ARTIGOS ORIGINAIS
Distribuição de renda no Brasil: Uma análise de decomposição
The distribution of income in Brazil: A decomposition analysis
Distribución de Ingresos en Brasil: Un análisis de descomposición
Distribuição de renda no Brasil: Uma análise de decomposição
Vértices (Campos dos Goitacazes), vol. 21, núm. 2, 2019
Instituto Federal de Educação, Ciência e Tecnologia Fluminense

Recepción: 05 Julio 2018
Aprobación: 21 Abril 2019
Resumo: Este artigo tem por objetivo avaliar os principais determinantes da desigualdade de renda no Brasil para o ano de 2015. O método de Fields, que consiste em uma decomposição baseada em uma regressão, é usado como metodologia. Os resultados mostram que a educação e a experiência no mercado de trabalho são os principais fatores para explicar a desigualdade de renda no Brasil.
Palavras-chave: Desigualdade de renda, Decomposição de Fields, Educação, Brasil.
Abstract: This article aims to analyze the main determinants of income inequality in Brazil for the year of 2015. The Fields method, which consists of regression-based decomposition, is used. The results show that education and labor market are the most relevant factors to explain the income inequality in Brazil.
Keywords: Income inequality, Fields decomposition, Education, Brazil.
Resumen: Este artículo tiene por objetivo evaluar los principales determinantes de la desigualdad de renta en Brasil para el año 2015. Se utilizó el método de Fields, que consiste en una descomposición basada en una regresión. Los resultados demuestran que la educación y la experiencia en el mercado de trabajo son los principales factores para explicar la desigualdad de ingresos en Brasil.
Palabras clave: Desigualdad de ingresos, Descomposición de Fields, Educación, Brasil.
1 Introdução
Na economia brasileira, a renda é distribuída de uma forma bem desigual. Qualquer que seja a análise realizada no Brasil, será observado que, ao lado de uma economia moderna, há milhões de pessoas excluídas de seus benefícios, o que demonstra a grande iniquidade existente na sociedade brasileira (SCHWARTZMAN, 2004).
Embora a desigualdade seja uma característica presente em toda história do Brasil, a sua evolução temporal apresentou grandes oscilações ao longo da segunda metade do século XX. Após uma tendência crescente nos anos de 1960 e 1970, a desigualdade de renda, mensurada pelo índice de Gini, permaneceu estável durante a maior parte dos anos de 1980, tendo apenas uma pequena melhora em 1984 e 1986. Com a hiperinflação, que se seguiu com o fim do Plano Cruzado, o coeficiente de Gini alcança o pico global da série (0,62) no ano de 1989 (FERREIRA, 2000).
Em 1994, com o Plano Real e a consequente estabilidade monetária, criaram-se as bases para que a desigualdade de renda pudesse cair de forma mais acentuada. De acordo com Barros et al. (2007), entre os anos de 2001 e 2005, a desigualdade de renda, medida pelo índice de Gini, diminuiu 4,6%, chegando, em 2005, ao menor valor registrado no período. Uma das causas para essa redução, além da estabilidade macroeconômica ocorrida em função do Plano Real, pode ser atribuída aos programas de transferências de renda. Diversos trabalhos, tais como Soares et al. (2006), Medeiros et al. (2007), Helfand et al. (2009), Santos et al. (2009) e Araújo et al. (2013) sugerem a eficácia desses programas em reduzir a desigualdade de renda brasileira.
Outro fator importante para explicar a queda na desigualdade foi a redução da desigualdade de rendimentos entre grupos educacionais distintos, o que parece ser o resultado do declínio prolongado dos retornos da educação (FERREIRA et al., 2006). A educação, na literatura, é considerada como uma das principais vias para que haja aumento da renda. A teoria do Capital Humano é um dos arcabouços teóricos que relaciona a educação formal com os rendimentos1. Dessa forma, políticas que buscam qualificar ou melhorar o nível educacional da população, por exemplo, podem ter uma função importante para reduzir a desigualdade e a pobreza.
Ainda que nos últimos anos a desigualdade tenha diminuído de forma contínua, a concentração de renda brasileira ainda é uma das mais altas do planeta. Levando em conta 72 países com informações disponíveis (coeficiente de Gini), somente três nações apresentaram, em 2012, desigualdades maiores que a brasileira, a saber: Haiti, Honduras e Colômbia (WORLD BANK, 2017).
A pobreza, por exemplo, é bastante sensível às alterações na distribuição da renda. Sendo assim, como ressaltam Barros et al. (2001), associar políticas de crescimento econômico com políticas de redução da desigualdade pode estimular o crescimento e o desenvolvimento do país de forma mais eficiente.
Neste sentido, quanto mais desigual é a distribuição da riqueza, maior tende a ser a instabilidade política, econômica e social do país. Em um ambiente de insegurança e incerteza, a acumulação de capital e, por consequência, os investimentos são menores. Assim, a desigualdade levaria a uma taxa de crescimento futura menor (ALESINA; PEROTTI, 1996).
Portanto, entender a dinâmica da desigualdade de renda é fundamental para compreender certos problemas econômicos e propor possíveis soluções. Diante disso, este trabalho tem como objetivo definir os principais fatores que determinam a desigualdade de rendimentos no Brasil e testar a hipótese de que a educação é um fator significativo para explicar a concentração de renda brasileira.
Para atender aos objetivos deste trabalho, utilizou-se um método de decomposição baseado em um modelo de regressão (equação de rendimentos). Os dados da Pesquisa Nacional por Amostra de Domicílios (PNAD) de 2015 foram usados para a estimação dos parâmetros. De modo geral, os resultados mostraram que as variáveis associadas ao capital humano (educação e experiência no mercado de trabalho) são as mais relevantes para determinar a desigualdade no Brasil.
O artigo encontra-se organizado em quatro seções, além desta introdução: a seção 2 discute os possíveis fatores que determinam a desigualdade de rendimentos; a seção 3 apresenta o referencial analítico; na seção 4 são apresentados e discutidos os resultados e, por fim, na seção 5 há as conclusões.
