Artículos
Revisión del requisito de cortante basal mínimo para edificios altos ubicados en la Ciudad de México
Revision of the minimum base shear force requirement for tall buildings located in Mexico City
Revisión del requisito de cortante basal mínimo para edificios altos ubicados en la Ciudad de México
Ingeniería sísmica, no. 111, pp. 1-31, 2023
Sociedad Mexicana de Ingeniería Sísmica A.C.
Received: 19 June 2023
Accepted: 16 January 2024
Published: 20 March 2024
RESUMEN: Se presenta una evaluación del requisito de fuerza cortante basal mínima (FCBM) de las Normas Técnicas Complementarias para Diseño por Sismo (NTC-Sismo, 2020). La evaluación consiste en generar espectros de inestabilidad dinámica para diferentes sitios de la Ciudad de México y compararlos con sus correspondientes espectros de diseño. La inestabilidad dinámica se evalúa en términos del factor de reducción de resistencia al colapso, Rc , que relaciona las ordenadas de un espectro elástico de pseudoaceleración con la resistencia lateral mínima que le permite a un sistema de un grado de libertad (SUGL) permanecer estable ante un movimiento del suelo dado. En el estudio de Rc se consideran tres modelos histeréticos con envolvente fuerza-desplazamiento trilineal, degradación cíclica de resistencia y efectos P-Delta. Mediante un estudio paramétrico se identifican los parámetros que más influyen sobre el factor Rc para cada modelo histerético ante varios movimientos del suelo representativos de los sismos que ocurren en la Ciudad de México. Posteriormente, se comparan los resultados de los tres modelos histeréticos y se elige el modelo que se emplea en la evaluación de la FCBM. Finalmente, se obtienen los espectros de inestabilidad dinámica y se comparan con sus respectivos espectros de diseño. Se muestra que en edificios regulares en los que el mecanismo de colapso involucra a la mayoría de sus niveles no se requiere el requisito de FCBM.
Palabras clave: Fuerza cortante basal mínima, inestabilidad dinámica, degradación cíclica de resistencia, efectos P-Delta.
ABSTRACT: An evaluation of the minimum base shear force (MBSF) requirement of the Complementary Technical Standards for Earthquake Design (NTC-Sismo, 2020) is presented. The evaluation consists of generating dynamic instability spectra for different sites in Mexico City and comparing them with their corresponding design spectra. Dynamic instability is evaluated in terms of the collapse strength reduction factor, Rc , which relates the ordinates of an elastic spectrum of pseudoacceleration to the minimum lateral resistance that allows a single-degree-of-freedom (SDOF) model to remain stable under a given ground motion. In the study of Rc , three hysteretic models with trilinear force-displacement envelope, cyclic strength degradation and P-Delta effects are considered. Through a parametric study, the parameters that most influence the Rc factor for each hysteretic model are identified when subjected to an ensemble to ground motions representative of the earthquakes that occur in Mexico City. Subsequently, the results of the three hysteretic models are compared and the model used in the evaluation of the MBSF is chosen. Finally, the dynamic instability spectra are obtained and compared with their respective design spectra. It is shown that in regular buildings in which the collapse mechanism involves most of its levels, the MBSF is not required.
Keywords: Minimum base shear force, dynamic instability, cyclic strength degradation, P-Delta effects.
INTRODUCCIÓN
En la metodología de diseño sísmico actual las fuerzas para el diseño de las edificaciones se obtienen generalmente a partir de espectros que están establecidos en los reglamentos. Estos espectros proporcionan las aceleraciones en función del período de vibración de la estructura. En el diseño de edificios altos, cuyo período fundamental de vibración es grande comparado con el de edificios de mediana y baja altura, las aceleraciones que se obtienen de dichos espectros son pequeñas, así como sus correspondientes fuerzas de diseño, lo cual genera incertidumbre ya que se puede obtener un diseño del lado de la inseguridad. Por esta razón, y desde el punto de vista de la seguridad estructural, en muchos reglamentos y especificaciones de diseño sísmico se impone el requisito de cumplir con una FCBM. Aunado a lo anterior, la FCBM tiene el objetivo de cubrir algunas posibles deficiencias. Por ejemplo, en FEMA P-695 (2008) se afirma que la FCBM elimina una deficiencia potencial de colapso en marcos de concreto reforzado ocasionada por los efectos P-Delta asociados a grandes deformaciones laterales en los pisos inferiores; y en NTC-Sismo (2020) se estableció la FCBM dado el entendimiento que hoy en día se tiene en Ciudad de México en cuanto al desempeño de edificios altos durante sismos intensos de larga duración ya que estudios recientes indican que un análisis dinámico modal espectral que usa un espectro de diseño normativo puede no reflejar adecuadamente el impacto que un movimiento del terreno de periodo largo tiene en la respuesta estructural de edificios altos (Lu et al., 2014).
Sin embargo, a pesar de las razones expuestas para adoptar una FCBM, algunos reglamentos de diseño como el Eurocódigo 8 (EC8, 2004) omiten este requerimiento. En la versión del PEER-2010/05 (2010) se eliminó la restricción de la FCBM; por lo que para garantizar la seguridad estructural se propusieron objetivos de desempeño sísmico para diferentes niveles de amenaza sísmica, incluyendo el nivel de servicio y el nivel de máximo sismo considerado (Lu et al., 2014).
Dependiendo del reglamento que se aplique, para cumplir con el requisito de la FCBM durante el proceso de diseño se pueden seguir dos metodologías distintas. La primera consiste en incrementar la rigidez lateral del sistema estructural hasta conseguir que el periodo fundamental iguale al periodo del espectro a partir del cual la FCBM empieza a regir el diseño del edificio. La segunda consiste en incrementar la resistencia lateral del edificio hasta igualarla con la FCBM. Este último enfoque es aplicado por varios reglamentos de diseño incluyendo las NTC-Sismo (2020). Aunque estas medidas permiten cumplir con el requisito especificado, también conducirán a un fuerte aumento en el consumo de material. En consecuencia, el costo de la construcción de un edificio alto aumentará significativamente (Lu et al., 2014; Lu et al., 2016).
Uno de los principales objetivos de las NTC-Sismo (2020) es evitar el colapso ante un sismo excepcionalmente severo que se pueda presentar en la vida de una estructura. En ese contexto es pertinente preguntarse si el requisito de la FCBM satisface ese propósito, y qué tan alejada o cercana del colapso está la resistencia lateral suministrada por los espectros de diseño de dicha norma y la FCBM. El objetivo de este trabajo es hacer una evaluación del requisito de la FCBM que responda a estas inquietudes. Para alcanzar dicho objetivo se obtuvieron espectros de inestabilidad dinámica que representan la resistencia lateral mínima para evitar el colapso y se compararon con los espectros de diseño de las NTC-Sismo (2020) para diferentes sitios ubicados en la Ciudad de México.
En ingeniería sísmica, el colapso lateral se refiere a la pérdida de la capacidad de un sistema estructural para resistir cargas de gravedad en presencia de efectos sísmicos (Ibarra y Krawinkler, 2005). El colapso lateral es una consecuencia de la inestabilidad dinámica, generalmente provocada por un comportamiento no-lineal del sistema. En este trabajo se estudia la inestabilidad dinámica en SUGL para encontrar el denominado factor de reducción de resistencia al colapso, Rc, que permite dividir las ordenadas de un espectro elástico de pseudoaceleración para encontrar la resistencia lateral mínima que le permita al SUGL permanecer estable ante un movimiento del suelo dado. Al trazar el cociente de las ordenadas espectrales elásticas entre el factor Rc para diferentes periodos de vibración se obtiene el espectro de colapso o de inestabilidad dinámica que representa la resistencia lateral mínima para que el SUGL permanezca estable. Si se traza el espectro de inestabilidad dinámica en conjunto con un espectro de diseño como los establecidos en los códigos de diseño, se pueden presentar dos escenarios. Un primer escenario se presenta cuando el espectro de colapso cruza con el espectro de diseño, al punto de cruce se le denomina periodo crítico, Tcr , y representa el período de vibración a partir del cual el diseño de un edificio debería estar regido por una resistencia lateral mínima que evite la inestabilidad dinámica. El segundo escenario se presentaría si el espectro de inestabilidad dinámica no cruza con el espectro de diseño, en tal caso se podría afirmar que no se requiere de una resistencia a cortante basal mínima puesto que las ordenadas del espectro de diseño proporcionan una resistencia lateral mayor que la mínima para evitar el colapso. La figura 1 muestra esquemáticamente los dos posibles escenarios.

