Artículos científicos
Gonopterodendron sarmientoi Lorentz ex Griseb (palo santo): evaluación del crecimiento para fines maderables
Gonopterodendron sarmientoi Lorentz ex Griseb (palo santo): evaluation of growth for timber purposes
Gonopterodendron sarmientoi Lorentz ex Griseb (palo santo): evaluación del crecimiento para fines maderables
Madera y bosques, vol. 28, núm. 1, e2812401, 2022
Instituto de Ecología A.C.
Recepción: 12 Julio 2021
Aprobación: 15 Diciembre Noviembre 2021
Resumen: Gonopterodendron sarmientoi Lorentz ex Griseb A. C. Godoy-Bürki (Zigophyllaceae) es una especie endémica del noroeste argentino, incluida en el Apéndice II de la Convención Internacional sobre el Tráfico de Especies Amenazadas de Fauna y Flora Silvestres. Esta investigación busca determinar el ciclo de corta basado en la edad de Gonopterodendron sarmientoi, estimada a partir de la medición de los anillos de crecimiento, aplicando una ecuación de crecimiento de diámetro según el sitio. Se trabajó en 4 sitios según gradiente climático de precipitación, seleccionando 35 árboles considerando sus limitaciones y restricciones en cuanto a su extracción contempladas por la ley 22 344 (Convención sobre el Comercio Internacional de Especies Amenazadas de Fauna y Flora Silvestres). La ecuación general y la obtenida por sitios (Las Lomitas, Ingeniero G. Juárez, Las Hacheras y Rivadavia) se ajustaron por regresión con modelos lineales mixtos. El espesor medio obtenido fue de 3,03 mm con una rotación promedio de 41 años y un tiempo de tránsito de 12 años. Las Lomitas fue la localidad de mayor incremento anual con un espesor promedio de 3.4 mm y presentó la mayor edad de corta de 81 años; Las Hacheras presentó un espesor promedio de 3.08 mm y la menor edad de corta a los 41 años; Rivadavia registró un espesor de 2.68 mm y una edad de corta de 59 años; e Ingeniero G. Juárez presentó espesor de 2.19 mm con una edad de corta 52 años. Los resultados de este trabajo determinaron de forma fehaciente los turnos de corta y tiempos de rotación que contribuirán al manejo forestal sostenible de la especie.
Palabras clave: Anillos de crecimiento, crecimiento diametral, modelo de crecimiento.
Abstract: Gonopterodendron sarmientoi Lorentz ex Griseb AC Godoy-Bürki (Zigophyllaceae) is an endemic species of northwestern Argentina, included in Appendix II of the International Convention on Trafficking in Endangered Species of Wild Fauna and Flora. This research seeks to determine the cutting cycle based on the age of Gonopterodendron sarmientoi, estimated from the measurement of the growth rings, applying a diameter growth equation according to the site. We worked in 4 sites according to the climatic gradient of precipitation, selecting 35 trees given their limitations and restrictions regarding their extraction contemplated by law 22 344 (Convention on International Trade in Endangered Species of Wild Fauna and Flora). The general equation and the one obtained by sites (Las Lomitas, Ingeniero G. Juárez, Las Hacheras, and Rivadavia), were adjusted by regression with linear mixed models. The average thickness obtained was 3.03 mm with an average rotation of 41 years and a transit time of 12 years. Las Lomitas is the site with the highest annual increase with an average thickness of 3.4 mm and the highest harvest age of 81 years; Las Hacheras had an average thickness of 3.08 mm and the lowest harvest age at 41 years; Rivadavia recorded a thickness of 2.68 mm and a harvest age of 59 years; and Ingeniero G. Juárez presented a thickness of 2.19 mm with a harvest age of 52 years. The results of this work reliably determined the cutting shifts and rotation times that will contribute to the sustainable forest management of the species.
Keywords: Growth rings, diametrical growth, growth model.
