Artículos
Morfología urbana, daños en estructuras, sismicidad y red acelerométrica de la Ciudad de Morelia
Urban morphology, structural damage, seismicity and accelerometric network of the City of Morelia
Morfología urbana, daños en estructuras, sismicidad y red acelerométrica de la Ciudad de Morelia
Ingeniería sísmica, núm. 108, Esp., pp. 1-22, 2022
Sociedad Mexicana de Ingeniería Sísmica A.C.
Recepción: 30 Julio 2021
Aprobación: 20 Julio 2022
Resumen: En este trabajo se describen los efectos producidos por algunos sismos importantes en construcciones de la ciudad de Morelia, Michoacán, la morfología urbana, las características de los suelos, las fallas sísmicas locales, así como la evolución de parámetros de diseño sísmico que se han propuesto en los reglamentos de diseño locales. Se señala la importancia de la Red Sísmica Nicolaita, compuesta de diez estaciones acelerométricas, en la obtención de registros que permitan mitigar el riesgo sísmico y con los cuales ha sido posible establecer diferencias apreciables del movimiento de los suelos en la ciudad y que deben ser consideradas en estudios de peligro. También, se presentan algunos acelerogramas registrados y espectros de respuesta. El objetivo de este trabajo es mostrar que, de acuerdo con la historia sísmica y los daños producidos por eventos sísmicos pasados, la ciudad de Morelia es un sitio propenso a sismos destructivos, lo que vuelve fundamental contar con una red de monitoreo.
Palabras clave: Red acelerométrica, espectros de respuesta, amplificación dinámica, zonificación sísmica, diseño sísmico.
Abstract: This paper describes the effects of some seismic motions in buildings of the city of Morelia, Michoacan, the urban morphology, soil characteristics, local seismic faults and the evolution of seismic design parameters proposed in local regulations. The importance of the Nicolaita Seismic Network, composed of 10 accelerometric stations, in recording the seismic movements to mitigate the seismic risk is pointed out. Currently, the recorded accelerograms have shown significant differences in the ground motion that must be considered when conducting a seismic hazard assessment. The paper also presents some recorded accelerograms and response spectra. The objective of this manuscript is to show that, according to the seismic history and the damage caused by past seismic events, the city of Morelia is a site prone to destructive earthquakes, which makes it essential the seismic network.
Keywords: Accelerometric network, response spectra, dynamic amplification, seismic zonation, seismic design.
Morfología urbana de la Ciudad de Morelia
La antigua Valladolid, ahora ciudad de Morelia, se fundó por instrucciones del Virrey Antonio de Mendoza y la anuencia del Rey Carlos I de España el 18 de mayo de 1541. Fue durante el siglo XVII cuando verdaderamente se consolidó la ciudad, con lo que mejoraron las condiciones económicas de sus pobladores, situación que se manifestó con el auge de construcciones majestuosas, siendo la más imponente de ellas la catedral de Valladolid (Ojeda, 2016). Al iniciar el siglo XVIII, la construcción de los principales conventos de la ciudad ya había concluido y se había iniciado la de otros edificios importantes, tales como parroquias, capillas, colegios, hospitales y casas, propiedad de prominentes miembros del clero y del ayuntamiento de la ciudad (Núñez, 2006).
En la Figura 1 se aprecia que la mancha urbana de la ciudad en el año de 1857, un año antes del gran terremoto de Santa Juliana del 19 de junio de 1858, ya contaba con los mismos cincuenta edificios principales del centro histórico actual, además de una gran cantidad de viviendas vallisoletanas, las cuales (Ramírez, 1985) fueron construidas a base de cal y canto sin acero de refuerzo alguno, y en muchos casos, sobre todo en los barrios de indios al oriente de la ciudad, la cantera irregular de los muros fue junteada con mortero de lodo. Todo lo anterior, aunado a la baja altura de los inmuebles, la presencia de diafragmas semirrígidos y configuraciones irregulares en planta por la presencia de los patios típicos (Figura 2), generó un conjunto significativo de estructuras vulnerables a sismos de alta frecuencia o periodo corto, del cual, una parte sustantiva se encuentra actualmente en muy mal estado de conservación.


La verdadera transformación física de los espacios urbanos en Morelia se inició después de la segunda mitad del siglo XIX y la primera del siglo XX (Ettinger et al, 2014), siendo a fines de los años 30 cuando la arquitectura moderna hace su aparición en la ciudad, con la construcción en 1937 del edificio Tron Hermanos y Cía. así como del hotel Turi-Mich, actualmente Hotel Alameda, marcando el inicio del uso del concreto reforzado como material constructivo en el Estado de Michoacán, y condenando a su fin a la típica edificación basada en muros de cantería y entrepisos de viguería de madera con tapas de ladrillo y terrado.
En la actualidad, la ciudad de Morelia cuenta con 784,776 habitantes dentro de su núcleo urbano, donde más del 90% de las construcciones son de tipo habitacional de uno a tres niveles, mayormente construidas a base de muros de mampostería confinada con losas de concreto reforzado, y el porcentaje menor lo comprenden edificios de 5 a 20 niveles de concreto reforzado, acero y los de mampostería antigua sin confinamiento. La tendencia de las recientes administraciones municipales ha sido la promoción de la verticalización de los inmuebles fuera del área del centro histórico, ya que reglamentariamente ningún edificio puede tener una altura mayor a los 62 metros de las torres de la catedral, por lo que la ciudad se encuentra en una nueva era de alturas intermedias en su periferia y baja altura dentro del centro histórico. Lo anterior, implica modificaciones al Reglamento de Construcciones local y la actualización de las Normas Técnicas Complementarias vigentes, que demandarán una zonificación sísmica detallada y la propuesta de espectros de diseño, donde los registros sísmicos de la Red Sísmica Nicolaita serán relevantes para definir los parámetros de diseño de las construcciones.
Daños sísmicos
La ciudad de Morelia, capital del estado de Michoacán, se ubica en la parte noreste del estado, a 1920 metros sobre el nivel del mar y con coordenadas geográficas: latitud norte: 19° 42’ 12’’ y longitud oeste 101° 11’ 31’’. La ciudad se localiza en el antiguo valle de Guayangareo, limitado al norte por las lomas de Santiaguito, al sur por las lomas de Santa María, al sureste por el cerro del Punhuato y hacia el noroeste por el cerro del Quinceo. Se encuentra ubicada en una de las regiones de mayor sismicidad de la República Mexicana. Garduño y Escamilla (1996) mencionan que en el periodo de 1786 a 1899 se registraron 34 movimientos sísmicos, de éstos, se consideraron como de fuerte intensidad los registrados en 1786, 1858, 1873, 1875, 1887, 1894 y 1896.
El temblor del 19 de junio de 1858, considerado inicialmente con origen de intraplaca (Singh, Ordaz y Pérez-Rocha, 1996), y posteriormente de origen cortical dentro de la Faja Volcánica Transmexicana, con epicentro considerablemente más cercano a Morelia (Suárez, Caballero y Novelo, 2019), provocó daños importantes asociados a una intensidad estimada de IX en la escala de Mercalli (Jara y Jara, 2007). Las crónicas (Contreras, 1989) que describen los daños que produjo este sismo enfatizan que “donde se hizo sentir más fue en Pátzcuaro, donde el sacudimiento causó terribles efectos, arruinando varios templos y casas. En Morelia, se sintió de una manera muy violenta, sufrieron mucho las casas y edificios, entre ellos la catedral y la Compañía de San Agustín”. En la Figura 3 (Suárez, 1986) se presentan las isosistas correspondientes a este evento; la forma y distribución de las curvas sugiere que se trata de un sismo diferente a los que se originan en la costa y muestran que las máximas intensidades se presentaron en Morelia y en sus alrededores.

