PROPIEDADES EDÁFICAS DE PARCELAS CULTIVADAS CON MILPA USANDO LABRANZA MÍNIMA EN LA SIERRA DE OAXACA, DONDE CRECÍA BOSQUE MESÓFILO DE MONTAÑA
EDAPHIC PROPERTIES PLOTS CULTIVATED WITH MILPA USING MINIMUM TILLAGE IN THE MOUNTAINS OF OAXACA, WHERE THERE WAS MOUNTAIN CLOUD FOREST
PROPIEDADES EDÁFICAS DE PARCELAS CULTIVADAS CON MILPA USANDO LABRANZA MÍNIMA EN LA SIERRA DE OAXACA, DONDE CRECÍA BOSQUE MESÓFILO DE MONTAÑA
Polibotánica, núm. 41, pp. 133-151, 2016
Instituto Politécnico Nacional
Recepción: 20 Agosto 2014
Aprobación: 23 Noviembre 2016
Resumen: Se evaluó la fertilidad del suelo de los primeros 20 cm de seis parcelas y de un bosque mesófilo de montaña (BMM) aún conservado, en Santa María Chilchotla, al norte de Oaxaca, donde predomina el bosque mesófilo de montaña (BMM) y se cultiva maíz criollo. Los suelos están en ladera, son someros, pedregosos y no son aptos para la agricultura. Los rendimientos son bajos, los mazatecos realizan prácticas culturales tradicionales como mínima labranza, ya que el terreno no permite introducir yunta o tractor, los campesinos no queman, y no usan agroquímicos. Se hizo un muestreo del suelo al azar obteniendo muestras compuestas, se analizaron propiedades físicas, químicas y biológicas. Los resultados mostraron que son suelos de textura media, el pH del BMM es extremadamente ácido (4.5) y en las parcelas varió de 5 a 6.9, el carbono orgánico es alto de 24 a 100 g kg-1, el nitrógeno total varió de 1.4 a 8.3 g kg-1 con valores medios y altos, el fósforo asimilable fue bajo con excepción de la parcela tres, la CIC fue de 8.8 a 36 cmoles(+) kg-1. Tienen alto contenido en hierro de 20.26 a 94.18 mg kg-1 sobresaliendo el BMM igualmente, con alto contenido en cobre, cinc y manganeso. El análisis de varianza (ANDEVA) mostró una diferencia significativa (р < 0.5) entre las medias de las propiedades del suelo y los suelos analizados con excepción del sodio. Se aplicó la prueba de comparación múltiple de Tukey. Se aislaron hongos micorrízicos arbusculares de diferentes especies de macetas trampa. Se concluye que los suelos de la mayoría de las parcelas son fértiles, son pobres en fósforo pero todo indica que los HMA lo suplen; no se apreció degradación física de los suelos, sus limitantes son la pedregosidad y sus pendientes pronunciadas. La práctica de mínima labranza, las barreras de piedras que afloran en la superficie y los tocones que dejan de helechos arborescentes evitan procesos erosivos. Se propone incrementar la producción de maíz experimentando con fertilizantes químicos. Para preservar el BMM se recomienda aprovechar su riqueza biológica y etnobotánica, con la captación de carbono los mazatecos pudieran recibir un beneficio económico.
Palabras clave: bosque mesófilo de montaña, milpa, fertilidad, suelo, maíz, mazatecos.
Abstract: Soil fertility in the first 20 cm of six plots and a cloud forest (MCF) still preserved in Santa María Chilchotla, north of Oaxaca, where the predominant MCF and grown landraces were evaluated. The soils are on slopes are shallow, rocky and not suitable for agriculture. Yields are low, the Mazatec perform traditional cultural practices such as minimum tillage as the terrain does not allow entering tractor or oxen, farmers do not burn, and do not use chemicals. Soil sampling randomly obtaining composite samples were made physical, chemical and biological properties were analyzed. The results showed that are medium textured soils, the pH of the MCF is extremely acid (4.5) and in the plots ranged from 5 to 6.9, organic carbon is high from 24 to 100 g kg-1, total nitrogen ranged from 1.4-8.3 g kg-1 medium and high values, available phosphorus was low with the exception of the plot three, the CEC ranged from 8.8 to 36 cmolesc kg-1. They have high iron content of 20.26 to 94.18 mg kg-1 on BMM standing there also high in copper, zinc and manganese. Analysis of variance (ANOVA) showed a significant difference (р < 0.5) between the means of soil properties and soil analyzed than sodium. The multiple comparison test of Tukey was applied. Trap pots mycorrhizal fungi were isolated from different species. It is concluded that the soils of most of the plots are fertile, they are poor in phosphorus, but everything indicates that they make up the AM fungi; no physical degradation was observed, its major limitation is the stoniness and steep slopes. The practice of minimum tillage, barriers of rocks that outcrop at the surface and leaving stumps of tree ferns prevent erosion. It aims to increase maize production experimenting with chemical fertilizers. To preserve the MCF recommends building their biological and ethnobotanical wealth, carbon sequestration Mazatec could receive a financial benefit.
Keywords: cloud forest, soil fertility, milpa, maize, Mazatec.
