Artículos científicos
Estaciones meteorológicas y estudios dendroclimáticos en México: ¿Cuál estación elegir?
Weather stations and dendroclimatic studies in Mexico: Which station to choose?
Estaciones meteorológicas y estudios dendroclimáticos en México: ¿Cuál estación elegir?
Madera y bosques, vol. 28, núm. 2, e2822450, 2022
Instituto de Ecología A.C.
Recepción: 03 Diciembre 2021
Aprobación: 28 Junio 2022
Publicación: 08 Diciembre 2022
Financiamiento
Fuente: Consejo Nacional de Ciencia y Tecnología
Nº de contrato: IN302721
Resumen: Los anillos de crecimiento son un banco de datos que, interpretados a detalle, pueden ayudar a dilucidar eventos climáticos que ocurrieron en el pasado. Para realizar interpretaciones más asertivas es necesario utilizar información proveniente de estaciones meteorológicas cercanas a los sitios de estudio. El objetivo del presente trabajo fue determinar si existen diferencias en condiciones entre las estaciones meteorológicas y los sitios de muestreo que se utilizaron en los estudios dendroclimáticos realizados en México. Se realizó una revisión en diferentes bases de datos científicas y buscadores digitales para obtener todos los trabajos publicados referentes a dendroclimatología cuya zona de estudio fuera en México. Se obtuvieron los valores de las variables propuestas tanto para las estaciones meteorológicas como para los sitios de muestreo de los estudios, para calcular un índice de similitud de condiciones. Se registró un total de 81 estudios, pero solo se analizaron 39 (48%), ya que solo estos expresaban de manera precisa las estaciones utilizadas y las coordenadas geográficas de los sitios de muestreo. Solo 6% de los estudios dendroclimáticos presentaron una alta similitud de condiciones, 41% una similitud media-alta, 46% una similitud media-baja, y 7% una baja similitud de condiciones. Se considera importante realizar, en un futuro cercano, una comparación de condiciones entre las estaciones meteorológicas y los sitios de muestreo en todos los estudios dendrocronológicos; eso se podría realizar con índices de similitud de condiciones como el que se propone en este estudio.
Palabras clave: Anillo de crecimiento, condiciones ambientales, correlación espacial, dendroclimatología, dendrocronología, potencial dendrocronológico.
Abstract: Tree-rings growth is a data bank that, if correctly interpreted in detail, can help elucidate climatic events of the past. To make more assertive interpretations it is necessary to use information from weather stations near the study sites. The objective of the present study was to determine if there are differences in conditions between the selected meteorological stations and the sampling sites used in the dendroclimatic studies carried out in Mexico. We reviewed different scientific databases and digital search engines to obtain all the published works related to dendroclimatology whose area of study is localized in Mexico. We obtained the values of each of the proposed variables, both the meteorological stations and the sampling sites used in the dendroclimatic studies to calculate an index of similarity of conditions proposed. We recorded 81 studies, but only 39 were analyzed (48%) since only they expressed in a precise way the stations used and the geographical coordinates of the sampling sites. We observed that only 6% of the dendroclimatic studies presented a high similarity, 41% of the studies showed a medium-high similarity, 46% showed a medium-low similarity, and the other 7% presented a low similarity of conditions. A comparison of conditions between meteorological stations and sampling sites should be made in all dendrochronological studies, which could be done with similarity indexes of conditions such as the one recommended in this study.
Keywords: Growth ring, environmental conditions, spatial correlation, dendroclimatology, dendrochronology, dendrochronological potential.
Introducción
Una de las técnicas de datación más utilizada en términos de datos de observación es la dendrocronología, cuyo objetivo es el estudio de los anillos anuales de crecimiento de las plantas leñosas. Esta disciplina ha proporcionado información extremadamente valiosa relacionada con el cambio ambiental y climático de miles de años, proporcionando datos para periodos en los que la observación instrumental no está disponible (Beniston, 2002; Fritts, 1971). Un anillo de crecimiento radial es una capa de tejido secundario que puede ser xilema o floema, aunque este último no es siempre distinguible. No todas las especies forman anillos de crecimiento, las especies tropicales no exhiben un cambium vascular diferenciado, sino que se observa un crecimiento homogéneo (Raven et al., 2005).
Existen factores que determinan el crecimiento arbóreo, entre los que se encuentran los climáticos (precipitación, temperatura, humedad), edáficos (drenaje, profundidad del suelo, cantidad de nutrientes), lumínicos (disponibilidad de luz), por mencionar algunos. Lo anterior se ve reflejado en los anillos de crecimiento, ya que los anillos serán más anchos en sitios con alta precipitación, suelo profundo, con buen drenaje y con mucha disponibilidad de luz (Fritts, 1976; Schweingruber, 1993).
Esta relación existente entre las condiciones ambientales y el crecimiento arbóreo permite realizar inferencias sobre variables ambientales donde no se cuenta con información directa, a partir de los aumentos o disminuciones abruptos en el crecimiento radial o en la producción excesiva de anillos de crecimiento. La dendroclimatología se basa en esa relación entre las condiciones ambientales y el crecimiento arbóreo, ya que a partir del estudio de los anillos de crecimiento se pueden reconstruir algunas de las variables climatológicas (Fritts, 1971).
Cuando se trata de relacionar los anillos de crecimiento radial con las condiciones climáticas para reconstruir las variables meteorológicas, es necesario tener en cuenta algunos criterios como la selección de los sitios de muestreo y la selección de plantas que son propicias para realizar los estudios. En cuanto a la selección de sitios de muestreo se recomienda que se seleccionen lugares que no tengan evidencia de disturbio (Astudillo-Sánchez et al., 2017; Villanueva-Díaz et al., 2007) y que presenten condiciones similares entre sí, por ejemplo, pendiente y orientación de la ladera, para que estas condiciones no sean un factor que influya en las diferencias entre el crecimiento radial de las diferentes muestras (Pompa-García y Jurado, 2014; Pompa-García y Venegas-González, 2016).
