USO ANTROPOCÉNTRICO DEL GUAJE LEUCAENA ESCULENTA (MOC. & SESSÉ EX. DC.) BENTH, EN DOS COMUNIDADES DE LA MIXTECA BAJA OAXAQUEÑA.
ANTHROPOCENTRIC USE OF THE GUAJE LEUCAENA ESCULENTA (MOC. & SESSÉ EX. DC.) BENTH, IN TWO COMMUNITIES IN THE MIXTECA BAJA REGION OF OAXACA, MEXICO
USO ANTROPOCÉNTRICO DEL GUAJE LEUCAENA ESCULENTA (MOC. & SESSÉ EX. DC.) BENTH, EN DOS COMUNIDADES DE LA MIXTECA BAJA OAXAQUEÑA.
Polibotánica, núm. 43, pp. 349-364, 2017
Instituto Politécnico Nacional
Recepción: 03 Septiembre 2015
Aprobación: 26 Septiembre 2016
Resumen: El objetivo de la presente investigación fue cuantificar el uso del guaje en la alimentación y el conocimiento en la medicina tradicional, mediante un análisis canónico discriminante (ACD) en las comunidades de Santiago Cacaloxtepec y S. Huajolotitlán en la mixteca baja de Oaxaca. Se realizó un muestreo aleatorio estratificado y se aplicó un cuestionario etnobotánico en cada comunidad. Posteriormente se calculó el valor potencial máximo de conocimiento de cada informante (PM), el análisis de los datos se realizó mediante un análisis canónico discriminante (ACD). El PM para S. Huajolotitlán (0.87), S. Cacaloxtepec (0.81) lo que mostró que los informantes tienen conocimiento sobre la biología y uso medicinal del guaje. El ACD mostró diferencia significativa (α = 0.05) para la forma de preparación del guaje en Huajolotitlán el 55.3% preparan el guaje en salsa, el 8.3% en guaximole. En lo que respecta a las enfermedades relacionadas con los parásitos el porcentaje de variación fue del 57%, y para el dolor de estómago el 21%. En S. Cacaloxtepec el 30% de entrevistados preparan el guaje en salsa. El porcentaje de variación para el uso medicinal fue del 35% como desparasitante y el 16% elaboran artesanías. Se concluye que el principal uso del guaje en ambas comunidades es el de alimento siendo la principal estructura comestible las semillas y la corteza como desparasitante.
Palabras clave: usos antropocéntricos, guaje, conocimiento tradicional, comunidades.
Abstract: The aim of this study was to quantify by means of canonical discriminant analysis (CDA) the use of guaje in food and traditional medicine, as well as the level of knowledge of this plant in the communities of Santiago Huajolotitlan and S. Cacaloxtepec in the mixteca baja region of the state of Oaxaca, Mexico. Stratified random sampling was performed and a questionnaire was applied in each community. Subsequently the maximum potential knowledge value of each respondent (MP) was calculated, and data analysis was performed using canonical discriminant analysis (CDA). The MP was (0.87) for the community of S. Huajolotitlan and (0.81) for S. Cacaloxtepec, which showed that the respondents have knowledge about the biology and medicinal use of guaje. The CDA showed significant difference (α = 0.05) in how to prepare guaje in both communities in Huajolotitlan, 55.3% prepare guaje in sauce, 8.3% in guaximole. With regard to diseases related to parasites, the variation percentage was 57%, whereas it was 21% for stomach pain. In Cacaloxtepec, 30% of respondents consume guaje in sauce. The variation percentage for medicinal use was 35% for deworming and 16% for making handicrafts. It is concluded that the main use of guaje in both communities is as food, the seeds being the main edible structure, and as a deworming agent, for which the bark is used.
Keywords: anthropocentric uses, guaje, traditional knowledge, communities.
INTRODUCCIÓN
En México el término “guaje” es utilizado para designar, entre otras acepciones a una diversidad de especies vegetales de uso alimentario, forrajero, medicinal y maderable, que taxonómicamente pertenecen al género Leucaena de la familia Fabaceae.
El carácter de poseer flores con anteras velludas lo distingue de otros géneros mimosoides (Huges, 1998) de la diversidad de especies conocidas del genero Leucaena (22), en el estado de Oaxaca, se han repor-tado ocho de las 12 especies para el país.