2 Desigualdade de renda: fatores determinantes
Na literatura é possível encontrar várias teorias que têm como objetivo esclarecer o fenômeno da desigualdade de renda, podendo dividi-las em dois grupos: aquelas que focam as características dos trabalhadores; e aquelas que enfatizam a estrutura do mercado de trabalho (ALEJOS, 2003).
No que se refere às teorias que abordam os aspectos dos trabalhadores, destacam-se as teorias do Capital Humano e Discriminação no Mercado de Trabalho. Quanto ao grupo que abrange a estrutura do mercado de trabalho, encontram-se as teorias dos Diferenciais Compensatórios e Salário-Eficiência, e a Teoria do Mercado de Trabalho Dual.
No que se refere ao Capital Humano, tem-se uma das mais difundidas e conhecidas teorias que explica os determinantes dos rendimentos e, por consequência, da desigualdade. O conceito de capital humano surgiu com os economistas Adam Smith e Alfred Marshall, porém foi a partir do final da década de 1950 que a teoria ganhou impulso (FERNANDES, 2002), principalmente a partir dos trabalhos de Mincer (1958), Becker (1962) e Schultz (1960).
Dentre as variáveis mais importantes relacionadas ao capital humano, têm-se a educação e o treinamento realizado no local de trabalho (on-the-job training). Essa importância está no fato de que, ao adquirir educação (formal) e treinamento, os trabalhadores obtêm mais conhecimento, proporcionando-lhes a capacidade de analisar e resolver de forma mais eficiente os problemas que podem surgir durante o trabalho. Portanto, a produtividade de um país e, consequentemente, seu crescimento, está estreitamente ligada ao investimento em educação, qualificação e aprimoramento da mão de obra. Então, não é só de investimento em capital físico que se constitui o crescimento produtivo de uma nação.
A educação tem influência determinante na renda do indivíduo e possibilita uma melhora do desempenho e habilidades, gerando maior produtividade. Além disso, observa-se que, nos dias atuais, um maior nível de conhecimento por parte dos trabalhadores é cada vez mais exigido e que os trabalhadores inseridos no mercado de trabalho devem buscar uma aprendizagem contínua, fazendo do processo de ascensão de classe e de uma melhor renda um desafio para os indivíduos (DRUCKER, 2002).
Assim como a teoria do capital humano, a teoria da discriminação do mercado de trabalho procura explicar os diferenciais de rendimentos entre os indivíduos. A discriminação no mercado de trabalho pode ser entendida como uma situação na qual os indivíduos ou os grupos com habilidades produtivas (produtividades) iguais, na média, não recebem remuneração, na média, iguais (LUNDBERG; STARTZ, 1983).
Cabe mencionar que pessoas cuja produtividade seja relativamente baixa tendem também a ter salários relativamente baixos, e isso, portanto, não pode ser caracterizado como um tipo de discriminação. Por outro lado, pessoas que têm seus salários extremamente baixos, comparados à sua produtividade, podem estar sofrendo discriminação. Então, de acordo com Fernandes (2002), haverá discriminação no mercado de trabalho se pessoas ou grupos de indivíduos são diferenciados pelo mercado com base em características não produtivas.
Em termos empíricos, tem-se observado, no Brasil, que a cor e o sexo são fatores que diferenciam os rendimentos das pessoas. Hoffmann (2000) e Barros et al. (2007) mostram que as mulheres tendem a ter uma remuneração menor que os homens, e que pessoas da cor branca possuem rendimentos superiores às pessoas da cor negra (ou parda), mesmo após controlar outros fatores.
A teoria dos diferenciais compensatórios justificaria as diferenças de rendimento existentes entre indústrias, considerando-as como uma consequência dos distintos ambientes de trabalho. Por exemplo, trabalhos que envolvem potenciais danos à saúde necessitariam oferecer compensação aos trabalhadores de forma a atraí-los ao posto de trabalho. Em função disso, tem-se um fator que contribuiria para explicar a desigualdade de rendimentos em determinada sociedade. Já a teoria do salário-eficiência baseia-se na ideia de que salários que se situam acima do verificado no mercado podem aumentar a produtividade dos trabalhadores e/ou reduzir os custos para as firmas (ALEJOS, 2003). Em outras palavras, ao pagar salários altos, comparado ao verificado em outras empresas, a firma estaria motivando seus empregados e, por consequência, aumentando a produtividade deles. Todo esse processo seria resultado do seu comportamento maximizador de lucro (RIVEROS; BOUTON, 1991). Já a teoria do mercado de trabalho dual pode ser explicada pela pressuposição que o nexo entre salário e produtividade é importante em alguns setores da economia, porém não em outros (YELLEN, 1984).
Os economistas Doeringer e Piore são mencionados como os pioneiros da teoria do mercado de trabalho dual2. Foram eles que introduziram o conceito de Mercado Interno de Trabalho (MIT), correspondente ao setor institucional. Define-se MIT como uma unidade administrativa na qual há um conjunto de regras e procedimentos que governam a contratação e a remuneração da mão de obra. A diferença com relação ao Mercado Externo de Trabalho, que corresponde ao setor informal (atrasado), é que ele é governado pelas forças de mercado e não por regras administrativas, e as contratações e remunerações da mão de obra são governadas por variáveis econômicas (DOERINGER; PIORE, 1971).
Os trabalhadores do mercado interno possuem algumas vantagens e direitos – por exemplo, promoções, oportunidade de treinamento, altos salários, estabilidade etc. – que não estão disponíveis aos trabalhadores do mercado externo. Diante das condições mais favoráveis, os trabalhadores do mercado interno ficam motivados a se aperfeiçoar ainda mais e, por extensão, reduzem a mobilidade externa.
Assim, um dos motivos que levam a economia a ter grandes diferenciais de rendimentos é essa divisão no mercado de trabalho. Indivíduos que trabalham no mercado externo – informal ou tradicional – possuem pouca probabilidade de ter acesso ao setor que proporciona maiores rendimentos.
