Artículos
¿TECHOS REFLECTIVOS O VERDES? INFLUENCIA SOBRE EL MICROCLIMA EN CIUDADES DE ZONAS ÁRIDAS. MENDOZA, ARGENTINA *
Reflective or Green Roofs? Microclimate Influences in Cities of Arid Zones. Mendoza, Argentina
Tubos reflexivos ou verdes? Influência no microclima em cidades de zonas aridanas. Mendoza, Argentina
¿TECHOS REFLECTIVOS O VERDES? INFLUENCIA SOBRE EL MICROCLIMA EN CIUDADES DE ZONAS ÁRIDAS. MENDOZA, ARGENTINA *
Cuadernos de Vivienda y Urbanismo, vol. 11, núm. 22, pp. 1-23, 2018
Pontificia Universidad Javeriana
Recepción: 29 Septiembre 2017
Aprobación: 12 Diciembre 2017
Publicación: 05 Junio 2018
Financiamiento
Fuente: Centro Científico Tecnológico (Conicet), sede Mendoza
Resumen: El sellamiento intensivo de las superficies de la ciudad provocado por el crecimiento de las urbes modifica, entre otros factores, el balance térmico de los espacios urbanos y, en consecuencia, la temperatura del aire circundante y de las superficies de la envolvente urbano-edilicia. Para analizar los beneficios ambientales derivados de la implementación de tecnologías reflectivas y verdes aplicadas a las superficies de techos, se contrastó el comportamiento de la temperatura del aire y temperatura media radiante en tramas que incorporan techos reflectivos (R) y verdes (V). Mediante simulación, se evaluaron 32 escenarios que modifican su configuración morfológica y material con respecto a un caso base. La incorporación de tecnologías de techo reflectivas y verdes mejoran la habitabilidad de los espacios exteriores. Los escenarios con techo reflectivo disminuyen la temperatura de aire urbana hasta 1,6 K y los escenarios con techo verde hasta 2,1 K.
Palabras clave: Enfriamiento urbano, materiales y morfología, tecnologías de techo.
Abstract: Urban growth causes the intensive sealing of the surfaces of the city. This fact modifies the thermal balance of urban spaces and consequently the temperature of the surrounding air and the surfaces of the urban / building envelope, among other factors. In order to analyze the environmental benefits of reflective and green technologies applied to roof surfaces, the mitigation potential of reflective (R) and green (V) roofs in 32 scenarios was contrasted. The scenarios modify their morphological and material configuration with respect to a base case. The incorporation of reflective and green roof technologies improves the habitability of outdoor spaces. The scenarios with reflective roof decrease the urban air temperature to 1,6 K and the scenarios with green roof up to 2,1 K.
Keywords: Green roof, morphology and materials, reflective roof, urban cooling, roof technologies.
Resumo: A intensa impermeabilização das superfícies urbanas causada pelo crescimento das cidades modifica, entre outros fatores, o equilíbrio térmico dos espaços urbanos e, consequentemente, a temperatura do ar do entorno imediato, e a temperatura das superfícies urbanas, e do envelope das edificações. Para analisar os benefícios ambientais derivados da implementação de tecnologias reflexivas e ecológicas aplicadas às superfícies dos telhados, foi comparado o comportamento da temperatura do ar e da temperatura radiante média em malhas urbanas que incorporam telhados reflexivos (R) e verdes (V). Foram analisados, através da simulação computacional, 32 cenários com diferentes configurações morfológicas e de materiais em relação a um caso base. A incorporação de tecnologias de telhado reflexivo e verde melhoram a habitabilidade de espaços exteriores. Os cenários com telhado reflexivo diminuem a temperatura do ar urbana no nível do pedestre até 1,6 K, e os cenários com cobertura verde até 2,1 K.
Palavras-chave: Arrefecimento urbano, materiais e morfologia, tecnologias de telhado.
Introducción
En la actualidad, un 54 % de la población mundial reside en áreas urbanas y se prevé que para 2050 llegará a 66 %, según datos informados por la ONU (UN-Habitat, 2016). Esta gran concentración de personas y actividades las convierte en zonas donde el medio natural ha sido degradado y ello afecta el clima local.