Para reproducir analíticamente el colapso se requiere modelar adecuadamente las características de deterioro de los componentes estructurales sometidos a cargas cíclicas y la inclusión de los efectos P-Delta (Ibarra y Krawinkler, 2005). En este estudio, la inestabilidad dinámica se evalúa en SUGL considerando tres modelos histeréticos distintos con envolvente fuerza-desplazamiento trilineal considerando la degradación cíclica de rigidez y resistencia del material y por efectos P-Delta. Para cada modelo histerético se realiza un estudio paramétrico del factor Rc en el que se estudia la influencia de los parámetros que definen la envolvente trilineal, la degradación del material, y los efectos P-Delta, ante varios movimientos del suelo representativos de los sismos que ocurren en la Ciudad de México. Posteriormente se comparan los valores de Rc de los tres modelos histeréticos y se elige el modelo que se empleará en la evaluación de la FCBM. Finalmente, se obtienen espectros de inestabilidad dinámica para varios sitios dentro de la Ciudad de México y se comparan con su respectivo espectro de diseño reglamentario.
DEGRADACIÓN CÍCLICA DE RIGIDEZ Y RESISTENCIA
El comportamiento sísmico de una estructura sujeta a un movimiento del terreno se puede considerar como un proceso durante el cual las propiedades de la estructura (rigidez, resistencia) son modificadas durante las excursiones inelásticas que tienen lugar. Cada excursión causa degradación de rigidez y resistencia de la estructura, por lo que su respuesta también se modifica. Como ejemplo se presenta la figura 2, en la que se muestra de manera esquemática la respuesta carga-desplazamiento monotónica, así como la respuesta cíclica sobrepuesta de un muro de mampostería. La prueba monotónica presenta un pico de resistencia máxima seguido inmediatamente por una rama con rigidez negativa. En la prueba cíclica la resistencia se degrada incluso antes de alcanzar el desplazamiento asociado a la resistencia máxima (1). También presenta degradación de resistencia en todo el rango posterior al punto de resistencia máxima (2), y degradación de rigidez de la rama de descarga (3). Nótese que, como consecuencia de la degradación de resistencia, a medida que se impone un desplazamiento lateral adicional se desarrolla una resistencia lateral más pequeña. Esto da como resultado una rigidez tangente negativa en cada ciclo subsecuente. El grado de degradación de rigidez y resistencia dependerá de las características de la estructura (propiedad de los materiales, geometría, nivel de detallado de ductilidad, tipo de conexión, entre otros), así como de la historia de carga (intensidad en cada ciclo, número de ciclos, secuencia en ciclos de carga, entre otros) (Rahnama y Krawinkler, 1993; Miranda, 1993).

Cuando se degradan las propiedades de la estructura los desplazamientos inelásticos tienden a incrementarse. Estos desplazamientos pueden ser de tal magnitud que la estructura puede experimentar un estado de inestabilidad dinámica, es decir, un estado en el que la respuesta del sistema es desproporcionada ante pequeñas variaciones de la intensidad de la carga en un breve lapso (Bernal, 1998). En la evaluación del colapso se requiere de modelos histeréticos capaces de representar estos modos de deterioro.
FACTORES DE REDUCCIÓN DE RESISTENCIA AL COLAPSO
Definición
Cuando se modela analíticamente el colapso se debe definir cuál es la condición del SUGL en la que se alcanza ese estado. La inestabilidad dinámica de un SUGL ocurre cuando ante pequeñas variaciones de la intensidad de la carga la respuesta del sistema es desproporcionada. Esta condición se presenta cuando la resistencia lateral del sistema se agota como consecuencia de la ocurrencia de varias excursiones inelásticas. La resistencia lateral y los desplazamientos de un SUGL están relacionados mediante las reglas cinemáticas para un modelo histerético dado, por lo que la resistencia lateral nula está asociada a un desplazamiento denominado último o de colapso, uc . En este trabajo se define como colapso dinámico del SUGL el estado en el que el desplazamiento del sistema sometido a un movimiento del terreno iguala al desplazamiento de colapso uc , y no vuelve a ser menor que ese desplazamiento nuevamente.
La ecuación de movimiento para el desplazamiento relativo de un SUGL con comportamiento no lineal sujeto a un movimiento del terreno está dada por
donde m es la masa del sistema, c el coeficiente de amortiguamiento viscoso, fs(u) la fuerza de restitución, y üg(t) la aceleración del terreno. Al resolver la ecuación 1 se obtiene la historia de desplazamiento u(t), de velocidad u(t), y de aceleración ü(t); los puntos sobre las variables indican diferenciación con respecto al tiempo. Para que un SUGL con resistencia lateral a la fluencia Fy alcance el colapso dinámico ante un movimiento del suelo dado, se requiere que el desplazamiento máximo absoluto de la historia de desplazamiento relativo u(t) sea igual al desplazamiento de colapso uc .
El factor de reducción de resistencia al colapso Rc se define como el cociente entre la demanda de resistencia elástica y la demanda de resistencia inelástica para evitar el colapso.
donde Fy(ui= ue) es la resistencia lateral de fluencia requerida para que el desplazamiento máximo ui sea igual al desplazamiento máximo elástico ue ; y Fy(ui= uc) es la resistencia lateral de fluencia requerida para que el desplazamiento máximo ui sea igual al desplazamiento de colapso uc . Si en la ecuación 2 la resistencia lateral se divide entre el peso del sistema, esta ecuación puede reescribirse como
donde cy(ui= ue) es el coeficiente sísmico requerido para mantener el sistema elástico; y cy(ui= uc) es el coeficiente sísmico mínimo requerido para evitar la inestabilidad dinámica. La figura 3 muestra esquemáticamente la definición de Rc .

Procedimiento para la obtención de Rc
El factor Rc se obtiene mediante un análisis dinámico incremental (IDA, Vamvatsikos y Cornell, 2002). En este trabajo se definió que la medida de intensidad (IM) del sismo fuese la aceleración espectral elástica en el periodo de vibración del SUGL normalizada por la aceleración de la gravedad (g), y como parámetro de resistencia se eligió la resistencia a la fluencia normalizada por el peso del SUGL (Fy/W). Para la medida de daño (DM) se usó el desplazamiento máximo normalizado por el desplazamiento a la fluencia.
Para un SUGL y un registro sísmico dados, la evaluación del colapso consiste en una serie de análisis dinámicos comenzando con una intensidad relativa que produce una respuesta elástica del sistema. Luego la intensidad relativa se incrementa hasta que se alcanza el colapso. En estos análisis la intensidad del registro sísmico se incrementa mientras que la resistencia del SUGL se mantiene constante. Finalmente, el valor de Rc se obtiene mediante la expresión:
donde Sac es la intensidad relativa en la cual el sistema alcanza el colapso, g es la aceleración de la gravedad, y W el peso sísmico del sistema. Nótese que esta ecuación es equivalente a la 2. Un ejemplo de la obtención del factor Rc aplicando el IDA se muestra en la figura 4.
Cada punto de la curva IDA representa el desplazamiento máximo obtenido de la historia de desplazamientos de un SUGL con una determinada resistencia lateral ante un registro símico con una intensidad dada normalizado por su desplazamiento de fluencia. Para obtener varios puntos de la curva se incrementa la intensidad del registro sísmico manteniendo fija la resistencia lateral. La figura 4 presenta la curva IDA y los ciclos histeréticos de algunos de sus puntos. Al inicio del análisis se observa que el comportamiento es elástico lineal, el SUGL oscila a un lado y otro sin alcanzar su resistencia lateral de fluencia; este comportamiento está representado en la curva IDA mediante una porción casi recta donde los desplazamientos son casi proporcionales a la intensidad del registro sísmico. Los lazos histeréticos representativos de este estado se muestran en la figura 4b. Posteriormente, se aumenta la intensidad del movimiento y el sistema incursiona en el rango no lineal. Cuando los lazos histeréticos del SUGL se mantienen en la zona de endurecimiento por deformación de la envolvente trilineal, el oscilador mantiene cierta estabilidad dinámica debido al auto centrado que le confiere las reglas cinemáticas del modelo histerético y a que la recta con pendiente positiva de la envolvente trilineal en esta zona conduce a que aumente la resistencia cada vez que se incrementan los desplazamientos. Las figuras 4c y 4d muestran los lazos histeréticos representativos de este comportamiento. La respuesta del SUGL se modifica cuando los lazos histeréticos alcanzan la zona de ablandamiento (línea con pendiente negativa) de la envolvente trilineal. La degradación de resistencia conduce rápidamente a la inestabilidad del sistema, de tal manera que el oscilador sucumbe y alcanza una línea horizontal en la curva IDA más allá de la cual el oscilador muestra una respuesta infinita para el registro sísmico dado. El valor de la intensidad en la cual se alcanza la línea horizontal corresponde al valor de Rc buscado. La figura 4f muestra el comportamiento histerético cuando se presenta la inestabilidad dinámica.

MODELOS HISTERÉTICOS CONSIDERADOS
Para el desarrollo de este trabajo se seleccionó el modelo de deterioro Ibarra-Medina-Krawinkler (Ibarra et al., 2005) ya que es un modelo relativamente sencillo que incorpora las fuentes más importantes de degradación de rigidez y resistencia necesarias para evaluar el colapso, además de que ha sido ampliamente utilizado en los estudios sobre el tema en los últimos años. El modelo está basado en (Lignos y Krawinkler, 2012):
Una envolvente fuerza-desplazamiento trilineal que define el comportamiento de la envolvente de referencia de un sistema no deteriorado, es decir, define los límites de resistencia y deformación;
Un conjunto de reglas que definen las características básicas del comportamiento histerético entre los limites definidos por la envolvente; y
Un conjunto de reglas que definen cuatro modos de deterioro con respecto a la envolvente trilineal.
En los siguientes párrafos se describen con detalle estas características.
Descripción de la envolvente trilineal
La envolvente trilineal (figura 5) define los limites dentro de los cuales se delimita la respuesta histerética del sistema. Si no existe deterioro, la envolvente queda definida por tres parámetros: la rigidez elástica (inicial) Ke , la resistencia de fluencia Fy , y la rigidez de endurecimiento por deformación Ks . Si se incluye el deterioro en la curva envolvente, una rama de ablandamiento se une a la rama de endurecimiento por deformación en el punto de resistencia máxima Fm . La rama de ablandamiento está definida por la rigidez Kc , la cual tiene un valor negativo. Si el desplazamiento um es normalizado por el desplazamiento de fluencia uy, la relación resultante se puede denotar como capacidad de deformación del SUGL.

