Artículos de investigación
Caracterización de la Lámpara Flash-LED: EBNeuro Usada para Adquirir Potenciales Evocados Visuales en Ratas
Characterization of the Flash-LED Lamp: EBNeuro Used to Acquired Visual Evoked Potentials in Rats
Caracterización de la Lámpara Flash-LED: EBNeuro Usada para Adquirir Potenciales Evocados Visuales en Ratas
Revista mexicana de ingeniería biomédica, vol. 39, núm. 1, 2018
Sociedad Mexicana de Ingeniería Biomédica
Recepción: 27 Junio 2017
Aprobación: 08 Noviembre 2017
DOI: 10.17488/RMIB.39.1.2
Financiamiento
Fuente: SIEA-UAEMex
Fuente: CONACYT
Nº de contrato: 4348/2017/CI
Nº de contrato: CB-2011-01-169558
Resumen: La señal de la amplitud en análisis de Potenciales Evocados Visuales (PEVs) es una variable que depende del tipo y posición de los electrodos, de la fuente, del estímulo y por consecuente, de la intensidad luminosa por lo que es fundamental reportarla para cada diseño experimental y así, garantizar su reproducibilidad. El objetivo de este trabajo es caracterizar una lámpara con 96 LEDs para la adquisición de PEVs en ratas. Se midió la iluminancia y la intensidad luminosa promedio en un sistema espacial XYZ de 8 cm3 aplicable a un sistema estereotáxico para la fijación de ratas. Se realizaron desplazamientos cada 2 cm en cada plano. Se observó que debido a la distribución geométrica de los LEDs la distribución de la iluminancia no sigue la ley del inverso cuadrado, ya que aumenta conforme la lámpara se aleja. Finalmente, se seleccionó una coordenada para la colocación del ojo de la rata empleando una intensidad luminosa promedio para la adquisición del PEV de 1.043 cd e iluminancia de 128.77 luxes a una distancia ojo-lámpara de 9 cm. Una vez caracterizada la intensidad luminosa y de acuerdo con los PEVs obtenidos, esta lámpara puede utilizarse para estudios PEV en ratas en investigaciones posteriores.
Palabras clave: Lámpara Flash-LED, iluminancia, intensidad luminosa, Potenciales Evocados Visuales, ratas.
Abstract: Signal amplitude for recordings of Visual Evoked Potentials (VEPs) is a variable dependent on the type and position of the electrodes, the source, the stimulus and consequently the luminous intensity; therefore, it is relevant to report it to assure experimental reproducibility. The objective of this work is to characterize flash lamp with 96 LEDs in order to perform the acquisition of VEPs in rats. We measure the illuminance and mean light intensity on space system XYZ of 8 cm3 corresponding to a stereotaxic frame for rodents. Displacements were performed every 2 cm in each plane. Because of the geometric distribution of the LEDs in the EBNeuro lamp the spatial distribution of illuminance does not follow the law of the inverse square, because the illuminance increases as the lamp goes away. Finally a spatial coordinate was selected for the rat eye positioning were the mean luminous intensity was 1.043 cd and 128.77 luxes of illuminance at an eye-lamp distance of 9 cm. According to the obtained VEPs and spatial characterization this lamp can be used for acquire of recordings PEV in rats for further investigations.
Keywords: Flash-LED lamp, illuminance, luminous intensity, Visual Evoked Potentials, rats.
Introducción
Los Potenciales Evocados Visuales (PEVs) son pruebas neurofisiológicas que se consideran no invasivas y tienen como objetivo medir la integridad de la vía visual. El estudio se lleva a cabo registrando electrográficamente la actividad combinada de potenciales postsinápticos generados a nivel de la corteza estriada1-3.
Los PEVs han sido usados en investigaciones para estudios farmacológicos y en la evaluación de efectos neuroprotectores, ya que proporcionan un medio para monitorear la actividad neural y el procesamiento sensorial in vivo. Los PEVs han sido adquiridos en diversos modelos animales2. Sin embargo, las ratas son la especie más utilizada en laboratorio para estudios de PEVs, debido a que son de fácil acceso y poseen un ciclo de crecimiento corto4. Los registros de PEVs han sido descritos en la literatura considerando parámetros como el tipo de electrodo y la fuente de estimulación1-2,5-10. Sin embargo, hay escasos reportes en los que se ha medido la intensidad luminosa suministrada para la adquisición del registro de PEVs. Esto es muy importante ya que garantiza la reproducibilidad de los resultados de PEVs, independientemente del modelo experimental empleado. Actualmente se desconoce la caracterización espacial de la intensidad luminosa de una lámpara con un conjunto de múltiples LEDs, diseñada para estudios neurofisiológicos en seres humanos, la cual se empleará en la adquisición de PEVs en rata (marca EBNeuro-Italia).
