Artículo científico
Patrones de riqueza y diversidad de especies vegetales en un gradiente altitudinal en Guerrero, México
Plant diversity and richness patterns on altitudinal gradient in Guerrero, Mexico
Patrones de riqueza y diversidad de especies vegetales en un gradiente altitudinal en Guerrero, México
Polibotánica, núm. 45, pp. 101-113, 2018
Instituto Politécnico Nacional, Escuela Nacional de Ciencias Biológicas
Recepción: 19 Agosto 2016
Aprobación: 20 Octubre 2017
Resumen: El área de estudio abarca localidades del cañón del Zopilote y carrizal de Bravo, pertenecientes a la cuenca del río Balsas, Guerrero, México. Un área de alta diversidad de especies del género Bursera y rica en endemismos, principalmente de plantas vasculares, anfibios y reptiles. Con el objetivo de determinar los patrones de riqueza y diversidad de especies vegetales y las variables del medio relacionadas a lo largo un gradiente altitudinal, se establecieron al azar siete transectos de 40 x 25 m (1 000 m2) en cada tipo de vegetación a lo largo del gradiente de altitud (450 a 2 800 m) para el muestreo de especies arbóreas, arbustivas y herbáceas. La riqueza total en el gradiente altitudinal fue de 310 especies incluidas en cinco tipos de vegetación (bosque tropical caducifolio, palmar, bosque de Quercus, bosque de Pinus: y bosque mesófilo de montaña). Se observó un patrón de “U”, donde la riqueza y diversidad total de especies fue mayor en los extremos del gradiente altitudinal y menor en la parte intermedia. La tasa de reemplazo de especies (diversidad beta) fue de 100 % en bosque tropical caducifolio y bosque mesófilo de montaña, los cuales se ubican en el extremo inferior y superior del gradiente de altitud estudiado. Las variables ambientales con mayor relación con los valores de riqueza y diversidad de especies son las variables edáficas (contenido de arena, fósforo y capacidad de intercambio catiónico) y la altitud en el gradiente altitudinal estudiado.
Palabras clave: patrones florísticos, riqueza de especies, bosque mesófilo de montaña, cuenca de río Balsas.
Abstract: The study area includes from cañón del Zopilote to carrizal de Bravo, belonging to the Balsas river basin, Guerrero, México. This area is considered one of its most important centers of diversity and endemism of the genus Bursera, and other vascular plants, amphibians and reptiles. The aim of this study was to determine the diversity of plant and patterns of richness and environmental variables related to these aspects along an altitudinal gradient. Seven transects were randomly established to sample the trees, shrubs and herbs (40 x 25 = 1,000 m2) in each type of vegetation. The total Richness in the altitudinal gradient was of 310 species in five types of vegetation (tropical deciduous forest, palmar, Quercus forest, Pinus forest and cloud forest). A “U” pattern was observed, where richness and diversity species total was higher at the ends altitudinal gradient and lower in the middle. The rate of species turnover (beta diversity) was of 100 % in tropical deciduous forest and cloud forest, located in the lower and upper altitudinal gradient respectively. The soil variables (sand content, phosphorus and cation exchange capacity) and altitude were the environmental variables more related with richness and species diversity on altitudinal gradient.
Key words: Floristic patterns, species richness, cloud forest, Balsas river basin.
Introducción
El cañón del Zopilote presenta una vegetación predominante de selva baja caducifolia. Es un área con una superficie de 738 km2 de alta diversidad de especies del género Bursera y rica en endemismos principalmente de plantas vasculares, anfibios y reptiles. Funciona como un corredor biológico y como centro de origen y diversificación natural (Arriaga et al., 2000); no obstante, se conoce de manera parcial la riqueza y diversidad de especies de esta zona, así como la influencia de los factores ambientales sobre ella. La riqueza y diversidad de especies vegetales a lo largo de gradientes de altitud muestra en general un patrón gradual y continuo de disminución de especies desde las regiones bajas a las de mayor altitud (Rahbek, 1995, 2005). Sin embargo, se ha confirmado que esta “regla” no es general. Varios estudios han encontrado evidencias de que los valores más altos de riqueza y diversidad de especies se presentan en altitudes intermedias (Rahbek, 1995, 2005; Sánchez-González & López-Mata, 2005; Sanders, 2002; Sang, 2009; Zhu, 2007).