Descripción de los modelos histeréticos
Esta sección describe las reglas cinemáticas de los modelos histeréticos seleccionados para este estudio, así como las reglas con las que se degrada la rigidez y resistencia. También se explican las modificaciones que se realizaron a los modelos histeréticos tradicionales de acuerdo con el modelo de deterioro Ibarra-Medina-Krawinkler (IMK) para incorporar la degradación en la envolvente trilineal.
Se eligieron tres modelos histeréticos. El primer modelo corresponde al elastoplástico con pendiente negativa post-fluencia. Este modelo representa estructuras que exhiben pendientes negativas más grandes que las consideradas en estudios donde se incluyen únicamente los efectos P-Delta, y que pueden experimentar inestabilidad dinámica antes de alcanzar demandas de ductilidad incluso moderadas (Miranda y Akkar, 2003). El segundo y tercer modelo, denominados bilineal IMK y peak-oriented IMK, se han usado para representar el comportamiento de estructuras de acero y concreto, respectivamente. En ambos modelos se incorpora una rama con rigidez negativa para considerar la degradación de resistencia.
Modelo elastoplastico con rigidez negativa post-fluencia
En la figura 6 se presentan esquemáticamente las reglas básicas del modelo elastoplástico con rigidez negativa post-fluencia. La línea AB representa la respuesta elástica hasta que se alcanza la resistencia a la fluencia (punto B). La línea BC representa la rigidez post-fluencia con pendiente negativa Kc = αcKe . La rigidez de las ramas de carga y descarga posteriores a la primera fluencia son iguales a la rigidez de la rama elástica inicial. El desplazamiento a primera fluencia es uy = Fy /Ke , donde Fy es la resistencia lateral del sistema. La figura 6b muestra un ejemplo de los lazos histeréticos que se obtienen con este modelo.

Modelo bilineal IMK
En la figura 7 se presentan esquemáticamente las reglas básicas del modelo bilineal. El modelo considera una rama que representa la respuesta elástica hasta que se alcanza la resistencia lateral Fy (punto B). Después de la fluencia, la respuesta se obtiene sobre la línea BC, la cual simula las características de endurecimiento por deformación por lo que su pendiente es positiva. La rigidez de la rama de descarga después de la fluencia es igual a la rigidez de la rama elástica inicial.

Estas reglas se preservan cuando la envolvente trilineal se modifica para incluir la degradación de resistencia post-endurecimiento. Sin embargo, es necesario introducir el “límite de resistencia” mostrado en la figura 7a cuando se incluye la rama de ablandamiento. Este límite para la resistencia corresponde a la resistencia más pequeña reportada en la rama de ablandamiento en la excursión previa. En la figura 7a, la rama de carga inicia en F y debe continuar hasta la intersección con G’, de acuerdo con las reglas cinemáticas. Sin embargo, este segmento de carga termina cuando interseca el límite de resistencia en el punto G. El límite corresponde a la resistencia del punto D, la cual es la resistencia más pequeña en el rango no lineal de la curva envolvente en los ciclos anteriores. Si no se estableciera esta condición, la resistencia en la rama de carga podría aumentar en etapas posteriores de deterioro (Ibarra et al., 2005). La figura 7b muestra un ejemplo de la curva esqueleto y los lazos histeréticos que se obtienen con este modelo.
Modelo peak-oriented IMK
La figura 8a muestra esquemáticamente las reglas básicas de este modelo. La pendiente de la recta BC considera el endurecimiento por deformación cuando se sobrepasa el límite elástico. En la descarga, el tramo CD se mantiene la rigidez elástica hasta llegar al punto D, a partir del cual la rama de recarga se dirige hacia el punto E en el que se inicia la plastificación en el otro sentido. Si el oscilador previamente ya entró en el rango plástico, la rama de recarga se dirige hacia el punto de deformación máxima alcanzada en el ciclo anterior. La presencia de la rama con rigidez negativa en la curva envolvente no modifica cualquier regla básica del modelo original. Un ejemplo de los lazos histeréticos que se obtienen con este modelo se muestran en la figura 8b.

Reglas de histéresis para la degradación de resistencia
La degradación cíclica está controlada por la regla desarrollada por Rahnama y Krawinkler (1993), la cual está basada en la energía histerética disipada cuando el componente está sujeto a carga cíclica. Se supone que la capacidad de disipación de energía histerética es una cantidad conocida que es independiente de la historia de carga.
El deterioro cíclico en la excursión i está definido por el parámetro βi , el cual está dado por la siguiente expresión:
donde βi es el parámetro que define la tasa de deterioro en la excursión i, Ei la energía histerética disipada en la excursión i, Et la capacidad de disipación de energía histerética = γ Fyδy , ΣEj la energía histerética disipada en las excursiones previas, y c el exponente que define la tasa de deterioro. A lo largo de la historia del análisis, βi debe estar dentro de los limites 0 < βi ≤ 1. Si esta desigualdad no se cumple (βi ≤ 0 o βi > 1), la capacidad de energía histerética se agota y se produce el colapso.
La degradación de la resistencia se modela mediante una modificación de la resistencia lateral Fy y una traslación correspondiente de la rigidez de endurecimiento por deformación Kh . La modificación de la resistencia lateral está dada por
donde Fi es la resistencia lateral degradada después de la excursión i, Fi-1 la resistencia lateral degradada antes de la excursión i, y βs = (1 - βi ) > 0, con el valor de βi dado por la ecuación 5, usando los parámetros apropiados para modelar la degradación de resistencia.
MOVIMIENTOS DEL SUELO Y CARACTERÍSTICAS DE LOS SISTEMAS CONSIDERADOS EN EL ESTUDIO PARAMÉTRICO
En la evaluación del factor Rc se consideraron entre dos y tres valores discretos para los parámetros que definen la curva envolvente trilineal. Debido a que el efecto de un parámetro en particular en el factor Rc puede depender de los valores relativos de los otros parámetros fue necesario realizar los análisis para diferentes combinaciones de estos parámetros para los tres modelos histeréticos estudiados. Análisis complementarios se realizaron para estudiar el efecto de la degradación cíclica de resistencia y los efectos P-Delta. Algunos parámetros se mantuvieron constantes en todos los análisis:
Se incluyeron 59 periodos de vibración, Tn , entre 0.1 y 6.0 segundos.
El porcentaje de amortiguamiento crítico se consideró igual a 5%.
Se consideraron 40 movimientos del suelo registrados en suelo blando, y la misma cantidad de registros en suelo duro.
Los valores seleccionados para los parámetros considerados se describen en los siguientes párrafos.
Movimientos del terreno
Con el objetivo de estudiar las variables que influyen sobre el factor Rc se seleccionó un conjunto de 40 historias de aceleración del terreno correspondientes a seis sismos con magnitud entre 6.3 y 8.1 registrados en suelo blando; y 40 movimientos del suelo correspondientes a diez sismos con magnitud entre 6.3 y 8.1 registrados en suelo duro; todos los acelerogramas se registraron en la Ciudad de México. Las historias de aceleración fueron tomadas de la Red Acelerográfica del Instituto de Ingeniería de la UNAM, y fueron corregidos por línea base y filtrados usando un filtro de cuarto orden Butterworth pasa alta con frecuencias de corte entre 0.02 Hz y 25 Hz. Las tablas 1 y 2 enlistan los acelerogramas para suelo blando y duro, respectivamente, usados en este trabajo.


Cociente de rigidez de la rama de endurecimiento, αs
Estudios previos han mostrado que αs tiene un pequeño efecto en la respuesta cuando la rigidez por endurecimiento ronda entre 2 y 8% de la rigidez elástica (Nassar y Krawinkler, 1991). En este estudio se evalúan los siguientes valores:
a) αs = 0.03
b) αs = 0.06
Cociente de rigidez de la rama de ablandamiento, αc
Los siguientes valores del cociente de rigidez de ablandamiento cubren un rango de rigideces obtenido de pruebas experimentales (Ibarra y Krawinkler, 2005).
a) “Pequeño”, αc = -0.1
b) “Intermedio”, αc = -0.2
c) “Grande”, αc = -0.3
Capacidad de deformación
En este trabajo la capacidad de deformación se define basándose en el cociente entre el desplazamiento con el que se alcanza la resistencia máxima, um , y el desplazamiento a la fluencia, uy . Los parámetros que se evalúan son:
a) Ductilidad alta, um /uy = 6
b) Ductilidad media, um /uy = 4
c) Ductilidad baja, um /uy = 2
Degradación cíclica
La degradación cíclica de resistencia se considera con el parámetro γ en la ecuación 5, el cual define la capacidad de disipación de energía del sistema. Se evalúan dos degradaciones (Ibarra y Krawinkler, 2005):
a) Degradación cíclica lenta, γ = 75
b) Degradación cíclica rápida, γ = 25
Efectos P-Delta
Es práctica común cuantificar los efectos P-Delta por medio del coeficiente de estabilidad θ (Sun et al., 1973;. Bernal, 1986; Vian y Bruneau, 2001). Este coeficiente puede tener un efecto muy importante en el comportamiento del sistema. De hecho, Ibarra y Krawinkler (2005) han observado que si los efectos P-Delta son lo suficientemente grandes el sistema puede alcanzar el colapso sin que se presente la degradación del material.
Con el objetivo de obtener valores del coeficiente de estabilidad representativos de edificios de varios niveles, se recurrió al trabajo de Bernal (1992) en el cual se presenta una metodología para obtener un coeficiente equivalente de estabilidad θ para SUGL representativos de edificios de múltiples grados de libertad sujetos a los efectos P-Delta. La metodología se basa en el modo del mecanismo de falla y la relación entre el período y el número de pisos.
El coeficiente equivalente de estabilidad está definido como
donde θm es un coeficiente de estabilidad para la etapa post-fluencia basado en la forma del mecanismo de falla del edificio, y Q un factor adimensional que se obtiene con la expresión
donde θ0 es un coeficiente de estabilidad representativo de la porción elástica.
En la ecuación 9, N es el número de niveles del edificio; g la aceleración de la gravedad; τ el cociente del peso total entre el peso usado en el cálculo del periodo fundamental de vibración del edificio; ω0 la frecuencia circular; y h la altura total del edificio.
donde Ω es un factor que toma en cuenta la forma del mecanismo de falla, que se obtiene como
Los parámetros geométricos adimensionales E/h y G/h están asociados a la forma del mecanismo de falla (figura 9).

