ochoa et al., 2017). Los datos de este estudio concuerdan con esa estimación, ya que indican que de 1989 a 2015 la superficie del bosque mesófilo de montaña disminuyó 43.02%, con una tasa de cambio anual de -2.16%, cercana al valor de transformación para América Latina (-2.93%) (Armenteras y Rodríguez-Eraso, 2014) y menor que la registrada por Muñoz-Villers y López Blanco (2008) en la misma región (-3.2%). Sin embargo, es importante considerar que estas son estimaciones obtenidas durante largos períodos, comparables en la variación temporal, pero con diferente historia de perturbación.
Patrones de fragmentación
Los cambios en la configuración espacial de los fragmentos de vegetación en la zona de estudio, de 1989 a 2003, coinciden con el incremento de las coberturas de origen antrópico. La reducción en el tamaño de los fragmentos de bosque mesófilo de montaña, bosque de pino-encino y selva baja caducifolia podrían estar relacionados con el incremento de la superficie de los sistemas agroforestales, cultivos de café bajo sombra, pastizal inducido y cultivos de agricultura de temporal. Distintos estudios señalan que estos ecosistemas perdieron grandes áreas a lo largo del tiempo, debido a la creciente expansión de la frontera agropecuaria, con implicaciones importantes para la conservación de la biodiversidad (Williams-Linera et al., 2002; López-Barrera et al., 2014).
El incremento en la densidad de los fragmentos de bosque mesófilo de montaña y bosque de coníferas, de 1989 a 2003, concuerda con lo señalado por Gómez-Díaz et al. (2018), quienes describen este patrón en los mismos tipos de vegetación en el centro de Veracruz, México. Otros estudios indican que los valores de este índice aumentan en las primeras etapas de la deforestación. Por ejemplo, Cayuela et al. (2006) destacan un incremento en la densidad de fragmentos de 1990 a 1995 en bosques montanos de Chiapas. Echeverría et al. (2006) y Tapia-Armijos et al. (2015) observaron que la densidad de fragmentos aumentó durante las primeras etapas de la deforestación en los bosques templados de Chile y Ecuador, respectivamente. Se ha señalado que el incremento en la densidad de fragmentos de un hábitat particular podría afectar distintos procesos ecológicos (Bosch y Waser, 2001).
En los fragmentos de bosque mesófilo de montaña se observó un incremento en la longitud total de borde y una disminución en el área interior total, debido a que los fragmentos de origen antrópico podrían aumentar la densidad de borde. El incremento de estos índices se ha descrito en otros estudios en este tipo de vegetación, donde la constante extracción de madera para combustible y la conversión en pequeñas áreas para la agricultura producen este patrón de fragmentación (López-Barrera et al., 2014; Ochoa-Gaona, 2001). Mientras que en los fragmentos de bosque de coníferas, selva mediana subcaducifolia, selva baja caducifolia y bosque de encino, la longitud total de borde y el área interior total disminuyeron en el mismo periodo. En esta región de México, López-Barrera et al. (2014) observaron que algunos fragmentos de vegetación fueron deforestados desde el interior hasta el borde, dando lugar a fragmentos sin bordes definidos y un área interior más pequeña, lo que podría afectar el valor de conservación de la vegetación remanente al reducir las poblaciones de flora y fauna (Brudvig et al., 2015).
El paisaje del área de estudio fue afectado durante las últimas décadas, por una división progresiva de los fragmentos de vegetación, debido a la disminución significativa en su cobertura por el cambio en el uso del suelo. Durante el periodo de 1989 a 2015, el índice de proximidad media disminuyó en los fragmentos de vegetación; mientras que, en las coberturas de origen antrópico se incrementaron. Este efecto de la deforestación sobre los elementos del paisaje también fue señalado por Rey-Benayas et al. (2007) en la porción central de Veracruz de 1984 a 2000, donde registraron una disminución de 60% de este índice. Este índice tiende a disminuir a medida que aumenta la fragmentación y el aislamiento. Un incremento de este índice se observó en otros estudios y se relaciona principalmente con la constante extracción de madera y la conversión de los bosques en áreas agrícolas (Ochoa-Gaona, 2001).