El sellamiento intensivo de las superficies de la ciudad provocado por el crecimiento de las urbes modifica, entre otros factores, el balance térmico de los espacios urbanos y, en consecuencia, la temperatura del aire circundante y de las superficies de la envolvente urbano-edilicia. Todo ello se traduce en un clima urbano característico, cuyo rasgo más destacable es la formación de una isla de calor, debido al aumento de la temperatura del aire en relación con las áreas no urbanas. Estas altas temperaturas intensifican el consumo de energía para el acondicionamiento de los espacios interiores en verano y la contaminación ambiental y deterioran las condiciones de confort (Santamouris, 2014). Las estrategias para reducir las temperaturas urbanas apuntan a equilibrar el balance térmico, al propiciar el enfriamiento pasivo y disminuir las ganancias de calor (Zoulia, Santamouris y Dimoudi, 2009).
Dado que el área disponible de suelo libre en un entorno urbano es bastante limitada y de muy alto valor económico, resulta dificultoso implementar tecnologías a grandes escalas para disminuir las temperaturas de la ciudad. Al mismo tiempo, la urbanización reduce la proporción de los espacios reservados para la vegetación u otra infraestructura de mitigación. Es por ello que los techos constituyen una superficie recomendable a intervenir, ya que presentan una fracción muy elevada de exposición a la bóveda celeste durante el día y la noche (Akbari y Rose, 2008).
Las tecnologías usadas como estrategias de mitigación en techos son: a) aquellos que aumentan su reflectancia solar o albedo1, conocidas como techos reflectivos o fríos (Akbari y Levinson, 2008; Synnefa y Santamouris, 2012), y b) las que proponen techos revestidos con vegetación, denominadas techos verdes o vivos (Santamouris et al., 2007; Sfakianaki, Pagalou, Pavlou, Santamouris y Assimakopoulos, 2009). Ambas pueden reducir la temperatura superficial, el flujo de calor sensible entregado a la atmósfera (Zinzi y Agnoli, 2012) y el de calor conducido hacia el interior de los edificios cuando no están aislados.
La presente investigación se ha llevado a cabo en el área metropolitana de Mendoza, Argentina (AMM). Tiene una superficie de 168 km2, altitud promedio de 750 msnm y población aproximada de 905.000 habitantes (World Urban Areas, 2010). Está constituida por ecosistemas naturales desérticos que ocupan un 97 % del territorio y su 3 % restante corresponde a la superficie ocupada por los oasis bajo riego —norte, centro y sur— (Mesa y Giusso, 2014).
De acuerdo con la clasificación de Köppen, el clima de la ciudad es desértico con frío de estepa (BWk) (Kottek, Grieser, Beck, Rudolf y Rubel, 2006). La precipitación anual es de 218 mm y la velocidad de viento anual es de 1,7 m/s (h =10 m). Tiene alta heliofanía, con una radiación solar máxima en verano de 1022 W/m2 (Weather Underground, 2014). La temperatura promedio anual es de 16,5 °C, la media alta es de 24,5 °C y la media baja es de 9,6 °C (Weather Underground, 2014).
El AMM se ubica en el oasis norte de la provincia y su crecimiento urbano se ha desarrollado de forma piramidal. Concentra la mayor densidad en el sector fundacional, que corresponde al microcentro y va decreciendo progresivamente hacia la periferia de la ciudad. La estructura urbano-espacial está caracterizada por una fuerte presencia de verde en los canales viales con la trama de arbolado en alineación, lo que ha dado lugar a un modelo urbano calificado como ciudad “oasis”. Sin embargo, en las últimas décadas, la relación territorial entre espacios abiertos vegetados y construidos ha decrecido y oscila, según distintos criterios, entre 1:30 y 1:17, muy por debajo del 1:4 considerado óptimo en el mundo (Cantón y De Rosa, 2004).
Un 61 % de los techos del AMM son planos y un 39 % es inclinado (Flores, Martínez y Cantón, 2013). En términos de tecnología de materiales, se observa un uso generalizado de membrana asfáltica en la superficie de los techos planos y de tejas cerámicas en los techos inclinados. En esta área, un 53 % de las cubiertas planas poseen membrana de aluminio sin tratamiento superficial, un 30 % está pintado en color blanco, un 8 % en color terracota y un 9 % presenta otros acabados como recubrimientos flexibles atérmicos, entre otros. Un 80 % de los techos inclinados tiene teja cerámica (francesa o colonial), un 15 % es de tejas de hormigón negro y un 5 % está resuelto con materiales varios (Alchapar y Correa, 2016a). Las características morfológicas, tecnológicas y climáticas del AMM han dado origen a una isla de calor cuya intensidad alcanza los 10 °C; esto produce un aumento de 20 % en el consumo de energía para refrigeración (Correa, De Rosa y Lesino, 2006) y deteriora durante un 63 % del período de ocupación las condiciones de confort en los espacios abiertos de la ciudad en el verano (Ruiz y Correa, 2015).