Ainda que a concentração de renda seja um tema muito estudado, não há um claro consenso sobre o principal fator determinante da desigualdade. Nesse sentido, este trabalho procura fornecer, por meio de técnicas de decomposição baseadas em regressão, mais evidências a respeito dos possíveis fatores que influenciam a distribuição de renda.
3 Metodologia
Como metodologia, utilizou-se uma técnica de decomposição baseada em uma equação de regressão: a decomposição de Fields3. O método é aplicado em uma equação de rendimentos, permitindo mensurar o quanto cada variável explicativa do modelo contribui para a desigualdade. A técnica de decomposição é exposta com detalhes a partir da próxima subseção.
3.1 Decomposição de Fields
Diferentemente dos métodos tradicionais de decomposição por subgrupo populacional ou por fontes de renda na análise da desigualdade de renda4, a abordagem baseada em regressão tem a vantagem de permitir a inclusão de quaisquer variáveis explicativas, tais como variáveis econômicas, sociais e demográficas (GUNATILAKA; CHOTIKAPANICH, 2009).
Por meio do método mencionado, é possível quantificar a porcentagem de participação de cada variável explicativa (independente) da equação de rendimentos na desigualdade de renda. Essa decomposição é de fundamental importância para este trabalho, uma vez que permite avaliar o peso de cada variável explicativa sobre a desigualdade de renda no Brasil.
As decomposições baseadas em regressão utilizam uma função de rendimentos (income generating function), que pode ser escrita como:
(1)em que Y é a variável rendimento (ou salário), Xji são os fatores que determinam a renda e εi é um termo de erro aleatório com as propriedades usuais. O uso de uma especificação semi-log é justificado, conforme Wan e Zhou (2005), pelo fato de a variável renda ter distribuição aproximadamente log-normal.
Tomando a covariância entre os dois termos da equação (1), obtém-se:
(2)Assim, pode-se chegar a
(3)Realizando a divisão por em ambos os lados da equação (3), chega-se à variável chamada de “peso relativo de desigualdade”, como pode ser vista na equação (4):
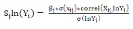
(4)O peso relativo de desigualdade é caracterizado pela razão entre a covariância das variáveis explicativas somadas à variável dependente e à variância da variável dependente, conforme fórmula:
(5)Desta forma, cada variável peso relativo de desigualdade representa a parcela da variável dependente que é atribuída a todas as variáveis explicativas da equação de salários, incluindo o termo de erro. Logo, a soma de cada parcela dessas variáveis será igual a 100%. Além disso, observa-se na equação (6) que a decomposição em nível é extraída dos coeficientes estimados da equação de salários ( ) , do desvio padrão ( ), das variáveis explicativas ( e da correlação
(6)Como pode ser visto, o que se nota no método de decomposição, a partir da formulação (6), é a importância da correlação entre as variáveis independentes e a variável dependente. Em outras palavras, uma variável independente pode contribuir para a desigualdade dos salários mesmo obtendo uma distribuição mais uniforme. Uma vez que esta variável possui um alto grau de correlação com a variável dependente, ainda que apresente uma distribuição com dispersão bastante baixa, a sua participação na desigualdade de renda pode ser bastante relevante. De modo similar, caso a variável apresente distribuição desigual, mas possua baixa correlação com a variável dependente, a contribuição para a desigualdade de renda pode ser pequena.
Deve-se destacar que o índice que mensura a desigualdade, no método de Fields, é o coeficiente de variação.
3.2 Equação de rendimentos: Procedimento de Heckman
Considerando a seção anterior, a equação de rendimentos é imprescindível para a aplicação da decomposição de Fields. No entanto, deve-se ter cautela em sua estimação. De acordo com Kassouf (1994), a estimação das equações de rendimentos, por meio do método dos Mínimos Quadrados Ordinários (MQO), pode gerar coeficientes viesados. A explicação para isso está na provável seletividade amostral, uma vez que é comum utilizar, no processo de estimação, somente indivíduos que estão empregados, isto é, que possuem algum rendimento proveniente do trabalho. Aqueles trabalhadores que não recebem renda do trabalho não seriam considerados nos cálculos. Para levar em conta essa possibilidade, Heckman (1979) desenvolveu um método que permite estimativas consistentes.
Formalmente, pode-se demonstrar, segundo Kassouf (1994), o problema do viés de seletividade por meio da seguinte equação:
(7)em que L*ié uma variável (latente) que representa participação no mercado de trabalho; Zi é um vetor de variáveis que explica a participação ou não do indivíduo na força de trabalho; γ é um vetor de coeficientes a ser estimado; e ui é o termo de erro aleatório com distribuição normal.
É importante frisar que L*i não é observado, mas é possível identificar aqueles indivíduos que trabalham ou não, de tal forma que:
Li = 1 se L*i > 0
Li = 0 se L*i ≤ 0
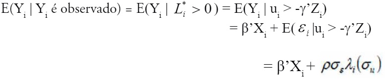
Diante disso, pode-se definir Yi como o logaritmo natural dos rendimentos recebido por cada um dos indivíduos que fazem parte da força de trabalho:
(8)em que Xi é um vetor de variáveis explicativas; é um vetor de parâmetros a ser estimado; e εi é o termo de erro aleatório. Note que Yi é observado somente quando L*i > 0. Por pressuposição, assume-se que ui e εi possuem distribuição normal bivariada com média zero, desvios-padrão σu e σε, e correlação ρ. Dado isso e tomando a esperança (condicionada) de ambos os lados de (8), tem-se:
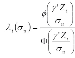
(9)em que

e ϕ e Φ são, respectivamente, a função densidade normal e a função distribuição normal. Na literatura, λi(σu) é conhecido como a razão inversa de Mills.
Com base na equação (8), é possível observar que a estimação da equação de rendimentos – considerando somente os indivíduos que possuem alguma atividade remunerada – levaria a um viés de especificação (viés de seletividade), visto que a variável lambda (razão inversa de Mills) não estaria incluída no modelo. Ao inserir a variável λi(σu) na equação (8), as estimativas dos parâmetros tornam-se consistentes, uma vez que a decisão do agente econômico de se inserir ou não na força de trabalho teria sido levada em conta nas estimativas.
