Dossier
Aristóteles fuera de Boecio: una reconstrucción epagógica de la silogística
Aristotle outside Boethius: an epagogic reconstruction of the syllogistic
Aristóteles fuera de Boecio: una reconstrucción epagógica de la silogística
Andamios, vol. 20, núm. 53, pp. 91-127, 2023
Universidad Autónoma de la Ciudad de México, Colegio de Humanidades y Ciencias Sociales
Recepción: 08 Abril 2023
Aprobación: 26 Julio 2023
Resumen: Este texto propone una reconstrucción innovadora del sistema lógico de Aristóteles dentro de la línea reinterpretativa de Smiley y Corcoran basada en lógicas algebraicas, pero escapando al canon boeciano al integrar otras herramientas conceptuales de las fuentes, en particular, se propone el uso de términos «negativos» (aquí infinitos) junto a la incorporación del concepto de «ἐπαγογή» presente en los Analíticos Posteriores como contexto heurístico del sistema expuesto en los Analíticos Primeros donde se establecen relaciones explícitas entre dos universos de términos representando las esferas intensionales y extensionales, para generar un marco que permita introducir orgánicamente el método ectético de prueba, en cuya formalización y estructuración computable resulta un lenguaje lógico no-clásico más fidedigno a la inferencia silogística.
Palabras clave: Silogística, lógica algebraica, teoría de la prueba, filosofía de la lógica, inferencia.
Abstract: This text proposes an innovative reconstruction of Aristotle’s logical system within the reinterpretative line of Smiley and Corcoran based on algebraic logics, escaping, however, Boethiu’s canon by integrating other conceptual tools from the sources, in particular, the use of «negative» terms (here infinite) is proposed together with the concept of «ἐπαγογή» presented in the Posterior Analytics as a heuristical context for the system exposed in the Prior Analytics, in which explicit relationships between two universes of terms representing the intensional and extensional realms are established, generating a framework where the ecthetic proof method can be organically incorporated, resulting from its formalization and computable structuralization a more fitter non-classical logical language for syllogistic inference.
Key words: Syllogistic, algebraic logic, proof theory, philosophy of logic, inference.
1. Introducción
El sistema lógico de Aristóteles es uno que apenas requiere presentación, siendo uno de los medios más comunes para introducir las ideas de la lógica, con el silogismo teniendo cierta fama implícita de ser la herramienta de inferencia principal en contextos relativamente informales, sin embargo, en la disciplina lógica actual esta posee poca estima, pues en muchos sentidos la concepción especializada actual de la lógica fue desarrollada como estando en oposición a la hegemonía que disfrutó por siglos el sistema aristotélico, como famosamente resume la cita de Quine en sus Métodos de la Lógica: “La lógica es viejo tema, y grandioso desde 1879” (Quine, 1962), C. Novaes (2012) explica que este cambio de perspectiva es el producto de nuevas tecnologías mecánicas e intelectuales en la matemática y la computación que recíprocamente reorientarían los objetivos de los programas lógicos mismos hacia la fundamentación de estas disciplinas a través del programa de Hilbert y la resolución del «problema de decisión». Dado este giro, la lógica aristotélica parecía insuficiente: Russell demostró que era incapaz de funcionar cuando se introducen clases vacías (Goddard, 2000), Lukasiewicz (1957) indico que era incapaz de construir predicados mónadicos,1 y como Tarski lo resume: “Casi toda la lógica tradicional (...) puede reducirse a la teoría de las relaciones fundamentales entre clases, es decir, una pequeña parte de la teoría de clases” (1977, p. 104).
En esta nueva concepción, la lógica era entendida como el estudio de sistema de funciones predicativas con valores de verdad como su codominio, con los conectivos como funciones adicionales, que nuevamente, determinan valores de verdad dependiendo de los de sus argumentos, sin embargo, como expone Dummett (1991, p. 40-44) esta concepción establece límites artificiales a la noción de lógica como una serie de relaciones de «conservación de verdad» entre secuentes, o en la mejor de las circunstancias, a la conservación de «valores designados» entre clases de equivalencia, es decir, álgebras de Lindembaum. Pero no todos los sistemas distintamente aceptados como lógicos pueden ser caracterizados por un homomorfismo a un álgebra finita, como las lógicas difusas o cuánticas con infinitos valores de verdad, mientras que casos operativamente válidos por conservación de valores de verdad como ¬p→q∨r∶ (¬p→q)∨(¬p→r) no son aceptados por razones epistemológicas y heurísticas en la lógica intuicionista. Si bien siguiendo esta línea argumentativa, Dummett elige generalizar el concepto de lógica con «cuasi órdenes», la noción estrechamente cercana de «operadores de consecuencia» es igualmente adecuada, permitiéndonos entender la lógica como «un conjunto de inferencias válidas, no sólo sentencias válidas» (Czelakowski, 2001, p. 23-24).
Precisamente continuando esta línea de investigación (iniciada por un Tarski posterior al citado), T. Smiley (1973) hizo uso de estas herramientas para recontextualizar la idea del silogismo aristotélico con mayor exactitud, juzgando correctamente que la interpretación de Lukasiewicz (1957) sobre los modos silogísticos como condicionales era teóricamente incompatible con los textos originales de Aristóteles, y una imposición arbitraria para hacerla encajar dentro de la lógica de primer orden, proponiendo en vez una interpretación más orgánica, como un sistema de reglas deductivas sobre sentencias hechas con funciones específicas, esto es, un operador de consecuencia, cerrando el círculo.
De esta manera, junto a Corcoran (1972), renació el interés en la lógica aristotélica, siendo fomentado por las formalizaciones de autores como Smith (1983), Martin (1997) y Glashoff (2005, 2010), en cuya tradición el sistema aquí presentado recae; habiendo dicho eso, los lenguajes usados en estas lógicas heredan su estructura de la interpretación de Boecio, y a pesar de que está justificadamente basada en An.Pr.24a18-19, los cuatro tipos canónicos de sentencias no son suficientes para desarrollar completamente las intenciones del Estagirita, y se decide alternativamente seguir la influencia del estudio semántico de L. de Rijk (2002a, 2002b) más filológica e históricamente determinado, con el interés de construir un sistema lógico más filosóficamente consistente con las ideas efectivas de Aristóteles, el cual resulta inevitablemente como un sistema no-clásico divergente (siguiendo las categorías de Haack, 1996) en tanto requiere un conjunto de teoremas distinto al sistema de primer orden, tal como se demostrará en §4.
Por lo demás, y como intención implícita, se espera que las ideas generales presentadas en este proyecto sirvan también para ejemplificar una metodología de construcción de sistemas lógicos particulares desde teorías o sistemas filosóficos, entendida en tres momentos: (i) hermenéutico, (ii) formalizador, en el sentido de la traducción conceptual de Novaes (2007, §4.4) como el proceso de absorber la estructura conceptual de una teoría informal para luego ser reproducida por una serie de elementos del sistema, y (iii) sistematizador-deductivo, en el sentido de Tarski (1977) como sistematización lógico-algebraica, es decir, computable. Este planteamiento esquemático funciona como posible base de una propuesta sobre los procesos necesarios para esta clase de transición.
2 Cambios sintácticos
La desviación principal del sistema aristotélico presentado al respecto de otras reconstrucciones, es la adición de dos nuevos tipos de proposiciones, singulares concretas y singulares substanciales. Ambos tipos de proposiciones satisfacen una función análoga en nuestra sintaxis como medios necesarios para construir sentencias particulares y universales respectivamente, que también puedan tratar con términos «negativos», o como les llama de Rijk (2002a), onomas infinitos2 (en oposición a términos regulares), de esta manera podemos evadir el establecimiento de 16 tipos de sentencias (representando las posibles permutaciones de términos finitos e infinitos por cada tipo canónico de proposición) requiriendo solamente 8, haciendo al sistema más computacionalmente eficiente.3
Esta no es una elección puramente funcional ya que la idea es tomada de la discusión en los Analíticos Posteriores sobre los principios o «ἀρχαί» del proceso inductivo de la «ἐπαγωγή» (99b15-16), estos son entendidos por de Rijk como dictums-incompletos (en adelante sentencias-incompletas), significando una sentencia que afirma (o niega) la presencia de un conjunto particular de formas perceptibles en una entidad inmediata, fijándose como un punto de partida (como expresión de intensiones mentales4) en el proceso de comparación y familiarización de las propiedades de entidades ostensivas a través de las cuales se construyen universales (de Rijk, 2002a, p. 733-738).
Como las sentencias-incompletas generan sentencias-completas puede ser entendido por medio del marco epistemológico de Aristóteles, que asume que los «universales» (tanto las categorías fundamentales como los conceptos que son construidos subsecuentemente por medio de estas) son constituidos a partir del aislamiento de propiedades que nuestra senso-percepción «utiliza» para determinar la aprehensión de entidades concretas, y que por medio de comparaciones inductivas se componen conceptos más generales que agrupan las entidades que manifiestan ciertos conjuntos de propiedades, en particular, esta es la interpretación hecha de la sección 100a14-b5 en An.Pos. II 19, siguiendo a de Rijk en vez de la traducción de H. Tredennick (Aristóteles, 1960):
Lo que ha sido expuesto hasta ahora, pero no de manera clara, volvamos a exponer. Cuando uno de los objetos indiferenciados se sitúa, primero una impresión universal [esto es, aparición] ocurre en la mente; pues aunque es el particular que es percibido, la percepción concierne a lo que es común universalmente (τοῦ καθόλου), por ejemplo, ‘hombre’, no Callias el hombre. De nuevo se hace una detención entre estos objetos, hasta que lo que ya no es analizable, viz. los universales [esto es, las diez categorías] se sitúen. Por ejemplo, tal animal se sitúa, hasta que ‘animal’ deviene, y dentro del concepto de ‘animal’ similares detenciones se hacen. Por tanto es claro que es necesario para nosotros el hacernos familiares con los datos primarios (τὰ πρῶτα) por inducción. Pues en efecto (καὶ γὰρ) es de esta manera [esto es, por inducción] que la percepción insta o que es universal de Rijk, 2002a, p. 729-730).56