Al aplicar la metodología descrita para obtener coeficientes de estabilidad representativos de edificios de varios niveles, se asume que el periodo fundamental de vibración es Tn= 0.1 N, donde N es el número de pisos del edificio representado por el oscilador. En el caso de la altura, se asume que h = 350 N, considerando que la altura promedio de los pisos de un edificio sea de 350 cm. Para establecer tendencias generales, el parámetro E/h se consideró igual a 0, y para G/h se consideraron dos valores: 0.25 y 0.5. Estos valores representan que el mecanismo de falla se forma en la base del edificio y se extiende hasta un cuarto y la mitad de su altura, respectivamente. Nótese que entre más grande es el valor de G/h se supone que el daño se distribuye sobre una altura más grande del edificio, y como consecuencia, los coeficientes de estabilidad resultan más pequeños que cuando el daño se concentra en una altura menor (figura 10). Finalmente, Bernal (1992) menciona que el cociente del peso total entre el peso usado en el cálculo del periodo fundamental de vibración del edificio, τ, varía entre 1.1 y 1.3, y que se puede considerar un valor de 1.2 en muchos casos. Al aplicar la metodología propuesta por Bernal (1992) los coeficientes de estabilidad son variables y están en función del periodo y del número de niveles del edificio. En la figura 10 se presentan los valores adoptados en este estudio para el coeficiente de estabilidad equivalente obtenidos con la metodología descrita. Se puede ver que los coeficientes equivalentes de estabilidad se incrementan con el periodo, por lo que los valores más grandes están asociados a los periodos más largos.

La modificación en la respuesta del SUGL debido a los efectos P-Delta respecto a su respuesta de primer orden se puede interpretar como un decremento en la rigidez y resistencia del sistema la cual se puede caracterizar por una transformación geométrica de la curva envolvente trilineal. Bajo tal interpretación, la rigidez del sistema decrece debido a la carga de gravedad. La figura 11 muestra esquemáticamente la transformación geométrica de la curva envolvente.
En el estudio paramétrico de Rc , los efectos P-Delta se tomaron en cuenta modificando la curva envolvente de acuerdo a la figura 11 con los valores del coeficiente de estabilidad de la figura 10 para cada SUGL en función de su periodo de vibración. Nótese que para valores del coeficiente de estabilidad θ mayores que el cociente de rigidez αs , la rama de rigidez de endurecimiento se transforma en una rama con pendiente negativa aumentando la proclividad a la inestabilidad dinámica del sistema.

RESULTADOS DEL ESTUDIO PARAMÉTRICO
La discusión de resultados de esta sección se basa en la mediana de los espectros de Rc obtenidos para los 40 registros sísmicos en suelo blando y duro. Para lograr una caracterización adecuada de los espectros de Rc en suelo blando, dichos espectros se presentan normalizados con respecto al periodo dominante del movimiento del suelo, Tg . Aunque las ordenadas de Rc cambian en función de los parámetros estudiados y del modelo histerético utilizado, la forma general de los espectros es similar, por lo tanto, con fines de brevedad solo se presenta un espectro por cada tipo de suelo para la discusión de los efectos de cada parámetro.
Tendencia general y efecto del periodo de vibración
En la figura 12 se muestran en línea negra la mediana y en línea gris los espectros individuales de Rc de los 40 movimientos del suelo considerados, para un cociente de rigidez αs = 0.03 y capacidad de deformación um /uy = 6, en suelo blando. Se puede ver que la forma general de las medianas sigue una tendencia similar a la reportada en algunos trabajos de factores de reducción de resistencia para ductilidad constante en suelos blandos (Miranda, 1993; Miranda y Ruiz-García, 2002; Arroyo y Terán, 2003), así como el estudio del factor de reducción al colapso de Ruiz-García y Domínguez-Solorzano (2021).

Las ordenadas de Rc tienen fuertes variaciones que dependen de la relación Tn/Tg . Se puede dividir el espectro en tres regiones. En la región donde Tn/Tg < 0.7 aproximadamente, se encuentran los valores mínimos de Rc , los cuales tienden hacia el valor de 1.0 conforme Tn/Tg disminuye. Esto significa que para esta región la resistencia lateral mínima para evitar el colapso de los sistemas tiende hacia la resistencia elástica. En la región comprendida entre 0.7 < Tn/Tg < 1.7 aproximadamente, Rc crece exponencialmente hasta alcanzar su valor máximo, el cual se ubica donde el periodo del SUGL coincide con el periodo dominante del movimiento del suelo (Tn/Tg = 1). Después de alcanzar el pico, Rc disminuye gradualmente. Para la región donde Tn/Tg > 1.7 aproximadamente, los valores de Rc se estabilizan, se mantienen casi constantes, e independientes de Tn/Tg ; con un valor promedio entre 35% y 40% del valor máximo de Rc .
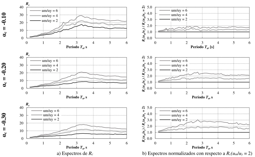
En suelo duro, la forma general de los espectros de Rc varían sustancialmente al compararlos con los espectros en suelo blando. La figura 13 presenta en línea negra la mediana y en línea gris los espectros individuales de Rc de los 40 movimientos del suelo considerados, para un cociente de rigidez αs = 0.03 y capacidad de deformación um /uy = 6, en suelo duro. Las ordenadas de Rc aumentan linealmente conforme aumenta el período de vibración Tn hasta llegar a un valor máximo en Tn = 3.2 segundos aproximadamente. Para la región espectral donde Tn > 3.2 segundos, las ordenadas de Rc son ligeramente más pequeñas que el máximo y se mantienen prácticamente constantes.

Efecto del cociente de rigidez αs
La figura 14 muestra los espectros de las medianas de Rc con cambios en el cociente de rigidez αs para suelo blando. Se puede ver que la forma espectral de Rc es prácticamente la misma para los dos valores de αs evaluados, es decir, el cociente αs no tiene influencia sobre las ordenadas de Rc . Este resultado concuerda con lo encontrado en estudios previos (Krawinkler y Nassar, 1991; Ibarra y Krawinkler, 2005; Vamvatsikos et al., 2009; Ruíz-García y Domínguez-Solórzano, 2021). Aunque no se muestra aquí, a partir de los resultados obtenidos es posible afirmar que en suelo duro se sigue la misma tendencia.

Efecto del cociente de rigidez αc
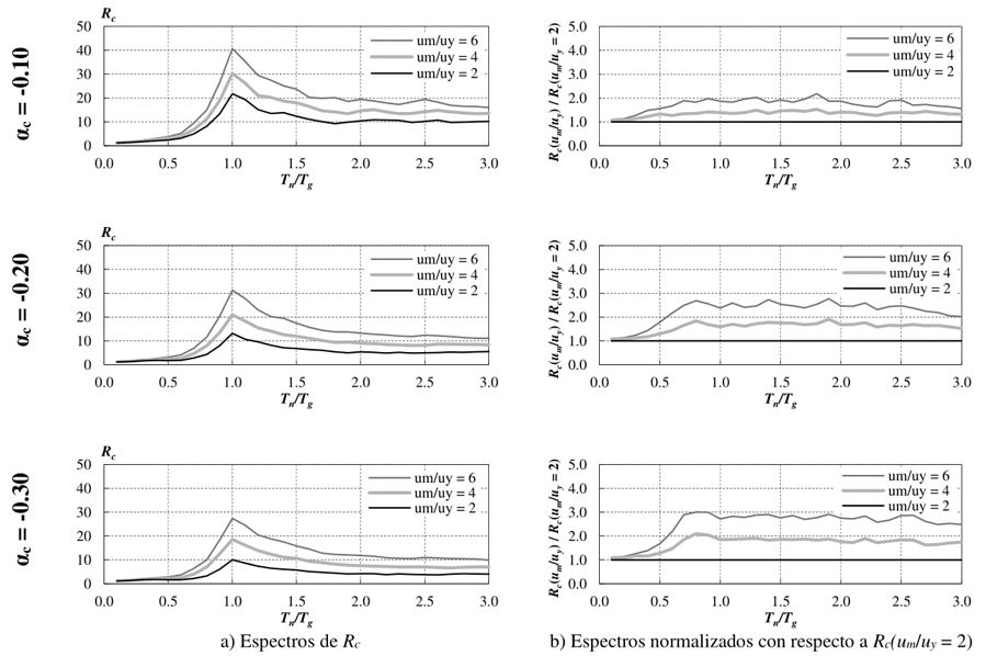
La figura 15 muestra el efecto del cociente de rigidez αc en las medianas de Rc , considerando diferentes valores para los parámetros um /uy y αc. Excepto para periodos cortos, el factor Rc es muy sensible a variaciones de αc cuando esta variable es menor a -0.10.

