ARTIGOS ORIGINAIS
Serviço Social e trabalho profissional em hospital
Social Work Practices in hospital settings
Prácticas de Trabajo Social en entornos hospitalarios
Serviço Social e trabalho profissional em hospital
Vértices (Campos dos Goitacazes), vol. 20, núm. 3, 2018
Instituto Federal de Educação, Ciência e Tecnologia Fluminense

Recepción: 22 Agosto 2018
Aprobación: 11 Octubre 2018
Resumo: O artigo objetiva analisar o trabalho das assistentes sociais em hospital, em uma cidade do Norte Fluminense, por meio do estudo do perfil profissional, da rotina de trabalho e demandas direcionadas ao Serviço Social. Metodologicamente pautou-se em pesquisa bibliográfica e de campo. Os resultados indicam que esse trabalho pode ser caracterizado por atividades administrativas e assistenciais, pautadas no imediatismo e na singularidade dos sujeitos, através de informação e, em menor proporção, tentativa de compreensão dos determinantes sociais de seu adoecimento. Neste contexto, a organização institucional, centralizada no tratamento médico-biológico da doença, apresenta-se como um dos determinantes objetivos do trabalho.
Palavras-chave: Serviço Social, Trabalho profissional, Saúde, Hospitais.
Abstract: The article aims to analyze the work of social workers at a hospital in a city in the northern region of Rio de Janeiro State (Brazil), through the study of the professional profile, routine work and demands targeted to Social Work. Methodologically, it was based on bibliographic and field research. The results indicate that the work of social workers can be characterized by administrative and assistance activities, based on the immediate and singularity of the subjects, through information and, to a lesser extent, an attempt to understand the social determinants of their illness. In this context, the institutional organization, centered in the medical-biological treatment of the disease, is presented as one of the objective determinants of the work.
Keywords: Social Work, Professional work, Health, Hospitals.
Resumen: El artículo tiene como objetivo analizar las prácticas de los trabajadores sociales en un hospital de una norteña ciudad del estado de Río de Janeiro (Brasil), a través del estudio del perfil profesional, de la rutina de trabajo y las demandas dirigidas al Trabajo Social. Metodológicamente, se basó en investigaciones bibliográficas y de campo. Los resultados indican que la labor de los trabajadores sociales puede caracterizarse por actividades administrativas y de asistencia, basadas en el inmediatismo y en la singularidad de los sujetos, a través de la información y, en menor medida, de un intento de comprender los determinantes sociales de su enfermedad. En este contexto, la organización institucional, centrada en el tratamiento médico-biológico de la enfermedad, se presenta como uno de los determinantes objetivos del trabajo.
Palabras clave: Trabajo social, Trabajo profesional, Salud, Hospitales.
1 Introdução
Este artigo objetiva analisar o trabalho empreendido pelas assistentes sociais em um hospital, em uma cidade do Norte Fluminense, por meio do estudo do perfil profissional, da rotina de trabalho, demandas dos usuários, profissionais e requisições institucionais. A partir desta análise, interessa apontar os determinantes objetivos do trabalho do assistente social no campo hospitalar.
Os procedimentos metodológicos para sua construção estiveram pautados em dois eixos: o primeiro, por meio de estudo exploratório, de caráter bibliográfico; e o segundo, através de pesquisa de campo pautada pela Resolução do Ministério da Saúde/Conselho Nacional de Saúde (nº 466/2012), que dispõe “sob a ótica dos indivíduos e das coletividades, referenciais da bioética [...] e visa assegurar os direitos e deveres que dizem respeito aos participantes da pesquisa, à Comunidade Científica e ao Estado”1, com apresentação de Termo de Consentimento Livre e Esclarecido.
Em relação ao primeiro eixo metodológico – pesquisa bibliográfica, recorreu-se ao estudo exploratório desenvolvido por meio da compilação de elementos de análises realizadas em todo o país, considerando suas tendências nacionais. A partir dos descritores: “Serviço Social e Saúde”; “Serviço Social e trabalho/prática profissional na área da saúde”; “Serviço Social, cotidiano, saúde e espaços/serviços hospitalares”, os pesquisadores recorreram a teses de doutorado, além de textos publicados em periódicos, livros, capítulos de livros e nas principais Revistas Científicas da categoria, que também são disponibilizadas online. São elas: Revista Serviço Social e Sociedade; Revista Serviço Social e Saúde; Revista Katálysis e Revista Temporalis.
Nessas revistas foram garimpados 44 artigos. Destes, a partir de leitura inspecional, foram selecionados 24 artigos que efetivamente contribuíram para as análises construídas por meio deste estudo. Dos 24 artigos, 15 foram publicados na Revista Serviço Social e Saúde, 08 na Revista Serviço Social e Sociedade, 01 na Revista Katálysis e nenhum na Revista Temporalis.
O material coletado foi lido e organizado conforme critérios que possibilitaram agrupar indicadores e variáveis comuns e a elaboração de análises pela equipe de pesquisa.
Já a pesquisa de campo esteve associada ao projeto de extensão sob coordenação do professor subscritor deste artigo, por meio de cursos de qualificação profissional. Tais cursos visaram contribuir para a qualificação das assistentes sociais, profissionais de saúde, centradas em hospitais, além de seus estagiários na área de Serviço Social, iniciando a partir de um hospital, em uma Cidade no Norte Fluminense.
Todo o trabalho de capacitação foi observado e sistematizado por uma aluna pesquisadora que, além de ser estagiária curricular do Serviço Social no hospital mencionado, também integra um Grupo de Pesquisa (Grupo Interdisciplinar de Estudo e Pesquisa em Cotidiano e Saúde – GRIPES/CNPQ) liderado pelo Coordenador do Projeto e subscritor deste artigo.
Além disso, disponibilizou-se questionário aos 17 assistentes sociais participantes do Curso de qualificação, a fim de identificar, de forma mais aprofundada os dilemas, desafios e possibilidades do trabalho profissional em hospitais. Tal questionário foi constituído por duas variáveis principais: a. identificação profissional e, b. trabalho do assistente social na área hospitalar. Dos 17 questionários disponibilizados, houve retorno de 11, que representam 64,7% dos participantes do curso.
Diante disso, este artigo pretende descrever e analisar o trabalho construído pelo Serviço Social hospitalar, com o objetivo de capturar os determinantes do trabalho e, ao mesmo tempo, apontar ou reafirmar tendências na profissão indicadas no debate teórico.