INTRODUCCIÓN
El bosque mesófilo de montaña (BMM) en México ocupa menos del 1% del territorio nacional, siendo el tipo de vegetación de menor superficie a nivel mundial debido a que sus condiciones climáticas se encuentran en zonas restringidas, por lo que su distribución es limitada y fragmentaria. Se localiza a lo largo de la vertiente este de la Sierra Madre Oriental, desde el sur de Tamaulipas hasta el norte de Oaxaca y en algunas áreas del Macizo Central y la Sierra Madre de Chiapas (Rzedowski, 1981). De acuerdo a CONABIO (2010) se tiene un área de 8 809 km2 de la cual alrededor del 50% ha tenido cambios de uso del suelo.
El ambiente de este ecosistema tropical se caracteriza por precipitaciones medias anuales no inferiores a 1 000 mm y que puede exceder los 3 000 mm. Son frecuentes las neblinas y alta humedad atmosférica. La temperatura media anual varía de 12 a 23°C. El BMM se desarrolla en regiones de relieve accidentado y laderas de pendientes pronunciadas, así como cañadas protegidas del viento y de la insolación.
El BMM se destaca por contener la mayor diversidad florística por unidad de superficie, y por albergar aproximadamente el 10% de la riqueza vegetal del país (Munn-Estrada, 2005). Debido a las condiciones climáticas favorables y a pesar de lo abrupto del terreno, muchas áreas del bosque en México han estado densamente habitadas y sometidas a una intensa explotación desde hace siglos. La tenencia de la tierra tiene influencia directa con la cobertura forestal a nivel regional y local debido a que más del 60% de los bosques están en terrenos de propiedad social (Madrid et al., 2009; Velasco et al., 2014), pertenecen a ejidos o comunidades de esa localidad, de modo tal que los bosques son comunitarios, donde los dueños legales disponen sobre el uso y manejo de la tierra (Bray, 2013). Oaxaca no es la excepción, el 82% de sus bosques están en terrenos de propiedad social (Durán et al., 2012) y es considerado uno de los estados con mayor biodiversidad en el país (García et al., 2004).
El subtrópico húmedo montañoso alberga bosques mesófilos que continuamente son alterados por el hombre. Estos bosques comúnmente son destruidos para establecer la milpa, un sistema agrícola itinerante de roza-tumba-quema donde el cultivo principal es el maíz, al que se asocian otras especies domesticadas como frijol, calabaza, chiles, tomates, entre otros. Ahí también se aprovechan plantas que crecen de manera natural, principalmente especies herbáceas o “quelites”. La integración del maíz con otros cultivos asociados y la utilización de otras especies a llevado a considerar a la milpa como un sistema complejo, donde se aprovechan de manera complementaria los diferentes recursos del ambiente. En este ecosistema se favorecen interacciones ecológicas benéficas como son el control biológico de insectos, fijación de nitrógeno e interacciones micorrízicas.
Los suelos forestales donde cultivan la milpa al agotar su fertilidad son abandonados y repoblados en forma natural por bosques secundarios, la influencia de estos cambios en las propiedades del suelo es desconocida. Bautista-Cruz et al. (2005) en un estudio cronológico encontraron que con el tiempo se incrementó la acidez así como el contenido de materia orgánica. La práctica de la tala para introducir milpa en algunos sitios es milenario (Parsons et al., 2009) en México se han hecho algunos estudios (Bermeo et al., 2014; Velasco-Murguía et al., 2013; Ponce-Reyes et al., 2012; Bautista-Cruz et al., 2012; Parsons et al., 2009; Ochoa-Gaona & González-Espinosa, 2000), aunque de la zona de estudio, no hay aportaciones sobre suelos.
El objetivo del presente trabajo consistió en evaluar la fertilidad del suelo de seis parcelas y de un BMM en Santa María Chilchotla, Oaxaca, donde los mazatecos cultivan con mínima labranza, maíz criollo, frijol y café, no practican la quema de la vegetación original, hacen rotación periódica de parcelas, no fertilizan químicamente y el relieve consiste de laderas pedregosas con más de 30% de pendiente. La erosión hídrica se ve disminuida por las barreras naturales que forman las rocas blanquecinas y los tocones que quedan diseminados en las parcelas como helechos arborescentes y otras plantas que son útiles para los lugareños por ser comestibles o medicinales. Por lo antes expuesto los suelos someros y escasos nunca quedan desnudos como en otros sistemas agrícolas y la siembra se hace con una vara llamada coa o bien con puntas de metal (figs. 6 y 7).
También se hizo un análisis preliminar para conocer los hongos micorrízicos arbusculares (HMA) de sus suelos.