El sismo del 14 de marzo de 1979 (MS=6.1) produjo daños en el edificio del hospital Vasco de Quiroga del ISSSTE, así como agrietamiento en edificaciones para vivienda. El sismo del 18 de abril de 2014 (MS=7.2) generó daños estructurales y daños en elementos no estructurales en el Hospital General Regional, HGR N1, (Hernández, Arce y Rivera, 2017), así como una grieta longitudinal a lo largo del intradós de la corona de la bóveda de cañón corrido del templo de San Agustín, la cual se bifurcó transversalmente sobre el coro alto y bajó verticalmente sobre los dos muros longitudinales de la nave (Alejo et al, 2021). Durante el evento sísmico del 19 de septiembre de 2017 (MS =7.1), 11 centros educativos sufrieron daño estructural moderado y 569 presentaron daño estructural leve en el estado de Michoacán. En la ciudad de Morelia, al menos 10 centros educativos sufrieron daño estructural. En el Hospital Psiquiátrico se encontraron grietas en dos muros de los consultorios. Ocho casas habitación tuvieron daño reparable en los muros de carga. En las instalaciones de la Universidad Michoacana de San Nicolás de Hidalgo, en CU, se encontraron daños leves en la biblioteca central; rotura de vidrios en el anexo de la escuela de Enfermería, agrietamiento en muros de la Facultad de Psicología y agrietamiento en los muros de la escuela Preparatoria Pascual Ortiz Rubio. El Colegio de Occidente, también presentó daños moderados. De las instalaciones públicas, el edificio de la Tesorería Municipal del Estado sufrió daños menores. En las oficinas del Poder Judicial, se acrecentaron los patrones de grietas existentes en la mayoría de sus muros.
Antecedentes históricos de diseño sísmico
La Tabla 1 muestra los valores de los coeficientes sísmicos recomendados por diversas referencias para el diseño de estructuras del Grupo B, ubicadas en la ciudad de Morelia, Michoacán (Figura 4). En estas referencias el estado de Michoacán se divide en tres zonas sísmicas: B, C y D, y la ciudad de Morelia se ubica en la mayoría de los casos en la zona sísmica B.