Implicaciones para la conservación
En regiones biológicamente diversas como la cuenca del río La Antigua, es necesaria una mejor comprensión de los patrones, la dinámica y el alcance espacial de la deforestación y la fragmentación de los bosques. El análisis de fragmentación y cambio de uso del suelo de la cuenca del río La Antigua muestra una tendencia a la homogeneización del paisaje, donde los fragmentos agropecuarios y la vegetación secundaria ocupan áreas cada vez más extensas. La vegetación natural en 2015 ocupó 30% del área total analizada, dividida en 23 417 fragmentos con un tamaño promedio de 4.2 ha, rodeados por una matriz de vegetación secundaria y áreas agropecuarias. Aunque estos datos muestran la degradación de la vegetación, indican que todavía hay coberturas forestales que pueden mantener alta biodiversidad (Villaseñor y Ortiz, 2014). Los resultados obtenidos también proporcionan la base para identificar áreas prioritarias para la restauración o conservación. En este sentido, es necesario reconocer los fragmentos de vegetación con mayor riesgo al cambio en el uso del suelo, ya que podría afectar la conectividad del paisaje (Correa-Ayram et al., 2014). Con esta información se podría proponer que estos fragmentos estén sujetos a programas de conservación.
Los sistemas agroforestales y el café de sombra se distribuyen ampliamente en el área de estudio, ambos ocupan 24.79% del área total. Tanto la estructura como la ubicación geográfica de estas coberturas son clave para el funcionamiento y la dinámica del paisaje y las hacen fundamentales para la conservación de la biodiversidad de la región (López-Barrera y Landgrave, 2008). Diferentes estudios indican que la estructura de algunos sistemas agroforestales puede ser similar a la de los bosques nativos y, por lo tanto, contener una gran riqueza de especies (Manson et al., 2008). Sin embargo, en el área de estudio, aproximadamente 5% del café de sombra fue reemplazado por cultivos de caña de azúcar y pastizales inducidos. La conversión de los cafetales bajo sombra y los sistemas agroforestales en cultivos de caña de azúcar conduce a una disminución de la biodiversidad (González-Zamora et al., 2016). En este sentido, Williams-Linera et al. (2007) señalaron que los sistemas agroforestales son factores determinantes para establecer un nuevo enfoque de conservación y restauración, debido a su función potencial en la conectividad de los fragmentos forestales.
Conclusiones
La cuenca alta y media del río La Antigua está conformada por paisajes complejos y heterogéneos. Debido a estas características, la precisión total en la clasificación de las imágenes de los años 1989 (71%), 2003 (74%) y 2015 (75%) fue suficiente para los objetivos de este estudio. El incremento en la superficie de las coberturas antrópicas y pérdida de más de 50% de la vegetación natural, entre 1989 y 2003, podría estar asociada con las políticas gubernamentales implementadas para la industria agropecuaria. Sin embargo, desataca un incremento en la cobertura del bosque de pino-encino de 2003 a 2015, atribuido a distintos factores, entre ellos, el abandono de las tierras, el cambio de actividades productivas y la implementación de programas de reforestación que permiten el crecimiento del bosque secundario y la recuperación de la cobertura forestal.
Uno de los ecosistemas más afectado por la deforestación y fragmentación es el bosque mesófilo de montaña. El avance de las prácticas agrícolas y ganaderas pone en peligro la existencia de este tipo de vegetación. Además, estas alteraciones contribuyen a un incremento en la longitud total de borde y una disminución en el área interior total de los fragmentos remanentes de estos bosques.
Aunque los efectos de la pérdida y fragmentación del hábitat sobre la biodiversidad están más allá del alcance de este estudio, la descripción del patrón espacial de los elementos del paisaje proporciona la base para investigaciones exhaustivas de dichos impactos. Además, permitirá evaluar el efecto de los cambios de uso del suelo y la fragmentación en la conservación de la biodiversidad en esta región de México y desarrollar estrategias que contribuyan a promover prácticas de manejo sustentable de los agroecosistemas sin afectar más la vegetación remanente. Es urgente definir políticas de conservación que minimicen los impactos negativos sobre los fragmentos de vegetación remanente.