La planta florea y fructifica en época de limitación de alimentos, como son los meses de agosto a mayo. Debido a su ambiente de crecimiento, la planta se desarrolla en suelos pobres (regosales, calcáreos) con una precipitación de 800 a 1 300 mm y temperaturas elevadas y sólo se favorecen las condiciones para que crezca en la selva baja caducifolia (no hay plantas que produzcan alimentos en época seca). Lo anterior motiva a la gente de la mixteca a emplear el guaje como planta alimenticia.
Las partes que se consumen son: su inflorescencia, vainas tiernas, semillas secas y rebrotes tiernos (Robles, 1990; Cansino, 2001; Pérez et al., 2011). Contiene minerales N, Mg, Mn, P y Zn, proteína (33.12%), fibra cruda (10.55%), compuestos fenólicos (1.088 mg equivalentes de ácido gálico) (Román et al., 2014). El guaje representa una alternativa alimenticia para la población en la ingesta de minerales, proteína y fibra cruda a un bajo costo.
Los usos antropocéntricos que le dan al guaje son: con la madera del árbol se elaboran construcciones rurales, mangos para herramientas, tableros, puntales para minas, postes para cercas y muebles rústicos, leña y carbón con excelente poder calórico de 18 600 KJ/Kg (Cansino, 2001). En los sistemas agroforestales se emplea en cortinas rompevientos, sombra para cafetales, cercas vivas, cultivo en callejones y en sistemas silvopastoriles como banco de proteína. En el mejoramiento de suelos a través de la fijación de nitrógeno, que el género Leucaena es capaz de realizar. Como árbol ornamental, tutor y abono verde (Robles, 1990, Pérez et al., 2011).
En ambas comunidades se observó la producción en los patios de los huertos familiares en ambas comunidades del estado de Oaxaca; la explotación es en pequeña escala a través del conocimiento que tienen las diferentes especies vegetales ya que les permite a los pobladores obtener diferentes productos como los mencionados anteriormente y ser aprovechados de una forma integral asimismo el manejo racional tiende a preservar la relación equilibrio con los ciclos de los ecosistemas y la conservación del recurso natural razón por la cual en la Norma Oficial Mexicana (NOM-059-SEMARNAT-2010) no reporta a L. esculenta en extinción.
La mixteca oaxaqueña es una de las regiones con más pobreza del estado y se encuentra formada por 115 municipios de los cuáles 99 se encuentran clasificados por grado de marginación entre ellos se encuentran los municipios de S. Cacaloxtepec (31.82%) y S. Huajolotitlán con un grado medio de marginación (24.85%) (Alvarado, 2008. INAFED, 2010), la lengua que se habla en estas comunidades es el mixteco (INEGI, 2015). Las principales causas que explican los niveles elevados de marginación y pobreza es el nulo desarrollo económico en Oaxaca de las actividades del campo las cuales no han logrado un desarrollo productivo algunas se mencionan a continuación: la nula planeación de la producción, el uso de tecnologías, la escasa asesoría técnica así como la falta de capacitación, la investigación desvinculada de lo productivo, la baja productividad, las campañas fitosanitarias aisladas entre otras (Gobierno del Estado de Oaxaca, 2004). En estas comunidades mixtecas la base de la economía es la producción para el autoconsumo de maíz, frijol y calabaza a los que se agregan algunos productos más específicos de cada comunidad como el guaje en ambas y el intercambio de los excedentes en las comunidades.
En los municipios de S. Cacaloxtepec y S. Huajolotitlán existen enfermedades de tipo infecciosas intestinales (amibiasis y parasitarias) y anemias (Castañeda, 1992). La Dirección de Vigilancia Epidemiológica de la Secretaría de Salud Federal refirió que el 70% de la población albergan amibas o lombrices en sus intestinos, este padecimiento se encuentra dentro de las cinco causas de consulta en las unidades médicas (Secretaría de Salud, 2016). El Servicio de Salud de Oaxaca (SSO) con el propósito de prevenir estas enfermedades, exhorta a la ciudadanía a tomar medidas higiénicas en sus hogares y acudir al centro de salud más cercano para la desparasitación y saneamiento ambiental, sobre todo para proteger a los niños menores de 10 años de edad. Sin embargo, el principal problema que enfrentan los centros de salud es el rechazo a los médicos y a los medicamentos debido al arraigo en la medicina tradicional. Como consecuencia se fundó en el año 2004 la Organización de Médicos Indígenas de la Mixteca, A.C. (OMIM, A. C.) con la finalidad de proteger el conocimiento en la medicina tradicional.