2 Desenvolvimento
O desenvolvimento deste artigo será subdividido nas seguintes seções: O trabalho do assistente social na área da saúde: problematizações teóricas; Perfil profissional; Rotina de trabalho do Serviço Social hospitalar; Demandas dos usuários; Requisições institucionais e; Demandas profissionais.
2.1 O trabalho de assistentes sociais na área da saúde: problematizações teóricas
Esta seção objetiva apontar algumas problematizações2 centrais identificadas na pesquisa bibliográfica a respeito do tema em questão. Reconhece, inicialmente, que o Serviço Social na área saúde, embora desenvolva suas atividades desde a origem da profissão, período em que, nesta área de atuação, era denominado “Serviço Social Médico”, é regulamentado como profissão de saúde apenas nos anos 1990, pela Resolução n. 218 de 06/03/1997, do Conselho Nacional de Saúde, e por meio da Resolução do Conselho Federal de Serviço Social (CFESS) n. 383 de 29 de março de 1999.
Apesar de seu histórico nesta área de atuação, que em alguns estados do país se apresentou no passado e ainda se apresenta nos dias atuais como a principal área de contratação profissional – sobretudo com vínculos públicos municipais, torna-se válido afirmar que as condições objetivas de produção dos serviços de saúde, sob as quais se desenvolve o trabalho profissional, têm “limitado” as ações profissionais dos assistentes sociais, visto que a própria base de concepção de oferta dos serviços recorta e fragmenta as necessidades do ser social (COSTA, 2009; ABEPSS, 1996).
Nesse sentido, embora a organização do sistema de saúde atenda, em partes, as reivindicações históricas do Movimento Sanitário, ainda não foi possível superar o modelo médico-assistencial hegemônico3 que se caracteriza pela ênfase na assistência médica curativa, cultura institucional hospitalocêntrica e hegemônica do saber/poder médico, em que tudo converge para a doença. Todo esse processo também é afetado pelos esquemas que privilegiam os serviços de alto custo direcionados à rede privada e/ou filantrópica conveniada. Por outro lado, permanecem, nos tempos atuais, históricas características da política pública de saúde, tais como: demanda reprimida/exclusão, precariedade de recursos e burocratização, dentre outros, que têm contribuído para que os usuários só procurem os serviços de saúde quando já estão doentes, aumentando a demanda por ações curativas e individuais (COSTA, 2009).
A dificuldade de os governos efetivarem a política universal e de direitos que o SUS preconiza (MATOS, 2013) mantendo a centralidade no modelo biomédico e a oferta de serviços curativos, desconsidera, essencialmente, a relação entre condições de vida, de trabalho e os tipos de doenças produzidas por elas, fragmentando as ações e intervindo sobre a doença (COSTA, 2009; VASCONCELOS, 2009; MATOS, 2013).
Assim, as condições de vida dos usuários têm sido problemas para os serviços de saúde. Neles, as respostas a esses problemas têm sido delegadas aos assistentes sociais. Portanto, problemas originados pela contradição da acumulação capitalista têm sido postos como alvo de respostas pelos assistentes sociais (MATOS, 2013), mesmo estando inseridos em instituições que não dispõem de recursos e serviços para atendimento desse tipo de demanda.
Para Costa (2009), esse processo impõe, aos assistentes sociais, uma atuação capaz de “solucionar”, no plano imediato, questões de ordem socioeconômica, cultural e institucional, que geram impedimentos ao pleno desenvolvimento de procedimentos necessários ao diagnóstico e ao tratamento do usuário.
Duarte (2014), contudo, aponta para outra dimensão do trabalho profissional na área da saúde: mesmo compartilhando a concepção ampliada de saúde e as diretrizes do SUS, o trabalho dos assistentes sociais tende a restringir seus enfoques e abordagens ao modelo patológico-biomédico, por um lado, e hospitalocêntrico, por outro, quando lida com o corpo doente dos sujeitos em sofrimento. Daí a incompatibilidade entre discurso e ação profissional com relação aos usuários e seus modos e processos de saúde-doença/sofrimento-cuidado.
Essas ações, para Vasconcelos (2009), acabam por contribuir para que os usuários sejam impedidos de utilizar os espaços institucionais na sua mobilização, organização e acesso às informações necessárias para preservar, ampliar e realizar seus direitos.
Diante disso, parte-se da compreensão de que, de fato, importa a necessidade de reconhecer e analisar como a configuração e as determinações político-institucionais, na área da saúde, incidem sobre o trabalho dos assistentes sociais, reconhecendo que: “[...] o processo de trabalho onde se insere o assistente social não é por ele organizado e nem é exclusivamente um processo de trabalho do assistente social, ainda que dele participe com autonomia ética e técnica” (IAMAMOTO, 1998, p. 107).
Esta proposta é fundamental para compreensão dos aspectos que particularizam o trabalho profissional na área da saúde. Alguns intelectuais da área (BRAVO, 2004; COSTA, 2009, VASCONCELOS, 2009; NOGUEIRA, MIOTO, 2009; MARTINELLI, 2011; MATOS, 2013; DUARTE, 2014) e o documento intitulado “Parâmetros para atuação de assistentes sociais na saúde” (CFESS, 2009) têm dedicado especial atenção para identificação e análise a respeito das particularidades do trabalho profissional nessa área de atuação. De forma geral, as análises desses autores e documentos oficiais da profissão na área da saúde têm sido direcionadas aos seguintes elementos: 1. Determinantes do trabalho profissional na área da saúde: análise da política de saúde, da formação profissional, do processo coletivo de trabalho e das condições de trabalho profissionais, da condição de subalternidade das profissões de saúde, mediante o modelo médico assistencial, da condição de trabalhador assalariado, do (não) processo de aprimoramento profissional contínuo, dentre outros; 2. O trabalho empreendido pelo Serviço Social: rotina de trabalho, estratégias e ações profissionais, demandas recebidas, incluindo requisições institucionais, relação com a chefia e demais profissionais, metodologias de trabalho adotadas, instrumentos utilizados, dimensão política dos instrumentais, análise das contradições vinculadas a seu objeto de trabalho (defendido neste estudo como as expressões da questão social), dentre outros; 3. Análise do discurso profissional: articulação entre os projetos de Reforma Sanitária e o projeto ético-político profissional versus o discurso do “possibilismo”, que flexibiliza os princípios dos projetos anteriores; e 4. Análises propositivas para a (re) construção do Serviço Social na área da saúde, tendo por base seu projeto ético-político profissional, articulado aos princípios do projeto de Reforma Sanitária.