En general, los valores de Rc decrecen cuando αc disminuye, y aumentan exponencialmente cuando αc se aproxima a cero. Cuando la pendiente αc es menor que -0.20, Rc tiende hacia un valor constante e independiente de αc. Es decir, entre más inclinada es la pendiente αc, se requiere de mayor resistencia lateral para evitar la inestabilidad dinámica del sistema.
Aunque las ordenadas de Rc decrecen cuando αc se reduce, la tasa de decremento depende de la relación Tn/Tg o Tn , para suelo blando o duro, respectivamente. En la región espectral donde Tn/Tg < 0.7 o Tn < 2 segundos, el decremento es casi lineal (figuras 16b y 17 b). Para la región donde Tn/Tg > 0.7 o Tn > 2 segundos, la tasa de decremento permanece prácticamente constante.
Las figuras 16b y 17b muestran los espectros de Rc normalizados con respecto al sistema con αc = -0.10 del conjunto considerado. Se observa una gran disminución en las ordenadas de Rc para αc = -0.30 con respecto a los sistemas con αc = -0.10. Excepto para relaciones de Tn/Tg < 0.7 o Tn < 1 segundo, para suelo blando y duro respectivamente, cualquier disminución adicional en αc más allá de -0.20 tiene un efecto pequeño porque el colapso ocurre poco después de alcanzar el desplazamiento um .

Excepto para sistemas con periodo corto, el efecto de αc es más severo para sistemas con menor capacidad de deformación. Esto se debe a que en estos sistemas, el desplazamiento um se alcanza antes que en sistemas con una capacidad dúctil alta, y por lo tanto, en los sistemas de ductilidad baja una mayor proporción de la respuesta no lineal se desarrolla después de que se alcanza um .

Efecto de la capacidad de deformación um/uy
Para mostrar el efecto de la capacidad de deformación en las ordenadas de Rc , las figuras 18 y 19 presentan las ordenadas de Rc en función de la relación um /uy , y de la relación Tn/Tg para suelo blando, o de Tn para suelo duro.
En general, las ordenadas de Rc aumentan cuando se incrementa la capacidad de deformación. Esto se explica al observar que al aumentar la relación um /uy la meseta de la curva envolvente crece, lo cual implica necesariamente que se requerirá de un mayor número de ciclos histeréticos antes de alcanzar el desplazamiento um y la región de rigidez de ablandamiento de la envolvente trilineal.
De esta manera, los sistemas con mayor capacidad de deformación requerirán valores de Rc más grandes para llevarlos a la inestabilidad dinámica, que los sistemas con ductilidad limitada. Este comportamiento concuerda con lo reportado en varias investigaciones (Ibarra y Krawinkler, 2005; Vamvatsikos et al., 2009; Ruiz-García y Domínguez-Solórzano, 2021).
Se puede ver que entre mayor es la capacidad de deformación del SUGL mayor es el incremento en las ordenadas de Rc . Este comportamiento se muestra en las figuras 18b y 19b, en las que los espectros de las figuras 18a y 19a se normalizan con respecto a los espectros de Rc con um /uy = 2. Nótese que al disminuir el valor de αc las ordenadas de Rc disminuyen, sin embargo, el efecto de um /uy se magnifica.


Efecto de la degradación de resistencia
La figura 20 muestra que la forma del espectro de Rc cuando se degrada cíclicamente la resistencia es similar a cuando no hay degradación. De hecho, la degradación reduce mínimamente los valores de Rc , independientemente si la degradación es rápida (γ = 25) o lenta (γ = 75). Este comportamiento es similar para las diferentes relaciones um /uy , sin embargo, el efecto se reduce para los sistemas con poca capacidad de deformación ya que estos sistemas alcanzan el colapso más rápido, por lo que se desarrollan menos lazos histeréticos y se disipa menos energía histerética.

Efectos P-Delta
Las modificaciones en las ordenadas de las medianas de Rc debido a los efectos P-Delta para suelo blando con cocientes de rigidez αs= 0.03 y αc= -0.10 se muestran en la figura 21. En la figura se comparan las medianas de Rc sin efectos P-Delta con las medianas afectadas por ese efecto. Se puede ver que las ordenadas de Rc se reducen más conforme aumenta el periodo de vibración, es decir, los efectos P-Delta son más severos en estructuras de período largo. Esto se debe a que los coeficientes de estabilidad asociados a sistemas de periodo largo degradan sustancialmente la rigidez de la rama de endurecimiento por deformación de la curva envolvente trilineal, de tal manera que se transforma en rigidez negativa haciendo que se acelere la inestabilidad dinámica del sistema. La reducción en las ordenadas de Rc (figura 21b) depende del valor de G/h considerado y es similar para las tres capacidades de deformación consideradas.


La figura 22 muestra las mismas medianas de Rc de la figura 21 pero usando los cocientes de rigidez αs= 0.03 y αc = -0.30. En general, cuando aumenta la inclinación de la rama de ablandamiento de la curva envolvente trilineal, es decir, cuando disminuye αc disminuyen las ordenadas de Rc . Esta disminución es más severa en los sistemas sin efectos P-Delta en comparación con los sistemas en los que sí se consideran esos efectos. Esto se explica al observar que cuando el cociente αc es menor a -0.20, Rc tiende hacia un valor constante e independiente de αc (figura 15). Cualquier disminución adicional en αc más allá de -0.20 tiene un efecto pequeño porque el colapso ocurre poco después de alcanzar el desplazamiento um . Cuando se toman en cuenta los efectos P-Delta el coeficiente de estabilidad, θ, aumenta la degradación de rigidez de la rama de ablandamiento en la curva envolvente, por lo que ambas degradaciones actuando en conjunto (αc + θ) ocasionan valores más pequeños que -0.20 haciendo que la variable G/h tenga poca influencia sobre las ordenadas de Rc .
Resistencia lateral mínima para evitar la inestabilidad dinámica
Al dividir las ordenadas de los espectros de pseudoaceleración elástica entre las ordenadas correspondientes de los espectros de Rc se obtienen los espectros de resistencia lateral mínima para evitar la inestabilidad dinámica. Las figuras 23 y 24 muestran las medianas de la resistencia lateral mínima normalizadas por la aceleración máxima del terreno (PGA) para suelo blando y duro, respectivamente, sin considerar efectos P-Delta ni de degradación cíclica de resistencia.


En general, la demanda de resistencia lateral disminuye conforme aumenta el periodo de vibración del sistema. En la región espectral de periodos cortos (Tn /Tg < 0.5 o Tn < 1 segundo), la demanda de resistencia lateral se aproxima a la resistencia requerida para mantener el sistema elástico. Esto se debe a que en la misma región espectral de Rc las ordenadas tienden hacia uno (figuras 12 y 13).
La capacidad de deformación, um /uy , disminuye proporcionalmente la demanda de resistencia lateral. A mayor capacidad de deformación menor demanda de resistencia lateral. Conforme disminuye el cociente de rigidez de ablandamiento, αc, la demanda de resistencia aumenta, sin embargo, el efecto de la capacidad de deformación se magnifica. Para los sistemas de periodo largo las ordenadas de demanda de resistencia lateral tienden hacia el mismo valor independientemente de la relación um /uy y del cociente de rigidez de ablandamiento αc.
Comparación de resultados entre modelos histeréticos
En esta sección se comparan los resultados obtenidos para el factor Rc entre los tres modelos histeréticos usados en este trabajo. La comparación se realiza tomando como caso base el modelo peak-oriented IMK debido a que es el modelo que presentó los valores más grandes de Rc . La comparación con este modelo se realiza considerando el mismo cociente de rigidez de ablandamiento αc.
La figura 25 presenta las ordenadas de las medianas de Rc de los tres modelos histeréticos normalizadas por las del modelo peak-oriented IMK. Excepto para los sistemas de periodo corto (Tn/Tg < 0.7 en suelo blando o Tn < 1 segundo en suelo duro), el modelo peak-oriented IMK presenta los valores más grandes de Rc seguido por el modelo bilineal IMK y el elastoplástico con rigidez negativa post-fluencia.

En el rango de periodos cortos las ordenadas espectrales de Rc más grandes son las del modelo bilineal IMK. Es probable que la principal razón por la cual los valores más grandes de Rc corresponden al modelo peak-oriented IMK es que las reglas cinemáticas de este modelo le confieren características de auto centrado. Obsérvese que después de cada ciclo histerético la rama de recarga se dirige hacia el punto de deformación máxima alcanzada en el ciclo anterior, por lo que la deformación alcanzada en cada ciclo disminuye en la recarga debido a esta regla. Esto también permite que la respuesta inelástica del modelo se desarrolle en ciclos interiores y no sobre la rama de rigidez de ablandamiento de la curva envolvente que conduce gradualmente hacia mayores desplazamientos hacia un solo lado. Los modelos bilineal IMK y elastoplástico con rigidez negativa post-fluencia, a diferencia del modelo peak-oriented IMK, una vez que se encuentran sobre la rama de rigidez de ablandamiento, son afectados severamente por el efecto ratcheting que conduce a mayores desplazamientos y ocasiona que la respuesta cíclica no sea reversible. Este efecto se potencializa en el modelo elastoplástico con rigidez negativa debido a que la totalidad de su respuesta inelástica se desarrolla sobre la rama de rigidez negativa post-fluencia.
La figura 25 muestra que a medida que disminuye la capacidad de deformación, um /uy , la respuesta del modelo bilineal IMK se aproxima a la del elastoplástico con rigidez negativa post-fluencia y que conforme disminuye el cociente de rigidez de ablandamiento, αc, la respuesta del modelo bilineal IMK se aproxima a la del modelo peak-oriented IMK.
A continuación, se comparan las medianas de los modelos bilineal IMK con las del modelo peak-oriented IMK con base en los casos extremos observados en la figura 25, es decir, por un lado, um /uy = 2, αc = -0.10 y por el otro um /uy = 6, αc = -0.30. Los primeros parámetros (um /uy = 2, αc = -0.10) representan a sistemas con baja capacidad de deformación y cociente de rigidez de ablandamiento moderado. Los siguientes parámetros (um /uy = 6, αc = -0.30) corresponden a los sistemas con una gran capacidad de deformación y con una pendiente abrupta en la rama de rigidez de ablandamiento. En los sistemas con um /uy = 2 una parte importante de la respuesta histerética se desarrolla sobre la rama de rigidez de ablandamiento de la curva envolvente trilineal. Aunque la pendiente de esta rama es pequeña, el modelo bilineal IMK es más afectado por el efecto ratcheting por lo que llega al colapso mucho antes que el modelo peak-oriented IMK. De acuerdo a la figura 26, las medianas de Rc para el modelo bilineal IMK pueden ser hasta del 40% de los correspondientes al modelo peak-oriented IMK. Para los sistemas con um /uy = 6, debido a la inclinación abrupta de la rama de ablandamiento el colapso se presenta poco después de alcanzar el desplazamiento um de la curva envolvente trilineal. La mayor parte de los ciclos histeréticos se desarrollan antes de alcanzar um sobre la rama de rigidez de endurecimiento de la envolvente trilineal, por lo que no hay degradación de resistencia y el comportamiento de ambos modelos se asemeja.

