Artículos
RESPUESTA SÍSMICA MEDIDA EN UN PUENTE URBANO UBICADO EN SUELO BLANDO
SEISMIC RESPONSE MEASURED OF AN URBAN BRIDGE LOCATED ON SOFT GROUND
RESPUESTA SÍSMICA MEDIDA EN UN PUENTE URBANO UBICADO EN SUELO BLANDO
Ingeniería sísmica, no. 113, pp. 81-114, 2024
Sociedad Mexicana de Ingeniería Sísmica A.C.
Received: 13 March 2024
Accepted: 31 December 2024
Resumen: Ante el incremento del tráfico vehicular en la zona metropolitana del Valle de México, se ha recurrido a la construcción de puentes en sitios de suelo blando, con arcillas altamente compresibles, que dan lugar a una amplificación importante en la excitación del suelo. Esta situación genera incertidumbres en el desempeño sísmico de los puentes desplantados en estos sitios, por lo que resulta conveniente monitorear su respuesta dinámica a fin de mejorar los criterios para su análisis y diseño sísmico. En este trabajo se presenta el análisis de la respuesta sísmica del Puente Vehicular Impulsora, ubicado en suelo blando, con base en el procesamiento e interpretación de los registros sísmicos derivados de la instrumentación de la estructura, durante el periodo de monitoreo de 2004 a 2017. De este análisis se obtuvieron los principales periodos de vibración y el amortiguamiento de la estructura, con lo cual se calibró un modelo analítico y se realizó la revisión de su seguridad sísmica. Se encontró que para el puente, cuyo periodo de vibración fundamental es inferior a 0.5 s, desplantado sobre un suelo blando con un periodo de sitio de 4.25 s, es baja la condición de riesgo sísmico a la que se ve expuesto. En consecuencia, posee un amplio factor de seguridad, lo que revela que el puente fue diseñado con una aceleración espectral superior a la que realmente le será demandada, lo cual se atribuye en parte, a la incertidumbre en la estimación de la intensidad sísmica. Aunado a lo anterior, las demandas de distorsión que experimentaron los marcos de este puente durante el sismo 19-septiembre-2017, dieron lugar a un nivel de desempeño de operación completa satisfactorio, lo cual resulta deseable en este tipo de obras, dada su importancia.
Palabras clave: Puente urbano, registros sísmicos, respuesta sísmica medida, periodos de vibración, amortiguamiento.
Abstract: Given the increase in vehicular traffic in the metropolitan area of the Valley of Mexico, the construction of bridges has been resorted to in places with soft soil, with highly compressible clays, which give rise to a significant amplification in the excitation of the soil. This situation generates uncertainties in the seismic performance of the bridges located in these sites, so it is convenient to monitor their dynamic response in order to improve the criteria for their seismic analysis and design. This paper presents the analysis of the seismic response of the Impulsora Vehicular Bridge, located in soft ground, based on the processing and interpretation of the seismic records derived from the instrumentation of the structure, during the monitoring period 2004 to 2017. From this analysis, the main vibration periods and the damping of the structure were obtained, with which an analytical model was calibrated and its seismic safety review was carried out. It was found that when it comes to a bridge, whose fundamental vibration period is less than 0.5 s, located on a soft ground with a site period of 4.25 s, the seismic risk condition to which it is exposed is low. Consequently, it has a large safety factor, which shows that the bridge was designed with a spectral acceleration higher than that which will actually be demanded, which is attributed in part to the uncertainty in the estimation of the seismic intensity. In addition to the above, the drift demands that the resisting frames of this bridge experienced during the September 19, 2017 earthquake, gave rise to a satisfactory level of full operation performance, which is desirable in this type of works, given its importance.
Keywords: Urban bridge, seismic records, seismic response measured, vibrations period, damping.
INTRODUCCIÓN
Los puentes urbanos de la Ciudad de México están expuestos a la actividad sísmica que prevalece en las costas del Pacífico y en la zona centro del país, de tal forma, que pueden ser afectados por diferentes tipos de sismos: subducción, intraplaca y cortical. En este sentido, durante el sismo de Axochiapan, 19-septiembre-2017, Mw = 7.1, varios puentes sufrieron daños que hicieron ver la necesidad de prestarles mayor atención al estudio de su comportamiento sísmico. De esta manera, se apreciaron problemas de resistencia a flexo-compresión en columnas, junto con problemas de limitada longitud de apoyo en la superestructura, golpeteo de la superestructura en cubiertas esviajadas y daños en topes sísmicos. En la figura 1 se muestran algunos de los daños que experimentaron los puentes, cuya ubicación fue relativamente cercana al epicentro, como fueron las entidades de Morelos y Ciudad de México, que ante un sismo intraplaca, las máximas ordenadas espectrales se presentaron en la región espectral de periodos cortos, que es donde se encuentran los periodos fundamentales de la mayoría de los puentes observados.

Lo anterior cobra relevancia, al considerar que en México se adolece de un reglamento para el diseño sísmico de puentes, lo cual resulta preocupante al no poder definir el nivel de seguridad estructural que guardan este tipo de obras de infraestructura ante eventuales excitaciones del terreno. En consecuencia, los proyectistas de puentes se ven en la necesidad de recurrir a reglamentos y documentos extranjeros que abordan criterios de diseño sísmico para este tipo de obras de infraestructura, tales como: AASHTO (2020), ATC-32 (1996), Caltrans (2008), entre otros. Dichos documentos, en ocasiones se combinan con recomendaciones del Reglamento de Construcciones para el Distrito Federal, que en estricto sentido no está pensado para puentes, por lo que esta situación puede generar incertidumbres en el comportamiento sísmico de este tipo de estructuras.
Para soslayar el problema descrito están en proceso de desarrollo las Normas Técnicas Complementarias de Diseño y Construcción de Puentes Urbanos, con las cuales se pretende guiar de mejor forma el diseño de estas obras de infraestructura, en particular ante la acción del sismo, buscando con ello lograr un diseño racional y confiable. En este sentido, la instrumentación sísmica de estructuras ha llegado a ser una de las formas más efectivas para validar criterios de diseño y para evaluar la seguridad sísmica de construcciones con características peculiares como los puentes (Murià et al., 2022).
De esta manera, se cuenta con la instrumentación sísmica del puente vehicular Impulsora, cuyo proyecto promovió en 1995 el Centro Nacional de Prevención de Desastres (CENAPRED). Posteriormente, el Instituto de Ingeniería de la UNAM, a través de la Coordinación de Instrumentación Sísmica, se hizo cargo de la red de monitoreo, de tal forma, que para el 2004 se obtuvieron los primeros registros bajo su operación.
Algunos antecedentes de los primeros trabajos realizados sobre el monitoreo de este puente, inició con el trabajo de Aguilar y Alcocer (1997), en el que se describe la instrumentación de la subestructura y superestructura, así como las interpretaciones preliminares relacionadas con los esfuerzos en los cables de presfuerzo de las trabes y las deformaciones en el acero de refuerzo de las columnas; desafortunadamente no se pudo mantener la operación de estas mediciones. De igual forma, se llevaron a cabo estudios relacionados con las propiedades del subsuelo, así como la instrumentación y el comportamiento sismo-geotécnico de la cimentación del tramo central del puente, tal como se comenta ampliamente en la publicación de Mendoza et al. (1997).
En cuanto al análisis e interpretación de los primeros registros sísmicos relacionados con la respuesta sísmica de la estructura del puente, se tienen resultados presentados de manera parcial por Rivera-Vargas y Meli (2003), quienes consideraron tres eventos sísmicos, medidos en el periodo de 1998 a 2003, con los cuales se analizó el movimiento del terreno en el sitio, el movimiento en la estructura, así como la influencia de los apoyos fijo y móvil de la trabe central en la respuesta de la superestructura.
Recientemente, se retomó el análisis de la instrumentación sísmica del puente Impulsora, con base en los acelerómetros que se conservan todavía en algunos puntos del tramo central de la estructura. Con ello se pretendió aprovechar la información disponible, dado que en México es escaso el número de puentes con una red acelerométrica permanente. Por lo que el objetivo de este trabajo radicó en analizar la respuesta sísmica medida en este puente urbano, a partir del procesamiento e interpretación de los registros sísmicos derivados de la instrumentación de la estructura, durante el periodo de monitoreo de 2004 a 2017. Con ello se buscó comprender su comportamiento dinámico para comprobar las hipótesis de análisis sobre modelos analíticos, y revisar su seguridad sísmica para reflexionar sobre posibles implicaciones en el diseño sísmico en este tipo de obras de infraestructura que predominan en la zona metropolitana del Valle de México.
UBICACIÓN Y DESCRIPCIÓN DE LA ESTRUCTURA
El puente Impulsora se ubica en el noreste de la zona metropolitana del Valle de México, en los límites de la Ciudad de México y el Estado de México, Av. Central, Nezahualcóyotl, Estado de México (figura 2).

