RESUMEN: Se presenta un criterio basado en un análisis de confiabilidad para estimar factores de amplificación de resistencia para estructuras con asimetría en fluencia. La metodología involucra el cálculo de tasas medias anuales de excedencia de la demanda estructural de sistemas con diferentes niveles de asimetría. Se proponen expresiones matemáticas simplificadas para varias condiciones del suelo del valle de México. Las expresiones dependen de la ductilidad de los sistemas estructurales, su nivel de asimetría, su periodo fundamental de vibración y el periodo dominante del suelo. Las expresiones resultantes se comparan con las recomendadas en las Normas Técnicas Complementarias para Diseño por Sismo (NTCDS-2004) del Reglamento de Construcciones del Distrito Federal (RCDF-2004), así como con las que se especifican en el Manual de Obras Civiles: Diseño por Sismo (MOC-2015). Finalmente, la validez de las expresiones propuestas se comprueba mediante un ejemplo de aplicación a un edificio regular de concreto reforzado de 9 niveles que exhibe asimetría en fluencia producto de un desplomo. Las expresiones aquí propuestas se recomiendan en la sección 2.5 de la nueva versión de las Normas Técnicas Complementarias para Diseño por Sismo (NTCDS-2017).
Palabras clave: confiabilidad estructuralconfiabilidad estructural,asimetría en fluenciaasimetría en fluencia,diseño sísmicodiseño sísmico,análisis de riesgo sísmicoanálisis de riesgo sísmico.
ABSTRACT: A reliability-based criterion to estimate strength amplification factors for structures with asymmetric yielding is presented. The methodology involves the calculation of mean annual rates of exceedance of the structural demand of systems with different levels of asymmetric yielding. Simplified mathematical expressions are proposed for different soil conditions of the valley of Mexico. The expressions depend on several factors: the ductility of the structural systems, their level of asymmetric yielding, their fundamental vibration period and the dominant period of the soil. The resultant expressions are compared with those recommended by the Complementary Technical Norms for Earthquake Resistant Design (NTCDS-2004) of the Mexico City Building Code (RCDF-2004), as well as to those specified in the Manual de Obras Civiles: Diseño por Sismo (MOC-2015). Finally, the validity of the proposed expressions is verified with an illustrative example of a 9-story regular reinforced concrete building exhibiting asymmetric yielding produced by tilting. The expressions proposed here were included in Section 2.5 of the new version of the Complementary Technical Norms for Earthquake Resistant Design (NTCDS-2017).
Keywords: structural reliability, asymmetric yielding, seismic design, seismic risk analysis.
Artículos
Factores de amplificación de resistencia para el diseño de estructuras con asimetría en fluencia
Strength amplification factors for the design of structures with asymmetric yielding
Recepción: 25 Abril 2017
Aprobación: 29 Octubre 2018
El valle de México se compone de distintos tipos de suelo, que van desde suelo firme hasta suelo muy blando. Las estructuras desplantadas en suelos blandos son las que generalmente presentan mayores problemas estructurales. Una de esas complicaciones es que las edificaciones pueden sufrir inclinación debido a asentamientos diferenciales, lo que conduce a tener un comportamiento asimétrico en fluencia; es decir, que la estructura presenta diferentes resistencias de fluencia en los dos sentidos de una dirección de análisis. Las estructuras simétricas en fluencia tienden a oscilar alrededor de su posición no deformada cuando se ven sujetas a excitaciones sísmicas, y sus demandas de deformación plástica tienen a contrarrestarse entre ellas. Por otro lado, las estructuras con asimetría en fluencia tienden a acumular las demandas de deformación plástica en su dirección más débil, es decir, que desarrollan direcciones “fuerte” y “débil”. Existen varias razones por las que una estructura tiene resistencias de fluencia diferentes en direcciones opuestas, por ejemplo: asimetría en las cargas verticales, estructuras con fachadas inclinadas, estructuras con elementos estructurales que respondan de manera diferente en cada sentido de la excitación sísmica, presencia de mezzanines, desplomo de la construcción, etc. (ver Figs. 1a, 1b y 1c). Este comportamiento, que en lo sucesivo se llama “asimetría en fluencia” o “comportamiento asimétrico” puede afectar significativamente el desempeño sísmico de las edificaciones, especialmente cuando se ven sujetas a movimientos sísmicos intensos de larga duración, como los que se presentan en el suelo blando del valle de México.