Introducción
Gonopterodendron sarmientoi Lorentz ex Griseb A. C. Godoy-Bürki es endémico del Chaco semiárido argentino. Varios autores han estudiado el crecimiento de esta especie; Maggio y Cellini (2015) determinaron dos ecuaciones de volumen con y sin corteza mediante la cubicación de 10 árboles en un intervalo de 26.0 cm a 51.2 cm de diámetro a la altura del pecho (DAP) para la localidad de Las Lomitas, Provincia de Formosa. Giménez et al. (2014), a través del estudio de la calidad de la madera y el potencial de crecimiento de palo santo, determinaron el espesor medio de anillos de crecimiento de 2.077 mm, para un intervalo de edad de 100 años. Loto et al. (2017) estimaron el incremento periódico anual desde la medición y la remedición hasta el diámetro a la altura del pecho, en parcelas permanentes obteniendo 1.14 mm. Camps et al. (2018) realizaron un modelo de nicho basado en múltiples algoritmos, para el presente y el pasado de la especie, durante el Pleistoceno, hace 120 000 años. Estos estudios revelan la variación de las características genéticas y clima-ticas a lo largo del tiempo de Gonopterodendron sarmientoi, según la filogeografía geoestadística semiárida del Chaco. El reciente estudio de Godoy-Bürki et al. (2018) determina con precisión que el área de distribución de Gonopterodendron sarmientoi se encuentra en regiones húmedas y semiáridas del Gran Chaco sudamericano. Zurita (2007) describe los suelos de la región de Chaqueña, mientras que Oyarzabal et al. (2018) detallan los suelos típicos del lugar donde se encuentra la especie, que son de naturaleza arcilloso-limosa. Loto et al. (2021) determinaron estructuras de bosques de palo santo y compararon la biomasa total entre tipos de bosques a partir de estudios de diámetro a la altura del pecho obtenidos de inventarios forestales.
La estimación de los parámetros de los modelos tradicionalmente se realiza con modelos de regresión lineal y no lineal de efectos fijos que asumen normalidad, igualdad de varianzas (homocedásticos) e independencia de los residuos (Draper y Smith, 1981), situación que no siempre se ajusta a la naturaleza de los datos. En este caso, la estructura de la matriz de varianzas y covarianzas de los residuos no corresponde con los supuestos de los modelos lineales clásicos (modelos lineales generales), que poseen una estructura de datos longitudinales debido a que las observaciones son tomadas en forma repetida sobre una misma unidad observacional, ya que no es posible aleatorizar el factor temporal o espacial y se incumple el supuesto de independencia de los errores (Schabenberger y Pierce, 2002). También se puede observar heteroce-dasticidad en la relación del diámetro a través del tiempo (Jerez-Rico et al., 2011). Ante esta situación, los modelos lineales mixtos y los modelos no lineales mixtos son una alternativa para lograr una mayor precisión (West et al., 2014).
Los estudios de crecimiento en Gonopterodendron sarmientoi citados evaluaron el crecimiento en un solo sitio y mediante el ajuste de modelos clásicos de regresión lineal y no lineal de efectos fijos. Es necesario determinar la variación del crecimiento dependiendo del área de distribución de esta especie mediante el ajuste de modelos mixtos. Estos constituyen una herramienta innovadora para el tratamiento de datos correlacionados, ya sea espacial o temporalmente (Rodrigues et al., 2013; Córdoba, 2014), pues flexibilizan los supuestos de los modelos clásicos.
Conocer el crecimiento y turnos de corta de la especie permite el manejo sostenible, la realización de planes adecuados y contribuye al correcto aprovechamiento de la especie. Se estableció como hipótesis de este trabajo que la especie alcanza el diámetro de 35 cm a una edad más temprana de lo que estipula la ley 22 344 que establece que ese diámetro se alcanza a los 80 años de edad aproximadamente.
Objetivos
El objetivo del presente trabajo fue modelar la variación del crecimiento de diámetro de Gonopterodendron sarmientoi Lorentz ex Griseb A. C. Godoy-Bürki en su gradiente de distribución, determinando la edad de corta en función de los criterios técnicos forestales.
Materiales y métodos
Sitio de estudio
El estudio se realizó en el área de distribución natural del palo santo: región fitogeográfica del Chaco Semiárido, en cuatro sitios localizados en tres provincias. Rivadavia (provincia de Salta), ubicada según las coordenadas S 24° 11’ O 62° 52’, presenta una precipitación media anual de 671 mm, el mes más seco es agosto (3 mm), la precipitación más alta se presenta en enero con un promedio de 121 mm. Ingeniero G. Juárez (provincia de Formosa), ubicado en S 23° 53’ O 61° 51’, presenta una precipitación anual promedio de 689 mm, con un promedio mensual máximo de 124.5 mm en enero y un promedio mensual mínimo de 1.7 mm en el mes de julio. La temporada de lluvias incluye los meses de noviembre a marzo. Las Lomitas (provincia de Formosa), ubicada en S 24° 42’ O 60° 35’, presenta una precipitación media de 893 mm, el mes más seco es julio con 16 mm de lluvia. La mayor cantidad de precipitación ocurre en marzo, con un promedio de 132 mm. Las Hacheras (provincia del Chaco), ubicada en S 60° 59’ O 25° 23’, presenta una precipitación media de 735 mm. El registro de temperaturas no muestra diferencias entre los sitios, ya que están dentro del intervalo de 22 °C a 23 °C en promedio. La localidad de Ingeniero G. Juárez fue indicada por Morello y Adamoli (1974) como sitio óptimo en términos de frecuencia, en tanto los demás sitios fueron identificados como áreas donde la especie se distribuye continuamente (Fig. 1). La vegetación del área de estudio se caracteriza por ser un bosque subtropical xerófilo dominado por Schinopsis lorentzii y Aspidosperma quebracho-blanco, y formado por ambientes de bosques ribereños, palmerales, sabanas, estepas arbustivas halófitas y humedales (Cabrera, 1994). Los bosques del Chaco están al límite de sus posibilidades de existencia, afectados en diferentes grados por una intervención humana inadecuada (Giménez y Moglia, 2003).

