Artículo científico
Efecto de la restricción de agua edáfica en el potencial de agua y acidez diurna y nocturna de Ferocactus histrix y F. pilosus
Effects of soil water restriction on tissue water potential and diurnal and nocturnal acidity changes on Ferocactus histrix y F. pilosus
Efecto de la restricción de agua edáfica en el potencial de agua y acidez diurna y nocturna de Ferocactus histrix y F. pilosus
Polibotánica, núm. 44, pp. 167-183, 2017
Instituto Politécnico Nacional, Escuela Nacional de Ciencias Biológicas
Recepción: 05 Marzo 2016
Aprobación: 08 Mayo 2017
Resumen: Plantas de la familia de las Cactaceae tienen características morfológicas y fisiológicas, como tallos suculentos y fotosintéticos, presencia de espinas, cutícula gruesa y blanquesina, que les permiten una reducción en la pérdida por transpiración e intervienen en la economía del agua, así como el metabolismo del ácido crasuláceo típico de las plantas MAC, mecanismos que les han permitido adaptarse a ambientes con déficit de humedad. Ferocactus histrix es una cactácea globosa y F. pilosus tiene tallo columnar, ambas especies están en la norma NOM-059-SEMARNAT 2010, en la categoría de riesgo “sujetas a protección especial”. De la fisiología y mecanismo de adaptación a condiciones adversas de estas especies se conoce muy poco. El objetivo de este estudio fue evaluar el efecto del riego y su restricción en el potencial de agua (ΨA) de las células del parénquima y clorénquima y en los cambios de su acidez diurna y nocturna de plantas de Ferocactus pilosus y F. histrix. La hipótesis fue que la planta regula positivamente el potencial de agua (ΨA) de sus tejidos y mantiene los patrones diurnos y nocturnos de acidez típicos de las plantas MAC, independientemente de la suspensión de riego. Plantas, de cada especie, se mantuvieron con riego semanal o sin él por un año. El estudio se realizó con un diseño experimental completamente al azar. La unidad experimental fue una planta con cuatro repeticiones se evaluaron cada 4 h por 24 h, a los 3, 6 y 12 meses. El ΨA se evaluó en el parénquima y clorénquima, a su vez se cuantificó la acidez titulable de ambos tejidos por valoración con NaOH. El parénquima fue el tejido más afectado por la ausencia de riego, el cual a los 12 meses alcanzó ΨA de -3.23 en F. histrix y -9.29 MPa en F. pilosus. El contenido de ácido málico disminuyó en ambos tejidos y en ambas especies durante el año; en F. histrix el clorénquima disminuyo 45 % en fase nocturna y 33 % en fase diurna, mientras que el parénquima disminuyó 35 % en fase nocturna y 28 % en fase diurna; respecto a F. pilosus la disminución en el clorénquima fue 90.47 % en fase nocturna y 68.18 % en fase diurna, y el parénquima 81 % en ambas fases. La suspensión de riego por 3, 6 y 12 meses afectó diferente la acumulación de ácido málico en el ciclo de 24 h de los tejidos de Ferocactus, y disminuyó la síntesis de ácido málico conforme aumentó el tiempo sin riego. Ambas especies toleraron hasta 12 meses en esta condición y reactivaron su desarrollo con la aplicación del riego posterior.
Palabras clave: cactáceas, MAC, ácido málico, riego, Cactaceae, Ferocactus.
Abstract: Plants of the Cactaceae family have morphological and physiological characteristics, such as succulent and photosynthetic stems, spines, thick whitish water economy, and crassulacean acid metabolism (CAM), which allows them to adapt to arid environments. Ferocactus histrix is a globose stem cactus and F. pilosus is a columnar one, both species are found in the standard NOM-059-SEMARNAT-2010 official rules, in the category of risk "subject to special protection". Physiology and mechanism of adaptation to adverse conditions of these species is known very little. The aim of the study was to evaluate the effect of irrigation and water restriction on parenchyma and chlorenchyma water potential (ΨA) and on changes in its daytime and nighttime acidity in Ferocactus pilosus y F. histrix plants. The hypothesis was that plants upregulate tissues ΨA and maintain diurnal and nocturnal typical acidity patterns as a CAM plants, regardless of the irrigation suspension. Plants of each species were maintained with or without weekly irrigation for a year. The study was conducted with a completely randomized design. The experimental unit was a plant and four units were assessed every 4 h for 24 h, after 3, 6 and 12 months. ΨA was evaluated in the parenchyma and chlorenchyma tissue as well as acidity of both tissues by titration with NaOH. The parenchyma tissue was the most affected by the lack of irrigation, which after 12 months reached ΨA of -3.23 in F. histrix and -9.29 MPa in F. pilosus. The malic acid content decreased in both tissues and in both species during the year; in chlorenchyma of F. histrix it decreased 45 % in nighttime phase and 33 % in light phase while the parenchyma decreased 35 % in nighttime phase and 28 % in light phase; in chlorenchyma of F. pilosus the decrease was 90.47 % at night phase and 68.18 % in light phase, and 81 % in parenchyma in both phases. The irrigation suspension for 3, 6 and 12 months affected malic acid accumulation differently in the cycle of 24 h Ferocactus tissues, and decreased the synthesis of malic acid as increased time without irrigation. Both species tolerate up to 12 months in this condition and reactivated its growth with further irrigation.
Keywords: Cactaceae, CAM, malic acid, irrigation, Cactaceae, Ferocactus.
Introducción
Ferocactus histrix es una cactácea con tallo globoso a ampliamente subovoide, alcanza alrededor de 50 cm y hasta 1 m de altura y 50 cm de diámetro (Anderson, 2001; Bravo-Hollis y Sánchez-Mejorada, 1991; Del Castillo y Trujillo, 1991). La distribución de esta especie es amplia en las montañas del altiplano mexicano (Anderson, 2001; Bravo-Hollis y Sánchez-Mejorada, 1991).
Las plantas de F. pilosus son cactáceas simples o cespitosas, con tallos columnares que pueden alcanzar hasta 3 m de altura y 50 cm de diámetro, con 13 a 20 costillas algo agudas y no tuberculadas en las plantas adultas (Anderson, 2001; Bravo-Hollis y Sánchez-Mejorada, 1991) y su distribución natural es en los estados del norte del altiplano mexicano (Hernández, 2006).