Existen varias soluciones para mejorar el comportamiento deficiente de un edificio con asimetría en fluencia sujeto a movimientos sísmicos intensos. La solución depende de cada problema particular. Algunas soluciones pueden ser de tipo geotécnico, otras de tipo estructural (reforzando la estructura), o bien combinando ambos tipos de soluciones (García Jarque, 2016; Camba, 2016; comunicación personal).
El presente estudio se enfoca en soluciones exclusivamente del tipo estructural. Bajo ese enfoque, una estructura que exhibe un comportamiento asimétrico en fluencia se debe diseñar para fuerzas sísmicas más grandes que una estructura con las mismas características, pero sin asimetría en fluencia. Lo anterior lleva a la necesidad de contar con factores de amplificación de resistencia (FA) del espectro de diseño con el objetivo de que la estructura con asimetría en fluencia presente una confiabilidad similar a la de su contraparte simétrica.
Los códigos de diseño futuros estarán orientados no sólo a garantizar un desempeño sísmico satisfactorio, sino niveles adecuados de confiabilidad estructural, lo que permitirá a los ingenieros estructurales diseñar para un desempeño pre-establecido en las estructuras. El presente trabajo se enfoca desde ese punto de vista. En la primera parte se proponen expresiones matemáticas sobre factores de amplificación de resistencia del espectro de diseño sísmico para el diseño o el refuerzo de estructuras con asimetría en fluencia, de manera que las estructuras con asimetría (cuya resistencia lateral se amplifica con los factores propuestos en este estudio) presenten una tasa media anual de excedencia de su demanda estructural similar a la de estructuras sin asimetría en fluencia. En la segunda parte, se presenta un ejemplo ilustrativo de un edificio de 9 niveles que exhibe asimetría en fluencia producto de un desplomo, en donde se emplean las expresiones propuestas.
Debido a que el resultado de esta investigación sirvió de base para proponer nuevas expresiones para el cálculo de factores de amplificación de resistencia para estructuras con comportamiento asimétrico que se incluyeron en las NTCDS-2017, es interesante mencionar las recomendaciones sobre el diseño y refuerzo de estructuras con asimetría en fluencia que se especificaban: a) en las Normas Técnicas Complementarias para Diseño por Sismo (NTCDS-2004) del Reglamento de Construcciones del Distrito Federal (RCDF-2004), y b) las que actualmente se especifican en el Manual de Obras Civiles - Diseño por Sismo (MOC-2015) de la Comisión Federal de Electricidad, con el fin de ilustrar sus diferencias.
Especificaciones de las NTCDS-2004
Los procedimientos de diseño del refuerzo de estructuras con asimetría en fluencia que recomiendan las NTCDS-2004 se basan en estudios simples (Ruiz et al., 1989; Ruiz y Rosas, 1990) y en juicio ingenieril. Tales procedimientos fueron establecidos en 1987, y no consideran el efecto de factores importantes en el desempeño sísmico de estructuras con asimetría en fluencia, que en algunos casos pueden llevar a situaciones del lado de la inseguridad. La Sección 8.8 de las NTCDS-2004 titulada “Comportamiento asimétrico” especifica lo siguiente:
“En el diseño de estructuras cuyas relaciones fuerza-deformación difieran en sentidos opuestos, se dividirán los factores de resistencia que corresponden según las Normas respectivas, entre el siguiente valor:
1+2.5dQ (1)
donde Q es el factor de comportamiento sísmico, d es la diferencia en los valores de a/Q’, expresados como fracción de la gravedad, que causarían la falla o fluencia plástica de la estructura en uno y otro sentido de la dirección de análisis, a es la ordenada del espectro de diseño como fracción de la gravedad y Q’ es factor de reducción de las fuerzas sísmicas con fines de diseño, función del periodo natural”.
Para estructuras que exhiban asimetría en fluencia producto de un desplomo, las NTCDS-2004 en su Sección 11 titulada “Estructuras existentes” recomiendan lo siguiente:
“Tratándose de estructuras cuyo comportamiento en sentidos opuestos sea asimétrico por inclinación de la estructura con respecto a la vertical, si el desplomo de la construcción excede de 0.01 veces su altura, se tomará en cuenta la asimetría multiplicando las fuerzas sísmicas de diseño por 1+10 f cuando se use el método simplificado de análisis sísmico, o por 1+5Qf cuando se use el estático o el dinámico modal, siendo f el desplomo de la construcción dividido entre su altura. Si se emplea el método dinámico de análisis paso a paso se hará consideración explícita de la inclinación”.
Especificaciones del MOC-2015
Los lineamientos del MOC-2015 para estructuras con comportamiento asimétrico, se derivaron usando un criterio de daño constante mediante el índice de daño de Park y Ang (Terán y Arroyo, 2005). Los lineamientos no consideran sistemas estructurales ubicados en suelos con periodos dominantes mayores a 2 s. En el MOC-2015 se recomienda lo siguiente:
“En el diseño de estructuras cuyas relaciones fuerza-deformación difieran en sentidos opuestos se dividirán los factores de resistencia correspondientes entre el factor Aca(Te0), siendo para terrenos Tipo I”:
y para terreno blando (Tipo II y III):
donde:
Aca (Te0): factor de amplificación por comportamiento asimétrico Te0: periodo fundamental de la estructura Ts: periodo dominante del terreno d: es la diferencia entre el valor de la relación a(Te0,β)/[Q’(Te0,Q)R(Te0,R0)ρ] o a(Te0,β)Acd(Te0)/[Q’(Te0,Q)R(Te0,R0)ρ] según sea el caso, que causarían la falla o la fluencia plástica de la construcción en uno y otro sentido, expresados como fracción de la gravedad, en donde el factor de amortiguamiento, β(Te0,ξe), se evalúa en Te0; a(Te0,β) es la ordenada espectral normalizada, Q’(Te0,Q) es el factor reductor por ductilidad, R(Te0,R0) es el factor reductor por sobre-resistencia, Q es el factor de comportamiento sísmico, ρ es el factor por redundancia y Acd(Te0) es el factor de amplificación por comportamiento histerético degradante k1, k2, k3: son parámetros que dependen del tipo de terreno y del comportamiento histerético supuesto para el sistema estructural y cuyos valores se proporcionan en la Tabla 1”