Entre alguns estudos desenvolvidos (COSTA, 2009; VASCONCELOS, 2009; MIRANDA, 2011; MATOS, 2013; DUARTE, 2014), é consensual a identificação de um trabalho profissional, pautado em ações imediatas e burocráticas, que priorizam o tratamento, a cura, reiteram o emergencial, visam suprir lacunas gestadas no trabalho de outros profissionais de saúde e que não têm conseguido dar direção intelectual crítica ao trabalho realizado. No entanto, as análises dessas ações têm apontado para diferentes elementos que, em dados momentos, se confrontam.
Costa (2009), por exemplo, ao realizar importante estudo nos serviços públicos de saúde em Natal, RN, avaliou a participação e inserção dos assistentes sociais nos processos de trabalho desenvolvidos no Sistema Único de Saúde – SUS. Concluiu que o assistente social desempenha o papel de “elo orgânico” entre os diversos níveis do SUS, e entre este e as políticas setoriais, o que indica que tenta assegurar, mesmo com uma série de dificuldades, a integralidade das ações (COSTA, 2009, p. 341 [grifos da autora]).
Acrescenta ainda que a legitimidade do Serviço Social no interior do processo coletivo de trabalho na área da saúde se constrói pelo “avesso”, uma vez que sua utilidade é expressa nas contradições fundamentais da política de saúde, sobretudo do SUS. Isso significa que o Serviço Social tem intervindo, sobretudo, em situações que envolvem os excluídos, os ‘inaptos’ e os incapazes de receber, total ou parcialmente, o atendimento das unidades, tendo a missão de administrar o que é quase impossível de ser administrado.
Assim, a autora, referendada por outros estudiosos, como Matos (2013), entende que tudo aquilo que compromete, dificulta ou prejudica a qualidade do atendimento ao usuário tem sido direcionado ao assistente social, independente do local de ocorrência.
Vasconcelos (2009) desenvolve importante pesquisa na rede de Saúde do município do Rio de Janeiro. Seus achados analisados não se distanciam dos encontrados por Costa (2009), pois identifica que as ações desenvolvidas têm sido marcadas pela atenção individualizada, por meio de um trabalho burocrático, repetitivo, acrítico e humanizador de relações pessoais. No entanto, a análise da autora indica a condição subalterna do Serviço Social (que tem se agravado e atingido as demais profissões da área da saúde a partir das alterações engendradas pela conjunção globalização/neoliberalismo), como serviço auxiliar aos serviços médicos através de ações assistenciais, com base secundária em relação à medicina e aos demais profissionais de saúde e gestores.
Esse aspecto indica algumas divergências no enfoque da análise do trabalho/prática4 do assistente social na área da saúde. Se, para Vasconcelos (2015), quase não há alterações entre o trabalho atual realizado pelo assistente social em relação ao seu passado profissional, já que continuam sendo priorizadas requisições e interesses institucionais que ressignificam e reatualizam formas históricas de mando e obediência, para Costa (2009) essas ações profissionais são determinadas, predominantemente, por aspectos objetivos. Ainda assim, os assistentes sociais caminham na tentativa de atender aqueles que não têm a quem recorrer, acionando a rede de atendimento socioassistencial e mobilizando outros profissionais, na tentativa de alcançar a integralidade das ações.
Nogueira e Mioto (2009), a partir de estudos que vêm realizando no sul do país, também se aproximam da abordagem de Costa (2009), ao concluir que o estatuto diferenciado da profissão na área de saúde, no Brasil, é significado pela articulação entre sua inserção na saúde e sua ação profissional, que tem por base as diretrizes do SUS. A hipótese das autoras, a partir de atividades que a profissão vem desenvolvendo no Sistema Nacional de Saúde, é que “a ação profissional do assistente social se inscreve no campo da promoção da saúde, notadamente no eixo da intersetorialidade” (NOGUEIRA, MIOTO, 2009, p. 238).
Assim, afirmam que tais ações profissionais se articulam em eixos e processos pautados na lógica do direito e da cidadania, mais ainda na lógica do direito a ter direitos, tendo por base as necessidades de saúde que extrapolam a atenção médica. Nessa perspectiva, as autoras destacam que essas ações se dividem em três grupos: processos político-organizativos, processos de planejamento e gestão e processos socioassistenciais.
No aspecto que destaca as proposições para o Serviço Social e enfatiza sua particularidade na saúde, Bravo e Matos (2004) apontam que o objetivo da profissão, nessa área, envolve a compreensão dos aspectos sociais, econômicos e culturais que interferem no processo saúde-doença e a busca de estratégias para o enfrentamento dessas questões. Ou seja, a partir da compreensão crítica e ampliada da realidade, cabe ao profissional de Serviço Social formular estratégias que busquem reforçar ou criar experiências nos serviços de saúde, que efetivem o direito social à saúde definido na Constituição Federal de 1988.
Corroborada pelos Parâmetros para atuação na área saúde, documento publicado pelo Conselho Federal de Serviço Social (CFESS) em 2009, a afirmativa de Bravo e Matos (2004) aponta para o reconhecimento da “questão social” como objeto de intervenção profissional, o que demandará a reflexão crítica a respeito do “contexto e das condições sociais que impactam o processo saúde-doença” (CFESS, 2009, p. 22).
Entre os artigos acadêmico-científicos que particularizam o trabalho do assistente social na área hospitalar, é possível verificar problematizações vinculadas ao trabalho com pacientes terminais (SIMÃO et al., 2010), a gestão de pessoas sintonizada com a Política Nacional de Humanização (REGIS, 2011), a educação em saúde (REZENDE; MORAIS; CASTRO, 2016) e a dimensão cuidadora do Serviço Social na área da saúde (SILVA; RODRIGUES, 2015).
Já entre as teses de doutorado, é possível destacar, dentre outros, os estudos de Miranda (2011) a respeito da inserção do Serviço Social nos processos de trabalho em serviços públicos de saúde, particularmente no Hospital Universitário em João Pessoa, PB e, de Moraes (2016a) ao realizar pesquisa com assistentes sociais trabalhadores da área da saúde (hospitais, secretaria de saúde – plantão e farmácia básica, CAPS, Programa DST/AIDS – Vigilância Epidemiológica) no Norte, Noroeste Fluminense e Sul Capixaba.
