Artículos científicos
Received: 24 May 2023
Accepted: 06 March 2024
Published: 06 August 2024
DOI: https://doi.org/10.21829/myb.2024.3012552
Resumen: La altura total de los árboles es una variable importante en la silvicultura y manejo forestal, pero la medición en campo es difícil y costosa, incluso se cometen errores que alteran su dimensión y registro. El objetivo de este estudio fue encontrar la mejor ecuación generalizada no lineal para describir la relación altura-diámetro normal para las plantaciones de Pinus greggii y Pinus pseudostrobus en la Mixteca Oaxaqueña. Se utilizó una muestra de 1180 árboles, midiéndose el diámetro normal (dn) y altura (At), asimismo se determinaron variables de rodal. Se evaluaron seis ecuaciones que se ajustaron sin el intercepto 1.30 m que corresponde al dn; la mejor ecuación se seleccionó mediante un análisis cuantitativo y gráfico. La ecuación de Omule y MacDonald fue ligeramente mejor que el resto en las estimaciones y en los análisis gráficos para describir el comportamiento de la altura de los árboles, cumpliendo con los supuestos de normalidad, homogeneidad de varianza e independencia de residuos. La ecuación seleccionada explicó más de 90% de la variabilidad total de las alturas, con una raíz del error medio cuadrático que osciló entre 0.470 m y 0.600 m y sesgos de -0.051 m a 0.022 m para ambas especies. Esta es la primera ecuación de este tipo que se desarrolla para las especies en la zona, por lo que su aplicación será útil en los inventarios forestales.
Palabras clave: Ecuaciones generalizadas, indicadores estadísticos, inventarios forestales, plantaciones, variables de rodal.
Abstract: Total tree height is an important variable in forestry and forest management, but field measurement is so difficult and costly that, sometimes, mistakes are made that alter its dimension and recording. The objective of the study was to find the best generalized nonlinear equation to describe the height- diameter for Pinus greggii and Pinus pseudostrobus plantations in the Mixteca Oaxaqueña. A sample of 1180 trees was used, measuring normal diameter (dn) and height (At), and stand variables were also determined. Six equations were evaluated, adjusted without the 1.30 m intercept corresponding to dn; the best equation was selected by quantitative and graphical analysis. Omule and MacDonald equation (1) was found to be slightly better in estimates and graphical analyses for describing tree height behavior, meeting the assumptions of normality, homogeneity of variance and residuals independence. The selected equation explained more than 90% of the total variability in height, with root mean squared error ranging from 0.470 m to 0.600 m and biases from -0.051 m to 0.022 m for both species. This is the first equation of its kind to be developed for species in the area, so its application will be useful in forest inventories.
Keywords: Generalized equations, statistical indicators, forest inventories, plantations, stand variables.
Introducción
La información de la variable altura (At) en los árboles es relevante para cuantificar el volumen del bosque mediante inventarios forestales; su medición en campo es difícil de realizar y está propensa a errores cuando la densidad del dosel es alta (Arnoni et al., 2016; Guzmán-Santiago et al., 2019), a diferencia de la medición del diámetro normal (dn) que se realiza de manera directa, fácil y rápida (Guzmán-Santiago et al., 2023). La relación At-dn es una herramienta útil para realizar estimaciones como el volumen fustal (Ramos-Uvilla et al., 2014), el volumen total (Moret et al., 2007), el ahusamiento de los árboles (Corral-Rivas y Návar-Cháidez, 2009), cuantificación de la distribución de productos (Riaño y Lizarazo, 2016), estimación de la biomasa aérea (Vargas-Larreta et al., 2009) y cálculo de factores de expansión de biomasa (Hernández-Ramos et al., 2017).
Las diversas condiciones geográficas que presentan los ecosistemas forestales de México hacen posible la existencia de bosques normalmente irregulares o incoetáneos con mezcla de especies, por lo que es difícil disponer de funciones At-dn de aplicación universal (López-Villegas et al., 2017). Por tanto, estas ecuaciones suelen ajustarse a escala de especie y pueden ser de tipo locales o generalizadas (Canga-Líbanoet al., 2007). Las primeras estiman la At del árbol exclusivamente a partir del dn; mientras que las segundas consideran variables de rodal como número de árboles (na), área basal (ab), diámetro cuadrático (Dg), diámetro dominante (Dd), altura dominante (Ad), altura media (Am) y edad (E), entre otras (Diéguez-Aranda et al., 2009). Las ecuaciones generalizadas permiten un uso extensivo y explican la variabilidad de las relaciones causadas por distintos factores naturales y antropogénicos (Milena-López et al., 2013).
En la Mixteca Oaxaqueña, dado su alto grado de degradación, se han utilizado especies de coníferas con fines de restauración (Hernández-Aguilar et al., 2021); entre dichas especies destacan Pinus greggii Engelm. y P. pseudostrobus variedad apulcensis Lindley Shaw, ya que tienen gran capacidad de sobrevivencia, además son de gran importancia económica y ecológica (Ramírez-López et al., 2011; Ortiz-Mendoza et al., 2021). Debido a la importancia de estas especies, Flores et al. (2019) identificaron áreas potenciales de restauración con P. greggii para 1234.45 ha y con P. pseudostrobus para 810.77 ha en el estado de Oaxaca con la finalidad de mejorar las zonas con problemas de erosión.