De acuerdo con la zonificación geotécnica de las Normas Técnicas Complementarias para Diseño y Construcción de Cimentaciones (NTC-Cimentaciones, 2023), el puente se ubica en la Zona III; suelo lacustre con grandes depósitos de arcilla altamente compresible, separada por capas arenosas con contenido de limo y arcilla. Conforme al trabajo de Mendoza et al. (1997), el sitio presenta una capa subyacente de 33 m de espesor, que corresponde a una arcilla suave, muy blanda y compresible, cuya resistencia media es de 1.26 t/m2, mientras que la velocidad de onda de corte medida con sonda suspendida es de 35.5 m/s y el módulo de cortante dinámico de 148 t/m2.
En lo que respecta a la estructura, el puente cuenta con 17 ejes trasversales distribuidos a lo largo de su longitud total la cual alcanza 405 m, aproximadamente (figura 3).

En los ejes 1 y 17 se tienen estribos de arranque en cada uno de los extremos. De los ejes 2 al 8 y 13 al 16 se tienen pares de columnas que forman marco en sentido transversal. En el tramo central del puente, ejes 9 a 12, se tienen cuatro columnas que forman marcos en la dirección transversal. El claro central, entre los ejes 10 y 11, es de 57 m; las trabes de apoyo son las que están conectadas con las columnas y se extienden hacia el centro del claro, de tal forma que las trabes centrales quedan con una longitud de 49 m.
El ancho máximo de la sección principal del puente es de 17 m entre los ejes 9 y 12. En este tramo el puente tiene capacidad para albergar 2 carriles de flujo, dos carriles de acenso y descenso de pasajeros, así como pasarelas peatonales. En el resto del puente, el ancho de la sección es de 9 m, aproximadamente, por lo que solo permite dos carriles de flujo. Cabe comentar que el puente presenta un esviajamiento en planta de 14o.
En el tramo central del puente, apoyos cinco y seis (figura 3), cada apoyo cuenta con 8 columnas de sección oblonga de 7 m de altura. Éstas se distribuyen en marcos de cuatro columnas sobre los ejes que comprenden el apoyo para dar soporte a cuatro trabes prefabricadas de sección cajón, las cuales a su vez se conectan con trabes portantes en la dirección transversal del puente (figura 4). Adosadas a las trabes de cajón externas, se tienen pasos peatonales resueltos mediante una estructura de sección tubular, tal como se muestra en la Figura 4.

La cimentación tipo en los apoyos del tramo central está conformada por un cajón de cimentación y un conjunto de pilotes cuyo trabajo es por fricción; ambos fueron construidos de concreto reforzado (figura 4). El cajón de cimentación está constituido por una retícula de contratrabes de 2.7 m de altura; bajo esta retícula se hincaron 77 pilotes cuadrados (0.5 m de lado), cuya punta alcanza una profundidad de 30 m, dejando un “colchón” de suelo arcilloso de 3 m entre la punta de éstos y la denominada primera capa dura.
Las trabes denominadas de apoyo y central son presforzadas, sección cajón (figura 5a), cuya resistencia nominal del concreto es de 400 kg/cm². El concreto de las columnas de sección oblonga tienen una resistencia de 300 kg/cm² y se encuentran reforzadas mediante 48 barras longitudinales del número 12, distribuidas perimetralmente en paquetes de dos barras, con estribos y ganchos transversales con separación de 20 cm en toda su altura (figura 5b).

Otro aspecto importante que describir en la estructura del puente es el relacionado con las características de los apoyos fijo y móvil del tramo central del puente, dado que influyen en el comportamiento de la superestructura, en particular el móvil incide en el desplazamiento relativo entre las trabes de apoyo y las trabes centrales en la dirección longitudinal del puente (figura 6).

De acuerdo con Rivera-Vargas (2005), este tipo de apoyos básicamente están constituidos de una placa de neopreno, que tienen un perno que conecta a las trabes de apoyo (TA) y central (TC), como se ilustra en la figura 7. El perno permite que el apoyo trabaje como fijo o móvil, es decir, si el perno no tiene holgura para deslizarse en la dirección longitudinal su trabajo es como fijo, en caso contrario es como móvil.

INSTRUMENTACIÓN Y REGISTROS OBTENIDOS
Conforme a la información proporcionada por la Coordinación de Instrumentación Sísmica del Instituto de Ingeniería, UNAM, la red de monitoreo está conformada por tres acelerómetros triaxiales, modelo K2, con número de serie 705, con una escala de 2 g, frecuencia natural de 50 Hz y con una velocidad de muestreo de 100 muestras por segundo en las tres direcciones ortogonales.
La ubicación de los sensores se ilustra en la figura 8. El primer acelerómetro está ubicado en la base del apoyo seis, entre las columnas del eje 11, identificado como Caseta Central (CC); el segundo está instalado sobre el mismo eje, en la Trabe de Apoyo (TA); mientras que el tercer acelerómetro está instalado en la Trabe Central (TC), entre los apoyos cinco y seis.

La orientación de estos dispositivos de medición fue N75W para el primer canal, que corresponde al eje longitudinal del puente (Dirección L); el canal dos registra los movimientos verticales (Dirección V); el tercer canal con orientación N15E, registra los movimientos transversales de la estructura (Dirección T).
De enero de 2004 a septiembre de 2017 la red acelerográfica del puente registró 45 sismos. En la tabla 1 se presentan las principales características sismológicas de los eventos registrados, tales como: número de identificación del evento, fecha de ocurrencia, magnitud, ubicación del epicentro, profundidad y distancia del epicentro al puente Impulsora. Durante este periodo de monitoreo, la mayor parte de los sismos ocurrieron en el estado de Guerrero y Oaxaca, mientras que en menor proporción los epicentros se registraron en Chiapas, Puebla y Michoacán. Los eventos de mayor magnitud fueron: 20-marzo-2012 (Mw=7.4), 18-abril-2014 (Mw=7.2), 8-septiembre-2017 (Mw=8.2) y 19-septiembre-2017 (Mw=7.1), este último evento generó las mayores demandas de aceleración en el puente Impulsora como se verá más adelante.

En la tabla 2 se reportan las aceleraciones máximas registradas en diferentes partes de la estructura, en las estaciones TA (trabe de apoyo), TC (trabe central) y CC (caseta central), para las tres direcciones ortogonales de la estructura: T (transversal), L (longitudinal) y V (vertical). Como se podrá notar, nuevamente los eventos 20-marzo-2012, 18-abril-2014, 08-septiembre-2017 y 19-septiembre-2017, registraron los mayores valores de aceleración máxima en comparación con el resto de los eventos sísmicos del catálogo.

De estos eventos, el evento del 19-septiembre-2017, con epicentro cercano a San Felipe Ayutla, Puebla, con una distancia del epicentro al puente Impulsora de 126 km, generó aceleraciones máximas en la base del puente (estación CC), del orden de 95 gal en la dirección T, 97 gal en la dirección L y 24 gal en la dirección V. Mientras que las aceleraciones máximas registradas en la superestructura (TA y TC) fueron de 110 gal y 105 gal en las direcciones T y L, respectivamente; en la dirección V la trabe central (TC) alcanzó 58 gal.
En las figuras 9, 10 y 11 se muestran parte de los acelerogramas registrados en las estaciones CC, TA y TC, respectivamente, medidos en las direcciones L, V y T, los cuales corresponden al evento 19-septiembre-2017.