En la selección de los individuos de estudio se recomienda elegir árboles de apariencia más longeva, más altos y más grandes en términos de diámetro, evitando a su vez a todos aquellos individuos que tuvieran alguna deformidad o que estuvieran dañados o enfermos (Astudillo-Sánchez et al., 2017; Marlès et al., 2015). Es importante considerar aquellos individuos que proporcionan más información climática en cuanto a la variación en el crecimiento de los anillos, porque son los que están catalogados como sensibles, estos crecen cerca de su intervalo ecológico extremo, en este caso las variaciones climáticas influyen en gran medida. Los individuos catalogados como complacientes crecen en un ambiente más benigno, donde las variaciones climáticas influyen muy poco y proporcionaran poca información de variación climática (Beniston, 2002; Fritts, 1971).
La mayoría de los estudios dendroclimáticos en México únicamente han utilizado a la precipitación en sus análisis. Algunos se han enfocado en la reconstrucción de esa variable (Cleaveland et al., 2003; Díaz-Ramírez et al., 2016), mientras que otros se han enfocado en determinar la relación entre la precipitación y el crecimiento radial (Astudillo-Sánchez et al., 2017; Therrell et al., 2002), en detectar eventos de sequía (Arreola-Ortiz y Návar-Cháidez, 2010; Bickford et al., 2011), en la reconstrucción de la evaporación o correlacionando dicha variable climática con el crecimiento radial (Chacón-de la Cruz y Pompa-García, 2015; Pompa-García, Rodríguez-Flores et al., 2013), o en la identificación de eventos de El Niño - Oscilación del Sur, ENOS (Arreola-Ortiz y Návar-Cháidez, 2010; Cerano-Paredes et al., 2011).
México es considerado como un área de transición entre dos regiones biogeográficas, la neártica y la neotropical (Morrone, 2017); cuenta con una gran diversidad de tipos de climas, vegetación y suelos, producto de su heterogeneidad ambiental. Posee gran diversidad de especies arbóreas, se estima un total de 170, de las cuales 44% son endémicas para México (Ricker y Hernández, 2010. Al tener un número elevado de especies leñosas, tiene un alto potencial para realizar estudios dendroclimáticos, además una diversidad de condiciones donde se podrían aplicar.
De acuerdo con la hipótesis de correlación espacial que establece que dos puntos en el espacio geográfico que están a corta distancia son más similares en condiciones que si estuvieran alejados, para realizar un buen estudio dendroclimático, los sitios seleccionados para la obtención de muestras de plantas leñosas deben de estar lo suficientemente cercanos a las estaciones meteorológicas para tener datos climáticos comparables con los anillos de crecimiento, para que de esta manera se puedan realizar inferencias más asertivas (Chen et al., 2017; Wang et al., 2020; Yang et al., 2017). Una mayor cantidad de diferencias en condiciones significaría que las estaciones meteorológicas seleccionadas no fueron las idóneas para realizar los estudios dendroclimáticos, por el contrario, una menor cantidad de diferencias en condiciones sería el reflejo de una buena elección. Para hacer la determinación objetivo de este estudio, se propone un índice de similitud de condiciones ambientales (%) entre las estaciones meteorológicas y los sitios de muestreo, que podría aplicarse en la selección de estaciones meteorológicas en los estudios dendroclimáticos.
Objetivos
El objetivo principal de este estudio fue determinar, con base en 14 variables, si existen diferencias en condiciones entre las estaciones meteorológicas seleccionadas y los sitios de muestreo en los estudios dendroclimáticos realizados en México.
Materiales y métodos
Área de estudio
La zona de trabajo donde se enfocó este estudio fue todo el territorio de México, cuyas coordenadas extremas son: al norte 32° 43’ 06’’ y al sur 14° 32’ 27’’ de latitud norte; al este 86° 42’ 36’’ y al oeste 118° 27’ 24’’ de longitud oeste. México cuenta con una superficie continental de 1 959 248 km2, tiene fronteras con Estados Unidos de América, Guatemala y Belice, y se encuentra rodeado principalmente por el océano Pacífico al oeste y por el Golfo de México al este (Instituto Nacional de Estadística y Geografía [Inegi], 2020).
Selección de estudios dendroclimáticos
Para cumplir con el objetivo del trabajo, se realizó una revisión exhaustiva en diferentes bases de datos científicas y buscadores digitales (Web of Science, BIOONE, EBSCOHOST, JSTOR, PlusOne, ScienceDirect, Scopus, Springer, WILEY y Google Scholar) de los cuales se recopilaron estudios publicados referentes a dendroclimatología cuya zona de estudio se localiza en México. Para los análisis solo se trabajó con los artículos que usaron datos climáticos provenientes de estaciones meteorológicas y que expresaran de manera precisa las estaciones utilizadas y las coordenadas geográficas de los sitios de muestreo.
Similitud de condiciones ambientales
A partir de los estudios seleccionados, se elaboró una base de datos que contemplaba las coordenadas geográficas de los sitios de muestreo y de las estaciones meteorológicas que utilizaron. Las coordenadas de las estaciones se obtuvieron de la información disponible en el sitio del Servicio Meteorológico Nacional [SMN] (2020).
Se trabajó con 14 variables tanto categóricas como continuas (Tabla 1): cuenca, subcuenca, tipo de vegetación, tipo de clima, provincia fisiográfica, subprovincia fisiográfica, topoforma, orientación de la ladera, distancia entre la estación meteorológica-sitio de muestreo (km), distancia a los cuerpos de agua más cercanos (mar y lagos, km), así como las diferencias entre la estación-sitio en altitud (m), en temperatura media anual (°C) y en precipitación anual (mm).

Para cada sitio de muestreo y estación meteorológica, se obtuvo la información de cada variable con base en la cartografía disponible mediante un sistema de información geográfica (SIG). La capa de orientación de la ladera se generó por medio de un SIG a partir del mapa de altitud. Las distancias a los cuerpos de agua (mar y lagos) de las estaciones y los sitios de muestreo también se calcularon por medio de un SIG. Posteriormente se calcularon las diferencias entre las estaciones-sitios de muestreo para la altitud, temperatura y precipitación. Finalmente, para el cálculo de la distancia entre las estaciones meteorológicas-sitios de muestreo se utilizó el lenguaje de programación Python para obtener la información proveniente de la página oficial del SMN, en específico, se obtuvieron latitud, longitud, altitud y nombre de las estaciones; posteriormente con el método “distance” del paquete “geopy”, se calcularon las distancias entre cada punto de muestreo, utilizando las coordenadas de los sitios y de las estaciones correspondientes.