Según Moody, Meentemeyer, & Ross (2001), este patrón sugiere que los límites inferiores y superiores entre comunidades no están necesariamente determinados por los mismos factores. Slik et al., (2009), mencionan que la composición de especies vegetales está asociada con la altitud, las características del suelo (textura, contenido de carbono, pH, profundidad, drenaje y nutrientes) y con el clima (lluvias anuales, estacionales y sequías). Éstas son las causas principales de los patrones de riqueza y diversidad de especies (Pausas & Austin, 2001). Los bosques tropicales de montaña reciben mayor cantidad de precipitación pluvial que los situados a menores altitudes. La existencia de un “cinturón de máxima entrada de precipitación”, resultado del flujo de aire por convección (Richter, 2008), en ocasiones coincide con un cinturón de máxima riqueza y diversidad de especies en altitudes intermedias (Sánchez-González & López-Mata, 2005). Aunado a lo anterior, la presencia de mayor biodiversidad en altitudes intermedias (cinturones altitudinales) en algunas cadenas montañosas tropicales, puede deberse a que son un punto de encuentro de taxones (tropicales de zonas de baja altitud, de montaña y extra tropicales templados, que provienen de las altitudes elevadas) y a que las condiciones climáticas son estables y benignas (mayor humedad, temperatura moderada). De acuerdo a Richter (2008), existe un cinturón de máxima riqueza y diversidad el cual es dinámico en el espacio y tiempo. La cuenca del río Balsas ha sido reconocida como un área fisiográfica con alta concentración de taxones endémicos y como sitio de origen de varias especies (Diego-Pérez & Fonseca, 1995; Fernández, Rodríguez, Arreguín, & Rodríguez, 1998; Ramírez et al., 2003; Rodríguez-Jiménez, Fernández-Nava, De La Luz Arreguín-Sánchez, & Rodríguez-Jiménez, 2005; Rzedowski, 1991; Reyes-García, Maradiaga-Ceceña, Catalán-Heverástico, & Jiménez-Hernández, 2012); en particular, se le considera como centro de diversificación y endemismo del género Bursera (Rzedowski, Median, & Calderón, 2004). Presenta matorrales xerófilos, bosque tropical caducifolio, bosque de Quercus, bosque de Pinus y bosque mesófilo de montaña (Fernández et al., 1998). Existen algunos estudios florísticos en el cañón del Zopilote sobre la descripción de la vegetación (Ávila Sánchez, Sánchez-González, & Catalán-Heverástico, 2010; Diego-Pérez & Fonseca, 1995; Pineda-García, Arredondo-Amezcua, & Ibarra-Manríquez, 1995; Catalán-Heverástico, 2003), pero se carece de información cuantitativa sobre la riqueza y diversidad de las comunidades y su relación con los factores ambientales. Considerando lo anterior, el objetivo de este trabajo fue determinar los patrones de riqueza y diversidad de especies vegetales y las variables ambientales relacionadas a lo largo un gradiente altitudinal.
Área de estudio
El cañón del Zopilote, tiene una extensión de 738 km2, se ubica entre las coordenadas de 17º39'', 18º03' de latitud norte y 99º31', 99º46' de longitud oeste, en la cuenca del río Balsas, estado de Guerrero (fig. 1). Comprende los municipios de Eduardo Neri, Leonardo Bravo, Tepecoacuilco de Trujano, Chilpancingo de los Bravo, Tixtla y Cocula (Diego-Pérez & Fonseca, 1995). La topografía del lugar está formada por cerros y laderas con pendientes pronunciadas y barrancas profundas.

El clima en la parte baja, en el poblado de Xochipala, es cálido semihúmedo, con lluvias en verano. En la parte alta, en Carrizal de Bravo, el clima corresponde al más húmedo de los templados sub-húmedos, con régimen de lluvias en verano; la precipitación pluvial anual fluctúa de 100 a 500 mm y la temperatura media anual varía entre 17ºC y 21ºC (Ávila Sánchez et al., 2010; Diego-Pérez & Fonseca, 1995). Los suelos en el área en general están clasificados en el grupo de los litosoles, derivados de rocas calizas y lutitas calcáreas (INEGI, 2009). En Carrizal de Bravo los suelos son de origen volcánico, de más de 50 cm de profundidad, textura franco-arcillosa, color pardo rojizo oscuro, con drenaje intermedio y pH de 4.8 a 5.0. Los principales tipos de vegetación incluyen: matorral xerófilo, bosque Tropical Caducifolio, Palmar, bosque de Quercus, bosque de Pinus y bosque mesófilo de montaña (Ávila Sánchez et al., 2010; Catalán Heverástico et al., 2003; Diego-Pérez & Fonseca, 1995).