Es necesario realizar más estudios que permitan identificar los orígenes de la fragmentación con el fin de detectar sus efectos sobre la biodiversidad y los procesos ecológicos en esta región de México. Es urgente definir políticas de conservación que minimicen los impactos negativos en los fragmentos de vegetación remanente y desarrollar estrategias que contribuyan a promover prácticas agrícolas y ganaderas sostenibles, así como evaluar la viabilidad del pago por servicios ambientales que promueven la conservación de la vegetación natural. La información presentada en este estudio proporciona una comprensión visual y un análisis de los procesos dinámicos de cambio de uso de la tierra, lo que puede ayudar a los formuladores de políticas locales a establecer mecanismos de causa-efecto e identificar prioridades a largo plazo.
Reconocimientos
El primer autor agradece la beca posdoctoral al Consejo Nacional de Ciencia y Tecnología (Conacyt, 165051), otorgada para esta investigación. Los autores agradecen a Rosario Landgrave por su ayuda en la generación de los mapas de vegetación y uso de suelo utilizados en este estudio.
Referencias
Armenteras, D., Gast, F., & Villareal, H. (2003). Andean forest fragmentation and the representativeness of protected natural areas in the eastern Andes, Colombia. Biological Conservation, 113, 245-256. https://doi.org/10.1016/S0006-3207(02)00359-2
Armenteras, D., & Rodríguez-Eraso, N. (2014). Dinámicas y causas de deforestación en bosques de latino américa: una revisión desde 1990. Colombia Forestal, 17(2), 233 -246. https://doi.org/10.14483/udistrital.jour.colomb.for.2014.2.a07
Arriaga-Cabrera, L., Aguilar-Sierra, V., & Alcocer-Durán, J. (1998). Regiones hidrológicas prioritarias: fichas técnicas y mapa (escala 1: 400 000). Comisión Nacional para el Conocimiento y Uso de la Biodiversidad.
Bonilla-Moheno, M., & Mitchel-Aide, T. (2020). Beyond deforestation: Land cover transitions in Mexico. Agricultural Systems, 178, 102734. https://doi.org/10.1016/j.agsy.2019.102734
Bonilla-Moheno, M., Redo, D. J., Aide, T. M., Clark, M. L., & Grau, H. R. (2013). Vegetation change and land tenure in Mexico: a country-wide analysis. Land Use Policy, 30, 355-364. https://doi.org/10.1016/j.landusepol.2012.04.002
Bosch, M., & Waser, N.M. (2001). Experimental manipulation of plant density and its effect on pollination and reproduction of two confamilial mountain herbs. Oecologia, 126, 76-83. https://doi.org/10.1007/s004420000488
Brudvig, L. A., Damschen, L. I., Haddad, L. M., Levey, D. J., & Tewksbury, J. J. (2015). The influence of habitat fragmentation on multiple plant-animal interactions and plant reproduction. Ecology, 96(10), 2669-2678. https://doi.org/10.1890/14-2275.1
Cairns, M., Haggerty, P., Álvarez, R., De Jong, B., & Olmsted, I. (2000). Tropical Mexico’s recent land-use change: a region’s contribution to the global carbon cycle. Ecological Applications, 10, 1426-2144. https://doi.org/10.1890/1051-0761(2000)010[1426:TMSRLU]2.0.CO;2
Cayuela, L., Rey-Benayas, J. M., & Echeverría, C. (2006). Clearance and fragmentation of tropical montane forests in the Highlands of Chiapas, Mexico (1975-2000). Forest Ecology and Management, 226, 208-218. https://doi.org/10.1016/j.foreco.2006.01.047
Challenger, A., Dirzo, R., López-Acosta, J. C., Mendoza, E., Lira-Noriega, A., Cruz, I., Flores- Martínez, A., & González-Espinosa M. (2009). Factores de cambio y estado de la biodiversidad. Capital natural de México, vol. II: Estado de conservación y tendencias de cambio, vol. II. Conabio, México.
Comisión Nacional para el Conocimiento y Uso de la Biodiversidad [Conabio] (1998). Subcuencas hidrológicas. Boletín hidrológico. México: Secretaría de Recursos Hidráulicos, Jefatura de Irrigación y control de Ríos, Dirección de Hidrología.