Objetivos
Encontrar la mejor ecuación no lineal generalizada que estime la altura total a partir del diámetro normal en árboles de Pinus greggii y Pinus pseudostrobus en plantaciones forestales de la Mixteca Oaxaqueña, México.
Materiales y métodos
Área de estudio y datos experimentales
El estudio se realizó en las plantaciones con fines de restauración de 16 años de edad ubicadas en la Mixteca Oaxaqueña. La primera corresponde a la comunidad Tlacotepec Plumas (TP), con coordenadas 17°52’11.02’’ N y 97°26’16.97’’ O, a una altitud de 2143 m s.n.m., mientras que las plantaciones de la comunidad Magdalena Zahuatlán (MZ) se sitúan en 17°24’14.97’’ N y 97°12’ 32.22’’ O, con altitud de 2166 m s.n.m. (Inegi, 2024).
Mediante un diseño de bloques al azar establecidos de forma sistemática de 3 m × 3 m entre plantas e hileras, se levantaron datos dasométricos en una superficie de 0.4 ha de P. pseudostrobus, mientras que de P. greggii se utilizaron 1.3 ha por localidad. De la plantación de P. greggii se levantaron un total de 445 y 387 árboles; mientras que de P. pseudostrobus se midieron 165 y 183 individuos provenientes de TP y MZ, respectivamente (Fig. 1).
Para cada árbol se midió: i) el diámetro normal (dn, cm), medido a 1.3 m sobre el nivel del suelo, con cinta diamétrica alemana Forestry Suppliers, Inc. P.O.BOX 8397 de 5 m de alcance y 1 cm de resolución y la At (m), con un estadal graduado en metros.

Descripción de las variables utilizadas
Se llevó a cabo un análisis descriptivo de las variables dasométricas (dn y At) y de las variables de rodal (diámetro cuadrático [DCM, cm], diámetro dominante [Dd, cm] y altura dominante [Ad, m]) con el propósito de obtener una visión general de las especies y, al mismo tiempo, para el ajuste de las ecuaciones At-dn generalizadas. Para estimar la Ad se utilizó el promedio de la altura de los árboles más altos (80 para P. pseudostrobus y 104 para P. greggii), de manera similar al cálculo del Dd, que se basó en la media del diámetro de los árboles más gruesos (mismo número de árboles que para altura) de las parcelas. Se observó que las especies establecidas en las parcelas de Zahuatlán mostraron ligeramente un mayor crecimiento y desarrollo (Tabla 1).

A continuación, se presentan las fórmulas para el cálculo de las variables de rodal (Assmann, 1970; Pereira et al., 2012):
Donde:
dni =diámetro normal del árbol dominante i (cm)
Ati = altura total del árbol dominante i (m)
n = número de árboles: presentes en el rodal, dominantes en diámetro y dominantes en altura, respectivamente
Ecuaciones ajustadas
Se ajustaron seis ecuaciones generalizadas no lineales de altura-diámetro, las cuales han sido utilizadas para describir esta relación en numerosos estudios (López-Sánchez et al., 2003; Castedo-Dorado et al., 2006; Sharma y Parton, 2007). Las ecuaciones utilizadas garantizan que las estimaciones de altura pasen por el intercepto 1.30 m (que corresponde a la altura a la que se mide el diámetro normal) cuando dn = 0 (Tabla 2).

En este estudio se generó una ecuación para cada especie y parcela/plantación. Las ecuaciones se modificaron suprimiendo el intercepto, de modo de asegurar que el dn tienda a cero cuando la altura también se acerca a cero, lo cual concuerda con el trabajo de Milena- López et al. (2013) y Castillo-Gallegos et al. (2018).
Método de ajuste y selección de las ecuaciones
La estimación de los parámetros de las ecuaciones se realizó mediante el método de mínimos cuadros ordinarios no lineales (MCO-NL). Las ecuaciones fueron ajustadas en el programa R con la librería minpack.lm (R Development Core Team, 2017).
Para evaluar la calidad del ajuste y seleccionar la mejor ecuación por especie, se calcularon tres estadísticos de bondad de ajuste: el coeficiente de determinación ajustado , para el que es deseable que los valores obtenidos se aproximen a 1, la raíz del error medio cuadrático (REMC) cuyo valor es mejor cuando tiende a cero y el sesgo promedio (e̅), el cual busca que el promedio de los residuales sea igual a cero.
donde:
R2 = coeficiente de determinación
Ῡ= valor promedio de los datos observados
Yi = valores observados
Ŷi = valores predichos
P = número de parámetros a estimar
n = tamaño de muestra
La selección de la mejor ecuación se complementó con un análisis gráfico de los datos de las alturas (observadas contra estimadas), el REMC y el sesgo contra las categorías diamétricas, así como los histogramas de los residuales contra la distribución gaussiana; este procedimiento se considera una de las maneras más eficientes de evaluar la capacidad de ajuste (Diéguez-Aranda et al., 2005).