La línea roja muestra el área del cañón del zopilote (coordenadas de 17º39'', 18º03' de latitud norte y 99º31', 99º46' de longitud oeste). Este mapa fue elaborado con ayuda de imágenes satelitales Lansat y Quickbird, cartografía vectorial de INEGI (escala 1: 50,000).
Material y métodos
El área de estudio se localiza a lo largo de un gradiente altitudinal que va desde 450 m de altitud, en el cañón del Zopilote (Casas verdes y Milpillas), hasta los 2 500 m en la comunidad de carrizal de Bravo (fig. 1). El trabajo de campo para la colecta botánica se llevó a cabo durante 24 meses (marzo de 2011 a marzo de 2013). En la fase inicial del estudio se contó con apoyo de los mapas temáticos y topográficos de INEGI. Posteriormente, se generó el mapa de vegetación de la zona de estudio utilizando dos tipos de imágenes satelitales: sensores Lansat TM y QuickBird, con los que se determinaron los tipos de vegetación presentes y su estado de conservación, así como las vías de acceso y poblados cercanos. En cada tipo de vegetación se trazaron al azar siete transectos de 40 x 25 m (1 000 m2). Dentro de cada uno, se eligió de forma aleatoria un subtransecto de 10 x 10 m (100 m2) para contabilizar el número de individuos del estrato arbustivo y dos de 2 x 3 m (6 m2) para el estrato herbáceo y densidad de las especies arbóreas. Se utilizaron los mismos sitios citados por Ávila-Sánchez et al., 2010. Dentro de los transectos se evaluó altura y diámetro de cada planta. Se recolectaron muestras por triplicado, los cuales fueron procesados y herborizados mediante técnicas convencionales siguiendo los criterios de Lot & Chiang (1986). Para algunas pocas especies su determinación se realizó de manera in situ con el uso de claves dicotómicas (Pennington y Sarukhán, 2005; Rzedowski, Medina, & Calderón, 2004) y por comparación con ejemplares del Herbario del Instituto de Investigación Científica Área de Ciencias Naturales de la Universidad Autónoma de Guerrero (IICACN-UAGro).
El listado florístico se presenta de acuerdo con el sistema de clasificación de Cronquist (1981) e incluye el tipo de comunidad vegetal y su forma de crecimiento de acuerdo con Moreno (1984). En cada sección las familias están ordenadas alfabéticamente. La nomenclatura de los géneros y las especies, así como los nombres de los autores se verificaron en la base de datos de W3TROPICOS (http://www.missouribotanicalgarden.org/).
Riqueza y diversidad de especies. La riqueza de especies se determinó como el número de especies por estrato en cada sitio de muestreo. Para estimar la diversidad por sitio se utilizó el índice de Shannon (H’) utilizando el logaritmo natural, con el programa EstimateS 8.0 (Colwell, 2006).
Diversidad beta (tasa de reemplazo de especies). La diversidad beta se calculó como el inverso del índice de semejanza de Sorensen (Koleff, Gaston, & Lennon, 2003). También se estimó el número de especies compartidas entre los cinco tipos de vegetación analizados, utilizando el programa EstimateS 8.0 (Colwell, 2006).
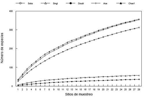
Integridad del inventario. El grado de integridad del inventario se estimó mediante la comparación de la riqueza de especies observada y la esperada empleando métodos no paramétricos. Se utilizaron los estimadores basados en abundancia de ACE y Chao 1 (Chazdon et al., 2008; Colwell, 2006) y se cuantificaron los singletons (especies que están representadas por un individuo en las muestras) y los doubletons (especies con dos individuos en las muestras).
Variables edáficas y su relación con la riqueza y diversidad de especies. Se recolectaron cinco muestras de suelo, en los extremos y en el centro de cada transecto, en los primeros 30 cm de profundidad y se mezclaron para obtener una muestra compuesta. Se determinaron las siguientes características edáficas: capacidad de campo (CC), capacidad de intercambio catiónico (CIC) como la suma total de los cationes intercambiables de un suelo, punto de marchitez permanente (PMP, %), densidad aparente (Da, mg/m3) obtenida por el método de la probeta, densidad real (Dr, mg/m3), textura (arcilla, arena y limo: %), potencial de hidrógeno (pH), materia orgánica (MO, %), calcio (Ca, mol/kg1), magnesio (mg2+, Cmol/kg1) y potasio (K+, Cmol/kg1). Adicionalmente se determinaron nitrógeno (N, %), fósforo (P, %), potasio (K, %), calcio (Ca, %) y magnesio (Mg, %) totales. Para explicar la relación entre estas variables y la riqueza y diversidad de especies vegetales a lo largo del gradiente, se llevaron a cabo árboles de regresión utilizando el programa CART 6.0 ProEX (Salford-System, 2008).
