Artículo científico
Composición y estructura del matorral desértico rosetófilo del sureste de Coahuila, México
Composition and structure of a rosetophyllus desert scrub of southeast Coahuila, México
Composición y estructura del matorral desértico rosetófilo del sureste de Coahuila, México
Polibotánica, núm. 44, pp. 67-77, 2017
Instituto Politécnico Nacional, Escuela Nacional de Ciencias Biológicas
Recepción: 17 Mayo 2016
Aprobación: 09 Marzo 2017
Resumen: En este estudio se evaluó la composición y estructura del matorral desértico rosetófilo (MDR) del sureste de Coahuila, México. Se establecieron aleatoriamente 48 sitios de muestreo de 50 m2 (5x10 m), en los que se registraron todas las especies vegetales. Se registraron 18 familias, 45 géneros y 56 especies. La familia que presentó mayor porcentaje de especies fue Cactaceae con el 30.35% (17 especies), seguida de Asteraceae con 12.50% (7 especies) y Fabaceae y Poaceae cada una representada con el 8.92% (5 especies). Los géneros con mayor número de especies fueron Agave, Echinocereus y Opuntia, con tres especies cada una. La estructura se analizó por estratos (alto y bajo), registrándose una densidad de 13,522 ind./ha en el estrato alto y 41,841 ind./ha en el estrato bajo. Las especies con mayor valor de Índice de Valor de Importancia fueron Fouquieria splendens para el estrato alto y Agave lechuguilla para el estrato bajo. El presente estudio generó información cuantitativa del MDR sureste de Coahuila, el cual se espera sirva de base para futuros planes de manejo o conservación.
Palabras clave: diversidad, Cactaceae, Índice de Valor de Importancia.
Abstract: In this paper we evaluate the composition and structure of a rosetophyllus desert scrub (RDS) of southeast Coahuila, Mexico. Randomly 48 sampling sites of 50 square meters (5 x 10 m) were established. In each sampling site all of the plant species were registered. Eighteen families, 45 genera, and 56 species were recorded. The family that presented the highest percentage of species was Cactaceae with 30.35% (17 species), followed by Asteraceae with 12.50% (7 species); Fabaceae and Poaceae each represented with 8.92% (5 species). The genera with the most number of species was Agave, Echinocereus and Opuntia with species each. The structure was analyzed by two stratus’s, the high stratus with a density of 13,522 ind/ha and the low stratus with 41,841 ind/ha. The species recording the highest Index of Importance Value was Fouquieria splendens for the high stratus and Agave lechuguilla for low stratus. The present study generated quantitative information on the RDS of Coahuila, which is expected to serve as the basis for future management or conservation plans.
Key words: Diversity, Cactaceae, Index of Importance Value.
Introducción
Los desiertos de la región Neártica se encuentran en el centro y norte de México y sur de Estados Unidos de América, cubriendo aproximadamente 1.7 millones de km2 (Navone y Abraham, 2006) y son considerados como los de mayor riqueza de especies entre las regiones secas del mundo (Hoyt, 2002). En México las comunidades vegetales que ocupan la mayor superficie son los matorrales con más de 500,000 Km2 (Velázquez et al., 2002), pese a su vasta extensión territorial, existen aún pocos estudios del matorral desértico rosetófilo, dónde se han realizado algunos trabajos florísticos y ecológicos (Fernández y Colmenero, 1997; Sánchez-González y Granados-Sánchez, 2003; Huerta-Martínez y García-Moya 2004; González-Costilla et al., 2007; Giménez-De Azcarate y González-Costilla, 2011; Treviño-Carreón y Hernández-Sandoval, 2000).