Adicionalmente, se generó un criterio de calificación para jerarquizar estadísticos de ajuste en cada ecuación evaluada: se asignaron valores consecutivos del 1 al 4, donde 1 se considera como el mejor valor (Sakici et al., 2008); en la sumatoria final se consideró como mejor ecuación la que presentó la calificación total (CT) más baja.
Verificación de supuestos de regresión
Dado que en datos biológicos es común encontrar problemas de heterocedasticidad o inflación de varianza, se realizó la verificación del diámetro normal mediante el método de White (1980). Asimismo, se evaluó la normalidad (Shapiro y Wilk, 1965) y la independencia de la frecuencia de los residuos (Durbin y Watson, 1970). También se evaluó la curtosis y la asimetría de los datos utilizados en el ajuste (Tabla 1) (Martínez-López y Acosta- Ramos, 2014).
Resultados
Calidad de ajuste y selección de la mejor ecuación
Desde el punto de vista teórico, las ecuaciones ajustadas mostraron parámetros altamente significativos (p < 0.0001) que fueron respaldados por los criterios de bondad de ajuste más comunes. En este aspecto, la ecuación 1, que considera como variables independientes el dn, Dd y Ad, fue ligeramente mejor que las dos más próximas (2 y 4), ya que logró describir de manera adecuada la trayectoria de los datos de cada especie analizada (Tabla 3).

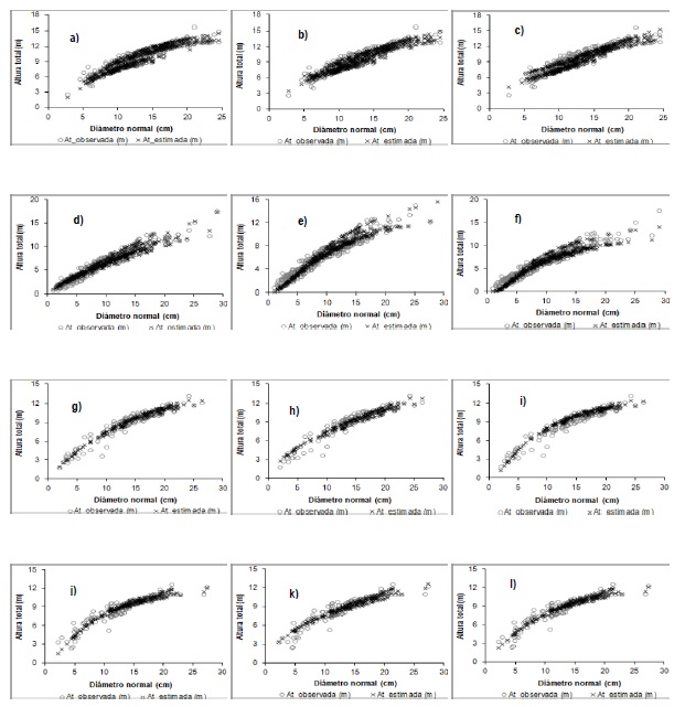
Lo anterior se corroboró con los diagramas de dispersión de los valores predichos y observados de At-dn de las cuatro plantaciones, donde la ecuación 1 describe ligeramente mejor las alturas en las diferentes categorías diamétricas sin el intercepto (1.30 m), sobre todo para aquellos árboles con diámetros menores a 5 cm, es decir cuando dn = 0, h = 0 (Fig. 2). Las ecuaciones 2 y 4 también indicaron proyecciones sigmoidales para las categorías mayores a 5 cm con tendencias ligeras de subestimación en los datos de Tlacotepec (Fig. 2: 2b, 2c, 2h, 2i) y, a su vez, la ecuación 4 presentó ligeras tendencias de sobreestimación para P. pseudostorbus en la misma zona (Fig. 2: 2i). Sucedió algo similar con los datos de P. greggii en Zahuatlán, al subestimar las alturas para diámetros menores de 5 cm (Fig. 2: 2f), caso contrario a los resultados obtenidos con la ecuación 2 para P. pseudostorbus al sobreestimar las alturas en esa categoría (Fig. 2: 2k).
Evolución de la REMC y sesgo
La ecuación 1 presentó intervalos con valores de REMC entre 0.41 m y 0.89 m para Pinus greggii en TP y de 0.43 m a 0.98 m en MZ, mientras que para P. pseudostrobus se obtuvieron valores entre 0.28 m y 1.05 m y entre 0.24 m y 0.82 m, para TP y MZ, respectivamente (Fig. 3: 3a).
Se aprecia que las ecuaciones 2 (c) y 4 (e), de forma general, presentaron intervalos de valores de REMC entre 0.24 y 1.05 m y de 0.88 a 1.08 m, respectivamente; en todos los casos las ecuaciones se comportaron de forma oscilatoria en todas las categorías diamétricas (Fig. 3: 3c, 3e).