El propósito de esta investigación fue caracterizar espacialmente la intensidad luminosa promedio de la lámpara Flash LED (marca EBNeuro-Italia) para evaluar si es apta como fuente de estimulación visual para la adquisición de PEVs en un modelo murino.
La metodología propuesta consiste en evaluar la distribución de iluminancia a partir de la colección de luxes a cada 2 cm de distancia en un espacio XYZ de 8 cm usando un marco estereotáxico para roedores. La intensidad luminosa promedio se calculó a la distancia más cercana y más lejana de la lámpara. Finalmente, a partir de los datos de iluminancia y de la intensidad luminosa promedio se obtuvo un PEV en rata.
Materiales y métodos
En primera instancia, fue necesario un medidor digital de luminancia (luxómetro HER-410, Japón), este instrumento cumple con el espectro de color estándar que establece la Comisión Internacional de Iluminancia (CII). El luxómetro cuenta con un fotodiodo de silicio con filtro como sensor con dimensiones de 83x52x20.5 mm y con una precisión de respuesta de +/- (5% + 2d)11.
El dispositivo empleado para estimulación visual fue la lámpara Flash LED stimulator (Modelo BE Plus, EBNeuro S.P.A, Italia) diseñada con propósitos médicos para la adquisición de PEVs acoplado a un sistema de registros electroencefalográficos (EEG). La lámpara es un estimulador fótico que genera flashes de duración corta de luz blanca por medio de 96 LEDs de estado sólido con una distribución rectangular y con dimensiones de 20.95x6.35x5.08 cm y un peso de 201.28 g. Los flashes se controlan desde el host de una PC típicamente sobre una tasa de repetición de entre 1 y 60 Hz. La lámpara emite un flujo luminoso estándar de 182.4 lúmenes. La duración de los flashes es de 5 ms (milisegundos). Sus interfaces son un cable macho TRIAD de 5 pines, una fuente de alimentación y la señal de control (disparador). La tasa de disparo de flashes es de 60 por segundo (control externo). Las respuestas a los estímulos visuales se registraron mediante un sistema electrográfico (EBNeuro, Italia) y se amplificaron con una configuración de filtros de paso de banda bajos y altos de 1 y 100 Hz, respectivamente (NEMUS 2 Amplificador, EBNeuro, Italia)12. Para el estudio se usó una tasa de disparo de flash de 100 Hz con una anchura de pulso de 20 ms.
El espacio tridimensional fue definido por un marco estereotáxico normalmente empleado para cirugía de roedores guiada mediante coordenadas (Kopf, Estados Unidos). La metodología propuesta para realizar la caracterización de la lámpara se divide en tres etapas, como se muestra en la Figura 1a.

La lámpara se colocó en la posición inicial o de origen (0,7,0) y a partir de este punto se realizaron los desplazamientos a cada 2 cm a lo largo de los planos XYZ, adquiriéndose 15 valores por cada posición. El luxómetro se fijó a la torre de estereotáxia a la altura del porta cánula; de esta manera se garantizó el libre movimiento a través del espacio en estudio. La colección de datos se realizó bajo alumbramiento natural del ambiente y se tomaron en cuenta los luxes iniciales para la corrección de la iluminancia por fondo.
El espacio definido del marco estereotáxico fue un cubo de 8 cm de longitud (ver Figura 1b).