REVISIÓN DEL REQUISITO DE CORTANTE BASAL MÍNIMO
Se le denomina espectro de inestabilidad dinámica al lugar geométrico en el que las ordenadas corresponden a la resistencia lateral mínima para que un SUGL permanezca estable ante un movimiento del suelo dado, y las abscisas al periodo de vibración del sistema. La resistencia lateral mínima se obtiene al dividir las ordenadas de un espectro elástico de pseudoaceleración entre el factor Rc .
Con el objetivo de evaluar la fuerza cortante basal mínima requerida por las Normas Técnicas Complementarias para Diseño por Sismo (NTC-Sismo, 2020), en esta sección se comparan los espectros de diseño de veinte sitios ubicados en la Ciudad de México con sus respectivos espectros de inestabilidad dinámica. Del Sistema de Acciones Sísmicas de Diseño (SASID) se obtuvieron para cada sitio el espectro de diseño y los acelerogramas sintéticos con los que se evaluó Rc . Al comparar ambos espectros se pueden presentar los dos escenarios mostrados en la figura 1 descritos en la introducción.
Movimientos del terreno
Se eligieron aleatoriamente veinte sitios de la Ciudad de México. Cada sitio se caracteriza por tener un determinado periodo dominante de vibrar del terreno, Ts . Para tomar en cuenta la variabilidad de las características de los movimientos del terreno, en la evaluación de Rc se consideraron todos los acelerogramas generados por SASID. En la tabla 3 se presentan la ubicación de los sitios y el número de registros considerados.

Por otra parte, los espectros de diseño elásticos generados por SASID se redujeron por efecto del comportamiento dúctil por medio del factor de comportamiento sísmico Q considerando valores de 2, 3 y 4. Para fines de evaluación del cortante basal mínimo, en la reducción de los espectros de diseño elásticos el factor de sobrerresistencia, R, definido en las NTC-Sismo (2020) se consideró con un valor unitario.
Modelo histerético
La comparación de resultados entre modelos histeréticos del estudio paramétrico mostró que el modelo elastoplástico con rigidez negativa post-fluencia presenta los valores más pequeños de Rc , es decir, es el modelo que demanda la mayor resistencia lateral. Este resultado debe tomarse con precaución ya que ese modelo no reconoce la capacidad de deformación del sistema, por lo que la resistencia que demanda puede ser excesivamente conservadora cuando se compara con los espectros de diseño reducidos por comportamiento dúctil como se muestra en el ejemplo de la figura 27. De acuerdo con los resultados del estudio paramétrico, la capacidad de deformación del SUGL tiene el efecto benéfico de aumentar las ordenadas de Rc conforme aumenta su valor, es decir, a mayor capacidad de deformación menor demanda de resistencia lateral para evitar la inestabilidad dinámica. Ya que el modelo elastoplástico con rigidez negativa post-fluencia no considera la capacidad de deformación del SUGL tan solo se puede generar un único conjunto de espectros de inestabilidad, los cuales se comparan con todos los espectros reducidos de diseño, independientemente del valor adoptado para Q como se muestra en la figura 27. Como consecuencia, la mayoría de las ordenadas de los espectros de inestabilidad dinámica se ubican por encima de los espectros de diseño reducidos por Q igual a 3 y 4, y en una región menor por encima del espectro reducido por Q =2, mostrando que el uso de ese modelo para evaluar los requerimientos de cortante basal mínimo puede ser excesivamente conservador. Por las razones antes mencionadas se descartó al modelo elastoplástico con rigidez negativa post-fluencia en la evaluación del cortante basal mínimo.
Con el modelo histerético bilineal IMK se obtienen valores de Rc más grandes que el modelo elastoplástico con rigidez negativa post-fluencia, pero menores que con el modelo peak-oriented IMK; además, el modelo bilineal IMK permite considerar la capacidad de deformación del sistema. En consecuencia, se eligió al modelo bilineal IMK como modelo histerético en la evaluación del cortante basal mínimo.

Parámetros de la curva envolvente trilineal
La envolvente trilineal queda definida por tres parámetros: la capacidad de deformación um /uy , la rigidez de endurecimiento por deformación Ks = αsKe , y la rigidez de ablandamiento Kc = αcKe . Ambas rigideces están en función de la rigidez elástica Ke , por lo que solo es necesario definir los cocientes de rigidez αs y αc.
Para el parámetro um /uy se seleccionan los valores de 2, 3, y 4, que corresponden a los valores del factor de comportamiento sísmico, Q, permitidos por las NTC-Sismo (2020). Al cociente de rigidez αs se le asigna el valor 0.03; de acuerdo al estudio paramétrico este parámetro tiene poca influencia sobre Rc .
La rigidez de ablandamiento es uno de los parámetros que más influyen en la inestabilidad dinámica de SUGL. Particularmente, los resultados obtenidos con el modelo bilineal IMK muestran que son muy sensibles ante pequeños cambios en la rigidez de ablandamiento debido a que la respuesta inelástica de dicho modelo, después de alcanzar el desplazamiento um , es severamente afectada por el efecto ratcheting.
Se puede recurrir a los resultados experimentales de elementos estructurales para seleccionar un valor razonable para la rigidez de ablandamiento. Sin embargo, esta labor no es sencilla dado que es difícil predecir la respuesta cíclica de los elementos ante grandes niveles de deformación. Obsérvese la figura 2 en la que se muestra la respuesta monotónica y cíclica de un muro de mampostería. Se puede ver que para bajos niveles de deformación y hasta el punto de resistencia máxima, la envolvente cíclica y la monotónica son prácticamente iguales. Mas allá de ese punto la resistencia se degrada por lo que la envolvente cíclica se ubica por debajo de la monotónica. En pruebas experimentales se ha podido observar que, para especímenes iguales sujetos a diferentes secuencias de carga, para niveles bajos de deformación las envolventes son aproximadamente iguales, sin embargo, para grandes deformaciones la respuesta de los elementos es muy distinta (véase por ejemplo el trabajo de Gatto y Uang, 2002). Esto muestra que ante grandes niveles de deformación existe mucha incertidumbre de cómo establecer la envolvente cíclica, en parte porque más allá del punto de resistencia máxima es difícil predecir cuál será la respuesta del elemento. Por ejemplo, considérese una viga dúctil de concreto trabajando en flexión. El punto asociado a la primera fluencia en su envolvente cíclica corresponderá siempre a la fluencia del acero longitudinal en tensión; mientras que el punto de resistencia máxima, dependiendo de muchos factores, puede corresponder a varios fenómenos: pandeo lateral del refuerzo longitudinal, aplastamiento del concreto, fractura del acero longitudinal, deslizamiento del acero, deslizamiento por corte del elemento, diferentes tipos de fatiga, pandeo local o global del elemento, entre otros. En el estado actual de conocimientos, es difícil predecir con precisión cual tipo de falla va a ocurrir. Por tales razones, parece factible adoptar un valor conservador para la rigidez de ablandamiento debido a tal incertidumbre.
Los resultados del estudio paramétrico muestran que cuando el cociente de rigidez de ablandamiento es pequeño (αc > -0.10) el factor Rc tiende a crecer exponencialmente. Por otro lado, cuando su valor es grande (αc < -0.30) el factor Rc tiende hacia un valor constante e independiente de αc, es decir, entre más inclinada es la pendiente de la rama de rigidez de ablandamiento se requiere de mayor resistencia lateral para evitar la inestabilidad dinámica del sistema. Algunos estudios experimentales (Sezen, 2000; Inoue et al., 2000; Elwood, 2002) muestran que un valor de αc= -0.30 es un valor grande para este parámetro, por lo cual este es el valor que se adopta para la evaluación que sigue.
Efectos P-Delta
Los efectos P-Delta se tomaron en cuenta aplicando la metodología propuesta por Bernal (1992). Se consideraron cuatro valores para la relación G/h: 0.10, 0.25, 0.50, y 1.0; en todos los casos E/h = 0. Estos valores representan que el mecanismo de falla se forma en la base del edificio y se extiende hasta una fracción de su altura dada por el valor de G/h. Los valores extremos son 0.10 y 1.0, y representan que el daño se concentra en el décimo inferior, y que se distribuye en toda la altura del edificio, respectivamente. Con esos valores y la metodología descrita en párrafos anteriores se obtuvieron valores del coeficiente de estabilidad, θ, en función del periodo de vibración del sistema. En la figura 28 se presentan los valores adoptados para el coeficiente equivalente de estabilidad.