Método
Se seleccionaron 35 árboles adultos sanos, sin daño visible, de tallo recto. Los especímenes seleccionados corres-ponden a árboles dominantes debido a su sensibilidad en respuesta a factores ambientales. Hubo cinco árboles seleccionados en Ingeniero G. Juárez (Formosa), 17 árboles en Las Lomitas (Formosa), seis árboles en Rivadavia (Salta) y siete árboles en Las Hacheras (departamento de Güemes, Chaco). Las diferencias en el número de muestras por sitio se debieron al hecho de que los árboles cortados de la especie están restringidos por ley; el material proviene de aserraderos en el área y campos privados. Después del corte, se obtuvieron muestras (rodajas de 20 cm de espesor) a una altura de 0.30 m. Las muestras fueron cepilladas y lijadas (Helinska et al., 1991) para la identificación de los anillos de manera certera, ya que son difíciles de percibir a simple vista debido a su tamaño y anatomía (Giménez y Moglia, 2003). En cada muestra se marcaron cuatro radios para evitar falsos anillos y minimizar el error, obteniendo un valor promedio. El recuento se realizó desde la médula hasta la corteza para conocer la edad de cada individuo y el espesor de los anillos para el estudio del crecimiento. Las mediciones se realizaron con el programa Image-Pro Plus® software utilizado para la manipulación, tratamiento y análisis de imágenes. Para la evaluación del crecimiento, se trabajó con la variable diámetro a la altura de la base (DAB) medido en milímetros. Las tasas de crecimiento diametral calculadas fueron: incremento medio anual (IMA), que expresa el crecimiento anual promedio de un árbol, y el incremento corriente anual (ICA), que es el incremento en diámetro en el año corriente.
Las fórmulas se describen a continuación:
donde:
DAB = diámetro a la altura de la base
EA = espesor del anillo
donde:
ICA = incremento corriente anual
I(t) = incremento en el año t
I(t-1) = incremento en el año anterior al año t
t = edad del árbol
donde:
IMA = incremento anual promedio
IA(t) = aumento acumulado para el año t
t = edad (años)
La mayoría de los estudios de crecimiento (Juárez de Galindez et al., 2008) provienen del ajuste realizado en observaciones repetidas del análisis de fuste, utilizando el siguiente modelo:
donde:
y = vector de observaciones (variable dependiente)
X = matriz de diseño (variables independientes)
q = vector de parámetros de efectos fijos
= vector de errores
El vector de errores se supone con distribución normal e independiente con media de 0 y matriz de variaciones constantes (Draper y Smith, 1981; Jerez-Rico et al., 2011).
El presente estudio propone modelar el diámetro a la altura de la base considerando la falta de independencia de los errores generados en los datos longitudinales. Cuando se realizan mediciones repetidas sobre el mismo individuo, puede ocurrir autocorrelación (falta de independencia) y posible heterocedasticidad, razón por la cual se propone ajustar modelos mixtos que flexibilicen los supuestos de los modelos clásicos. El modelo mixto se puede describir de la siguiente manera:
donde:
y = vector de observaciones (variable dependiente)
X = matriz de diseño (variables independientes)
q = vector de parámetros de efectos fijos
= vector de error
b = vector de efectos aleatorios que modela la heterogeneidad entre los sujetos
La evaluación de los modelos ajustados se realizó con los criterios de información de Akaike (AIC) y el criterio de información bayesiano de Schwartz (BIC), el error estándar de los parámetros, el coeficiente de correlación y el análisis de los residuos frente a los valores estimados. Para la evaluación de las diferencias entre el espesor de los anillos según el sitio, se utilizaron el análisis de varianza y la prueba de comparación de Tukey. Los datos se analizaron estadísticamente con InfoStat (Di Rienzo et al., 2018) y su interfaz con el programa R.