A razão inversa de Mills é obtida por meio de um modelo Probit, que tem como objetivo explicar os fatores que influenciam a decisão do indivíduo em entrar ou não no mercado de trabalho. Após obter a estimativa da variável λi(σu), pode-se estimar a equação de rendimentos, em função de X e lambda, por meio do MQO (KASSOUF, 1994).
Assim, para este trabalho, a equação de seleção (modelo Probit) foi definida da seguinte forma:
(10)em que Zi é uma variável binária, que reflete a condição de atividade do i-ésimo indivíduo, isto é, 1 se faz parte da força de trabalho e 0, caso contrário; Edu é a escolaridade, em anos de estudo; Sexo é a variável binária para gênero, que assume valor 1 para homens e 0 para mulheres; Cor é a variável binária que assume valor 1 para indivíduos da cor branca e 0, em caso contrário; e as variáveis id e id ao quadrado são, respectivamente, idade e idade ao quadrado, medidas em dezenas de anos; Chefe é a variável binária para a pessoa de referência no domicílio, que assume valor 1 para indivíduos que são chefes de família e 0, em caso contrário; e Tam é o tamanho da família, isto é, o número de membros na família.
Por meio da equação (10), obtém-se a razão inversa de Mills, que é inserida na seguinte equação de rendimentos:
(11)em que lnYié logaritmo natural do rendimento de todos os trabalhos do indivíduo i sobre o número de horas mensais trabalhadas; as variáveis dummies Sul, Sudeste-Norte e Centro-Oeste indicam a região do trabalhador, sendo a categoria-base formada pelos indivíduos da região Nordeste; as variáveis dummies Empregador e Conta Própria indicam a posição na ocupação, em que Empregado é a categoria base; Urbana é uma variável dummy que assume valor 1 se o indivíduo é da zona urbana e 0, caso contrário; as demais variáveis já foram especificadas.
É fundamental apresentar uma breve explicação sobre as variáveis incluídas no modelo (11). Elas foram escolhidas, em sua maioria, de acordo com as teorias econômicas apresentadas na seção anterior. Assim, as variáveis educação, idade . idade ao quadrado refletem, parcialmente, os efeitos do capital humano sobre a produtividade e, assim, sobre os rendimentos dos trabalhadores. As duas últimas são consideradas proxies para experiência no mercado de trabalho (on-the- job training). Levando em conta o fato de que a variável experiência não é de fácil obtenção, optou-se por utilizar a idade como uma substituta, haja vista que a experiência no mercado de trabalho tende a crescer com a idade da pessoa. Campante et al. (2004) e Santos et al. (2010), por exemplo, também usaram a mesma proxy.
Os possíveis efeitos da discriminação no mercado de trabalho são mensurados pelas variáveis sexo (gênero) e cor. As variáveis dummies, que distinguem a região em que o indivíduo vive, foram incluídas com base na teoria do mercado de trabalho dual. Com relação às variáveis que diferenciam a posição na ocupação, tem-se como fundamentação o fato de que há posições que historicamente proporcionam rendimentos superiores, tais como os empregadores. A variável Urbana foi inserida para captar os diferenciais existentes entre indivíduos que vivem em zona urbana e zona rural. Em cada uma dessas áreas há uma dinâmica, em termos de desigualdade, própria.
3.3 Fonte de dados
Os dados que foram usados neste trabalho são oriundos da Pesquisa Nacional por Amostra de Domicílios (PNAD), do Instituto Brasileiro de Geografia e Estatística (IBGE), referente ao ano de 2015. As variáveis selecionadas foram: condição de atividade (faz parte do mercado de trabalho ou não), anos de estudo, sexo, cor, idade, pessoa de referência na família (se o indivíduo é ou não a pessoa de referência), número de membros na família, rendimento por hora, região (sul, sudeste, norte, nordeste e centro-oeste), posição na ocupação (empregador, empregado e conta própria) e a situação censitária (urbano ou rural).
É importante ressaltar que a PNAD é caracterizada como uma amostra complexa que envolve estratificação e conglomeração em um, dois ou três estágios de seleção, dependendo do estrato (SILVA et al., 2002). Tratar a PNAD como IID (Independente e Identicamente Distribuídos) pode levar a estimativas incorretas de significância ou de intervalos de confiança. Portanto, foi necessário considerar o plano amostral da PNAD para que as estimativas não sejam calculadas de forma incorreta. Segundo Lima (2008), é de fundamental importância que se conheça em qual estrato e em qual unidade primária amostral (PSU) está localizado o domicílio da amostra para que seja possível utilizar os pesos corretamente e, assim, usar as informações do desenho amostral para realizar inferências.
4 Resultados e discussão
Primeiramente são apresentadas as estatísticas descritivas das variáveis utilizadas na equação de rendimentos. O resultado pode ser visto na Tabela 1.
| Variáveis | Média | Desvio-Padrão |
| Rendimento/hora | 16,46 | 77,47 |
| Edu (anos de estudo) | 10,44 | 4,09 |
| Idade (em anos) | 38,9 | 12,84 |
| Sexo (homem) | 0,59 | 0,49 |
| Cor (branca) | 0,44 | 0,50 |
| Sudeste | 0,33 | 0,47 |
| Sul | 0,18 | 0,38 |
| Centro-Oeste | 0,11 | 0,31 |
| Norte | 0,14 | 0,35 |
| Empregador | 0,04 | 0,19 |
| Conta Própria | 0,22 | 0,30 |
| Urbana | 0,90 | 0,30 |
Pode-se observar, por meio da Tabela 1, que, em média, o rendimento de todos os trabalhos, dividido pelas horas trabalhadas, é de, aproximadamente, 16 reais, com desvio-padrão de 77,47. A alta dispersão já era esperada, visto que a renda é distribuída, no Brasil, de uma forma bem desigual (WORLD BANK, 2017).