Metodología
En cada sitio se generaron el número de acelerogramas sintéticos de la tabla 3 con los que se obtuvo la mediana de los espectros de inestabilidad dinámica para una familia de 50 SUGL con periodos entre 0.1 y 5.0 segundos. Posteriormente el espectro de medianas de inestabilidad dinámica se graficó en conjunto con los correspondientes espectros de diseño y la aceleración asociada al cálculo del cortante basal mínimo, amin . De acuerdo a las NTC-Sismo (2020), amin se tomó igual a 0.04/R cuando Ts < 0.5 segundos o 0.06/R si Ts≥ 1.0 segundo. Para valores de Ts comprendidos entre 0.5 y 1.0 segundo, amin se varió linealmente entre 0.04/R y 0.06/R. El factor de sobre-resistencia, R, se consideró con un valor unitario ya que disminuye las ordenadas de todos los espectros en la misma proporción.
La mediana de los espectros de inestabilidad dinámica se puede obtener mediante tres procedimientos distintos. El primero consiste en obtener directamente de cada uno de los n acelerogramas de cada sitio, los n espectros de la resistencia lateral mínima que evita la inestabilidad dinámica, y posteriormente la mediana de dichos espectros. En el segundo procedimiento se obtienen los n espectros de pseudoaceleración elástica y los del factor Rc ; los n espectros de inestabilidad dinámica se consiguen al dividir las ordenadas de cada uno de los n espectros de pseudoaceleración entre sus correspondientes ordenadas de Rc . Al final se obtiene la mediana de los n espectros de inestabilidad dinámica. En el último procedimiento el espectro de inestabilidad dinámica se consigue al dividir las ordenadas de la mediana de los n espectros de pseudoaceleración elástica entre las correspondientes ordenadas de la mediana de los n espectros de Rc . El primer procedimiento se puede considerar como “exacto” ya que la mediana de los espectros se obtiene directamente de la resistencia lateral mínima que evita la inestabilidad dinámica. En la figura 29 se muestra un ejemplo de las medianas de tres espectros de inestabilidad dinámica obtenidos con los procedimientos descritos. Se puede ver que los dos primeros procedimientos son iguales y que el tercero tiene la misma forma, pero con pequeñas variaciones en sus ordenadas. Como el segundo procedimiento se ajusta mejor al primero, se eligió ese para trazar los espectros de inestabilidad dinámica que se presentan a continuación.

Espectros
En las figuras 30 y 31 se presentan las medianas de los espectros de inestabilidad y los espectros de diseño y de ductilidad constante de dos sitios representativos de los veinte estudiados para las tres capacidades de deformación evaluadas. La línea roja representa el espectro de ductilidad constante generado con el modelo elastoplastico perfecto. La línea punteada azul muestra la aceleración asociada al cortante basal mínimo de las NTC-Sismo (2020). También se presentan las medianas de los espectros de inestabilidad normalizadas por las ordenadas del espectro de diseño.
En el sitio con Ts = 1.0 segundo (figura 30), excepto para la relación G/h = 0.10, los espectros de inestabilidad dinámica se ubican completamente por debajo de los espectros de diseño. Esto significa que, si a un sistema se le proporciona la resistencia lateral dada por el espectro de diseño la estructura no llegaría a la inestabilidad dinámica. Para la relación G/h = 0.10, que representa el caso en el que el daño se concentra en los primeros niveles de un edificio, el espectro de inestabilidad cruza el espectro de diseño reducido por Q igual a 3 y 4 en los periodos Tcr igual a 3.3 y 2.7 segundos, respectivamente. En estas condiciones, los sistemas con un periodo mayor a Tcr demandarán una mayor resistencia lateral para evitar el colapso que la proporcionada por el espectro de diseño. Sin embargo, la figura 31b muestra que la FCBM representada por la línea punteada azul se ubica por encima del espectro con relación G/h = 0.10 para la región espectral donde Tn > Tcr , por lo cual la demanda de resistencia queda cubierta. A pesar de que las condiciones del modelo con las que se evalúa la FCBM son severas y simultaneas (αc= -0.30 y G/h = 0.10) para todos los sitios con Ts ≤ 1.4 segundos la demanda de resistencia queda cubierta por la FCBM.
En el sitio con Ts = 3.8 segundos (figura 31), el espectro de inestabilidad para G/h = 0.10 se ubica por encima del espectro de diseño en un amplio rango de periodos para Q = 3 y 4; y para el resto de las relaciones de G/h y el espectro de ductilidad constante, en el rango de periodos entre 1 y 2 segundos. Excepto para la relación G/h = 0.10, en la región espectral donde Tn > 2 segundos todos los espectros se ubican por debajo del espectro de diseño.
Mientras que en casos como en el sitio con Ts = 1.4 segundos la FCBM cubre la demanda de resistencia del espectro con relación G/h = 0.10, en otros casos como en el sitio con Ts = 3.8 segundos no habría manera de cubrirla con o sin FCBM. Los sistemas con G/h = 0.10 son representativos de edificios con comportamiento altamente deficiente que concentran el daño en los primeros niveles, y que se pueden clasificar como fuertemente irregulares por las NTC-Sismo (2020). Por esta razón las normas castigarían su diseño incrementando las ordenadas espectrales en 43%, no obstante, como se puede ver en la figura 31b para um /uy = 4, incluso esta disposición no alcanzaría para cubrir la demanda de resistencia. Esto muestra que el problema no es la FCBM, sino la fuerte irregularidad de la estructura. Sin embargo, los requisitos de regularidad y la limitación de distorsiones, entre otras disposiciones de las NTC-Sismo (2020), conducen a edificios regulares en los que el mecanismo de colapso involucra a la mayoría de los niveles de un edificio, por lo que al seguir estrictamente dichas disposiciones difícilmente se lograría el diseño de un edificio con G/h = 0.10.

En los sitios con periodo Ts > 3.1 segundos, la diferencia en las ordenadas de los espectros de diseño y de inestabilidad dinámica, para la región espectral comprendida entre 1 y 3 segundos, es prácticamente nula independientemente del valor de la relación G/h. Particularmente, los espectros de diseño con Q = 4 se ubican por debajo de los de inestabilidad dinámica. Aunque en estos sitios de la ciudad aún no se han construido edificios de altura considerable, en un futuro la FCBM deberá cubrir esta demanda de resistencia.
Modos superiores de vibración
En sistemas de varios grados de libertad la forma modal asociada al modo fundamental de vibración exhibe mayor capacidad para desestabilizar la respuesta lateral de un edificio en relación con lo observado para las formas modales de los modos superiores. Esto se debe a que para el primer modo de vibración todas las masas en altura se mueven en una sola dirección, lo que maximiza el momento de volteo y los efectos P-Delta y, por ende, la capacidad del modo para dar lugar a una inestabilidad global. En estos términos, los modos superiores exhiben una mucho menor capacidad para desestabilizar la respuesta global de un edificio. De esta manera, aunque los SUGL considerados en este trabajo solo toman en cuenta la contribución del modo fundamental de vibración, los autores consideran que aportan una estimación razonablemente conservadora en cuanto a las condiciones de inestabilidad de edificaciones ubicadas en Ciudad de México. Al respecto, vale la pena mencionar que este artículo forma parte de un estudio más amplio en el que se considera la inestabilidad dinámica de sistemas de varios grados de libertad diseñados de acuerdo con la NTC-Sismo.