Se evaluaron modelos lineales para describir los patrones de crecimiento en DAB en relación con la edad. Se ajustó un modelo general tomando en cuenta los cuatro sitios, para ello se determinó un modelo lineal de primer grado con la edad y el sitio como factores fijos, con estructura de correlación de los errores y para varianzas heterogéneas. Luego, para cada uno de los sitios de estudio se ajustaron modelos individuales, entre ellos, modelos lineales de primer grado y de tercer grado, con el factor edad como efecto fijo, con estructura de correlación de los errores y para varianzas heterogéneas (Tabla 1).

Resultados y discusión
Se registraron diferencias altamente significativas en los valores promedio del espesor de los anillos (valor de F 99.9 p < 0.0001) entre los sitios de estudio, de acuerdo con la prueba de Tukey, observándose el mayor crecimiento en la localidad Las Lomitas (3.41 mm), seguido por la localidad de Las Hacheras (3.08 mm), La localidad de Rivadavia (2.68 mm) e Ing. Juárez (2.19 mm). Otros estudios realizados por Giménez et al. (2007) obtuvieron un espesor de 2.077 mm para la localidad de Juan G. Bazán (S 24° 32’ O 60° 49’) ubicado entre Las Lomitas (a 30 km de Bazán) e Ingeniero G. Juárez (150 km de Bazán).
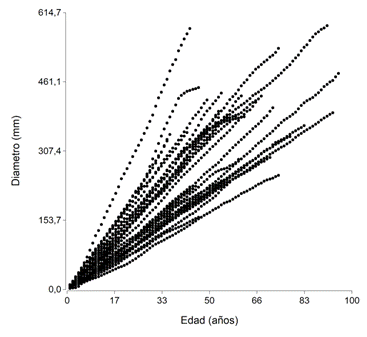
El DAB promedio fue de 48 cm a una edad promedio de 85 años (Fig. 2). El DAB medio de Las Lomitas (Formosa) fue de 58 cm para una edad de 95 años. Resultados similares fueron obtenidos por Giménez et al. (2014) con un DAB de 45 cm para la ciudad de Bazán (Formosa); y Maggio y Cellini (2015), en su estudio en Lomitas (Formosa), registraron DAP entre 26 cm y 51,2 cm.

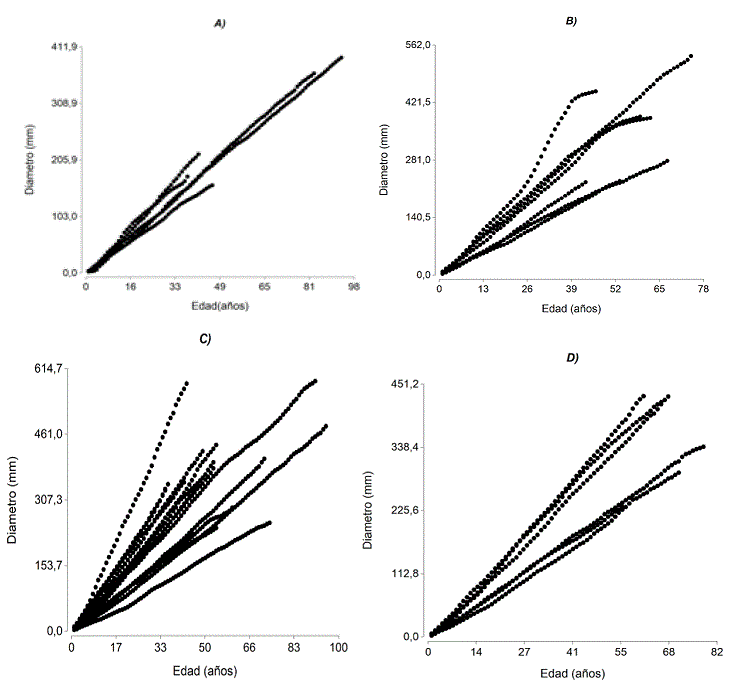
Las Hacheras presentó un DAB de 53 cm para la edad máxima de 74 años. Ingeniero G. Juárez presentó un DAB de 39 cm para una edad de 93 años. Las Lomitas presentó un DAB de 58 cm para una edad de 95 años y Rivadavia obtuvo un DAB de 43 cm para una edad de 78 años (Fig. 3).

Es necesario aumentar el número de árboles medidos a lo largo del tiempo para reducir la incertidumbre sobre los datos de crecimiento de B. sarmientoi (Araujo et al., 2007).