Ferocactus histrix y F. pilosus son especies que se encuentran en la norma NOM-059-SEMARNAT 2010 (NOM-059-ECOL-2011), en la categoría de riesgo “sujetas a protección especial” (Pr); así, ambas especies podrían llegar a encontrarse amenazadas por la pérdida y fragmentación de su hábitat, explotación excesiva, contaminación, especies introducidas, cambio climático y otros factores (FAO, 1997). Por esto, surge la necesidad de propiciar la recuperación y conservación de sus poblaciones (NOM-059-ECOL-2011) y del conocimiento amplio de su fisiología.
Ferocactus histrix y F. pilosus, como otras cactáceas, se distinguen porque su fotosíntesis sigue la ruta metabólica conocida como “Metabolismo Ácido Crasuláceo” (MAC). Este metabolismo es una adaptación a los ambientes áridos y semiáridos, por lo que pueden permanecer vivas durante periodos prolongados de meses e inclusive años sin agua (Feakins y Sessions, 2010). Las plantas con metabolismo MAC economizan agua (1/4 de agua de su peso por día) por disminución de la pérdida por traspiración, ya que abren sus estomas por la noche, cuando la temperatura ambiental es menor y además porque en ausencia de luz, estas abren sus estomas, en donde posiblemente es el calcio (Ca++) el que participa en la apertura de los estomas en la noche (Yánez et al., 2009). Las células relacionadas con el metabolismo MAC se caracterizan por su suculencia y la presencia de una vacuola grande, que puede ocupar cerca de 90 % del volumen celular y que almacena ácidos orgánicos, fosfato y agua (Andrade et al., 2007). Tienen gran cantidad de tejido no fotosintético (parénquima), formado con células que mantienen reservas de agua, por lo que contribuyen a la supervivencia en los periodos de sequía (Cushman y Bohnert, 1997).
En el metabolismo MAC típico se identifican cuatro fases a lo largo del día (Andrade et al., 2007; Azcón-Bieto y Talón, 2008; Lüttge, 2004). La fase I es nocturna, sucede cuando la resistencia estomática es baja y la concentración de ácidos orgánicos, como el málico, aumenta simultáneamente con la tasa de fijación de CO2 (Bronson et al., 2011). Al final de la noche, la concentración de ácido málico (o malato) alcanza un estado estacionario debido al agotamiento del complejo fosfoenol piruvato-fosfoenol piruvato carboxilasa (PEP-PEPasa) y la fijación de CO2 desciende rápidamente. La fase II tiene lugar en las primeras horas del día en presencia de luz, en ésta la resistencia estomática continua baja, pues en la mañana la cantidad de agua transpirada es mínima; en esta fase la tasa de fijación de carbono a través del CO2 incrementa y la concentración de malato disminuye (Cushman, 2001). La fase III es diurna, se realiza en las horas centrales del día cuando la iluminación es intensa y la resistencia estomática aumenta con el cierre estomático completo, por lo que la incorporación de CO2 externo prácticamente es nula. En su lugar, la descarboxilación del ácido málico, acumulado durante la noche, se realiza y se expresa la actividad de la ribulosa-1,5-bifosfato carboxilasa-oxigenasa (rubisco) sobre el C liberado y la ribulosa de los cloroplastos. La fase IV tiene lugar al atardecer, cuando el almacén de ácido málico celular va disminuyendo hasta alcanzar el mínimo (Azcón-Bieto y Talón, 2008). El cambio de acidez en los tejidos fotosintéticos de las plantas MAC en las cuatro fases es cuantificable por valoración de neutralización (titulación ácido-base) y corresponde a los cambios del contenido del ácido málico y algunos otros ácidos orgánicos (Silva y Acevedo, 1995), se expresa como en unidades de equivalentes de acidez o concentración de iones hidrogeno (H+) por unidad de biomasa fresca, de área o de volumen de agua de los tejidos (García-Nava et al., 2014). Además, la determinación de los cambios diarios de acidez es una medición confiable de la actividad MAC y es previa a las técnicas de medición de fijación de CO2 (Andrade et al., 2007; García-Nava et al., 2015).
El metabolismo fotosintético MAC puede ser modificado por factores genéticos y ambientales (temperatura, intensidad luminosa, disponibilidad de elementos minerales, humedad relativa, y humedad en el suelo) (Dodd et al., 2002; Lin, 2009). La información actual sobre los cambios de acidez en el parénquima y clorénquima en plantas MAC sometidas a estrés hídrico, y específicamente en especies de Ferocactus, es escaza. Goldstein et al. (1991) registraron los cambios de la acidez en cladodios de plantas de Opuntia ficus-indica con riego y sin él durante 3 meses; los resultados indicaron que el clorénquima fue más afectado por la falta de agua, pues la acumulación de ácido málico incrementó al final de la noche en comparación con el final del día. En el mismo estudio se observó que en las plantas con riego la acidez nocturna aumentó 362 mmol m-2 respecto al periodo diurno y sin riego la acumulación fue de 97 mmol m-2; además, en el parénquima no se observó diferencia significativa entre las plantas con y sin riego. Una característica de las plantas MAC es el uso eficiente del agua (EUA) (Cushman, 2001; Lüttge, 2004), que es definido como la cantidad de carbono fijado (CO2 asimilado) en la producción de biomasa total o de semillas, en relación al agua consumida, expresada como transpiración, evapotranspiración o aporte total de agua al sistema (Silva y Acevedo, 1995). Por ejemplo, Izquierdo y Muñoz (1995) señalaron que la disminución de 75 a 5 mg de biomasa seca g-1 H2O en la EUA es significativa en O. ficus-indica en condiciones de déficit hídrico. Las plantas de Opuntia sp. en estrés hídrico por 250 días disminuyeron la transpiración de 30 a 50 % en comparación con las plantas con riego (Silva y Acevedo, 1995). En condiciones de sequía, muchas especies MAC pueden presentar un fenómeno conocido como “CAM-idling” (inactividad-MAC) en el que el tiempo de apertura nocturna de los estomas disminuye o permanecen cerrados en el ciclo diurno-nocturno completo, y el ciclo de los ácidos orgánicos se lleva a cabo internamente, lo que impide el intercambio gaseoso con el ambiente (Cushman, 2001; Lüttge, 2004; Ruiz et al., 2007). En esa condición el CO2 fijado, en la formación del ácido málico (ácidos orgánicos), durante la noche es producto de la respiración y en el día el C, producto de la descarboxilación del ácido málico, es incorporado por el ciclo de Calvin en la formación de triosas fosfato (Borland, et al., 2011). En el fenómeno CAM-idling las fases I, II y IV de la fotosíntesis MAC quedan suprimidas. Este comportamiento contribuye al mantenimiento del aparato fotosintético en condiciones de tensión hídrica severa y permite la recuperación rápida luego, cuando se presenta la rehidratación (Cushman y Bohnert, 1997; Drennan y Nobel, 2000).