Debido al sismo del 28 de agosto de 1973, con epicentro en Veracruz, y aun cuando se presentaron pocos daños estructurales en Michoacán, en junio de 1974 la Secretaría de Asentamientos Humanos y Obras Públicas de Michoacán, publicó el primer mapa de zonificación sísmica del estado. Dichas zonas sísmicas se mantuvieron vigentes hasta la publicación del Reglamento de Construcciones del Estado de Michoacán de 1986.
En el Manual de Diseño de Obras Civiles (MDOC, 1981) se definían los valores de los coeficientes sísmicos para tres tipos de terrenos: Terreno I, considerado como firme; Terreno II, suelo de baja rigidez (terreno intermedio) y Terreno III, terreno blando, por ejemplo, arcillas blandas compresibles. Los valores mostrados en la Tabla 1, se deberían multiplicar por 1.3 para diseñar estructuras del grupo A. En 1990, la Secretaría de Comunicaciones y Obras Públicas del Estado de Michoacán (SCyOPEM, 1990), solo consideraba valores de coeficientes sísmicos en terreno firme y en terreno intermedio (Tabla 1). En la edición del MDOC (1993) existía una variación en los valores de los coeficientes sísmicos (Tabla 1), disminuyendo su valor a 0.14 para terreno Tipo I y aumentado para terreno Tipo II y III, a 0.30 y 0.36. En el documento titulado Reglamento de Construcciones del Estado de Michoacán editado por el Colegio de Ingenieros Civiles del Estado de Michoacán (RCEM-CIC, 1999) se ubica a la ciudad de Morelia en la zona C, con tres valores de los coeficientes sísmicos según el tipo de terreno, dichos coeficientes son similares a los propuestos en el MDOC (1993), excepto para Terreno Tipo I, reportando un valor de 0.24 en lugar de 0.14, es probable que esto haya sido un error tipográfico. Este documento fue ampliamente difundido para el diseño de estructuras en Michoacán, pero al igual que las ediciones de los manuales de diseño, MDOC (1981, 1993, 2008, 2015) no son legalmente considerados por las autoridades estatal y municipal.
El Reglamento para la Construcción y Obras de Infraestructura del Municipio (RCyOIM, 1999) en el artículo 94, especifica valores de los coeficientes sísmicos más bajos para los tres Tipos de terrenos (Tabla 1), estos valores son similares a los recomendados por las ediciones de 1981 y 1993 del MDOC.
En Cruz, Ruiz y Jara (2007) después de procesar algunos registros sísmicos obtenidos de 1994 a 2007, en la incipiente Red Acelerométrica de la ciudad de Morelia, se sugiere que la máxima ordenada espectral para terreno Tipo I sea de 0.15g y de 0.20g para terreno Tipo II, sin que se concluya exactamente el valor de los coeficientes sísmicos recomendados.
Posteriormente, en el trabajo presentado por Jara et al. (2012) después de realizar pruebas de vibración ambiental, se concluye que la ciudad de Morelia, podía ser divida en dos zonas, una con periodo de vibrar del suelo menor o igual que 0.3 s, denominada de terreno firme y el resto de la ciudad como terreno intermedio. Los valores de los coeficientes sísmicos sugeridos en ambas zonas se muestran en la Tabla 1. El Reglamento de Construcciones y Servicios Urbanos (RCSU, 2015), apoyado en sus Normas Técnicas Complementarias (NTC-RCEM, 2019), solo especifica los valores de los coeficientes sísmicos para terreno firme y compresible (Tabla 1). En este documento de aplicación legal y vigente en 2022, no especifica que es terreno compresible, y pareciera que los coeficientes sísmicos reportados para terreno compresible debieran ser para terreno Tipo II.
Existe una propuesta de regionalización sísmica para el estado de Michoacán reportada por Sánchez (2000) y por Vázquez, Figueroa y Garduño (2015), y adaptada en este trabajo para fines de comparación con las zonas sísmicas anteriories ya mencionadas (Figura 4). En esta regionalización se clasifica como zona D a la de subducción de la placa de Cocos bajo la placa Norteamericana. Esta zona tiene la mayor frecuencia en la ocurrencia de grandes sismos en México y está limitada a sismicidad con profundidades menores que 45 km, en esta zona también se incluyen los sismos intraplaca, producidos al interior de la placa de Cocos; la zona C-I se localiza entre los límites de Jalisco y Michoacán, contiene parte del conjunto de fallas de depresión de Tepalcatepec y como límite sur-este la zona de fractura Jorullo-Tacámbaro. Esta región contiene además la parte este del Rift de Colima y del Rift de Chapala, así como del sistema de fallas del Graben Cotija. En particular esta zona contiene la actividad sísmica correspondiente a los sismos generados por la actividad volcánica como la producida por los volcanes Tancítaro y Paricutín dentro del Triángulo de Michoacán. La zona C-2 se localiza entre los límites de Michoacán y Guerrero, y contiene parte del complejo de fallas Michoacán-Oaxaca, la Depresión de Tepalcatepec, las fallas de Tzitzio, Infiernillo-Penjamillo y de Valle de Santiago, así como la zona de fractura Jorullo-Tacámbaro. Finalmente, la zona B incluye el sistema de fallas Morelia-Acambay, la zona este del Rift de Chapala, donde la sismicidad está limitada a profundidades menores que 50 km. Contiene todas las fallas al interior de la placa continental, estas fallas podrían o no ser activas. La ciudad de Morelia, se ubica según esta regionalización sísmica en la zona B y desafortunadamente no se presentan los valores de coeficientes sísmicos de diseño recomendados.
Después de analizar los valores de los coeficientes sísmicos mostrados en la Tabla 1, se puede concluir que la reglamentación vigente de diseño en el 2022 (NTC-RCEM, 2019) sugiere valores de coeficientes sísmicos que subestiman las intensidades sísmicas, por lo que adquiere especial relevancia contar con una red sísmica en la ciudad de Morelia. Por otro lado, los valores de aceleración de los espectros de diseño fueron resultado de una propuesta de regionalización sísmica de la República Mexicana, realizada en 1981 que no consideraban las condiciones geológicas particulares de la ciudad de Morelia.
Características del suelo en la Ciudad de Morelia
La historia geológica de la región se inicia con la emisión de rocas volcánicas durante el Terciario superior (Mier, Mejía y Paniagua, 1972); en el Cuaternario continúa la actividad volcánica formando rocas ígneas extrusivas (basaltos y tobas) que se sedimentaron en un ambiente lacustre; en la etapa final se depositaron materiales aluviales de composición arcillosa que se ubican en las partes más bajas de la ciudad. La limitada presencia de estos materiales es indicio de que la región se encuentra en una etapa de juventud.
Las tobas y lavas de composición riolítica son las más antiguas en la región y afloran al sur de Morelia, en las lomas de Santa María, donde se forma una meseta que presenta taludes de pendientes fuertes hacia la margen izquierda del río Chiquito. En la parte norte y oriente de la ciudad se localizan lavas y tobas de composición andesítica, que forman un lomerío suave recubierto por tobas limo-arenosas del Cuaternario. En la región norponiente se observan rocas basálticas, producto de los últimos eventos volcánicos ocurridos en el área, que se encuentran recubiertas por capas de arcilla. Además de los basaltos, se formaron tobas limo-arenosas de compacidades altas que afloran en el lomerío sobre el que se asienta la parte central de la ciudad.
Existen en la ciudad de Morelia dos ríos que atraviesan la zona urbana: el río Grande y el río Chiquito; el primero, perteneciente a la cuenca del río Lerma, viaja del suroeste hacia el noreste, mientras que el río Chiquito desciende de las lomas del sur de la ciudad, viaja en dirección norponiente y se une al río Grande en el poniente. A lo largo de los cauces de los ríos se localizan depósitos arcillosos de espesores menores a 10 m.
La estratigrafía general del subsuelo de Morelia está estrechamente ligada a la topografía de la ciudad. En las partes altas se encuentra una capa superficial de arcilla sobre depósitos limo-arenosos y arcillosos, y en algunas zonas tobas riolíticas profundas. En las partes bajas de Morelia, que corresponden a los cauces de los ríos, se localizan depósitos aluviales formados por arcillas y limos arcillosos de color variable entre el café obscuro y el negro (Esquivel, 1976). Los depósitos de arcilla negra son expansivos y se localizan en la región occidental de la ciudad y en la parte oriental del cauce del río Chiquito.
Se observa una falla con dirección aproximada este-oeste, en el sur de la ciudad, en el contacto geológico entre las lomas de Santa María y la margen izquierda del río Chiquito que se conoce con el nombre de falla de “La Paloma”. Existe otra falla importante que se observa en la parte poniente de la ciudad y que se dirige lentamente hacia el norte, en la zona de contacto entre las lomas de Santiaguito y la parte centro de la ciudad, que se conoce como falla de “La Central Camionera” (mostradas en la Figura 5). Adicionalmente, Garduño et al (2001) han reportado la presencia de otras fallas geológicas que afectan a la ciudad, entre las que se encuentran: la de la colonia Chapultepec, Torremolinos, La Colina, Torreón Nuevo, entre otras. Cabral et al (2010), afirman que algunas de las fallas dentro de la ciudad de Morelia pueden ser segmentos activos del sistema Morelia-Acambay y parte de la zona de falla Chapala-Tula.