Respecto a los antecedentes de la zona de estudio se tienen algunos trabajos florísticos (Munn-Estrada, 2005) donde destacan la gran biodiversidad de plantas del BMM de la Sierra Mazateca de Oaxaca. Con relación a los suelos Krasilnikov et al. (2007) hicieron un estudio de la pedogénesis y procesos de pendiente en áreas montañosas subtropicales de la Sierra Sur de Oaxaca, aunque no abarca la región de Chilchotla, aporta datos interesantes como el hecho de que hay una gran diversidad de suelos que se atribuye a procesos activos de ladera, inducidos por sismos y lluvias fuertes, la mayoría de los perfiles estudiados presentan sedimentos por procesos de ladera (deslizamientos, coluviación y acumulación de materiales transportados por erosión laminar y de cárcavas) con excepción de laderas rectas muy inclinadas donde la pérdida de material es más intensa. Vergara-Sánchez et al., (2005) hicieron un estudio de la fertilidad de los suelos de ladera de la Sierra Norte de Oaxaca, donde comentan que esta región ha cambiado el uso de la tierra, de forestal a agrícola incorporando al cultivo del maíz áreas de laderas originalmente arboladas con elevadas pendientes (20 a 60%). Las laderas cubren alrededor del 80% de la superficie agrícola de Oaxaca, se practica una agricultura tradicional, con pocos recursos tecnológicos y limitada productividad agrícola; el uso de fertilizantes y otros insumos es escaso o nulo. Lo anterior se atribuye a las condiciones socioeconómicas y a la falta de información sobre la fertilidad de los suelos de la región.
Vergara-Sánchez et al. (2005), trabajaron tres regiones: la mazateca, la cuicateca y la mixe, donde había un antecedente del Proyecto Manejo Sustentable de Laderas (PMSI) (Vergara et al., 2004) citado por ellos. En sus resultados reportan particularmente para la zona mazateca de nuestro interés, pH muy ácido de 5.2, lo cual lo atribuyen a la escasez de bases intercambiables (Na, K, Ca y Mg) y a la presencia de aluminio intercambiable. En suelos de la región mazateca se encontró la mayor cantidad de sodio intercambiable (0.28 cmoles(+) kg-1), pero no es un problema, por otro lado Ca, Mg, K y fósforo asimilable fueron valores bajos, en materia orgánica son muy ricos de 6.4% (a la profundidad de 40 cm), concluyen que estos suelos presentan serias restricciones químicas que limitan los rendimientos de los cultivos.
Vergara-Sánchez et al. (2004) hicieron una valoración del carbono orgánico en suelos (COS) de ladera del SE de México, en la cuenca mazateca encontraron valores de de 0.7 a 11.6% (de 0-20 cm) y mencionan que la variabilidad espacial del porcentaje de COS de ladera de la Sierra Norte de Oaxaca fue considerable, indicando que las prácticas de manejo propias de cada sistema, afectan la variabilidad del carbono orgánico, permitiendo valorar de manera indirecta, el efecto de ésta sobre la dinámica y potencial del secuestro de COS.
MATERIAL Y MÉTODOS
Zona deestudio
Santa María Chilchotla es uno de los municipios que conforman la Región de la Cañada en el estado de Oaxaca, pertenece al distrito de Teotitlán de Flores Magón (fig. 1). Se encuentra al noreste de la capital del estado, se localiza a 18° 13´ 56´´ latitud norte y a 96° 49´45´´ longitud oeste, a una altitud de 1400 m s.n.m. en la cabecera municipal, pero oscila entre los 150 y 1 960 m s.n.m. El municipio al sur colinda con San José Tenango y Huautla de Jiménez; al norte el estado de Veracruz; al sur con San Antonio Eloxochitlán y el estado de Puebla.


El clima varía en función de la altitud de cálido húmedo (150-850 m s.n.m.), temperatura promedio anual de 22°C, semi-cálido húmedo (850-1 350 m s.n.m.) con temperatura promedio anual de 18°C, y templado subhúmedo (1 350-1 800 m s.n.m.) temperatura promedio anual de 12°C; la mayor precipitación es durante el verano de 4 245 mm a 5500 mm.
De acuerdo a los climas en el municipio de Santa María Chilchotla predomina el bosque mesófilo de montaña, selva alta perennifolia y subperennifolia, de manera fragmentada por el cambio de uso de suelo y crecimiento de vegetación secundaria.
La fisiografía corresponde a la provincia de Sierra Madre del Sur, subprovincia Sierras Orientales, sistema de topoformas principalmente de sierra de cumbres tendidas. La geología pertenece principalmente al período Cretácico, le sigue Paleógeno y en menor proporción del Cuaternario. Las rocas que predominan son sedimentarias de tipo caliza, lutita-arenisca y lutita. Los suelos que predominan son Luvisoles y Leptosoles y en menor superficie los Regosoles y Vertisoles. Pertenece a la región hidrológica del Papaloapan y a la cuenca del mismo nombre. El uso del suelo y vegetación es de bosque y selva, agricultura y pastizal cultivado, la agricultura manual continua es de 21.92% y las zonas no aptas para la agricultura ni para uso pecuario ocupan el 55.37% (INEGI, 2009).
Muestreo y análisis delsuelo
Para el estudio de la fertilidad del suelo se seleccionaron seis parcelas donde se practica la agricultura de conservación con labranza mínima, donde se cultiva milpa y que tienen como antecedente que no practican la quema, ni aplican pesticidas ni fertilizantes, además de conservar en la parcela algunas plantas procedentes del BMM, por ejemplo, tocones de helechos arborescentes; como punto de referencia comparativo también se muestreó un área de bosque mesófilo de montaña. Se llevó a cabo un muestreo al azar de los primeros 20 cm de profundidad que comprende la “capa arable”, se tomaron tres muestras compuestas conformadas por cinco submuestras, obtenidas en cada tercio de la parcela a las mismas profundidades. Las muestras se secaron al aire y se tamizaron por una malla de 2 mm. de acuerdo a SARH (1988), Jackson (1976), y Van Reeuwijk (1999). Se determinó: textura (Bouyoucos), densidad aparente (por parafina) y densidad real (usando picnómetro), pH (en agua desionizada y en KCl en una realción 1:2), materia orgánica y carbono orgánico (por combustión húmeda Walkley & Black), nitrógeno total (Kjeldahl), fósforo asimilable (Brey I), capacidad de intercambio catiónico (CIC) (versenato), bases extraíbles (con acetato de amonio; Ca y Mg por versenato y Na y K por flamometría de emisión), Fe, Cu, Zn y Mn (extracción con DTPA por absorción atómica), color en seco y en húmedo (Munsell, 2000).