Los cambios de acidez en las plantas de F. histrix y F. pilosus a lo largo del día no han sido documentados y se desconoce si el efecto de la humedad restringida afecta igual o diferentemente los tejidos de las plantas. El objetivo del estudio fue evaluar el efecto de la restricción de agua en el suelo en el potencial de agua (ΨA) del parénquima y clorénquima y en los cambios de acidez diurna y nocturna de plantas de F. pilosus y F. histrix. La hipótesis fue que la planta regula positivamente el ΨA de sus tejidos y mantiene los patrones diurnos y nocturnos de acidez, típicos MAC independientemente de la suspensión de riego.
Materiales y métodos
Material biológico.
Plantas de F. histrix y F. pilosus de aproximadamente 10 años de edad, en etapa vegetativa, se adquirieron en el Instituto de Investigación de Zonas Desérticas de la Universidad Autónoma de San Luis Potosí, México. Las plantas de ambas especies se multiplicaron a partir de semilla y desarrollaron en condiciones de invernadero (22°09'04" LN y 100°58'34" LO, altitud 1 870 m, clima BSokw(e)gw” y temperatura media anual de 17.8 oC; García, 2004) en macetas con 5 kg de suelo franco limoso (Cuadro 1).

pH: relación suelo-agua 1:2, CE (conductividad eléctrica) medida en el extracto de la pasta de saturación, CO (carbono orgánico) por digestión húmeda; MO (materia orgánica); N-total (nitrógeno total) por Kjeldahl semimicro; CIC (capacidad de intercambio catiónico) y cationes intercambiables extraídos en acetato de amonio pH 7.0; Da (densidad aparente) por el terrón parafinado. arena, limo y arcilla determinados por la pipeta americana; color determinado con la carta de colores de Munsell.
Las plantas en estudio se mantuvieron en un invernadero del Posgrado en Botánica del Colegio de Postgraduados, Campus Montecillo, Estado de México (19º27´ LN, 98º54´ LO).
Métodos.
Durante el estudio la humedad relativa y la temperatura media diurna (de 7 h a 18 h)/nocturna (de 18 h a 7 h) fueron 15/31 % y 35/10 ºC. Las plantas se mantuvieron en el invernadero con riego (500 mL por planta) semanal. Cada grupo de plantas se dividió en dos partes, una se mantuvo con el riego semanal y a la otra se le suspendió el riego durante un año. Después de 3, 6 y 12 meses de mantener las plantas en estas condiciones se realizaron las evaluaciones. En cada muestreo el clorénquima y el parénquima se separaron con un bisturí. El primero presentó aproximadamente de 1.5 a 2.0 cm de espesor y coloración verde bandera; el parénquima tuvo espesor de entre 7.0 y 9.0 cm y coloración verde tenue.
El potencial de agua (ΨA) se evaluó con un medidor de ΨA (Dewpoint Potention Meter, WP4C, EE.UU.). La humedad del suelo se evaluó por diferencia de peso después de cosechar las plantas y deshidratarlo a 105 ºC por 72 h.
El contenido de ácido málico se evaluó en los tejidos de plantas muestreadas cada 4 h en un ciclo de 24 h. El método para cuantificar el ácido málico correspondió a la valoración ácido-base o acidez titulable descrita por la AOAC (Asociación Oficial de Química Analítica, 1990). Muestras de 1 g de cada tejido húmedo se envolvieron en hoja de aluminio, se congelaron por inmersión en N líquido (-196 ºC), se deshidrataron por liofilización (Labconco® modelo Free Zone 6, Kansas city, MO, EE.UU.) y se trituraron en un mortero. Las muestras deshidratadas y maceradas, se mezclaron con 2.5 mL de agua destilada y se centrifugaron a 30 000 x g durante 5 min. Una alícuota de 1 mL del sobrenadante se tituló con una solución de NaOH 0.05 o 0.01 N y fenolftaleína como indicador. La acidez se calculó con la siguiente ecuación:

donde: 0.067 es un factor de conversión a ácido málico (peso miliequivalente del ácido málico) ácido orgánico predominante en los tejidos de las plantas MAC.
Diseño experimental y análisis estadístico.
El estudio se desarrolló con un diseño experimental completamente al azar, con cuatro repeticiones, y una planta como unidad experimental. Los tratamientos estuvieron representados por la combinación especie, hora de muestreo y condición de riego.
Los resultados del ΨA y los siete momentos de muestreo en el ciclo de 24 h fueron analizados con análisis de varianza y comparaciones múltiples de medias con la prueba Tukey (P≤0.05), con el paquete estadístico SAS versión 9.3. También se realizaron comparaciones entre los tratamientos (con riego y sin riego) con la prueba t-Student con el programa SigmaPlot de Jandel Scientific (Versión 11.0).
Resultados
Ferocactus histrix. La disminución del ΨA de los tejidos por la suspensión del riego fue significativa (P<0.001) respecto a los de las plantas con riego. El ΨA del clorénquima de esta especie disminuyó (P≤0.05) a los 6 meses, pero se recuperó a los 12 meses. En contraste, el parénquima disminuyó (P≤0.05) desde los 6 meses.
El ΨA del clorénquima y el parénquima de las plantas sin riego se mantuvo sin cambio (P>0.05) respecto al de las plantas con riego hasta los 3 meses; después de 6 meses sólo el del parénquima disminuyó (P≤0.05) y después de 12 meses sin riego ambos tejidos de F. histrix disminuyeron su ΨA, entre -1 y -3 MPa, respecto a los de las plantas con riego (Cuadro 2).