Sismicidad
La ciudad de Morelia se encuentra bajo la influencia del movimiento de subducción en la costa del Pacífico. Los tipos de sismos que afectan a la ciudad son: los que se originan en la costa, con profundidades menores que 45 km (interplaca); los sismos intraplaca, que tienen sus focos hacia el interior del continente, con mayores profundidades que los anteriores; y los temblores corticales dentro de la Faja Volcánica Transmexicana (FVTM), que podrían originar eventos sísmicos de poca profundidad, cercanos a la ciudad de Morelia (Suárez, Caballero y Novelo, 2019). Los sismos que se originan en la costa son los más frecuentes, los que disipan la mayor cantidad de energía, y los más destructivos; sin embargo, algunas poblaciones del centro del país, situadas a cierta distancia de la zona de subducción, no siempre resultan afectadas por sismos originados en la costa. Este hecho, favorece la existencia de un clima de confianza entre la población, que considera que la ciudad es segura al no verse afectada por sismos de gran magnitud originados en la zona de subducción. Desafortunadamente, el peligro sísmico puede ser mayor de lo que se concluye de la observación anterior, ya que la proximidad de los epicentros de los sismos intraplaca y corticales a ciertas ciudades del interior del continente, han dado origen a pérdidas de vidas y económicas de consideración en el pasado.
En el occidente del país existen cuatro zonas sísmicas dentro de la placa de Norteamérica asociadas a la evolución de la FVTM: Graben de Acambay, Semigraben de Aljibes, Graben del Mezquital y el fracturamiento de Pedro Escobedo (Arroyo et al, 2001). El sector occidental del sistema de fallas de la FVTM está definido por el área comprendida entre Morelia y Los Azufres y se caracteriza por fallas normales de orientación general E-W pertenecientes al sistema Morelia-Maravatío-Acambay. Algunas de las fallas rebasan los 25 km de longitud y la altura promedio de los escarpes es menor que 100 m (Quintero-Legorreta, 2002). En la región de Morelia, las fallas que pueden asociarse a este último tipo son los segmentos del sistema de fallas de Acambay-Morelia conocidos como “La Paloma”, “Cerritos” y “Coíntzio”. Bayona et al. (2017) realizaron un estudio de peligro sísmico que incorpora los datos instrumentales e históricos de la Faja Volcánica Transmexicana. Los autores encontraron, para un periodo de retorno de 500 años, valores esperados de aceleración máxima del terreno en Morelia en el intervalo de 112-176 gals. Este estudio; sin embargo, no incorpora las fallas locales reportadas por Garduño et al (2001).
Zonificación sísmica de Morelia
Uno de los aspectos relevantes para estimar el peligro sísmico de una localidad, es el efecto de sitio que se produce por las características dinámicas y topográficas del terreno. Dichas características son responsables de las variaciones en la duración, frecuencia y amplitudes del movimiento del suelo con respecto a lo que sucede en el lecho rocoso, dando origen, en algunos casos, a grandes amplificaciones en la respuesta de las estructuras construidas en el lugar. Las propiedades dinámicas del suelo pueden variar en forma importante dentro de una misma ciudad, por lo que los efectos de un temblor determinado suelen ser diferentes para cada zona. Para ello, es de gran utilidad contar con mapas de zonificación sísmica, en los cuales se indiquen las distintas regiones de acuerdo con las potenciales amplificaciones que pueden producirse desde el punto de vista sísmico.
Los mapas de clasificación geotécnica que se incluyen en muchos reglamentos de construcción, se construyen con un objetivo distinto y no coinciden necesariamente con los mapas de zonificación sísmica. Esta confusión también se presenta cuando se realizan estudios de mecánica de suelos para cimentar alguna construcción, y se pretende deducir de la información de la estratigrafía superficial, el tipo de suelo para clasificarlo sísmicamente. Diversos estudios de amplificación sísmica por efectos topográficos han mostrado que en zonas localizadas en estructuras geológicas elevadas suelen existir amplificaciones del movimiento sísmico respecto a las zonas planas del lugar (Stewart y Liu, 2000; Mayoral et al., 2019). Aunque los resultados de estos estudios indican valores de amplificación muy variables, dependiendo del tipo de terreno que forma la irregularidad topográfica, en suelos rocosos se han medido amplificaciones de 1.5 a 2.0 veces el movimiento que se presenta en la parte inferior de la loma. Un ejemplo de este tipo de amplificación es el que se ha medido en la loma de Santa María, ubicada al sur de la ciudad de Morelia, mediante los registros obtenidos por la red acelerográfica que existe en la ciudad.
La medición instrumental de sismos fuertes proporciona información para identificar zonas de respuesta dinámica de los suelos durante la ocurrencia de un temblor. A falta de información instrumental de sismos fuertes, una alternativa consiste en realizar mediciones de vibración ambiental, generada principalmente por la actividad humana. El análisis de los registros obtenidos con vibración ambiental, se ha realizado directamente, a partir de las amplitudes espectrales; también se hace a través de los espectros relativos de amplificación de las estaciones en suelo blando y suelo firme, y la técnica de Nakamura (1989), consistente en el cálculo de las relaciones espectrales entre la componente horizontal y la vertical del movimiento en un mismo sitio. La vibración ambiental consiste en estudios con base en muestras de muy pequeña amplitud con periodos comprendidos entre 0.1 y 10 s, lo que representa un inconveniente pues no permite estimar el comportamiento no lineal del suelo, ni es posible identificar apropiadamente los factores de amplificación.
El registro de eventos sísmicos pequeños o moderados también ha sido empleado para estimar los efectos de sitio. Esta técnica requiere de la instalación de un conjunto de estaciones acelerométricas durante un periodo acotado de tiempo, que normalmente abarca entre cuatro meses y un año. En este caso también se emplean los cocientes espectrales con respecto a un sitio de referencia. La otra técnica empleada consiste en la inversión paramétrica de los espectros de Fourier de sismos registrados en una red permanente, con temblores de magnitudes intermedias o fuertes. Tejeda y Chávez (2007) comparan las técnicas anteriores y concluyen que el uso de los cocientes espectrales H/V con registros de sismos y ruido ambiental producen resultados confiables de forma económica.
Jara et al. (2012) estimaron el periodo natural de vibración de los suelos en la ciudad de Morelia a partir de la información proveniente de 16 sondeos profundos, mediante el modelo elástico de propagación de ondas de corte, suponiendo incidencia de ondas S y representando los depósitos como formados por un solo estrato (Newmark y Rosenblueth, 1976). Los periodos naturales del terreno estuvieron comprendidos entre 0.18 y 0.53 s. Además, se determinaron los periodos de vibración ambiental del terreno en 84 sitios de la traza urbana; los periodos obtenidos se encontraron entre 0.24 s y 0.58 s. En general, los valores medidos instrumentalmente y los obtenidos numéricamente con la información proveniente de los sondeos coinciden razonablemente. Con base en la información anterior y en las condiciones geológicas y topográficas de la ciudad, Jara et al (2012) propusieron las curvas de isoperiodos que se muestran en el mapa de la Figura 5.
Los periodos más altos de la ciudad quedan comprendidos en las áreas limitadas por las curvas de 0.5 s, ubicadas entre el cauce natural y el cauce rectificado del río Chiquito y en la parte occidental, limitando con los basaltos producto del derrame volcánico que se extiende hasta esa zona. La curva correspondiente a los 0.4 s se localiza en las partes más bajas de Morelia y sigue en forma bastante aproximada el cauce de los ríos Grande, Chiquito y Arroyo de las Tierras. Las curvas de 0.3 s se encuentran en la parte norte, en el centro y en el sur de la ciudad, entre la margen izquierda del río y las lomas de Santa María.
Con los periodos obtenidos Jara et al. (2012) propusieron una zonificación sísmica dividida en dos zonas, una de terreno firme y otra de terreno intermedio. La zona de terreno firme se ubica en las fronteras de las partes bajas de la ciudad con las lomas de Santa María al sur, y con las lomas de Santiaguito al norte, considerando como límite la curva de 0.3 s. La zona de terreno intermedio se localiza en las partes más bajas de Morelia y sigue en forma bastante aproximada el cauce de los ríos Grande, Chiquito y Arroyo de las Tierras. La zona ubicada en la cima de la Loma de Santa María también se identifica como zona II, a raíz de los resultados de amplificación observados en los registros de aceleración y de las mediciones de vibración ambiental realizadas específicamente para la zona. Por otra parte, no se propone zona de terreno blando dado que el máximo periodo registrado es de 0.58 s. Los resultados obtenidos hasta el momento con la nueva red acelerométrica de Morelia parecen confirmar también el registro de periodos bajos, que conducen a eliminar la propuesta de un tipo de suelo blando en la ciudad. La zonificación sísmica deberá irse ajustando conforme al análisis de los registros sísmicos y aceleraciones espectrales que se obtengan con la Red Sísmica Nicolaita.
Red acelerométrica de Morelia
La Red Sísmica Nicolaita ubicada en la ciudad de Morelia, Michoacán, cuenta con diez estaciones acelerométricas con equipos BASALT modelo 12000-04PL (Figura 6a), fabricados por la empresa Kinemetrics. Los equipos cuentan con cuatro canales, antena GPS, puerto Ethernet, transformador de corriente y batería externa. Utilizan un sensor triaxial de fuerza balanceada Episensor con escala seleccionable en el intervalo de ±0.25g a ±4g, rango dinámico de 155 dB+, amortiguamiento de 70% y ancho de banda DC-200 Hz. La Figura 6b muestra la caja galvanizada que protege a una de las estaciones sísmicas de la red.