Com relação à educação, tem-se um valor de 10,44, o que significa que o trabalhador, na amostra, estuda, em média, cerca de 10 anos. Quanto à idade, tem-se 38,9. Ou seja, a idade média do trabalhador, na amostra, é de, aproximadamente, 39 anos. Além disso, na amostra considerada, mais da metade são homens (59%). Quanto à situação censitária, verifica-se que 90% das pessoas que estão inseridas no mercado de trabalho estão localizadas nas áreas urbanas, o que mostra quão forte é, atualmente, a urbanização no Brasil.
As estimativas dos coeficientes da equação de rendimentos para o Brasil podem ser vistas na Tabela 2.
| Variáveis | Coeficientes estimados | Coeficientes em termos percentuais | Erros-padrão linearizado |
| Constante | -2,7284 | - | 0,0429*** |
| Edu | 0,1027 | 10,82 | 0,0010*** |
| Idade | 1,4001 | 305,56 | 0,0173*** |
| Idade² | -0,1549 | -14,34 | 0,0021*** |
| Sexo | 0,5489 | 73,13 | 0,0063*** |
| Cor | 0,0758 | 7,87 | 0,0057*** |
| Sudeste | 0,2948 | 34,28 | 0,0095*** |
| Sul | 0,3299 | 39,08 | 0,0108*** |
| Centro-Oeste | 0,3088 | 36,18 | 0,0122*** |
| Norte | 0,1230 | 13,09 | 0,0114*** |
| Empregador | 0,2920 | 33,91 | 0,0160*** |
| Conta Própria | -0,0497 | -4,85 | 0,0048*** |
| Urbana | 0,0826 | 8,61 | 0,0062*** |
| Lambda | 0,8200 | - | 0,0096*** |
| Estatística F | 1555,51*** | ||
| Nº de observações | 255.473 | ||
| População Equivalente | 148.272.629 |
Para evitar qualquer tipo de imprecisão, Wooldridge (2006) sugeriu utilizar a fórmula 100[exp(x)-1] para calcular o acréscimo percentual nos rendimentos gerado por cada ano a mais de estudo, em que x é o coeficiente estimado da variável educação. A fórmula também foi usada nos demais coeficientes do modelo.
Conforme a Tabela 2, todas as estimativas foram estatisticamente significativas ao nível de 1%, o que significa que os coeficientes da equação estimada são, do ponto de vista estatístico, diferentes de zero. Portanto, a variável dependente é influenciada, individualmente, pelas variáveis explicativas. Além disso, a razão inversa de Mills (lambda) teve significância estatística (ao nível de 1%), indicando que sua inclusão era necessária para evitar o viés de seletividade.
Observa-se também que a educação é um fator de grande importância para explicar os rendimentos dos trabalhadores. A relevância dos anos de estudo (Edu) pode ser contatada por meio da taxa de retorno da educação, calculada a partir da estimativa do coeficiente da variável Edu (0,1027). Assim, por cada ano adicional de estudo, tem-se um aumento de 10,82%, em média, nos rendimentos provenientes do trabalho. Para Drucker (2002), à medida que o indivíduo passa a investir na sua formação, suas habilidades e conhecimentos são aprimorados, fazendo com que sua produtividade aumente e seus rendimentos cresçam, possibilitando maiores ganhos, tanto econômicos quanto sociais.
A variável idade, que é utilizada aqui como proxy para experiência no mercado de trabalho, obteve um coeficiente positivo. Ao contrário do coeficiente idade, o coeficiente associado a variável idade ao quadrado foi negativo. O resultado mostra que a relação entre experiência e rendimentos tem o comportamento do tipo U-invertido, ou seja, à medida que o indivíduo ganha mais experiência em seu ambiente de trabalho, os rendimentos tendem a crescer; entretanto, ao atingir certo ponto, a renda passa a cair. Além disso, é possível estimar a idade que proporciona o maior rendimento para o indivíduo. Em outras palavras, qual é a idade que maximiza os ganhos da pessoa? Derivando a equação de rendimentos com respeito à idade e igualando-a a zero, tem-se a idade de 45 anos. Portanto, ao atingir, aproximadamente, 45 anos, as pessoas alcançam o seu ponto de maximização dos rendimentos. Para Kassouf (1994), 50 anos seria a idade que os homens maximizam seus rendimentos e 46 seria a idade para as mulheres. Conforme as estimativas de Hoffmann (2000), para o ano de 1997, a idade que maximizaria a renda dos brasileiros estaria em torno de 50 anos.
O coeficiente associado à variável sexo também é positivo, mostrando que pode haver algum tipo de discriminação em relação às pessoas do sexo feminino. De acordo com as estimativas, o fato de um indivíduo ser homem (a variável sexo assume o valor 1) faz com que ele receba um salário 73,13% maior que o das mulheres, em média. Pinho Neto et al. (2011) e Barros et al. (2007) também encontraram resultados semelhantes. Ao estudar as causas da desigualdade salarial para a região Nordeste, Berni, Barreto e Siqueira (2007) verificaram que, no ano de 1995, as mulheres ganhavam, em média, 51,49% a menos que os homens, ocorrendo uma queda para 35,23% em 2005.
Com relação a variável cor, constatou-se que pessoas de cor branca têm, em média, rendimentos de 7,87% maiores que pessoas de cor não branca, mantendo as demais variáveis constantes. O resultado sugere que pode haver discriminação racial no mercado de trabalho. Então, conforme a Tabela 2, pode-se verificar que a diferença de rendimentos entre as pessoas brancas e as demais (preta, parda, indígena e amarela) não é tão grande se comparado ao resultado associado à variável sexo. Campante et al. (2004) verificaram, para o ano de 1996, que cerca de 73% da população brasileira vivia ou na região Sudeste ou na região Nordeste e que 79% dos negros do Brasil residiam no Nordeste ou no Sudeste. Além disso, a região Sudeste concentrava cerca de 52% da população branca brasileira, enquanto o Nordeste concentrava 46% dos negros. Segundo os resultados dos autores supracitados, os brancos recebiam, em média, 61% e 55% a mais que os negros nas regiões Sudeste e Nordeste, respectivamente.