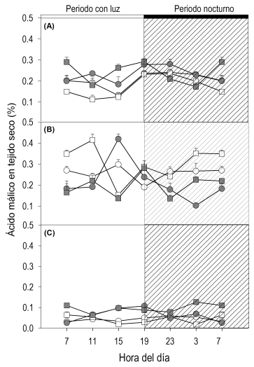
Respecto al contenido de ácido málico en el ciclo de 24 h, el clorénquima y el parénquima de las plantas de F. histrix con y sin riego presentaron cambios significativos (P≤0.05) entre las evaluaciones a los 3, 6 y 12. Las tendencias y cambios fueron diferentes entre las tres fechas de evaluación (Fig. 1A, B y C). Como podría esperarse, las plantas con riego a los 3 meses mantuvieron los tejidos menos ácidos en el periodo diurno, entre las 11 y 15 h. Independientemente de las fluctuaciones en el ciclo de 24 horas, en promedio el clorénquima y el parénquima acumularon 64 % y 42 % más ácido málico en el periodo nocturno que en el diurno (Cuadro 3).


Los tejidos de las plantas sin riego por 3 meses presentaron tendencia similar a la de las plantas con riego, pero en el periodo nocturno mostraron algún valor atípico bajo (Fig. 1 A), por lo que, en promedio el clorénquima acumuló cantidad similar de ácido málico a la del periodo nocturno; en contraste, el parénquima sí mantuvo acumulación mayor (22 %) en la noche respecto al periodo diurno (Cuadro 3).
A los 6 meses las fluctuaciones del contenido de ácido málico fueron conspicuas, sin embargo no son típicas del metabolismo MAC. El clorénquima de las plantas con riego presentó menos ácido málico a las 15 h, luego lo incrementó y a partir de las 3 h y lo mantuvo atípicamente alto hasta las 11 h del día (en la mañana). Aunque este comportamiento encuadra con el MAC, fue atípico que el clorénquima de las plantas con riego a los 6 meses presentara en el periodo diurno contenido promedio de ácido málico similar al periodo nocturno (Fig. 1 B; Cuadro 3). También fue atípico que el parénquima de estas plantas presentara el contenido menor de ácido a las 19 h, al inicio del periodo nocturno, y que la acumulación de ácido en las siguientes horas se mantuviera sin cambio (Fig. 1 B).
Seis meses sin riego también modificaron parcialmente las tendencias de consumo y síntesis/acumulación de ácido málico en ambos tejidos. El clorénquima mantuvo los contenidos menores de ácido málico en el periodo diurno, la concentración menor la alcanzó a las 15 h y, enseguida la duplicó a las 19 h; lo atípico fue que ese contenido disminuyó durante la noche (Fig. 1 B).
Los cambios típicos del tipo MAC en el contenido de ácido málico prácticamente estuvieron ausentes en las plantas de F. histrix después de 12 meses con riego. Los cambios significativos (P≤0.05) en el contenido de ácido málico fueron mínimos en las dos fases en ambos tejidos. Así, los tejidos de F. histrix mostraron disminución estadística (P≤0.05) del contenido de ácido málico en los dos periodos del día, respecto a los contenidos a los 3 y 6 meses (Fig. 1). Además, los efectos de la ausencia de riego por 12 meses en el contenido de ácido málico en F. histrix fueron similares a los descritos en las plantas con riego en el mismo periodo de 12 meses (Fig. 1). Las disminuciones en el clorénquima, independientemente de la condición de riego o periodo del día, constituyeron entre 57 y 78 % del contenido de ácido málico a los 3 meses y en el parénquima entre 67 y 80 % (Cuadro 3).
Ferocactus pilosus. Con riego el ΨA del clorénquima de estas plantas disminuyó estadísticamente después de 6 y 12 meses, respecto a los 3 meses. En el parénquima la disminución (P≤0.05) del ΨA también fue paulatina entre los 3 y 12 meses y alcanzó valores 3.5 veces menores al final respecto al inicio (Cuadro 2). Pero, el ΨA de cada tejido disminuyó significativamente respecto al mismo tejido de las plantas con riego, únicamente después de 12 meses. Similarmente, la disminución del ΨA del parénquima fue más drástica que en el clorénquima y alcanzó tres veces menos el valor en los tejidos de las plantas con riego (Cuadro 2).
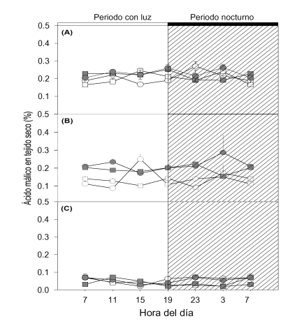
Ambos tejidos de las plantas de F. pilosus presentaron cambios significativos (P≤0.05) del contenido de ácido málico en el ciclo de 24 h y entre las evaluaciones a los 3, 6 y 12 meses con y sin riego (Fig. 2). A los 3 meses el clorénquima de las plantas con riego mostró la concentración menor de ácido málico al amanecer y la del parénquima a las 15 h, en ambos tejidos la acidez titulable incrementó en las primeras horas de la noche y alcanzó el máximo entre las 23 y 3 h (Fig. 2 A). Aunque el metabolismo MAC se caracteriza por presentarse como un ritmo circadiano endógeno, con consumo neto de CO2 que ocurre principalmente durante la noche, puede acompañarse con fluctuaciones diarias en las concentraciones de ácidos orgánicos, más allá del patrón convencional de las cuatro fases del MAC, debido a factores ontogénicos, genotípicos, ambientales y sus interacciones (Dodd et al., 2002; Hernández-González y Briones, 2007; Lin, 2009). En concordancia con lo anterior la síntesis-acumulación-degradación de ácido málico en las plantas en el presente estudio no mostró el patrón convencional a lo largo del día. Para comparar si la cantidad nocturna de ácido málico acumulada fue significativamente mayor que la diurna en las especies de Ferocactus los valores promedio nocturnos se compararon con los diurnos (Cuadro 4). Independientemente de las fluctuaciones a lo largo del día, en promedio la cantidad acumulada de ácido málico en el clorénquima durante el periodo diurno fue similar (P>0.05) a la nocturna; en el parénquima, como es característica de los tejidos con MAC, en el periodo nocturno sí hubo acumulación de ácido málico, aunque no fue abundante (15 %) respecto al contenido promedio diurno (Cuadro 4).


Los cambios en el contenido de ácido a lo largo del día, en ambos tejidos de las plantas con 3 meses sin riego fueron similares (P>0.05) a los de los tejidos de las plantas mantenidas con riego (Fig. 2A). Sin riego por 3 meses, en promedio no hubo diferencia (P>0.05) en la cantidad de ácido acumulado entre los periodos (Cuadro 4).