Adquisición del Potencial Visual Evocado en rata
De acuerdo con la intensidad luminosa promedio evaluada, se seleccionó la iluminancia de 128.7 luxes correspondiente a una intensidad luminosa promedio de 1.043 cd observada a 9 cm de la lámpara en la coordenada (2, 9,-4) donde se colocó el ojo de la rata. Se seleccionó esta posición de la lámpara por tratarse de una posición fácilmente reproducible con base a referencias físicas del marco estereotáxico. Se adquirió un PEV a esta intensidad luminosa empleando ratas Wistar (n = 4) con peso de 230-260 g. Los animales se mantuvieron en cajas esterilizadas con camas de aserrín a 24 ± 1 °C de temperatura, 85% de humedad y ruido constante con periodos de luz/oscuridad de 12/12 h. La manipulación de los animales se realizó bajo las regulaciones especificadas por el Comité de Uso y Cuidado Animal del Instituto Nacional de Neurología y Neurocirugía Manuel Velasco Suárez y también de acuerdo con las reglas y regulaciones de la Norma Oficial Mexicana NOM-062-ZOO-1999. Los animales fueron anestesiados con una mezcla de ketamina: xilazina (80:10 mg/kg).
Mediante una intervención quirúrgica se implantó el electrodo de referencia y el electrodo activo. El electrodo de referencia fue colocado 5 mm antes de bregma y el electrodo activo 7 mm después de bregma y lateral a 3 mm de la línea media2. -El electrodo tierra se colocó en la oreja de la rata. Para garantizar una buena absorción de luz se colocó un midriatico (T-P Ofteno, Sophia) en el ojo izquierdo de la rata y se adaptó a oscuridad por 5 min, posteriormente se adquirió el PEV. Se analizó la latencia y la amplitud de los componentes PEV: P1, N1, P2, N2 y P3.
Análisis de resultados
Distribución de la iluminancia
Se estudió la distribución de la iluminancia de la lámpara sobre el espacio del marco estereotáxico usado en ratas y se encontró cómo la iluminancia cambia con la posición vertical o plano Z del luxómetro (de arriba- a abajo). La iluminancia mínima (92.57 ± 9.19 luxes) y máxima (546.90 ± 10.472 luxes) se encontraron a una distancia Y entre la lámpara y el luxómetro de 7 cm en las coordenadas (4,7-4) y (0, 7,4), respectivamente. La coordenada (4,7,-4) representa el extremo derecho de la lámpara a una distancia de 7 cm del luxómetro en la posición inferior del espacio y la coordenada (0,7,4) es el centro de la lámpara en X a 7 cm de distancia del luxómetro en la posición superior del espacio Z. La distribución de la iluminancia en el espacio XZ para cada valor de Y se muestran en las Figuras 2.1-2.5.

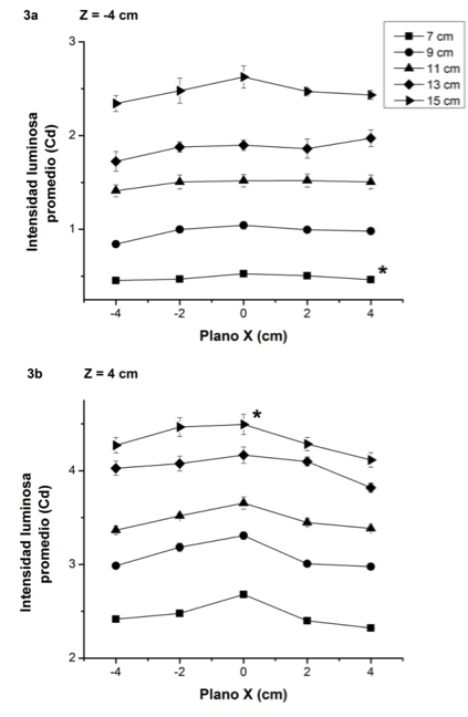
Distribución de Intensidad Luminosa Promedio
La intensidad luminosa promedio se calculó en unidades de candelas (cd) y fue la resultante del produco de la iluminancia (luxes) y la distancia al cuadrado entre la lámpara y el luxómetro (m2). En la Figura 3 se muestra la distribución de la intensidad luminosa promedio en el plano X con respecto a los valores extremos (superior e inferior) de la coordenada Z (z = 4 y z = -4, respectivamente). La intensidad luminosa promedio máxima y mínima fue de 4.494 ± 0.109 cd y de 0.455 ± 0.012 cd localizadas en las coordenadas (0,15,4) y (4,7,-4), respectivamente.