El objetivo de la investigación fue cuantificar el nivel de conocimiento tradicional del guaje (Leucaena esculenta) en la alimentación y medicina tradicional en dos comunidades de la mixteca baja oaxaqueña, México.
MATERIAL Y MÉTODOS
Colecta de la planta
La colecta de ejemplares botánicos de Leucaena esculenta (Moc. & Sessé Ex. DC.) Benth. (Leguminosae) incluyendo sus flores, hojas, tallos y frutos fue mediante mecanismos no probabilísticos, debido a que la muestra no puede estar constituida por elementos aleatorios, escogidos al azar y descontextualizados, sino que debe enmarcarse en un “todo” sistemático con vida propia, como es una comunidad humana (Martínez, 2006). Los ejemplares colectados fueron obtenidos con base en las siguientes técnicas de investigación: revisión bibliográfica sobre los usos, manejo e importancia del “guaje” entre los distintos grupos humanos que mantienen interacción con la planta; así como trabajos etnobotánicos, arqueológicos, crónicas y códices (Peralta, 2015).
Localización geográfica de los ejemplares
Debido a la importancia cultural y amplia distribución del guaje, en el área de la mixteca baja fueron seleccionadas las comunidades de S. Cacaloxtepec y S. Huajolotitlán.
S. Cacaloxtepec se ubica en la parte noroeste del estado de Oaxaca, en las coordenadas 97°44’ de longitud oeste y 17°43’ de latitud norte, a una altura de 1760 m s.n.m. Limita al norte con Huajuapan de León; al sur con Tezoatlán de Segura y Luna; al oriente con San Andrés Dinicuiti y Santiago Huajolotitlán; y al poniente con San Marcos Arteaga. La superficie total del municipio es de 51.03 km2 (INEGI, 2010).
Santiago Huajolotitlan se localiza en la parte noroeste del estado, en las coordenadas 97° 44’ de longitud oeste y 17°50’ de latitud norte, a una altitud de 1 640 m s.n.m. La superficie total del municipio es de 173.51 km2 (INEGI, 2010).
Se realizó una visita a las autoridades correspondientes: señor Silvino Francisco Flores Hernández en S. Cacaloxtepec y al señor Eric Rojas Peñaloza en S. Hujolotitlán ambos presidentes municipales; para solicitar la aprobación del trabajo de investigación en cada una de las comunidades.
Confirmación taxonómica
La confirmación taxonómica fue realizada por el especialista en leguminosas Ramiro Cruz Durán del Herbario de la Facultad de Ciencias de la UNAM, con los números de folio 128500 y 129648 (fig. 1).
Cuestionario etnobotánico
Se diseñó un cuestionario etnobotánico con preguntas sobre la biología de la planta, usos en la alimentación y medicinales del guaje y percepciones de enfermedades parasitarias (anexo 1).
Tamaño de la muestra
Se consultó la base de datos del censo nacional de población y vivienda del Instituto Nacional de Estadística y Geografía (INEGI), año 2010 para elegir el número de entrevistados de los municipios de Santiago Huajolotitlán y S. Cacaloxtepec en el estado de Oaxaca.
Se realizó un muestreo aleatorio estratificado (MAE), los estractos fueron seleccionados por género estracto (E1) hombres y (E2) mujeres de 15 ó más años y se calculó el número de encuestas aplicadas a los habitantes de cada comunidad (Mendenhall, 1987) mediante las siguientes fórmulas:

dónde:
N = tamaño de la población
Z = 1.96
p = proporción de éxito 0.05
q = proporción de fracaso 0.95
E = precisión relativa 0.05

dónde:
S2 = varianza
yi = número de estrato
yj = cada una de las observaciones de cada
estrato
yi = media de la muestra
ni = número de elementos en el estrato i
Número de encuestas realizadas
El total de encuestas aplicadas a los pobladores del municipio de Santiago Huajolotitlán fueron 88. El 52% está representado por mujeres y el 36% hombres, el 85% hablan español y además, el 3% también mixteco con una varianza de 0.87. En Santiago Cacaloxtepec fueron 78 personas el 54% está representado por mujeres y el 24% hombres, el 23% hablan español, el 6% mixteco y el 49% ambas lenguas con una varianza de 0.70.