Miranda (2011) aponta que as ações profissionais na área hospitalar estão vinculadas à orientação de usuários e familiares, no sentido de minimizar os entraves relacionados à política de saúde. Nesse sentido e a exemplo de outras profissões, o assistente social atua de forma complementar à ação do médico e constrói o seu trabalho entre um embate permanente caracterizado, por um lado, pelas demandas dos usuários e, por outro, pela burocracia dos serviços e pelas limitações em sua oferta.
Moraes (2016a) problematiza a necessidade de não reduzir o trabalho do assistente social na realidade hospitalar à dimensão instrumental, diferenciando-o de práticas voluntaristas, imediatistas e filantrópicas. Contudo, reconhece que os assistentes sociais, enquanto trabalhadores assalariados, estão inseridos em processos coletivos de trabalho, tendo que vender sua força de trabalho para sobreviver e, portanto, submetem-se aos dilemas e constrangimentos comuns aos demais trabalhadores assalariados. Nestes casos, existem determinantes objetivos à construção do trabalho profissional, com destaque para o modelo político-institucional, que no caso de instituições pautadas no tratamento médico-biológico da doença tem limitado as ações profissionais.
Diante desses apontamentos bibliográficos, interessa às demais seções deste artigo analisar o trabalho empreendido pelas assistentes sociais em um hospital, em uma cidade do Norte Fluminense, por meio do estudo do perfil profissional, da rotina de trabalho, demandas dos usuários, profissionais e requisições institucionais. A partir desta análise, objetiva-se apontar os determinantes objetivos do trabalho do assistente social no campo hospitalar.
Reconhece-se ainda que o hospital, conforme sua concepção tradicional-conservadora que o compreende como espaço de acolhimento, diagnóstico, tratamento e recuperação centrados na dimensão médico-biológica5, reduz o processo saúde-doença ao corpo em sofrimento; fragmenta as necessidades sociais dos sujeitos em processo de adoecimento; constrói ações centradas no mal físico, sob uma perspectiva imediata – em função do caráter da própria demanda; despotencializa as possibilidades de reconhecimento do que há de social – determinantes sociais – nas questões imediatamente vinculadas à saúde física e, neste movimento, contribui para a despolitização das demandas e despolitização entre profissionais e usuários.
Esses espaços, reduzidos a essas condições, devem ser combatidos pelo Serviço Social. É preciso fortalecer a compreensão de saúde como direito do cidadão e dever do Estado e a doença como processo social. Para tanto, torna-se importante articular as ações dos assistentes sociais aos trabalhadores e demais profissionais, rompendo os domínios institucionais e criando “elos” capazes de efetivar o direito à saúde.
2.2 Perfil profissional
A respeito do perfil profissional na particularidade do hospital pesquisado, foi possível identificar que as assistentes sociais pesquisadas são todas do sexo feminino, com idade predominante entre 50 a 59 anos (54,5%), seguida por 40 a 49 anos (27,5%), 30 a 39 anos (9,1%) e acima de 60 anos (9,1%).
Sua formação de bacharel em Serviço Social foi predominantemente na Universidade Federal Fluminense (90,9%) entre os anos de 1980 e 2010. Destas, predominou a formação de 36,3% entre 1981 e 1990 e 36,3% entre 1991 e 2000.
Após a formação em graduação, todas as entrevistadas ingressaram em cursos de Pós-graduação Lato Sensu, sendo que 72,7% concluíram suas especializações e 27,3% não concluíram. Dos cursos concluídos, predominou: Serviço Social contemporâneo (45,5%), Gestão de pessoas (27,2%), gerontologia, saúde da família e saúde pública (9,1% em cada curso).
Além dos cursos de pós-graduação lato sensu, 54,5% das entrevistadas relataram participar de cursos de aprimoramento profissional entre 2 e 4 vezes ao ano, já 9,1% frequentam esses cursos em uma média de uma vez ao ano. Contraditoriamente, 36,4% sinalizaram não participar de cursos de aprimoramento profissional.
As assistentes sociais entrevistadas trabalham na área da saúde há mais de 10 anos (90,9%), com uma carga horária no hospital de 20 horas semanais (63,6%) e realizam suas atividades profissionais nos seguintes setores da Instituição: Clínica Médica (18,20%); Pediatria (18,2%); Traumato-ortopedia (9,1%); Tisiologia (9,1%); Doenças Infecto-Parasitárias DIP (9,1%); Unidade de Terapia Intensiva – UTI (9,1%); Emergência (9,1%).
Além do trabalho desenvolvido como assistente social no hospital, 45,5% trabalham como assistentes sociais em outras instituições de saúde (Secretaria Municipal de Saúde e Centro de Diagnóstico de Alzheimer e Parkinson – CDAP) ou em outras políticas sociais (Educação e Previdência – Instituto Nacional do Seguro Social – INSS).
Desta maneira, identificamos um perfil de profissionais do sexo feminino caracterizado pelo tempo de vida (predominância entre 50 e 59 anos) comparativamente proporcional ao tempo de trabalho como assistente social na área da saúde (acima de 10 anos), com vínculo público municipal e, em situações em que possuem dois vínculos de trabalho como assistentes sociais, o segundo vínculo tem sido em outras instituições de saúde ou em outras políticas sociais.
Essa caracterização geral das assistentes sociais pesquisadas possui mais semelhanças do que diferenças com os dados disponibilizados pelo Conselho Federal de Serviço Social (CFESS, 2005) a respeito do perfil profissional dos assistentes sociais brasileiros. Naquela ocasião, o CFESS divulgou a predominância de assistentes sociais mulheres (97%), com idade entre 35 e 44 anos (38%), possuindo apenas um vínculo empregatício (77%) no serviço público municipal (40%), por meio de concurso público (55,68%), além da grande expressão de contratos temporários nas principais naturezas institucionais, com destaque para as públicas municipais. Além disso, esses profissionais possuíam, majoritariamente, a graduação (55,34%), seguida pela pós-graduação/especialização (36,26%).
Diante dos dados identificados, um primeiro ponto-chave é que se torna elementar dedicar atenção à predominância feminina entre os assistentes sociais. Além do CFESS (2005), Moraes (2016b) indica que, na formação profissional, o curso de Serviço Social é o terceiro maior curso feminino do país, com 157.919 estudantes mulheres, perdendo apenas para os de Pedagogia (568.030 estudantes do sexo feminino) e Enfermagem (194.166 discentes mulheres).