La red acelerométrica instalada en la ciudad de Morelia inició con tres instrumentos en 1993. Posteriormente, en 2018, como se describe en las siguientes secciones, se colocaron siete aparatos más. A continuación se describe la localización de los acelerómetros, los parámetros de configuración con que operan las estaciones actuales, se muestran también, como ejemplo, acelerogramas registrados y algunos espectros de respuesta. Aunque el número de registros sísmicos es todavía pequeño, en trabajos futuros se realizarán análisis relativos a la cuantificación de errores de digitalización de los registros, análisis del ruido ambiental e instrumental, y evaluación de técnicas de filtrado, corrección y procesamiento de los acelerogramas.
Registros sísmicos en Morelia
Primera etapa de instrumentación
La instrumentación de la ciudad de Morelia se realizó en dos etapas. En la primera etapa, se construyeron tres estaciones sísmicas en las que se instalaron acelerómetros de marca Terra Technology. Posteriormente fueron sustituidos por equipos Etna (1 y 2) y finalmente, en la actualidad, por equipos BASALT. La Figura 7 muestra la localización de las tres estaciones acelerométricas.

Las estaciones se localizaron dentro de la Universidad Michoacana de San Nicolás de Hidalgo (CU) al sur-poniente de la ciudad, en la Universidad Vasco de Quiroga (UVAQ) en la loma de Santa María y en la escuela primaria de educación especial Luz Alou de Torres Manzo (Luz Alou), al sur-oriente de la ciudad de Morelia. En el periodo de 1993 a 2014 se obtuvieron los registros sísmicos de los temblores mostrados en la Tabla 2.

La Figura 8 muestra la localización de los epicentros del conjunto de eventos sísmicos registrados entre 1993 y 2014. Como se observa, la mayoría de los eventos fueron originados en la fuente sísmica de subducción (interplaca).

La Figura 9 muestra los espectros de respuesta de pseudoaceleración de las dos componentes horizontales de las estaciones de Ciudad Universitaria (CU) y Luz Alou del temblor del 11 de enero de 1997. Este evento sísmico de magnitud M=7.1, se localizó al noroeste de La Mira, Michoacán, a 209 km de la estación sísmica de CU y a 212 km de la estación Luz Alou. Como se observa existen diferencias considerables en los espectros de estos dos sitios. Las amplitudes espectrales fueron mayores en la estación de CU para las tres componentes y las figuras permiten también observar diferentes contenidos de frecuencias del movimiento de ambas estaciones sísmicas.

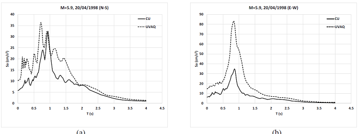
La Figura 10 presenta los espectros de respuesta de pseudoaceleración en las direcciones N-S y E-W de las estaciones de Ciudad Universitaria (CU) y Vasco de Quiroga (VQ) del temblor del 20 de abril de 1998, con magnitud M=5.9 y con epicentro al suroeste de Huetamo, Michoacán. Este evento fue el temblor más cercano a Morelia que se registró en este periodo de evaluación y se localizó a 145 km de la estación sísmica Vasco de Quiroga y a 147 km de la estación de CU. Aunque el contenido de frecuencias entre ambos sitios es cercano uno al otro, la máxima amplitud espectral en la dirección E-W de la estación VQ es casi tres veces la máxima amplitud registrada en la estación de Ciudad Universitaria (CU). Este efecto, observado también en otros registros sísmicos, puede deberse a la localización de la estación VQ, que se ubica en un lomerío de la ciudad de Morelia. Sin embargo, es un efecto que debe estudiarse con mayor profundidad al realizar estudios de peligro sísmico que conduzcan a establecer espectros de diseño para la ciudad.