Se puede observar que las expresiones que se recomendaban en las NTCDS-2004 no tomaban en cuenta varios parámetros que, según estudios recientes sobre el tema (Terán y Arroyo, 2005; Valenzuela-Beltrán et al., 2018) son importantes para el desempeño sísmico de las estructuras que exhiben asimetría en fluencia. Además, los factores de amplificación de resistencia obtenidos con dichas expresiones no tomaban en cuenta el efecto del tipo de suelo sobre el que están desplantadas las estructuras. Por otra parte, de las Ecs. 2 y 3, así como de la Tabla 1, se puede observar que las expresiones recomendadas actualmente en el MOC-2015 sí consideran factores como el periodo dominante del suelo donde se desplanta la estructura, así como diferentes comportamientos histeréticos; sin embargo, esas expresiones se obtuvieron considerando un catálogo limitado de registros sísmicos y no se basan en un análisis de confiabilidad. Más adelante se presenta un análisis comparativo de las expresiones mencionadas en esta sección con las resultantes del presente estudio.
Algunas expresiones matemáticas para obtener factores que permitan amplificar la resistencia lateral de diseño de estructuras con asimetría en fluencia se introdujeron por primera vez en el RCDF en 1987; desde entonces varios investigadores mexicanos han estudiado este tema. Ruiz et al. (1989), usando sistemas de un grado de libertad (S1GL) con comportamiento histerético bilineal, encontraron que las demandas de ductilidad de sistemas con asimetría en fluencia sometidos a la acción de sismos de banda angosta tienden a ser mucho mayores que las correspondientes a estructuras simétricas, y propusieron expresiones para considerar dicho incremento en la demanda de ductilidad. (Ruiz y Rosas 1990) dedujeron una expresión para calcular el factor esperado de amplificación de las fuerzas sísmicas de diseño para tomar en cuenta la asimetría en fluencia de las estructuras; concluyeron que la expresión obtenida era más conservadora que los requerimientos incluidos en las NTCDS del RCDF-1987, y sugirieron que era necesaria una modificación a las normas. (Ruiz 1991) estudió la influencia de la duración del movimiento sísmico en la respuesta de estructuras con asimetría en fluencia. Terán-Gilmore et al. (2000) estudiaron la respuesta dinámica de S1GL con asimetría en fluencia diseñados con los requerimientos del RCDF, concluyeron que para el diseño de estructuras con asimetría en fluencia era necesario tomar en cuenta factores como el comportamiento histerético y la resistencia lateral de la estructura, el contenido de frecuencias y la duración de la excitación sísmica. Terán y Arroyo (2005) a través del estudio de S1GL con comportamiento elasto-plástico perfecto y comportamientos histeréticos con diferentes niveles de degradación, propusieron expresiones para estimar un factor de amplificación de resistencia para el diseño de estructuras sismo-resistentes con asimetría en fluencia; en su estudio emplean tres conjuntos de acelerogramas artificiales basados en las características estadísticas de tres movimientos sísmicos correspondientes a registros obtenidos en terrenos firme, intermedio y blando. (Terán Gilmore y Ruiz Martínez 2006) aplicaron las expresiones propuestas por Terán y Arroyo (2005) a un edificio de varios niveles y crujías, con asimetría en fluencia, y alternativamente sin ésta; concluyeron que dichas expresiones pueden aplicarse para la evaluación y diseño de estructuras sismo-resistentes complejas, asimismo mencionan que para los casos que ellos analizaron, los efectos P-Δ no tienen una influencia de importancia en el desempeño sísmico de dichas edificaciones.
A pesar de las contribuciones mencionadas en el párrafo anterior acerca de estudios realizados sobre estructuras con asimetría en fluencia en el valle de México, todos ellos se han limitado a análisis estadísticos de S1GL sujetos a análisis sísmicos unidireccionales; además, los factores de amplificación de resistencia propuestos corresponden sólo a algunos sitios del valle de México. La consideración explícita del nivel de asimetría, la influencia de dos componentes ortogonales de los movimientos sísmicos, y los niveles de confiabilidad implícitos en la estimación de los factores de amplificación de resistencia, no había sido discutida. En el estudio por Valenzuela-Beltrán et al. (2018) se propuso una metodología basada en un análisis de confiabilidad y se tomaron en cuenta algunos de los parámetros mencionados; sin embargo, en el estudio en cuestión no se consideró la influencia del tipo de suelo en las expresiones propuestas y solo se usó un número limitado de movimientos sísmicos registrados en el suelo blando de la Ciudad de México. El presente estudio se enfoca desde el punto de vista de análisis de riesgo sísmico y se consideran algunos de los aspectos antes mencionados; además, se considera una gran cantidad de movimientos sísmicos registrados en suelos con diferentes características del valle de México.
Los principales objetivos de esta investigación son los siguientes: 1) aplicar una metodología que se basa en un análisis de confiabilidad para estimar factores de amplificación de resistencia para estructuras con asimetría en fluencia, 2) proponer expresiones matemáticas simplificadas para ese propósito, correspondientes a zonas con diferentes condiciones de suelo del valle de México, y 3) verificar la validez de las expresiones propuestas mediante un ejemplo de aplicación a un edificio de concreto reforzado de varios niveles y crujías ubicado en la Ciudad de México.
Uno de los principales objetivos de la Ingeniería Sísmica es estimar los niveles de confiabilidad en las estructuras considerando las posibles intensidades de los temblores que pueden ocurrir en un sitio, durante un intervalo dado de tiempo. En los lineamientos de diseño sísmico existen varios formatos basados en confiabilidad (Ruiz, 2006), por ejemplo: a) semi-probabilístico (Rosenblueth, 1972), b) primer orden y segundos momentos (FOSM) (Cornell, 1969; Hao et al., 2013), c) diseño por factores de carga y resistencia (LRFD) (Galambos y Ravindra, 1973; Basha y Babu, 2014), d) los basados en un análisis de riesgo sísmico (Cornell, 1996; Cornell et al., 2002; Montiel y Ruiz, 2007; Baker y Gupta, 2016; Bradley et al., 2015) y e) los basados en optimización (Frangopol, 1985; Esteva, 1980; Miller y Baker, 2015). En el presente estudio, la confiabilidad estructural se evalúa por medio de un formato basado en un análisis de riesgo sísmico. Usando este análisis, la confiabilidad sísmica de las estructuras se puede estimar combinando las relaciones entre las intensidades de los movimientos sísmicos y la respuesta estructural por medio de modelos de peligro sísmico (Cornell, 1968; Esteva, 1967; 1968; Bazzurro y Cornell, 1994; Cornell y Krawinkler, 2000; Deierlein, 2004). Las medidas de intensidad escalares (MI), como la aceleración espectral en el periodo fundamental de vibración de la estructura (Sa(T1)), se usan frecuentemente para establecer la relación entre el peligro sísmico y la respuesta estructural. Se han propuesto enfoques para estimar la confiabilidad estructural que no se basan en MI escalares sino en vectoriales (Han y Wen, 1997; Bazzurro et al., 1998; Jalayer et al., 2004; Bojórquez et al., 2012); sin embargo, estas están fuera del alcance de este estudio.
En este estudio la confiabilidad estructural se evalúa, primeramente, estimando la probabilidad condicional de exceder un cierto nivel de un Parámetro de Demanda Estructural (PDE) para un nivel dado de MI, el cual se puede combinar con la curva de peligro sísmico asociada al sitio en estudio, vMI, y al periodo fundamental de vibración del sistema estructural; esto, con el fin de estimar la tasa media anual de excedencia, ν, de un valor particular de PDE, correspondiente a una intensidad y, νEDP(y), de la siguiente manera (Esteva, 1967; Cornell, 1968):
Donde P(EDP > y |MI = mi) es la probabilidad condicional que PDE > y, para una MI = mi. es el valor absoluto de la derivada de la curva de peligro sísmico asociada al sitio donde se localiza la estructura y a su periodo fundamental de vibración (T1).
En el presente estudio, la aceleración espectral en el periodo fundamental de vibración, como fracción de la gravedad (Sa(g)), así como la demanda global de ductilidad (µ) de las estructuras se seleccionan como MI y PDE, respectivamente.
Los pasos a seguir en la metodología son los siguientes:
donde todas las variables se han definido previamente, y Φ representa la función de probabilidad acumulada Gaussiana.
Los modelos estructurales simplificados que se usan en este estudio son modelos tridimensionales que presentan solamente un grado de libertad traslacional en cada dirección ortogonal (N-S y E-O), como se muestra en la Fig. 2. Los sistemas estructurales se consideran simétricos tanto en resistencia como en geometría. Toda la masa de los sistemas se concentra en la losa. El comportamiento histerético de los elementos estructurales se modela como elasto-plástico perfecto. Aunque se reconoce que algunas estructuras pueden presentar comportamiento estructural con degradación de rigidez y de resistencia, este efecto queda fuera del alcance del presente estudio. Se debe notar que los modelos estructurales usados en este estudio no son estrictamente sistemas de un grado de libertad (S1GL) ya que se pueden desarrollar fuerzas axiales en las columnas ante la acción de la excitación sísmica. El parámetro que cuantifica el nivel de asimetría en fluencia en los sistemas estructurales se denota como α, y se define como el desplomo del sistema estructural (δ) en una dirección (producto de un asentamiento diferencial en sólo dos columnas, por ejemplo, en las columnas 2 y 4 de la Fig. 2a) dividido entre su altura (L), como se indica en la Fig. 2b (α =δ/L).

Es importante mencionar que el parámetro α que cuantifica el nivel de asimetría que se considera en este estudio es equivalente al que se ha definido en los trabajos de Ruiz et al. (1989) y Terán y Arroyo (2005); por lo tanto, los resultados son válidos para cualquier causa que provoque un comportamiento de asimetría en fluencia (ver Fig. 1). La suposición anterior es válida solamente para sistemas estructurales en los cuales los efectos P-Δ no sean importantes. Es decir, el parámetro α también puede definirse como (ver Fig. 3):