Con objeto de conocer las demandas de distorsión en los marcos del tramo central del puente, durante el evento 19-septiembre-2017, se obtuvieron los desplazamientos medidos en las estaciones TA y CC, así como los desplazamientos relativos entre estas estaciones (TA-CC), en las direcciones T y L, como se muestra en las figuras 12 y 13, respectivamente.


En la dirección T se observa con mayor claridad los instantes de tiempo en los que TA experimenta mayor desplazamiento con respecto a CC (figura 12), de tal forma que, el máximo desplazamiento relativo (TA-CC) fue de 1.12 cm, lo que da como resultado una distorsión de 0.0016. Mientras que en la dirección L se observa que prácticamente es el mismo movimiento que presentan TA y CC (figura 13), en donde su máximo desplazamiento relativo resultó de 0.6 cm, por lo que la distorsión fue de 0.0009.
Las distorsiones anteriores revelan que el puente tuvo un desempeño sísmico satisfactorio durante el evento 19-septimebre-2017, al considerar que por la intensidad que tuvo el mismo, no demandó distorsiones que limitarán la operación del puente y mucho menos que comprometiera la seguridad del mismo. Esta reflexión se respalda en estudios experimentales de columnas de puentes (Rivera-Vargas et al. 2019 y Rivera-Vargas et al., 2022), en los que se ha podido observar que, para distorsiones del orden de 0.002, las columnas de puentes no experimentan daño, por lo que bajo estas condiciones se garantiza la operación completa del puente.
INTERPRETACIÓN DE LOS RESULTADOS
Análisis de registros sísmicos
Para el análisis de los registros se requiere previamente realizar la corrección de línea base y el filtrado de frecuencias pasa-banda, este último se aplica para eliminar impurezas en la señal debidas al ruido del medio ambiente, entre otros factores.
Para la identificación de las propiedades dinámicas a partir del análisis de registros sísmicos se pueden considerar las técnicas de tipo paramétrico y no paramétrico (Bendat y Piersol, 1989). La estimación paramétrica consiste en la identificación de las propiedades de un sistema a partir de un modelo matemático idealizado, por medio del cual se busca reproducir la información que se ha obtenido experimentalmente. Mientras que la estimación de tipo no paramétrica se enfoca directamente al análisis de los registros sísmicos, mediante herramientas matemáticas que facilitan la identificación de las propiedades que se desean conocer.
En este trabajo se usó la técnica paramétrica para el caso de estimar el amortiguamiento, tomando como referencia el método propuesto por Rinawi y Clough (1992). En este procedimiento se considera la respuesta pico medida en la estructura, la cual se identifica en la curva de un cociente espectral. Con base en esta curva se ajusta una curva teórica asociada con un sistema de un grado de libertad, que está en función de la fracción de amortiguamiento (ξn), frecuencia circular natural (ωn) y amplitud (Pn). Por lo que de esta manera se puede inferir una de las propiedades dinámicas como el amortiguamiento.
El método comprende la solución de un sistema de ecuaciones, que son función de las amplitudes del cociente espectral (A) y de la frecuencia circular en la respuesta pico de este cociente espectral , por lo que dicho sistema está dado por:
Con la solución del sistema de ecuaciones se puede obtener ωn, ξ y Pn, con las siguientes expresiones:
Despejando
La curva del oscilador de un grado de libertad ajustada al cociente espectral puede determinarse mediante la ecuación 4, empleando los parámetros determinados con la ecuación 3.
Otro método que se consideró para obtener el amortiguamiento fue el concerniente al semi ancho de banda (Chopra, 2007). Dicho método considera la amplitud A, que representa una fracción de de la amplitud máxima (Amax), al suponer que con ese ancho de banda el nivel de amortiguamiento es 2ξn, que puede determinarse con:
donde, f1 y f2 son las frecuencias cíclicas que delimitan el ancho de banda.
Por otro lado, la técnica no paramétrica se aplicó para identificar los principales periodos de vibración de la estructura. De esta manera, las señales se procesan en el dominio de la frecuencia, mediante funciones que relacionan diferentes señales de entrada (excitaciones a las que está sometido un sistema) y salida (respuesta del sistema). Esto consiste principalmente en la obtención de espectros de amplitudes de Fourier y de espectros de respuesta, así como de funciones de transferencia y de coherencia.
El espectro de respuesta es una opción muy familiar en la ingeniería sísmica para la interpretación de señales, ya que a partir de este espectro es posible determinar la respuesta máxima que experimentan diferentes estructuras de un grado de libertad bajo un periodo fundamental de vibración.
El espectro de amplitudes de Fourier evalúa el contenido de frecuencias de cada registro de aceleración absoluta. Así, a cada registro de aceleración absoluta corregida, se le aplica la transformada rápida de Fourier de acuerdo con:
donde,
X(f):transformada de Fourier de la aceleración absoluta, :aceleración absolutaf:frecuencia cíclica,j=La transformada de la aceleración es una función compleja, la cual se puede ver más claramente si se rescribe la expresión 6 como,
Esto da como resultado el espectro de Fourier (f), el cual contiene una parte real y otra imaginaria de la forma (a+bj), donde los elementos pares contienen la parte real, y los impares la imaginaria (Bendat y Piersol, 1989). La norma o amplitud está dada por:
donde,
(f):parte real de la transformada de Fourier de la aceleración(f):parte imaginaria de la transformada de Fourier de la aceleración.Las funciones de transferencia H(f), se pueden obtener de tres formas, cocientes de las señales correspondientes a los espectros de Fourier, espectros cruzados y del autoespectro de una de ellas. Para el caso de esta investigación se utilizó la primera forma, la cual está dada por:
donde, son los espectros parciales de cada una de las señales.
Para determinar la correlación que existe entre los componentes frecuenciales de ambas señales, se recurre a la determinación del vínculo que existe entre la función del espectro de potencia cruzado (Gxy) y el producto de los espectros de potencia de cada señal (Gxx y Gyy), la cual está dada por:
donde, E es la esperanza de la transformada de Fourier, y T es el lapso de tiempo de la parte intensa del movimiento.
Mientras que la función de coherencia, que mide la relación que existe entre las señales de entrada y salida, se obtienen con la relación de funciones definida como:
Si el resultado es igual a uno significa que existe una relación completamente lineal entre las dos señales, mientras que en el caso de que sea cero significa que esta relación es nula.
Para el procesamiento y análisis de las señales de los registros sísmicos se empleó el programa DEGTRA (Ordaz y Dulche, 2014), así como programas desarrollados en MATLAB (2020).
Movimiento del terreno en el sitio
Para analizar las características del movimiento del terreno en el sitio a partir de los registros sísmicos, se calcularon cocientes espectrales entre el movimiento registrado en la base del puente (estación CC) y el movimiento de terreno firme de la estación CU. De acuerdo con Rosenblueth y Arciniega (1992), el cociente espectral es poco sensible a factores como la distancia epicentral y la magnitud del sismo, por lo que, de sismo a sismo, la forma de las funciones de transferencia no cambia de manera importante y, en consecuencia, se puede tener una apreciación más clara del periodo fundamental de vibración del terreno.
En el cálculo de dichos cocientes se consideraron eventos de la estación CU que coincidieran con los registrados por la red acelerométrica del puente, además de contemplar los de mayor intensidad medidos en la estación CC, conforme a la tabla 2. De esta manera se consideraron los siguientes eventos: 22 (20-marzo-2012), 35 (18-abril-2014), 36 (8-mayo-2014), 44 (8-septiembre-2017) y 45 (19-septiembre-2017). En la figura 14 se muestran los cocientes espectrales para estos eventos sísmicos, los cuales se obtuvieron para las direcciones N-S y E-W, así mismo se obtuvo la media cuadrática de las dos direcciones de movimiento (N-S y E-W).