Siguiendo esta interpretación, podemos usar este tipo de proposiciones para construir de manera orgánica sentencias particulares afirmativas como afirmaciones individuales sobre la presencia o carencia de dos términos (si son finitos o infinitos) en una entidad concreta, y equivalentemente para las particulares negativas dado que dicha instancia concreta implica que no es el caso que para cualquier entidad que presente (o carezca) un término debe de manifestar otro (o no); el primer proceso en efecto es lo expresado por la reglas EK1, mientras que el segundo resulta de seguidamente aplicar al resultado de EK1 la regla EK2 como se explicará en §3.1.
Esta misma idea es funcionalmente aplicada al caso de los singulares substanciales, pero no se puede decir que es tomada directamente de algún texto aristotélico, sobre todo, es el resultado de un interés de economía sintáctica para el sistema y de mantener la habilidad de cuantificar discretamente sobre el dominio de términos aristotélicos, es decir, el plano intencional, que sería la función de las proposiciones tipo I en la interpretación de Glashoff (2010); adicionalmente, esto nos provee una manera orgánica de construir sentencias universales afirmativas por medio de la regla UA-I, que inclusivamente puede ser transitivamente enlazada con una cuantificación sobre entidades ostensivas por saturación (Definición 3.7).
Por último, esto también influencia el conjunto de las reglas de inferencia que están presentes en nuestro sistema, principalmente la adición de reglas ectéticas, redefiniendo la idea de Smith (1983) por medio de nuestros nuevos tipos proposicionales, haciendo más explícito el carácter de «exposición (de una instancia)» (ἐκθεμένους) donde cierta propiedad «subsiste» o «no subsiste» (ὑπάρχει o μὴ ὑπάρχει,7 dependiendo si el término es referenciado finita o infinitamente), manera en la que Aristóteles describe estos métodos de prueba ahora conocidos como «ectéticos», y en la que las reconstrucciones lógico-formales hasta el momento han fallado en reproducir;8 dadas estas reglas junto a métodos directos e indirectos de deducción, es posible deducir la mayoría del núcleo inferencial silogístico (según Corcoran (1972), los cuatro silogismos perfectos más las tres reglas de conversión con los dos métodos de inferencia mencionados9) resultando en un sistema de ocho reglas de inferencias, tres de las cuales no están relacionadas con la silogística en sí, pero que pueden introducir computacionalmente las sentencias universales afirmativas de manera epagógica, probando con las otras cinco (EK1, EK2, P-I, A-Con y PS1) que es posible reproducir los 24 silogismos de la extensión medieval de la silogística aristotélica.
3 Sintaxis
3.1 Lenguaje
Por Tu ={u1,u2,...} denotamos los términos atómicos (análogos a las denominadas «entidades concretas»), por Tt ={t1,t2,...} los términos aristotélicos y por ε,χ,A,I,¬,~ las constantes lógicas, componiendo el lenguaje ℒ. Las fórmulas bien formadas (wff por sus siglas en inglés) de nuestro lenguaje ℒ consisten de todas las proposiciones de cualquiera de las siguientes tres formas: la primera, ε(ui,[~]tj) donde la posible presencia de «∼» frente a un término aristotélico significa que es un término infinito como opuesto a un término finito, y puede ser leído como la carencia de tj en ui y toda wff puede ser leída como «el término atómico ui es un [no] tj »; la segunda, χ(ti,[~] tj) con la misma lectura para «~» (solo aplicable al segundo argumento de χ), y la wff completa puede ser entendida como «el término aristotélico ti es uno [no] tj »; por último tenemos la forma [¬]S([~]ti,[~]tj), donde el posible símbolo «¬» significa la negación del resto de la wff, es decir, que el resto de la wff no es el caso, «S» puede ser A o I y toda la fórmula puede ser leída como «[no es el caso que] todo [no] ti son [no] tj » si S=A y «[no es el caso que] un [no] ti es un [no] tj». Para cualquier proposición d ∈{L} su contradictorio es definido como1011:
C(ε(ui,tj))=ε(ui,~tj), C(ε(ui,~tj))=ε(ui,tj)
C(χ(ti,tj))=χ(ti,~tj), C(χ(ti,~tj))=χ(ti,tj)
C(I([~]ti,[~]tj)) = ¬I([~]ti,[~]tj), C(¬I([~]ti,[~]tj)) = I([~]ti,[~]tj)
C(A([~]ti,[~]tj)) = ¬A([~]ti,[~]tj), C(A([~]ti,[~]tj)) = ¬I([~]ti,[~]tj)
Mientras que, para cualquier término, la doble negación se aplica, a saber: ti=~~ti, ~ti=~~~ti.
3.2 Reglas de inferencia
Para cualquier conjunto de proposiciones de ℒ,Γ podemos definir un operador de cierre12Φ∶ Γ→Γ que genera un nuevo conjunto Γj desde uno original Γi tal que Γj=Γi ∪{γn,γn+1 ,⋯} donde γn+1∈L. Este operador de cierre se define alrededor de las siguientes reglas de inferencia:13
1. Introducción del Universal Afirmativo - (UA-I):
2. Eliminación del Universal Afirmativo - (UA-E):
3. Transitividad del Término Finito - (FT):
4. Ectesis 1 - (EK1):
5. Ectesis 2 - (EK2):
6. Eliminación del Particular - (P-E):
7. A - conversión - (A-con):
8. Barbara - (PS1):
Como se observa, nuestro sistema solo conserva dos de las reglas básicas dispuestas por Corcoran, pero será probado que el resto de la silogística puede ser derivada de nuestras reglas por deducción directa o indirecta como establecidas en la Definición 3.3, por lo demás, las primeras tres reglas están puramente interesadas con la esfera intensiva de los términos aristotélicos o géneros, que siguiendo a las secciones 1041b11-28 y 1043b32-1044a11 en la Metafísica (Aristóteles, 1975, 1998) se entiende como una unidad quidditativa de propiedades senso-perceptivas o definiens (εἶδος) y la posible materia en que pueden «plasmarse», a través de la cual diferentes entidades pueden identificarse inicialmente antes de especificarse más;14 el género por sí mismo es una herramienta puramente lógica, que es construida relativa a los grupos de especies (términos aristotélicos por sí mismos), en última instancia, el género primitivo a través del cual se construyen otros más abstractos son la conceptualización del haz de impresiones perceptivas de las entidades concretas (principio explicado en An.Pos.100a14-b15, y reproducido por la Definición 3.7). A pesar de que estos términos son hasta este punto putativamente «aristotélicos» (puesto que no hay aún una interpretación en el sentido tarskiano), la regla UA-I escencializa proposicionalmente el proceso de correlacionarlos en una jerarquía de género-especie a través de afirmaciones universales, mientras que las reglas UA-E y TF15 ayudan a propagar una misma relación entre términos individuales χ-relacionados al primer argumento de la afirmación universal, funcionando como la inversión del proceso de UA-I.
Nuestra versión de las reglas ectéticas difieren enormemente de las interpretaciones anteriores16 hechas de las tres instancias del método ectético presentes en An.Pr.28b17-23, An.Pr.28a24-25 y An.Pr.30a4-14. En las tres secciones es claro que un proceso equivalente es usado, donde un objeto individual es seleccionado (ἐκθεμένους) de un subconjunto de alguno de los géneros, su intersección o diferencia, siendo que en cualquiera de estas situaciones la relación de inmanencia o carencia de cada género con el objeto puede ser expresado como un par de dictums incompletos (es decir, sentencias ε), justificando la sintetización de una afirmación particular con las relaciones de inmanencia equivalentes, teniendo la expresión de este principio general en EK1, y desde el cual en cada caso se sigue un silogismo perfecto que resulta en una conclusión adecuada con la asistencia de alguna conversión especial.17
De estas conversiones ectéticas especiales tomamos la expresada por EK2 como primitiva, resultando del siguiente análisis de An.Pr.28b17-23: se empieza por la subsección An.Pr.28b17-18 donde se establecen condicionalmente las premisas del silogismo: «εἰ γὰρ τὸ Ρ παντὶ τῷ Σ τὸ δὲ Π τινὶ μὴ ὑπὰρχειν», con la primera parte (εἰ γὰρ τὸ Ρ παντὶ τῷ Σ) indicando la suposición de la premisa universal de Baroco, es decir, «si P [recae] sobre todo Σ» o A(s,r), y la segunda parte (τὸ δὲ Π τινὶ μὴ ὑπὰρχειν) enunciando la sentencia particular negativa ¬A(s,p) como la «carencia» de una presencia substantiva (μὴ ὑπὰρχειν) de Π sobre algún(os) elemento(s) de Σ (que un subconjunto de Σ no posee substancialmente a Π), seguidamente en An.Pr.28b21-22 tenemos: «δείκνυται δὲ καὶ ἄνευ τῆς ἀπαγωγῆς, ἐὰν ληφθῇ τι τῶν Σ ῷ τὸ Π μὴ ὑπάρχει» indicando que hay alguna manera de deducir la conclusión sin «per impossibile» (δείκνυται δὲ καὶ ἄνευ τῆς ἀπαγωγῆς18) al «tomar algún Σ al cual Π no se aplica» como es traducido en (Aristóteles, 1962, p. 229), pero es importante poner especial atención al verbo utilizado, «ληφῇ» que es la declinación pasiva de «tomar», siendo lo tomado «τι», algo concreto (en oposición a la simple señalización de un subconjunto), determinando un posible significado más preciso «si (ἐὰν) algo es tomado de Σ (τῶν Σ) en lo que Π no subsista (μὴ ὑπάρχει)», refiriéndose a la exposición de un ejemplo que carece Π, a saber, una proposición particular afirmativa con un término infinito como su segundo miembro, esto es, I(s,∼p), resultando inmediatamente un silogismo por medio de Darii con la conclusión I(r,∼p) de donde debe de seguir una «conversión» intuitiva que resulte en ¬A(r,p).
Esta elección interpretativa es la más justificable dado que (i) no se mencionan pasos adicionales en la sección luego de acertarse que la nueva premisa es suficiente, por lo que un silogismo de la primera figura debe de implicarse necesariamente (pues de estos se deduce el resto, en conjunción con los tres métodos de prueba) y (ii) ninguno de los silogismos de la primera figura puede interactuar con una premisa particular negativa, dejando como únicas opciones restantes otra premisa universal, afirmativa o negativa, no solo careciendo de coherencia contextual (ya que se parte de la elección de un individual) sino que los silogismos resultantes, Barbara y Celarent, generan conclusiones universales, y solo sobre la primera podría aplicarse una conversión que sería esencialmente igual a la asumida. Continuando con la interpretación propuesta, para que la conclusión sea coherente con el fin propuesto de la prueba, solo queda suponer que para Aristóteles el hecho que la conclusión resultante incluya un término infinito le hace un complemento conceptual de la correspondiente sentencia particular negativa sin un término infinito, es decir, ¬A(r,p), precisamente como su ejemplo;19 esta conversión implícita queda explícita en la regla EK2; los dos casos ectéticos restantes son explorados en §3.4.
Por último, la regla P-E expresa el proceso inverso a EK1, pues si dos sentencias ε con el mismo término concreto sintetizan una sentencia particular afirmativa al tener a dicho elemento como su representante implícito, igualmente una sentencia particular negativa debe de tener un representante concreto que funcione como ejemplo de la no satisfacción de cierta relación de inmanencia entre los elementos de dos géneros, en efecto, podría argüirse que este es el primer paso intermedio que deja tácito Aristóteles en el caso anterior, y en general cierra el mecanismo que garantiza la capacidad del sistema de poder pasar de proposiciones particulares negativas a afirmativas y viceversa.
Habiendo establecido estas reglas, podemos proceder y definir nuestros métodos de deducción como reglas meta-inferenciales.
3.3 Definición, Deducción directa e indirecta
Un árbol de deducción para una deducción indirecta (donde X,Y⊆Γ) formalmente se mira como:

Llamaremos a un conjunto de sentencias inconsistentes en el caso que sea posible derivar dos proposiciones contradictorias a través de cualquiera de estos dos métodos a partir de subconjuntos de proposiciones en el conjunto. De otra manera será llamado consistente.
3.4 Lema. Inferencia de las reglas ectéticas restantes
Como se mencionó anteriormente, hay otras dos instancias donde Aristóteles usa el método ectético con otras transformaciones proposicionales, sin embargo, las reglas que representan su formalización en la interpretación presentada pueden ser derivadas con el conjunto dispuesto de reglas primitivas, aun así, estás se mostrarán útiles para derivar el resto de la silogística de manera equivalente a como se usan en los Primeros Analíticos; añadimos una tercera regla como una inversión complementaria y orgánica al espíritu del proceso.
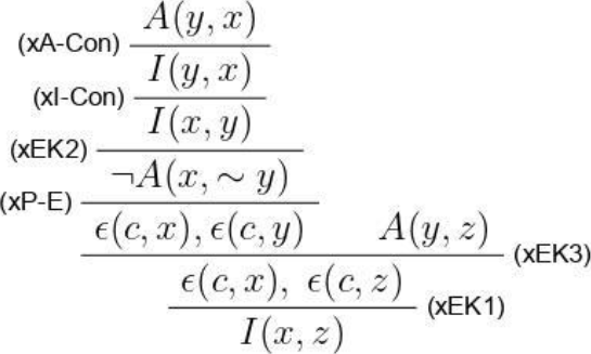
Empezamos con An.Pr.28a24-25 siendo el más directo, esencialmente Aristóteles propone que es posible derivar Darapti (que posee dos proposiciones universales con el mismo primer argumento Σ) a través de tres métodos: una conversión en dos pasos con las reglas dispuestas en la sección 25a terminando con Darii, por per impossibile y finalmente, ectéticamente, estableciendo que dado el hecho de que dos términos extremos Π y Ρ se aplican a todos los elementos de Σ, para cualquier elemento escogido inferiríamos que es un elemento de ambos extremos. Esta inferencia queda reconstruida como sigue:

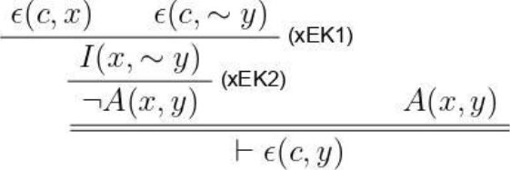
Como puede observarse, nuestra propuesta de la regla de inferencia usada aquí es ϵ(c,x),A(x,y)⊢ϵ(c,y) como EK3, es similar en forma a Darii, pero como es implicado, la diferencia esencial es el hecho que se toma un individual en el proceso; probamos que puede ser derivada de nuestras reglas primitivas con DI usando la hipótesis ϵ(c,∼y):

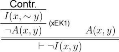
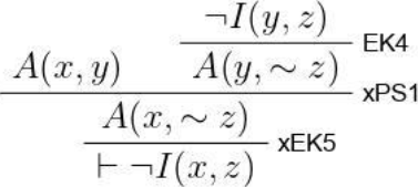
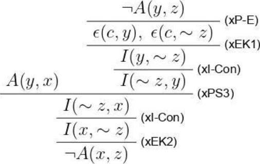
En An.Pr.30a1-14 es discutido como derivar conclusiones de una sentencia universal afirmativa y una particular negativa en la segunda y tercera figura usando a Baroco (A(z,y),¬A(x,y)⊢¬A(x,z)) como ejemplo y concluyendo que el único método directo es el ectético: “ἀλλ’ ἀνάγκη ἐκθεμένους ᾧ τινὶ ἑκάτερον μὴ ὑπάρχει, κατὰ τούτου ποιεῖν τόν συλλογισμόν; ἔσται γάρ ἀναγκαίως ἐπί τούτων;” (30a, p. 9-11),21 observamos en esta cita que es necesario exponer (ἐκθεμένους) algo (ᾧ τινὶ) en lo cual ningún término subsista (ἑκάτερον μὴ ὑπάρχειν), concordando con la interpretación de Cooke y Tredennick (Aristóteles, 1960, p. 240-241) de que esto solo puede ser logrado al tomar alguna parte del subconjunto de “x” y transmutarlo en su propio género “t”, donde naturalmente “y” no sería aplicado y por medio de Celarent nos permitiría inferir ¬I(t,z), lo cual nuevamente implicaría al ser subconjunto de “x”, ¬A(x,z); esto es justificado por lo que luego razona Aristóteles en 30a11-13 (que lo que se razona del todo de “t” se aplica como parte de “x”), pero como puede ser notado, dicha prueba requiere de una inferencia de nivel metalógico (al ejercerse sobre el lenguaje que habla de los géneros mismos y no su lenguaje objeto), en esta medida se propone una regla de conversión deducible de nuestras reglas primitivas que permite probar el silogismo con método ectético (como se verá en §3.6), esta es A(x,y)⊢¬I(x,∼y) cuyo razonamiento es que, dado que todo todo Σ es un Π , puede ser inmediata y correctamente inferido que ningún ningún Σ es un no Π, siendo la regla EK4 derivada por DI de la siguiente forma:

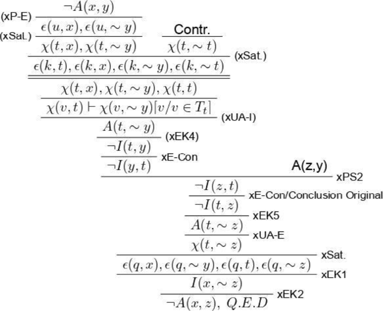
Por otro lado, y adelantándose a lo explicado hasta aquí, es posible de hecho esquematizar una prueba más parecida a la original usando el resto de reglas derivadas, así como la condición de saturación de §3.7. Dicha prueba procedería como:

Donde sabemos que la cuantificación que resulta en UA-I es válida dado que por saturación t es una nueva instancia, siendo la única que satisface a χ(t,t) y por tanto, toda «v» que lo haga satisface χ(v,∼y). Por lo demás, que este sistema pueda expresar esta prueba formalmente radica en que el axioma de saturación establece una condición metalógica bien definida.
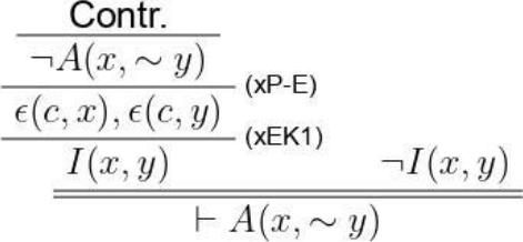
La última regla (EK5) no procede de alguna sección original, pero es una adición orgánica comportándose como inversión a la regla anterior, esta es ¬I(x,y)⊢A(x,∼y), derivada similarmente por DI:

3.5 Lema. Inferencia del resto del núcleo canónico
Similarmente al lema anterior, se mostrará inductivamente que el resto de las reglas establecidas por Corcoran como componentes del núcleo inferencial de la silogística con los dos métodos de deducción establecidos pueden ser probados con nuestras reglas:
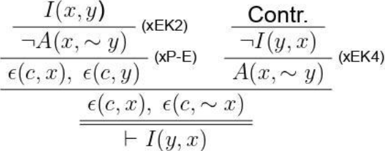
I-Con - : I(x,y)⊢I(y,x):

E-Con - ¬I(x,y)⊢¬I(y,x):

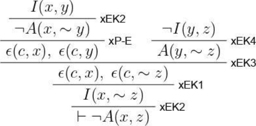
Celarent (PS2) - ¬I(y,z),A(x,y)⊢¬I(x,z):

Darii (PS3) -A(x,y),I(z,x)⊢I(z,y):

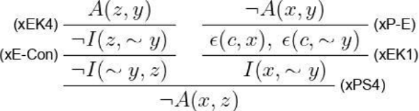
Ferio (PS4) - ¬I(y,z),I(x,y)⊢¬A(x,z):

3.6 Lema. Derivación completa de la silogística
Los 24 esquemas silogísticos aristotélicos pueden ser derivados de ΦLy sus reglas derivadas usando deducción directa o indirecta.
La prueba es inductiva, asumiendo los subconjuntos apropiados {γi,γj }⊂L tal que {γi,γj }⊆Γ para cada silogismo, la proposición correcta pueda ser derivada. Mostraremos algunos ejemplos relevantes que muestran los tres mecanismos principales de Aristóteles para sus pruebas, y con interés especial, los que reproducen los tres casos ectéticos:
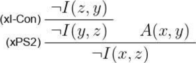
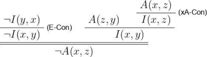
Cesare - A(x,y),¬I(z,y)⊢¬I(x,z):