La modelación del diámetro en relación con la edad de la especie se obtuvo a partir de un modelo de regresión lineal; la función varident fue utilizada para modelar heterocedasticidad, con un coeficiente de determinación R2 = 0.79 y una varianza residual de 1.49.
donde:
DAB= diámetro a la altura de la base
E = edad
En la modelación del diámetro en relación con la edad para cada sitio, se ajustaron los parámetros de la función y sus errores estándar (Tabla 2). Los modelos lineales, coeficientes de regresión y varianza residual de las ecuaciones diametrales para cada uno de los sitios se describen en la Tabla 3.


Según la dinámica de crecimiento de la especie, de cada uno de los sitios de estudio se determinaron las directrices de manejo forestal: edad y turno de corta técnico forestal (Tabla 4).

La localidad Las Lomitas fue la que presentó el mayor turno de corta técnico forestal a los 81 años con un DAB de 52 cm, y la localidad Las Hacheras fue la que presentó un menor turno de corta técnico forestal a los 40 años con un DAB de 25 cm. Los resultados obtenidos en este estudio se contrastaron con los de un estudio previo (Giménez et al. 2014) realizado con igual metodología de medición de anillos de crecimiento, donde se establece el criterio técnico forestal de renta máxima de la especie (Coronel de Renolfi, 2015), que maximiza el crecimiento promedio (óptimo técnico) (Tabla 5). Giménez et al (2014) estudiaron los anillos de crecimiento de 12 árboles en la ciudad de Bazán, provincia de Formosa y determinaron que individuos de 104 años de edad con un DAB de 45 cm, aun no llegaban al turno de corta. Sin embargo, en los resultados obtenidos en este estudio con mayor cantidad de muestras (35 árboles derribados) para esta especie amenazada incluida en la Convención sobre el Comercio Internacional de Especies Amenazadas de Fauna y Flora Silvestres [Cites], se determinó que individuos con un DAB menor (33 cm) registraron un turno de corta de 62 años. Estudiar el crecimiento a partir de la medición de anillos es un método más eficaz y preciso, que los realizados a traves de cintas dendrométricas que estiman el crecimiento, un ejemplo de este último método es el estudio realizado por Loto et al. (2018) que determinaron un incremento periódico anual de individuos de Gonopterodendron sarmientoi de 1,14 mm.

En función del criterio técnico forestal mencionado anteriormente, aplicando el criterio tecnológico de corte (productos de máxima aplicación), de acuerdo con lo establecido por la ley 22 344 y considerando que esta permite la corta de la especie a partir de los 35 cm DAP, se determinó un DAB de 37 cm para poder realizar una estimación de edad que tendría Gonopterodendron sarmientoi (Tabla 6). Esto se basó en una muestra de 15 árboles con datos de DAB y DAP (Fig. 4), la diferencia de crecimiento promedio entre el diámetro a la base y a la altura de pecho fue de 1.73 cm. Para realizar la comparación se estableció que la diferencia de crecimiento entre la base y el diámetro a la altura de pecho fue de 2 cm. Esto se puede comparar con estudios de Prosopis nigra, especie nativa de la región chaqueña, que presenta crecimiento similar con un espesor medio radial de 3.29 mm (Giménez et al., 2003), obteniendo una diferencia de 1,8 cm. En este estudio el crecimiento promedio de la especie fue de 3.03 mm.


De acuerdo con Araujo et al. (2007) y con Loto et al. (2021), la intensidad de corta en los bosques donde se encuentra el palo santo está sujeta a la dinámica de crecimiento y al diámetro mínimo de corta (DMC) que correspondería a arboles de gran tamaño. Estos autores estimaron (a partir de datos de inventarios) densidad de población, área basal, volumen del fuste y altura media dominante en el área de distribución de la especie.
Si se compara el crecimiento del palo santo con el de otras especies nativas que crecen en su entorno, Prosopis alba presenta un crecimiento promedio de 4.05 mm (Giménez et al. 1998), Prosopis ruscifolia 5.66 mm (Giménez et al. 2009), Aspidosperma quebracho blanco 2.20 mm (Moglia y López, 2001) y Schinopsis quebracho colorado 2,19 mm (Ríos y Giménez, 1999).