Algunos de los antecedentes específicos sobre el matorral desértico rosetófilo son el de Treviño-Carreón y Hernández-Sandoval (2000) para Querétaro, el de Martorell y Ezcurra (2002) en Baja California Sur, Querétaro, Hidalgo y Puebla y el de Alanís-Rodríguez et al. (2015) y Mata-Balderas et al., (2015) para Nuevo León. En el estado de Coahuila se han desarrollado algunos estudios enfocados a describir exclusivamente los matorrales desérticos rosetófilos, por ejemplo Encina-Domínguez et al. (2013) analizaron la estructura y diversidad de las especies leñosas presentes en un matorral desértico rosetofilo dominado por Dasylirion cedrosanum (sotol), sin embargo, estas comunidades vegetales requieren de mayor estudio, ya que tienen una amplia distribución en la entidad y han sido catalogadas como prioritarias por su alto nivel de endemismo (González-Costilla et al., 2007; Alanís-Flores et al., 2011; Sosa y De Nova, 2012). El objetivo de la investigación fue evaluar la composición y estructura de un matorral desértico rosetófilo del sureste de Coahuila, México.
Métodos
Área de estudio
La investigación se desarrolló en una comunidad vegetal del matorral desértico rosetófilo en el municipio de Arteaga, Coahuila (noreste de México, Figura 1). Las coordenadas de ubicación del área de estudio son 25°25´00´´ N y 100°31´43´´ O. El área presenta un intervalo altitudinal de 1740 a 1850 m, la temperatura media anual oscila entre los 17.4 y 24.4°C, la precipitación promedio anual es de 691.4 mm y suelos de tipo: litosol, rendzina y regosol calcárico, con textura media (INEGI, 2012).

Evaluación de la vegetación
En el verano del año 2012 se establecieron aleatoriamente 48 sitios de muestreo de 50 m2 (5x10 m) en una superficie de 407.56 ha. Después se elaboró una curva especie-área (Jiménez-Valverde y Hortal, 2003) (Figura1 ) con la finalidad de corroborar que el número de sitios establecidos cumplen con el mínimo de sitios necesarios con los que se obtiene información representativa de las especies presentes en el área. En los sitios de muestreo se registraron todas las especies vegetales, analizándolas por estratos de acuerdo a su forma biológica y altura promedio. Las suculentas con una altura promedio menor a un metro y herbáceas se consideraron como estrato bajo; las arbóreas, arbustivas y suculentas mayores de un metro de altura promedio como estrato alto. A todos los individuos se les midió la cobertura de copa para estimar la dominancia, la cual se obtuvo a través de una cinta métrica midiendo el espacio ocupado en sentido norte-sur y este-oeste. Así mismo, se realizó la recolecta de todas las especies de plantas evaluadas, para su posterior determinación taxonómica en la Facultad de Ciencias Forestales de la Universidad Autónoma de Nuevo León. Para la nomenclatura de los nombres científicos se utilizó la base de datos Tropicos del Missouri Botanical Garden (MOBOT, 2015)
Análisis de la información
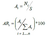
A partir de los datos de los sitios de muestreo, se derivó información fitosociológica y dasométrica. Para cada especie se determinó la abundancia, de acuerdo al número de árboles, la dominancia, en función del área basal, y la frecuencia con base en la presencia en los sitios de muestreo. Los resultados se utilizaron para obtener un valor ponderado a nivel de taxón, denominado Índice de Valor de Importancia (IVI), que adquiere valores porcentuales en una escala del 0 al 100 (Mueller-Dombois y Ellemberg, 1974). La estimación de la abundancia relativa específica se realizó mediante la aplicación de la siguiente ecuación:

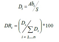
Donde Ai es la abundancia de la especie i, Ni es el número de individuos de la especie i, S la superficie de muestreo (ha) y ARi es la abundancia relativa de la especie i respecto a la abundancia total. Para estimar la dominancia relativa (DRi) se empleó:

Donde Di es la dominancia de la especie i, Abi el área de copa de la especie i, y S la superficie de muestreo (ha). La frecuencia relativa (FRi ) se obtuvo con la siguiente ecuación:

Donde Fi es la frecuencia de la especie i, Pi la frecuencia de la especie i en las parcelas, y NS el número total de parcelas. El Índice de Valor de Importancia (IVI) se define como:

Resultados
Composición florística
En total se registraron 18 familias, 45 géneros y 56 especies (Tabla 1; Apéndice). La familia que presentó mayor porcentaje de especies fue Cactácea con el 30.35% (17 especies), seguida de Asteraceae con 12.50% (siete especies), así como Fabácea y Poaceae, cada una con el 8.92% (cinco especies). Los géneros con mayor número de especies fueron Agave, Echinocereus y Opuntia, con tres especies cada una; el resto de los géneros presentaron una o dos especies.