Para la obtención del índice de similitud en condiciones entre las estaciones y los sitios de muestreo, primero se calculó el porcentaje de similitud (PS) para cada variable utilizada. En ese sentido, en las variables categóricas (cuenca, subcuenca, tipo de vegetación, tipo de clima, provincia fisiográfica, subprovincia fisiográfica, topoforma, orientación de la ladera) el porcentaje de similitud solamente podía tener dos opciones, 0% o 100%. El 0% (categoría 1) indica que la estación meteorológica y el sitio de muestreo a comparar presentan diferentes tipos de categoría, mientras que el valor de 100% (categoría 2) corresponde al caso en que tanto la estación como el sitio de muestreo se encuentran bajo la misma condición.
En las variables continuas (distancia entre la estación meteorológica-sitio de muestreo, distancia a los cuerpos de agua más cercanos, diferencias entre la estación-sitio en altitud, en temperatura media anual y en precipitación anual), el porcentaje se calculó con base en seis categorías (Tabla 2) y el valor del porcentaje dependió de las diferencias y las distancias observadas entre las estaciones meteorológicas y los sitios de muestreo.

El índice de similitud se calculó utilizando la ecuación 1.
donde:
∑PS : sumatoria de los porcentajes de similitud de todas las variables utilizadas
Vmax : valor máximo posible que puede obtenerse de la sumatoria de los porcentajes de similitud
En este caso, el valor máximo fue 1400, ya que se utilizaron 14 variables en total.
De esta manera, el índice puede obtener valores entre 0% y 100%, siendo los valores cercanos a 0% los que representarían una baja similitud de condiciones entre la estación meteorológica y el sitio de muestreo; mientras que los valores cercanos a 100% representarían una alta similitud de condiciones. El presente estudio estableció cuatro categorías del índice de similitud que podría emplearse en los estudios dendroclimáticos: similitud baja (< 25%), similitud media baja (25% - 50%), similitud media alta (50% - 75%) y similitud alta (> 75%).
Resultados
Estudios dendroclimáticos en México
Se registró un total de 81 estudios, de los cuales solo 39 (48%) fueron considerados para el presente análisis (Tabla 3). Esto se debió a que los trabajos restantes no utilizaron datos provenientes de estaciones meteorológicas, sino que utilizaron cartografía climática (14%) o no fueron precisos en las estaciones meteorológicas que utilizaron o en las coordenadas de los sitios de muestreo que utilizaron (38%).

De los estudios con los que se trabajó, se registraron 46 especies pertenecientes a 16 familias, siendo Pinaceae la de mayor número de especies (17), seguida de Fabaceae con 10 especies (Tabla 4). De todas las especies registradas solo en cuatro se concentraron 33% de los estudios dendroclimáticos, siendo Pseudotsuga menziesii la especie más estudiada (15%, 11 estudios), seguida de Pinus cooperi con 10% (7 estudios), Abies religiosa (4%) y Pinus cembroides (4%) con 3 estudios cada una (Fig. 1).


En cuanto a la localización de los sitios de muestreo utilizados en los estudios dendroclimáticos, se observó una tendencia hacia el norte del país, siendo el estado de Durango el que presentó una mayor concentración de sitios, seguido del estado de Nuevo León. Para la parte sur de México, solo se registraron dos sitios, uno en el estado de Oaxaca y otro en Chiapas (Fig. 2).

Similitud de condiciones
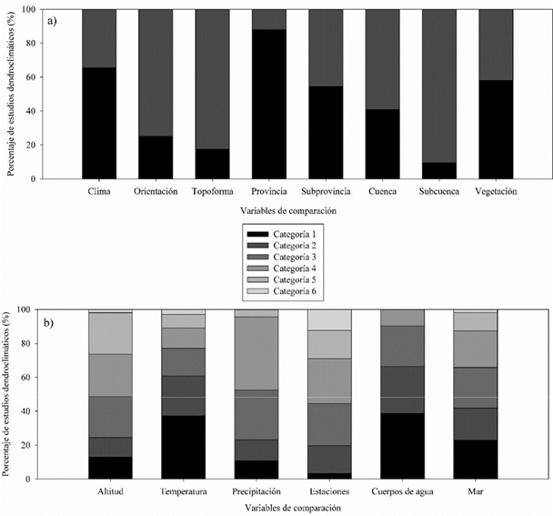
Como se observa en la Figura 3, se obtuvieron porcentajes altos de diferencias en condiciones entre las estaciones meteorológicas y los sitios de muestreo utilizados en los estudios dendroclimáticos. De las variables categóricas (Fig. 3a), la que registró el menor porcentaje de similitud fue la subcuenca ya que en solo 10% de los estudios las estaciones meteorológicas y los sitios de muestreo se encuentran en la misma subcuenca (categoría 1), le siguen las topoformas con 18%, la orientación de la ladera con 25%, la cuenca con 41%, la subprovincia fisiográfica con 54% y el tipo de vegetación con 58%. Otras variables, como el tipo de clima o las provincias fisiográficas, presentaron mayores similitudes: 66% de los estudios presentan el mismo tipo de clima para las estaciones meteorológicas y para los sitios de muestreo y, para 88% de los estudios, las estaciones y los sitios de muestreo se encuentran en la misma provincia.

En cuanto a las variables continuas (Fig. 3), solo 3% de los estudios presentaron distancias menores a 10 km entre las estaciones meteorológicas y los sitios de muestreo (categoría 1), y 16% presentaron diferencias de distancia entre 10 km y 20 km (categoría 2). Para distancia a los cuerpos de agua (lagos) y al mar, solo 39% (cuerpos de agua) y 23% (mar) de los estudios presentaron distancias de menos de 10 km a los cuerpos de agua y al mar (categoría 1). Con respecto a las diferencias altitudinales entre las estaciones y los sitios de muestreo, 52% de los estudios presentan diferencias mayores a los 1000 m (categoría 4, 5, 6) y solo 13% presentaron diferencias altitudinales de menos de 100 m (categoría 1). En cuanto a temperatura, 37% de los estudios presentan diferencias de menos de 2 °C (categoría 1) y 24% de los estudios se registraron diferencias de temperatura entre 2 °C y 4 °C (categoría 2). Para precipitación, 43% de los estudios presentaron diferencias entre 200 mm y 500 mm (categoría 4) entre las estaciones y los sitios de muestreo, y solo 11% de los estudios exhibieron diferencias en precipitación de menos de 50 mm (categoría 1).