El mismo efecto se muestra en los espectros de respuesta del temblor del 13 de abril de 2007, con epicentro al sureste de Atoyac de Álvarez, Guerrero (Figura 11). Nuevamente, la máxima amplitud del espectro de respuesta de la estación Vasco de Quiroga fue más del doble de la máxima amplitud espectral de la estación de Ciudad Universitaria para la componente N-S. Se observa también que la mayor amplitud de los espectros de respuesta de ambas estaciones se encuentra en el intervalo de 0.5-1.0 s.

Segunda etapa de instrumentación
El crecimiento de la ciudad de Morelia y la continua aparición de nuevos desarrollos comerciales y habitacionales, mostró que la instrumentación de la primera etapa con tres acelerómetros, era insuficiente para conocer adecuadamente el movimiento de los suelos de la ciudad ante la ocurrencia de eventos sísmicos. A partir de 2018 se empezaron a instalar acelerómetros modernos en las tres estaciones existentes y se instalaron siete estaciones sísmicas adicionales, que en su conjunto permitieron la inauguración de la Red Sísmica Nicolaita en 2019. Desde entonces, la red cuenta con un administrador que mantiene en perfecto funcionamiento a las estaciones. La Tabla 3 muestra la localización de las diez estaciones que integran la red para el registro de movimientos del terreno y la Figura 12 muestra su localización en un mapa de la ciudad.


Como se observa en la Figura 12, actualmente existen en la ciudad de Morelia estaciones sísmicas en los cuatro puntos cardinales que han registrado movimientos sísmicos desde 2018. Hasta la fecha, se han registrado los eventos sísmicos que se describen en la Tabla 4, donde se muestra la fecha del evento sísmico, su magnitud (reportada por el Servicio Sismológico Nacional), su localización geográfica, la profundidad del foco, la distancia epicentral y el número de registros obtenidos en cada temblor. En este periodo se ha registrado el movimiento de los suelos de Morelia por la ocurrencia de temblores con magnitudes en el intervalo de 4.1-7.2.

Parámetros de configuración de las estaciones sísmicas
Todos los equipos trabajan en forma autónoma y se han configurado para una escala de aceleración de ±2g, registro de 200 muestras por segundo, memoria de pre-evento de 60 s y de post-evento de 90 s. En todos los sitios el umbral de disparo es de 0.02% de la escala máxima, exceptuado la estación de Luz Alou cuyo umbral es de 0.04%, determinado con base en la experiencia del manejo de la red. El umbral más alto de la estación de Luz Alou se debe al intenso tráfico de esta zona de la ciudad, que supera con mucha frecuencia el umbral de 0.02%. Los instrumentos tienen integrado un sistema GPS que mantiene el tiempo universal coordinado (UTC) con una aproximación menor a 1 microsegundo. El canal 1 de registro es la componente vertical y los canales 2 y 3 corresponden a las componentes N-S y E-W, respectivamente. Actualmente, a excepción de las estaciones de la CMIC y Luz Alou, se tiene acceso a los equipos a través de internet.
Mantenimiento de las estaciones sísmicas
Las estaciones se visitan una vez al mes, excepto cuando se presenta un evento sísmico, en cuyo caso se acude de inmediato a las dos estaciones que carecen de conexión remota para obtener los registros. En cada visita, se realiza limpieza de la instalación y cuando se requiere limpieza de la memoria. Se realiza también test de funcionamiento cada dos meses. Como resultado del mantenimiento continuo, los equipos se encuentran funcionando perfectamente y desde la instación completa de la red, cada vez que ocurre un temblor cuya intensidad supere los umbrales de disparo, se obtienen los registros sísmicos (como se muestra en la Tabla 4).
La Figura 13 muestra un mapa con la localización de los epicentros de los temblores de la Tabla 4. Importante de observar es que el evento sísmico cortical del 21 de enero de 2020, tuvo su epicentro muy cercano a la ciudad de Morelia, con distancia epicentral a las estaciones sísmicas en el intervalo de 20-27 km.

Para ejemplificar los registros sísmicos obtenidos con la red, la Figura 14 muestra los acelerogramas de las tres componentes de la estación CMIC correspondientes al temblor del 7 de septiembre de 2021, con epicentro en Guerrero y magnitud de 7.1. Las aceleraciones máximas del terreno fueron de 8.71 cm/s2, 32.03 cm/s2 y 29.63 cm/s2 en las direcciones vertical, norte-sur y este-oeste, respectivamente.

La Figura 15 muestra los espectros de respuesta de pseudoaceleración del temblor cortical del 21 de enero de 2020 con epicentro muy cercano a la ciudad de Morelia. Por la cercanía del epicentro, el evento tuvo un alto contenido de frecuencias altas, por lo que las mayores amplitudes espectrales se presentan en periodos muy cortos en todas las estaciones que registraron el evento. Las Figuras 15a y 15b muestran los espectros de pseudoaceleración en las direcciones norte-sur y este-oeste, la Figura 15c el espectro de pseudoaceleración en la dirección vertical y la Figura 15d la media cuadrática de los espectros de las direcciones norte-sur y este-oeste. Se graficó únicamente hasta un periodo de 1.6 s debido a las bajas amplitudes espectrales que se obtienen para periodos mayores. Como se observa, la estación Luz Alou, localizada a 21 km del epicentro, presentó la mayor amplitud espectral de todas las estaciones sísmicas, en las direcciones norte-sur y este-oeste, mientras que la estación Veterinaria, situada también a 21 km del epicentro, presentó la mayor amplitud espectral de la componente vertical del evento sísmico.