Assim, a análise de sua imagem social e as discriminações impostas à mulher no mercado de trabalho devem ser apreendidas em uma perspectiva de classe social. Mais que isso: além de o Serviço Social ser composto por mulheres oriundas da classe trabalhadora, há a predominância de pardas ou negras. Esse também é o perfil de suas usuárias, muitas delas vítimas de violência, exclusão, discriminação no mundo privado e público (LIMA, 2014; MORAES, 2016b).
Também não se pode ignorar outro aspecto identificado na pesquisa: 45,5% das profissionais pesquisadas apontaram possuir mais de um vínculo de trabalho, sobretudo para manutenção de sua sobrevivência. No entanto, cabe questionar, qual é o tipo de vínculo que essas condições de inserção profissional no mercado de trabalho têm possibilitado aos profissionais, no que concerne às políticas em que atuam? E quais os desdobramentos dessa situação para a construção do trabalho crítico-investigativo, que tenha por base a defesa e ampliação de direitos dos usuários?
Construir essas reflexões também supõe considerar os processos de intensificação do trabalho, de fragmentação das políticas, de precarização da estrutura de trabalho e da rede socioassistencial, as interferências político-partidárias sobre o trabalho profissional, recorrentes em pequenos e médios municípios, como “manobras” na conquista de votos, a polivalência das atividades encaminhadas e demandadas aos profissionais de Serviço Social, aliadas à falta de clareza do papel do assistente social no interior dos serviços. Além disso, a burocratização das atividades e a incompetência dos gestores das políticas municipais de saúde, articuladas a equipes profissionais desmotivadas e descompromissadas, entre outros elementos que interferem no trabalho do assistente social na área da saúde, mas que não necessariamente estão restritos a esse campo de atuação, constituem a realidade do trabalho de forma ampliada na sociedade do capital (MORAES, 2016a).
Soma-se a esses dados, um terceiro ponto-chave de que quase 40% das assistentes sociais do hospital não participam de cursos de qualificação profissional. Esse dado compromete o 10º princípio do Código de Ética profissional (1993): “compromisso com a qualidade dos serviços prestados à população e com o aprimoramento intelectual, na perspectiva da competência profissional”.
Além de uma recorrente e sistemática atualização profissional, é necessário que ela seja realizada sob o parâmetro da crítica, capaz de caminhar na direção da desalienação. A esse respeito, Guerra (2013) ressalta a necessidade do profissional, por meio dos momentos de capacitação, suspender temporariamente seu cotidiano de trabalho, oxigenando as percepções que tem da instituição, das demandas, possibilidades e limites socioinstitucionais.
Neste sentido, a educação permanente é imprescindível, ineliminável e incontestável, pois permite descortinar nossas competências, redimensioná-las, ampliá-las. Portanto, é necessário a criação de espaços que oportunizem a formação em serviço, por meio de reuniões de estudo, supervisões (técnicas e de estágio), assessorias, consultorias, entre outros (GUERRA, 2013).
2.3 Rotina de trabalho do serviço social hospitalar
Para Merhy e Cecílio (2003), o hospital deve ser visto como uma estação no circuito que cada indivíduo percorre para atingir a integralidade de que necessita. Para tanto, defendem que a democratização da vida do hospital deve estar articulada à criação de dispositivos que o conectem de maneira legítima à rede de serviços.
O hospital, como uma estação capaz de pensar e criar estratégias de intervenção nas necessidades sociais dos sujeitos, deve ser visto como um componente da integralidade do cuidado de maneira ampliada. Nesta instituição, perpassam os mais variados tipos de sujeitos, que apresentam variadas necessidades, em diferentes fases de suas vidas. Neste sentido, destacam os autores:
(...) o momento de alta de cada paciente deve ser pensado como um momento privilegiado para se produzir a continuidade do tratamento em outros serviços, não apenas de forma burocrática, cumprindo um papel de contra- referência, mas pela construção ativa da linha de cuidado necessária àquele paciente específico. O período da internação pode, inclusive, ser aproveitado para apoiar o paciente na direção de conquistar uma maior autonomia e na reconstrução de seu modo de andar a vida (MERHY; CECÍLIO, 2003).
Fundamentados por essa concepção de hospital, recorreu-se à unidade hospitalar pesquisada, com o objetivo de analisar a rotina de trabalho das assistentes sociais. De imediato, foi possível verificar que essa rotina sofre alterações a partir do setor de atuação. Além disso, também se identificou que essa rotina tem sido construída pautada no diagnóstico médico, visto que algumas profissionais desenvolvem suas ações a partir do prontuário do usuário internado.
A análise mais aprofundada também apontou que essa rotina pode ser caracterizada por meio de dois tipos de atividades: administrativas e assistenciais. Tais atividades têm sido determinadas, majoritariamente pelas demandas imediatas. Nestes processos, direciona-se o trabalho para a singularidade dos sujeitos (usuários, familiares, acompanhantes/cuidadores), através de informação e, em menor proporção, tentativa de compreensão dos determinantes sociais de seu adoecimento. A partir disso, as estratégias se vinculam à tentativa de estudo de caso, trabalho interdisciplinar (ainda submisso ao saber médico), e encaminhamentos para a rede socioassistencial.
Essas indicações, de modo geral, são semelhantes às identificadas por Costa (2009), Vasconcelos (2009), Nogueira, Mioto (2009), Miranda (2011) e Duarte (2014). Possuem caráter predominantemente burocrático, que contribui para o controle, ordenamento e harmonia institucional.
No entanto, não se pode responsabilizar exclusivamente as profissionais pelas atividades empreendidas na área. A análise da rotina de trabalho das assistentes sociais pesquisadas permite essa afirmação e clarifica o fato de que o poder e lógica de organização institucional, frutos das transformações capitalistas engendradas pelo neoliberalismo, que tem especificidades no século XXI (MORAES, 2016a), também se apresentam como determinantes objetivos dessa situação, embora não tenham assumido um lugar de destaque nas produções científicas do Serviço Social.
Miranda (2011), ao realizar pesquisa de doutorado, aponta que as ações profissionais estão vinculadas à orientação de usuários e familiares, no sentido de minimizar os entraves relacionados à política de saúde. Assim, a autora acrescenta que as ações analisadas pela categoria profissional como necessárias de ser construídas pelo Serviço Social na área da saúde, e que, portanto, compõem as atribuições profissionais (educação em saúde, prevenção, pesquisa) não têm sido trabalhadas com a ênfase necessária. Ao mesmo tempo, o trabalho em hospitais tem se pautado em valores humanitários que reproduzem ações apolíticas e/ou conservadoras, com destaque para as situações de acolhimento e humanização (MIRANDA, 2011).