Relación entre riqueza y diversidad de especies y factores ambientales. La interacción y relación entre los factores ambientales (altitud, contenido de arena, el fósforo y la CIC), la riqueza y la diversidad de especies se determinó mediante árboles de regresión, utilizando el programa CART 6.0 ProEX (Salford-System, 2008).
Resultados
Riqueza y diversidad de especies
Se registraron 310 especies, que corresponden a 204 géneros y 79 familias distribuidos en cinco tipos de vegetación. Los valores de riqueza y diversidad total de especies fueron mayores en la parte baja y alta del gradiente, con una disminución en la porción media (fig. 2); en el caso del estrato arbóreo, los tipos de vegetación con mayor riqueza fueron el BTC y Palmar (94 especies) y el BMM (87). La menor riqueza de árboles se presentó en los bosques de Quercus y Pinus (46-47 especies). El número de herbáceas, en general, fue bajo a lo largo del gradiente de altitud analizado (fig. 2).

El número de especies de los estratos arbustivo y herbáceo no mostraron una tendencia definida en su riqueza con respecto al gradiente altitudinal.
Diversidad beta. La tasa de reemplazo de especies se incrementó con la altitud. Las parcelas vecinas, presentaron un número elevado de organismos compartidos (baja diversidad beta), mientras que zonas lejanas mostraron un bajo número de especies compartidas y una tasa de reemplazo de 100%.
De manera general, la tasa de reemplazo fue alta entre todos los tipos de vegetación (>80 %) y el recambio de organismos fue completo entre tipos de vegetación situados en ambos extremos del gradiente de altitud (tabla 1).

Integridad del inventario. Los estimadores de la riqueza biológica de flora vascular utilizados, indican que la integridad del inventario fluctuó de entre 87 % con el estimador Chao 1 y 88% con el estimador ACE (tabla 2, fig. 3). Los singletons y doubletons no parecen disminuir, lo que indica que aun hacen falta especies por adicionarse al inventario de especies (fig. 3).


Relación entre riqueza y diversidad de especies y factores ambientales. Este análisis indica que los parámetros edáficos (contenido de arena, el fósforo y la CIC) y la altitud fueron las variables con mayor correlación (P < 0.05) significativa con la riqueza de especies (fig. 4). Las ramas del árbol de regresión indicaron que la textura del suelo (arena) es el factor ambiental con mayor influencia en la riqueza biológica. La mayor riqueza (45.5%) se presentó en sitios con alto contenido de arena (> 43.2%), bajo fósforo (< 43.4%) y alta CIC (> 63.1%). En los sitios donde la CIC fue menor a 63.1%, la riqueza disminuyó significativamente.

La segunda rama, sugiere que los sitios con contenido de arena de menor a 43.2% y de altitud > 1847 m, tienen una riqueza baja (13.4%).
Discusión
Los valores de riqueza encontrados son similares a los reportados por Ávila Sánchez et al., (2010). Se observó un patrón de U, donde la riqueza total de especies fue mayor en los extremos del gradiente altitudinal y menor en la parte intermedia (1 350-2 400 m). En la parte baja (450 a 1 400 m), la riqueza florística mostró una tendencia de disminución con el incremento de la altitud. Macía & Fuertes (2008) , encontraron una disminución lineal de la riqueza con el incremento de altura y un cambio en la composición florística en un bosque tropical montano donde predominan las familias Lauraceae, Melastomataceae, Rubiaceae y Asteraceae. Sugieren que la diversidad florística en los bosques montanos disminuye linealmente a altitudes mayores a 1 500 m. Otros estudios realizados a lo largo de gradientes ambientales (Rahbek, 1995, 2005; Sánchez-González & López-Mata, 2005; Sang, 2009; Zhu, 2007) en distintos ecosistemas han encontrado un patrón unimodal, donde la mayor riqueza de especies vegetales se presenta en altitudes intermedias. De manera particular en los ecosistemas montañosos de México, este patrón obedece en gran medida a la distribución de los bosques mesófilos de montaña, los cuales se encuentran principalmente en intervalos de entre los 900 hasta los 1 800 m de altitud (Challenger, 1998; Vazquez & Givnish, 1998; Villaseñor, 2010).