Cuatro especies se encuentran en estatus de protección de acuerdo a la NOM-059-SEMARNAT-2010, siendo tres endémicas de México (Ferocactus pilosus, Thelocactus macdowelli y Turbunicarpus valdezianus), la segunda endémica de Coahuila y Nuevo León (SEMARNAT, 2010), y dos catalogadas como Vulnerables según la Unión internacional para la Conservación de la Naturaleza (Lophophora williamsii y Turbinicarpus valdezianus) (Terry, 2013; Fitz-Maurice y Fitz-Maurice, 2013).
Estructura
La estructura se analizó se definió por estratos (estrato alto y estrato bajo), registrándose una densidad de 13,522 ind/ha en el estrato alto y 41,841 ind/ha en el estrato bajo. Las familias Fabaceae, Fouqueriaceae y Liliaceae fueron las más importantes del estrato alto, sumando 56.46% del IVI; Agavaceae, Selaginellaceae y Cactaceae las más importantes del estrato bajo con 68.15% del IVI. A nivel especie las más relevantes, por su valor de importancia, fueron Fouquieria splendens y Agave lechuguilla para cada estrato, respectivamente.
La dominancia absoluta fue de 1,109 m2/ha para el estrato alto y 1,088 m2/ha para el estrato bajo, sumando 2,197 m2/ha en total. Este valor indica que existe un 21.97% de cobertura vegetal y el restante 78.03% es suelo desprovisto de vegetación. En términos de dominancia relativa, los mayores valores para el estrato alto correspondieron a Dasylirion texanum, Parthenium argentatum y Fouquieria splendens (21.13%, 15.45% y 14.30%, respectivamente). Dasylirion texanum fue la especie que presentó mayor área basal con 234.53 m2/ha-1. Referente al estrato bajo, Agave lechuguilla, Hechtia scariosa y Agave striata (39.67%, 19.11% y 14.97%, respectivamente) tuvieron una dominancia muy elevada sobre las demás especies, por lo que la fisionómica de la comunidad está determinada por estas especies.
Los mayores valores para frecuencia relativa correspondieron a Dasylirion texanum, Acacia berlandieri y Opuntia stenopetala, mostrando una alta presencia en los sitios de estudio en el estrato alto. Para el estrato bajo, Agave lechuguilla mostró la mayor frecuencia relativa con 10.75%, le siguen en mayor porcentaje las especies Hechtia scariosa y Agave striata ambos con 8.46%.
Discusión
Composición florística y estructura
El matorral desértico rosetófilo evaluado estuvo dominado por formas biológicas arbustivas y suculentas, así como de herbáceas en su mayoría cosmopolitas y particularmente dos especies de pteridofitas.