Se observó que 46% de los estudios dendroclimáticos presentaron similitudes medias-bajas (25% - 50% de similitud) entre las estaciones meteorológicas y los sitios de muestreo que utilizaron; 41% presentaron categorías medias-altas (50% - 75% de similitud). Es importante señalar que solo 6% de los estudios dendroclimáticos presentaron una similitud de condiciones de más de 75% (categoría alta) y que el resto (7%) presentaron similitud de condiciones baja, es decir, de menos de 25% (Fig. 4).

Discusión
Partiendo de la idea central de la hipótesis de correlación espacial ya expuesta, los sitios seleccionados para la obtención de muestras en los estudios dendroclimáticos deben de estar lo suficientemente cercanos de las estaciones meteorológicas para obtener reconstrucciones climáticas con menor incertidumbre (Chen et al., 2017; Wang et al., 2020; Yang et al., 2017). Pero esto no ocurre en la mayoría de los estudios que se han realizado en México; como se logra observar en el presente trabajo, pocos son los estudios Dendroclimáticos que consideraron estaciones meteorológicas con una cercanía menor a 10 kilómetros (3%). Si bien se pueden detectar eventos climáticos regionales al utilizar estaciones meteorológicas lejanas, hay que tener en cuenta que los procesos locales también son importantes, por lo que faltaría realizar estudios dendroclimáticos, pero bajo una perspectiva local, para la información que se obtenga pueda ser aplicada en lugares específicos.
Existe un número considerable de estudios dendroclimáticos que ni siquiera mencionan las estaciones que ocuparon y por ende no se conoce la distancia a la que se encuentran las estaciones de donde se obtuvo la información climática (38% de los estudios). También se identificaron estudios en los que no se hizo uso de datos de estaciones meteorológicas directamente, ya que utilizaron técnicas de interpolación para realizar cartografía climática para después obtener la información climática de esos modelos (14% de los estudios). Lo anterior se registró para especies como Abies concolor utilizando insumos cartográficos a una resolución de aproximadamente 55 km de tamaño de pixel (Meko et al., 2013) y para Pseudotsuga menziesii utilizando cartografía con una resolución espacial de aproximadamente 277 km × 416 km (Díaz et al., 2002).
e acuerdo con el SMN, México cuenta con cerca de 5500 estaciones meteorológicas distribuidas en todo el país, de ellas, solo 188 son automatizadas (SMN, 2020). Considerando la superficie total de México, son pocas las estaciones meteorológicas con que se cuenta (Trejo et al., 2008) y se deberían invertir más recursos para robustecer la red. La cantidad actual de estaciones representa aproximadamente una por cada 35 623 ha, que es una proporción baja si se considera que el área representativa de cada estación es de aproximadamente 5 km de radio en terreno plano, es decir, 7850 ha (Inegi, 2020; SMN, 2020).
Una parte fundamental de la dendrocronología es la selección del área de estudio, ya que existen regiones en el espacio donde no es posible realizar estudios dendrocronológicos, ya sea porque las especies presentes en esos lugares no presentan anillos de crecimiento anuales (características propias de cada especie), porque no existe gran variabilidad entre los anillos que permita diferenciarlos debido a los factores ambientales, o por el hecho de que no se cuenta con individuos arbóreos suficientes para poder realizar un estudio que sea estadísticamente sólido (Cook y Kairiukstis, 1989; Fritts, 1976).
De los estudios dendroclimáticos en México, 15% se han centrado en analizar a Pseudotsuga menziesii, un número alto de trabajos tomando en cuenta que México es considerado como uno de los centros de origen de otras especies coníferas, como es el caso del género Pinus, que cuenta con aproximadamente 40% de todas las especies de pino del mundo (Gernandt y Pérez-de la Rosa, 2014). La abundancia y variedad de especies de Pinus en México, y la capacidad de estas para formar anillos de crecimiento, ofrecen la oportunidad de ampliar los conocimientos acerca de su potencial dendroclimático; sería conveniente aprovechar esta condición y realizar más estudios en este sentido.
De acuerdo con los estudios revisados, se identificaron dos posibles respuestas de las especies a las condiciones climáticas, las cuales pueden ser aumentos o disminuciones en el crecimiento radial. En cuanto a los aumentos en el crecimiento, lo que se observa es que la precipitación de invierno-primavera o las bajas temperaturas favorecen el crecimiento en especies como Abies religiosa (Cerano-Paredes et al., 2014), Pinus hartwegii (Astudillo-Sánchez et al., 2017) o Pinus cooperi (Pompa-García y Camarero, 2015; Pompa-García y Hadad, 2016). Caso contrario son las disminuciones en el crecimiento radial debido a las altas temperaturas que es lo que se indica para especies como Pinus pseudostrobus (Marlès et al., 2015) o Pinus cooperi (Pompa-García y Camarero, 2015; Pompa-García y Hadad, 2016). Esto sucede pues las altas temperaturas provocan un aumento en la evaporación que tiende a reducir la disponibilidad de agua y, por ende, el crecimiento.
Como se mencionó anteriormente, muchos aspectos son esenciales en la selección de los sitios de muestreo, se logró identificar es que es recomendable seleccionar las áreas de óptimo crecimiento arbóreo (Cook y Kairiukstis, 1989). Se puede dar por hecho que las condiciones ideales de crecimiento para una especie corresponden a lugares donde existe un mayor número de individuos; por el contrario, sitios con pocos individuos, en donde los árboles están bajo estrés, representan áreas poco idóneas (Pompa-García, Cerano-Paredes et al., 2013). Pero para saber cuáles son las condiciones ideales para las especies se deben de realizar estudios específicos, ya sea de germinación, de establecimiento, de sobrevivencia, de reproducción o de dispersión, por mencionar algunos.