De igual forma, para la ecuación 1 se observó un comportamiento adecuado de los sesgos promedio, que están siempre cercanos a la línea del cero para la mayoría de las categorías de diámetro (Fig. 3: 3b); sin embargo, el comportamiento gráfico de las ecuaciones 2 y 4 también fue satisfactorio. La evolución del sesgo confirmó que los errores presentaron una distribución homogénea en la mayoría de las categorías diamétricas para ambas especies en los dos municipios.
Residuales vs distribución gaussiana
Con los supuestos de regresión se verificó la capacidad de ajuste de las tres mejores ecuaciones (1, 2 y 4), donde la ecuación 1 fue ligeramente superior al presentar valores de normalidad (SW) de 0.95, 0.98, 0.97 y 0.92 (p < 0.0001) para la distribución de los datos de cada especie (Tabla 4). Con esto, la hipótesis de normalidad planteada por SW no fue rechazada, dado que las frecuencias acumuladas de los residuos presentaron una distribución de campana de Gauss. Las gráficas modeladas por la ecuación de Omule (1) para P. greggii y P. pseudostrobus de Tlacotepec presentan valores de distribución de residuos con intervalos de -1.70 m a 1.56 m y de -1.60 m a 1.55 m, respectivamente (Fig. 4: 4a, 4g). Lo anterior también se aprecia en la tendencia de los percentiles en las gráficas para las plantaciones de Zahuatlán (P. greggii = -1.75 m a 1.75 m y P. pseudostrobus = -3.00 m a 2.90 m) (Fig. 4: 4d, 4j).




De igual forma, se obtuvieron los resultados de Durbin-Whatson (DW) (1970) para las tres mejores ecuaciones con el objetivo de detectar la independencia de la frecuencia de los errores, donde para la ecuación 1 no se detectó la existencia de correlación entre los datos, ya que los valores de DW corroboraron una distribución independiente de estos (P. greggii= 1.89 y P. pseudostrobus=1.87 en Tlacotepec, P. greggi = 1.90 y P. pseudostrobus= 1.89 en Zahuatlán); es decir, se acercan a 2, que es el valor esperado para esta prueba (Augusto et al., 2009). Las ecuaciones 2 y 4 presentaron valores de DW que indican cierta dependencia de los datos (Tabla 4).
Con respecto a la prueba de heterocedasticidad por el método White, se observa que la ecuación 1 registró valores de 5.23 y 3.30 para P. greggii (Pr > Chi-Sq = 0.5632, 0.4562), mientras que para P. pseudostrobus fueron 2.70 y 4.56 (Pr > Chi-Sq = 0.3245, 0.7890) en Tlacotepec y Zahuatlán, respectivamente. Con estos valores se corroboró que, al no ser significativa la prueba, no hay problemas de inflación de la varianza (Tabla 4).
Discusión
Los resultados del estudio muestran que las tres ecuaciones seleccionadas (1, 2 y 4) presentaron las mejores bondades de ajuste (R2adj, REMC, Sesgo,) con p < 0.0001. Por ejemplo, mostraron coeficientes de determinación ajustados (R2adj) superiores a 91% en promedio, considerando que las tres mejores ecuaciones tienen como variables independientes el diámetro normal, diámetro dominante y altura dominante. Asimismo, la ecuación seleccionada de Omule y MacDonald (1991) arrojó valores de la REMC que oscilan entre 0.24 m y 1.05 m y sesgos de -0.051 m a 0.022 m, es decir, los errores para cada especie tienden a cero y, al tener menor sesgo, hace más confiable la ecuación (Zhang et al., 2014). Aunado a lo anterior, Hernández-Ramos et al. (2018), en su estudio sobre bosques naturales de Pinus pseudostrobus, mencionaron estadísticos similares; por ejemplo, valores de R2adj que van de 0.89 a 0.91, donde su mejor ecuación incluye el dn y la Ad como variables de rodal. Sin embargo, dada la gran variabilidad de los datos y el tipo de especies que se analice, no siempre se obtienen tan buenos ajustes (Ogana, 2019). En este contexto, Castillo-Gallegos et al. (2018), obtuvieron valores de R2adj entre 0.332 y 0.350 para seis funciones ajustadas a datos de Pinus chiapensis Martínez Andresen, siendo la ecuación logística generalizada de Richards la que alcanzó el valor más alto (R2adj = 0.350), la cual se encuentra muy por debajo de los obtenidos en este estudio.
Las ecuaciones generalizadas tienen ventajas significativas sobre las ecuaciones locales, ya que proporcionan mayor precisión y menor sesgo al estimar la alta variabilidad de las alturas (Cañadas-López et al., 2016; López-Villegas et al., 2017; Hernández-Ramos et al., 2020); es decir, una ecuación local no es suficiente para describir todas las posibles relaciones At-dn dentro de un rodal, debido a que las curvas de altura no son constantes, a pesar de las características homogéneas de las plantaciones forestales (Castedo-Dorado et al., 2006; Crecente-Campo et al., 2014).