Correa-Ayram, C. A., Mendoza, E. E., & López-Granados, E. (2014). Análisis del cambio en la conectividad estructural del paisaje (1975-2008) de la cuenca del lago Cuitzeo, Michoacán, México. Revista de Geografía Norte Grande59, 7-23. https://doi.org/10.4067/S0718-34022014000300002
Cuevas, M. L., Garrido, A., Pérez, J. L., & González, D. I. (2010). Procesos de cambio de uso de suelo y degradación de la vegetación natural. En H. Cotler (Ed.), Las cuencas hidrográficas de México. Diagnóstico y priorización (pp. 96-103). Semarnat-INE. https://micrositios.inecc.gob.mx/cuenca/diagnostico/20-cambio-uso-suelo.pdf
De Janvry, A., Gordillo, G., & Sadoulet, E. (1997). México’s Second Agrarian Reform: Household and Community Responses, 1990-1994. Center for US Mexican Studies, University of California.
Didham, R. K. (2010). Ecological Consequences of Habitat Fragmentation. Encyclopedia of Life Sciences. John Wiley & Sons, Chichester.
Echeverría, C., Coomes, D., Salas, J., Rey-Benayas, J. M., Lara, A., & Newton, A. (2006). Rapid deforestation and fragmentation of Chilean temperate forests. Biological Conservation , 130, 481-494. https://doi.org/10.1016/j.biocon.2006.01.017
Ellis, E. A., & Martínez-Bello, M., 2010. Vegetación y uso de suelo. En E. Florescano y J. Ortiz (Eds.), Atlas del patrimonio natural, histórico y cultural de Veracruz (pp. 203-226). Comisión del Estado de Veracruz para la Conmemoración de la Independencia Nacional y la Revolución Mexicana.
Evangelista-Oliva, V., López-Blanco, J., Caballero-Nieto, J., & Martínez-Alfaro, M. A. (2010). Patrones espaciales de cambio de cobertura y uso del suelo en el área cafetalera de la sierra norte de Puebla. Investigaciones Geográficas, 72, 23-38.
Fahrig, L. (2003). Effects of habitat fragmentation on biodiversity. Annual Review of Ecology, Evolution, and Systematics, 34, 487‒515. https://doi.org/10.1146/annurev.ecolsys.34.011802.132419
García, E. (2004). Modificaciones al Sistema de Clasificación Climática de Köppen. Universidad Nacional Autónoma de México, Instituto de Geografía.
García-Barrios, L., Galván-Miyoshi, Y. M., Valsieso-Pérez, I. A., Masera, O. R., Bocco, G., & Vandermeer, J. (2009). Neotropical forest conservation, agricultural intensification, and rural outmigration: The Mexican experience. BioScience, 59(10), 863-873. https://doi.org/10.1525/bio.2009.59.10.8
Geissert, D., Dubrecq, D., Campos, A., & Meza, E. (Eds.) (1994). Carta de paisajes geomorfoedafológicos de la región volcánica Cofre de Perote, Estado de Veracruz, México, Escala 1:75,000. Instituto de Ecología, A.C.
Gómez-Díaz, J. A., Brast, K., Degener, J., Krömer, T., Ellis, E., Heitkamp, F., & Gerold, G. (2018). Long-term changes in forest cover in Central Veracruz, Mexico (1993-2014). Tropical Conservation Science, 11, 1-12. https://doi.org/10.1177/1940082918771089
González-Zamora, A., Esperón-Rodríguez, M., & Barradas, V. L. (2016). Mountain cloud forest and grown-shade coffee plantations: a comparison of tree biodiversity in central Veracruz, Mexico. Forest Systems, 25, e055. https://doi.org/10.5424/fs/2016251-07538
Hantson, S., Chuvieco, E., Pons, X., Domingo, C., Cea, C., More, G., Cristóbal, J., Peces, J., & Tejeiro, J. (2011). Cadena de pre-procesamiento estándar para las imágenes Landsat del Plan Nacional de Teledetección. Revista de Teledetección, 36, 51-61.
Instituto Nacional de Estadística y Geografía [Inegi] (1989). Conjunto de datos vectoriales de uso de suelo y vegetación, Serie I, 1: 250 000. Inegi.
Instituto Nacional de Estadística y Geografía [Inegi] (1993). Conjunto de datos vectoriales de uso de suelo y vegetación, Serie II, 1: 250 000. Inegi.
Instituto Nacional de Estadística y Geografía [Inegi] (2016). Continuo de elevaciones mexicano, 1: 50 000. Inegi. https://www.inegi.org.mx/app/geo2/elevacionesmex/
Instituto Nacional de Estadística y Geografía [Inegi] (2017). Conjunto de Datos Vectoriales de Uso de Suelo y Vegetación, Serie VI, 1: 250 000. Inegi.