La disminución en los valores de riqueza y diversidad de especies está relacionada también con el tipo de vegetación presente a lo largo del intervalo altitudinal; se ha documentado que en México y otras regiones del mundo, la riqueza de especies en los bosques de Quercus y Pinus es relativamente baja (en especial en el estrato arbóreo), comparada con la que se puede encontrar en los bosques mesófilos de montaña y en los bosques tropicales caducifolios (Carreto-Pérez, Almazán-Juárez, Sierra-Morales, & Almazán-Núñez, 2015; Challenger & Soberón, 2008; Ohmann & Spies, 1998; Pausas & Austin, 2001; Pineda-García, Arredondo-Amezcua, & Ibarra-Manríquez, 2007; Rzedowski, 1991; Vázquez & Givnish, 1998). En estos dos últimos tipos de vegetación existen además mayor número de especies endémicas; en el caso del BMM, las condiciones de aislamiento por su limitada distribución en las montañas de México y las características particulares de humedad, han permitido la evolución in situ de muchos taxones (Villaseñor, 2010). En los BTC, las condiciones de aridez permitieron el aislamiento de varios grupos florísticos entre ellos Bursera y algunas leguminosas desde principios del Mioceno (Cevallos-Ferriz, González-Torres, & Calvillo-Canadell, 2012). La historia biogeográfica y evolutiva ha contribuido a elevar la diversidad alfa y beta para ambos tipos de vegetación.
Otro factor determinante de la riqueza florística de estos ecosistemas son los organismos dispersores y polinizadores, los cuales son afectados por el cambio ambiental global. Por ejemplo, Jump, Mátyás, & Peñuelas (2009) sugieren que al incrementar 1°C la temperatura del ambiente, se reduce el establecimiento de organismos y se afecta la migración de organismos dispersores y polinizadores; disminuyendo con ello la capacidad de reproducción y distribución de las plantas. La flora leñosa es la más afectada y su recuperación puede tomar varias décadas.
La tasa de reemplazo de especies (diversidad beta) fue de 100 % en BTC y BMM, los cuales se ubicaron en el extremo inferior y superior del gradiente de altitud estudiado, respectivamente. La alta tasa de recambio indica que existen ensambles de organismos característicos de cada tipo de vegetación y puede ser un reflejo de profundas diferencias ambientales entre las localidades. Además, indica que pocas especies de plantas toleran los cambios asociados a un gradiente altitudinal (Sánchez-González & López-Mata, 2005; Sang, 2009; Wang, Zhou, Yang, & Li, 2002). La biodiversidad de las partes altas de las montañas está más relacionada con la temperatura y humedad (Hamilton & Perrott, 1981; Kessler et al., 2011; Sang, 2009), mientras que en las zonas bajas la diversidad de las comunidades vegetales puede estar afectada por otros factores bióticos o abióticos.
Por otro lado, el efecto del ambiente sobre la diversidad y distribución de especies puede ser caracterizado con árboles de regresión, los cuales consideran una estructura jerárquica utilizando factores a gran escala (Kallimanis, Ragia, Sgardelis, & Pantis, 2007), definiendo las posibles condiciones de diversidad, y los factores más locales, como la estructura del hábitat. Los factores más utilizados para construir este modelo son el clima (temperatura y precipitación), productividad, influencias geográficas gruesas (longitud y latitud), altitud, condiciones del suelo, substrato geológico, estructura del hábitat y heterogeneidad y perturbaciones.
Las variables ambientales más relacionadas con la riqueza y diversidad en el presente estudio fueron el contenido de arena y fósforo, la capacidad de intercambio catiónico y la altitud. Otros estudios (Bach, Schawe & Beck, 2003; Pérez-Paredes, Sánchez-González, & Tejero-Díez, 2014; Sánchez-González, Álvarez-Zúñiga, & López-Mata, 2016; Sánchez-González & López-Mata, 2005; Sang, 2009; Slik et al., 2009; Zhu, 2007) relacionaron también la riqueza, distribución y diversidad de especies con variables ambientales y edáficas. Afirman que los factores edáficos (contenido de materia orgánica, isotermalidad y contenido de sodio, textura) están relacionados positivamente con los patrones de riqueza y diversidad de especies a lo largo de gradientes de altitud, en distintos ecosistemas y regiones del planeta; y de forma negativa con la precipitación del mes más seco, evapotranspiración real anual y evapotranspiración real en la temporada de lluvias en distintos ecosistemas y regiones del planeta.