Análisis de la información
El análisis de los datos se realizó contando el número de veces que los informantes dieron a sus respuestas, mediante una evaluación binaria, asignando un valor de 0 para “no” y de 1 para “sí” (Weller y Romney, 1988).
Se calculó el valor potencial máximo del informante (PM) acerca de la biología de la planta (Andrade et al., 2006, Romero et al., 2011). Si es cercano a 1, indica que los informantes tienen conocimiento de la planta en los aspectos de la biología y uso medicinal, mediante la siguiente ecuación:

El PM para S. Huajolotitlán fue de 0.87 y para S. Caloxtepec fue de 0.81.
Finalmente se realizó un análisis canónico discriminante (ACD) y se calcularon las medias ajustas mediante la prueba de Tukey con α = 0.05 para las funciones canónicas discriminantes (FCD1) mediante el programa Statistical Analysis System (SAS) V8 (Hatcher, L. y Stepansky, E.J. 1994).
RESULTADOS
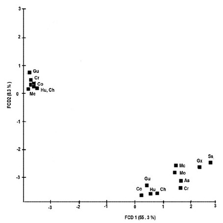
La variable canónica FCD1 explicó el 55.3% de la variabilidad total y la segunda FCD2 el 8.3% ambas funciones canónicas discriminantes (FCD) explican el 63.3% de la variabilidad total, en lo que respecta a la forma de preparar el guaje en S. Huajolotitlán. En el cuadro 1 se observa que el análisis canónico discriminante (ACD) mostró diferencia significativa (α = 0.05) en la forma de cocinar el guaje y estuvo determinado por la primera FCD1 con la preparación en salsa con un elevado coeficiente canónico estandarizado CCE = 2.8, con una r2 = 2.9, seguido del guaximole como se muestra en la figura 2.


En lo que respecta a S. Cacaloxtepec la FCD1 explico el 30% de la variación total mientras que la segunda FCD2 el 18% ambas funciones canónicas discriminantes expresan el 48% de la variación total en la forma de cocinar el guaje, como se observa en la figura 3. En las figuras 2 y 3 se observa la alta capacidad discriminante de cada una de las FCD1 en separar cada uno de los guisos mostrando los valores numéricos más altos en el plano cartesiano para la salsa (Ss) y el guaximole (Gx).
El porcentaje total de variabilidad de cada uno de los municipios en la preparación del guaje fue en S. Huajolotitlán (63.3%) y S. Cacaloxtepec (48%), se debe al nivel de marginación y pobreza en el que se encuentran cada municipio. S. Huajolotitlán representa un grado medio de marginación (24.85%), además se encuentra muy ligado económica y culturalmente a la ciudad de Huajuapan de León, además posee mayor disponibilidad del guaje ya que se puede encontrar en los mercados y en la ciudad, la población se dedica a las actividades primarias principalmente a la agricultura, seguida del comercio básicamente en la elaboración de artesanías las cuáles son pequeñas fuentes de empleo para los pobladores (INAFED, 2010. INEGI, 2010).
En lo que respecta a S. Cacaloxtepec se encuentra lejos de la ciudad aproximadamente a 207 km de la capital del estado, con un nivel de marginación medio (31.82%) debido al nulo desarrollo en la planeación de la producción, escasez en tecnología, asesoría técnica, falta de capacitación, entre otras (Alvarado, 2008) aunado a esto la migración a otros estados con un 8.5% y a Estados Unidos aproximadamente el 0.60% (INAFED, 2010), la disponibilidad del guaje únicamente es la que produce el municipio.

El principal guiso que se prepara con las semillas de L. esculenta “guaje” son las salsas en diferentes presentaciones por su sencillez y por las variantes de chiles que existen. La salsa de guaje se elabora con chiles, sal, semillas de guaje, más la adición de carne blanca o roja y el sabor característico de esta salsa es el que le proporcionan las semillas de L. esculenta (Cansino, 2001).
El guaximole es el segundo guiso típico que se consume en ambas regiones, S. Huajolotitlán y S. Cacaloxtepec se prepara de igual manera utilizando las semillas tiernas del guaje, cilantro más los demás ingredientes descritos anteriormente (Cansino, 2001).