La coordenada (0,15,4) representa el centro de la lámpara en el plano X a 15 cm de distancia de la lámpara en la parte superior del espacio y la coordenada (4,7,-4) representa el extremo derecho de la lámpara a 7 cm de distancia a la lámpara de la parte inferior del espacio estereotáxico. Por lo tanto, la mayor cantidad de luz se concentra en la parte central del marco estereotáxico y disminuye conforme se aproxima a los extremos. A partir del punto de origen, la intensidad luminosa promedio se incrementa conforme la lámpara se aleja; hallando el valor máximo de intensidad a 15 cm de la lámpara y la mínima a 7 cm. El comportamiento antes descrito se visualiza en la Figura 3.
Potencial Visual Evocado en ratas
En la Figura 4 se muestra la traza de un PEV adquirido en rata y en la Tabla 1 se muestran los valores de latencia y amplitud de los componentes de PEV.


Discusión y conclusiones
Dentro del procedimiento para la adquisición de PEVs es fundamental proporcionar un valor de la intensidad luminosa que posee el estímulo visual para lograr iniciar la cascada sináptica que inicia en la retina y finaliza en la corteza visual, de esta manera poder colectar una traza electrográfica que permita realizar la evaluación de la vía visual en estudio. En el presente trabajo fue posible conocer la intensidad de luz promedio suministrada por la lámpara EBNeuro con un arreglo de 96 LEDs para la adquisición del PEV en ratas a partir de variables fotométricas como la iluminancia y la intensidad luminosa promedio.
La distribución de intensidad luminosa promedio de la lámpara Flash LED a través del marco estereotáxico muestra un fenómeno óptico que va aparentemente en contra de la ley del inverso al cuadrado de la distancia para fuentes puntuales de la luz (I α 1/r2), ya que la lámpara Flash LED EBNeuro tiene un arreglo geométrico definido (rectangular) de LEDs que se comporta como una fuente extendida. En el intervalo de 7 cm a 15 cm de distancia lámpara-luxómetro no logra comportarse como una fuente puntual. Por esta razón, el valor máximo de la iluminancia se encuentra a 15 cm y no a 7 cm como debiera esperarse al existir menor distancia entre la lámpara y el medidor lumínico. A menor distancia de la lámpara hay una menor iluminancia ya que hay menor contribución de los 96 LEDs y viceversa a 15 cm. Si la cuantificación de iluminancia se realizara a distancias mayores de 15 cm seguramente la iluminancia aumentaría hasta lograr que la lámpara se considere una fuente puntual y así, la iluminancia sería proporcional al inverso del cuadrado de la distancia.
La latencia de los componentes tardíos (N2 y P3) de los PEV en ratas muestran una variabilidad que puede deberse a la forma de metabolizar la anestesia la cual es variable entre cada animal y ante el estímulo visual de luz blanca puede estimular el nivel de conciencia. Sin embargo, la desviación estándar observada es similar a los reportados en otros modelos experimentales en roedores previamente publicados2. En la Tabla 1 se muestra una comparación de valores obtenidos de latencia y amplitud con los reportados en la literatura. La forma del potencial registrado electrográficamente (Figura 4) y los valores de latencia para los diferentes picos son similares a los reportados por You et. al.2 Claramente se observan diferencias en la amplitud, las cuales pueden deberse a las diferencias del estímulo empleadas en la intensidad luminosa, ya que en éste trabajo se utilizó una intensidad luminosa promedio de 1.043 cd y You et. al. emplearon una intensidad de 3 cd observándose por ello, un claro incremento en la amplitud de la respuesta como es de esperarse. También pueden influir otras variables como el tipo y posicionamiento del electrodo usado, la fuente de estimulación, el tipo de anestesia o el diseño experimental.
Otro punto importante, es el medidor de luz utilizado en la presente investigación, el cual es un instrumento sencillo, de bajo costo y empleado principalmente para propósitos fotográficos, sin embargo, comprobamos que puede arrojar datos confiables. Para demostrarlo, se cuantificó la intensidad luminosa promedio a 15 cm con nuestro diseño experimental y se comparó con el valor reportado en la literatura2 siendo de 3,39 ± 0.57 cd y de 3 cd, respectivamente.