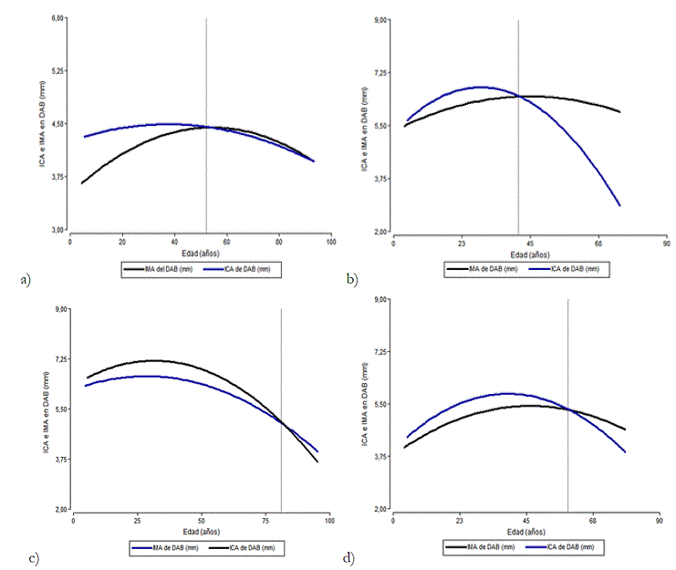
Las Figuras 5 y 6 muestran la evolución del crecimiento con la edad a partir del IMA y el ICA del diámetro a la altura del pecho para cada uno de los sitios de estudio y el comportamiento general de la especie; se visualiza para cada uno de los casos la edad donde ICA e IMA son iguales, lo que indica la máxima productividad.


Para calcular el tiempo de tránsito por clase diametral, se usó la curva de espesor de anillo promedio y a partir de esto se estableció el número de años que tarda en pasar de una clase a otra. Si se consideran todos los sitios, se obtiene una rotación de 41 años con un tiempo de tránsito de 17 años. En este promedio, se consideraron los intervalos de las siete clases diametrales estudiadas: menor a 5 cm, 5 cm a 10 cm, 10 cm a 20 cm, 20 cm a 30 cm, 30 cm a 40 cm, 40 cm a 50 cm y 50 cm a 60 cm.
Se calculó una rotación de 38 años para Las Hacheras, con un tiempo de tránsito de 16 años. En Las Lomitas se calculó una rotación de 39 años con un tiempo de tránsito de 15 años. Para Ingeniero G. Juárez, se calculó una rotación de 39 años con un tiempo de tránsito de 23 años (tiempo de tránsito más largo obtenido). Para Rivadavia, se calculó una rotación de 38 años con un tiempo de tránsito de 18 años.
De acuerdo con la planificación territorial del país (Piquer-Rodríguez et al. 2015) y las regulaciones del Apéndice II para el comercio internacional de palo santo (Cites), solo ha sido posible extraer madera de esta especie en los planes de gestión sostenible de 2013 (Zerbatto y Degano 2009; Secretaría de Ambiente y Desarrollo Sustentable [SAyDS], 2013). El palo santo es una especie muy valorada y de importancia a escalas tanto nacional como internacional. Su madera se caracteriza por presentar un color verde pastel a verde azulado, aroma agradable por sus aceites esenciales; es una madera pesada con densidad de 1,1 kg/dm3 (Giménez et al., 2013), demandada por su madera para consumo local, postes, varillas tornerías, herramientas, artesanías y aceites (Cites, 2010). Otros estudios actuales determinaron la procedencia de muestras en la zona de distribución del palo santo a partir de la técnica de infrarrojo cercano (NIRS) (Chifarelli et al., 2017), la cual es de gran utilidad para el control de flotas de camiones y poder estimar su lugar de corta. Estos resultados, sumados a los obtenidos en este trabajo como su crecimiento, turnos y ciclo de corta, contribuirán a un mejor uso, manejo y control de la especie.
Conclusiones
El espesor medio de anillo de crecimiento obtenido para Gonopterodendron sarmientoi Lorentz ex Griseb A. C. Godoy-Bürki es de 3.03 mm, a una edad estimada de 62 años.
Los resultados mostraron diferencias de crecimiento radial de Gonopterodendron sarmientoi por sitio. Los espesores promedio de los anillos en orden decreciente según los sitios son: Las Lomitas, con un espesor promedio de 3.4 mm, Las Hacheras 3.08 mm, Rivadavia 2.68 mm e Ingeniero G. Juárez con un espesor de 2.19 mm. Los dos primeros sitios coinciden con la isoyeta de mayor precipitación en el gradiente de distribución.
En Las Lomitas fue posible obtener mayores volúmenes de madera al momento del corte. En los demás lugares, se presentaron turnos más cortos. Ingeniero G. Juárez junto con Rivadavia arrojaron un incremento anual más bajo. Se puede hacer un manejo adecuado de Gonopterodendron sarmientoi de acuerdo con los límites postulados por la ley 22 344.