No que se refere às regiões, verifica-se que indivíduos que vivem na região Sudeste, Sul, Centro Oeste e Norte têm rendimentos superiores àqueles que são da região Nordeste, sendo que a maior diferença está na região Sul, Centro Oeste e Sudeste. Ou seja, pessoas que residem nas regiões Sul, Centro Oeste e Sudeste recebem, em média, respectivamente, 39,1%, 36,2% e 34,3% a mais que as pessoas que residem na região Nordeste. Uma das possíveis justificativas, principalmente com relação à região Sul e Sudeste, está no fato de que essas regiões são as mais ricas e industrializadas do país. De acordo com os dados do IBGE (2018), em 2010, a participação das regiões Sudeste e Sul na composição do PIB nacional chegou a, aproximadamente, 71%, o que evidencia a concentração da dinâmica econômica nessas regiões (principalmente no Sudeste). Com respeito ao Centro Oeste, tem-se uma região cujo agronegócio cresceu de forma expressiva nos últimos anos. Além disso, Brasília, localizada na região Centro Oeste, tem uma alta renda per capita, o que pode ter influenciado o resultado. Em 2015, a média da renda domiciliar per capita na capital do país foi 2.139 reais, enquanto a média nacional foi de 1.046 reais.
É importante ressaltar que foi possível notar a influência individual que cada variável possui para determinar os rendimentos dos indivíduos. Em conjunto, essas variáveis também podem atuar de modo a impulsionar ou a contrair os rendimentos, estatisticamente falando. Em conjunto, as variáveis também exercem impacto sobre os rendimentos, conforme a estatística F (Tabela 2).
4.1 Decomposição de Fields
Os resultados da decomposição de Fields podem ser vistos na Tabela 3. Conforme destacado anteriormente, essa decomposição possibilita mensurar a contribuição de cada variável explicativa da equação de rendimentos sobre a desigualdade, mensurada pelo coeficiente de variação.
Da mesma forma que Gunatilaka e Ghotikapanich (2009), optou-se por trabalhar com algumas variáveis agrupadas. Assim, a desigualdade foi decomposta em oito componentes: Educação, Idade (idade e idade ao quadrado), Sexo, Cor, Região (Sudeste, Sul, Centro-Oeste e Norte), Condição da Ocupação (Empregado e Conta Própria) e Urbano.
| Variáveis | Parcela de cada variável no CV |
| Edu (anos de estudo) | 24,44 |
| Idade | 14,05 |
| Sexo | 1,60 |
| Cor | 0,93 |
| Região | 2,92 |
| Condição da Ocupação | 1,42 |
| Urbana | 0,47 |
| Resíduo | 54,17 |
Deve-se destacar que foi calculado, com base na variável dependente (rendimento por hora), o coeficiente de variação (CV). O valor da estimativa foi, aproximadamente, 430%, o que revela, como já era esperado, a alta desigualdade de rendimentos. Cada variável independente possui uma parcela de contribuição para a formação do CV.
Como pode ser visto na Tabela 3, a educação se destacou como a principal variável na determinação da desigualdade de renda (rendimentos) no Brasil em 2015. O resultado revela que a educação formal, mensurada em anos de estudo, explica, aproximadamente, 24% da desigualdade de rendimentos no país (coeficiente de variação). A explicação para o resultado pode estar na teoria do Capital Humano, que estabelece a ligação entre a desigualdade de rendimentos e a qualificação dos indivíduos. Ao mesmo tempo que a educação afeta o nível de renda, ela também pode causar a sua má distribuição, visto que, dependendo da localidade, da condição financeira e, naturalmente, das características intrínsecas dos indivíduos, as pessoas possuem níveis educacionais diferentes (WAN, 2004).
Com respeito à literatura, há trabalhos com resultados similares. Berni, Barreto e Siqueira (2007), por exemplo, encontraram, para a região Nordeste, valores de 41,82% e 39,12%, referentes aos anos de 1995 e 2005, respectivamente. Ao estudar a desigualdade de renda e educação no Brasil, Vasconcelos (2015) analisou, para os anos de 2001 e 2012, que a educação explicava a desigualdade de renda em 46,11% e 32,98%, nesta ordem.
Sendo assim, a contribuição da educação para a desigualdade caiu nos últimos anos no país. Vasconcelos (2015) explica que essa redução está associada à diminuição dos retornos médios da escolaridade, que passaram de 25% em 2001 para 18,12% em 2012. Em 2015 (Tabela 2), a taxa foi de 10,82%. Soares (2006) ressalta que o maior acesso à educação, ampliado ao longo dos anos, pode ter influenciado as pessoas a se tornarem mais qualificadas, provocando, portanto, uma redução dos retornos médios da escolaridade.
A segunda variável que mais contribuiu para a desigualdade foi a idade, usada como proxy para experiência. Sua contribuição para a desigualdade foi de, aproximadamente, 14%. Em outras palavras, a idade foi responsável, na média, por cerca de 14% do coeficiente de variação. Apesar de haver trabalhos como o de Berni, Barreto e Siqueira (2007) e Vasconcelos (2015), que apresentaram valores significativamente baixos, o resultado encontrado neste trabalho não foi de grande surpresa, já que tanto a educação quanto a variável experiência influenciam a produtividade. Santos e Vieira (2015), embora tenham utilizado uma metodologia distinta da que foi aplicada neste trabalho, analisaram a desigualdade na região Nordeste, nas áreas urbanas e rurais para o ano de 2013, e observaram que a idade tem uma contribuição relativamente alta (27,10% em áreas urbanas e 29,55% em áreas rurais). Assim como no presente trabalho, Santos e Vieira (2015) verificaram que a educação e a experiência são as variáveis que mais explicam a desigualdade (na região Nordeste).
Com relação à variável região, nota-se que ela é responsável por 2,92% da desigualdade de renda brasileira. O resultado reflete as disparidades existentes entre as regiões brasileiras. De acordo com Maciel, Piza e Penoff (2009), pode-se observar, em termos regionais, a alta concentração de produção e renda nas regiões Sudeste e Sul e os elevados níveis de pobreza nas regiões Nordeste e Norte. Portanto, o grande contraste entre regiões no Brasil é transmitido para o índice de desigualdade, o que mostra que um processo de convergência de renda poderia reduzir as desigualdades individuais.