Baroco - ¬A(x,y),A(z,y)⊢¬A(x,z):

Darapti - A(y,x),A(y,z)⊢I(x,z):

Bocardo - A(y,x),¬A(y,z)⊢¬A(x,z):

Camestrop - ¬I(x,y),A(z,y)⊢¬A(x,z):

Camenop - ¬I(y,x),A(z,y)⊢¬A(x,z):

El resto de los 18 silogismos son probados de manera obvia y no deberían de presentar ninguna dificultad para un lector interesado en poner el sistema a prueba.
Ahora procederemos a completar nuestro sistema sintáctico al establecer un algoritmo para extender un conjunto de ℒ-sentencias a uno «saturado» maximalmente consistente, que servirá como fundamento para realizar una prueba de completitud estilo Henkin. Seguimos el esquema general hecho por J. Martin (1997, p. 13-14) con los cambios inevitables en los casos de prueba necesarios, usando una propiedad de «correspondencia de dominios» funcionalmente análoga a la saturación de la Lógica de Primer Orden.22
3.7 Definición. Condición de saturación
Decimos que el conjunto Γ de sentencias del lenguaje aristotélico ℒ es un conjunto saturado si satisface las condiciones siguientes:
ϵ(u,x)∈Γ sii hay un y∈Tt tal que para todo t∈Tt tal que ϵ(u,t)∈Γ (t apareciendo como finito o infinito), es el caso que χ(y,t)∈Γ.
ϵ(x,y)∈Γ sii hay algún u∈Tu tal que ϵ(u,x)∈Γ.
También se puede decir que cualquier conjunto es dominio correspondiente si satisface estas condiciones. Filosóficamente hablando, el principio detrás de la correspondencia de dominios es la epagogé como se explora en §2, estableciendo que cualquier entidad concreta de Tu debe de instanciar un término de Tt análogo y viceversa, ya que cualquier “universal” es o una conceptualización de las senso-percepciones o el resultado de abstracciones de mayor nivel resultantes de la comparación de conceptos generados por estas.
Por otro lado, la expresión explícita de esta correlación es necesaria para probar la solidez y completitud en el sistema,23 ya que por medio de esta es de hecho posible determinar si un haz de términos aristotélicos que se aplican a una entidad concreta es semánticamente consistente o no con el resto de relaciones intencionales del sistema, pero conservando la discreción de las entidades mismas;24 esto es particularmente necesario para mantener sólidas las inferencias que vienen de universales a entidades concretas (de otra manera, un conjunto de términos contradictorios puede ser afirmando de una entidad concreta, sin que se tomen como una contradicción intencional propiamente) y también asegura la posibilidad de completitud de sentencias concretas (al asegurar que de las sentencias que relacionan términos concretos y aristotélicos, sólo las necesarias y correctas condiciones intencionales con el resto de términos puede ser inferida).
3.8 Definición. Consistencia maximal
Dígase que Γi es maximalmente consistente, entonces es el caso que:
3.9 Teorema. Extensibilidad a saturación maximalmente consistente
Cualquier conjunto consistente de ℒ es extensible a un conjunto saturado maximalmente consistente.
Prueba
Iniciamos definiendo inductivamente una serie de subconjuntos de ℒ, Γi:
Si An es χ(ti,ti) entonces Γn+1=Γn∪{An}.
Si An es ϵ(ua,ti) o ϵ(un,∼ti):
—Γn+1=Γn ∪{An}∪{χ(tj,tk)/ϵ(ua,tk)∈Γn}∪{χ(tj,ti)} sino hay un tj ∈Tt tal que {{χ(tj,tk)/ϵ(ua,tk)∈Γn}∪{χ(tj,ti)}}⊆Γn y Γn ∪{An} sea consistente.
—Γn+1=Γn ∪{An} si hay un ti ∈Tt tal que {χ(tj,tk)/ϵ(ua,tk)∈Γn}⊆Γn y Γn ∪{An} sea consistente.
—Γn+1=Γn de otra manera.
Si An es un χ(ti,tj) o χ(ti,∼tj):
—Γn+1=Γn ∪{An,ϵ(ua,ti)} sino hay un ua∈Tu tal que ϵ(ua,ti)∈Γn y Γn ∪{An,ϵ(ua,ti)} sea consistente.
—Γn+1=Γn ∪{An} si hay un ua∈Tu tal que ϵ(ua,ti)∈Γn y Γn ∪{An} sea consistente.
—Γn+1=Γn de otra manera.
Si An es A(ti,tj), ¬A(ti,tj), I(ti,tj) o ¬I(ti,tj):
—Γn+1 =Γn ∪{An} si Γn ∪{An} es consistente.
—Γn+1 =Γn de otra manera.
Primera aserción: Todos los Γi son consistentes.
Prueba
La prueba procede por inducción, asumiendo el caso base Γi=Γ para algún Γ consistente con |Tu |>0 y |Tt |>0, entonces para cualquier Γn consiguiente se asumen los siguientes casos:
Caso 1. An es χ(ti,ti):
Tenemos que Γn ∪{An} siempre es consistente, entonces Γn+1=Γn ∪{An}. De otra forma, tómese por reductio que Γn ∪{An} es inconsistente, entonces necesariamente Γn,An ⊢C(An) con C(An)=χ(ti,∼ti), por lo que debe de haber un subconjunto de Γn tal que alguna aplicación de reglas de Φ_L genere la sentencia, sin embargo, la única regla de inferencia que la podría producir es UA-E significando que {A(ti,∼ti)}∈Γn y por tanto Γn ⊢χ(ti,∼ti), pero también se daría por A-con que Γn ⊢I(ti,∼ti) y en consecuencia por EK1 se da Γn ⊢ϵ(ua,ti),ϵ(ua,∼ti), una contradicción, entonces Γn ∪{An} es siempre consistente. 25
Caso 2. An es ϵ(ua,ti) o ϵ(ua,∼ti):
Tenemos que Γn ∪{An} es consistente o no. Si no lo es, entonces Γn+1=Γn, Γn siendo consistente. Por otro lado, asumamos que Γn ∪{An} es consistente, entonces Γn+1=Γn ∪{An}∪{χ(tj,tk)/ϵ(ua,tk)∈Γn}∪{χ(tj,ti)} (en adelante y por simplicidad, Λ={χ(tj,tk)/ϵ(ua,tk)∈Γn}∪{χ(tj,ti)}) para un nuevo tj ∈Tt, como tj es nuevo en Γn, no aparece en ninguna otra proposición de Γn y por tanto Γn ∪{An}∪{Λ} es consistente. Si asumimos por reductio que Γn ∪{An}∪{Λ} no es consistente, necesariamente Γn,An,Λ⊢C(An) y tenemos dos posibles subcasos, (i) An=ϵ(ua,ti) y Γn,ϵ(ua,ti),Λ⊢ϵ(ua,∼ti), entonces tenemos que Γn,An ⊢B y B,Λ⊢ϵ(ua,∼ti), pero, no hay hay una regla de inferencia que pueda deducir ϵ(ua,∼ti) con una χ-premisa, significando que si B,Λ⊢ϵ(ua,∼ti), B⊢ϵ(ua,∼ti) y luego B=ϵ(ua,∼ti), consecuentemente Γn,An ⊢ϵ(ua,∼ti), pero dado que An=ϵ(ua,ti) se requeriría que A(ti,∼ti)∈Γn para deducir ϵ(ua,∼ti) por medio de (EK3), sin embargo y como en el caso anterior, esto implica por A-con y EK1 que Γ⊢ϵ(ua,ti),ϵ(ua,∼ti), una contradicción; similarmente es posible que ϵ(ua,∼ti)∪Γn resultando que Γn ∪{An} es inconsistente para empezar por lo cual Γn+1=Γn. Finalmente, téngase que Γn ∪{An} es consistente pero teniendo un tj ∈Tt tal que {Λ}∈Γn, entonces Γn+1=Γn ∪{An}, si por reductio fuese el caso que tj no es nuevo y Γn ∪{An} no es consistente, de nuevo Γn+1=Γn y el conjunto es consistente. (ii) La prueba procede análogamente si An=ϵ(ua,∼ti), solo cambiando ti a ∼ti (e inversamente) en los lugares apropiados, teniendo que el conjunto resultante siempre es consistente.
Caso 3. An es χ(ti,tj) o χ(ti,∼tj):