Las Hacheras es el sitio que alcanzó 37 cm de DAB en menos tiempo, seguido de Las Lomitas, Rivadavia e Ingeniero G. Juárez.
Se obtuvo una rotación promedio de 41 años con un tiempo de tránsito de 17 años.
Se considera importante determinar el turno de corte y el tiempo de rotación para asegurar un manejo forestal sostenible de la especie.
Referencias
Araujo, P., Juárez de Galíndez, M., & Iturre, M. (2007). Crecimiento de las especies principales de un bosque en regeneración del Chaco Santiagueño. Quebracho - Revista de Ciencias Forestales, 14, 36-46.
Cabrera, A. (1994). Regiones fitogeográficas argentinas. EnEnciclopedia Argentina de Agricultura y Jardinería (pp. 1-85) (2a ed.) Acme.
Camps, A., Martínez-Meyer, E., Verga, A., Sérsic, A., & Cosacov, A. (2018). Genetic and climatic approaches reveal effects of Pleistocene refugia and climatic stability in an old giant of the Neotropical Dry Forest. Biological Journal of the Linnean Society125(2), 401-420. https://doi.org/10.1093/biolinnean/bly115
Chifarelli, V., Giménez, M., Nisgoski, S., & Moglia, J. (2017). Aplicación de la técnica de NIRS (espectroscopia de infrarrojo cercano) en la discriminación de la madera de Bulnesia sarmientoi. En: Giménez, A. M.y Moglia, J. G. (Eds.) Los Bosques actuales del Chaco semiárido argentino: Ecoanatomía y biodiversidad. Una mirada propositiva (pp. 267-280). Brujas.
Convención sobre el comercio internacional de especies amenazadas de fauna y flora silvestres [Cites] (2010, 13-25 marzo). Examen de las propuestas de enmiendas a los apéndices I y II. 15. Reunión de conferencia de las partes. Doha, Qatar.
Córdoba, M. (2014). Herramientas estadísticas para el monitoreo y uso de la variabilidad espacial del rendimiento y propiedades de suelo intralote. [Tesis doctoral, Universidad Nacional de Córdoba Facultad de Ciencias Agropecuarias].
Coronel de Renolfi, M. (2015). Determinación del turno forestal: bases teóricas y aplicaciones prácticas. Edunse.
Draper, N., & Smith, H. (1981). Applied Regression Analysis (2a ed.) Wiley.
Di Rienzo, J., Casanoves, F., Balzarini, M., Gonzalez, I., Tablada, M., & Robledo, C. (2018). InfoStat. http://www.infostat.com.ar.
Giménez, A. M., Hernández, P., Spagarino, C., Moglia, J. G., & Ríos, N. A. (2014). Calidad de la madera y potencial de crecimiento de Palo santo (Bulnesia sarmientoi Lorentz ex Griseb. Ivyrareta, 13, 55-60.
Giménez, A., Hernández, P., Ríos, N., & Calatayu, F. (2013). Crecimiento de árboles individuales de Geoffreea decorticans Burk., en un bosque del Chaco semiárido, Argentina. Madera y Bosques, 19(1), 37-52. https://doi.org/10.21829/myb.2013.191345
Giménez, A., Hernández, P., & Gerez, R. (2007). Wood anatomy and growth rings of palo santo (Gonopterodendron sarmientoi Lorenz ex Griseb, Zygophyllaceae) Revista Quebracho, 14, 23-37.
Giménez, A. M., & Moglia, J. G., (2003). Arboles del chaco argentino, guía para el reconocimiento dendrológico. El Liberal.
Giménez, A. M., Ríos, N. A., & Moglia, J. G., (2003). Crecimiento de Prosopis nigra (Griseb.) Hieron (algarrobo negro) en Santiago del Estero, Argentina, Foresta Veracruzana, 5(2), 17-22.
Godoy- Bürki, J. M., Acosta, Y., & Aagesen, L. (2018). Phylogenetic relationships within the New World subfamily Larreoideae (Zygophyllaceae) confirm polyphyly of the disjunct genus Bulnesia. Systematics and Biodiversity, 16(5), 453-468. https://doi.org/10.1080/14772000.2018.1451406
Helinska, R., Raczkowska, E., & Fabisiak, G. (1991). Radial variation and growth rate in the length of the axial elements of sessile oak wood. IAWA Bulletin, 12(3), 257-262. https://agris.fao.org/agris-search/search.do?recordID=NL9107966
Jerez-Rico, M., Moret-Barillas, A., Carrero-Gámez, O., Macchiavelli, R., & Quevedo-Rojas, A. (2011). Curvas de índice de sitio basado en modelos mixtos para plantaciones de Teca (Tectona grandis lf) en los Llanos de Venezuela. Agrociencia, 45(1), 135-145.