Los contenidos de ácido málico en el ciclo diurno-nocturno de ambos tejidos de las plantas con riego por 6 meses fueron poco prominentes, salvo una excepción con respuesta atípica en el parénquima a las 15 h. Similarmente, después de 6 meses sin riego los cambios en la acidez, en ambos tejidos, durante las 24 h fueron mínimos, con excepción de una caída del contenido de ácido en el clorénquima y el incremento en el parénquima a las 3 h. Además, las curvas que describen los patrones de acumulación y consumo de ácido málico mostraron que en ambos tejidos, de las plantas sin riego por 6 meses, los valores diurnos y nocturnos fueron superiores que los de las plantas con riego (Fig. 2B).
La evaluación de las plantas con riego a los 12 meses mostró disminución significativa (P≤0.05), entre tres y cinco veces, en el porcentaje de ácido málico en comparación con las plantas con riego a los 3 y 6 meses del inicio del estudio (Cuadro 4). Además de las concentraciones de ácido málico notablemente bajas, en el clorénquima las fluctuaciones típicas MAC se perdieron. Similarmente, en el parénquima, se presentaron concentraciones significativamente bajas de ácido málico, y sin un patrón típico del metabolismo MAC (Fig. 2 C).
Las plantas de F. pilosus con suspensión de riego presentaron disminución estadítica (P≤0.05) en el porcentaje de ácido málico a los 12 meses, respecto a los 3 y 6 meses, y la disminución se presentó en ambos tejidos y en ambas fases (Fig. 2). En el clorénquima el contenido de ácido málico cayó 67 y 57 % en la fase diurna y nocturna y en el parénquima las disminuciones alcanzaron 67 y 80 % respecto a los 3 meses (Cuadro 4). Además, los cambios del contenido de ácido málico en el ciclo de 24 h en los tejidos de las plantas de F. pilosus sin riego por un año fueron notablemente similares a los de las plantas con riego evaluadas a los doce meses (Fig. 2 C).
Discusión
En general F. histrix y F. pilosus mostraron cierta capacidad para mantener estable el ΨA del clorénquima y el parénquima, pues prácticamente, sólo después de 12 meses sin riego presentaron disminución significativa del ΨA.
Los resultados de este estudio en las plantas de Ferocactus con riego coincidieron con los documentados en otra especies MAC, como Furcreae castilla y Furcreae macrophylla, en ellas se observó que el contenido de ácidos orgánicos en las hojas empezó a disminuir a las 8:00 horas hasta cerca de las 19:00 horas, luego la acidez se incrementó como consecuencia de la producción de ácidos orgánicos, principalmente málico (Casierra-Posada y González, 2009). Debe señalarse que aunque la acidez de las plantas MAC se expresa como contenido de ácido málico, pues es el compuesto orgánico que se acumula en proporción mayor y el que se transloca a través de las membranas, también existe la posibilidad de que en los tejidos de algunas especies se acumulen otros ácidos orgánicos, como citrato, específicamente en la vacuola, durante la fase nocturna, y presente producción recíproca de carbohidratos de reserva, es decir, que los carbohidratos que se consumen se produzcan durante la fase diurna (Geydan y Melgarejo, 2005).
La tolerancia de las plantas de Ferocactus spp. a la disminución de humedad edáfica (desde 9.42 % hasta 5.30 % de humedad edáfica) por periodos prolongados se evidenció en el presente estudio. Además, en general los cambios del contenido de ácido málico, que describen al metabolismo tipo MAC, se expresaron aún después de 6 meses sin riego (Fig. 1 A-B y 2 A-B). Los cambios del contenido de ácido málico en cada uno de los tejidos y especies, durante el ciclo diurno-nocturno, y durante el año de evaluación parece que no estuvieron relacionados directamente con el contenido de humedad del suelo y el ΨA de los tejidos (Fig. 1 y 2; Cuadro 3 y 4). Los cambios de acidez típicos del MAC en F. recurvus los observaron Hernández-González y Briones (2007), ellos documentaron la acumulación nocturna de ácidos orgánicos típicos del MAC, con los valores altos (420 mmol m-2) de acidez al amanecer, tres veces más altos que los valores menores, detectados al atardecer.
En las plantas de F. histrix con 12 meses sin riego ambos tejidos modificaron el comportamiento típico de las cuatro fases MAC, ya que no se observó la acumulación nocturna de ácido málico y su degradación diurna (Fig. 1 C). Este comportamiento podría ser interpretado como un efecto de la tensión hídrica prolongada, pues la falta de riego disminuyó el ΨA del clorénquima a -3.23 MPa y el del parénquima a -4.61 MPa. Un efecto similar se observó en los tejidos de las plantas de F. pilosus, en los que además de la modificación del comportamiento MAC el ΨA del clorénquima cayó -1.3 MPa respecto al mismo tejido de las plantas con riego y el del parénquima disminuyó más de -6 MPa. Sin embargo, ambos tejidos de las plantas con riego de ambas especies en la evaluación de 12 meses también modificaron los cambios del contenido de ácido málico tipo MAC y disminuyeron el contenido de ácido con tendencia similar a los tejidos de las plantas sin riego (Fig. 2 C). Por lo que, en las condiciones del presente estudio, existió uno o más factores abióticos como la disminución del potencial osmótico en el tejido (Herppich y Peckman, 2000) e irradianzas bajas (Borland et al., 2011) que afectaron el metabolismo de las plantas. En efecto, se ha señalado que además del déficit de humedad, otras condiciones ambientales, como las temperaturas extremas, la intensidad de la radiación solar y sus interacciones propician que las plantas efectúen reacciones fisiológicas que modifican el metabolismo tipo MAC. Una de esas reacciones es el CAM-idling, que se caracteriza por el cierre, prácticamente continuo, de los estomas durante la noche y el día; así, aunque las plantas evitan pérdidas mayores de agua también disminuyen la fijación del CO2 ambiental, la planta realiza la carboxilación mediante el CO2 derivado de la respiración durante la noche y durante el día la descarboxilación del ácido málico, u otros compuestos orgánicos, para la producción de carbohidratos en el ciclo de Calvin (Borland, et al., 2011; Cushman, 2001; Cushman y Bohnert, 1997; Lüttge, 2004; Ruiz et al., 2007). Esto le permite subsistir periodos largos de sequía edáfica hasta que las condiciones de humedad mejoran y entonces se reactiva el metabolismo MAC típico.