Tenemos que Γn ∪{An} es consistente o no. Si no lo es, entonces Γn+1=Γn, Γn siendo consistente. Por otro lado, asumamos que Γn ∪{An} es consistente, entonces Γn+1=Γn ∪{An,ϵ(ua,ti)} para un nuevo ua ϵTu, como ua es un nuevo en Γn, no aparece en ninguna otra proposición de Γn, por lo cual Γn ∪{An,ϵ(ua,ti)} es consistente. Si asumimos por reductio que Γn ∪{An,ϵ(ua,ti)} no es consistente, necesariamente Γn,An,ϵ(ua,ti)⊢C(An) y hay dos subcasos, (i) An=χ(ti,tj) y Γn,χ(ti,tj),ϵ(ua,ti)⊢χ(ti,∼tj), resultando que Γn,An ⊢B y B,ϵ(ua,ti)⊢χ(ti,∼tj), pero el único B satisfactorio sería B=χ(ti,∼tj) (ya que ϵ(ua,ti) no participa de una regla adecuada), lo que significaría que Γn,An ⊢χ(ti,∼tj) pero implicaría χ(ti,∼tj)∈Γn por lo que Γn ∪{An} es inconsistente y entonces Γn+1=Γn es igualmente consistente; (ii) An=χ(ti,∼tj) y Γn,χ(ti,∼tj),ϵ(ua,ti)⊢χ(ti,∼tj), lo que nos lleva a concluir análogamente a (i) que χ(ti,tj)∈Γn por lo que Γn ∪{An} es inconsistente y entonces Γn+1=Γn es igualmente consistente. Por último, asumamos que ua no es nuevo y entonces ϵ(ua,ti)∈Γn, entonces Γn+1=Γn ∪{An}, si por reductio asumimos que siendo el caso que ua no es nuevo, Γn ∪{An} no es consistente, y por lo tanto Γn+1=Γn es siempre consistente.
Caso 4. An es A(ti,tj), ¬A(ti,tj), I(ti,tj) o ¬I(ti,tj):
Tenemos que Γn ∪{An} es consistente o no. Si no lo es, entonces tenemos que Γn+1=Γn, Γn siendo consistente, de otra manera si Γn ∪{An} es consistente, entonces Γn+1=Γn ∪{An}.
Se ha demostrado que para cualquiera de los cuatro casos siempre resulta un Γn+1 consistente, y esto se aplicaría para cualquier Γi que sea construido con estos procesos. Q.E.D.
Aserción 2: Γ⊆⋃{Γi}.
Prueba: Esto se sigue trivialmente de que Γ=Γi para algún i. Q.E.D
Aserción 3: ⋃{Γi} es consistente.
Prueba: Si por reductio asumimos que ⋃{Γi} es inconsistente, habría algún Γj que es inconsistente, pero si este fuera el caso entonces se seguiría que Γj+1≠Γj ∪Γj-1 y por el lema, Γj+1=Γj-1, por lo tanto ⋃{Γi} no puede ser inconsistente. Q.E.D
Aserción 4: ∪{Γi} es maximalmente consistente.
Prueba: Si asumimos por reductio que, ni γ∈⋃{Γi} ni C(γ)∈⋃{Γi}, por el lema se tiene que tanto γ como C(γ) son inconsistentes con ⋃{Γi}, pero en ese caso para algún conjunto finito Λ⊂Γm y algún ρ tendríamos por derivación indirecta:
Es decir, dado que Λ contenga las sentencias que generan una contradicción con γ, seríamos capaces de inferir de sí mismo en una de las ramas una de las sentencias que, o contradice a γ directamente (C(γ) siendo la inferencia de la otra rama), o una sentencia que contradice una posible inferencia de γ con otra sentencia de Λ (esta es, ρ); pero la misma situación aplicaría a C(γ), y tendríamos que:
Pero entonces γ,C(γ)∈Λ, lo que es una contradicción, por lo que Λ debe de ser maximalmente consistente. Q.E.D.
Aserción 5: ⋃{Γi} tiene la propiedad de correspondencia de dominios.
Teniendo que el conjunto ⋃{Γi} ha sido construido por medio del algoritmo 3.9, sabemos que sí ϵ(ua,tj)∈⋃{Γi} para algún tj ∈Tt, entonces {χ(y,v)/ϵ(ua,v)∈Γ}⊆Γn para algún y∈Tt y todos los v∈Tt tal que ϵ(ua,v)∈Γn para algún n excepto por, posiblemente, χ(y,tj)∈Γn+1, pero χ(y,tj)∈Γn+1, por lo que hay un y∈Tt para el cual todos los v∈Tt que cumplen ϵ(u,v)∈⋃{Γi} satisface χ(y,v)∈⋃{Γi}. Por otro lado, si una sentencia χ(tj,tk)∈⋃{Γi} entonces, χ(tj,tk)∈Γn para algún n y Γn es consistente (de otra manera la sentencia no pertenecería a ⋃{Γi}), por lo que {Γi}∪χ(tj,tk) es consistente también. Entonces necesariamente, hay un u∈Tu tal que ϵ(u,tk)∈⋃{Γi}, y como resultado {χ(tj,tk),ϵ(u,tk)}⊆{⋃Γi}. En consecuencia ⋃{Γi} tiene la propiedad de correspondencia de dominios. Q.E.D.
4 El sistema SAE como no-clásico
Si bien el sistema aquí presentado (que para los propósitos de esta discusión llamaremos SAE significando silogística aristotélica epagógica) no ha sido caracterizado por medio de los operadores clásicos del sistema proposicional de primer orden, esto no significa que su estructura implícita no sea expresable por el mismo, y así, que sea posible reconstruir un operador de consecuencia análogo. El propósito de esta sección será probar que, en efecto, el sistema de primer orden es incapaz de reproducir la misma estructura inferencial que el sistema SAE, y que siguiendo a Haack (1996), este último es un sistema divergente.
Partimos de la afirmación que, si el sistema SAE es un sistema estándar, sería posible establecer un mapa entre las funciones proposicionales del mismo y otra serie análoga de funciones de FOL (first order logic), 26 y que por medio del conjunto de reglas inferenciales ΦFOL se conservan las operaciones de SAE, es decir, que existe un homomorfismo entre LSAE y algún subconjunto de LFOL tal que ΦFOL ≈ΦSAE, por tanto, encontrar un ejemplo tal que γ1,γ2,...,γn ⊢_(ΦAEE) ψ, pero γ1,γ2,...,γn ⊬ΦFOLψ, sería suficiente para probar que el sistema en cuestión es divergente siguiendo la segunda categoría propuesta por Haack, en tanto pueden haber coincidencias entre las fórmulas bien formadas de ambos sistemas, pero el conjunto de inferencias válidas difiere (Haack, p. 4).
4.1 Reconstrucción de ℒSAEen un sistema poli-ordenado
Es posible simular muchas de las propiedades del lenguaje propuesto aquí utilizando técnicas clásicas poli-ordenadas (many-sorted) sobre los dos órdenes de términos utilizados anteriormente, Tty Tu, además, sería necesario agregar dos predicados monádicos (que categorizarían a los elementos en uno de los órdenes), dos binarios (análogos a los operadores ε y χ) y una función unaria (denotando el conjunto representado por un término infinito), cada operador puede ser representado por el tuplo de signatura S(x)=<i1,...,in,i0>, donde i0=0 si hablamos de un predicado o i0=1 si es una función, mientras que cada ij(j>0) representa el orden del elemento en la respectiva posición del operador, con la opción de los valores u o t; definimos entonces los nuevos operadores como:
S(T)=<t,0>
S(U)=<u,0>
S(^)=<t,1>;
S(ε)=<u,t,0>
S(χ)=<t,t,0>
Definiendo a la función de término infinito como ∶ x∈Tt ⟶{{∀y/Ty∧χ(y,x)}∪{x}}\Tt.
Dados estos elementos, podemos reconstruir los tipos de proposiciones de SAE de la siguiente manera:27
ε(a,b)SAE ≈FOL Ua∧Tb∧ε(a,b)
ε(a,~b)SAE ≈FOL∃x/Ua∧Tb∧(x∈ )∧ε(a,x) • χ(a,b)SAE ≈FOL Ta∧Tb∧χ(a,b)
χ(a,~b)SAE ≈FOL∃x/Ta∧Tb∧(x∈ )∧ε(a,b)
A(a,b)SAE ≈FOL∀x/Ta∧Tb∧((Tx∧χ(x,a))⟶χ(x,b))
A(~a,~b)SAE ≈FOL∀x,∃y,∃z/Ta∧Tb∧(y∈â)∧(z∈)
∧((Tx∧χ(x,y))⟶χ(x,z))
I(a,b)SAE ≈FOL∃x/Ux∧Ta∧Tb∧ε(x,a)∧ε(x,b)
I(~a,~b)SAE ≈FOL∃x,∃y,∃z/Ux∧Ta∧Tb∧(y∈â)∧(z∈)∧ε(x,y)∧ε(x,z)
¬A(a,b)SAE≈I(a,~b)FOL
¬I(a,b)SAE≈A(a,~b)FOL28
Sin embargo, se mostrará que aun pudiendo reconstruir una estructura sintáctica muy similar a LSAE, los principios inferenciales de FOL son incapaces de reproducir al operador de cierre ΦSAE.
4.2 Contraejemplos al homomorfismo entre ℒSAE y ℒFOL
Existen al menos dos reglas dentro de ΦSAE que no pueden ser conservadas por ΦFOL, estas son las reglas UA-E y A-con, en ambas la inferencia clásica eventualmente llega a un impase dado que la interpretación realizada de la estructura sintáctica aristotélica posee compromisos adicionales no implícitos en FOL, requiriendo la adición de principios proposicionales suplementarios que caracterizan apropiadamente el comportamiento de algunos de los operadores construidos en §4.1 más allá de las capacidades sintácticas clásicas, como se observa a continuación:
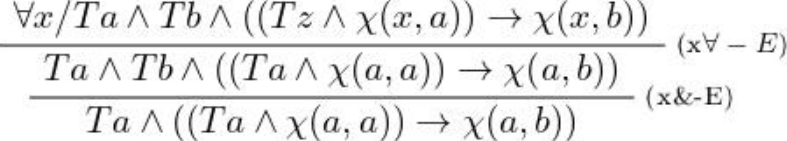
Caso 1. UA-E:

Como se ve, es imposible completar la condición del modus ponens a partir de la única premisa presentada, pues ninguno de los tres componentes separables por la regla de eliminación de la conjunción pueden generar ( individualmente o en conjunto) la proposición χ(a,a), sin embargo, se propone la anexión del principio SAE-1: Tp⊢χ(p,p), , para poder completar la regla original de la siguiente manera:

Es fácil notar, que esta solución expresa una de las características de la instanciación de conjuntos aristotélicos clásicamente criticada por Russell (Goddard, 2000), pero que sin duda es parte importante de la perspectiva aristotélica, la importación existencial.
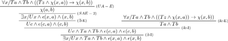
Caso 2. A-Con:
El problema presente en esta regla es más inmediato, pues tal como sucede en la lógica modal, sin el establecimiento de un principio que correlacione directamente a dos operadores es imposible realizar alguna inferencia que permita instanciar uno a partir del otro, en este caso, las sentencias ε implícita en el particular afirmativo I a partir de la sentencia χ igualmente implícita en la universal afirmativa A; dada que la condición interpretativa obliga a estas dos sentencias a ser construidas desde operadores distintos para conservar la estructura de SAE, es inevitable que su coinferenciabilidad se encuentra minada. Como posible solución, se propone un principio análogo a uno de los expuestos en §3.7, este es SAE-2: χ(p,q)⊢∃x/ Ux∧ε(x,p)∧ε(x,q), generando la siguiente inferencia (utilizando también la regla probada anteriormente):29