donde V-y y V+y son los cortantes basales de fluencia en las direcciones fuerte y débil de la estructura, respectivamente; W es el peso total de la estructura a nivel de desplante y αsd es el parámetro de asimetría para una estructura sin desplomo. Se hace notar que la Ec. 7 es similar a la que aparece en la Ec. 2.5.3. de las NTCDS-2017.
Cuando una estructura se somete a una deformación lateral monotónicamente creciente, el endurecimiento por deformación de sus elementos estructurales y el hecho de que no todos fluyen al mismo tiempo, produce un pendiente post-elástica positiva cuando no se consideran los efectos de segundo orden (P-Δ); sin embargo, cuando se consideran dichos efectos, los momentos secundarios producidos por las cargas gravitatorias tienden a contrarrestar la fluencia gradual y el endurecimiento por deformación, lo que resulta en una pendiente post-elástica cercana a cero para deformaciones en el rango de interés (Terán-Gilmore et al., 2000). En el presente estudio los efectos P-Δ se consideran implícitamente asignando una pendiente post-elástica igual a cero en el modelo histerético de los elementos estructurales. Es importante mencionar que esta suposición es válida solamente para edificios que exhiban efectos P-Δ moderados. El estudio de estructuras con efectos P-Δ excesivos que pueden producir una pendiente post-elástica negativa está fuera del alcance de este estudio.
Con el objetivo de proponer expresiones matemáticas simplificadas para varias condiciones de suelo del valle de México, este se dividió en 7 zonas de acuerdo con su periodo dominante, como se resume en la Tabla 2. Para ello, se seleccionaron decenas de movimientos sísmicos registrados en diferentes estaciones del valle de México, cuyas principales características se pueden consultar en Valenzuela-Beltrán (2018). Los registros corresponden a eventos de subducción con magnitud mayor o igual a 6.9 (M ≥ 6.9). Se puede observar en la Tabla 2 que el periodo dominante de las zonas seleccionadas varía desde aproximadamente 0.5 s para la Zona A (suelo firme) hasta alrededor de 3.5 s para la zona G (suelo muy blando). El periodo dominante de una determinada zona se define como el periodo donde el espectro promedio elástico de pseudo-aceleración alcanza su valor máximo. En la Fig. 4 se presentan los espectros elásticos de pseudo-aceleración para la componente E-O de las 7 zonas consideradas, incluyendo el espectro promedio obtenido para cada zona, el cual se representa con una línea gruesa. Los espectros se construyeron considerando el 5% del amortiguamiento crítico.


Se hace notar que la segunda columna de la Tabla 2 es igual a la primera columna de la Tabla 2. 5. 1 de las NTCDS-2017.
En la Fig. 4 se puede observar que para las Zonas A y B, las formas espectrales no están claramente definidas alrededor de un solo periodo de vibración; por otra parte, se observa que para las zonas C a G, los picos espectrales están agrupados alrededor del periodo dominante del suelo. El cambio en las formas espectrales se puede atribuir a los efectos de la fuente, como la magnitud y el contenido de frecuencias, así como al periodo dominante del suelo. En el presente estudio las componentes E-O y N-S de los registros sísmicos se escalan en términos de la aceleración espectral en el periodo fundamental de la vibración de la estructura, usando la media cuadrática, de la siguiente manera:
donde SaEO y SaNS son las ordenadas del espectro elástico de pseudo-aceleración asociadas al periodo fundamental de vibración del sistema estructural para 5% del amortiguamiento crítico, correspondientes a las componentes E-O y N-S, respectivamente. Los registros sísmicos se escalaron para valores de Sa/g entre 0.1 y 1.4.
Como se mencionó anteriormente, la demanda global de ductilidad de los sistemas se toma como el parámetro de demanda estructural (PDE) de interés. Primeramente, se obtiene la demanda de ductilidad de los sistemas en las direcciones E-O y N-S (μX,μY), considerando la acción simultánea de las dos componentes horizontales de los registros sísmicos. Para ello, se divide el máximo desplazamiento horizontal del centro de masas de los sistemas estructurales en cada una de las direcciones horizontales (dX, dY ) entre el desplazamiento de fluencia, dy , el cual se estima por medio de un análisis estático no lineal (“pushover”). La demanda global de ductilidad de los sistemas se toma como el mayor de los valores calculados en cada una de las dos direcciones horizontales, como se indica en la E.9:
donde μX y μY representan a las demandas de ductilidad calculadas en las direcciones X (E-O) y Y (N-S), respectivamente.
Con el fin de ilustrar la metodología, esta se aplicará primeramente a una sola zona (Zona C; correspondiente a 1 s ≤ Ts < 1.5 s), y posteriormente, se ampliará a todas las zonas del valle de México que se listan en la Tabla 2.
Con el fin de obtener la mediana y la desviación estándar de los logaritmos de las demandas de ductilidad se realizan análisis sísmicos “paso a paso” no lineales, usando el programa Ruaumoko3D (Carr, 2007). Los sistemas se analizan considerando diferentes características de coeficiente sísmico (c), periodo de vibración (T1), y nivel de asimetría (α). Posteriormente, se obtienen curvas de fragilidad y CPD usando las Ecs.5 y 4, respectivamente. Las curvas se calcularon para un amplio intervalo de valores de c, T1 y α; sin embargo, debido a que las observaciones generales son similares para la mayoría de los casos, la discusión se presenta solamente para un sistema estructural con las siguientes características: c = 0.35, T1=1.4 s considerando diferentes valores de α. La Fig. 5 muestra las curvas de fragilidad obtenidas para el sistema estructural con las características mencionadas y para valores de demanda de ductilidad de 2, 3 y 4. Las curvas se presentan para la versión simétrica del sistema (Fig. 5a) y para una versión con asimetría en fluencia caracterizada por α = 0.02 (Fig. 5b). Se observa que la probabilidad de excedencia de un determinado valor de la demanda de ductilidad es mayor conforme el nivel de asimetría en fluencia del sistema aumenta. Por ejemplo, de la Fig. 5a (sistema simétrico), la probabilidad de excedencia para µ = 4 es prácticamente cero para cualquier valor de la intensidad sísmica; por otra parte, para el sistema con asimetría en fluencia (Fig. 5b), la probabilidad de excedencia del mismo valor de ductilidad es aproximadamente de 50% para una intensidad sísmica de 0.90g. Estos resultados indican que los sistemas con asimetría en fluencia exhiben un desempeño sísmico inferior (en términos de la demanda global de ductilidad) que sistemas simétricos con las mismas características.

En la Fig. 6 se presentan algunas de las curvas de peligro sísmico usadas en este estudio, las cuales se combinan con las curvas de fragilidad (como las mostradas en la Fig. 5) para estimar curvas de tasas medias anuales de excedencia de la demanda de ductilidad para los sistemas estructurales considerados. Se debe notar que las curvas de peligro sísmico corresponden a la Zona C y están asociadas a periodos de vibración de 1.4 s y 2.4 s. Se puede observar en la Fig. 6 que, para la zona C, el número medio de veces por año que se espera que se exceda un determinado valor de la intensidad sísmica es mucho mayor para un sistema con periodo de 1.4 s que para uno de 2.4 s. En las Figs. 7a y 7b se muestran las CPD para sistemas con diferentes valores de α. Las CPD representan la demanda de ductilidad esperada de los sistemas correspondiente a un valor dado de la tasa media anual de excedencia (ν). La Fig. 7a corresponde a un sistema con T1 = 1.4 s (que es muy cercano al periodo dominante del suelo de la zona considerada; Ts ≈ 1.5 s), y la Fig. 7b corresponde a un sistema con T1= 2.4 s (el cual está alejado del periodo dominante del suelo). Ambos sistemas estructurales tienen una resistencia lateral caracterizada por c = 0.35. En las figuras se puede observar que, para un valor dado de la tasa anual de excedencia, la demanda de ductilidad esperada se incrementa conforme aumenta el nivel de asimetría en fluencia de los sistemas. Este incremento es más significativo para sistemas con periodo de vibración cercano al periodo dominante del suelo. Por ejemplo, para el sistema con T1=1.4 s (Fig. 7a), y para valores de la tasa anual de excedencia de 0.008, 0.004, 0.002, y 0.001 (correspondientes a periodos de retorno Tr = 125, 250, 500, y 1000 años, respectivamente), las demandas de ductilidad esperada de sistemas con asimetría en fluencia son mucho mayores a las correspondientes a sistemas simétricos. Por otra parte, para sistemas con periodo de vibración alejado del periodo dominante del suelo (Fig. 7b), hay poca diferencia en la demanda de ductilidad esperada para todos los valores de ν considerados. Los resultados anteriores indican que el efecto de la asimetría en fluencia tiene mucha mayor influencia para sistemas con periodos de vibración cercanos al periodo dominante del suelo, y tal efecto es mucho menor para sistemas con periodos de vibración alejados de este.