Se hizo un análisis estadístico, se calculó la media, varianza, desviación estándar, valor mínimo y máximo de las propiedades de los suelos en las diferentes parcelas por medio de un análisis de varianza no paramétrico de Kruskal Wallis y la prueba de comparaciones múltiples de Tukey, con una significancia < 0.05.
Realización de macetas trampa para propagar hongos micorrízicos arbusculares(HMA)
El ensayo en invernadero consistió en hacer una mezcla del suelo de las seis parcelas y del bosque mesófilo, se colocaron 100 g de suelo y 400 g de arena de cuarzo y se sembraron 12 macetas de plástico con maíz criollo (tepezintle) procedente del mismo municipio de Chilchotla. Después de tres meses y medio se aislaron las esporas por el método de decantación en húmedo (Gerderman & Nicolson (1963); y Álvarez-Sánchez et al. (2008); se separaron por un gradiente de sacarosa y se hicieron preparaciones fijas en portaobjetos con PVLG (alcohol polivinílico, ácido acético y glicerol), con base en Brundrett et al. (1996) e INVAM y se fotografiaron con un fotomicroscopio Olympus. La identificación de los HMA se realizó con la ayuda de claves taxonómicas y haciendo comparaciones con las descripciones de la Internacional Culture Collection (Vesicular) Arbuscular Mycorrhizal Fungi (INVAM) y SchüBler & Walker (2010).
RESULTADOS
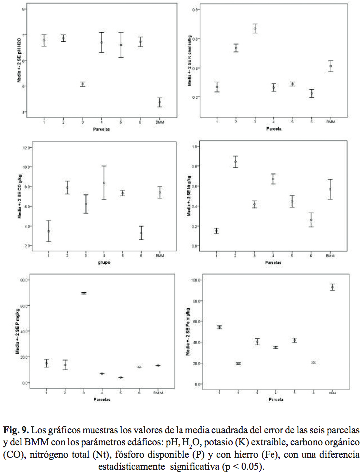
Los resultados de los análisis físicos, químicos y físico-químicos de suelo se presentan en la tabla 2, los colores son de matiz amarillo (Y) con excepción de la P4 (Trinidad 2) que es amarillo rojizo (YR). Las parcelas de color más claro son P1 y P6. Como se aprecia en dicha tabla hay una relación entre el color y el contenido de materia orgánica (MO) y en consecuencia del carbono orgánico (CO), se observa melanización tanto en el BMM como en las parcelas P2 a la P5. El contenido de MO es alto en todas las parcelas y el BMM con valores de 48 a 200 g kg-1.
La textura varía de franco limoso en la P1, franco en la P2, P6 y BMM, y areno-franco en P3, P4 y P5. Los sitios con mayor (%) de arcilla se obtuvieron en la P1 y en el BMM. La densidad aparente varió de 1.08 a 1.46 g cm-3 indicando que no hay compactación y sus valores concuerdan con la clase textural y al contenido de MO. La porosidad tiene valores bajos y medios de 32 a 47.48 %.
Con relación a la reacción del suelo hay una correlación entre la acidez actual y la potencial. La P3 y el BMM presentaron el valor más bajo de 5.0H2O-4.5KCl (fuertemente ácido) y de 4.3H2O-4.1KCl (extremadamente ácido), respectivamente. Hay una diferencia significativa (ρ < 0.05) entre el BMM y P3 con el resto de las parcelas que son de pH ligeramente a moderadamente ácido.
Su contenido en nitrógeno total es alto en casi todas las muestras, la P1 y P6 son las más pobres con 1.4 y 2.1 g kg-1, el valor más alto es el de la P2 de 8.3 g kg-1, mientras que el BMM tuvo 4.9 g kg-1. El contenido de fósforo disponible es bajo en las parcelas 1, 4, 5, 6 y BMM con valores de 2.1 a 14 mg kg-1, la P2 tiene un contenido medio de 16.8 mg kg-1 y la que sobresale es la P3 con 69.3 mg kg-1 que es un valor alto, con una diferencia significativa (ρ < 0.05) con relación a las demás parcelas y el BMM.
Su CIC se interpreta entre media y alta (16.5 a 30.2 cmoles(+) kg--1). El calcio y magnesio extraíbles fueron altos, probablemente por los iones solubles que incluye su valor y a la composición de las rocas calizas de la zona de estudio.


Con relación a la reacción del suelo hay una correlación entre la acidez actual y la potencial. La P3 y el BMM presentaron el valor más bajo de 5.0H2O-4.5KCl (fuertemente ácido) y de 4.3H2O-4.1KCl (extremadamente ácido), respectivamente. Hay una diferencia significativa (ρ < 0.05) entre el BMM y P3 con el resto de las parcelas que son de pH ligeramente a moderadamente ácido.