De esta manera, se hace patente que el sistema presentado aquí es divergente del sistema clásico, pues si bien es posible establecer un mapa LSAE⟶ LFOL para cualquier función proposicional de SAE, no es posible replicar la estructura inferencial misma con el operador básico de FOL requiriendo la extensión ΦFOL∪{SAE-1,SAE-2}.
5 Posibilidad de una interpretación semántica para este lenguaje
Finalizamos este artículo con la propuesta de un sistema de interpretación mixta que podría modelar apropiadamente nuestro lenguaje, los elementos principales que constituyen esta estructura semántica serían:
Con estos elementos sería posible establecer las siguientes definiciones:
5.1 Definición. Interpretación mixta
Un tuplo (M, a, i), que consiste de M=2T×2T, una función a:U∪G⟶T definida como au(x)=t∈Tu cuando x∈U o ak(x)=t∈Tt cuando x∈G, y otra función i:T∪L⟶M∪{verdadero,falso}, constituyen una interpretación mixta de la sintaxis aristotélica sii:
Si ϕ=ϵ(x,y),x∈Tu,y∈Tt,i(ϕ)= verdadero sii s(x)⊇s(y) yσ(x)⊇σ(y);
Si ϕ=ϵ(x,∼y),x∈Tu,y∈Tt,i(ϕ)= verdadero sii s(∼y)⊇s(x) yσ(x)∩σ(∼y)≠⌀;
Si ϕ=I(x,y),x∈Tt,y∈Tt,i(ϕ)=verdadero sii hay un z∈Tutalqueϵ(z,x)=verdaderoyϵ(z,y)=verdadero;
Si ϕ=¬A(x,y),x∈Tt,y∈Tt,i(ϕ)=verdadero sii hay un z∈Tutal que ϵ(z,x)=verdadero yϵ(z,y)=falso;
Si ϕ=χ(x,y),x∈Tt,y∈Tt,i(ϕ)=verdadero sii s(x)⊇s(y) yσ(x)⊇σ(y);
Si ϕ=χ(x,∼y),x∈Tt,y∈Tt,i(ϕ)=verdadero sii s(x)∩σ(∼y)=⌀;
Si ϕ=¬I(x,y),x∈Tt,y∈Tt,i(ϕ)=verdadero sii para todo z∈Tttal que χ(z,x)=verdadero, es el caso que χ(z,y)=falso;
Si ϕ=A(x,y),x∈Tt,y∈Tt,i(ϕ)= verdadero sii para todo z∈Tttal que χ(z,x)=verdadero, es el caso que χ(z,y)= verdadero;
Es una interpretación mixta para el lenguaje aristotélico LSAE.
Agregamos la siguiente definición para aclarar lo referido por modelo del lenguaje aristotélico.
5.2 Definición. Modelo mixto
Dado un universo de objetos A tal que haya un subconjunto U⊆A de objetos distintos de otro subconjunto K⊆A con U∪K=A, y el tuplo (M, a, i) como en la definición 4.1, decimos que (A,M,a,i)=A es un modelo de ℒ con semántica mixta si para todo u∈U, a(u):u⟶Tuy para cualquier k∈2K, a(k):k⟶Tt.
Esta semántica se basa fundamentalmente en la de Glashoff (2011), usando la notación s-σ desarrollada por Leibniz (1989) para generar dos conjuntos para cada término (atómico o aristotélico) que esencialmente representa todas las cosas que algo necesariamente es y las cosas que necesariamente no es, esta es una representación binómica efectiva de las relaciones ontológicas expresada por las proposiciones universales como resultado de su intencionalidad. Sin embargo, hay divergencia con la interpretación de las proposiciones particulares hecha por Glashoff, ya que al reproducir las relaciones del cuadrado de oposición con una interpretación puramente intencional, la proposición particular toma una forma que recuerda a un estado de posibilidad modal más que la manifestación actual de dos substancias en un objeto, por ejemplo, tenemos que Ixy = true iff s(x) ∩ σ(y) = ∅ y s(y) ∩ σ(x) = ∅, lo que esencialmente significa que la proposición es verdadera por el hecho de que nada que sea incompatible con y está en la intensión de “x” e inversamente, y aunque es cierto que solo lo no-contradictorio puede existir, esto no implica que en virtud de su no-contradicción debe de actualmente existir, aún más, es claro que el uso de la palabra ἔσται en el contexto de la proposición en Aristóteles conlleva precisamente la connotación del estado de existencia actual de un objeto en donde las propiedades o substancias se manifiestan. Naturalmente, una semántica puramente intencional no tiene otra opción sino la similitud a una teoría de significado modal, pero dado que la semántica aquí presentada es mixta, podemos conservar el significado ostensivo de las proposiciones particulares probablemente pretendida por Aristóteles, y a la vez poder preservar las relaciones de necesidad conceptual entre las substancias por su intensión, si bien con algún costo sobre la economía computacional.
Esta propuesta se puede probar tanto sólida como completa, aunque esto deberá dejarse para una próxima ocasión dado el espacio disponible.
6 Conclusión
De esta manera queda constituido el sistema lógico-sintáctico no clásico propuesto por medio de las herramientas de las lógicas algebraicas y basado en la silogística de Aristóteles, capaz de integrar el método ectético con un carácter ostensivo apropiado, así como con la capacidad de ejecutar computacionalmente el proceso epagógico pretendido originalmente como el contexto original de la silogística, el cual permite la constitución de nuevos géneros desde la paulatina acumulación de información proposicional de distintas entidades ostensivas y las propiedades senso-perceptivas que presentan, esto ha sido posibilitado por la integración orgánica de dos herramientas conceptuales: los términos infinitos y dos universos discursivos distintos; adicionalmente, el andamiaje inferencial que ata a este sistema puede ser entendido como una extensión de un sistema de primer orden poli-ordenado al adicionar dos teoremas no deducibles (SAE-1 y SAE-2), estos completan y caracterizan el comportamiento de los nuevos operadores ε y χ más allá del núcleo FOL, de acuerdo a la interpretación proposicional hecha del canon aristotélico y de las intenciones epistemológicas en el mismo.
De manera directa, este sistema podría ser utilizado como una herramienta de generación y organización de redes semánticas que expresarían las relaciones conceptuales de las categorías generadas por las entidades de distintas ontologías en diversas ramas de investigación. Por otro lado, se espera que el proceso de creación de este sistema sirva como ejemplificación de una metodología específica de logicización, siendo ejecutada en tres momentos: hermenéutico, formalizador y sistematizador-deductivo.
Fuentes consultadas
Aristóteles (1998). Metafísica de Aristóteles. Madrid: Gredos.
Aristóteles (1975). Aristotle’s Metaphysics, Vol. 2. Londres: Oxford University Press.
Aristóteles (1962). Categories, De Interpretione and Prior Analytics. Londres: Harvard University Press.
Aristóteles (1960). Posterior Analytics and Topica. Londres: Harvard University Press .
Corcoran, J. (1972). Completeness of an Ancient Logic. En Journal of Symbolyc Logic. Vol. 37. Núm. 4. pp. 696-702.
Czelakowski, J. (2001). Protoalgebraic Logics. Leiden: Springer.
de Rijk, L. (2002a). Aristotle: Semantics and Ontology Vol. 1: General Introduction, The Works on Logic. Leiden: Brill.
de Rijk, L. (2002b). Aristotle: semantics and ontology Vol. 2: The Metaphysics, Semantics in Aristotle’s Strategy of Argument. Leiden: Brill .
Dummett, M. (1991). Inference and Truth. En M. Dummet (Ed.). The Logical Basis of Metaphysics. pp. 40-60. Cambridge: Harvard University Press.
Dutilh, C. (2012). Formal Languages in Logic: a Philosophical and Cognitive Analysis. Cambdrige: Cambridge University Press.
Dutilh, C. (2007). Formalizing Medieval Logical Theories: Suppositio, Consequentiae and Obligationes. Leiden: Springer .
Goddard, L. (2000). The Inconsistency of Aristotelian Logic? En Australasian Journal of Philosophy. Vol. 78. Núm. 4. pp. 434-437. DOI: doi:10.1080/00048400012349731
Glashoff, K. (2011). An Intensional Leibniz Semantics for Aristotelian Logic. En The Review of Symbolic Logic. Vol. 3. Núm. 2. pp. 262-272. DOI: doi:10.1017/S1755020309990396.
Glashoff, K. (2005). Aristotelian Syntax from a Computational-Combinatorial Point of View. En Journal of Logic and Computation. Vol. 15. Núm. 6. pp. 949-973.
Haack, S. (1996). Deviant Logic, Fuzzy Logic: Beyond the Formalism. Chicago: University of Chicago Press.
Henkin, L. (1996). The Discovery of my Completeness Proofs. En Association for Symbolic Logic. Vol. 2. Núm. 2. pp. 127-158.
Leibniz, G. (1989). Two Studies in the Logical Calculus. En L. Loemker (Ed.). Philosophical Papers and Letters. pp. 235-247. Estados Unidos: Kluwer academic publishers.
Lukasiewicz, J. (1979). On the History of the Logic of Propositions. En Lukasiewicz selected works. pp. 197- 218. Estados Unidos: North Holland Publishing Company.
Lukasiewicz, J. (1957). Aristotle’s Syllogistic from the Standpoint of Modern Formal Logic. Estados Unidos: Oxford University Press.
Martin, J. (1997). Aristotle’s Natural Deduction Reconsidered. En History and Philosophy of Logic. Vol. 18. Núm. 1. pp. 1-15.
Quine, W. (1962). Los métodos de la lógica. Barcelona: Ariel.
Reichenbach, H. (1952). The syllogism revised. En Philosophy of Science. Vol. 19. Núm. 1. pp. 1-16.
Smith, R. (1983). Completeness of Ecthetic Syllogistic. En Notre Dame Journal of Formal Logic. Núm. 24. pp. 224-232.
Tarski, A. (1977). Introducción a la lógica y a la metodología de las ciencias deductivas. Madrid: Espasa-Calpe.
Zach, R. (2022). Sets,Logic, Computation. San Diego: LibreTexts.
Notas