Una vez obtenidas las CPD para sistemas con diferentes valores de c, T1 y α, el siguiente paso es obtener, a partir de estas curvas, los espectros de tasa de excedencia uniforme de ductilidad correspondientes a valores dados de tasa anual de excedencia. A partir de este tipo de gráficas se puede deducir de manera cuantitativa el incremento en la demanda de ductilidad esperada de sistemas con asimetría en fluencia con respecto a sistemas simétricos y, además, la influencia de la resistencia lateral de los sistemas en tal incremento. Las Figs. 8a y 8b muestran los µ-ETEU obtenidos para sistemas con distintos niveles de resistencia lateral (c = 0.30 y 0.50, respectivamente), asociados a una tasa anual de excedencia igual a 0.008 (Tr = 125 años).

En las Figs. 8a y 8b se puede observar de manera clara que el efecto de la asimetría en fluencia en la demanda de ductilidad esperada está relacionado a la resistencia lateral del sistema. Por ejemplo, para los sistemas con menor resistencia lateral (c = 0.30, Fig. 8a), se puede observar que existe un incremento importante en la demanda de ductilidad de sistemas asimétricos en fluencia en comparación a sistemas simétricos en el intervalo de periodos de vibración cercanos al periodo dominante del suelo; además, para sistemas con periodos de vibración alejados de este, existe también un incremento, aunque relativamente pequeño, en la demanda de ductilidad. Por otra parte, el efecto de la asimetría en fluencia en los sistemas con mayor resistencia lateral (c = 0.50, Fig. 8b) es solamente significativo en la zona donde el periodo de vibración es cercano al periodo dominante del suelo, y para sistemas con periodo de vibración alejado de este, el efecto de la asimetría en fluencia es casi despreciable.
Una vez calculados los µ-ETEU para una gran variedad de sistemas estructurales con diferentes características, se procede a obtener Espectros de Resistencia (ER) por medio de un método de interpolación lineal. Los ER se utilizarán para cuantificar la resistencia adicional requerida por sistemas con asimetría en fluencia para lograr un desempeño sísmico y una confiabilidad similar al de los respectivos sistemas simétricos, en términos de la demanda global de ductilidad. Tal incremento de resistencia depende del periodo fundamental de vibración del sistema estructural, de su nivel de asimetría en fluencia y de la demanda de ductilidad. Las Figs. 9a y 9b muestran los ER para valores de la demanda global de ductilidad de 2 y 3, respectivamente. Los ER que se muestran en la Fig. 9 se presentan solamente para ν = 0.008, debido a que en estudios previos (Valenzuela-Beltrán et al., 2018) se encontró que el incremento en la demanda de ductilidad de los sistemas con asimetría en fluencia con respecto a sistemas simétricos es sensiblemente independiente de la tasa anual de excedencia seleccionada.

Se puede observar en la Fig. 9 que, consistente con los resultados presentados anteriormente, el requerimiento de resistencia lateral de sistemas con asimetría en fluencia es más importante en el intervalo de periodos de vibración que son cercanos al periodo dominante del suelo. Para expresar numéricamente ese incremento de resistencia, el siguiente paso es obtener relaciones entre los ER de sistemas con asimetría en fluencia con los correspondientes a sistemas simétricos. Estas relaciones se representan por medio del parámetro RER, y se calculan con la Ec. 6. Los valores calculados del parámetro RER para la Zona C se presentan en las Figs. 10a y 10b, para µ = 2 y 3, respectivamente. Con base en los resultados anteriores se puede concluir que el requerimiento adicional de resistencia de sistemas con asimetría en fluencia con respecto a sistemas simétricos es muy importante en algunos casos, particularmente cuando los sistemas estructurales reúnen las siguientes características: 1) periodo fundamental de vibración cercano al periodo dominante del suelo, 2) baja resistencia lateral, y 3) alta demanda de ductilidad.

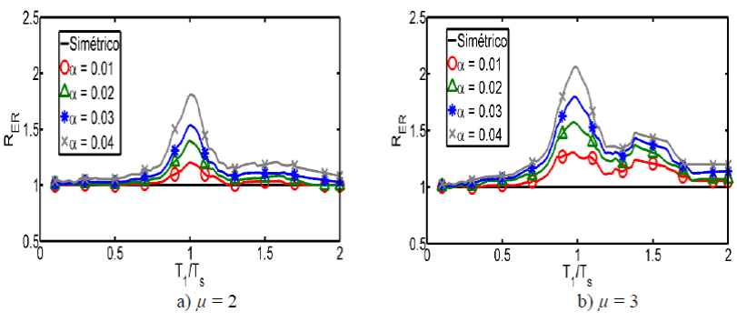
El procedimiento antes descrito se repitió para las siete zonas consideradas en este estudio (Tabla 2). Las Figs. 11a-11g muestran los valores del parámetro RER obtenidos para las 7 zonas, para varios valores de α, y asociados a un valor de ductilidad de μ = 2. El eje horizontal de las Figs. 11a-11g representa la relación entre el periodo fundamental de vibración de los sistemas estructurales con el periodo dominante del suelo; mientras que en el eje vertical se grafica cuantitativamente la resistencia adicional requerida por sistemas estructurales con diferentes niveles de asimetría en fluencia para lograr un desempeño sísmico y confiabilidad estructural, en términos de la demanda global de ductilidad, equivalente al de sus contrapartes simétricos. Se presentan solamente los resultados asociados a un valor de la demanda global de ductilidad (μ = 2) y una tasa de excedencia ν = 0.008. Las principales observaciones son válidas para otros valores de μ; además, como se comentó arriba, el incremento en la demanda de ductilidad, y consecuentemente, el requerimiento de resistencia lateral de estructuras con asimetría en fluencia es sensiblemente independiente del valor de la tasa anual de excedencia seleccionado. También, es importante comentar que en las Zonas A y B (suelo firme) no existe un periodo dominante del suelo; sin embargo, aquí se consideró así con el objetivo de dar un tratamiento similar (del manejo de datos) al de las demás zonas.