Según Kessler, Kluge, Hemp, & Ohlemüller (2011), en los gradientes altitudinales la diversidad vegetal total muestra un patrón de U invertida, con un máximo de riqueza a los 1000-1500 m de altura en regiones húmedas, y a mayores alturas en regiones áridas. Este patrón está representado por herbáceas y epifitas, mientras que las leñosas presentan un patrón más gradual de riqueza con respecto a la altura. Sin embargo, los patrones de riqueza están influenciados de manera importante por la historia/evolución regional y el clima/productividad a escala local. Los cambios en la composición, riqueza y diversidad de la vegetación en las regiones montañosas (Kallimanis et al., 2007; Körner, 2007; Rahbek, 1995; Ferry Slik et al., 2009; Vazquez & Givnish, 1998; Wang, Zhou, Yang, & Li, 2003) están relacionados principalmente con la altitud, por lo que se infiere que el patrón de riqueza y diversidad florística observados en el presente estudio es debido a la amplitud del gradiente estudiado (en un recorrido de menos de 40 km, se registró un cambio altitudinal de 2 350 m).
Conclusiones
Se observó un patrón de “U”, donde la riqueza y diversidad total fue mayor en los extremos del gradiente y menor en la parte intermedia (1 350-2 400 m). De acuerdo con los estimadores de riqueza, la integridad del inventario fue entre 87-88%, por lo que se requiere de un mayor esfuerzo de muestreo para tener un inventario completo de la flora vascular presente en el cañón del Zopilote. El árbol de correlación mostró que las variables edáficas (contenido de arena, fósforo y CIC) y la altitud son las variables ambientales que mejor se relacionan con la riqueza y diversidad de especies a lo largo del gradiente altitudinal estudiado (450-2 800 m).
Literatura citada
Ávila-Sánchez, P.; A. Sánchez-González, y C. Catalán-Heverástico, 2010. “Estructura y composición de la vegetación del Cañón del Zopilote, Guerrero, México”. Rev. Chapingo, Ser. Cienc. Forest. Amb., 16(2): 119-138.
Bach, C.; M. Shave, S. Beck, G. Gerold, S. R. Gradstein, y R. M. Morales, 2003. “Vegetación suelos y clima en los diferentes pisos altitudinales de un bosque montano de Yugas, Bolivia”. Ecol. Boliv., 38: 3-14.
Carreto-Pérez, B. E.; A. Almazán-Juárez, P. Sierra-Morales, y R. C. Almazán-Núñez, 2015. “Estudio florístico de la cuenca baja del río Papagayo, Guerrero, México”. Polibotánica, 40: 1-27.
Catalán-Heverástico, C.; M. L. López y T. Terrazas, 2003. “Estructura, composición florística y diversidad de especies leñosas en un bosque mesófilo de montaña de Guerrero, México”. An. Inst. Biol. UNAM, Serie Botánica, 74: 209-230.
Challenger, A., y J. Soberon, 2008. Utilización y conservación de los ecosistemas terrestres de México. Pasado, presente y futuro. Comisión Nacional para el Conocimiento y uso de la Biodiversidad”. México, DF, México. 197p.
Chazdon, R. L.; R. K. Colwell, J. S Denslow, y M. R. Guariguata, 1998. “Statistical methods for estimating species richness of woody regeneration in primary and secondary rain forests of NE Costa Rica”. Dallmeier, F y J. A. Comiskey (eds.). Forest biodiversity research, monitoring and modeling: Conceptual background and Old World case studies. Parthenon Publishing. Paris, Francia. pp. 285-309.
Colwell, R. K, 2006. “EstimateS: statistical estimation of species richness and shared species from samples”. Version 8. User’s guide and application published at: http://viceroy.eeb.uconn.edu/
Fernández, N. F.; J. C. Rodríguez, S. M. C. Arreguín, y J. A. Rodríguez, 1998. “Listado florístico de la cuenca del río Balsas, México”. Polibotánica, 9: 1-151.
García, E., 1973. Modificaciones al sistema de clasificación climática de Koppen. Offset Larios, México, DF.
García, F., L. Arredondo-Amezqua, y G. Ibarra-Manríquez, 2007. “Riqueza y diversidad de especies leñosas del bosque tropical caducifolio El Tarimo, cuenca del Balsas, Guerrero”. Rev. Mex. Bio., 78: 129-139.