La riqueza registrada difiere de la documentada por Alanís-Rodríguez et al. (2015) y Mata-Balderas et al., (2015), ambos estudios registraron en una mayor superficie de muestreo, sólo 35 especies, una riqueza inferior a la del presente trabajo (56 especies). Es probable que estos resultados se relacionen con las condiciones ambientales en cada área de investigación, Alanís-Rodríguez et al. (2015) y Mata-Balderas et al. (2015) estudiaron el matorral desértico rosétofilo en el municipio de Mina, Nuevo León, con una precipitación anual de 277.7 mm (Moya et al., 2002), en contraste a la registrada en el área analizada en el presente estudio, con una precipitación anual más elevada, entre 450 a 500 mm (Cerano-Paredes, et al. 2011) y con respecto al trabajo de Treviño-Carreón y Hernández-Sandoval (2000), quienes reportaron 83 especies para un matorral desértico rosétofilo en el estado de Querétaro, donde se registra una precipitación de 600 mm en la parte central, y conforme se eleva la latitud, la precipitación aumenta con un máximo de 900 mm (Reyna, 1970). Esto indica que la riqueza de especies podría estar asociada a la precipitación, ya que conforme aumenta la precipitación aumenta la riqueza específica, lo que sugiere que los factores ambientales desempeñan una función positiva sobre la riqueza de especies en el área estudiada, tal como lo proponen para otra área de la zona semiárida de México Huerta-Martínez y García-Moya (2004).
Las familias más representativas del matorral desértico rosétofilo fueron: Cactaceae, Asteraceae y Fabaceae, lo cual concuerda con estudios similares (Alanís-Rodríguez et al., 2015; Mata-Balderas et al., 2015; Encina-Domínguez et al., 2013 y Martorell y Ezcurra, 2002), donde la dominancia de la familia Cactaceae fue habitual en este tipo de vegetación. Las especies más representativas en el área analizada (Dasylirion texanum, Fouquieria splendens y Agave lechuguilla), también fueron las más comunes en el matorral desértico rosetófilo estudiado por Alanís-Flores (1996). A nivel estrato, las especies que destacan son Fouquieria splendens (estrato alto) y Agave lechuguilla (estrato bajo). Fouquieria splendens es una especie endémica de las zonas áridas de México, con gran variación morfológica a lo largo de su área de distribución, por lo que ha sido dividida en tres subespecies y dos variedades. En el área de estudio se encuentra la subespecie Fouquieria splendens ssp. breviflora Henrickson, la cual crece en matorrales xerófilos sobre laderas pedregosas o terrenos planos y se considera como una subespecie que no tiene problemas de supervivencia en este ecosistema, ya que es abundante a lo largo de su área de distribución (Zamudio, 1995). Diversos autores señalan que Agave lechuguilla es una de las especies de mayor dominancia fisionómica y cuantitativa en el matorral desértico rosetófilo, ya que es una planta monocárpica polianual (con 15 a 20 años de vida), con alta capacidad de competencia intraespecífica (alcanza densidades de 21,000 a 28,000 individuos/ha) e interespecífica (predomina frecuentemente en el matorral desértico rosetófilo, comunidad de alta diversidad florística) (Reyes-Agüero et al., 2000).
Sin embargo, en este trabajo destaca también la especie Selaginella pilifera en el estrato bajo con el segundo mayor Índice de Valor de Importancia, esta pteridofita también conocida como la “planta de la resurrección” es indicadora de la predominancia de suelos rocosos compuestos por limos (Mickel y Smith, 2004). Gutiérrez y Solano (2014) señalan poca representación para los helechos y licopodios en el centro de México, donde mencionan que los géneros con mayor representación fueron Cheilanthes y Selaginella, respectivamente. Montelongo-Landeros et al. (2015) documentaron a la familia Selaginellaceae es una de las más abundantes en un matorral desértico rosetófilo y en un matorral desértico micrófilo, en el estado de Durango.
Conclusiones
El matorral desértico rosetófilo del sureste de Coahuila presenta altos valores de dominancia (2,197 m2/ha) y densidad (55363 N/ha), comparado con otras comunidades de MDR en el Noreste de México. El área se encuentra bien representada por especies típicas del MDR, y cuatro especies bajo algún estatus de riesgo de acuerdo a la normatividad mexicana (Ferocactus pilosus, Thelocactus macdowelli, Lophophora williamsii y Turbunicarpus valdezianus), dos de estas también protegidas internacionalmente por la UICN. El presente estudio generó información cuantitativa del MDR sureste de Coahuila, el cual se espera sirva de base para futuros planes de manejo o conservación.