Klepeis, P., & Vance, C. (2003). Neoliberal policy and deforestation in southeastern Mexico: an assessment of the PROCAMPO program. Economic Geography, 79, 221-240. https://doi.org/10.1111/j.1944-8287.2003.tb00210.x
Lillesand, T. M., Kiefer, R. W., & Chipman, J. W. (2015). Remote sensing and image interpretation (7a ed.). New York: Wiley and Sons.
López-Barrera, F., Manson, R., & Landgrave, R. (2014). Identifying deforestation attractors and patterns of fragmentation for seasonally dry tropical forest in central Veracruz, Mexico. Land se Policy, 41, 274-283. https://doi.org/10.1016/j.landusepol.2014.06.004
López-Barrera, F., & Landgrave, R. (2008). Variación de la diversidad a nivel paisaje. En R. Manson, V. Hernández-Ortiz, S. Gallina, & K. Mehltreter (Eds.), Agroecosistemas cafetaleros de Veracruz: biodiversidad, manejo y conservación (pp. 259-270). INE, Semarnat e Inecol.
Manson, R., Sosa, V., & Contreras, A. (2008). Efectos del manejo sobre la biodiversidad: síntesis y conclusiones. En R. Manson, V. Hernández-Ortiz, S. Gallina & K. Mehltreter (Eds.), Agroecosistemas cafetaleros de Veracruz: biodiversidad, manejo y conservación (pp. 279-302). INE, Semarnat e Inecol.
Marten, G. G., & Sancholuz, L. A. (1982). Ecological land-use planning and carrying capacity evaluation in the Jalapa region (Veracruz, Mexico). Agro-Ecosystems, 8, 83-124. https://doi.org/10.1016/0304-3746(82)90001-4
Mass, J. F., Velázquez, A., Díaz-Gallegos, J. R., Mayorga-Saucedo, R., Alcántara, C., Bocco, G., Castro, R., Fernández, T., & Pérez-Vega, A. (2004). Assessing land use/cover changes: A nationwide multidate spatial database for Mexico. International Journal of Applied Earth Observation and Geoinformation, 5, 249-261. https://doi.org/10.1016/j.jag.2004.06.002
McGarigal, K., Cushman, S., & Regan, C. (2005). Quantifying terrestrial habitat loss and fragmentation: a protocol. Amherst: University of Massachusetts. https://www.fs.fed.us/rm/pubs_journals/2005/rmrs_2005_mcgarigal_k001.pdf
McGarigal, K., Cushman, S. A., Neel, M. C., & Ene, E. (2012). FRAGSTATS: spatial pattern analysis program for categorical maps (Version 4.2.1). University of Massachusetts.
Muñoz-Villers, L., & López-Blanco, J. (2008). Land use/cover changes using Landsat TM/ETM images in a tropical and biodiverse mountainous area of central-eastern Mexico. International. Journal of Remote Sensing, 29, 71-93. https://doi.org/10.1080/01431160701280967
Ochoa-Gaona, S. (2001). Traditional land-use and deforestation in the highlands of Chiapas, Mexico. Environmental Management, 27, 571-586. https://doi.org/10.1007/s002670010171
Ochoa-Gaona, S., González-Espinosa, M., Meave, J. A., & Sorani-Dal Bon, V. (2004). Effect of forest fragmentation on the woody flora of the highlands of Chiapas, Mexico. Biodiversity and Conservation, 13(5), 867-884. https://doi.org/10.1023/B:BIOC.0000014457.57151.17
Ochoa-Ochoa, L. M., Mejía-Domínguez, N. R., & Bezaury-Creel, J. (2017). Priorización para la conservación de los bosques de niebla en México. Revista Ecosistemas, 26(2), 27-37. https://doi.org/10.7818/ECOS.2017.26-2.04
Pontius, J., Shusas, E., & McEachern, M. (2004). Detecting important categorical land changes while accounting for persistence. Agriculture, Ecosystems & Environment, 101, 251-268. https://doi.org/10.1016/j.agee.2003.09.008
Puyravaud, J. P. (2003). Standardizing the calculation of the annual rate of deforestation. Forest, Ecology& Management, 177, 593-596. https://doi.org/10.1016/S0378-1127(02)00335-3
QGIS Development Team (2017). QGIS Geographic Information System. Open Geospatial Foundation Project. http://qgis.osgeo.org
Ramamoorthy, T. P., Bye, R., Lot, A, & Fa, J. (1993). Biological diversity of México: origins and distribution. Oxford University Press. Nueva York. https://doi.org/10.1007/BF02908211
Rey-Benayas, J. M., Cayuela, I., González-Espinosa, M., Echeverría, C., Manson, R. H., Williams-Linera, G., del Castillo, R. F., Ramírez-Marcial, N., Muñiz-Castro, M. A., Blanco-Macías, A., Lara, A., & Newton, A. C. (2007). Plant diversity in highly fragmented forest landscapes in Mexico and Chile: Implications for conservation. En A. C. Newton (Ed.), Biodiversity loss and conservation in fragmented forest landscapes: the forests of montane Mexico and temperate South America (pp. 43-68). Centre for Conservation Ecology and Environmental Change, School of Conservation Sciences.