Su contenido en nitrógeno total es alto en casi todas las muestras, la P1 y P6 son las más pobres con 1.4 y 2.1 g kg-1, el valor más alto es el de la P2 de 8.3 g kg-1, mientras que el BMM tuvo 4.9 g kg-1. El contenido de fósforo disponible es bajo en las parcelas 1, 4, 5, 6 y BMM con valores de 2.1 a 14 mg kg-1, la P2 tiene un contenido medio de 16.8 mg kg-1 y la que sobresale es la P3 con 69.3 mg kg-1 que es un valor alto, con una diferencia significativa (ρ < 0.05) con relación a las demás parcelas y el BMM.
Su CIC se interpreta entre media y alta (16.5 a 30.2 cmoles(+) kg--1). El calcio y magnesio extraíbles fueron altos, probablemente por los iones solubles que incluye su valor y a la composición de las rocas calizas de la zona de estudio.
Con relación a los micronutrimentos evaluados el contenido en hierro fue alto (20.26 a 94.58 mg kg-1) sobresaliendo el BMM, de igual forma el cobre (0.60 a 2.39 mg kg-1), el cinc también fue alto menos en P6 y BMM con 0.46 y 0.49 mg kg-1, respectivamente; el manganeso fue también alto en todas las parcelas y el BMM (10.65 a 47.4 mg kg-1) .
En el análisis cualitativo de hongos micorrízicos arbusculares (HMA) crecidos en maceta trampa se aislaron pocas esporas y, por el deterioro de algunas de ellas, todo indica que no se propagaron sino que son las esporas que venían en el suelo. Se determinaron 10 morfotipos de especies de HMA: Glomus microcarpun Tul. & C. Tul., Glomus aff. G. hyderabadensis , Glomus claroideum N.C. Schenck & G.S. Sm., Glomus aff. G. monosporum Gerderman & Trappe., Glomus sp., Acaulospora spinosa Walker & Trappe., Sclerocystis rubiformis y Diversispora globifera o Glomus globiferum Koske & Walker (figs. 10-15).
DISCUSIÓN
Las parcelas se seleccionaron por estar en laderas y hondonadas donde la pendiente dificulta el desarrollo del suelo y favorece la erosión por escorrentía, sobre todo en áreas que han sido taladas; como se aprecia en la figura 2, los suelos no son profundos y muchos presentan una fase lítica (INEGI, 1999) de rocas calizas con poca reacción al ácido clorhídrico (figs. 4 y 5). Superficialmente el terreno está ocupado principalmente por afloramientos rocosos, dejando poca área para el cultivo de maíz (fig. 4). Estos terrenos no son propicios para la agricultura, sin embargo, los mazatecos las cultivan principalmente con maíz criollo tepezintle y aunque los rendimientos son bajos (< 1.5 a 6 ton/ha), para ellos es de gran importancia por los niveles de pobreza y escasos recursos económicos de la región.
Es conveniente analizar el manejo que hacen de sus tierras, ya que practican la roza y tumba de la vegetación primaria del BMM, pero normalmente no queman como ocurre en otras regiones agrícolas de Oaxaca y del país. Los suelos en las zonas de cultivo no se dejan desnudos de vegetación, sino que dejan crecer diversas plantas que para ellos son de utilidad medicinal, comestible o de otro tipo (fig. 3). También hacen rotación de parcelas, dejan descansar la parcela después de haberla cultivado por alrededor de 3-5 años. En este tiempo crecen plantas nativas (vegetación secundaria) que reducen la erosión y aportan carbono.
En estos terrenos no es posible usar sistemas mecanizados para labrar la tierra, ni se trazan surcos, ya que el calificativo predominante de los suelos es esquelético (pedregoso) por lo cual siembran únicamente en los espacios que quedan entre rocas y plantas de otro tipo (figs. 4-7). En las comunidades de Santa María Chilchotla donde muestreamos no se utilizan agroquímicos; es decir, no se aplican fertilizantes, ni pesticidas ya que carecen de asesoría técnica, por lo que temen contaminar sus mantos acuíferos, ya que como menciona Velasco-Murguía et al. (2013) el gobierno mexicano ha implementado diversos programas de manejo forestal comunitario (Programa de manejo forestal comunitario (PROCYMAF), Programa de conservación comunitaria (COINBIO), Programa de servicios ambientales hidrológicos (PSAH)). La Comisión de Áreas Naturales Protegidas (CONANP) ha implementado el Programa de certificación de áreas voluntarias de conservación (AVC´s), los cuales se han aplicado en la región de Tuxtepec, excluyendo a la Región de la Cañada que es de alta marginación y para producir el maíz y el frijol que consumen, lo hacen desmontando bosques primarios o secundarios, lo cual es normal en un sistema socio-productivo, determinado por la tradición, la cultura campesina, la necesidad de autoabastecimiento y el grado de aislamiento.
Sin embargo, es importante considerar lo que menciona Boege (2008), que los pueblos originarios suelen tener una cosmovisión que involucra el cuidado del bosque, los mazatecos tienen desconfianza hacia la gente que no es de su comunidad, sobre todo a las propuestas de gobierno.