Já com respeito à variável sexo, tem-se o valor de 1,60%, que, embora seja pequeno em relação às outras variáveis, demonstra que os diferenciais de rendimentos entre gêneros contribuem para a desigualdade geral. Sendo assim, uma possível explicação está na teoria da discriminação no mercado de trabalho, que relaciona a desigualdade de renda à discriminação que determinados grupos sofrem no mercado de trabalho.
Ao reunir a contribuição de todas as variáveis, tem-se um valor de 45,83%, o que significa que, conjuntamente, as variáveis explicam 45,83% do coeficiente de variação, isto é, da desigualdade de rendimentos.
Por fim, uma significativa contribuição é indicada para os fatores não observados, com aproximadamente 54,17%. No trabalho de Silva (2015), com o intuito de analisar a desigualdade e os diferenciais de rendimento do trabalho Brasil, o resíduo apresentou contribuições de 43,5% em 1995, 44,3% em 2004 e 52,3% em 2014. Essa elevada participação do resíduo é considerada comum na literatura, sendo atribuída às variáveis que não são incorporadas no modelo.
5 Considerações finais
Ao analisar o histórico, principalmente nos últimos anos, da desigualdade de renda no Brasil, verifica-se que ocorreu uma acentuada queda. Embora tendo alcançado bons resultados ao longo dos anos, a distribuição da renda ainda é bem desigual na sociedade brasileira, indicando que há muito que melhorar. Nesse sentido, este trabalho analisou os principais determinantes da desigualdade de rendimentos no Brasil.
Conforme os resultados encontrados, é possível concluir que a educação ainda é um fator de grande importância para determinar os rendimentos dos indivíduos. A taxa de retorno da educação brasileira, ainda que tenha caído nos últimos tempos, permanece alta. Por consequência, observou-se que, em 2015, as variáveis relacionadas ao capital humano foram as principais determinantes da desigualdade de rendimentos. Ou seja, levando em conta que a educação também é distribuída de forma desigual no Brasil, a sua distribuição afeta diretamente a desigualdade de renda. Então, políticas governamentais que tenham como objetivo treinar, instruir e qualificar a população - principalmente a de baixa renda - são capazes de aumentar os rendimentos dos trabalhadores mais pobres, possibilitando que a desigualdade caia de forma significativa.
Como exemplo de políticas, pode-se citar aquelas que combatem o analfabetismo, que ainda é grande no Brasil, e a evasão escolar. Entretanto, há outros aspectos importantes, tais como a melhoria da infraestrutura escolar e a qualificação docente.
Para futuras pesquisas, sugere-se avaliar o efeito das variáveis explicativas sobre a iniquidade distributiva utilizando outro índice de desigualdade, tal como o índice de Gini, ou algum índice da classe de entropia generalizada (Theil).
Referências
ALEJOS, L. Contribution of the determinants of income inequality in Guatemala. Guatemala: Instituto de Investigaciones Económicas y Sociales, Universidad Rafael Kandívar, 2003.
ALESINA, A.; PEROTTI, R. Income distribution, political instability, and investment. European Economic Review, v. 4, p. 1203-1228, 1996.
ARAUJO, J. M.; ALVES, J. A.; BESARRIA, C. N. O impacto dos gastos sociais sobre os indicadores de desigualdade e pobreza nos estados brasileiros no período de 2014 a 2009. Revista de Economia Contemporânea, v. 17, n. 2, p. 249-275, 2013.
BARROS, R. P. et al. A queda recente da desigualdade de renda no Brasil. Rio de Janeiro: IPEA, 2007.
BARROS, R. P.; HENRIQUES, R.; MENDONÇA, R. A estabilidade inaceitável: desigualdade e pobreza no Brasil. In: HENRIQUES, R. (org.). Desigualdade e Pobreza no Brasil. Rio de Janeiro: IPEA, 2001.
BARROS, R. P.; MENDONÇA, R. Os determinantes da desigualdade no Brasil. A Economia Brasileira em Perspectiva, v. 2, p. 421-474, 1996.
BECKER, G. S. Investment in human capital: a theoretical analysis. The Journal of Political Economy, v. 70, n. 5, p. 9-49, 1962.
BERNI, H. A.; BARRETO, F. A.; SIQUEIRA, M. L. Determinantes recentes da desigualdade salarial no Nordeste do Brasil. Série Ensaio sobre pobreza. Fortaleza, CE: Laboratório de Estudos da Pobreza, CAEN, UFC, 2007.
CAMPANTE, F. R.; CRESPO, A. R. V.; LEITE, P. G. Desigualdade salarial entre raças no mercado de trabalho urbano brasileiro: Aspectos Regionais. Revista Brasileira de Economia, v. 58, n. 2, p. 185-210, 2004.
DOERINGER, P. B.; PIORE, M. J. Internal labor markets and manpower analysis. Lexington, Mass: D.C. Heath: Lexington Books, 1971.
DRUCKER, P. F. O melhor de Peter Drucker: a sociedade. São Paulo: Nobel, 2002.
FERNANDES, R. Desigualdade salarial: aspectos teóricos. In: CORSEUIL, C. H. (org.). Estrutura salarial: aspectos conceituais e novos resultados para o Brasil. Rio de Janeiro: IPEA, 2002. p. 1-51.
FERREIRA, F. Os determinantes da desigualdade de renda no Brasil: luta de classes ou heterogeneidade educacional? Rio de Janeiro: PUC-Rio, 2000. (Texto para discussão, n. 415).
FERREIRA, F. et al. Ascensão e queda da desigualdade de renda no Brasil. Econômica, v. 8, n. 1, p. 147-169, 2006.
FIELDS, G. S. Accounting for income inequality and its changes: A new method with application to the distribution of earnings in the United States. Research in Labour Economics, v. 22, p. 1-38, 2003.