Se puede notar en las figuras que los valores del parámetro RER son mucho menores para las Zonas A y B que para las Zonas C, D, E, F y G, en donde el efecto de la asimetría en fluencia es más importante, es decir, para valores de T1/Ts ≈ 1. Esto indica que el efecto de la asimetría en fluencia es, en general, mayor en suelos blandos que en suelos firmes; no obstante, esto no siempre se cumple, especialmente para relaciones T1/Ts alejadas de la unidad. Por otro lado, se observa que para las Zonas A y B las formas de las gráficas son casi constantes para valores de T1/Ts mayores que 1; sin embargo, para las demás zonas, el requerimiento de resistencia alcanza su valor máximo donde el periodo del sistema estructural es cercano al periodo dominante del suelo (T1/Ts ≈ 1) y disminuye conforme la relación T1/Ts se aleja de la unidad. En resumen, las Figs. 11a a 11g indican que, en general, el efecto de la asimetría en fluencia es más perjudicial para sistemas estructurales localizados en suelos blandos, y cuyo periodo fundamental de vibración es cercano al periodo dominante del suelo, donde se ubican.
Una vez que los resultados se clasificaron dentro de esas siete categorías, se ajustaron expresiones matemáticas simplificadas a los datos del parámetro RER por medio del método de mínimos cuadrados. Las expresiones resultaron en función de parámetros que influyen en el comportamiento sísmico de una estructura con asimetría en fluencia, como: el nivel de asimetría (α), la demanda global de ductilidad (μ), el periodo fundamental de vibración del sistema estructural (T1), y el periodo dominante del suelo (Ts). Debido a que la forma de las gráficas para las Zonas A y B (suelo firme) es diferente a la de las Zonas C, D, E, F y G (suelos intermedio y blando; ver Fig. 11), se tiene que usar una forma de ecuación distinta en ambos casos. Por lo tanto, para las zonas A y B se seleccionará una forma matemática como la de la Ec.10, y para las zonas restantes, una como la de la Ec.11. Las formas matemáticas de estas ecuaciones fueron originalmente propuestas por Terán y Arroyo (2005), y son las que se especifican en el MOC-2015; sin embargo, los valores de los parámetros (a, b, c y d) que intervienen en ellas son diferentes a las que se proponen en el presente estudio.
donde los valores de a, b, c y d se presentan en la Tabla 3 para las siete zonas en las que se clasificó el suelo del valle de México.

Se hace notar que las Ecs.10 y 11 (incluyendo los parámetros de la Tabla 3) son iguales las expresiones 2.5.1 y 2.5.2 que se recomiendan en las NTCDS-2017.
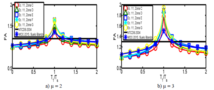
En la Fig. 12 se comparan los resultados que se obtienen con las Ecs.10 y 11 con aquellos que se muestran en la Fig. 11, que corresponden a los valores del parámetro RER para demandas de ductilidad de 2. Se puede ver en las figuras, que las Ecs.10 y 11 se ajustan adecuadamente a los datos del parámetro RER; no obstante, es importante mencionar que los valores de los parámetros de la Tabla 3 no corresponden estrictamente a los resultados del ajuste obtenidos con el método de los mínimos cuadrados, debido a que las expresiones pudieran ser más complejas al introducir un mayor número de parámetros y, en consecuencia, reflejar de una mejor manera los datos obtenidos de los análisis. Por lo anterior, los autores consideran que las expresiones matemáticas propuestas en este estudio son simples y conducen a resultados suficientemente precisos que caen dentro de un diseño sísmico práctico.
En esta sección se comparan los factores de amplificación de resistencia propuestos en este trabajo (Ecs.10 y 11) con los que se recomendaban en las NTCDS-2004 y con los vigentes del MOC-2015. Las Figs. 13 y 14 muestran dicha comparación para demandas de ductilidad de 2 y 3, un nivel de asimetría de α = 0.02, y para suelos con Ts ≤ 1 s (Zonas A y B), y suelos con Ts > 1 s (Zonas C, D, E, F y G), respectivamente. Antes de discutir los resultados de las comparaciones es necesario mencionar que las expresiones propuestas en este estudio se obtuvieron mediante un análisis de confiabilidad tomando la ductilidad máxima como parámetro de desempeño de los sistemas estructurales, mientras que las expresiones recomendadas en el MOC-2015 se propusieron de acuerdo a un criterio de daño constante usando el índice de daño de Park y Ang (Terán y Arroyo, 2005); por otro lado, la expresión que se incluía en las NTCDS-2004 se derivó de un criterio de ductilidad constante y juicio ingenieril.


Se puede observar en las Figs. 13 y 14 que, para suelo firme (Ts≤ 1 s), la expresión que se recomendaba en las NTCDS-2004 resulta más conservadora que las expresiones propuestas en este estudio para todo el intervalo de relaciones T1/Ts. Sin embargo, se puede apreciar que para suelos intermedios y suelos blandos (Ts> 1 s), la expresión de las NTCDS-2004 conduce a resultados conservadores solo para relaciones T1/Ts alejadas de la unidad; y que hay una importante subestimación de los factores de amplificación de resistencia para estructuras cuyo periodo fundamental de vibración está cercano al periodo dominante del suelo (T1/Ts ≈ 1). Los resultados indican que esta subestimación puede ser mayor a 100% (dependiendo del nivel de asimetría y la ductilidad). Por otra parte, se puede notar que el factor que se recomendaba en las NTCDS-2004 era constante para todos los valores de T1/Ts, es decir, no consideraba que el efecto de la asimetría en fluencia es más perjudicial para estructuras con periodo de vibración cercano al periodo dominante del suelo, ni que dicho efecto es, en general, mayor en suelos blandos que en suelos firmes.
Por otra parte, en las Figs. 13 y 14 se puede apreciar que la expresión recomendada por el MOC-2015 para suelo firme es más conservadora que la que se propone en este estudio para valores de T1/Ts ≤ 1; sin embargo, es menos conservadora para T1/Ts > 1. Por otro lado, las expresiones aquí propuestas para suelos intermedios y blandos (Zonas C, D, E, F y G) son ligeramente más conservadoras a las que se recomiendan en el MOC-2015 para suelo blando. Esto se debe a que en el presente estudio se consideran suelos con periodos dominantes que van desde 1 s hasta 4 s; mientras que las expresiones del MOC-2015 se obtuvieron considerando registros sísmicos asociados a un sitio en particular con un periodo dominante de 2 s, es decir, no se estudió el caso de sistemas estructurales con asimetría en fluencia localizados en suelos con periodos dominantes mayores que 2 s. Además, en el presente estudio se consideró que el criterio de ductilidad máxima era el más apropiado para establecer los factores de amplificación de resistencia, mientras que en el MOC-2015 el criterio de daño tomó en cuenta, adicionalmente, la demanda de energía de estructuras.
Una estructura que exhibe asimetría en fluencia requiere diseñarse para una mayor resistencia lateral que una estructura simétrica con características similares. Se espera que una estructura con asimetría en fluencia con una resistencia lateral amplificada (por las Ecs. 10 o 11) exhiba una confiabilidad sísmica similar, en términos de la demanda global de ductilidad, al de una estructura simétrica en fluencia con las mismas características. Con el objetivo de verificar esto, en lo que sigue se presenta un ejemplo ilustrativo del análisis de confiabilidad de un edificio regular de concreto reforzado de 9 niveles y tres crujías; el edificio se considerará simétrico y, alternativamente, exhibiendo asimetría en fluencia debido a un desplomo. El diseño del edificio se realizó siguiendo los lineamientos del RCDF-2004. La planta y la elevación del edificio se muestran en la Fig. 15.