Hughes, 1998 reportó a 13 especies de Leucaena como plantas alimentarias, entre las que menciona se encuentra L. esculenta. Las semillas se venden en los mercados locales y regionales de la zona centro del país. Zarate, 1994 menciona que las semillas se comen crudas, en salsas o en “guaximolli” en los estados de Morelos, Guerrero, Puebla y Oaxaca, al hábito de comer las semillas del guaje crudas o asadas se le llama “guaxizquitl”. El guaje que comúnmente consumen los habitantes en S. Huajolotitlán y S. Cacaloxtepec es el rojo debido a que las semillas poseen un olor y sabor muy parecido al “ajo”, además de condimento.
Román, 2014 reportó el valor nutricional y nutracéutico de L. esculenta “guaje rojo”, posee minerales N, Mg, Mn, P y Zn, proteína (33.12%), fibra cruda (10.55%) y compuestos fenólicos (1.088 mg equivalentes de ácido gálico). A pesar de su calidad nutricional también contiene sustancias antinutricionales los cuales se producen por la formación de metabolitos secundarios como mecanismo de defensa contra depredadores como el leucenol o mimosina que es un alcaloide, hidroxi-β-3-4 piridona aminoácido el cuál al ser termolábil se inactiva mediante la aplicación de tratamiento térmico o a través del remojo (Kricher, 2008, López et al., 2010). En ambas comunidades las semillas se cuecen y se tuestan y no es común el remojo por lo que el guaje representa una alternativa alimenticia para la población en la ingesta de minerales, proteína y fibra cruda a un bajo costo.
En S. Huajolotitlán de los 88 entrevistados, el 55.3% estuvo determinado principalmente por personas con edades entre los 20 y 40 años con una media de 2.07 que dijeron preparar el guaje en salsa. Es importante hacer notar que en este municipio el patrón de consumo alimenticio está determinado por la disponibilidad del guaje debido a la cercanía con la ciudad de Huajuapan de León y la pérdida de conocimiento tradicional sobre los usos del guaje en las personas con menor edad. El 8.3% con una media de 5.47 se encuentran las personas entre las edades 41-85 años las cuáles no encuentran diferencias significativas en la forma de preparar el guaje en diferentes guisos (cuadro 2).

En S. Cacaloxtepec de los 78 encuestados, el 30% de los informantes estuvo determinado principalmente por personas con edades entre los 73 y 85 años con una media de 4.57 que dijeron consumirlo en todas las variantes de preparación (cuadro 2).
Se observa que existe una estrecha cercanía de los habitantes con el árbol del guaje desde la época prehispánica por lo que el conocimiento se ha ido transmitiendo de generación en generación (Casas, 1992; Smith, 1967).
El análisis canónico discriminante mostró diferencia significativa (α = 0.05) en lo que respecta a los diversos usos que le dan los habitantes de S. Huajolotitlán al guaje. De acuerdo a los resultados presentados en el cuadro 3, se observó que el porcentaje de variación para la FCD1 fue del 57% y estuvo determinado principalmente por las enfermedades relacionadas contra los parásitos con un elevado CCE = 1.5, con una r2 = 0.70.



La FCD2 presentó un porcentaje de variación del 21% en la que se encuentra el dolor de estómago con un CCE = 0.93, r2 = 0.92 ver representación gráfica figura 4 en la que se muestra la alta capacidad discriminante de FCD1 en la separación del uso medicinal antiparasitario (Ap) y el antihelmíntico (Ah) y la FCD2 con el uso medicinal para el dolor de estómago (De).
En S. Cacaloxtepec como se observa en el cuadro 3, el porcentaje de variación fue del 35% con el uso del guaje como desparasitante con un CCE = 1.4, con una r2 = 1.3.
La FCD2 presentó un porcentaje de variación del 16% con el empleo de las semillas del guaje en artesanías para la elaboración de aretes, collares, pulseras y sonajas con un CCE = 0.89, r = 0.94. El comercio de las artesanías es una fuente de empleo para los pobladores como actividad terciaria (INAFED, 2010. INEGI, 2010). La figura 5 muestra el grado de asociación de FCD1 en el uso medicinal como antiparasitario y FCD2 el empleo de las semillas como artesanías.