Agradecimientos
Se agradece a la empresa CONTRISSA, SA de CV por su apoyo logístico en el inventario florístico.
Literatura citada
Alanís-Flores, G. J.; M. A. Alvarado-Vázquez, L. Ramírez-Freire, R. Foroughbakhch-Pornavab y C. G. Velazco-Macías, 2011. “Flora endémica de Nuevo León, México y estados colindantes”. J. Bot. Res. Inst. Texas, 5:275-298.
Alanís-Flores G. J, 1996. Vegetación y flora de Nuevo León, una guía botánico-ecológica. Impresora Monterrey, S.A. de C.V. San Nicolás de los Garza, N.L. pp. 1-20.
Alanís-Rodríguez, E.; A. Mora-Olivo, J. Jiménez-Pérez, M. A. González-Tagle, J. I. Yerena-Yamallel, J. G. Martínez-Ávalos y L. E. González-Rodríguez, 2015. “Composición y diversidad del matorral desértico rosetófilo en dos tipos de suelo en el Noreste de México”. Acta Bot. Mex., 110:105-117.
Cerano-Paredes, J.; J. Villanueva-Díaz, R. Valdez-Cepeda, E. Cornejo-Oviedo, I. Sánchez-Cohen y V. Constante-García, 2011. “Viabilidad histórica de la precipitación reconstruida con anillos de árboles para el sureste de Coahuila”. Rev. Mex. Cien. For., 2(4):33-47.
Encina-Domínguez, J. A.; J. A. Meave y A. Zárate-Lupercio, 2013. “Structure and woody species diversity of the Dasylirion cedrosanum (Nolinaceae) rosette scrub of central and southern Coahuila state, Mexico”. Bot. Sci. 91(3):335-347.
Fernández-Nava R. y J. A. Colmenero-Robles, 1997. “Notas sobre la vegetación y flora de San Joaquín, Querétaro, México”. Polibotánica, 4:10-36.
Fitz-Maurice W. A., y B. Fitz-Maurice, 2013. Turbinicarpus valdezianus. The IUCN Red List of Threatened Species 2013: e.T41000A2950016 <http://dx.doi.org/10.2305/IUCN.UK.2013-1.RLTS.T41000A2950016.en.> Consultado el 19 de Enero del 2016.
Giménez-De Azcarate J., y O. González-Costilla, 2011. Pisos de vegetación de la Sierra de Catorce y territorios circundantes (San Luis Potosí, México). Acta Bot. Mex, 94:91-123.
González-Costilla, O.; J. Giménez-DeAzcarate, J. García-Pérez y J. R. Aguirre-Rivera, 2007. “Flórula vascular de la Sierra de Catorce y territorios adyacentes, San Luís Potosí, México”. Acta Bot. Mex, 78:1-38.
Gutiérrez, J., y E. Solano, 2014. “Afinidades florísticas y fitogeografías de la vegetación del municipio de San José Iturbide, Guanajuato, México”. Act. Bot. Mex, 107: 27-65.
Hoyt, A. C, 2002. “The Chihuahuan Desert: Diversity at Risk”. Endanger. Species Res, 27(2): 16-17.
Huerta-Martínez, F. M., y E. García-Moya, 2004. “Diversidad de especies perennes y su relación con el ambiente en un área semiárida del centro de México: Implicaciones para la conservación”. Interciencia, 29(8):431-441.
INEGI, 2012. Anuario Estadístico de Coahuila de Zaragoza. Instituto Nacional de Estadística y Geografía. Aguascalientes, México, pp.490
Jiménez-Valverde, A., y J. Hortal. 2003. “Las curvas de acumulación de especies y la necesidad de evaluar la calidad de los inventarios biológicos”. Rev. Iber. Aracnol, 8:151-161.
Martorell, C., y E. Ezcurra, 2002. Rosette scrub occurrence and fog availability in arid mountains of Mexico. J. Veg. Sci., 13:651-662.