En este marco, la optimización de la forma y la tecnología en el ámbito urbano local se presenta como un objetivo de considerable impacto.
El presente estudio proyecta generar conocimiento en torno al comportamiento térmico y ambiental de tecnologías de techos que puedan ser incorporadas a la trama urbana consolidada y así contribuir a seleccionar las más aptas para su implementación en zonas áridas.
Objetivo
Definir los límites y las condiciones en las que las tecnologías de techos reflectivos y verdes presentan máximos beneficios como medida de rehabilitación y mitigación de las temperaturas urbanas.
Metodología
El proceso metodológico incluyó tres etapas: 1) caracterización de tecnologías de techos reflectivos y verdes; 2) diseño del modelo teórico del caso base con el software ENVI-met y ajuste de datos simulados (S) con los observados (O) en el área intervenida, y 3) simulación de dieciséis escenarios con techos reflectivos y dieciséis escenarios con techos verdes que modifican sus parámetros morfológicos —aspecto de ratio (H/W= altura/ancho del canal vial) y vegetación urbana— y sus parámetros materiales —niveles de albedo en fachadas y pavimentos—.
Caracterización de tecnologías reflectivas y verdes para techos
Materiales reflectantes aplicados a techos
En el ámbito internacional, el desarrollo y la utilización de techos reflectivos —cool roofs— ha evolucionado desde sus inicios en la década del ochenta (Taha, Akbari, Rosenfeld y Huang, 1988). En un principio, el concepto de techo reflectivo se restringió a las superficies blancas que aprovechan su propiedad intrínseca de reflejar la luz en el rango del espectro solar. En años recientes se han logrado materiales de colores que mantienen altos índices de reflectividad, puesto que la calidad estética a menudo es una prioridad en la elección del sistema de cerramiento del edificio (Ministerio de Ciencia, Tecnología e Innovación Productiva, 2012). Tejas, chapas, membranas y pinturas altamente reflectantes han sido elaboradas con pigmentos que incrementan la reflectancia en el infrarrojo cercano (Smith, Gentle, Swift, Earp y Mrong, 2003; Synnefa, Santamouris y Livada, 2006; Levinson, Akbari y Reilly, 2007).
En un estudio de seguimiento, Menon, Akbari, Mahanama, Sednev y Levinson (2010) evaluaron que cuando el albedo de los techos se incrementa en 0,25, la compensación de CO2 potencial es cercano a 57 Gt. Por su parte, Van Curen (2012) estimó en California que cada incremento de 0,01 de â sobre las superficies urbanas equivale a 1,38 W/m2 de radiación media forzada. Esto se traduce en una eliminación de 1.760.000 toneladas de emisiones de CO2 en ese estado.
Por otra parte, en la Unidad de Investigación y Desarrollo Inahe de Conicet (Argentina), se han llevado a cabo numerosas investigaciones para identificar el potencial de mitigación de la isla de calor de los techos reflectivos, como Alchapar, Correa y Cantón (2014) y Alchapar y Correa (2016b), que caracterizaron el comportamiento termofísico de 150 materiales de la envolvente y sugirieron las combinaciones de materiales dentro de un canal vial más eficiente, con el fin de disminuir las cargas térmicas urbanas. Alchapar y Correa (2016a) demostraron que el paso del tiempo afectaba el comportamiento térmico de diecinueve tejas y pintura del techo. Los resultados evidenciaron que los revestimientos de techo evaluados tendían a aumentar la temperatura de la superficie entre 3,5 y 24 ºC.
Los techos reflectivos o fríos tienen alta reflectancia solar (â) y alta emisividad térmica (ɛ). La primera propiedad determina la capacidad de un material de reflejar la radiación solar incidente para mantener su superficie más fría con respecto a los materiales de construcción convencionales durante el día. La emisividad térmica (ɛ) permite que los materiales irradien el calor almacenado en la estructura, sobre todo durante la noche. Este comportamiento térmico hace que los techos reduzcan la transferencia térmica al entorno construido. Los techos caracterizados por bajos valores de emisividad tienden a no disipar durante la noche el calor almacenado y solo se pueden considerar frescos si tienen muy alto â (Zinzi y Agnoli, 2012).
Tecnologías verdes aplicadas a techos
Los techos verdes o vivos están cubiertos total o parcialmente por vegetación y un medio de cultivo sobre una membrana impermeabilizante. Se distinguen dos tipos: los ligeros —cubiertos por una fina capa de vegetación— y los intensivos —son más pesados y pueden apoyar pequeños árboles y arbustos—.