Para hacer la comparación entre un edificio con asimetría en fluencia y un edificio simétrico se consideran dos diseños. El primero corresponde a la versión simétrica del edificio (en lo sucesivo se le llama Edificio A), el cual se diseñó de una forma convencional usando la resistencia lateral recomendada en el Apéndice A de las NTCDS-2004. Se optó por usar los espectros de diseño del Apéndice A y no los del cuerpo principal de las NTCDS-2004 debido a que en el primero los espectros de diseño se construyen tomando en cuenta explícitamente los valores del periodo dominante del terreno. El segundo diseño es un edificio (Edificio B) con la misma geometría y sistema estructural que el Edificio A, pero que exhibe una asimetría en fluencia caracterizada por α = 0.01 (ver Fig. 15c). Debido a la asimetría en fluencia del Edificio B, su resistencia lateral se debe amplificar usando la Ec.10 o la Ec.11 (según sea el caso) para lograr que tenga una confiabilidad sísmica (en términos de la demanda global de ductilidad) similar a la versión simétrica en fluencia del edificio.
El diseño de ambas versiones de los edificios se basó en un análisis dinámico modal espectral. Se supone que los edificios están ubicados en la zona del Lago del valle de México, y que cumplen con las condiciones de un factor de comportamiento sísmico Q = 3. El uso de los edificios se considera como residencial. La resistencia nominal a compresión del concreto es f’c = 300 kg/cm2, y se considera una resistencia de fluencia del acero de refuerzo de fy = 4,200 kg/cm2. La rigidez lateral se seleccionó de tal manera que la distorsión máxima de entrepiso en cualquiera de los niveles no excediera 0.030, que es el límite especificado en el Apéndice A de las NTCDS-2004 para el diseño de marcos dúctiles de concreto reforzado. Cabe aclarar que, aunque las estructuras de concreto reforzado exhiben un comportamiento histérico degradante, aquí se modela el comportamiento de los elementos estructurales como elasto-plástico perfecto debido a que los factores de amplificación de resistencia se obtuvieron bajo esa consideración. En los análisis se consideran los efectos de segundo orden (P-Δ).
El periodo fundamental de vibración del Edificio A se estimó como T1 = 1.16 s. De acuerdo con el Apéndice A de las NTCDS-2004, el coeficiente sísmico (c) de diseño para un edificio con las características mencionadas, ubicado en una zona con un periodo dominante Ts = 1.4 s (que en este estudio se clasificó como Zona C), es igual a c = 0.31 (ya reducido por el factor de ductilidad, Q’, conforme lo indica el Apéndice A de las NTCDS-2004). Tal valor de coeficiente sísmico se redujo por un factor de sobre-resistencia R = 2 (de acuerdo con las expresiones del Apéndice A de las NTCDS-2004). Por lo tanto, el coeficiente sísmico de diseño resulta igual a 0.155. Por otro lado, para el Edificio B, el coeficiente sísmico c se debe amplificar por el factor dado por la Ec.11 y la Tabla 3, como sigue:
Entonces, el coeficiente sísmico de diseño amplificado para el Edificio B es c = (0.155)(1.11)= 0.172.
Con el fin de suministrar la resistencia lateral requerida por el Edificio B para tener un comportamiento sísmico (y niveles de confiabilidad) equivalente al Edificio A, aquí se considerará que algunos de los elementos estructurales se reforzaran usando la técnica de encamisado de concreto.
Lo que sigue se refiere al refuerzo del edificio considerado por efecto de la asimetría en fluencia. Primeramente, se describen las características del edificio reforzado, y posteriormente, se comparan los resultados (análisis estáticos no lineales y de curvas de tasas medias anuales de excedencia de la demanda estructural) de ambas versiones del edificio. Primeramente, se realiza el diseño del edificio de manera convencional con el espectro de diseño amplificado (obtenido multiplicando las ordenadas del espectro de diseño sísmico que se obtiene del Apéndice A de las NTCDS-2004 por los factores obtenidos con la Ec.11). Evidentemente, el diseñar el edificio para fuerzas laterales más grandes conduce a tener elementos estructurales más robustos y con mayor armado, lo que implica que la rigidez lateral del edificio aumenta y, en consecuencia, su periodo de vibrar disminuye. Después de realizar algunas iteraciones, el periodo fundamental de vibración del Edificio B (reforzado con encamisado de concreto) resultó igual a 1.12 s. Las secciones resultantes de los elementos estructurales de ambas versiones del edificio (Edificio A y Edificio B) se presentan en la Tabla 4. Se puede observar en la tabla que solamente fue necesario aumentar ligeramente las secciones transversales de las columnas de las esquinas de los niveles 1 y 4 del Edificio B (las cuales se indican con color rojo en la Fig. 16, y con negritas en la Tabla 4).


El hecho de aumentar la rigidez lateral del edificio tiene un impacto positivo en su desempeño sísmico debido a la correspondiente disminución de su periodo de vibrar, ya que esto aleja a la estructura de la zona donde el efecto de la asimetría en fluencia es más significativo (T1/Ts ≈ 1). Se hace notar que este comentario es válido solamente para estructuras cuyo periodo fundamental de vibración es menor que el periodo dominante del suelo (T1 < Ts); en el caso de estructuras cuyo periodo de vibrar sea mayor al periodo dominante del suelo, un incremento en la rigidez lateral da lugar a que el periodo del edificio se acerque a la zona de mayor amplificación dinámica y, por ende, a un desempeño sísmico inferior.
Una vez que se completa el diseño y refuerzo del edificio, se procede a idealizarlo por medio de un modelo estructural que tome en cuenta el comportamiento no lineal de sus elementos estructurales. La modelación de las vigas considera una longitud de la articulación plástica igual a la mitad de su peralte. Los momentos de fluencia en cada uno de los ejes principales de las vigas se obtiene de su correspondiente diagrama momento-curvatura, y se asocia al menor valor de las curvaturas correspondientes a: 1) la fractura del acero longitudinal en tensión, 2) el pandeo del acero longitudinal a compresión, y 3) el aplastamiento del concreto. Se obtuvieron los diagramas de interacción para cada una de las columnas. Los extremos rígidos de vigas y columnas se toman como la mitad del peralte de los miembros con los cuales intersectan. Se consideran diafragmas rígidos en todos los entrepisos, y toda la masa de un entrepiso se considera concentrada en su centro de masas. El comportamiento histerético de los elementos estructurales se idealiza como elasto-plástico perfecto.
La capacidad lateral de los edificios se estima por medio de un análisis estático no lineal (“pushover”). El patrón de cargas laterales que se emplea es proporcional a las fuerzas laterales de diseño derivadas del análisis modal. El análisis “pushover” se lleva a cabo usando el programa Ruaumoko3D. La Fig. 17 muestra las relaciones cortante basal vs desplazamiento de azotea para los Edificios A y B. En la figura se puede ver que la rigidez del Edificio B es mayor a la del Edificio A debido al encamisado con concreto de algunos de los elementos estructurales. El cortante basal máximo estimado para el Edificio A es de 1182 Ton, que, dividido entre su peso, W = 3,930 Ton, da un coeficiente sísmico de 0.30. Este valor es muy cercano al coeficiente sísmico esperado, que es 0.31. Para el Edificio B, el cortante basal máximo es de 1360 Ton, que dividido entre W = 3942 Ton, da lugar a un coeficiente sísmico de 0.34, que también es muy cercano al coeficiente sísmico esperado. La relación entre el cortante basal del Edificio A con respecto al del Edificio B es 0.34/0.30 = 1.13; este valor es congruente con el planteamiento inicial, debido a que las fuerzas sísmicas de diseño del Edificio B son 11% mayores que las del Edificio A. En este caso se tiene que el Edificio B desarrolla una resistencia ligeramente mayor para la cual se diseñó, esto es debido a que, por cuestiones prácticas, el encamisado de concreto requiere ampliar la sección transversal en mínimamente 15 cm para que se pueda colocar el acero de refuerzo adicional, aunque en el modelo de análisis se requiera una sección un poco menor para llegar a la resistencia lateral deseada.