Como se podrá notar en la figura 14, en la dirección N-S la amplitud pico se presenta para periodos entre 3.20 s y 4.30 s, mientras que en la dirección E-W oscila entre 4.20 s y 4.50 s. En tanto que con la media cuadrática se aprecia mejor consistencia en el periodo en la respuesta pico, de tal forma que con el cociente espectral promedio resulta de 4.25 s. También se observa una segunda forma modal de vibración del suelo, en la dirección N-S se aprecia alrededor de 2.70 s y en la dirección E-W oscila entre 2.5 s y 3.0 s, mientras que con la media cuadrática promedio se obtiene de 2.53 s. El periodo fundamental y el segundo del suelo son del orden a los obtenidos en el trabajo de Rivera-Vargas y Meli (2003), en donde, con dos sismos (15-junio-99 y 30-sep-99) estimaron un periodo fundamental del suelo de 4.35 s y para el segundo modo de vibración fue de 2.63 s.
Se deduce que el sitio presenta un periodo fundamental de vibración de 4.25 s, aproximadamente, y un segundo modo de vibración para un periodo del orden de 2.50 s, valores que resultan ser superiores a los fundamentales de vibración que pueden tener puentes urbanos como el Impulsora, que suelen ser inferiores a 0.5 s. Esta condición resulta benéfica para estas obras de infraestructura que se ubican en suelos de alta compresibilidad, dado que sus periodos de vibración al no tener similitud con los periodos del suelo, la estructura no experimenta amplificaciones importantes bajo un de efecto de resonancia.
Movimiento de la estructura
Con objeto de visualizar los eventos sísmicos que demandaron mayor respuesta en el tramo central del puente, zona instrumentada de la estructura, así como identificar posible amplificación de movimiento de la superestructura con respecto a la cimentación, se examinaron las aceleraciones máximas reportadas en la tabla 2.
En la figura 15 se comparan las aceleraciones máximas registradas en las estaciones TA, TC y CC, para cada una de las direcciones de movimiento del puente (T, L y V). Con el propósito de distinguir los niveles de aceleración máxima que alcanza la superestructura, éstas se representan mediante gráficas de barras a través de las estaciones TA y TC. En tanto la aceleración máxima demandada en la cimentación se representa con línea punteada, que se identifica con la estación CC. Con esta representación se puede distinguir la posible mayor demanda de aceleración que puede tener la superestructura con respecto a la cimentación.

Los eventos que demandaron mayores aceleraciones en la superestructura (TA y TC), direcciones L y T, fueron los eventos: 22, 35, 36, 44 y 45, con aceleraciones mayores a 25 gal, de los cuales el último fue el de mayor intensidad, alcanzando aceleraciones superiores a 100 gal (figura 15), que corresponde al sismo 19-septiembre-2017. Mientras que en la dirección V, los eventos de mayor demanda de aceleración fueron: 21, 39, 44 y 45, con aceleraciones superiores a 20 gal, al igual que en el caso de las direcciones horizontales el evento de mayor intensidad fue el 45, cuyas aceleraciones superaron los 50 gal; cabe comentar que la estación TC, ubicada en el centro del claro del puente, registró las mayores aceleraciones (figura 15).
En la dirección T se aprecia que la superestructura del puente (estaciones TA y TC) experimentó una ligera amplificación de movimiento con respecto a la cimentación (CC) durante algunos eventos sísmicos, principalmente en los de mayor intensidad, de tal manera que las aceleraciones registradas en la cubierta durante el evento 45 fue 16% superior con respecto a la medida en la cimentación. Mientras que en la dirección L se aprecia que el movimiento de la superestructura es prácticamente similar al de la cimentación, tal como se ilustra en la figura 15, por lo que se puede establecer que la estructura del puente tiende a responder como cuerpo rígido en esta dirección.
En la componente V, como se comentó anteriormente, el centro del claro del puente (estación TC) presentó las máximas aceleraciones en comparación con la trabe de apoyo (estación TA) y la cimentación (estación CC). Durante el evento 45, la trabe central amplificó su movimiento en más de dos veces con respecto al que presentó la cimentación (CC). Lo anterior hace notar la flexibilidad que ofrece dicha trabe en esta dirección, por lo que habrá que ponerle atención en sismos futuros ante posibles problemas de degradación de rigidez por efecto de fatiga cíclica.
Adicionalmente, para identificar los principales periodos de vibrar de la estructura se realizaron diversos análisis, tales como: espectros de Fourier, cocientes espectrales, funciones de coherencia y ángulos de fase. A continuación, se describe el análisis de la respuesta dinámica de la estructura en sus tres direcciones, T, L y V.
Dirección transversal (T)
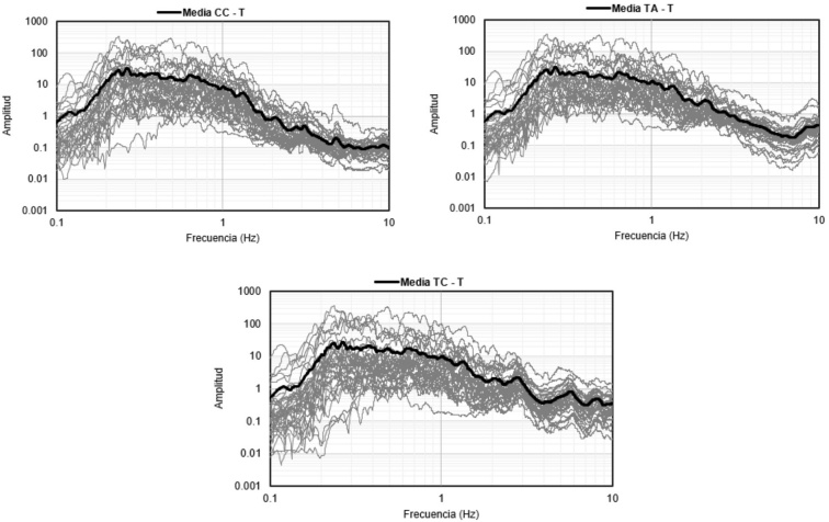
Se obtuvieron espectros de amplitudes de Fourier en la dirección T, con objeto de inferir de forma general la amplitud de movimiento de la estructura. En la figura 16 se muestran dichos espectros con su espectro promedio para las estaciones CC, TA y TC.

En esta figura se aprecia que de sismo a sismo tiende a mantener la misma forma el espectro de amplitudes de Fourier. Tomando como referencia los espectros promedio de CC, TA y TC, se observa que la frecuencia pico se presenta alrededor de 0.25 Hz (4.0 s) en las tres estaciones, cuya frecuencia es del orden a la que experimenta el terreno, lo cual hace notar que la superestructura (TA y TC) se mueve solidariamente con la cimentación (CC) en esta frecuencia. No obstante, para frecuencias mayores a 2 Hz (inferiores a 0.5 s) se aprecia una ligera amplitud en las estaciones TA y TC con respecto a la estación CC. Lo anterior, permite inferir que las frecuencias de vibrar del puente en la dirección T, se encuentran en un rango de frecuencias mayores a este valor.
Para identificar el periodo fundamental del tramo central del puente en la dirección T, se calcularon los cocientes espectrales TA/CC, TC/CC y TC/TA. Se consideraron estos cocientes espectrales en razón de la correlación que existe entre la respuesta de la estructura (TA y TC) y la excitación que la produce en su base (CC). En la figura 17 se presentan dichos cocientes espectrales para todos los eventos sísmicos con su respectivo cociente espectral promedio.