Actualmente no se cuenta con la información de las condiciones óptimas para todas las especies, si bien hay varios estudios donde se consideran las condiciones óptimas de algunas, mucha de esa información se refiere a condiciones de invernadero, de vivero o de laboratorio y no precisamente a las condiciones de campo. Existen pocos estudios que consideran las condiciones óptimas de las especies arbóreas a partir de datos de campo y en muchos sitios de muestreo (Gómez Díaz et al., 2011; Gutiérrez y Trejo, 2014). De los estudios dendroclimáticos analizados, se logró observar que uno de los principales factores limitantes en el crecimiento arbóreo es la precipitación. Hay especies que, al existir periodos de poca lluvia, se encuentran bajo estrés hídrico y en consecuencia no crecen lo suficiente, esto fue lo observado para Pinus hartwegii (Astudillo-Sánchez et al., 2017) y Pseudotsuga menziesii (Castruita-Esparza et al., 2016). Sin embargo, para especies como Pinus devoniana la disminución en el crecimiento se presenta al aumentar los niveles de precipitación (Marlès et al., 2015).
En cuanto a la localización de los sitios de muestreo de los estudios dendroclimáticos, se observa una tendencia hacia el norte y centro de México, siendo más frecuentes en el norte, lo cual muestra que falta un mayor esfuerzo de muestreo al sur del país. Como se observó en el presente estudio, la mayoría de las especies con las que se ha trabajado son coníferas, a pesar de que estados al sur del país como Guerrero, Oaxaca y Chiapas, que hasta la fecha cuentan con pocos estudios, también presentan la existencia de diversas especies de coníferas con las que se podrían realizar estudios dendrocronológicos.
Los estudios dendrocronológicos que ocupen estaciones meteorológicas para reconstruir condiciones climáticas o para datar las edades de los árboles deberían realizar comparaciones de condiciones entre las estaciones y sus sitios de muestreo para seleccionar estaciones de una forma mucho más atinada, por lo que la aplicación del índice propuesto sería conveniente si se considera que solo 6% de los estudios dendroclimáticos presentan una similitud de condiciones alta entre los sitios de muestreo y las estaciones meteorológicas empleadas (similitud de más del 75%). Además, el índice que se propone se basa en insumos cartográficos disponibles que pueden ser aplicados en cualquier SIG.
Conclusiones
Son importantes todos los estudios dendroclimáticos que se han realizado en México en cuanto a la reconstrucción climática del pasado, y más si toman en cuenta todas las limitantes que se tienen, tales como la falta de información climática o el poco conocimiento sobre las especies. Para realizar estudios dendroclimáticos bajo una perspectiva local en lugares que no cuentan con registros dendrocronológicos es necesario tener un mayor número de estaciones meteorológicas, sobre todo si se considera que México es un país que presenta una gran diversidad climática. También es fundamental tener un mayor conocimiento sobre el potencial de las especies para formar anillos de crecimiento, así como información sobre sus condiciones óptimas.
Realizar una comparación de condiciones entre las estaciones meteorológicas y los sitios de muestreo es algo primordial que se debería aplicar en todos los estudios dendrocronológicos que llegasen a utilizar la información climática para datar los anillos de crecimiento. Esta comparación se podría realizar con índices de similitud de condiciones como el que se propone en este estudio.
Reconocimientos
El primer autor agradece al Consejo Nacional de Ciencia y Tecnología por la beca escolar para sus estudios de doctorado. Esta investigación formó parte del proyecto PAPIIT (IN302721).
Referencias
Arreola-Ortiz, M., & Návar-Cháidez, J. (2010). Análisis de sequías y productividad con cronologías de Pseudotsuga menziesii Rob. & Fern., y su asociación con El Niño en el nordeste de México. Investigaciones geográficas, 71, 7-20.
Astudillo-Sánchez, C., Villanueva-Díaz, J., Endara-Agramont, A., Nava-Bernal, G., & Gómez-Albores, M. (2017). Climatic variability at the treeline of Monte Tlaloc, Mexico: a dendrochronological approach. Trees, 31(2), 441-453. https://doi.org/10.1007/s00468-016-1460-z
Beniston, M. (2002). Climate modeling at various spatial and temporal scales: where can dendrochronology help?. Dendrochronologia, 20(1-2), 117-131. https://doi.org/10.1078/1125-7865-00012
Bickford, I., Fulé, P., & Kolb, T. E. (2011). Growth sensitivity to drought of co-occurring Pinus spp. Along an elevation gradient in northern Mexico. Western North American Naturalist, 71(3), 338-348. https://doi.org/10.3398/064.071.0302
Brienen, R., Lebrija-Trejos, E., Van Breugel, M., Pérez-García, E., Bongers, F., Meave, J., & Martínez-Ramos, M. (2009). The potential of tree rings for the study of forest succession in southern Mexico. Biotropica, 41(2), 186-195. https://doi.org/10.1111/j.1744-7429.2008.00462.x
Cabral-Alemán, C., Pompa-García, M., Acosta-Hernández, A., Zúñiga-Vásquez, J., & Camarero, J. (2017). Earlywood and latewood widths of Picea chihuahuana show contrasting sensitivity to seasonal climate. Forests, 8(5), 173. https://doi.org/10.3390/f8050173