En lo que respecta al uso medicinal del guaje en ambas comunidades se encontró que el consumo de las semillas es para tratar parásitos intestinales y que las personas saben diferenciar antiparasitario (sirve para las amibas) y antihelmíntico (arrojar lombrices) debido a que algunos afirmaron haber visto las lombrices al ser expulsadas después de haber comido las semillas. En el códice Badiano se menciona como tlalhuaxin al empleo de L. esculenta para las enfermedades gastrointestinales, infecciones o heridas en la piel, frialdad en los huesos, dolor de cabeza (Zarate, 1994) así como también para problemas respiratorios (Zarate, 1982). En las comunidades de S. Huajolotitlán y S. Cacaloxtepec preparan una infusión con la corteza o las hojas del guaje, también licuan las semillas inmaduras con agua esta mezcla se bebe en ayunas durante un día o tres días. Casas, 1992 reportó el uso de semillas inmaduras para la parasitosis intestinal y la amibiasis. Zarate, 1982 encontró el uso para antiparasitario al hervir las hojas de L. leucocephala y beber en ayunas por 30 días.
Santiago Huajolotitlán no hay diferencia significa en el uso medicinal, sin embargo, en S. Cacaloxtepec el análisis canónico discriminante mostró diferencia significativa en el uso medicinal del guaje en personas entre las edades de 73 a 85 años (α = 0.05) en las medias de las funciones canónicas estandarizadas (cuadro 4). Es importante mencionar que para ambas comunidades la situación política, social, económica y cultural es diferente. S. Huajolotitlán se encuentra más cerca de la ciudad de Huajuapán de León, está más urbanizada y la mayoría de los habitantes tiene acceso a internet es el medio de comunicación con el cual se han enterado del uso medicinal del guaje. S. Cacaloxtepec se ubica más lejos de la ciudad y se observó que aún conservan prácticas de transmisión del conocimiento de personas de la tercera edad hacia generaciones más jóvenes.
CONCLUSIONES
Los pobladores de las comunidades de Santiago Huajolotitlán y S. Cacaloxtepec poseen un amplio conocimiento sobre Leucaena esculenta “guaje”la cual es apreciada y valorada culturalmente en la región de la mixteca baja oaxaqueña.

La investigación de L. esculenta proporcionó conocimiento sobre el consumo de las semillas como alimento en la elaboración de salsas y “guaximole” guisos típicos de ambas comunidades.
En lo referente al uso medicinal se prepara una infusión con la corteza o las hojas del guaje, las semillas inmaduras se licuan con agua y la mezcla se bebe en ayunas durante un día o tres días como desparasitante.
Esta investigación aporta nuevo conocimiento en el campo de las plantas medicinales siendo una vía segura, rápida y adecuada para el desarrollo de nuevos fitomedicamentos.
Agradecimiento
Al maestro en ciencias Ramiro Cruz-Durán en el Herbario de la Facultad de Ciencias de la UNAM por la confirmación taxonómica del guaje Leucaena esculenta (Moc. & Sessé Ex. DC.) Benth.
A Cinthia Montaño-Ramírez por invitarme a su pueblo y abrirme el camino para iniciar mi trabajo en Oaxaca, a la familia Montaño-Lucero, Evelia Lucero-Orduña, Rosaelia Rodríguez-Castillo Regidora de Salud y Educación de Cacaloxtepec como traductora en mixteco.
Referencias
Andrade, C.A.; J.J. Becerra, Z.E. Martínez, L.P. Ortega, y M. Heinrich, 2006. “Disease Consensus Index as a tool of selecting potential hypoglycemic plants in Chikindzonot, Yucatán, México”. Journal of Ethnopharmacology, 107: 199-204.
Alvarado-Juárez, A.M., 2008. “Migración y Pobreza en Oaxaca”. El cotidiano, 23(148): 85-94.
Casas, F.A., 1992. Etnobotánica y Procesos de Domesticación en Leucaena esculenta (Moc. & Sessé ex DC.) Benth. Facultad de Ciencias, UNAM, México, DF, 12 pp.
Castañeda, M., 1992. Metodología de los talleres de aprendizaje materno infantil para regiones indígenas, Oaxaca.
Cansino, J.V., 2001. “Botánica económica de cuatro especies de San Juan Ixcaquxstla, mixteca poblana”. Tesis de licenciatura. División de Ciencias Forestales. Universidad Autónoma Chapingo. Chapingo Edo. de México. 92-104 pp.
Gobierno del estado de Oaxaca, 2004-2010. Plan Estatal de desarrollo sustentable. Disponible en: http//www.oaxaca.gob.mx
Hatcher, L., y E.J. Stepansky, 1994. A step- by step approach using the SAS system for univariate and multivariate statistics. Cary, NC, Us: SAS Institute. 552 pp.