Como se podrá notar, en dichos cocientes se observan dos frecuencias pico bien definidas, de tal forma, que el primero de ellos se identifica en 2.50 Hz (0.40 s) para el caso del cociente espectral TA/CC, mientras que para los cocientes TC/TA y TC/CC se aprecia en 2.80 Hz (0.36 s), aproximadamente, lo que permite inferir que tanto el claro central (TC) y la zona de apoyo de las trabes (TA) tienden a vibrar dentro de este rango de frecuencias; así mismo, se observa otra frecuencia pico en estos cocientes espectrales alrededor de 5 Hz (0.20s).
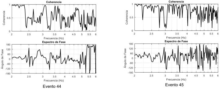
Para aclarar esta situación se obtuvieron funciones de coherencia (considerando un lapso de tiempo de 90 s) y ángulos de fase entre los registros de las estaciones TA y TC, para dos eventos, como se muestra en la figura 18. Se aprecia que para las frecuencias identificadas de 2.50 Hz, 2.80 Hz y 5.0 Hz, las coherencias son bajas en el evento 21, mientras que para el evento 45 (el de mayor intensidad), los valores de coherencia son superiores al 50 %, lo cual hace notar cierta tendencia de movimiento conjunto de TA y TC. Sin embargo, al revisar los ángulos de fase en estos rangos de frecuencia, se aprecian valores diferentes de cero, lo que denota movimientos desfasados de TA y TC, por lo que esta situación se puede atribuir a la segmentación de la superestructura por la presencia de los apoyos móvil y fijo.

Por lo tanto, los resultados de estos cocientes espectrales revelan la existencia de tres posibles formas modales; el primero se asocia a un periodo de 0.40 s, en donde, TA experimentan un movimiento de traslación en la dirección T, no obstante en la dirección V se aprecia un periodo de vibración de este orden, como se comentará más adelante, por lo que se tiene un posible acoplamiento de modos en estas dos direcciones; mientras que el segundo y tercer periodo de vibración en esta dirección T es de 0.36 s y 0.20 s, respectivamente.
Dirección longitudinal (L)
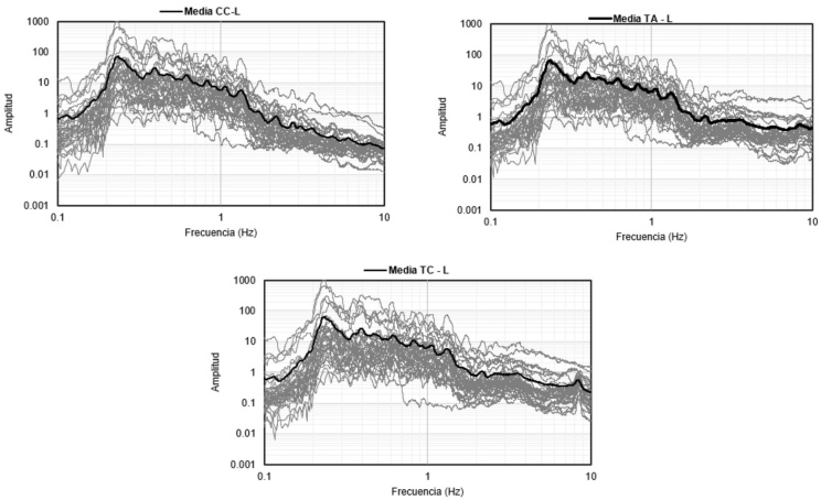
Para analizar la respuesta de la estructura en la dirección longitudinal se procedió a calcular los espectros de amplitudes de Fourier para los tres puntos de medición del puente (CC, TA y TC), como se muestra en la figura 19.

En los espectros de la figura 19 se observa que el movimiento de la estructura en los tres puntos de medición (CC, TA y TC) tienden a ser similares, de tal manera, que al considerar el espectro promedio de las tres estaciones, se aprecia que su frecuencia pico prácticamente es la misma, siendo de 0.23 Hz (4.34 s), similar a la del terreno, por lo que en esta dirección también se aprecia que la cubierta del puente (TA y TC) se mueve uniformemente con la cimentación (CC) en este rango de frecuencias. Sin embargo, para frecuencias superiores a 2 Hz, la cubierta (TA y TC) tiende a tener ligeras amplitudes de movimiento en relación con la base (CC), principalmente la estación TC, por lo que en este rango de frecuencias se pueden identificar posibles formas modales.
Para confirmar esta situación se calcularon cocientes espectrales, uno de ellos correspondió a TC/TA (figura 20), en la cual se identificaron algunos picos con una amplitud limitada; se aprecia un pico asociado a una frecuencia de vibración de 2.6 Hz (0.38 s), que es casi cercana a la frecuencia de vibración identificada en el tramo central del puente (TC) en la dirección vertical, como se verá más adelante. Este posible acoplamiento de las frecuencias de vibrar permite establecer que al mismo tiempo que la trabe central vibra en la dirección vertical, también experimenta un breve deslizamiento sobre la trabe de apoyo en la dirección longitudinal, como consecuencia del trabajo que desarrolla el apoyo móvil que conecta a dichas trabes, que al presentar una holgura sobre la dirección longitudinal le permite experimentar este movimiento (figura 6).

En la figura 20 también se aprecia un segundo pico, alrededor de 8.2 Hz (0.12 s). Esta frecuencia de vibración se relaciona con un movimiento de traslación de la trabe central, debido nuevamente al trabajo del apoyo móvil que permite el desplazamiento relativo de las trabes sobre esta dirección.
En la figura 21 se muestra el cálculo de los cocientes espectrales TA/CC y TC/CC para varios eventos sísmicos. El cociente TA/CC se puede apreciar que tiende a uno, a excepción de altas frecuencias en las que no se define una respuesta pico; esta situación se puede atribuir en parte, a que la estructura está restringida en esta dirección, por la serie de marcos que se tienen desde el arranque hasta el descenso del puente en toda su longitud, en consecuencia su posible excitación está supeditada al ligero movimiento que se puede dar a través del apoyo móvil que conecta a las trabes de apoyo y central, que favorece el movimiento en esta dirección. Lo anterior, se aprecia más claro en el cociente TC/CC, en donde, se identifica una respuesta pico en frecuencia alta, 8.4 Hz (0.12 s), que se asocia al trabajo del apoyo móvil y que confirma su grado de libertad en esta dirección.

Dirección vertical (V)
En el análisis del movimiento de la estructura en la dirección vertical, se siguió el mismo procedimiento descrito para el estudio de la respuesta dinámica en las componentes horizontales. Para comparar el movimiento que experimentan las trabes de apoyo (TA) y central (TC) en comparación con la cimentación (CC), se obtuvieron espectros de amplitudes de Fourier de estas estaciones para los eventos registrados junto con su espectro promedio, tal como se muestra en la figura 22.

En la figura 22 se aprecia que la trabe central (TC) experimenta mayor respuesta que la trabe de apoyo (TA) para una frecuencia de 2.5 Hz. Lo anterior pone en evidencia que el claro central de la cubierta ofrece flexibilidad en esta dirección, como suele ocurrir en este tipo de obras.
La amplificación de movimiento que presenta la trabe central del puente (TC) se aprecia de manera más clara en los cocientes espectrales TC/TA y TC/CC, como se ilustra en la figura 23, en donde, se observan dos frecuencias pico bien definidas, 2.5 Hz (0.40 s) y 5.5 Hz (0.18 s). La primera frecuencia guarda relación con el valor identificado en la trabe central (TC), dirección L, en razón del movimiento del apoyo móvil que se tiene entre las trabes de apoyo y central, dado que se identificó una frecuencia pico dentro de este rango.

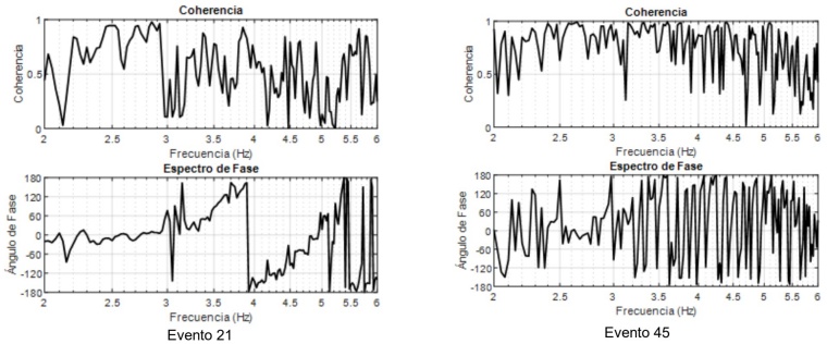
Para verificar lo anterior, se calcularon funciones de coherencia y ángulos de fase entre los registros de las componentes V y L, correspondientes a la estación TC, para los eventos 21 y 45, como se muestra en la figura 24. En esta figura se aprecia que para la frecuencia de 2.5 Hz se presenta una coherencia que alcanza hasta el 90%, con un ángulo de fase que tiende a cero, lo cual habla de un movimiento en fase de TC en las direcciones V y L, lo cual pone de manifiesto el efecto del comportamiento del apoyo móvil.