Mata-Balderas, J. M.; E. J. Treviño-Garza; J. Jiménez-Pérez; O. A. Aguirre-Calderón; E. Alanís-Rodríguez y A. Mora-Olivo, 2015. Estructura y composición florística del matorral desértico rosétofilo del noreste de México. Ciencia UANL 18(75):67-74.
Mickel, J. T., y A. Smith, 2004. The Pteridophytes of Mexico. Memoirs of the New York Botanical Garden, pp.1054.
MOBOT (Missouri Botanical Garden), 2015. Tropicos.org.En línea disponible en http://www.tropicos.org/Home.aspx (consulta 20 de julio de 2015).
Montelongo-Landeros, M.; J. Alba-Ávila; U. Romero-Méndez y C.,García-De la Peña, 2015. “Pteridofitas de las sierras El sarnoso y Mapimí en Durango, México”. Rev. Mex. de Biodiv., 86:448-456.
Moya-Rodríguez, J.; R. Ramírez-Lozano, R. Foroughbakhch, L. Háuad-Marroquín y H. González-Rodríguez, 2002. “Variación estacional de minerales en las hojas de ocho especies arbustivas”. Ciencia UANL 5(1):59-65.
Mueller-Dombois, D., y H. Ellemberg, 1974. Aims and methods of vegetation ecology. John Wiley, New York, pp. 547.
Navone, S., y E. Abraham, 2006. State and trends of the world´s deserts. En: Ezcurra, E. (eds). Global Deserts Outlook, UNEP, Kenia, pp. 73-88.
Reyes-Agüero, J.; J. Aguirre-Rivera y C. Peña-Valdivia, 2000. “Biología y aprovechamiento de Agave lechuguilla Torrey”. Bol. Soc. México, 67:75-88.
Sánchez-González, A., y D., Granados-Sánchez, 2003. “Ordenación de la vegetación de la Sierra de Catorce, San Luis Potosí, a lo largo de gradientes ambientales”. Terra Latin, 21(3):311-319.
Sosa V., y A. De Nova, 2012. “Endemic angiosperm lineages in Mexico: hotspots for conservation”. Acta Bot. Mex, 100:293-315.
SEMARNAT Secretaría de Medio Ambiente y Recursos Naturales.. 2010. Norma Oficial Mexicana NOM-059-SEMARNAT-2010. Protección ambiental-Especies nativas de México de flora y fauna silvestres-Categorías de riesgo y especificaciones para su inclusión, exclusión o cambio-Lista de especies en riesgo. México.
Terry, M. 2013. Lophophora williamsii. The IUCN Red List of Threatened Species 2013: e.T151962A581420 <http://dx.doi.org/10.2305/IUCN.UK.20131.RLTS.T151962A581420.en. > Consultado el 19 de Enero del 2016.
Treviño-Carreón, J., y L.G. Hernández-Sandoval, 2000. Introducción a los matorrales rosetófilos de Querétaro, México. Mejores Trabajos del Simposio 2000La Investigación y el Desarrollo Tecnológico en Querétaro. Consejo de Ciencia y Tecnología de Querétaro. Querétaro, México pp. 16-25.
Velázquez, A.; J. F. Mas, R. Mayorga Saucedo, J. R. Díaz, C. Alcántara, R. Castro, T. Fernández, J. L. Palacios, G. Bocco , G. Gómez-Rodríguez, L. Luna-González, I. Trejo, J. López-García, M. Palma, A. Peralta, J. Prado-Molina, F. González-Medrano, 2002. “Estado actual y dinámica de los recursos forestales de México”. Biodiversitas, 41:8-15.
Zamudio, S. 1995. Fouquieriaceae. Flora del bajío y de regiones adyacentes. Instituto de Ecología, A. C. Pátzcuaro, Michoacán, pp. 7.
Apéndice

Apéndice

Apéndice

Notas de autor
Autor para correspondencia: eduardo.alanisrd@uanl.edu.mx