Tais apontamentos indicam haver questões objetivas implícitas nessa realidade. Entre as variáveis a considerar, converge o fato de essas profissionais desempenharem suas atividades, em estabelecimentos de saúde, pautados no tratamento médico-biológico da doença. A organização desses serviços, centralizada na ordem médica, hierarquiza e subalterniza funções e tarefas aos demais trabalhadores da saúde, entre eles os assistentes sociais.
As análises a respeito da organização atual do trabalho em saúde (RIBEIRO; PIRES; BLANK, 2004), particularmente em serviços hospitalares, indicam que ele pode ser caracterizado pela compartimentalização ou fragmentação, detalhamento das tarefas e rotinização exacerbada. Além disso, Miranda (2011) acrescenta que a cultura organizacional, historicamente vigente nessas instituições, reproduz e reforça ações em favor de uma categoria profissional (categoria médica), submetendo todas as outras profissões a sua centralidade nos processos de trabalho institucionais.
Isso indica que a lógica da política, da organização e prestação dos serviços — ao mesmo tempo em que restringe o campo de trabalho profissional do assistente social a ações complementares e subservientes aos demais profissionais de saúde (sobretudo aos médicos), ameaçando a dimensão intelectiva do trabalho profissional na perspectiva do projeto profissional atual — estende essa linha de atividades profissionais na tentativa de solucionar os impedimentos (institucionais, sociais, econômicos e culturais) que interferem no andamento do trabalho dos demais profissionais e, mais amplamente, no desenvolvimento e ordem institucional.
2.4 Demandas dos usuários
Em pesquisa publicada em 2016, sinalizou-se que os usuários constituem o principal motivo de satisfação no trabalho do assistente social situado em diferentes instituições de saúde no Norte, Noroeste Fluminense e Sul Capixaba (MORAES, 2016a). Em 2017, também se identificou essa informação entre o conjunto de assistentes sociais do hospital pesquisado. Diante disso, coube questionar as principais demandas apresentadas pelos usuários ao Serviço Social hospitalar. A este respeito, identificamos:
Acesso aos serviços de saúde: exames, cirurgias, tratamentos;
Tratamento: Por tratamento adequado e de qualidade no interior do hospital, o que tem exigido, alguns embates com a equipe multiprofissional, em especial, no setor de urgência;
Orientações: Orientações diversas - tratamento de saúde, atestado médico, curatela, dentre outros. E a respeito de políticas, direitos e benefícios sociais (INSS, DPVAT, dentre outros);
Encaminhamentos: para perícia médica, outros serviços de saúde e para rede socioassistencial na tentativa de viabilizar documentação e assegurar acesso a programas sociais;
Mediação de conflitos: 1. Com a equipe de saúde; e 2. “Conflitos familiares, no sentido de resgatar seus vínculos” (Depoimento de assistente social, HFM, 2016).
De acordo com Vasconcelos (2015), as demandas dos trabalhadores (usuários, grupos de usuários – famílias, comunidades – segmentos de classe, classe trabalhadora) tanto podem ser reveladas com clareza como podem ser obscurecidas pela condição humana alienada e alienante, e pela complexidade do cotidiano da vida na sociedade do capital. Acrescenta ainda que essas demandas exigem teoria para serem reveladas e apreendidas no seu sentido e alcance.
A autora ressalta que as demandas espontâneas/explícitas, na realidade, são forjadas pelas instituições a partir de bens e serviços que disponibilizam para os trabalhadores e que, nesse sentido, favorecem o obscurecimento das demandas substantivas que expressam as necessidades fundamentais e os interesses históricos dos trabalhadores. Assim, a oferta desses serviços e recursos socioinstitucionais facilitam/estimulam/constrangem os trabalhadores/usuários a fragmentar e priorizar, “espontaneamente”, determinadas necessidades, apresentadas através de demandas individuais. Neste contexto, os profissionais são “soterrados” de atividades paliativas, pontuais, focalizadas e que resultam em ganhos pontuais, por meio de respostas corretivas e a partir do problema instalado.
2.5 Requisições institucionais
As requisições institucionais podem ser compreendidas como aquelas solicitadas por “profissionais-técnicos/gestores/unidade socioassistencial/governamentais (municipal, estadual e federal)/políticas sociais/ governos nas suas diferentes instâncias/Estado/Burguesia-capital” (VASCONCELOS, 2015, p. 510).
Essas requisições se revelam através das exigências, implícitas ou explícitas, dirigidas pela instituição/gestores, serviços e demais profissionais ao Serviço Social, a partir das finalidades, dos objetivos, dos recursos e dos serviços (não) disponíveis na unidade socioassistencial e da correlação de forças vigente (VASCONCELOS, 2015).
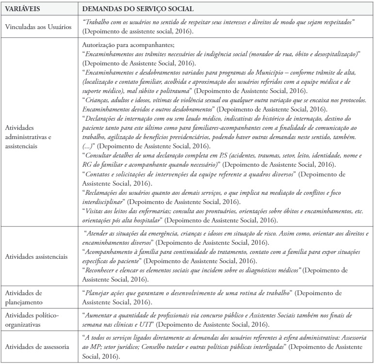
Na particularidade do hospital pesquisado, as assistentes sociais sinalizaram para as requisições institucionais apresentadas no Quadro 1.
De modo geral, é preciso revelar que as requisições institucionais sinalizadas ultrapassam as competências e atribuições privativas dos assistentes sociais. Neste sentido, é de fundamental importância que as assistentes sociais estejam fundamentadas no Código de Ética da profissão (1993), na Lei de Regulamentação profissional (8.662/1993), nos Parâmetros para atuação de assistentes sociais na política de saúde (2009), além da produção de conhecimentos que o Serviço Social tem construído a respeito do trabalho profissional de forma ampliada e de suas particularidades nesta área de atuação.
A questão é identificar, priorizar e definir quais são as requisições e como dar respostas qualificadas a elas. Além disso e de forma propositiva e criativa, construir as condições necessárias para dar respostas qualificadas às demandas dos trabalhadores/usuários, sem deixar de responder às requisições institucionais, mediante a legitimidade que dão à existência da profissão na sociedade do capital (VASCONCELOS, 2015).