Así mismo, la frecuencia de 2.5 Hz (0.40 s) guarda relación con el movimiento de la trabe de apoyo (TA), dirección T, en donde se apreció una respuesta pico en esta frecuencia. Al igual que en el caso anterior, se obtuvieron funciones de coherencia y ángulos de fase entre los registros de TC (componente V) y TA (componentes T) para los eventos 21 y 45 (figura 25). De esta figura se observa que para la frecuencia de 2.5 Hz se presenta una coherencia superior al 50%, con un ángulo de fase diferente de cero, lo que permite inferir un acoplamiento de movimientos en una misma frecuencia, pero con fases opuestas en las direcciones V y T. Lo anterior permite inferir que la cubierta del puente (TA y TC) tiende a experimentar un movimiento de torsión alrededor de su eje longitudinal, debido al esviajamiento que presenta en planta de 14º, lo que motiva una excitación en la componente vertical acompañada con una vibración de traslación de los marcos de apoyo del puente en la dirección T, lo cual se ve reflejado en el cociente TA/CC (figura 17).

Periodos de vibración identificados
El estudio de la respuesta sísmica del tramo central del puente Impulsora en las tres direcciones (T, L y V), reveló que en general la estructura tiende a moverse solidariamente con el terreno durante frecuencias de excitación inferiores a 2 Hz (mayores a 0.50 s). Esta situación se atribuye a que se trata de una estructura rígida apoyada en un suelo blando. Sin embargo, se apreció cierto nivel de amplificación en las direcciones T y V, así como amplificaciones locales en la dirección L, de tal forma, que se pudieron identificar periodos pico asociados a formas modales de vibración, como se muestra en la tabla 3.

Amortiguamiento
Para evaluar el amortiguamiento estructural del puente se emplearon los métodos previamente descritos en este trabajo: paramétrico (Rinawi y Clough, 1992) y semi ancho de banda (Chopra, 2007). El cálculo de esta propiedad dinámica requiere de cocientes espectrales que tengan buena definición de la respuesta pico medida con los registros sísmicos, para que por un lado se realice un buen ajuste de la curva paramétrica y por el otro se identifiquen los puntos que delimitan el ancho de banda, de tal forma, que se puedan aplicar los métodos antes referidos, como se ilustra en las figuras 26 y 27.


De esta manera, en la dirección T se emplearon los cocientes espectrales TA/CC, TC/CC y TC/TA (figura 26); en tanto que para la dirección V se usaron los cocientes espectrales TC/CC y TC/TA (figura 27).
Se consideraron 37 eventos sísmicos para el cálculo del amortiguamiento en las direcciones transversal y vertical, debido a que algunas estaciones no funcionaron en ciertos eventos, como se puede apreciar en la tabla 2. En el caso de la dirección transversal, el amortiguamiento está supeditado esencialmente al comportamiento dinámico de las columnas, en donde se obtuvieron valores que oscilaron entre 0.04 y 0.06. Para tener mayor claridad sobre el valor predominante de esta propiedad se obtuvieron fracciones de amortiguamiento promedio para cada cociente espectral y por cada método usado, como se reporta en la tabla 4.

En lo que concierne a la dirección vertical, el amortiguamiento está referido a la respuesta de la trabe central en esta dirección, cuyos valores variaron entre 0.03 y 0.05. De igual forma, se estimaron fracciones de amortiguamiento promedio para cada cociente espectral y por cada método usado, cuyos valores se presentan en la tabla 5.

Conforme a los resultados obtenidos, se aprecia que los valores de los amortiguamientos son consistentes entre los métodos usados, al no presentar diferencias significativas. Por lo tanto, se puede establecer que el amortiguamiento del puente en la dirección transversal es en promedio del orden de 0.05, mientras que en la dirección vertical es de alrededor de 0.04. Estos valores son congruentes con algunos estudios como los de Calvillo et al. (2014) y Li et al. (2014), que reportan amortiguamientos medidos en puentes entre 0.01 y 0.05.
ANÁLISIS DE LA SEGURIDAD SÍSMICA
Con objeto de mostrar las ventajas que tiene la instrumentación sísmica de estructuras, se procedió a realizar el análisis de la seguridad sísmica del puente, al considerar que, con el conocimiento de los periodos de vibración medidos en la estructura, se puede calibrar el modelo matemático para obtener una mejor estimación de su respuesta dinámica. Para dicha calibración se puso énfasis en revisar la modelación de la rigidez lateral y masa, así como en los apoyos móvil y fijo en este tipo de puentes urbanos.
Se desarrolló un modelo numérico tridimensional del tramo central del puente (claro instrumentado), con apoyo del programa de análisis estructural SAP2000. De esta manera, las columnas del puente se discretizaron mediante elementos barra, en las cuales no hubo necesidad de reducir la rigidez por flexión, debido a que las columnas no han sido solicitadas a deformaciones de fluencia que den lugar a cierto nivel de daño que amerite una modificación importante en el momento de inercia de la sección. Esta situación se pudo verificar durante el sismo del 19-septiembre-2017, en donde la demanda de distorsión máxima que experimentaron las columnas fue de 0.0016, como se comentó al principio de este trabajo, y que de acuerdo a ensayes sísmicos de columnas de puentes, para estos niveles de distorsión es prácticamente nula la degradación de rigidez por flexión (Rivera-Vargas et al., 2023).
En lo que concierne a la superestructura, se modeló con elementos barra interactuando con elementos placa; en los elementos barra que representan las vigas, se consideraron secciones compuestas, al tomar en cuenta el trabajo conjunto de éstas con el firme de compresión. Los elementos placa se tuvieron que adicionar para tomar en cuenta el trabajo de diafragma de la cubierta. Dentro de las consideraciones de carga vertical y en consecuencia de masa que obra sobre la estructura, se contempló la carga debida al peso propio de los elementos estructurales, el firme de concreto, la carpeta asfáltica, las banquetas y se vio factible considerar una fracción de carga viva carril que propone el reglamento AASHTO (2020), por los argumentos que más adelante se discutirán.
Así mismo, en la calibración de este modelo fue relevante incluir elementos de unión entre las trabes de apoyo y trabe central que permiten representar el comportamiento elástico de los apoyos de neopreno, móvil y fijo, tomando como referencia los criterios de modelación de este tipo de apoyos, conforme al trabajo de Rivera-Vargas (2005).
Para el análisis sísmico se consideró el registro sísmico de la estación CC (cimentación), sismo 19-septiembre-2017, por considerar que fue el evento que generó mayores demandas sísmicas en el puente y también por la relevancia del mismo, de tal manera que es considerado como el sismo de intraplaca más cercano y dañino para la zona metropolitana del Valle de México, al menos en los últimos 100 años (Pérez-Campos et al., 2022); así mismo se tomaron como referencia las NTC-Sismo (2020) para efectos de determinar el espectro de diseño para un sitio específico. Ahora bien, conforme al Reglamento de Construcciones para el Distrito Federal (RCDF, 2017), los puentes son considerados estructuras del grupo A, por lo que las ordenadas espectrales de este espectro medido en la estación CC se incrementaron en 50% para efecto de evaluar su seguridad estructural (Figura 28).

Para verificar el grado de confianza de la respuesta dinámica del modelo, se realizó un análisis dinámico modal lineal del puente bajo estudio, obteniendo las formas modales y sus respectivos periodos de vibración. En la tabla 6 se comparan los periodos de vibración medidos y los calculados con apoyo del modelo matemático del puente. Como se podrá notar en dicha tabla, los valores de los periodos calculados son del orden de los medidos con los registros sísmicos, de tal forma, que su diferencia no supera el 6% de error. Por consiguiente, se puede establecer que el modelo hace una buena estimación de los principales modos de vibrar del puente en las tres direcciones ortogonales.