Colin, H.E., 1998. Leucaena Manual de Recursos Genéticos. Oxford Forestry Institute
Instituto Nacional de Estadística Geografía e Historia (INEGI). 2010, 2015. Anuario estadístico y geográfico de los Estados Unidos Mexicanos. Disponible en http://www3.inegi.org.mx/sistemas/mexicocifras/default.aspx?e=20
Instituto Nacional para el Federalismo y el Desarrollo Municipal (INAFED). 2010. Disponible en: http://www.inafed.gob.mx
Kicher, J., 2008. Una Introducción a los animales, plantas y ecosistemas del trópico del nuevo mundo. Eds. American Birding. Estados Unidos de Norteamérica. Cap. 6 p. 144.
López-S., J.A. y S.J. Pérez, 2010. Fitoquímica y valor ecológico del olor a ajo en los vegetales. Medicina naturista, 1(4): 15-23.
Martínez-M., M., 2006. Ciencia y arte en la metodología cualitativa. 2da ed. Trillas. México. 351 pp.
Mendenhall, W., 1987. Introducción a la probabilidad y la estadística. Eds. Iberoamérica. México. 626 pp.
Norma Oficial Mexicana, 2010. (NOM-059-SEMARNAT-2010). Protección ambiental especies nativas de México flora y fauna silvestres categorías de riesgo y especificaciones para su inclusión, exclusión o cambio de lista de especies en riesgo. Secretaría del Medio Ambiente y Recursos Naturales.
Secretaría de Salud (SS), 2016. Boletín epidemiológico. Sistema Nacional de Vigilancia Epidemiológica. Sistema único de información. 20(33). Disponible en: http://www.gob.mx/salud
Servicio de Salud en Oaxaca (SSO), 2016. Disponible en: http://www.salud-oaxaca.gob.mx
Peralta Juárez, I., 2015. “Etnobotánica del ‘guaje’ en dos comunidades de la mixteca baja Oaxaqueña y efecto de los extractos de Leucaena esculenta (Moc. & Sessé Ex. DC.) Benth, en cisticercos de Taenia crassiceps”. Tesis de licenciatura. Facultad de Ciencias. Universidad Nacional Autónoma de México. 77 pp.
Pérez, O.; N. Avilés, y P. Albarrán, 2011. “Identificación, usos y medición de leguminosas arbóreas forrajeras en ranchos ganaderos del sur del Estado de México”. Tropical and Subtropical Agroecosystems, 14(2): 739-748. Universidad Autónoma del Estado de México-Centro Universitario UAEM Temascaltepec.
Robles, A.C., 1990. “Leucaena: árbol de uso múltiple (estudio de caso en el oriente del estado de Morelos)”. Tesis de licenciatura. División de Ciencias Forestales. Universidad Autónoma Chapingo. Chapingo Edo. de México. 103 pp.
Román-Cortés, N.; Ma. del R. García-Mateos, A.M. Castillo-González, J. Sahagún-Castellanos, A., Jiménez-Arellanes, 2014. “Componentes nutricionales y antioxidantes de dos especies de guaje (Leucaena spp.): un recurso ancestral subutilizado”. Rev. Chapingo Serie Horticultura, 20(2): 157-170.
Romero-Castillo, P.A.; A. Gómez-Campos, Ma. C. Pérez Amador-Barrón, V. Muñoz-Ocotero, y A. Reyes-Dorantes, 2011. “Uso de la corteza del corongoro Ziziphus amole (Sessé & Moc.) M.C. Johnst. en la medicina tradicional xochipalense”. Polibotánica, 32: 207-218.
Smith, C.E., 1967. “Plant remains”. Byers, D.S. The Prehistory of the Tehuacán Valley. University of Texas Press, Capítulo 12, Texas, EUA, 220-255 pp.
Statistical Analysis System (SAS) V8, SAS Inst., Cary, NC, USA.
Weller S.; C. Romney, y A. Kimball, 1988. Systematic data collection: Qualitative Research Methods, (Ed) SAGE Publications, United States of America 14 pp.
Zárate, P.S., 1982. “Las especies de Leucaena Benth. de Oaxaca, con notas para la sistemática del género para México”. Tesis de licenciatura, Facultad de Ciencias, UNAM, México: 160 pp.
Zárate, P.S., 1994. “Revisión del género Leucaena en México”. Anales Inst. Biol. UNAM, Ser. Bot., 65(2): 83-192.