Para Vasconcelos (2015) quanto mais qualificados nos colocarmos nos atendimentos, mais a instituição, os demais profissionais e usuários perceberão nossa relevância no enfrentamento do sofrimento social.
2.6 Demandas profissionais
No contexto atual, o Serviço Social brasileiro, por meio de seu projeto profissional, tem requisitado um profissional qualificado técnica, teórica, ética e politicamente, capaz de planejar e executar seu trabalho, além de apreender as consequências de suas intervenções para os trabalhadores (sua organização), no plano individual e coletivo; para a instituição, sua política e equipe profissional; para a política social; e para o Serviço Social como categoria e os próprios assistentes sociais, sujeitos do trabalho.
Nesta direção foi possível identificar que a categoria de assistentes sociais do hospital pesquisado apresenta as seguintes demandas à profissão, elencadas no Quadro 2.
A diversidade de atividades dirigidas aos assistentes sociais do hospital (Atividades administrativas, assistenciais, de planejamento, assessoria e político-organizativas) precisa ser refletida por meio da análise teórico-crítica de situações concretas (VASCONCELOS, 2015) que, fundadas na crítica da ordem societária vigente, permite aos profissionais apreender as diferenças, semelhanças, contradições e relações do que está dado na aparência e se revela processualmente por meio de análise.
Isso ocorre em função das multiatividades direcionadas ao Serviço Social pela própria profissão, por outras categorias profissionais, pela instituição contratante e pelos usuários. Fator que contribui para essa situação é a dificuldade da categoria profissional em apreender o lugar e o papel do Serviço Social em espaços hospitalares, em função, como já citado no início deste artigo, da persistente compreensão da instituição como espaço de acolhimento, diagnóstico, tratamento e recuperação centrados na dimensão médico-biológica, que reduz o processo saúde-doença ao corpo em sofrimento; fragmenta as necessidades sociais dos sujeitos em processo de adoecimento; constrói ações centradas no mal físico, sob uma perspectiva individualista e imediata – em função do caráter da própria demanda, dentre outros.
É preciso enfrentar essas questões que também tendem a ameaçar a dimensão intelectiva do trabalho na perspectiva do projeto profissional do Serviço Social. Para tanto, há a necessidade de fortalecer a formação profissional crítica, a qualificação permanente, os espaços político-organizativos da categoria, o trabalho planejado, sistematizado e pautado pela indissociabilidade entre dimensão investigativa e interventiva.
Essa indissociabilidade tem sido defendida pelo projeto de formação profissional do Serviço Social brasileiro, especialmente, pelas Diretrizes Gerais para os Cursos de Serviço Social (ABEPSS, 1996) e por um conjunto de pesquisadores e intelectuais da área que tem defendido, a partir do método fundamentado na obra de Marx, que o trabalho é fonte e fundamento para a construção de conhecimentos. Portanto, há, de acordo com Moraes (2015), complexos desafios a serem enfrentados na formação de assistentes sociais, particularmente, em cursos de graduação que, nesta perspectiva, tem se comprometido a formar profissionais capazes de pesquisar e decifrar a realidade social, valendo-se da dimensão investigativa (como postura, atitude e ação) indissociável dos processos interventivos.
3 Considerações finais
A análise dos dados produzidos ao longo desta pesquisa indica variáveis complexas e que necessitam ser ressignificadas no trabalho do assistente social na área hospitalar, especialmente no hospital pesquisado, em um município do Norte Fluminense. São elas:
Além desses desafios, a pesquisa possibilitou identificar alguns determinantes objetivos do trabalho profissional na área hospitalar e analisar suas contribuições para as ameaças à dimensão intelectiva do trabalho na perspectiva do projeto ético-político profissional do Serviço Social. Diante disso, foi possível identificar os seguintes eixos: modelo político-institucional adotado pelos serviços de saúde – centrado na dimensão médico-biológica de tratamento e cura, em uma perspectiva rotineira, imediatista e individualista voltada para o corpo doente; precarização das condições de trabalho; condição de trabalhador assalariado; e falta de aprimoramento profissional contínuo articulado às competências e atribuições privativas do Serviço Social.
Estes elementos que se autoimplicam e são resultados da política neoliberal que tem especificidades no século XXI, bem como, da chamada nova morfologia do trabalho, indicam a necessidade de ultrapassar a perspectiva culpabilizadora do assistente social – presente em alguns estudos profissionais - que, por sua vez, nega os aspectos objetivos vinculados às particulares condições e relações de trabalho em que se inscreve, potencializando análises a partir do terreno da intencionalidade, o que Iamamoto (2011, p. 432) denomina por “incriminação moral da categoria”.
Se, por um lado, tais elementos contribuem para o baixo aproveitamento dos dados edificados no cotidiano de trabalho, a falta de tempo para o planejamento das ações ou a destituição da dimensão teórico-política do Serviço Social atual no planejamento do trabalho, dificultando a articulação com demais trabalhadores, no sentido de estabelecer uma correlação de forças no interior das instituições de saúde, por outro lado indica que essa luta não pode ser travada apenas no interior dos serviços. É fundamental que os profissionais estejam amparados pelos conselhos da categoria, além de também ser necessária a articulação entre as entidades da categoria, docentes e assistentes sociais na defesa de seu projeto de formação profissional, no oferecimento e participação em cursos de aprimoramento profissional, na luta por concursos públicos, salários dignos, respeito profissional. Mais amplamente, na articulação com movimentos e lutas sociais na luta contra a desigualdade social e por uma sociedade livre, democrática e emancipada.
Referências
ABEPSS. Diretrizes Gerais para os Cursos de Serviço Social. 1996. Disponível em: http://www.abepss.org.br/briefing/graduacao/Lei_de_Diretrizes_Curriculares. Acesso em: 11 nov. 2011.
BRAVO, M. I. S.; MATOS, M. C. Reforma sanitária e projeto ético-político do serviço social: elementos para o debate. In: BRAVO, M. I. S. et al. (Orgs.). Saúde e Serviço Social. São Paulo: Cortez; Rio de Janeiro: UERJ, 2004.
CFESS. Assistentes Sociais no Brasil: Elementos para o estudo do perfil profissional. Brasília: Conselho Federal de Serviço Social, maio 2005.
CFESS. Parâmetros para atuação de assistentes sociais na saúde. Grupo de trabalho Serviço Social na saúde. Brasília: CEFESS, nov. 2009.