La evaluación de los 3 meses las plantas de F. pilosus, con riego y sin él, también mostraron modificación parcial de su metabolismo tipo MAC, identificada como el incremento en el porcentaje de ácido málico diurno/nocturno (Fig. 2 A) de acuerdo con lo descrito por Cushman y Bohnert (1997) y Drennan y Nobel (2000). Es decir, acumularon los contenidos mayores de ácido málico de las tres fechas de evaluación, tanto en la noche como en el día y sin diferencias significativas entre ambos (Cuadro 4). Esto puede deberse a cierto estrés generado en las plantas por las condiciones ambientales dentro del invernadero, como la irradiación y la temperatura ambiente. Al respecto, Borland et al. (2011) coincidieron en señalar que los factores ambientales, como la intensidad de luz, humedad relativa y disponibilidad de agua combinados, determinan el grado en el que los atributos bioquímicos y fisiológicos del MAC se expresan. Así, la asimilación de CO2, que se afecta por el ambiente, modula el flujo de ácidos orgánicos y el comportamiento estomático y puede observarse un patrón modificado del convencional de cuatro fases del MAC (Cushman, 2001; Drennan y Nobel, 2000; Lüttge, 2004 y 2006; Sipes y Ting, 1985).
En relación con esas alteraciones, el fenómeno CAM-idling fue documentado hace varias décadas por Szarek y Ting (1974) en plantas de O. basilaris, y concluyeron que en condiciones severas de estrés hídrico la asimilación nocturna de CO2 para la formación de ácidos proviene únicamente de fuentes endógenas, la actividad metabólica se disminuye y depende del CO2 reciclado y producido en la respiración. También, se demostró que cuando las plantas de esa especie se cultivaban con riego, presentaban metabolismo MAC típico, pero cuando se encontraban en condiciones de estrés hídrico, después de 22 d, cambiaban su metabolismo a CAM-idling. Cuando las plantas disminuyeron el contenido relativo de agua, y alcanzaron aproximadamente 50 % del contenido agua, el ΨA disminuyó precipitadamente, de -0.2 o -0.3 a -1.2 MPa, los estomas se cerraron, lo que limitó la absorción de CO2, y no hubo fluctuación en el contenido de ácidos orgánicos. Todo este es un comportamiento típico de CAM-idling. En el que dicha modificación del metabolismo MAC en condiciones extremas de sequía pudo influir en el comportamiento de la acidez titulable registrada en el presente estudio. Además, el comportamiento rítmico de la concentración de ácido málico en las plantas de ambas especies de Ferocactus tiene como base otro proceso descrito en plantas superiores, se trata del ritmo de fijación de CO2 durante el desarrollo del metabolismo MAC, éste es controlado por los ritmos circadianos (24 h), por lo que para las plantas con este tipo de metabolismo fotosintético la presencia de luz y oscuridad durante el día y la noche son marcadores de tiempo que modulan su metabolismo (Cushman, 2001). Así, la pérdida del comportamiento típico MAC en la acumulación de ácidos orgánicos en las plantas con riego de Ferocactus de ambas especies pudo deberse al desarrollo del “MAC cycling”. En este tipo de modalidad del metabolismo MAC los estomas permanecen cerrados durante el periodo nocturno, pero existe algo de síntesis nocturna de ácidos orgánicos, que es mantenida por la producción de CO2 respiratorio; luego, durante el día, los estomas se abren, con la asimilación directa de CO2 consecuente y su fijación mediante el ciclo de Calvin (Lüttge, 2004), lo que origina la fluctuación y acumulación pequeña de ácidos orgánicos (Borland et al., 2011). Este tipo de MAC ha sido documentado por Guralnick et al. (1986) en plantas de Codonanthe crassifolia con regadas; sin embargo, es necesario realizar estudios simultáneos de acumulación de ácidos orgánicos e intercambio de gases en plantas de Ferocactus para clarificar este comportamiento.
Las fluctuaciones del porcentaje de ácido málico observadas en el presente estudio en las especies de Ferocactus se presentaron con valores de ΨA de los tejidos notablemente menores a los de otras especies. Al respecto, Littlejohn y Williams (1983) evaluaron los cambios en el contenido de ácido málico en Opuntia erinacea, que calificaron como parte de un comportamiento típico de las plantas con metabolismo MAC, pero cuando el ΨA en los tejidos disminuyó de -0.68 a -0.80 MPa, después de 33 días sin riego, observaron que las fluctuaciones típicas de este metabolismo se redujeron considerablemente en los cladodios. Esto contrasta parcialmente con los resultados del presente estudio, en el que los cambios del MAC, basados en las fluctuaciones del contenido de ácido málico, se observaron en los tejidos de las plantas con seis veces más tiempo sin riego. Adams et al. (1998) coincidieron con otros autores en que la expresión y las modificaciones del MAC pueden atribuirse a diferentes factores ambientales, como la intensidad diurna de la luz, la humedad relativa y la disponibilidad de agua en el suelo, independientes o combinados, y que estos influyen en la proporción de CO2 incorporado durante la noche, vía PEPcasa y durante el día por la Rubisco.
El efecto de más de un factor ambiental en la modificación del metabolismo MAC típico de cuatro fases fue demostrado por Silva y Acevedo (1995) en plantas de O. ficus-indica, en las que la fijación de CO2 se redujo 30 % por el déficit hídrico, debido a la suspensión de riego durante 30 días, respecto a los de las plantas con riego durante el verano, y al término del ensayo, durante el inverno, los valores bajaron hasta 50 %. Keeley y Keeley (1989) observaron el cambio en la acidez en tres cactáceas, Oroya peruviana, Tephrocactus floccosus y Tephrocactus floccosus, durante la estación húmeda, cuando hay más disponibilidad de agua, y el ΨA es alto, en comparación con los de la estación seca, en la que en las tres especies se presentaron concentraciones de ácido málico mayor en la mañana y menor durante la tarde-noche, opuesto al comportamiento MAC.
Goldstein et al. (1991) observaron los cambios en la acidez en plantas de O. ficus-indica con riego y sometidas a estrés hídrico. También observaron que en las células del clorénquima se presentó una acumulación mayor de ácido al final de la noche en comparación con el final del día, y en plantas con riego la acidez nocturna aumentó 362 mmol m-2, pero solo 97 mmol m-2 en las plantas sin riego durante 3 meses; mientras que en el parénquima no observaron diferencias significativas entre las plantas con y sin riego. Estos resultados coinciden con los del presente estudio, ya que los cambios de la acidez parecen no ser efecto único de la disponibilidad restringida de humedad.