GUNATILAKA, R.; CHOTIKAPANICH, D. Accounting for Sri Lanka’s expenditure inequality 1980-2002: regression-based decomposition approaches. Review of Income and Wealth, v. 55, n. 4, p. 882-905, 2009.
HECKMAN, J. J. Sample selection bias as a specification erro. Econometrica, v. 47, n. 1, p. 153-161, 1979.
HELFAND, S. M.; ROCHA, R.; VINHAIS, H. E. F. Pobreza e desigualdade de renda no Brasil rural: uma análise da queda recente. Pesquisa e Planejamento Econômico, v. 39, n. 1, p. 67-88, 2009.
HOFFMANN, R. Mensuração da desigualdade e da pobreza no Brasil. In: HENRIQUES, R. (org.). Desigualdade e pobreza no Brasil. Rio de Janeiro: IPEA, 2000.
IBGE. INSTITUTO BRASILEIRO DE GEOGRAFIA E ESTATÍSTICA. Contas Nacionais. Disponível em: http://www.ibge.gov.br. Acesso em: 16 abr. 2018.
KASSOUF, A. L. The wage rate estimation using the Heckman procedure. Revista de Econometria, v. 14, n. 1, p. 89-107, 1994.
LIMA, J. R. F. Efeitos da pluriatividade e rendas não-agrícolas sobre a pobreza e desigualdade rural na Região Nordeste. 2008. 58f. Tese (Doutorado em Economia Aplicada) – Departamento de Economia Rural, Universidade Federal de Viçosa, Minas Gerais, 2008.
LUNDBERG, S. J.; STARTZ, R. Private discrimination and social intervention in competitive labor market. The American Economic Review, v. 73, n. 3, p. 340-347, 1983.
MACIEL, V. F.; PIZA, C. C. T.; PENOFF, R. N. Desigualdades regionais e bem-estar no Brasil: quão eficiente tem sido a atividade tributária dos estados para a sociedade? Planejamento e Políticas Públicas, n. 33, p. 291-318, 2009.
MEDEIROS, M. BRITTO, T.; SOARES, F. Programas focalizados de transferência de renda no Brasil: contribuições para o debate. Rio de Janeiro: Instituto de Pesquisa Econômica Aplicada, 2007. (Texto para Discussão, n. 1283).
MINCER, J. Investment in human capital and personal income distribution. The Journal of Political Economy, v. 66, n. 4, p. 281-302, 1958.
PINHO NETO, V. R.; BARRETO, F. A. F. D.; FEIJÓ, J. R. A importância da educação para a recente queda da desigualdade de renda salarial no Brasil: Uma análise de decomposição para as regiões Nordeste e Sudeste. Rio de Janeiro: IPEA, 2011.
RAMOS, L.; VIEIRA, M. L. Desigualdade de rendimentos no Brasil nas décadas de 80 e 90: evolução e principais determinantes. Rio de Janeiro: IPEA, 2001. (Texto para Discussão, n. 803).
RIVEROS, L. A.; BOUTON, L. Efficiency wage theory, labor markets, and adjustment. PRE Working Paper, The World Bank, n. 731, 1991.
SANTOS, G. C. et al. Mercado de trabalho e rendimento no meio rural brasileiro. Revista de Economia Aplicada, v. 14, n. 3, p. 355-379, 2010.
SANTOS, V. F.; VIEIRA, W. C.; REIS, B. S. Effects of alternative policies on income redistribution: Evidence from Brazil. Development Policy Review, v. 27, n. 5, p. 601-616, 2009.
SANTOS, V. F.; VIEIRA, W. C. Income inequality in the urban and rural sectors of the Northeast Region of Brazil. Review of Urban & Regional Development Studies, v. 27, n. 2, p. 134-147, 2015.
SCHULTZ, T. W. Capital formation by education. The Journal of Political Economy, v. 68, n. 6, p. 571-583, 1960.
SCHWARTZMAN, S. As causas da pobreza. Rio de Janeiro: FGV, 2004.
SILVA, P. L. N.; PESSOA, D. G. C.; LILA, M. F. Análise de dados da PNAD: incorporando a estrutura do plano amostral. Ciência e Saúde Coletiva, v. 7, n. 4, p. 659-670, 2002.
SILVA, V. H. M. C.Ensaios sobre desigualdade e diferenciais de rendimentos do trabalho no Brasil. Dissertação (Mestrado) – Universidade Federal do Ceará. Departamento de Pós-Graduação em Economia Rural, Fortaleza-CE, 2015.
SOARES, F. V. et al. Programas de transferências de renda no Brasil. impactos sobre a desigualdade. Rio de Janeiro: IPEA, 2006. (Texto para Discussão, n. 1228).
SOARES, S. D. S. Análise de bem-estar e decomposição por fatores da queda na desigualdade entre 1995 e 2004. Econômica, Rio de Janeiro, v. 8, n. 1, p. 83-115, 2006.
SOARES, S. S. D. O perfil da discriminação no mercado de trabalho: homens negros, mulheres brancas e mulheres negras. Rio de Janeiro: IPEA, 2000. (Texto para Discussão, n. 769).
VASCONCELOS, J. C. Ensaios sobre desigualdade de renda e educação no Brasil. 2015. 106 f. Dissertação (Mestrado) - Universidade Federal do Ceará, Departamento de Pós-Graduação em Economia Rural, Fortaleza-CE, 2015.
WAN, G. Accounting for income inequality in rural China: regression-based approach. Journal of Comparative Economics, v. 32, n. 2, p. 348-363, 2004.
WAN, G.; ZHOU, Z. Income inequality in rural China: regression-based decomposition using household data. Review of Development Economics, v. 9, n. 1, p. 107-120, 2005.
WORLD BANK. DATA. Disponível em: http://data.worldbank.org/indicator/SI.POV.GINI. Acesso em: 1 maio 2017.
WOOLDRIDGE, J. M. Econometric analysis of cross section and panel data. Cambridge, Massachusetts: MIT Press, 2002. 752 p.
YELLEN, J. L. Efficiency wage models of unemployment. The American Economic Review, v. 74, n. 2, p. 200-205, 1984.
Notas
Notas de autor