Para realizar el análisis de la seguridad sísmica del puente Impulsora, se procedió a revisar la capacidad de carga de las columnas con respecto a las demandas sísmicas del evento descrito previamente, al considerar que dichos elementos estructurales son vitales para resistir la carga lateral sísmica de la estructura.
Con base en el análisis dinámico modal espectral se obtuvieron los elementos mecánicos demandados en las columnas: cortante (transversal, VT; longitudinal, VL), carga axial (P) y momento flexionante (alrededor del eje transversal, MT; alrededor del eje longitudinal, ML). Se consideró tomar como representativa, la columna más crítica o con la mayor demanda en los elementos mecánicos. De esta manera, en la tabla 7 se ilustra los elementos mecánicos para diferentes combinaciones de carga de la columna crítica, ubicada en el apoyo 5, carriles centrales de la vialidad.

Para calcular la capacidad de las columnas por cortante y flexocompresión se tomó en cuenta las dimensiones de la sección, así como la distribución del refuerzo longitudinal y transversal que se describieron al principio de este trabajo. De igual forma, se usaron las especificaciones de las Normas Técnicas Complementarias para Diseño y Construcción de Estructuras de Concreto (NTC-Concreto, 2022), para el caso de evaluar la resistencia por flexocompresión, mientras que para estimar la correspondiente a cortante se usaron los criterios de la Norma AASHTO (2020) debido a que la estimación de esta resistencia es distinta a la que se emplea en edificios.
En lo que concierne a la resistencia por flexocompresión se obtuvieron los diagramas de interacción alrededor de los ejes transversal y longitudinal de la sección, como se muestra en la figura 29. Los Puntos indicados en rojo en estas figuras, corresponden a las combinaciones de carga axial (P) y momento flexionante (MT, ML) demandados. De dichos diagramas se puede observar que las demandas son pequeñas en comparación con la capacidad que tienen las columnas, siendo del orden de cinco veces más grande la capacidad a flexocompresión para la dirección transversal y tres veces para la dirección longitudinal.