Grytnes, J. A.; O. R. Vetaas , y L. Stone, 2002. “Species Richness and Altitude: A Comparison between Null Models and Interpolated Plant Species Richness along the Himalayan Altitudinal Gradient, Nepal”. The American Naturalist, 159(3): 294-304.
Grytnes, J. A., y J. H. Beaman, 2006. “Elevational species richness for vascular plants on Mount Kinabalu, Borneo”. J. Biogeography, 33:1838-1849.
Hamilton, A. C., y R. A. Perrot, 1981. “A study of altitudinal zonation in the montane forest belt of Mt Elgon, Kenia/Uganda”. Vegetation, 45: 107-125.
Inegi ,2009. Prontuario de información geográfica municipal de los Estados Unidos Mexicanos. Leonardo Bravo, Guerrero. México. 9 p.
_______, 2009. “Prontuario de información geográfica municipal de los Estados Unidos Mexicanos. Eduardo Neri, Guerrero”. México. 9 p.
Jiménez, R., J.; M. Martínez, G., S. Valencia, A., R. Cruz, D., J. L. Contreras, J., E. Moreno, G., y J. Calónico, S., 2003. “Estudio florístico del municipio Eduardo Neri, Guerrero”. An. Inst. Biol. UNAM, Serie Botánica, 74(1): 79-142.
Jump A. S.; C. Matyas, y J. Peñuelas, 2009. “The altitud-for-latitude disparity in the range retractions of woody species”. Trends Ecol. Evol., 24(12): 694-701.
Kallimanis, A. S.; V. Ragia, S. P. Sgardelis, y J. D. Pantis, 2007. “Using regression trees to predict alpha diversity based upon geographical and habitat characteristics”. Biodivers. Conserv., 16: 3863-3876.
Kessler, M.; J. Grytnes, S. R. P. Halloy, J. Kluge, T. Krömer, B. León, J. M. Macía, y K. R. Young, 2012. “Cap. 14. Gradientes de diversidad vegetal: patrones y procesos locales”. Herzog, S., Martínes, R., Jorgensen, P. M., Tiessen, H. Cambio climático y diversidad en los andes tropicales. Instituto interamericano para la investigación del cambio global (IAI) y comité científico para los problemas del medio ambiente (SCOPE). Paris. 426 p.
Koleff, P., K. J. Gaston, y J. J. Lennon, 2003. “Measuring beta diversity for presence-absence data”. J. Animal Ecol., 72: 367-382.
Körner, C, 2007. “The use of ´altitude` in ecological research”. Trends Ecol. Evol., 22(11): 569-574.
Lot, A., y F. Chiang, 1986. Manual de Herbario: administración y manejo de colecciones, técnicas de recolección y preparación de ejemplares botánicos. Consejo Nacional de Ciencia y Tecnología. México, DF. 142 pp.
Macía, M. J., y J. Fuertes, 2008. “Composición florística y estructura de los árboles en un bosque tropical montano de la cordillera Mosetenes, Bolivia”. Rev. Bol. Ecol. Cons. Amb., 23: 1-14.
Moody, A., y R. K. Meentemeyer, 2001. “Enviromental factor influencing spatial pattern of shrub diversity in Chaparral, Santa Ynez Mountains, California”. J. Veg. Sci., 12: 41-52.
Norma Oficial Mexicana NOM-059-ECOL-SEMARNAT-2010. “Protección ambiental-Especies nativas de México de flora y fauna silvestres-Categorías de riesgo y especificaciones para su inclusión, exclusión o cambio-Lista de especies en riesgo”. Secretaría del Medio Ambiente y Recursos Naturales. Diario Oficial de la Federación. Segunda Sección. México, DF. 78 pp.
Ohmann, L. J., y A. T. Spies, 1998. “Regional gradient analysis and spatial pattern of woody plant communities of Oregon forest”. Ecological Monographs, 68: 151-182.
Pausas, J. G. y M. P. Austin, 2001. “Patterns of plant species richness in relation to different environments: an appraisal”. J. Veg. Sci., 12: 153-166.
Pennington, T.D., y J. Sarukhán, 2005. Árboles tropicales de México. Manual para la identificación de las principales especies. 3a ed. UNAM-Fondo de Cultura Económica. México, DF.
Peralta, G. S., 1995. “Cañón del Zopilote (Área Papalotepec)”. Estudios Florísticos en Guerrero. Diego-Pérez, N y Fonseca, R.M. (eds.). Las Prensas de Ciencias. Facultad de Ciencias, UNAM. 37 p.