CRESS. 7ª Região RJ. Assistente Social: ética e direitos. Coletânea de Leis e Resoluções. 4. ed. 1. reimp. Rio de Janeiro, maio 2013.
COSTA, M. D. H. da. O trabalho nos serviços de saúde e a inserção dos (as) assistentes sociais. In: MOTA, A. E. et al. (Orgs.). Serviço Social e saúde: Formação e trabalho profissional. 4. ed. São Paulo: Cortez; Brasília, D.F: OPAS, OMS, Ministério da Saúde, 2009.
DUARTE, M. J. de O. Processo de trabalho em saúde e Serviço Social: notas sobre o trabalho profissional no campo da saúde. In: DUARTE, M. J. de O. et al. (Orgs.). Política de saúde hoje: interfaces e desafios no trabalho de assistentes sociais. Campinas, SP: Papel Social, 2014.
GUERRA, Y. Compromisso com a qualidade dos serviços prestados à população e com o aprimoramento intelectual, na perspectiva da competência profissional: significado, limites e possibilidades. In: CONSELHO REGIONAL DE SERVIÇO SOCIAL (Org.). Projeto ético político e exercício profissional em Serviço Social: os princípios do código de ética articulados à atuação crítica de assistentes sociais. Rio de Janeiro: CRESS, 2013.
IAMAMOTO, M. V. Ensino e pesquisa no Serviço Social: desafios na construção de um projeto e formação profissional. In: ASSOCIAÇÃO BRASILEIRA DE ENSINO DE SERVIÇO SOCIAL. Diretrizes Curriculares e Pesquisa em Serviço Social. São Paulo: Cortez, 1998. (Caderno ABESS; n° 8).
IAMAMOTO, M. V. Serviço social em tempo de capital fetiche: capitalismo financeiro, trabalho e questão social. 4. ed. São Paulo: Cortez, 2011.
LIMA, R. de L. de. Formação profissional em Serviço Social e gênero: algumas considerações. Serv. Soc. Soc., São Paulo, n. 117, p. 45-68, jan./mar. 2014.
MARTINELLI, M. L. O trabalho do assistente social em contextos hospitalares: desafios cotidianos. Serv. Soc. Soc., São Paulo, n. 107, p. 497-508, jul./set. 2011.
MATOS, M. C. de. Serviço Social, ética e saúde: reflexões para o exercício profissional. São Paulo: Cortez, 2013.
MERHY, E.E; CECÍLIO, L. C. O. A integralidade do cuidado como eixo da gestão hospitalar. In: PINHEIRO, R.; MATTOS, R. A. de. Construção da integralidade: cotidiano, saberes e práticas em saúde. Rio de Janeiro: IMS ABRASCO, 2003. p. 197-210.
MIRANDA, A. P. R. de S. Inserção do Serviço Social nos processos de trabalho em serviços públicos de saúde: concepções e práticas estudo de caso em um Hospital Universitário, João Pessoa, PB. 2011. 358f. Tese (Doutorado em Serviço Social) – Pontifícia Universidade Católica de São Paulo, São Paulo, 2011.
MORAES, C. A. S. O Serviço Social brasileiro na entrada do século XXI: formação, trabalho, pesquisa, dimensão investigativa e a particularidade da saúde. 2016. 318f. Tese (Doutorado em Serviço Social) – Pontifícia Universidade Católica de São Paulo, São Paulo, 2016a.
MORAES, C. A. S. O Serviço Social brasileiro na entrada do século XXI: Considerações sobre o trabalho profissional. Serv. Soc. Soc., São Paulo, n. 127, p. 587-607, set./dez. 2016b.
MORAES, C. A. S. A particularidade da dimensão investigativa na formação e prática profissional do assistente social. Serv. Soc. Soc. [online], n. 122, p. 294-316, 2015. ISSN 0101-6628. https://doi.org/10.1590/0101-6628.024
MORAES, C. A. S. et al. Entre o “adoecimento social” e a hegemonia do modelo biomédico assistencial: o trabalho dos assistentes sociais na área da saúde. Relatório técnico apresentado a Universidade Federal Fluminense, Departamento de Serviço Social de Campos, Campos dos Goytacazes, 2017.
NOGUEIRA, V. M. R; MIOTO, R. C. T. Desafios atuais do Sistema Único de Saúde – SUS e as exigências para os assistentes sociais. In: MOTA, A. E. et al. (Orgs.). Serviço Social e saúde: Formação e trabalho profissional. 4. ed. São Paulo: Cortez; Brasília, D.F: OPAS, OMS, Ministério da Saúde, 2009.
REGIS, M. F. A. O Serviço Social e a área de gestão de pessoas: mediações sintonizadas com a Política Nacional de Humanização no Hospital Giselda Trigueiro. Serv. Soc. Soc., São Paulo, n. 107, p. 482-496, jul./set. 2011.
REZENDE, J. S. M.; MORAIS, R. A.; CASTRO, M. M. C. Educação em saúde no espaço hospitalar: desafios para o Serviço Social. O Social em Questão, Ano XIX, n. 35, 2016.
RIBEIRO, E. M.; PIRES, D.; BLANK, V. L. G. A teorização sobre processo de trabalho em saúde como instrumental para análise do trabalho no Programa Saúde da Família. Cadernos de Saúde Pública, v. 20, n. 2, p. 438-446, mar./abr. 2004. Disponível em: http://www.scielo.br/pdf/csp/v20n2/11.pdf. Acesso em: 03 ago. 2015.
SILVA, A. M. M. F.; RODRIGUES, M. L. Serviço Social e o Cuidado em Saúde. Serv. Soc. & Saúde, Campinas, SP, v. 14, n. 1(19), p. 39-56, jan./jun. 2015. ISSN 1676-6806
SIMÃO, A. B. et al. A atuação do Serviço Social junto a pacientes terminais: breves considerações. Serv. Soc. Soc., São Paulo, n. 102, p. 352-364, abr./jun. 2010.
VASCONCELOS, A. M. de. A/O assistente social na luta de classes: Projeto profissional e mediações teórico-práticas. 1. ed. São Paulo: Cortez, 2015.
VASCONCELOS, A. M. de. Serviço Social e práticas democráticas na saúde. In: VASCONCELOS, A. M. de. Serviço Social e saúde. Formação e trabalho profissional. 4. ed. São Paulo: Cortez; Brasília, D.F: OPAS, OMS, Ministério da Saúde, 2009.
Notas
Notas de autor