Finalmente, con la metodología propuesta se logró la caracterización de las variables fotométricas como la iluminancia y la intensidad luminosa promedio de la lámpara Flash LED: EBNeuro dentro del espacio tridimensional del marco estereotáxico empleado para estudios en ratas bajo anestesia. La caracterización espacial de la intensidad luminosa promedio y la adquisición de PEVs en ratas mostraron que la lámpara puede ser usada como fuente de estimulación visual en un modelo murino para estudios de investigación.
Agradecimientos
Se agradece a la SIEA-UAEMex por el apoyo recibido mediante el proyecto 4348/2017/CI. Así como al CONACYT a través del proyecto CB-2011-01-169558 y a la beca de doctorado otorgada a la alumna con número de CVU: 473019.
Referencias
1. J. Charng, C.T. Nquyen, Z. He, T.M. Dang, A.J. Vinqrys y R.L. Fish, “Conscious wireless electroretinogram and visual evoked potentials in rats,” Public Library of Science, vol. 8, pp. e74172, 2013. DOI:10.1371/journal.pone.0074172. eCollection 2013.
2. Y. You, A. Klistorner, J. Thie y S.L. Graham, “Improving reproducibility of VEP recording in rats: electrodes, stimulus source and peak analysis,” Documenta ophthalmologica. Advances in ophthalmology, vol. 123, pp. 109-119, 2011. Epub 2011 Sep 10. DOI: 10.1007/s10633-011-9288-8.
3. O. Creutzfeldt, K. Maekawa y L. Hosli, “Forms of spontaneous and evoked postsynaptic potential of cortical nerve cells,” Progress in brain research, vol. 31, pp.X 265-273, 1969. DOI: 10.1016/S0079-6123(08)63245-8
4. Y. You, J. Thie, A. Klistorner, V.K. Gupta y S.L. Graham, “Normalization of visual evoked potentials using underlying electroencephalogram levels improves amplitude reproducibility in rats,” Investigative ophthalmology & visual science, vol. 53, pp. 1473-1478, 2012. DOI: 10.1167/iovs.11-8797.
5. C.T. Nguyen, T.I. Tsai, Z. He, A.J. Vingrys, P. Lee y B.V. Bui, “Simultaneous recordings of electroretinography and visual evoked potentials in anesthetized rats,” Journal of visualized experiments: JoVE, pp. e54158, 2016. DOI: 10.3791/54158.
6. A. Sarkadi y Z. Inczefly, “Simultaneous quantitative evaluation of visual evoked responses and background EEG activity in rat: normative data,” Journal of pharmacological and toxicological methods, vol. 35, pp. 145-151, 1996.
7. A.Y. Göçmen, A. Celikbilek, G. Hacıoğlu, N. Tanık, A. Ağar y P. Yargıcoğlu, “The relationship between oxidative stress markerkers and visual evoked potentials in different hypertension models,” Anadolu kardiyoloji dergisi, vol. 14, pp. 498-504, 2014. DOI: 10.5152/akd.2014.4923.
8. H.Q. Yan, M.L. Mazow y N. Dafny, “Monocular visual deprivation at the critical period modulates photic evoked responses,” Brain research bulletin, vol. 36, pp. 545-548, 1995.
9. Y. Iwamura, Y. Fujii y C. Kamei, “The effects of certain H1-antagonists on visual evoked potential in rats,” Brain research bulletin, vol. 61, pp. 393-398, 2003.
10. J.R. Haynes, “Radiaton resulting from the recombination of holes and electrons in silicon,” Physical review, vol. 101, pp. 1676-1678, 1956.
11. Descripción del medidor digital de luminosidad (luxómetro) HER-410. Disponible en: http://www.steren.com.mx/medidor-digital-de-luminosidad-luxometro.html
12. Descripción de la lámpara Flash EBNeuro. Disponible en: https://www.accessdata.fda.gov/cdrh_docs/pdf10/K101691.pdf
Notas de autor
Autor de correspondencia: Miguel Ángel Camacho López. Universidad Autónoma del Estado de México (UAEMéx) Laboratorio de Fotomedicina, Biofotónica y Espectroscopia Láser de Pulsos Ultracortos, Facultad de Medicina, Universidad Autónoma del Estado de México, Jesús Carranza y Paseo Tollocan S/N, C.P. 50120, Toluca, Estado de México, México. macamachol@uaemex.mx