Los resultados también son consistentes con lo señalado por Diéguez-Aranda et al. (2005), al estudiar masas de P. sylvestris L. procedentes del noroeste de España, quienes destacan la capacidad de la ecuación de Gaffrey (1988) con variables de rodal como Dd y Hd, lo que permite capturar el efecto de la productividad del sitio y, como consecuencia la flexibilidad para modelar la relación de pares de datos At-dn en especies forestales (Corral-Rivas et al., 2014). Adicionalmente, la ecuación de Gaffrey fue identificada por Trincado y Leal (2006) como la mejor relación altura-diámetro regional para predecir alturas de árboles en plantaciones de P. radiata D. Don. en Chile, lo que permite sustentar la modificación realizada en este estudio. También, se asemejan con los resultados de Temesgen et al. (2014) y Ahmadi y Alavi (2016), quienes refieren que la calidad de ajuste se mejora ligeramente al incluir una o más variables de rodal.
En muchas ocasiones se establecen restricciones en el intercepto (el valor 1.30 m), con la finalidad de que cuando un árbol tenga esa altura el diámetro sea cero (Huang et al., 1992); sin embargo, en varios estudios se ha omitido este término (Costa et al., 2016; Guerra-De la Cruz et al., 2019; Hernández-Ramos et al., 2020). En este aspecto, Castillo- Gallegos et al. (2018) no incluyeron el intercepto de ≈1.3 m de altura con respecto al suelo, argumentando que si no existe un árbol a una altura de 1.3 m, tampoco el diámetro normal existe; además, este supuesto es innecesario para predecir la altura correctamente a partir del diámetro. Esto independientemente de que, en raras ocasiones, pudiera ser interesante proyectar la altura en árboles con diámetro pequeño, aunque no sea de interés comercial (Guerra-De la Cruz et al., 2019). Esto respalda los resultados estadísticos utilizados para describir los datos de las plantaciones al ser suprimido el intercepto (Missajo y Mwale, 2014). Además, cuando el diámetro normal es igual al diámetro dominante (Dd), la altura estimada debe ser igual a la altura dominante (Ad) (Nugroho-Puji, 2014), lo cual se comprobó en este estudio. Lo anterior ha sido comprobado con éxito en otros trabajos, por ejemplo, Milena-López et al. (2013) quienes realizaron una evaluación en plantaciones de Eucalyptus tereticornis de 2 años a 8 años, donde la ecuación de Krumland y Wensel (1988) predijo de forma adecuada la altura de los árboles con diámetros pequeños o cercanos a cero.
Conclusiones
La ecuación generalizada de Omule y MacDonald sin el intecepto 1.3, es la mejor para estimar la altura total de árboles de P. pseudostrobus y P. greggii en plantaciones en la Mixteca Oaxaqueña.
Esta ecuación es la primera de este tipo que se reporta para plantaciones jóvenes, por lo que puede utilizarse en inventarios forestales para estimar volúmenes individuales o a nivel rodal, o para evaluar la calidad de estación de las áreas ecológicas similares donde se establecen estas especies.
Referencias
Ahmadi, K., & Alavi, S. J. (2016). Generalized height-diameter models for Fagus orientalis Lipsky in Hyrcanian forest, Iran. Journal of Forest Science, 62(9), 413-421. https://doi.org/10.17221/51/2016-JFS
Arnoni, C. E., Schroder, T., & Guimarães, C. A. (2016). Height- diameter relationships for Araucaria angustifolia (Bertol.) Kuntze in Southern Brazil. CERNE, 22(4), 493-500. https://doi.org/10.1590/01047760201622042182
Assmann, E. (1970). The principles of forest yield study. Pergamon Press.
Canga-Líbano, E., Afif-Khouri, E., Gorgoso-Varela, J., & Cámara- Obregón, A. (2007). Relación altura-diámetro generalizada para Pinus radiata D. Don en Asturias (Norte de España). Cuadernos de la Sociedad Española de Ciencias Forestales, 23(1), 153-158. https://doi.org/10.31167/csef.v0i23.9618
Cañadas-López, A., Rade-Loor, D., Fernández-Cevallos, G., Domínguez-Andrade, J. M. D., Murillo-Hernández, I., Molina- Hidrovo, C., & Quimiz-Castro, H. (2016). Ecuaciones generales de diámetro-altura para Ochroma pyramidale, Región Costa- Ecuador. Bosques Latitud Cero, 6(1), 1-14
Cañadas, N., García, C., & Montero, G. (1999). Relación altura-diámetro para Pinus pinea L. en el Sistema Central. En A. Rojo, I. J. Díaz-Maroto, J. G. Álvarez, M. Barrio, F. Castedo, G. Riesco, & A. Rigueiro (Eds.), Actas del Congreso de Ordenación y Gestión Sostenible de Montes (Vol. 1, pp. 139-153). Junta de Galicia-Xunta de Galicia- Consellería de Medio Ambiente, Territorio e Vivenda.