Otro evento importante en el movimiento de los suelos de la ciudad de Morelia, fue el temblor del 3 de marzo de 2019 con magnitud M=5.6 y profundidad del foco de 71.4 km ocurrido cerca de la población de Huetamo en Michoacán. Por la posición del epicentro y profundidad, corresponde a un temblor intraplaca que originó aceleraciones máximas del terreno en la ciudad de Morelia en el intervalo de 0.6-3.3 cm/s2. El epicentro se localizó a distancias en el intervalo de 150-155 km de las estaciones sísmicas. La Figura 16 muestra los espectros de respuesta de pseudoaceleración en las tres direcciones ortogonales y el espectro de la media cuadrática de las pseudoaceleraciones horizontales. La estación localizada en la Cámara Mexicana de la Industria de la Construcción (CMIC) presentó la mayor amplificación espectral, efecto que también se ha observado en otros eventos sísmicos registrados. Este sitio se localiza en la zona poniente de la ciudad en terrenos que frecuentemente se inundan en época de lluvias. Finalmente, la Figura 17 muestra la aceleración cuadrática máxima de las componentes horizontales de los suelos de la ciudad de Morelia producida por los eventos sísmicos del 21 de enero de 2020 y del 3 de marzo de 2019.


La Figura 17a presenta un mapa de isoaceleraciones, de la aceleración cuadrática máxima del terreno, obtenido con las dos componentes horizontales del temblor del 21 de enero de 2020 registradas en la red sísmica. El color rojo indica las mayores aceleraciones que se registraron al oriente de la ciudad de Morelia (estación Luz Alou). El evento sísmico del 3 de marzo de 2019 (Figura 17b) con epicentro al poniente de Morelia, hacia la costa del Pacífico, generó las mayores aceleraciones del terreno en la estación CMIC situada al poniente de la ciudad de Morelia. Estos resultados, conjuntamente con un estudio de peligro sísmico que incorpore todas las fallas que potencialmente pueden originar movimiento en los suelos de la ciudad de Morelia, darán origen a la propuesta de reglamento sísmico para las construcciones de la ciudad.
Conclusiones
La mitigación del riesgo sísmico de un sitio está directamente relacionada con el conocimiento del movimiento del terreno ante acciones sísmicas. La instrumentación acelerométrica en ciudades de la República Mexicana es sumamente importante para determinar, conjuntamente con estudios de peligro sísmico, la vulnerabilidad sísmica de sus construcciones y, con ello, conducir acciones de prevención que reduzcan las pérdidas humanas y materiales ante la ocurrencia de temblores en el futuro. En este trabajo se presenta una descripción de las características de morfología urbana, daños ocurridos en sismos importantes, mediciones de vibración ambiental en Morelia, y particularmente se describe la Red Sísmica Nicolaita que se compone de diez estaciones acelerométricas instaladas en la ciudad de Morelia, Michoacán y que ha permitido, con la información hasta ahora obtenida, empezar a conocer las características dinámicas de los suelos de la ciudad y su relación con la amplificación del movimiento, información relevante para conducir estudios de peligro sísmico para actualizar el reglamento de diseño sísmico en la región.
Agradecimientos
Se agradece a la Universidad Michoacana de San Nicolás de Hidalgo y la Facultad de Ingeniería Civil, las facilidades proporcionadas para la elaboración de este trabajo.
Referencias
Alejo, L, N Mendes, P Lourenço y G Martínez (2021), “Protecting the Historic Buildings of Mexico: The Barrel Vault of San Agustin Church in Morelia”, Journal of Performance of Constructed Facilities, Vol. 35, No. 2, pp 1-15. DOI: 10.1061/(ASCE)CF.1943-5509.0001556
Arroyo M, R Ríos, J M Bustillos, J Lermo, J Arzate, E Rojas y O Frías (2001), “Zonificación sísmica de las ciudades de Santiago de Querétaro, Qro., Celaya, Gto. y Aguascalientes, Ags.”, Memorias delXIIICongreso Nacional de Ingeniería Sísmica, SMIS, Guadalajara, Jalisco.
Bayona J A, G Suárez, y M G Ordaz (2017), “A probabilistic seismic hazard assessment of the Trans-Mexican Volcanic Belt, Mexico based on historical and instrumentally recorded seismicity”, Geofísica Internacional, Vol. 56, No. 1, pp. 87-101. DOI: 10.19155/geofint.2017.056.1.7
Cabral E, A Arciniega, O Díaz, F Cigna , A Ávila, B Osmanoglu, T Dixon, C Demets, V H Garduño, F Vergara y J E Hernández (2010), “Is there a tectonic component to the subsidence process in Morelia, Mexico?”, Land Subsidence, Associated Hazards and the Role of Natural Resources Development, Proceedings of EISOLS 2010, Querétaro, Mexico, 17-22 October, IAHS Publ. 339.
Contreras L (1989), “Estudio sismotectónico del estado de Michoacán”, Tesis para obtener el grado deLicenciatura en Físico Matemáticas, Universidad Michoacana de San Nicolás de Hidalgo, Morelia, Mich.
Cruz J, J Ruíz, J M Jara (2007), “Desempeño de la red acelerográfica de Morelia y sus implicaciones para el diseño sismoresistente”, XVICongreso Nacional de Ingeniería Símica, SMIS Ixtapa-Zihuatanejo, Guerrero.
Esquivel R (1976), “El subsuelo de la ciudad de Morelia”, Universidad Michoacana de San Nicolás de Hidalgo, Escuela de Ingeniería Civil, Cuadernos Técnicos No. 1, Centro de Comunicación Educativa, Morelia, Mich.
Ettinger, C R, E García, E Mercado, C A Dávila (2014), “Visita guiada a la arquitectura del siglo XX en Morelia”, Fondo Nacional para la Cultura y la Artes (Consejo Nacional para la Cultura y la Artes), Facultad de Arquitectura (Universidad Michoacana de San Nicolás de Hidalgo), Secretaría de Cultura (Gobierno del Estado de Michoacán), Secretaría de Turismo y Cultura (H. Ayuntamiento de Morelia), México, 176p.