Pimienta-Barrios et al. (2005) indicaron que el ajuste de las fases MAC juega un papel importante en la ganancia de carbono en condiciones de sequía y lluvia. Las plantas de O. ficus-indica que se encuentran en condiciones de sequía modifican las fases diurnas: mañana (II) y tarde (IV), así como la fase de la noche (I). La fase IV fue la más afectada porque coincidió con las temperaturas e irradiación más altas, que comúnmente favorecen la fotorespiración en plantas C3 y C4; en contraste, la ganancia de carbono en la fase II se redujo en condiciones secas pero no se eliminó.
El efecto del estrés por sequía en O. ficus-índica fue diferente al que se observó en Ferocactus, pues el efecto en la fase I se presentó como un acortamiento del tiempo de captación positiva neta de CO2 y su absorción neta aumentó al final de la noche, esto coincidió con el aumento de la humedad relativa y la disminución de la temperatura del aire, con lo que a la vez se evitó la sequía fisiológica, de acuerdo con Larcher (2003).Respuestas similares en los patrones de intercambio de gases se han descrito en otras plantas MAC, como Agave deserti, A. salmiana, A. tequilana, Hylocereus undatus y O. robusta expuestas a sequía (Campos et al., 2014; Nobel 1990; Pimienta-Barrios et al., 2006).
Una reacción general en las plantas de ambas especies fue la disminución significativa (P≤0.05) del contenido de ácido málico en el ciclo diurno-nocturno completo en la evaluación a los 12 meses, en ambos tejidos, e independiente de la condición de riego de las plantas (Fig. 1C y 2C). Estos resultados coincidieron parcialmente con los de Silva y Acevedo (1995), pues los muestreos se realizaron al final del invierno. Estos cambios parecen haber sido efecto del clima, que como un conjunto de factores externos afectaron a las plantas, independientemente de la especie y el ΨA de sus tejidos (Nobel, 2003).
Debe señalarse que con la finalidad de comprobar que las evaluaciones después de 12 meses sin riego correspondían a individuos vivos, el riego se reanudó en un grupo de plantas seleccionado para tal fin, y se comprobó que el crecimiento se reactivó (resultados no publicados).
Conclusiones
Los cambios en la acidez, en un ciclo de 24 h, de plantas de 10 años de edad, de F. histrix y F. pilosus, en condiciones de invernadero con riego semanal y su suspensión prolongada mostraron la plasticidad del MAC para optimizar la ganancia de carbono en respuesta a los cambios en la disponibilidad de agua en el suelo. La suspensión de riego por 3 y 6 meses afectó de forma específica a cada especie con cambios notables del patrón típico MAC; pero en ambas, la suspensión de riego por 12 meses propició cambios en la dinámica de acumulación de ácido málico y modificación del metabolismo MAC. Los resultados también sugieren la ocurrencia del movimiento de agua entre el clorénquima y el parénquima mediante los cambios en el gradiente del potencial hídrico durante la deshidratación del suelo, lo cual ayuda a proteger el tejido fotosintético durante la desecación.
Literatura citada
Adams, P.; D.E. Nelson, S. Yamada, W. Chmara, R.G. Jensen, H.J. Bohnert, y H. Griffiths, 1998. “Growth and development of Mesembryanthemum crystallium (Aizoaceae)”. New Phytologist138: 171-190.
Anderson, E. F., 2001. The Cactus Family. Timber Press, Inc. Portland, Oregon, U.S.A. 766 p.
Andrade, J. L.; E. Barrera, C.R. García, M.F. Ricalde, G. Vargas, y J.C. Cervera, 2007. “El metabolismo ácido de las crasuláceas: diversidad, fisiología ambiental y productividad”. Boletín de la Sociedad Botánica de México 81:37-50.
Asociación Oficial de Química Analítica, 1990. Official Methods of Analysis, 15th ed. Association of Official Analytical Chemist, Washington, DC, 1141 pp.
Azcón-Bieto, J., y M. Talón, 2008. Fundamentos de Fisiología Vegetal. McGraw-Hill. Segunda edición. McGraw-Hill/Interamericana de España, Universidad de Barcelona. 651 p.
Borland, A. M.; Z.A. Barrera, J. Ceusters, y K. Shorrock, 2011. “The photosynthetic plasticity of crassulacean acid metabolism: an evolutionary innovation for sustainable productivity in a changing world”. New Phytologist 191:619-633.
Bravo-Hollis, H., y H. Sánchez-Mejorada, 1991. Las Cactáceas de México. 2ª. ed. Vol. 2. Universidad Nacional Autónoma de México. 286:287-311:312 pp.
Bronson D. R.; N.B. Englisn, D.L. Dettman, y D.G. Williams, 2011. “Seasonal photosynthetic gas exchange and water-use efficiency in a constitutive CAM plant, the giant saguaro cactus (Carnegiea gigantea)”. Oecologia 167:861-871.
Campos, H.; C. Trejo, C.B. Peña-Valdivia, R. García-Nava, F.V. Conde-Martínez, y M.R. Cruz-Ortega, 2014. “Photosynthetic acclimation to drought stress in Agave salmiana Otto ex Salm-Dyck seedlings is largely dependent on thermal dissipation and enhanced electron flux to photosystem I”. Photosynthesis Research 122:23-39.
Casierra-Posada F., y M.F. González, 2009. ”Cambio circadiano de pH y acidez titulable en la savia de fique (Furcraea castilla y F. macrophylla)”. Orinoquia 13:5-13.
Cushman, J., 2001. “Crassulacean acid metabolism. A plastic photosynthetic adaptation to arid enviroment”. Plant Physiology 127:1439-1448.
CushmanJ. C., y H. Bohnert, 1997. “Molecular genetics of crassulacean acid metabolism”. Plant Physiology 113:667-676.
Del Castillo, R.F., y S. Trujillo, 1991. “Ethnobotany of Ferocactus histrix and Echinocactus platyacantus (Cactaceae) in the semiarid central Mexico: past, present and future”. Economic Botany 45:495-502.
DoddA. N.; A.M. Borland, R.P. Haslam, Griffiths H., y K. Maxwell, 2002. “Crassulacean acid metabolism: plastic, fantastic”. Journal of Experimental Botany 53:569-580.