Rosete-Vergés, F. A., Pérez-Damián, J. L., Villalobos-Delgado, M., Navarro-Salas, E. N., Salinas-Chávez, E. & Remond Noa, R. (2014). El avance de la deforestación en México 1976-2007. Madera y Bosques, 20(1), 21-35. https://doi.org/10.21829/myb.2014.201173
Rudel, K. T., Coomes, O. T., Moran, E., Hard, F., Angelsen, A., Xu, J., & Lambin, E. (2005). Forest transitions: towards a global understanding of land use change. Global Environmental Change, 15, 23-31. https://doi.org/10.1016/j.gloenvcha.2004.11.001
Tapia-Armijos, M. F., Homeier, J., Espinosa, C. I., Leuschner, C., & de la Cruz, M. (2015). Deforestation and forest fragmentation in South Ecuador since the 1970s - Losing a hotspot of biodiversity. PLoS One, 10(11), Article e0142359. https://doi.org/10.1371/journal.pone.0133701
Toledo, V. M., & Ordoñez, M. J. (1998). El panorama de la biodiversidad de México: una revisión de los hábitats terrestres. En T. P. Ramamoorthy (Ed.), La diversidad biológica de México: Orígenes y Distribución (pp. 739-757). Instituto de Biología-UNAM.
Tuirán, R. (2002). Migración, remesas y desarrollo. Boletín Migración Internacional, 19, 1-16.
Villaseñor, J. L., & Ortiz, E. (2014). Biodiversidad de las plantas con flores (División Magnoliophyta) en México. Revista Mexicana de Biodiversidad, 85, 134-142. https://doi.org/10.7550/rmb.31987
Williams-Linera, G. (2015). El bosque mesófilo de montaña, veinte años de investigación ecológica ¿qué hemos hecho y hacia dónde vamos? Madera y Bosques , 21, 51-61. https://doi.org/10.21829/myb.2015.210426
Williams-Linera, G. (2007). El Bosque de niebla del centro de Veracruz: Ecología, historia y destino en tiempos de fragmentación y cambio climático. Inecol-Conabio.
Williams-Linera, G., Guillén, A., Gómez, O., & Lorea, F. (2007). Conservación en el centro de Veracruz, México. El bosque de niebla: ¿reserva archipiélago o corredor biológico? En G. Halffter, S. Guevara, & A. Melic (Eds.), Hacia una cultura de conservación de la diversidad biológica (Vol. 6, pp. 303-310). Monografías Tercer Milenio.
Williams-Linera, G., Manson, R. H., & Isunza-Vera, E. (2002). La fragmentación del bosque mesófilo de montaña y patrones de uso del suelo en la región oeste de Xalapa, Veracruz, México. Madera y Bosques , 8(1), 73-89. https://doi.org/10.21829/myb.2002.811307
Zeleke, G., & Hurni, H. (2001). Implications of land use and land cover dynamics for mountain resource degradation in the northwestern Ethiopian highlands. Mountain Research and Development, 21, 184-191. https://doi.org/10.1659/0276-4741(2001)021[0184:IOLUAL]2.0.CO;2
Anexos



Notas de autor
*Autor de correspondencia. jose.garcia.franco@inecol.mx