Respecto a la capacidad por cortante se determinó que con la contribución del concreto y del acero, se alcanza una resistencia total de 530 t y 216 t en las direcciones longitudinal y transversal, respectivamente. Al comparar dichos valores con los cortantes actuantes máximos en la sección que resultaron de 85 t y 25 t, en las direcciones longitudinal y transversal, respectivamente, se aprecia que la capacidad es siete veces mayor a la demanda sísmica en cada dirección.
IMPLICACIONES EN EL ANÁLISIS Y DISEÑO SÍSMICO DE PUENTES
El análisis de los registros sísmicos de este puente permite establecer, en primera estancia, que cuando se trata de una estructura rígida, cuyo periodo de vibración fundamental es inferior a 0.5 s, desplantada sobre un suelo blando con un periodo de sitio del orden de 4 s, su respuesta está expuesta a una condición de riesgo sísmico baja; esta situación se atribuye a la lejanía que mantiene el periodo de la estructura con respecto a la respuesta espectral pico del sitio. Así mismo, la evaluación de la respuesta sísmica medida en esta estructura contribuye a reflexionar sobre algunos criterios de análisis y diseño sísmico en este tipo de obras de infraestructura, los cuales distan en gran medida de los que se emplean en los edificios, como se comenta a continuación.
Para tener una mejor representación de la respuesta sísmica en este tipo de estructuras, se exploraron algunos aspectos del análisis dinámico modal espectral, con base en el modelo matemático calibrado. De esta manera, se apreció que es primordial la modelación de la masa y la rigidez lateral.
La modelación de la masa se relaciona con la discretización de la superestructura, en donde, se consideró conveniente segmentar la cubierta por la discontinuidad que propician los apoyos fijo y móvil (figura 6), la cual resulta clave en la representación de diferentes modos de vibrar. Así mismo, resulta importante la modelación de los apoyos de neopreno y el perno que conecta las cubiertas, este último es determinante en el comportamiento como apoyo fijo o móvil, los cuales se pueden modelar con elementos barra, conforme al trabajo de Rivera-Vargas (2005).
De igual forma, dentro del esquema de modelación de la masa, se consideró factible considerar la carga móvil, adicional a la carga muerta, pese a que reglamentos internacionales como las normas AASHTO (2020) deja opcional su consideración en este tipo de análisis. Dicha carga resultó importante en el análisis dinámico modal espectral de este puente, sobre todo para reproducir los periodos de vibración medidos en las direcciones T y V; esta situación se puede atribuir a la gran afluencia de parque vehicular en el Valle de México ante los problemas de movilidad.
En la modelación de la rigidez lateral de la estructura, las columnas juegan un papel importante y en ese sentido la consideración de la rigidez por flexión es relevante para obtener periodos de vibración representativos de la estructura del puente. Para el caso de revisar puentes con cierto nivel de daño, asociado a un estado límite de diseño, la rigidez agrietada en columnas de puentes de concreto reforzado se puede estimar a partir del momento de inercia agrietado, con base en diferentes criterios que existen en la literatura, tales como, Priestley et al. (1996), ATC-32 (1996) y Rivera-Vargas, et al. (2023). En lo que concierne al puente estudiado no fue necesario considerar una rigidez agrietada en sus columnas, dado que el estado de daño es prácticamente nulo y su respuesta es elástica, como se observó durante el sismo del 19-septiembre de 2017.
En lo que respecta al amortiguamiento, en este puente la medición osciló entre 0.04 y 0.05 de la fracción del amortiguamiento crítico, mientras que estudios sobre el monitoreo de puentes reportan que este parámetro varía entre 0.01 y 0.05. En consecuencia, se puede considerar factible usar un amortiguamiento hasta del 0.05 para el cálculo de espectros de respuesta y/o de diseño, no obstante, el amortiguamiento en la superestructura del puente puede ser inferior al 0.05, como se apreció en este estudio.
En lo que se refiere al diseño sísmico, dado el peligro sísmico bajo al que se ve expuesto, se encontró que elementos estructurales como las columnas, poseen un amplio factor de seguridad ante un sismo intraplaca, como fue el evento 19-septimebre-2017. Esta observación es consistente con un análisis similar realizado por Rivera-Vargas (2005), en donde para un sismo de subducción, espectro de sitio con ordenadas espectrales incrementadas en un 50 % con respecto a un sismo tipo 19-septiembre-1985, se encontró que las demandas por flexocompresión están muy por debajo de la resistencia de las columnas.
Esta situación hace notar que este tipo de puentes se llegan a diseñar con aceleraciones espectrales superiores a las que realmente les demandarán, lo cual se debe a las incertidumbres en la estimación de la intensidad sísmica, por lo que buscan cubrirlas con valores altos. Sin embargo, las distorsiones demandadas en el puente ante el sismo 19-septimebre-2017, fueron inferiores a 0.002, lo cual dio lugar a un desempeño sísmico satisfactorio, toda vez que son niveles de deformación lateral que no implican daño en la estructura y garantizan su operación completa; condición que es deseable en este tipo de obras por la gran importancia que representan.
CONCLUSIONES
En este artículo se presentó el análisis de la respuesta sísmica medida en un puente urbano, con base en la interpretación de los registros sísmicos derivados de su instrumentación en su tramo central, a fin de obtener las propiedades dinámicas y calibrar un modelo tridimensional, para revisar los criterios de análisis y diseño sísmico en este tipo de obras de infraestructura.
Los criterios de modelación en este tipo de estructuras son fundamentales para mejorar la estimación de la respuesta sísmica a través de un análisis dinámico modal espectral, en donde, sus parámetros básicos son: masa, rigidez lateral y amortiguamiento.
En el caso de la masa, la superestructura de los puentes se debe discretizar adecuadamente. Así, en el puente urbano bajo estudio, se vio conveniente segmentar la cubierta por la presencia de apoyos fijo y móvil. Este tipo de apoyos definen la cantidad de masa inercial de la superestructura que participa en ciertas formas modales; por ejemplo, los apoyos móviles dan lugar a formas modales de vibración local de la cubierta tanto en las direcciones longitudinal como en la vertical, como se observó en el análisis de los registros. De igual manera, se vio factible considerar la carga móvil, adicional a la carga muerta, pese a que reglamentos internacionales como las normas AASHTO (2020) no la considera de manera rigurosa.
Ahora bien, en la modelación de la rigidez lateral, las columnas son los elementos estructurales principales que definen el valor de dicha propiedad. Por lo que es relevante considerar la rigidez agrietada por flexión, la cual se puede estimar con base en el momento de inercia agrietado y para ello se pueden usar diferentes criterios que existen en la literatura.
El amortiguamiento medido en este puente permitió tener una idea sobre los valores que prevalecen, a fin de ser considerados en los espectros para el análisis dinámico modal. Conforme a los resultados obtenidos, la fracción del amortiguamiento crítico medido en la dirección transversal fue en promedio de 0.05, mientras que en la dirección vertical resultó de 0.04.
En lo que concierne a los criterios de diseño se encontró que la estructura se ve expuesta a una condición de riesgo sísmico baja, por lo que posee un amplio factor de seguridad. Lo anterior hace notar que el puente fue diseñado con una aceleración espectral superior a la que realmente le será demandada, lo cual se atribuye a la incertidumbre en la estimación de la intensidad sísmica. Sin embargo, esta situación favorece que la estructura tenga un desempeño sísmico satisfactorio, de operación completa ante sismos de intensidad importante (19-septiembre-2017), lo cual resulta deseable en este tipo de obras, dada su importancia.
Finalmente, se recomienda mantener la instrumentación sísmica de este puente y la incorporación de más estaciones en: campo libre, cimentación y superestructura, para analizar el efecto cinemático de interacción suelo-estructura, efecto inercial de cabeceo de la estructura y modos de torsión en planta.
AGRADECIMIENTOS
Se agradece a la Dirección General de Asuntos del Personal Académico de la UNAM (DGAPA) por el apoyo recibido para el desarrollo de este trabajo de investigación como parte del proyecto PAPIIT IT101921 "Enfoque multivariado para mejorar la estimación del riesgo sísmico de las construcciones". De igual forma se reconoce el apoyo brindado por la Coordinación de Instrumentación Sísmica del Instituto de Ingeniería (I. de I. UNAM) para disponer de los registros sísmicos.
Así mismo, los autores agradecen a los revisores del artículo cuyas observaciones fueron de gran utilidad para mejorar el escrito.
REFERENCIAS
AASHTO (2020). American Association of State Highway and Transportation Officials. AASHTO LRFD Bridge Design Specifications.
Aguilar, G. y Alcocer, S. (1997). La instrumentación de la subestructura y la superestructura del puente vehicular Impulsora. Memorias del XI Congreso Nacional de Ingeniería Sísmica, Veracruz, Ver.
ATC-32 (1996). Improved seismic design criteria for California Bridges: Provisional recommendations. Report No. ATC-32, Applied Technology Council, Redwood City, California.
Bendat, J. S. y Piersol, A. G. (1989). Random data. Analysis and measurement procedure. Wiley Interscience, New York.
Caltrans (2008). Visual Inspection & Capacity Assessment of Earthquake Damaged Reinforced Concrete Bridge Elements. Report CA08-0284, Sacramento, CA. https://rosap.ntl.bts.gov/view/dot/27631
Calvillo, M. J., Huerta, C. I. y Espinoza, F. (2014). Caracterización de propiedades dinámicas de puentes usando vibración ambiental y modelado numérico: Caso de estudio, Puente Manantiales en Baja California, México, Rev. Int. de Desastres Naturales, Accidentes e Infraestructura Civil, 14(1). http://cicese.repositorioinstitucional.mx/jspui/handle/1007/917
Chopra, A. K. (2007). Dynamics of structures. Theory and applications to earthquake engineering. Pearson Prentice Hall. Tercera edición.
Li, P. F., Wang, Y. F., Liu, B. D. y Su, L. (2014). Damping Properties of Highway Bridges in China. Journal of Bridge Engineering, 19(5). https://doi.org/10.1061/(ASCE)BE.1943-5592.00005
MATLAB. (2020). Version 9.9.0.1495850 (R2020b). Natick, Massachusetts: MathWorks Inc. https://www.mathworks.com
Mendoza, M. J., Romo, M. P., Orozco, M., Domínguez, L., Velasco, M. y Noriega, I. (1997). Comportamiento de la cimentación del apoyo No. 6 del puente Impulsora, metropolitano, línea B, durante la operación y eventos sísmicos de 1997. Ciudad de México: Instituto de Ingeniería, CENAPRED.
Murià, D. et al. (2022). Comportamiento de estructuras instrumentadas. Capítulo del libro: Los sismos de septiembre de 2017. Editores: Alcocer y Rivera-Vargas. Sociedad Mexicana de Ingeniería Sísmica,
NTC-Cimentaciones (2023). Normas Técnicas Complementarias para Diseño y Construcción de Cimentaciones. Gaceta Oficial del Gobierno de la Ciudad de México.
NTC-Concreto (2022). Normas Técnicas Complementarias para Diseño y Construcción de Estructuras de Concreto. Gaceta Oficial del Gobierno de la Ciudad de México.
NTC-Sismo (2020). Normas Técnicas Complementarias para Diseño por Sismo. Gaceta Oficial del Gobierno de la Ciudad de México.
Ordaz, M. y Montoya, D. (2014). Programa DEGTRA. Instituto de Ingeniería, UNAM.
Pérez-Campos, X., Singh, S. K., Espíndola, V. H., Ramírez-Guzmán, L., Ordaz, M., Melgar, D. y Montalvo-Arrieta, J. C. (2022). Sismología y tectónica. Capítulo del libro: Los sismos de septiembre de 2017. Editores: Alcocer y Rivera-Vargas. Sociedad Mexicana de Ingeniería Sísmica.
Priestley, M. J. N., Seible, F. y Calvi, G. M. (1996). Seismic design and retrofit of bridges. John Wiley and Sons, Inc. DOI: 10.1002/9780470172858
RCDF (2017). Reglamento de Construcciones para el Distrito Federal. Gaceta Oficial del Gobierno de la Ciudad de México.
Rinawi, A. y Clough, R. (1992). Improved amplitude fitting for frequency and damping estimation. Prodeedings of the 10th International Modal Analysis Conference Society for Experimental Mechanics, Bethel, CT; 893-898.
Rivera-Vargas, D., y Meli, R. (2003). Respuesta sísmica medida en el puente vehicular Impulsora. Memorias del Congreso Nacional de Ingeniería Sísmica. León, Guanajuato: Sociedad Mexicana de Ingeniería Sísmica.
Rivera-Vargas, D. (2005). Diseño sísmico de columnas de puentes urbanos de concreto reforzado en la Ciudad de México. Tesis para obtención de doctorado. Ciudad de México: UNAM, Facultad de Ingeniería.
Rivera-Vargas, D., Flores, L., Godho, G. A., Robles, M. L., y López, S. E. (2019). Comportamiento experimental de columnas de puentes de concreto reforzado con moderada cuantía de refuerzo transversal. Monterrey, Nuevo León: Memorias del XXII Congreso Nacional de Ingeniería Sísmica.
Rivera-Vargas, D., Alcocer, S. M., Rodríguez, G., Aragón, J., Flores, L., López, S. E., Godho, G. A. y Sánchez, R. (2022). Desempeño sísmico de columnas de puentes urbanos. Informe elaborado para: Instituto para la Seguridad de las Construcciones, Gobierno de la Ciudad de México.
Rivera-Vargas, D., Heredia-Zavoni, E. A., Godho, G. y Sánchez, R. (2023). Diseño sísmico de puentes urbanos. Informe elaborado para: Instituto para la Seguridad de las Construcciones, Gobierno de la Ciudad de México.
Rosenblueth, E. y Arciniega, A. (1992). Response spectral ratios. Earthquake Engineering and Structural Dynamics, Vol. 21, 483-492. https://doi.org/10.1002/eqe.4290210603