Carlón-Allende, T., Mendoza, M., Perez-Salicrup, D., Villanueva-Diaz, J., & Lara, A. (2016). Climatic responses of Pinus pseudostrobus and Abies religiosa in the monarch butterfly biosphere reserve, central Mexico. Dendrochronologia, 38, 103-116. https://doi.org/10.1016/j.dendro.2016.04.002
Carlón-Allende, T., Villanueva-Díaz, J., Mendoza, M., & Pérez-Salicrup, D. R. (2018). Climatic signal in earlywood and latewood in conifer forests in the Monarch Butterfly Biosphere Reserve, Mexico. Tree-Ring Research, 74(1), 63-75. https://doi.org/10.3959/1536-1098-74.1.63
Castruita-Esparza, L., Correa-Díaz, A., Gómez-Guerrero, A., Villanueva-Díaz, J., Ramírez-Guzmán, M., Velázquez-Martínez, A., & Ángeles-Pérez, G. (2016). Basal area increment series of dominant trees of Pseudotsuga menziesii (Mirb.) Franco show periodicity according to global climate patterns. Revista Chapingo. Serie Ciencias Forestales y del Ambiente, 22(3), 379-397. http://10.5154/r.rchscfa.2015.10.048
Cerano-Paredes, J., Méndez-González, J., Amaro-Sánchez, A., Villanueva-Díaz, J., Cervantes-Martínez, R., & Rubio-Camacho, E. (2013). Reconstrucción de precipitación invierno-primavera con anillos anuales de Pinus douglasiana en la Reserva de la Biosfera Sierra de Manantlán, Jalisco. Revista Chapingo. Serie Ciencias Forestales y del Ambiente, 19(3), 413-423. http://10.5154/r.rchscfa.2013.02.007
Cerano-Paredes, J., Villanueva-Díaz, J., Cervantes-Martínez, R., Vázquez-Selem, L., Caciano, R., & Guerra de la Cruz, V. (2014). Reconstrucción de precipitación invierno-primavera para el Parque Nacional Pico de Tancítaro, Michoacán. Investigaciones Geográficas, 83, 41-54. https://doi.org/10.14350/rig.35190
Cerano-Paredes, J., Villanueva-Díaz, J., Fulé, P., Arreola-Ávila, J., Sánchez-Cohen, I., & Valdez-Cepeda, R. (2009). Reconstrucción de 350 años de precipitación para el suroeste de Chihuahua, México. Madera y Bosques, 15(2), 27-44. https://doi.org/10.21829/myb.2009.1521189
Cerano-Paredes, J., Villanueva-Díaz, J., Valdez-Cepeda, R., Arreola-Ávila, J., & Constante-García, V. (2011). El Niño Oscilación del Sur y sus efectos en la precipitación en la parte alta de la cuenca del río Nazas. Revista Chapingo Serie Ciencias Forestales y del Ambiente, 17(Esp), 207-215. http://dx.doi.org/10.5154/r.rchscfa.2010.09.076
Cerano-Paredes, J., Villanueva-Díaz, J., Valdez-Cepeda, R., Constante-García, V., González-Barrios, J., & Estrada-Ávalos, J. (2012). Precipitación reconstruida para la parte alta de la Cuenca de Río Nazas, Durango. Revista Mexicana de Ciencias Forestales, 3(10), 07-23. https://doi.org/10.29298/rmcf.v3i10.525
Cleaveland, M., Stahle, D., Therrell, M., Villanueva-Diaz, J., & Burns, B. T. (2003). Tree-ring reconstructed winter precipitation and tropical teleconnections in Durango, Mexico. Climatic Change, 59(3), 369-388. https://doi.org/10.1023/A:1024835630188
Constante-García, V., Villanueva-Díaz, J., Cerano-Paredes, J., Cornejo Oviedo, E., & Valencia Manzo, S. (2009). Dendrocronología de Pinus cembroides Zucc. Y reconstrucción de precipitación estacional para el Sureste de Coahuila. Revista Mexicana de Ciencias Forestales, 34(106), 17-39.
Cook, E., & Kairiukstis, L. (1989). Methods of dendrochronology: applications in the environmental sciences. Springer Science & Business Media.
Chacón-de la Cruz, J., & Pompa-García, M. (2015). Response of tree radial growth to evaporation, as indicated by earlywood and latewood. Revista Chapingo. Serie Ciencias Forestales y del Ambiente, 21(1), 57-65. http://dx.doi.org/10.5154/r.rchscfa.2014.10.050
Chen, L., Wang, T., & Zhu, H. (2017). Subpixel Mapping Algorithms Based on Block Structural Self-Similarity Learning. Mathematical Problems in Engineering, 2017, 5254024 https://doi.org/10.1155/2017/5254024
Díaz-Ramírez, B., Villanueva-Díaz, J., & Cerano-Paredes, J. (2016). Reconstrucción de la precipitación estacional con anillos de crecimiento para la región hidrológica Presidio-San Pedro. Madera y Bosques, 22(1), 111-123. https://doi.org/10.21829/myb.2016.221480
Díaz, S., Therrell, M., Stahle, D., & Cleaveland, M. K. (2002). Chihuahua (Mexico) winter-spring precipitation reconstructed from tree-rings, 1647-1992. Climate Research, 22(3), 237-244. http://dx.doi.org/10.3354/cr022237
Durán-Guerra, O., Quintanar-Isaías, A., Villanueva-Díaz, J., Jaramillo-Pérez, A., & Cerano-Paredes, J. (2014). Características anatómicas de la madera de Bursera lancifolia (Schltdl.) Engl. Con potencial dendrocronológico. Revista Mexicana de Ciencias Forestales, 5(26), 76-89. https://doi.org/10.29298/rmcf.v5i26.291
Instituto de Ciencias de la Atmósfera y Cambio Climático (2021). Atlas climático digital de México. UNAM. https://uniatmos.atmosfera.unam.mx/
Fritts, H. (1971). Dendroclimatology and dendroecology. Quaternary Research, 1(4), 419-449. https://doi.org/10.1016/0033-5894(71)90057-3
Fritts, H. (1976). Tree rings and climate (1a ed.). Elsevier.
Gernandt, D., & Pérez-de la Rosa, J. A. (2014). Biodiversidad de Pinophyta (coníferas) en México. Revista Mexicana de Biodiversidad, 85, 126-133. https://doi.org/10.7550/rmb.32195
Gómez Díaz, J. D., Monterroso Rivas, A. I., Tinoco Rueda, J. A., Toledo Medrano, M., Conde Álvarez, C., & Gay García, C. (2011). Assessing current and potential patterns of 16 forest species driven by climate change scenarios in México. Atmósfera, 24(1), 31-52.