Comparando algunos de los resultados con trabajos previos hechos en suelos de ladera de la Sierra Norte de Oaxaca, de acuerdo a Vergara et al. (2005), los suelos de la región mazateca reportan pH de 5.2 o sea, menos ácidos que la región cuicateca o mixe (pH 4.9), y citan la relación con la escasez de bases intercambiables y de fósforo. En parte, la acidez se atribuye a la presencia de aluminio intercambiable que forma hidróxido de aluminio altamente tóxico para las plantas. Sus valores de MO, Ca, K y Mg fueron mucho más bajos que los que se midieron en parcelas de Chilchotla. El contenido de carbono orgánico en el suelo con excepción de dos parcelas fue alto, ya que como menciona Fuentes et al. (2011) en la labranza de conservación, la aportación de materia orgánica repercute positivamente en las reservas de COS comparando agrosistemas manejados con agricultura convencional con y sin residuos orgánicos. Por otra parte, el fósforo en los suelos mostró valores bajos y medios, con excepción de la P3 con el valor más alto (2.1 a 69.3 mg kg-1). El aspecto de la milpa no mostraba aparentes deficiencias de nutrimentos en el follaje y lo atribuimos a que el maíz criollo que usan (fig. 8) está adaptado a las condiciones climáticas del lugar y a la actividad microbiana que parece tener un papel muy importante aportando nutrimentos que no tiene el suelo, entre ellos los hongos micorrízicos arbusculares (HMA) (figs. 10-15). Las raíces del maíz que siembran también producen abundante mucílago (fig. 9), que contribuye a la estructura y a la actividad microbiana, así como al enriquecimiento de carbono y fuente de energía para la microflora heterotrófica del suelo (Morel et al., 1991; Read et al.,1999).
De los resultados del análisis de varianza (ANDEVA) se encontró que la composición de las muestras de suelo tomadas de las distintas parcelas y del BMM son significativamente diferentes (ρ < 0.05) con excepción del sodio. Con relación al pH cinco de ellas tuvieron menos acidez con relación al BMM que presentó elevado contenido en hierro y cobre. Por otra parte el alto contenido de fósforo en la P3 nos indica que seguramente agregaron fertilizante fosfatado, ya que contrasta significativamente con relación a los demás sitios muestreados. La geoforma del terreno, su geología, su fase pedregosa que queda al descubierto al quitar la vegetación primaria, dando un paisaje kárstico, la historia de cada parcela que incluye el manejo que se le ha dado, explica la heterogeneidad de los suelos y el que no sean tan evidentes los procesos de degradación; ya que a pesar de estar en ladera la mayoría de las parcelas presentan un horizonte Ap, alto contenido en humus, no hay compactación, tienen buena estructura y no hay salinidad, entre otros.
De acuerdo a nuestra experiencia realizar ensayos de fertilización o elaboración de macetas trampa para propagar HMA en condiciones climáticas muy diferentes a lo que se encuentra en el hábitat estudiado no da buenos resultados, por lo que es conveniente hacerlo in situ.
Con base en la geografía de Santa María Chilchotla estos suelos deberían de ser conservados como suelos forestales de BMM, sin embargo la realidad muestra que van a seguir siendo cultivados como se ha hecho tradicionalmente por décadas. La fertilidad de las parcelas estudiadas es buena, encontrando algunos problemas en la de Trinidad (1) con fuerte acidez y en las otras con deficiencia de fósforo asimilable. Se recomendaría un manejo particular a cada parcela, que comprendiera ensayos de encalado y fertilización in situ.
A diferencia de otros suelos de Oaxaca donde presentan procesos erosivos (Krasilnikov et al., 2007), en las parcelas de Santa María Chilchotla, no es evidente la erosión hídrica, quizás porque el suelo se retiene entre tanta piedra del terreno y vegetación procedente del bosque primario y esto se aprecia en sus horizontes Ap, ricos en humus, además de que la labranza mínima siempre ha contribuido a la conservación del suelo y de sus propiedades físicas, químicas y biológicas. Mathew et al. (2012) reportaron que las prácticas de manejo del suelo, tienen influencia en las propiedades físicas y químicas, así como cambios en las comunidades microbianas del suelo tanto en su estructura como función. Landers et al. (2013) al hablar sobre los efectos de la labranza cero, en la agricultura de conservación reportan contribuciones a la sustentabilidad tanto de propiedades físicas, como reducción en la compactación, aumento de porosidad, mejor drenaje interno, mantenimiento de la estructura; al no dejar los suelos desnudos se elimina la erosión por viento y agua. El aumento de MOS significa más agua disponible y retención de nutrimentos, así como mayor actividad biológica. Mangalassery et al. (2014) en el estudio que realizaron encontraron que también la labranza cero puede jugar un papel significativo en la reducción de emisiones de gas invernadero de los suelos, que contribuye a su vez a mitigar el cambio climático.
CONCLUSIONES
El BMM por ocupar una extensión tan reducida y ser el ecosistema que alberga la mayor diversidad de especies de flora y fauna en relación a su área (CONABIO, 2010), al destruirlo alteramos o perdemos también esta biodiversidad, su desaparición o reconversión para fines agropecuarios disminuye el valor de los bosques como prestadores de servicios ambientales claves (González, 2011). Por tal motivo es importante que en la gestión de programas de manejo y conservación se estudie a fondo las áreas geopolíticas para no excluir regiones y comunidades de campesinos, como ocurre en Chilchotla, brindándoles oportunidades de desarrollo, que permitan preservar ambientes tan ricos y necesarios para la salud del ambiente y del hombre.