Garduño V H y R J Escamilla (1996), “Revisión histórica de la sismicidad en Michoacán, México”, Ciencia Nicolaita, Universidad Michoacana de San Nicolás de Hidalgo, 11, pp. 57-81.
Garduño V H, E Arreygue, I Israde y G M Rodríguez (2001), "Efectos de las fallas asociadas a sobreexplotación de acuíferos y la presencia de fallas potencialmente sísmicas en Morelia, Michoacán, México", Revista Mexicana de Ciencias Geológicas, Vol. 18, pp. 37-54.
González, H J (1999), “La arquitectura habitacional virreinal, centro histórico de Morelia”, Tesis deMaestría en Arquitectura, Investigación y Restauración de Sitios y Monumentos, Facultad de Arquitectura, Universidad Michoacana de San Nicolás de Hidalgo, Morelia, México, p. 25.
Hernández B H, C L Arce y V D Rivera VD (2017), “Evaluación de los elementos estructurales y no estructurales en la Infraestructura Hospitalaria de Michoacán”, XXICongreso Nacional de Ingeniería Sísmica, Guadalajara, Jalisco.
Jara J M y M Jara (2007), Peligro Sísmico, Editorial Morevallado, Morelia, Mich., 185 pp.
Jara M, F Hurtado, J M Jara, R Suárez, M Ramírez, M Ruíz, J Aguilar, J Iglesias (2012), “Zonificación sísmica de la ciudad de Morelia”, CD-Rom, Recopilación Digital de los Trabajos y Registros Símicos GIIS-RISS 1993-2012, Grupo Interuniversitario de Ingeniería Símica, GIIS.
Mayoral J M, D De la Rosa y S Tepalcapa (2019), “Topographic effects during the September 19, 2017 Mexico city earthquake”, Soil Dynamics and Earthquake Engineering, Vol. 125, 105732. DOI: https://doi.org/10.1016/j.soildyn.2019.105732.
MDOC (1981), Manual de Diseño de Obras Civiles, Estructuras, C.1.3 Diseño por Sismo, Comisión Federal de Electricidad, Instituto de Investigaciones Eléctricas, México.
MDOC (1993), Manual de Diseño de Obras Civiles, Diseño por Sismo, Comisión Federal de Electricidad, Instituto de Investigaciones Eléctricas, México.
MDOC (2008), Manual de Diseño de Obras Civiles, Diseño por Sismo, Comisión Federal de Electricidad, Instituto de Investigaciones Eléctricas, México.
MDOC (2015), Manual de Diseño de Obras Civiles, Diseño por Sismo, Capítulo C.1.3 Diseño por Sismo, Sección C: Estructuras, Tema 1: Criterios Generales de análisis y Diseño, Comisión Federal de Electricidad, Instituto de Investigaciones Eléctricas, México.
Mier J, J Mejía y W Paniagua (1972), “El subsuelo de la ciudad de Morelia”, Memorias de la VI Reunión Nacional de Mecánica de Suelos, Tomo I, Morelia, Mich.
Nakamura Y (1989), "A Method for Dynamic Characteristic Estimation of Sub-Surface using Microtremor on the Ground Surface.", Q Rep Railway Tech Res Inst, Vol. 30, No. 1, pp. 25-33.
Newmark N y E Rosenblueth (1976), Fundamentos de Ingeniería Sísmica, Editorial Diana, México.
Núñez J (2006), “Los constructores de Valladolid de Michoacán en el siglo XVIII”, Tesis deMaestría en Arquitectura, Investigación y Restauración de Sitios y Monumentos, Facultad de Arquitectura, Universidad Michoacana de San Nicolás de Hidalgo, Morelia, México, 203p.
NTC-RCEM (2019), Normas Técnicas Complementarias y Formato: RDRO-SDUMA-001, H. Ayuntamiento Constitucional de Morelia, Michoacán, 24 de octubre de 2019, Periódico Oficial del Gobierno Constitucional del Estado de Michoacán de Ocampo, Tomo CLXIII, Núm. 66.
Ojeda L (2016), Morelia, H. Ayuntamiento de Morelia, Editorial Morevalladolid S. de R.L. de C.V., México
Quintero-Legorreta O (2002), “Análisis estructural de fallas potencialmente activas”, Boletín de la Sociedad Geológica Mexicana, Tomo LV, No. 1, pp. 1-11.
Ramírez, E (1985), “Morelia en el espacio y el tiempo. Defensa del patrimonio histórico y arquitectónico de la ciudad de Morelia”, Comité́Editorial del Gobierno del Estado de Michoacán: Universidad Michoacana de San Nicolás de Hidalgo, Departamento de Investigaciones Artísticas.
RCEM-CIC (1999), Reglamento de Construcciones del Estado de Michoacán, Colegio de Ingenieros Civiles de Michoacán, AC, Quinta Edición.
RCSU (2015), Reglamento de Construcciones y Servicios Urbanos (2015), H. Ayuntamiento Constitucional de Morelia, Michoacán. 20 de octubre de 2015, Periódico Oficial del Gobierno Constitucional del Estado de Michoacán de Ocampo, Tomo CLXIII, No.. 19.
RCyOIM (1999), Reglamento para la Construcción y Obras de Infraestructura del Municipio.
Sánchez G (2000), Estudio de la Macrosismicidad del Estado de Michoacán: Morelia, México, Tesis de Maestría, Universidad Michoacana de San Nicolás de Hidalgo.
SCyOPEM (1990), Secretaría de Comunicaciones y Obras Públicas del Estado de Michoacán.
Singh S K, M Ordaz y L E Pérez-Rocha (1996), "The great Mexican earthquake of 19 June 1858: Expected ground motions and damage in Mexico City from a similar future event ", Bulletin of the Seismological Society of America, Vol. 86, pp. 1655-1666. DOI: 10.1785/BSSA0860061655
Stewart J P, y A H Liu (2000). “Ground motion amplification as a function of surface geology”, Proceedings of SMIP2000 Seminar on Utilization of Strong Motion Data, California Strong Motion Instrumentation Program, Sacramento, CA, 1-22.
Suárez G (1986), “El potencial sísmico en México: una perspectiva histórica”, Primer Seminario Nacional de Ingeniería Sísmica, Ixtapa, Zihuatanejo.
Suárez G, G V Caballero-Jiménez y D A Novelo-Casanova (2019), “Active Crustal Deformation in the Trans‐Mexican Volcanic Belt as Evidenced by Historical Earthquakes During the Last 450 Years”, Tectonics, Vol. 38, pp. 1-19. DOI: 10.1029/2019TC005601
Tejeda J C y F J Chávez (2007), “Efectos de sitio en Tecomán. Comparación de resultados utilizando distintos equipos de medición y diferentes técnicas de análisis”, Memorias delXVICongreso Nacional de Ingeniería Sísmica, Ixtapa, Zihuatanejo.
Vázquez R R, S A Figueroa y M H Garduño MH (2015), “Propuesta de la red sísmica del Estado de Michoacán”, XXCongreso Nacional de Ingeniería Sísmica, Acapulco, Gro., México.