González-Elizondo, M., González-Elizondo, M. S., Villanueva-Díaz, J., & Cerano-Paredes, J. (2017). Evaluación del potencial dendroclimático de Pinus lumholtzii BL Rob. & Fernald. Revista Mexicana de Ciencias Forestales , 8(42), 28-54. https://doi.org/10.29298/rmcf.v8i42.18
González-Elizondo, M., Jurado, E., Návar, J., González-Elizondo, M. S., Villanueva, J., Aguirre, O., & Jiménez, J. (2005). Tree-rings and climate relationships for Douglas-fir chronologies from the Sierra Madre Occidental, Mexico: a 1681-2001 rain reconstruction. Forest Ecology and Management, 213(1-3), 39-53. https://doi.org/10.1016/j.foreco.2005.03.012
Gutiérrez-García, G., & Ricker, M. (2019). Influencia del clima en el crecimiento radial en cuatro especies de coníferas en la sierra de San Antonio Peña Nevada (Nuevo León, México). Revista Mexicana de Biodiversidad , 90, e902676. https://doi.org/10.22201/ib.20078706e.2019.90.2676
Gutiérrez, E., & Trejo, I. (2014). Efecto del cambio climático en la distribución potencial de cinco especies arbóreas de bosque templado en México. Revista Mexicana de Biodiversidad , 85(1), 179-188. http://dx.doi.org/10.7550/rmb.37737
Instituto Nacional de Estadística y Geografía [Inegi]. (1992). Conjunto de datos vectoriales de la carta de Uso del suelo y vegetación. https://www.inegi.org.mx/app/biblioteca/ficha.html?upc=702825007020
Instituto Nacional de Estadística y Geografía [Inegi]. (2000). Mapa Raster de Climas. https://www.inegi.org.mx/app/biblioteca/ficha.html?upc=702825292775
Instituto Nacional de Estadística y Geografía [Inegi]. (2001a). Conjunto de datos vectoriales Fisiográficos, provincias fisiográficas. https://www.inegi.org.mx/app/biblioteca/ficha.html?upc=70282 5267575
Instituto Nacional de Estadística y Geografía [Inegi]. (2001b). Conjunto de datos vectoriales Fisiográficos, sistema topoformas. https://www.inegi.org.mx/app/biblioteca/ficha.html?upc=70282 5267582
Instituto Nacional de Estadística y Geografía [Inegi]. (2001c). Conjunto de datos vectoriales Fisiográficos, subprovincias fisiográficas. https://www.inegi.org.mx/app/biblioteca/ficha.html?upc=70282 5267599
Instituto Nacional de Estadística y Geografía [Inegi]. (2006). Red hidrográfica digital de México. https://www.inegi.org.mx/app/biblioteca/ficha.html?upc=889463598428
Instituto Nacional de Estadística y Geografía [Inegi]. (2009). Cuerpos de Agua. https://www.inegi.org.mx/app/biblioteca/ficha.html?upc=889463598435
Instituto Nacional de Estadística y Geografía [Inegi]. (2013). Continuo de Elevaciones Mexicano. https://www.inegi.org.mx/app/geo2/elevacionesmex/
Instituto Nacional de Estadística y Geografía [Inegi]. (2019). Marco Geoestadístico. https://www.inegi.org.mx/app/biblioteca/ficha.html?upc=889463776079
Instituto Nacional de Estadística y Geografía [Inegi]. (2020). Instituto Nacional de Estadística, Geografía e Informática. https://www.inegi.org.mx/default.html
López-Hernández, M., Cerano-Paredes, J., Valencia-Manzo, S., Cornejo-Oviedo, E., Villanueva-Díaz, J., Cervantes-Martínez, R., & Esquivel-Arriaga, G. (2018). Respuesta del crecimiento de Pinus oocarpa a variables climáticas en Chiapas, México. Revista de Biología Tropical, 66(4), 1580-1596. http://dx.doi.org/10.15517/rbt.v66i4.32663
Marlès, J., Valor, T., López, B., Pérez-Salicrup, D., Maneja, R., Sánchez, S., & Boada, M. (2015). Análisis dendroclimático de Pinus pseudostrobus y Pinus devoniana en los municipios de Áporo y Zitácuaro (Michoacán), Reserva de la Biósfera de la Mariposa Monarca. Investigaciones Geográficas , 88, 19-32. http://dx.doi.org/10.14350/rig.43338
Meko, D., Touchan, R., Villanueva-Díaz, J., Griffin, D., Woodhouse, C., Castro, C., Carillo, C., & Leavitt, S. (2013). Sierra San Pedro Mártir, Baja California, cool-season precipitation reconstructed from earlywood width of Abies concolor tree rings. Journal of Geophysical Research: Biogeosciences, 118(4), 1660-1673. https://doi.org/10.1002/2013JG002408
Mendoza-Villa, O., Cambrón-Sandoval, V., Cerano-Paredes, J., Cervantes-Martínez, R., & Soto-Correa, J. (2018). Reconstruction of historical precipitation (1877-2014) for the southwest of the Sierra Gorda Biosphere Reserve, Querétaro, Mexico. Revista Chapingo Serie Ciencias Forestales, 24(3), 371-386. http://dx.doi.org/10.5154/r.rchscfa.2018.01.008
Morrone, J. (2017). Neotropical Biogeography: Regionalization and Evolution (1ª ed.). CRC Press.
Pompa-García, M., & Camarero, J. J. (2015). Reconstructing evaporation from pine tree rings in northern Mexico. Tree-Ring Research , 71(2), 95-105. https://doi.org/10.3959/1536-1098-71.2.95
Pompa-García, M., Cerano-Paredes, J., & Fulé, P. (2013). Variation in radial growth of Pinus cooperi in response to climatic signals across an elevational gradient. Dendrochronologia, 31(3), 198-204. https://doi.org/10.1016/j.dendro.2013.05.003
Pompa-García, M., Dávalos-Sotelo, R., Rodríguez-Téllez, E., Aguirre-Calderón, O., & Treviño-Garza, E. J. (2014). Sensibilidad climática de tres versiones dendrocronológicas para una conífera mexicana. Madera y Bosques , 20(3), 139-151. https://doi.org/10.21829/myb.2014.203158
Pompa-García, M., & Hadad, M. (2016). Sensitivity of pines in Mexico to temperature varies with age. Atmósfera, 29(3), 209-219. https://doi.org/10.20937/ATM.2016.29.03.03
Pompa-García, M., & Jurado, E. (2014). Seasonal precipitation reconstruction and teleconnections with ENSO based on tree ring analysis of Pinus cooperi. Theoretical and applied climatology, 117, 495-500. https://doi.org/10.1007/s00704-013-1018-615
Pompa-García, M., Miranda-Aragón, L., & Aguirre-Salado, C. A. (2015). Tree growth response to ENSO in Durango, Mexico. International Journal of Biometeorology, 59, 89-97. https://doi.org/10.1007/s00484-014-0828-2
Pompa-García, M., Rodríguez-Flores, F. J., Aguirre-Salado, C., & Miranda-Aragón, L. (2013). Influencia de la evaporación en el crecimiento forestal. Agrociencia, 47(8), 829-836.
Pompa-García, M., & Venegas-González, A. (2016). Temporal variation of wood density and carbon in two elevational sites of Pinus cooperi in relation to climate response in northern Mexico. PloS One, 11(6), e0156782. https://doi.org/10.1371/journal.pone.0156782
Raven, P., Evert, R., & Eichhorn, S. E. (2005). Biology of plants. Macmillan.