La edafogeografía de la zona de estudio, sumada al efecto ladera, pedregosidad y labranza de conservación tan particular que realizan los mazatecos, permiten ver un escenario en mejores condiciones refiriéndose a la degradación, que las que se observan en otras regiones, incluso en Oaxaca.
Las variaciones edáficas encontradas entre parcelas y el BMM están muy relacionadas con el clima, su composición mineral, la geoforma, la historia y manejo de cada uno de los sitios muestreados.
El relieve y lo esquelético (pedregoso) del terreno han obligado a los campesinos a realizar una agricultura con mínima labranza, que aunado a sus prácticas culturales como dejar plantas vivas en la parcela, usar resinas naturales para impregnar la semilla de maíz y evitar que se las coman las plagas, rotar periódicamente las parcelas, no practicar la quema de restos vegetales, no usar pesticidas, ni fertilizantes químicos, han contribuido a la preservación y conservación de los suelos a pesar de haber destruido el bosque primario (BMM).















Agradecimiento
Se agradece la colaboración del alumno Milton Reyes Medina en el desempeño de su servicio social en Santa María Chilchotla, al biólogo Eduardo Chimal Sánchez por la determinación de las especies de los hongos micorrízicos arbusculares, al maestro en ciencias Gerardo López Ortega por su apoyo en el análisis estadístico, a la maestra Azucena de Lourdes Luna José por su apoyo en campo y promotora del estudio en Chilchotla, Oaxaca; así como el apoyo en las microfotografías a Aniceto C. Mendoza Ruíz y a los revisores por sus atinadas observaciones y sugerencias.
Referencias
Álvarez-Sánchez, J. y A.A. Monroy (Compiladores), 2008. Técnicas de estudio de las asociaciones micorrízicas y sus implicaciones en la restauración. Facultad de Ciencias, UNAM. México.
Bautista-Cruz, A.; Ma. del C. Gutiérrez-Castorena, R.F. del Castillo-Sánchez, y J. Etchevers-Barra, 2005. Terra Latinoamericana, 23(2): 147-157.
Bautista-Cruz, A.; R.F. del Castillo, J. Etchevers-Barra, Ma. del C. Gutiérrez-Castorena, y A. Báez, 2012. Forest Ecol. Manag., 277: 74-80.
Bermeo, A., S. Couturier, y M. Galeana-Pizaña, 2014. “Conservation of traditional smallholder cultivation systems in indigenous territories: Mapping land availability for milpa cultivation in the huasteca poblana, México”. Appl. Geogr., 53: 299-310.
Boege, E., 2008. Patrimonio Biocultural de los pueblos indígenas de México. Hacia la conservación in situ de la biodiversidad y agrodiversidad en los territorios indígenas. Instituto Nacional de Antropología e Historia, Comisión Nacional para el Desarrollo de los Pueblos Indígenas, México.
Bray, D.B., 2013. “When the state supplies the commons: origins, changes and design of Mexico´s common property regime”. J. Lat. Am. Geogr., 12: 33-55.
Brundrett, M.; N. Bougher, B. Dell, T. Grove, y N. Malajazuk, 1996. Working with mycorrhizas in forestry and Agriculture. Australian Centre for International Agricultural Research. Pirie, Camberra, Australia.
CONABIO, 2010. El bosque Mesófilo de Montaña en México: Amenazas y Oportunidades para su Conservación y Manejo Sostenible. Comisión Nacional para el Conocimiento y Uso de la Biodiversidad. 197 pp. México, DF.
Durán, E.; J. Robson, M. Briones, F. Berkes y D. Bray, 2012. “Wildlife conservation on community conserved lands: experiences from Oaxaca, Southern Mexico”. Dudley, N., y S. Solton, (eds), Protected Landscapes and Wild Biodiversity Value, IUCN, Switzerland, pp. 243-266.
Fuentes, M.; J.D. Etchevers, C.I. Hidalgo, F. De León, L. Dendrooven, y B. Govaerts, 2011. Estudio diacrónico del carbono orgánico del suelo en diferentes agrosistemas mexicanos. CIMMYT. pp. 215-228
García-Mendoza, A.J.; M.J. Ordóñez, y M.A. Briones, 2004. Biodiversidad de Oaxaca. Instituto de Biología-UNAM-Fondo Oaxaqueño para la Consevación de la Naturaleza/Worl Willife Fund, México.
Gerderman, J.H., y T.H. Nicolson, 1963. “Spores of mycorrhizal endogone structured from soil by wet sieving and decanting”. T. Brit. Mycol. Soc., 43: 235-244.
González, R.A.,2011: Un diagnóstico Breve. Consejo Directivo del Grupo Mesófilo A.C. Oaxaca 2010. Disponible online: http//www.grupomesofilo org/pdf/proyectos/DE/DE_2011 pdf.
INEGI. 1999. Carta Edafológica 1: 250 000 Orizaba E14-6.