Castedo-Dorado, F., Diéguez-Aranda, U., Barrio-Anta, M., Sánchez- Rodríguez, M., & Gadow, K. (2006). A generalized height- diameter model including random components for Pinus radiata plantations in northwestern Spain. Forest Ecology and Management, 229(1-3), 202-213. https://doi.org/10.1016/j.foreco.2006.04.028
Castillo-Gallegos, E., Jarillo-Rodríguez, J., & Escobar-Hernández, R. (2018). Diameter-height relationships in three species grown together in a commercial forest plantation in eastern tropical Mexico. Revista Chapingo Serie Ciencias Forestales y del Ambiente, 24(1), 33-48. https://doi.org/10.5154/r.rchscfa.2017.05.033
Corral-Rivas, S., Álvarez-González, J. G., Crecente-Campo, F., & Corral- Rivas, J. J. (2014). Local and generalized height diameter models with random parameters for mixed, uneven-aged forests in Northwestern Durango, Mexico. Forest Ecosystems, 1(1), 6. https://doi.org/10.1186/2197-5620-1-6
Corral-Rivas, S., & Návar-Cháidez, J. J. (2009). Comparación de técnicas de estimación de volumen fustal total para cinco especies de pino de Durango, México. Revista Chapingo Serie Ciencias Forestales y del Ambiente, 15(1), 5-13
Costa, E. A., Schroder, T., & Finger, C. A. (2016). Height-diameter relationships for Araucaria angustifolia (Bertol.) Kuntze in southern Brazil. CERNE, 22(4), 493-500. https://doi.org/10.1590/01047760201622042182
Crecente-Campo, F., Corral-Rivas, J. J., Vargas-Larreta, B., & Wehenkel, C. (2014). Can random components explain differences in the height-diameter relationship in mixed uneven-aged stands?. Annals of Forest Science, 71(1), 51-70. https://doi.org/10.1007/s13595-013-0332-6
Diéguez-Aranda, U., Barrio-Anta, M., Castedo-Dorado, F., & Álvarez- González, J. (2005). Relación altura-diámetro generalizada para masas de Pinus sylvestris L. procedentes de repoblación en el noroeste de España. Forest Systems, 14(2), 229-241. https://doi.org/10.5424/srf/2005142-00886
Diéguez-Aranda, U., Rojo-Alboreca, A., Castedo-Dorado, F., Álvarez- González, J. G., Barrio-Anta, M., Crecente-Campo, F., González González, J. M., Pérez-Cruzado, C., Rodríguez Soalleiro, R., López-Sánchez, C. A., Balboa-Murias, M. A., Gorgoso Varela, J. J., &Sánchez-Rodríguez, F. (2009). Herramientas selvícolas para la gestión forestal sostenible en Galicia. Dirección Xeral de Montes - Consellería de Medio Rural - Xunta de Galicia.
Durbin, J., & Watson, G. S. (1970). Testing for Serial Correlation in Least Squares Regression III. Biometríka, 58(1), 1-19. https://doi.org/10.2307/2334313
Flores, A., Pineda-Ojeda, T., & Flores-Ayala, E. (2019). Potencial de reforestación de seis especies de pino para la restauración de zonas degradadas. Revista Mexicana de Ciencias Forestales, 10(55), 171-179. https://doi.org/10.29298/rmcf.v10i55.604
Gaffrey, D. (1988). Forstamts-und bestandes individuelles sortimentierungs programm als. Mittel zur planung, aushal-tungund Simulation [Diplomarbeit Göttingen, Universität Georg-August].
Guerra-De la Cruz, V., Islas-Gutiérrez, F., Flores-Ayala, E., Acosta-Mireles, M., Buendía-Rodríguez, E., Carrillo- Anzures, F., Tamarit-Urías, J. C., & Pineda-Ojeda, T. (2019). Modelos locales altura-diámetro para Pinus montezumae Lamb. y Pinus teocote Schiede ex Schltdl. en Nanacamilpa, Tlaxcala. Revista Mexicana de Ciencias Forestales, 10(51), 134-156. https://doi.org/10.29298/rmcf.v10i51.407
Guzmán-Santiago, J. C., De los Santos-Posadas, H. M., Vargas- Larreta, B., Gómez-Cárdenas, M., González-Cubas, R., Hernández-Aguilar, J. A., & Bautista-Cruz, A. (2023). Diámetro, altura y volumen en función del tocón para Abies religiosa en diferentes regiones de México. Bosque, 44(2), 387-399. https://doi.org/10.4067/S0717-92002023000200387
Guzmán-Santiago, J. C., Aguirre-Calderón, O. A., González- Tagle, M. A., Treviño-Garza, E. J., Jiménez-Pérez, J., Vargas-Larreta, B., & De los Santos-Posada, H. M. (2019). Relación altura-diámetro para Abies religiosa Kunth Schltdl. & Cham. en el centro y sur de México. Revista Mexicana de Ciencias Forestales, 10(52), 99-120. https://doi.org/10.29298/rmcf.v10i52.483
Hernández-Aguilar, J. A., Hernández-Gómez, W., & González-Cubas, R. (2021). Especies nativas para manejo de la erosión de suelos en la región mixteca alta, Oaxaca. Revista Mexicana de Agroecosistemas, 8(1), 1-12.