Ricker, M., & Hernández, H. M. (2010). Tree and tree-like species of Mexico: gymnosperms, monocotyledons, and tree ferns. Revista Mexicana de Biodiversidad , 81(1), 27-38.
Rodríguez-Ramírez, E., Luna-Vega, I., & Rozas, V. (2018). Treering research of Mexican beech (Fagus grandifolia subsp. mexicana) a relict tree endemic to eastern Mexico. Tree-Ring Research , 74(1), 94-107. https://doi.org/10.3959/1536-1098-74.1.94
Schweingruber, F. (1993). Trees and wood in dendrochronology: morphological, anatomical, and tree-ring analytical characteristics of trees frequently used in dendrochronology. Springer Science & Business Media.
Servicio Meteorológico Nacional [SMN] (2020). https://smn.conagua.gob.mx/es/
Therrell, M., Stahle, D., Cleaveland, M., & Villanueva-Diaz, J. (2002). Warm season tree growth and precipitation over Mexico. Journal of Geophysical Research: Atmospheres, 107(D14), ACL 6-1-ACL 6-8. https://doi.org/10.1029/2001JD000851
Trejo, D., Maldonado, H., Tchikoué, H., & Pérez, J. (2008). Factores que inciden en la siniestralidad de los incendios forestales. Revista Mexicana de Ciencias Forestales, 33(104), 37-58.
Villanueva-Díaz, J., Cerano-Paredes, J., Constante García, V., Fulé, P., & Cornejo Oviedo, E. (2009). Variabilidad hidroclimática histórica de la sierra de Zapalinamé y disponibilidad de recursos hídricos para Saltillo, Coahuila. Madera y Bosques , 15(3), 45-64. https://doi.org/10.21829/myb.2009.1531185
Villanueva-Díaz, J., Cerano-Paredes, J., Estrada-Ávalos, J., Constante-García, V., & Cortés-Barrera, E. (2012). Variabilidad hidroclimática reconstruida con anillos de árboles para la cuenca Lerma Chapala en Guanajuato, México. Tecnología y Ciencias del Agua, 3(4), 05-26.
Villanueva-Díaz, J., Cerano-Paredes, J., Fulé, P., Cortés-Montaño, C., Vázquez-Selem, L., Yocom, L., & Ruiz-Corral, J. (2015). Cuatro siglos de variabilidad hidroclimática en el noroeste de Chihuahua, México, reconstruida con anillos de árboles. Investigaciones geográficas , 87, 141-153. http://dx.doi.org/10.14350/rig.44485
Villanueva-Díaz, J., González-Elizondo, M., Cerano-Paredes, J., Estrada-Ávalos, J., Martínez Sifuentes, A., & Rosales-Mata, S. (2018). Red dendrocronológica de pino triste (Pinus lumholtzii BL Rob. & Fernald) en la Sierra Madre Occidental para reconstrucción de lluvia estacional. Madera y Bosques , 24(2), 1-14. http://dx.doi.org/10.21829/myb.2018.2421530
Villanueva-Díaz, J., Luckman, B., Stahle, D., Therrell, M., Cleaveland, M., Cerano-Paredes, J., Gutierrez-Garcia, G., Estrada-Avalos, J., & Jasso-Ibarra, R. (2005). Hydroclimatic variability of the upper Nazas basin: Water management implications for the irrigated area of the Comarca Lagunera, Mexico. Dendrochronologia , 22(3), 215-223. https://doi.org/10.1016/j.dendro.2005.04.005
Villanueva-Díaz, J., Pérez-Evangelista, E., Beramendi-Orozco, L., & Cerano-Paredes, J. (2015). Crecimiento radial anual del fresno (Fraxinus udhei (Wenz.) Lingelsh.) en dos parques de la Comarca Lagunera. Revista Mexicana de Ciencias Forestales, 6(31), 40-57. https://doi.org/10.29298/rmcf.v6i31.194
Villanueva-Díaz, J., Rubio-Camacho, E., Chávez-Durán, Á., Zavala-Aguirre, J., Cerano-Paredes, J., & Martínez-Sifuentes, A. (2018). Respuesta climática de Pinus oocarpa Schiede Ex Schetol en el Bosque La Primavera, Jalisco. Madera y Bosques , 24(1), e2411464. http://dx.doi.org/10.21829/myb.2018.2411464
Villanueva-Díaz, J., Stahle, D., Luckman, B., Cerano-Paredes, J., Therrell, M., Cleaveland, M., & Cornejo-Oviedo, E. (2007). Winter-spring precipitation reconstructions from tree rings for northeast Mexico. Climatic Change , 83, 117-131. https://doi.org/10.1007/s10584-006-9144-0
Villanueva-Díaz, J., Stahle, D., Therrell, M., Beramendi-Orosco, L., Estrada-Ávalos, J., Martínez-Sifuentes, A., Astudillo-Sánchez, C., Rosalinda Cervantes-Martínez, R., & Cerano-Paredes, J. (2020). The climatic response of baldcypress (Taxodium mucronatum Ten.) in San Luis Potosi, Mexico. Trees , 34, 623-635. https://doi.org/10.1007/s00468-019-01944-0
Villanueva-Díaz, J., Vázquez-Selem, L., Estrada-Ávalos, J., Martínez-Sifuentes, A., Cerano-Paredes, J., Canizales-Velázquez, P., Franco-Ramos, O., & Reyes-Camarillo, F. (2018). Comportamiento hidroclimático de coníferas en el Cerro Potosí, Nuevo León, México. Revista Mexicana de Ciencias Forestales , 9(49), 165-186. http://dx.doi.org/10.29298/rmcf.v9i49.128
Wang, Q., Zhang, C., & Atkinson, P. (2020). Sub-pixel mapping with point constraints. Remote Sensing of Environment, 244, 111817. https://doi.org/10.1016/j.rse.2020.111817
Yang, D., Xu, C., Wang, J., & Zhao, Y. (2017). Spatiotemporal epidemic characteristics and risk factor analysis of malaria in Yunnan Province, China. BMC Public Health, 17(1), 66. https://doi.org/10.1186/s12889-016-3994-9
Notas de autor
*Autor de correspondencia. erick_eduardo@ciencias.unam.mx