Por otra parte, se puede observar que ninguno de los edificios exhibe una pendiente post-elástica negativa en el intervalo de desplazamientos de interés, lo cual implica que los efectos P-Δ no influyen de manera importante en el desempeño sísmico de este tipo de edificios. El desplazamiento de fluencia (dy ) y el desplazamiento último (du ) de los edificios se calculan a partir de las curvas del análisis “pushover” usando una aproximación bi-lineal. En la Tabla 5 se resumen las características de los dos edificios analizados.

Se obtuvieron CPD para las diferentes versiones del edificio en cuestión, usando la Ec.4. Con la finalidad de ilustrar de mejor manera la discusión, se analiza una variante del Edificio A (sin refuerzo) que exhibe una asimetría en fluencia caracterizada por α = 0.01, que en lo sucesivo se denota como Edificio A-asimétrico. Para calcular las CPD fue necesario estimar la respuesta dinámica de cada uno de los edificios para varios registros sísmicos. Se realizaron cientos de análisis paso a paso no lineales con el objetivo de obtener la demanda global de ductilidad como función de la intensidad sísmica. Antes de sujetar los modelos no lineales de los edificios al efecto de los acelerogramas, se les aplicó la carga vertical, de tal manera que el desempeño estructural que se reporta considera el efecto combinado de las cargas verticales gravitacionales y las acciones laterales debidas a sismo. La demanda global de ductilidad de los edificios se evaluó de la misma manera que para los sistemas simplificados (ver Ec.9). Debido a que los edificios se suponen localizados en una zona con un periodo dominante de 1.4 s, se usaron registros sísmicos correspondientes a la Zona C de la Tabla 2. En las Figs. 18 y 19 se presentan las curvas de la mediana y desviación estándar de los logaritmos de la demanda de ductilidad de los edificios, respectivamente. Se observa que la mediana de la demanda de ductilidad se incrementa con la intensidad sísmica, como se esperaba. En las figuras se puede notar que, como se esperaba, el Edificio B (reforzado con encamisado de concreto) presenta las demandas de ductilidad más bajas debido a que se diseñó para una mayor resistencia lateral; por otra parte, es evidente que el Edificio A-asimétrico presenta las demandas de ductilidad más altas, ya que presenta asimetría en fluencia y no esta reforzado. En el caso de las desviaciones estándar se puede ver que para valores de intensidad pequeños la incertidumbre en los logaritmos de las demandas es pequeña debido a que los edificios permanecen en el intervalo elástico o apenas incursionan en el inelástico, y para intensidades grandes, la desviación estándar crece, pero sin mostrar una tendencia clara con la intensidad sísmica.


En las Figs. 20-22 se presentan las curvas de fragilidad para los edificios considerados, las cuales se estimaron usando la Ec. 5. Las figuras muestran que, de acuerdo con las medianas de los logaritmos de las demandas mostradas en la Fig. 18, la probabilidad de excedencia de un determinado valor de la demanda global de ductilidad del edificio con asimetría en fluencia cuya resistencia lateral se amplificó por medio de la Ec.11 (Edificio B) es ligeramente menor a la del edificio simétrico (Edificio A).



En la Fig. 23 se muestran las CPD para los edificios considerados. Se puede observar que las CPD correspondientes al Edificio B con respecto a las del Edificio A presentan pequeñas diferencias en la demanda de ductilidad esperada para cualquier valor de la tasa media anual de excedencia. No obstante, estos resultados indican que el comportamiento sísmico del edificio con asimetría en fluencia reforzado con encamisado de concreto (Edificio B) es superior al de su contraparte simétrica (Edificio A). Esto se debe a que el Edificio B se diseñó para fuerzas laterales más grandes, lo que conduce a elementos estructurales más robustos y a una estructura más rígida, lo cual la aleja de la zona de mayor amplificación dinámica (i.e. T1/Ts = 1). Además, en esta figura se puede apreciar explícitamente como una estructura que exhibe comportamiento asimétrico tiene un desempeño sísmico inferior (en términos de la demanda global de ductilidad esperada) en comparación a una estructura que se ha reforzado usando los factores de amplificación de resistencia aquí propuestos. Basado en los resultados anteriores, se puede concluir que estructuras con asimetría en fluencia cuya resistencia lateral se amplifica con los factores propuestos exhiben un desempeño sísmico equivalente (o superior) al de su contraparte simétrica.

Se debe comentar que el refuerzo con encamisado de concreto para estructuras cuyo periodo fundamental de vibración sea mayor al periodo dominante del suelo puede resultar perjudicial, debido a que aumentar la rigidez de la estructura la llevaría a la zona de mayor amplificación dinámica y, por ende, a un comportamiento sísmico inferior. Considerando este hecho, en este caso sería más conveniente usar otra técnica de refuerzo, por ejemplo: polímeros reforzados con fibra de carbono (CFRP) o bien optar por una solución geotécnica.
Se propuso y aplicó una metodología basada en un análisis de confiabilidad para estimar la resistencia adicional requerida para el diseño (o refuerzo) de estructuras que exhiben asimetría en fluencia producida por diferentes causas. Se desarrollaron expresiones matemáticas simplificadas para estimar los factores de amplificación de resistencia. Dichas expresiones se obtuvieron para diferentes tipos de suelo y se clasificaron para su aplicación en el valle de México. El objetivo de amplificar la resistencia lateral de estructuras con asimetría en fluencia con las expresiones propuestas en este estudio es que estas logren un desempeño estructural sísmico, en términos de la demanda global de ductilidad esperada, equivalente al de su contraparte simétrica; es decir, que tengan una confiabilidad similar. Las expresiones resultantes de este estudio se compararon con las que se recomendaban en las NTCDS-2004 y con las vigentes del MOC-2015. Finalmente, se comprobó la validez de las expresiones propuestas mediante un ejemplo de aplicación a un edificio de concreto reforzado de 9 niveles y 3 crujías, ubicado en la Ciudad de México. Los principales resultados derivados de este estudio son los siguientes:
El primer autor agradece al Consejo Nacional de Ciencia y Tecnología (CONACyT) la beca otorgada para sus estudios de posgrado. Se agradecen los valiosos comentarios de J. L. Camba, L. Esteva y F. García Jarque, así como el apoyo proporcionado por el Instituto de Seguridad para las Construcciones en el Distrito Federal (ISCDF), y por la UNAM (PAPIIT-IN103517). Así mismo, los autores agradecen las valiosas sugerencias y comentarios de dos revisores anónimos, que ayudaron a mejorar la calidad de este artículo.



