Hernández-Ramos, J., De los Santos-Posadas, H. M., Valdez-Lazalde, J. R., Tamarit-Urías, J. C., Ángeles-Pérez, G., Hernández-Ramos, A., Peduzzi, A., & Carrero, O. (2017). Biomasa aérea y factores de expansión en plantaciones forestales comerciales de Eucalyptus urophylla S. T. Blake. Agrociencia, 51(8), 921-938.
Hernández-Ramos, J., García-Magaña, J. J., Hernández-Ramos, A., García-Cuevas, X., García-Espinoza, G. G., Muñoz-Flores, H. J., & Sáenz-Reyes, J. T. (2018). Ecuaciones locales de altura-diámetro para Pinus pseudostrobus Lindl. Ecosistemas y Recursos Agropecuarios, 5(13), 15-23. https://doi.org/10.19136/era.a5n13.1131
Hernández-Ramos, J., Avilés-Castillo, A., García-Magaña, J. J., Hernández-Ramos, A., García-Cuevas, X., & Flores-López, C. (2020). Ecuaciones locales y generalizadas de altura- diámetro para Pinus patula Schl. et Cham. en Veracruz, México. Ecosistemas y Recursos Agropecuarios, 7(3), e2457. https://doi.org/10.19136/era.a7n3.2457
Huang, S., Titus, S. J., & Wiens, D. (1992). Comparison of nonlinear height-diameter functions for major Alberta tree species. Canadian Journal of Forest Research, 22(9), 1297-1304. https://doi.org/10.1139/x92-172
Instituto Nacional de Estadística y Geografía [Inegi] (2024). Sistemas de consulta. Espacio y datos de México. Instituto Nacional de Estadística y Geografía. https://www.inegi.org.mx/app/mapa/espacioydatos/defau lt.aspx
Krumland, B., & Wensel, L. (1988). A generalized height-diameter equations for coastal California species. Western Journal of Applied Forestry, 3(4), 113-115. https://doi.org/10.1093/wjaf/3.4.113
López-Sánchez, C. A., Gorgoso-Varela, J., Castedo-Dorado, F., Rojo- Alboreca, A., Rodríguez-Soalleiro, R., Álvarez-González, J. G., & Sánchez-Rodríguez, F. (2003). A height-diameter model for Pinus radiata D. Don in Galicia (Northwest Spain). Annals of Forest Science, 60(3), 237-245. https://doi.org/10.1051/forest:2003015
López-Villegas, M. F., Santiago-García, W., Quiñonez-Barraza, G., Suárez-Mota, M. E., Santiago-Juárez, W., & Santiago-García, E. (2017). Ecuaciones globales y locales de altura-diámetro de 12 especies de interés comercial en bosques manejados. Revista Mexicana de Agroecosistemas, 4(2), 113-126
Martínez-López, J., & Acosta-Ramos, A. (2014). Estimación del diámetro, altura y volumen a partir del diámetro del tocón para Quercus laurina en Ixtlán, Oaxaca, México. Madera y Bosques, 20(1), 59-70. https://doi.org/10.21829/myb.2014.201176
Milena-López, A., Trincado, G., Barrios, A., & Nieto, V. (2013). Modelos regionales de altura-diámetro para plantaciones jóvenes de Eucalyptus tereticornis en la costa atlántica colombiana. Bosque, 34(2), 233-241. https://doi.org/10.4067/S0717-92002013000200012
Mirkovich, J. L. (1958). Normale visinske krive za chrast kitnak I bukvu v NR Srbiji. Zagreb. Glasnik Sumarskog Fakulteta, 13, 43-56.