INEGI. 2009. Prontuario de información geográfica municipal de los Estados Unidos Méxicanos. Santa María Chilchotla, Oaxaca. http://www3.inegi.org.mx/sistemas/mexicocifras/datos-geograficos/20/20406.pdf
INVAM (s.f.) Arbuscular Mycorrhizal Fungi. Disponible online: http://invam.caf.wvu.edu/fungi/fungiindex.htm
Jackson, M.L., 1976. Análisis Químico de Suelos. Ediciones Omega, S.A. Barcelona.
Krasilnikov, P.; N.E. García-Calderón, E. Fuentes-Romero, 2007. “Pedogenesis and slope processes in subtropical mountain areas, Sierra Sur de Oaxaca, México”. Rev. Mex. Cienc. Geol., 24(3): 469-486.
Landers, J.N.; G. Rass, P.L. de Freitas, G. Basch, G. Sanchez, V. Tabaglio, A. Kassan, R. Derpsch, T. Friedrich, y L. Giupponi, 2013. Geophys. Res. Abstr. v. 15, Conference European Geosciences Union Meeting 2013- 11756-4. EGU General Assembly. Disponible online: http//www.researchgate.nex/publication/23164334_Effects_of_Zero... consultado el 29 de mayo, 2015).
Madrid, L.; J.M. Núñez, G. Quiroz, y Y. Rodríguez, 2009. La propiedad social forestal en México. Investigación Ambiental, núm.1, pp. 179-196.
Mangalassery, S.; S. Sjögersten, D.L. Spaques, C.J. Sturrock, y S.J. Mooney, 2014. Nature. Reports 4, Article Num. 4586 doi:10,1038/srep04586. Disponible online: http//www.nature.com/srep/2014/14404/srep04586/full/srep04586… (consultado el 29 de mayo, 2015).
Morel, J.L.; L. Habib, S. Planteureux, y A. Guckert, 1991. “Influence of mucilage on soil aggregate stability”. Plant Soil., 136: 11-119.
Mathw, R.P.; Y. Feng, L. Githinji, R. Ankumah, y K.S. Balkcom, 2012. Hindawi. Publishing Corporation. Appl. Environ. Soil Sci. v. 2012, Article ID 548620, 10 pages doi: 10.1155/2012/548620. Disponible online: http/www. hindawi.com/journal/aess/2012/5486201… (consultado el 29 de mayo, 2015).
Munsell Soil Color Charts, 2000. Revised washable edition. Munsell® Color, NY.
Munn-Estrada, D.X., 2005. Estudio florístico de los bosques mesófilos de la Sierra Mazateca de Oaxaca, México. Proyecto CONABIO U028. Informe Final. Instituto de Ecología, A.C. Xalapa, Veracruz. Universidad de Texas, Austin, Texas.
Ochoa-Gaona, S., y M. González-Espinosa, 2000. Land use and deforestation in the highlands of Chiapas, México. Appl.Geogr., 20: 17-42.
Parsons, D., L. Ramírez-Aviles, J.H. Cherney, Q.M. Ketterings, R.W. Blake, y Ch.F. Nicholson, 2009. “Managing maize production in shifting cultivation milpa system in Yucatán, through weed control and manure application”. Agr. Ecosyst. Environ., 133: 123-134.
Ponce-Reyes, R.; V.H. Reynoso-Rosales, J.E.M. Watson, J. VanDerWal, R.A. Fuller, R.L. Pressey, y H.P. Possingham, 2012. “Vulnerability of cloud forest reserves in Mexico to climate change”. Nature Clim. Change, 2: 448-452.
Read, D.B.; P.J. Gregory, A.E. Bell, 1999. “Physical properties of axenic maize root mucilage”. Plant Soil, 2111: 87-91.
Rzedowski, J., 1981. Vegetación de México. 1ª reimpresión. Ed. Limusa, México.
SARH, 1988. Instructivo para las determinaciones e interpretación de los análisis físicos de los suelos agrícolas. México.
Schüвler, A. y C. Walker, 2010. The Glomeromycota. A Species List with New Families and New Genera. Arthur Schüвler & Christopher Walker, Gloucester Disponible en linea
Van Reeuwijk, L.P. (ed.), 1999. Procedimientos para análisis de suelos, versión 1995. Traducción de Ma. del C. Gutiérrez-C.; C.A. Tavares-E. y C.A. Ortiz-S. 1ª ed. en español. Especialidad de Edafología. Colegio de Postgraduados, Montecillo, México 145 pp.
Velasco-Murgía, A.; E. Durán-Medina, R. Rivera, y B.D. Barton, 2014. Cambios en la cobertura arbolada de comunidades indígenas con y sin iniciativas de conservación, en Oaxaca, México. Investigaciones Geográficas, Bol. Inst. Geogr. UNAM, núm. 83, pp. 55-73 dx.doi.org/10.14350/rig.34975.
Vergara, S.M.A.; B.J.D. Etchevers, y M.H. Vargas, 2004. “Variabilidad del carbono orgánico en suelos de ladera del sureste de México”. Terra Latinoamericana, 22(3): 359-367.
Vergara-Sánchez, M.; B.J.D. Etchevers, y C.J. Padilla, 2005. “La fertilidad de los Suelos de ladera de la Sierra Norte de Oaxaca, México”. Agrociencia, 39(003): 259-266.