Pineda-García, F.; L. Arredondo-Amezcua, y G. Ibarra-Manríquez, 2007. “Riqueza y diversidad de especies leñosas del bosque tropical caducifolio El Tarimo, Cuenca del Balsas, Guerrero”. Rev. Mex. Biodiversidad, 78: 129-139.
Rahbek, C., 1995. “The elevational gradient of species richness: a uniform pattern”. Ecography, 18: 200-205.
_______, 2005. “The role of spatial scale and the perception of large-scale species-richness patterns”. Ecol. Letters, 8:224-239.
Reyes-García, T.; F. S. Maradiaga-Ceceña, C. Catalán-Heverástico, P. Ávila-Sánchez, y J. Jiménez-Hernández, 2012. “Flora leñosa del municipio de Cocula, Guerrero, México”. Polibotánica, 34: 21-49.
Richter, M, 2008. “Tropical Mountain forests - distribution and general features”. En: Gradstein, S.R., Homeier, J. and Gansert, D. (eds.). The tropical Mountain Forest - Patterns and Processes in a Biodiversity Hotspot. Göttingen Centre for Biodiversity and Ecology. The Biodiversity and Ecology Series, 2: 7-24.
Rodríguez, J. C.; N. R. Fernández, S. M. L. Arreguín, y J. A. Rodríguez, 2005. “Plantas vasculares endémicas de la cuenca del río Balsas, México”. Polibotánica, 20: 73-99.
Rzedowski, J, 1978. “La vegetación de México”. Limusa. México, D.F., México. 432 p.
_______, 1991. “El endemismo en la flora fanerogámica mexicana: Una apreciación analítica preliminar”. Acta Bot. Mex., 15: 47-64.
Rzedowski, J., L. R. Medina, y G. Calderón de Rzedowski, 2004. “Las especies de Bursera (Burseraceae) en la cuenca superior del río Papaloapan (México)”. Acta Bot. Mex., 66: 23-151.
Rzedowski, J.; R. Medina, y G. Calderón de Rzedowski, 2005. “Inventario del conocimiento taxonómico, así como de la diversidad y del endemismo regionales de las especies mexicanas de Bursera (Burseraceae)”. Acta Bot. Mex., 70: 85-111.
Sánchez-González, A., y L. López-Mata, 2005. “Plant species richness and diversity along an altitudinal gradient in the Sierra Nevada, Mexico”. Diversity and Distribution, 11: 567-575.
Sanders, J. N, 2002. “Elevational gradients in ant species richness: area, geometry, and Rapaport’s rule”. Ecography, 25: 25-32.
Sang, W., 2009”. Plant diversity patterns and their relationships with soil and climatic factors along an altitudinal gradient in the middle Tianshan Mountain area, Xinjiang, China”. Ecol. Research, 24: 303-314.
Slik, J. W. F.; N. Raes, A. Shin-Ichiro, F. Q Brearley, C. H. Cannon, E. Meijaard, H. Nagamasu, R. Nilus, G. Paoli, A. D. Poulsen, D. Sheil, E. Suzuki, J. L. Valkenburg, C. O. Webb, P. Wilkie y S. Wulffraat, 2009. “Enviromental correlates for tropical tree diversity and distribution patterns in Borneo”. Diversity and Distributions, 15: 523-532.
Vázquez, G. J. A., y T. J. Givnish, 1998. “Altitudinal gradient in tropical forest composition, structure, and diversity in the Sierra de Manantlán”. J. Ecol. 86: 999-1020.
Villaseñor, J. L., 2010. “El bosque húmedo de montaña en México y sus plantas vasculares: catálogo florístico-taxonómico”. Comisión Nacional para el Conocimiento y Uso de la Biodiversidad - Universidad Nacional Autónoma de México. 40 pp. México, D.F.
Wang, G.; G. Zhou, L. Yang, y Z. Li, 2002. “Distribution, species diversity and life-form spectra of plant communities along an altitudinal gradient in the northern slopes of Qilianshan Mountains, Gansu, China”. Plant Ecol., 165: 169-181.
Zhu, Y.; Y. Jiang, Q. Liu, M. Xiong, y M. Kang, 2007. “Altitudinal pattern of vascular plant species richness based on equal-area belts in Mt. Helan”. Biodiversity Sci., 15: 408-418.
Notas de autor
Autor para correspondencia: jjimenez@uagro.mx