CONCLUSIONES
En este artículo se evalúa el requisito de FCBM de las NTC-Sismo (2020) a partir de comparar los espectros de diseño con los de inestabilidad dinámica en ocho sitios de la Ciudad de México. También se estudia el factor de reducción al colapso, Rc , que relaciona el espectro de pseudoaceleración elástica con el de inestabilidad dinámica. Se mostró que en SUGL la inestabilidad dinámica ocurre cuando se agota la resistencia como consecuencia del deterioro cíclico de esta, y que en la evaluación del colapso se requiere de modelos histeréticos capaces de reproducir esos modos de deterioro.
Usando tres modelos histeréticos con envolvente trilineal se realizó un estudio paramétrico en el que se identificaron los parámetros de la envolvente trilineal que tienen influencia dominante o insignificante en la propensión del SUGL a la inestabilidad dinámica y en el factor Rc . En el estudio paramétrico también se estudió el efecto de la degradación cíclica de resistencia y los efectos P-Delta.
Se identificó que la capacidad de deformación, um /uy, y la pendiente negativa de la rama de ablandamiento de la envolvente trilineal, αc, son los dos parámetros que más influyen sobre el factor Rc . La degradación cíclica de resistencia es un parámetro que disminuye las ordenadas de Rc , sin embargo, su efecto es mínimo frente a los efectos P-Delta. A su vez, los efectos P-Delta disminuyen significativamente las ordenadas de Rc ; su efecto se magnifica en los sistemas de periodo de vibración largo y con gran capacidad de deformación.
Al comparar la respuesta de los tres modelos histeréticos se obtuvo que excepto para los sistemas de periodo corto, el modelo peak-oriented IMK presenta los valores más grandes de Rc seguido por el modelo bilineal IMK y el elastoplástico con rigidez negativa post-fluencia. Los valores más pequeños de Rc corresponden al modelo elastoplástico con rigidez negativa post-fluencia debido a que no incorpora la capacidad de deformación de los SUGL.
De la evaluación de la FCBM se desprende que, excepto para la relación G/h = 0.10, las ordenadas de los espectros de inestabilidad dinámica se ubican por debajo de los espectros de diseño, por lo que en esos casos no se requiere de una FCBM. Los sistemas con G/h = 0.10 son representativos de edificios fuertemente irregulares que demandan una resistencia mucho mayor que la proporcionada por los espectros de diseño, incluso cuando esta se incrementa debido a la corrección por irregularidad. Se concluye que se puede eliminar el requisito de la FCBM, sin embargo, en este momento el medio ingenieril se encuentra en una etapa de transición en la que debe permear el conocimiento (por ejemplo, el análisis no lineal) para que en un futuro esa disposición sea eliminada de la normatividad.
Debido a que, desde su inclusión en la NTC-Sismo el requisito de FCBM se estableció con base en estudios numéricos limitados y el juicio ingenieril, históricamente ha sido imposible establecer si dicho requisito es pertinente en términos de prevenir, de manera razonable y eficiente, la inestabilidad dinámica de sistemas de periodo largo construidos en Ciudad de México. El requisito se impuso, de manera preventiva, en un momento en que no se tenía en la ciudad experiencia suficiente en cuanto al diseño y construcción de edificios de gran altura, particularmente en la zona de suelos blandos de la ciudad. Debido a las múltiples discusiones que en años reciente han surgido en cuanto a la pertinencia de las disposiciones actuales relacionadas con la FCBM, se decidió aportar en el presente trabajo medidas cuantitativas que permitan establecer la pertinencia del requisito de FCBM. En resumen, puede decirse a partir de los resultados presentados aquí que, si el sistema estructural es regular en altura, el requisito actual de FCBM debe dar lugar a diseños conservadores. Dado que los SUGL de libertad usados en los estudios aquí reportados no consideran explícitamente la acumulación de deformación lateral en sistemas estructurales fuertemente irregulares en altura, por el momento es difícil establecer si el requisito de FCBM resulta conservador o pertinente para estos casos. Al respecto pueden hacerse dos observaciones; en primer lugar, sería difícil pensar que se consideraría aceptable en un edificio de gran altura usar sistemas estructurales fuertemente irregulares en altura, y segundo, que la versión más reciente de la NTC-Sismo penaliza de manera severa la distorsión permisible en este tipo de sistemas estructurales, lo que muy probablemente disminuya los efectos perjudiciales de la irregularidad en altura en el comportamiento sísmico de los edificios altos construidos en Ciudad de México.
Finalmente, vale la pena mencionar que en los estudios aquí reportados se consideró en exclusiva la respuesta de SUGL. Aunque es posible anticipar que los resultados presentados aquí deben ser razonablemente conservadores en cuanto al requisito de FCBM, se tiene previsto estudiar con detalle la respuesta de sistemas estructurales de varios grados de libertad que representen edificios de gran altura diseñados de acuerdo con la NTC-Sismo, de tal manera de considerar la contribución de los modos superiores a la respuesta dinámica de este tipo de estructuras.
AGRADECIMIENTOS
El primer autor agradece al Consejo Nacional de Ciencia y Tecnología (CONACyT) por la beca otorgada para sus estudios de doctorado.
REFERENCIAS
Arroyo, D, A Terán (2002). “Factores de reducción de fuerzas sísmicas para el diseño de estructuras con sistemas pasivos de disipación de energía”. Revista de Ingeniería Sísmica, No. 66, pp. 73 - 93.
Bernal, D (1987). “Amplification factors for inelastic dynamic P-Δ effects in earthquake analysis”. Earthquake Engineering and Structural Dynamics, Vol. 15, No. 5, pp. 635 - 651. DOI: 10.1002/eqe.4290150508
Bernal, D (1992). ”Instability of buildings subjected to earthquakes”. Journal of Structural Engineering, Vol. 118, No. 8, pp. 2239 - 2260. DOI: 10.1061/(ASCE)0733-9445(1992)118:8(2239)
Bernal, D (1998). “Instability of buildings during seismic response”. Engineering Structures, Vol. 20, No. 4-6, pp 496 - 502. DOI: 10.1016/S0141-0296(97)00037-0
EC8 (2004). Design of structures for earthquake resistance - Part 1: General rules, seismic actions and rules for buildings (EN 1998-1). Eurocódigo 8, Comité Europeo de Normalización, CEN, Bruselas.
Elwood, K J (2002). “Shake table test and analytical studies on the gravity load collapse of reinforced concrete frames”, Tesis de doctorado, Department of Civil and Environmental Engineering, University of California, Berkeley .
FEMA-P695 (2008). “Quantification of building seismic performance factors”. Federal Emergency Management Agency, Washington, EUA.
Gatto, K, CM Uang (2003), “Effects of loading protocolo n the cyclic response of woodframe shearwalls”, Journal of Structural Engineering , Vol. 129, No. 10, pp 1384-1393. DOI: 10.1061/(ASCE)0733-9445(2003)129:10(1384)
Ibarra, L y H Krawinkler (2005), “Global collapse of frame structures under seismic excitations”, Report No. 152, The John A. Blume Earthquake Engineering Research Center, Departament of Civil and Environmental Engineering, Stanford University.
Ibarra, L , R Medina, H Krawinkler (2005). “Hysteretic models that incorporate strength and stiffness deterioration”. Earthquake Engineering and Structural Dynamics , Vol. 34, No. 12, pp 1489 - 1511. DOI: 10.1002/eqe.495
Inoue, K, T Asari, Y Ishiyama (2000), “Lateral stiffness-strength distribution and damage concentration along the height of a building”, Proceedings of the12thWorld Coference on Earthquake Engineering, Upper Hutt, New Zealand, Paper No. 1764.
Lignos, D, H Krawinkler (2012), “Sidesway collapse of deteriorating structural systems under seismic excitations”, Report No. 177, The John A. Blume Earthquake Engineering Research Center, Departament of Civil and Environmental Engineering, Stanford University.
Lu, X, X Z Lu, L P Ye y M K Li (2014), “Influence of minimum base shear force on the collapse resistance of super-tall buildings”, Proceedings of the10thNational Confeerence on Earthquake Engineering, Earthquake Engineering Research Institute, Anchorage, Alaska.
Lu, X , X Lu, H Guan y L Xie (2016), “Application of earthquake-induced collapse analysis in design optimization of a supertall building”, Struct Design Tall Spec. Build., Vol. 25, pp 926-946. DOI: 10.1002/tal.1291
Miranda, E (1993). “Site-dependent strength-reduction factors”. Journal of Structural Engineering , Vol. 119, No. 12, pp 3503 - 3519. DOI: 10.1061/(ASCE)0733-9445(1993)119:12(3503)
Miranda, E, S Akkar (2003). “Dynamic instability of simple structural systems”. Journal of Structural Engineering , Vol. 129, No. 12, pp. 1722 - 1726. DOI: 10.1061/(ASCE)0733-9445(2003)129:12(1722)
Miranda, E , J Ruíz-García (2002). “Influence of stiffness degradation on strength demands of structures built on soft soil sites”. Engineering Structures , Vol. 24, No. 10, pp 1271 - 1281. DOI: 10.1016/S0141-0296(02)00052-4
Nassar, A, H Krawinkler (1991). “Seismic demands for SDOF and MDOF sysems”. Report No. 95, Blume Earthquake Engineering Research Center, Departament of Civil and Environmental Engineering, Stanford University.
NTC-Sismo (2020). Normas Técnicas Complementarias para Diseño por Sismo con Comentarios. Gaceta Oficial de la Ciudad de México, Vigésima Primera Época, No. 361.
PEER-2010/05 (2010). Guidelines for performance-based seismic design of tall buildings. Pacific Earthquake Engineering Research Center, University of California, Berkeley, California.
Rahnama, M y H Krawinkler (1993). “Effects of soils and hysteresis model on seismic demands”. Report No. 108, The John A. Blume Earthquake Engineering Research Center, Departament of Civil and Environmental Engineering, Stanford University.
Ruíz-García, J, O Domínguez-Sólorzano (2021). “Collapse strength ratios for weak first-story buildings under soft soil intraslab earthquakes”. Soil Dynamic and Earthquake Engineering, Vol. 151. DOI: 10.1016/j.soildyn.2021.107004
Sezen, H (2000). “Evaluation and testing of existing reinforced concrete building columns”. CE299 Report, University of California, Berkeley.
Sun, C, G Berg, R Hanson (1973), “Gravity effect on single-degree inelastic systems”. Journal of Engineering Mechanics, Vol. 99, No. 1, pp 183-200. DOI: 10.1061/JMCEA3.0001720
Vamvatsikos, D, S Akkar, E Miranda (2009). “Strength reduction factors for the dynamic instability of oscillators with non-trivial backbones”. Proceedings of the2ndInternational Conference on Computational Methods in Structural Dynamics and Earthquake Engineering (COMPDYN 2009), Paper No. CD450, Island of Rhodes, Greece.
Vamvatsikos, D , A Cornell (2002). “Incremental dynamic analysis”. Earthquake Engineering and Structural Dynamics , Vol. 31, No. 3, pp. 491 - 514. DOI: 10.1002/eqe.141
Vian, D, M Bruneau (2003). “Test to structural collapse of single degree of freedom frames subjected to earthquake excitations”. Journal of Structural Engineering , Vol. 129, No. 12, pp 1676 - 1685. DOI: 10.1061/(ASCE)0733-9445(2003)129:12(1676)