Drennan, P.M., y P.S. Nobel, 2000. “Responses of CAM species to increasing atmospheric CO2 concentrations”. Plant, Cell and Environment 23: 767-781.
FAO. 1997. Factores que amenazan la biodiversidad. http://www.fao.org/forestry/docrep/PUBLI/V2/TOS/1.5.HTM. Organización de las naciones unidas para la agricultura y la alimentación.
Feakins, S.J., y A.L. Sessions, 2010. “Crassulacean acid metabolism influences D/H ratio of leaf wax in succulent plants”. Organic Geochemistry 41:1269-1276.
García, E. 2004. Modificaciones al Sistema de Clasificación Climática de Kӧppen. Instituto de Geografía, Universidad Nacional Autónoma de México. México, D.F.
García-Nava F.; C.B. Peña-Valdivia, C. Trejo, R. García-Nava, J.A. Reyes-Agüero, y R.J. Aguirre, 2015. “Biophysical and physiological characteristics of nopalitos (Opuntia spp., Cactaceae) as influenced by domestication”. Genetic Resources and Crop Evolution 62:927-938.
Geydan, T.D., y L.M. Melgarejo, 2005. Metabolismo ácido de las crasuláceas. Acta Biológica Colombiana 10:3-15.
Goldstein, G.; J.K. Ortega, A. Nerd, y P.S. Nobel, 1991. “Diel patterns of water potential components for the crassulacean acid metabolism plant Opuntia ficus-indica when well-watered or droughted”. Plant Physiology 95:274-280.
Guralnick; L.J., I. P. Ting, y E.M. Lord, 1986. “Crassulacean acid metabolism in the Gesneriaceae”. American Journal of Botany 53:336-345.
Hernández, H. 2006. La Vida en los Desiertos Mexicanos. Fondo de Cultura Económico. Secretaría de Educación Pública. Consejo Nacional de Ciencia y Tecnología. México.
Hernández-González, O., y V.O. Briones, 2007. “Crassulacean acid metabolism photosynthesis in columnar cactus seedlings during ontogeny: the effect of light on nocturnal acidity accumulation and chlorophyll fluorescence”. American Journal of Botany 94:1344-1351.
Herppich W.B., y K. Peckmann 2000. “Influence of drought on mitochondrial activity, photosynthesis, nocturnal acid accumulation and water relations in the CAM plants Prenia sladeniana (ME-type) and Crassula lycopodioides (PEPCK-type)”. Annals of Botany 86:611-620.
Izquierdo, A., y D.C. Muñoz, 1995. Eficiencia del uso del agua en tunas (Opuntia ficus-indica (L) Mill.) y factores que la regulan. Tesis Ingeniero Agrónomo, Universidad de Chile. 85 pp.
Keeley, J.E., y S.C. Keeley, 1989. “Crassulacean acid metabolism (CAM) in high elevation tropical cactus”. Plant, Cell and Environmental 12:331-336.
Larcher, L. 2003. Physiological Plant Ecology: Ecophysiology and Stress Physiology of Functional Groups. Springer, Heidelberg.103-106.
Lin, C.C. 2009. “The effects of environmental factors in the induction of crassulacean acid metabolism (CAM) expression in facultative CAM plants”. Journal of Undergraduate Life Sciences 3:64-66.
Littlejohn, R.O., y G.J. Williams, 1983. “Diurnal and seasonal variations in activity of crassulacean acid metabolism and plant water status in a northern latitude population of Opuntia erinacea”. Oecologia 59:83-87.
Lüttge, U., 2004. “Ecophysiology of crassulacean acid metabolism (CAM)”. Annals of Botany 93:629-652.
Lüttge, U., 2006. “Photosynthetic flexibility and ecophysiological plasticity: questions and lessons from Clusia, the only CAM tree, in the neotropics”. New Phytologist 171:7-25.
Nobel, P.S., 1990. “Environmental influences on CO2 uptake by agaves, CAM plants with high productivities”. Economic Botany 44:488-502.
Nobel, P.S., 2003. “Ecofisiología de Opuntia ficus-indica”. En Mondragón-Jacobo C. y Pérez-González S. Eds. El Nopal (Opuntia spp.) como Forraje, pp. 13-20, Organización de las Naciones Unidas para la Agricultura y la Alimentación. Roma.
Secretaría de Medio Ambiente y Recursos Naturales. 2010NOM-059-ECOL-2011. Protección ambiental. Especies nativas de México de flora y fauna silvestres. Categorías de Riesgo y especificaciones para su inclusión, exclusión o cambio. Lista de especies en riesgo. Diario Oficial de la Federación 30 Diciembre 2010, México.
Pimienta-Barrios, E.; J. Zañudo-Hernández, y P. S. Nobel, 2005. “Effects of young cladodes on the gas exchange of basal cladodes of Opuntia ficus-indica (Cactaceae) under wet and dry conditions”. International Journal Plant Science 166:961-968.
Pimienta-Barrios E.; J. Zañudo-Hernández y J. García-Galindo, 2006. “Fotosíntesis estacional en plantas jóvenes de Agave tequilana”. Agrociencia 40:699-709.
Ruiz, G.S.; C.B. Peña-Valdivia, L.C. Trejo, y A. Sánchez, 2007. “Reacción fisiológica del maguey (Agave salmiana Otto ex Salm-Dyck) a la sequía intermitente”. Revista de la Facultad de Agronomía (LUZ) 24 (Sup. 1):318-325.
Silva, H., y E. Acevedo, 1995. “Eficiencia en el uso del agua en diez taxa de Opuntia introducidas en la región mediterránea de Chile”. Revista Chilena de Historia Natural 68:271-282.
Sipes, D.L., e I.P. Ting, 1985. “Crassulacean acid metabolism and crassulacean acid metabolism modifications in Peperomia camptotricha”. Plant Physiology 77:59-63.
Szarek, S.R., e I.P. Ting, 1974. “Seasonal patterns of acid metabolism and gas exchange in Opuntia basilaris”. Plant Physiology 54:76-81.
Yáñez, L.L.; M.A. Armella, y R.R. Soriano, 2009. Estudio de tres cactáceas de la región mixteca: conocimiento para su uso sustentable. 215 p. UAM- Visión Tipográfica.
Notas de autor
Autor de correspondencia: cecilia@colpos.mx