Missajo, E., & Mwale, G. (2014). A mixed-effects height-diameter model for Pinus kesiya in Malawi. Journal of Biodiversity Management and Forestry, 3(2), 3-7. https://doi.org/10.4172/2327-4417.1000124
Moret, A. Y., Ortiz, A., Pérez, Y., Quijada, M., & Jeréz, M. M. (2007). Ecuaciones de volumen para árboles de samán (Samanea saman (Jacr.) Merr.), provenientes de potreros en el municipio Machiques de Perijá, estado Zulia, Venezuela. Revista Forestal Venezolana, 51(1), 87-96. http://www.saber.ula.ve/handle/123456789/24471
Nugroho-Puji, N. (2014). Relationships between total tree height and diameter at breast height for tropical peat swamp forest tree species in Rokan Hilir District, Riau Province. Indonesian Journal of Forestry Research, 1(2), 89-107. https://doi.org/10.20886/ijfr.2014.1.2.89-107
Ogana, F. N. (2019). Tree height prediction models for two forest reserves in Nigeria using mixed-effects approach. Tropical Plant Research, 6(1), 119-128. https://doi.org/10.22271/tpr.2019.v6.i1.017
Omule, S. A., & MacDonald, R. N. (1991). Simultaneous curve for repeated height-diameter measurements. Canadian Journal of Forest Research, 21(9), 1418-1422. https://doi.org/10.1139/x91-199
Ortiz-Mendoza, R., Aguirre-Calderón, O. A., Gómez-Cárdenas, M., Treviño-Garza, E. J., & González-Tagle, M. A. (2021). Crecimiento de procedencias de Pinus greggii Engelm. ex Parl. en suelos degradados de la Mixteca Alta, Oaxaca. Revista Mexicana de Ciencias Forestales, 12(64), 4-22. https://doi.org/10.29298/rmcf.v12i64.710
Pereira, E. M., Imaña-Encinas, J., & Rezende, A. V. (2012). Evaluación de procedimientos simplificados en la cuantificación volumétrica de una plantación de pino. Colombia Forestal, 15(1), 131-138.
R Development Core Team (2017). Require (minpack.lm): A language and environment for statistical computing. Foundation for Statistical Computing. http://www.R-project.org
Ramírez-López, A., Navarro-Garza, H., Pérez-Olvera, A., & Cetina- Alcalá, V.M. (2011). Experiencia organizativa para la reforestación con Pinus oaxacana Mirov. En suelos degradados de la Mixteca oaxaqueña. Revista Mexicana de Ciencias Forestales, 2(7), 57-70. https://doi.org/10.29298/rmcf.v2i7.560
Ramos-Uvilla, J. A., García-Magaña, J. J., Hernández-Ramos, J., García- Cuevas, X., Velarde-Ramírez, J. C., Muñoz-Flores, H. J., & García-Espinoza, G. G. (2014). Ecuaciones y tablas de volumen para dos especies de Pinus de la Sierra Purhépecha, Michoacán. Revista Mexicana de Ciencias Forestales, 5(23), 92-108. https://doi.org/10.29298/rmcf.v5i23.344
Riaño M., O., & Lizarazo, I. (2016). Estimación del volumen de madera en árboles mediante polinomio único de ahusamiento. Colombia Forestal, 20(1), 55-62. https://doi.org/10.14483/udistrital.jour.colomb.for.2017.1.a05
Sakici, O. E., Misira, N., Yavuza, H., & Misira, M. (2008). Stem taper functions for Abies nordmanniana subsp. bornmulleriana in Turkey. Scandinavian Journal of Forest Research, 23(6), 522-533. https://doi.org/10.1080/02827580802552453
Shapiro, S. S., & Wilk, M. B. (1965). Una prueba de análisis de varianza para la normalidad (muestras completas). Biometrika, 52(3-4), 591- 611. http://dx.doi.org/10.2307/2333709
Sharma, M., & Parton, J. (2007). Height-diameter equations for boreal tree species in Ontario using mixed-effects modeling approach. Forest Ecology and Management, 249(3), 187-198. https://doi.org/10.1016/j.foreco.2007.05.006
Temesgen, H., Zhang, C. H., & Zhao, X. H. (2014). Modelling tree height-diameter relationships in multi-species and multi-layered forests: A large observational study from Northeast China. Forest Ecology and Management, 316, 78-89. https://doi.org/10.1016/j.foreco.2013.07.035
Trincado, G., & Leal, C. (2006). Ecuaciones locales y generalizadas de altura-diámetro para pino radiata (Pinus radiata). Bosque, 27(1), 23-34. https://doi.org/10.4067/S0717-92002006000100003
Vargas-Larreta, B., Castedo-Dorado, F., Álvarez-González, J.G., Barrio- Anta, M., & Cruz-Cobos, F. (2009). A generalized height- diameter model with random coefficients for uneven-aged stands in El Salto, Durango (Mexico). Forestry, 82(4), 445-462. https://doi.org/10.1093/forestry/cpp016
White, H. (1980). A Heteroskedasticity-Consistent Covariance Matrix Estimator and a Direct Test for Heteroskedasticity. Econometrica, 48(4), 817-838. https://doi.org/10.2307/1912934
Zhang, X., Duan, A., Zhang, J., & Xiang, C. (2014). Estimating Tree Height-Diameter Models with the Bayesian Method. The Scientific World Journal, 2014, 683691. https://doi.org/10.1155/2014/683691
Author notes
Guzmán-Santiago, J. C., Vargas-Larreta, B., Nájera-Luna, J. A., Cruz-Cobos, F., Gómez-Cárdenas, M., González-Cubas, R., & Hernández-Aguilar, J. A. (2024). Relación no lineal genera- lizada de altura total-diámetro normal para Pinus greggii y Pinus pseudostrobus en Oaxaca, México. Madera y Bosques, 30(1), e3012552. https://doi.org/10.21829/myb.2024.3012552
*Autor de correspondencia. guzmansa.forest22@gmail.com