Juárez de Galíndez, M., Giménez, A. M., Ríos, N., & Balzarini, M. (2008). Determinación de la edad de aprovechamiento de Prosopis alba mediante un modelo logístico de intercepto aleatorio para incrementos radiales. Ciencia e Investigación Forestal, 14(2), 287-299. https://doi.org/10.52904/0718-4646.2008.106
Loto, D., Kees, S., Azcona, M., De Telleria, S., Manghi, E., Gaitan, J., Spagarino, C., Gasparri, I., & Peri, P. (2021). Estructura de bosques con palo santo (Gonopterodendron sarmientoi): Evaluación regional para su manejo y conservación en la Argentina. Ecología Austral, 31(3), 558-574. https://doi.org/10.25260/EA.21.31.3.0.1795
Loto, D., Gasparri, I., Azcona, M., García, S., & Spagarino, C. (2018). Estructura y dinámica de los bosques de palo santo en el Chaco Seco. Ecología Austral , 28(1), 64-73. https://doi.org/10.25260/EA.18.28.1.0.615
Moglia, J., & López, C. (2001). Variabilidad radial de algunos caracteres anatómicos de Aspidosperma quebracho blanco. Bosque, 22(2), 3-14. https://doi.org/10.4206/bosque.2001.v22n2-01
Morello, J., & Adámoli, J. (1974) Las grandes unidades de vegetación y ambiente del chaco argentino. Vegetación y medio ambiente de la provincia del Chaco. Serie fitogeográfica. Instituto Nacional de Tecnología Agropecuaria.
Oyarzabal, M., Clavijo, J., Oakley, L., Biganzoli, F., Tognetti, P., Barberis, I., Maturo, H., Aragón, R., Campanello, P., Prado, D., Oesterheld, M., & León, R. (2018). Unidades de vegetación de la Argentina. Ecología Austral , 28(1), 40-63. https://doi.org/10.25260/EA.18.28.1.0.399
Piquer-Rodríguez, M., Torella, S., Gavier-Pizarro, G., Volante, J., Somma, D., Ginzburg, R., & Kuemmerle, T. (2015). Effects of past and future land conversions on forest connectivity in the Argentine Chaco. Landscape Ecology, 30(5), 817-833. http://hdl.handle.net/20.500.12110/paper_09212973_v30_n5_ p817_PiquerRodriguez
Ríos, Norfol A., & Giménez, A. M. (1999). Crecimiento de Schinopsis quebracho-colorado (Schlecht.) Barkl. et Meyer, Anacardiaceae. Madera y Bosques , 5(2),35-51. https://doi.org/10.21829/myb.1999.521346
Rodrigues, M., Corá, J., Castrignanò, A., Mueller, T., & Rienzi, E. (2013). A spatial and temporal prediction model of corn grain yield as a function of soil attributes. Agronomical Journal, 105(6), 1878-1887. https://doi.org/10.2134/agronj2012.0456
Secretaría de Ambiente y Desarrollo Sustentable [SAyDS]. (2013). Resolución 393/13. Exportación de palo santo. https://argentinambiental.com/legislacion/nacional/resolucion-39313-exportacion-palo-santo/
West, B., Welch, K., Galecki, A. (2014). Linear Mixed Models. A Practical guide Using Statistical Software. Editorial Chapman and Hall/CRC.
Zerbatto, M., & Degano, W. (2009). Situación de la especie Palo Santo (Bulnesia sarmientoi Lorentz ex Griseb.) en la provincia de Formosa: estudio de sitios de extracción en los departamentos Matacos y Bermejo. Fundación Biodiversidad Argentina. https://www.academia.edu/3481993/Situaci%C3%B3n_de_la_especie_Palo_Santo_Bulnesia_sarmientoi_Lorentz_ex_Griseb_en_la_provincia_de_Formosa_estudios_de_sitios_de_extracci%C3%B3n_en_los_Departamentos_Matacos_y_Bermejo
Zurita, J. J. (2007). Carta de suelos de la República Argentina Provincia del Chaco: Los Suelos del Departamento General Güemes. INTA. https://inta.gob.ar/sites/default/files/script-tmp-inta_informe_mapa_de_suelo_guemes.pdf
Notas de autor
*Autor de correspondencia. vaninachifarelli@yahoo.com.ar