Los techos verdes presentan numerosas ventajas como el manejo de aguas pluviales, mayor durabilidad de materiales de techo, disminución de la demanda energética, mejora de la calidad del aire y del confort térmico y acústico, espacio para el desarrollo de fauna urbana y mitigación del efecto de isla de calor urbana. En las últimas décadas, el potencial de mitigación de la isla de calor de los techos verdes ha sido ampliamente validado, debido a que la incorporación de material biológico favorece el enfriamiento evaporativo de las superficies y así propicia una disminución de la temperatura superficial del techo y del aire circundante (Shishegar, 2014; Flores, Martínez, Cantón, y Correa, 2016).
Un estudio de Rosenzweig, Gaffin y Parshall (2006) informó que el “enverdecimiento o ecologización” del 50 % de los tejados de la ciudad de Nueva York reduciría la temperatura media de la superficie entre 0,1 y 0,8 °C aproximadamente. Además, Banting y otros autores (2005) encontraron que al enverdecer entre un 30 y un 100 % de los techos disponibles en Toronto, Ontario, las temperaturas medias de aire podrían reducirse entre 0,5 a 2°C.
Los techos verdes poseen los siguientes componentes mínimos:
Estructura: proporciona la superficie soporte para la instalación del techo vegetal. Suelen ser losas de hormigón armado o bien elementos prefabricados de madera y metal.
Impermeabilización: membrana antihumedad. Se usan membranas de aplicación líquida de poliuretano, láminas de PVC o caucho sintético, entre otras.
Barrera antirraíces: capa protectora encargada de que las raíces de las plantas no pasen a la impermeabilización ni a la estructura. Son placas de poliestireno expandido de alta densidad.
Drenaje y retención: capa que impide que el agua no sobresature al sustrato, pero a la vez retenga la humedad necesaria para la sobrevivencia de las plantas.
Filtro: capa geotextil sobre y bajo la capa de drenaje y retención del paquete biológico.
Sustrato: medio de crecimiento encargado de crear el ambiente propicio para la vida de las plantas.
Capa vegetal: zona en donde se ubican las plantas (Canales, 2014).
Área de intervención
Monitoreo
Se monitoreó una zona consolidada del AMM que presenta un crecimiento sostenido (32°54'47"S, 68°50'46"O). El sector está inserto en un área de gran potencial para la rehabilitación urbana que permite sentar las bases para un futuro crecimiento vertical debido a factores como proximidad al centro de la ciudad, localización en relación con los ejes de circulación y disponibilidad de servicios e infraestructura.
El área evaluada es de uso residencial y baja densidad; tiene una superficie de 210 x 210 m, configuración ortogonal con una altura edilicia que oscila entre uno y tres niveles y canales viales de 20 m de ancho, aspecto de ratio de H/W= 0,3. La forestación urbana cubre un 60 % de los canales viales, cuya especie dominante es de tipo Morus Alba (morera), arbórea de 15 m de alto y hoja caduca (Figura 1).
Los materiales opacos verticales son predominantemente oscuros: revestimientos pétreos, ladrillo visto y pinturas en tonalidades grises y terracota, que alcanzan rangos de â promedio de 0,2. En general, un 80 % de los techos es plano de losa de hormigón armado y membrana y un 20 % es cubierta inclinada, revestida por tejas cerámicas de color terracota. El nivel de â medio en techos es de 0,3. Se observa un uso difundido de pavimentos peatonales tipo calcáreo amarillo (31 %), rojo (21 %), negro (11 %) y cementicios de color gris (22 %), entre otros, que alcanzan un â medio de 0,4. El pavimento vehicular es de hormigón, tiene una intensidad de tránsito baja y un nivel de â medio de 0,3.
El monitoreo térmico y ambiental se llevó a cabo en la temporada de verano, en días estables sin ocurrencia de precipitaciones. Los datos utilizados para la calibración corresponden al 14 de enero, porque presentó condiciones estándar del período estival de Mendoza.
Para calibrar los datos simulados (S) con los observados (O) en el área de estudio se utilizó la siguiente instrumentación:
— Estación fija tipo HOBO H08-003-02 ubicada dentro del canal vial a 2,5 m de altura: con esta instrumentación se monitorearon las variables de temperatura aire (Ta) y humedad relativa (HR) por hora.
— Estación meteorológica móvil tipo Onset Weather HOBO H21-001: con esta instrumentación se obtuvieron registros de velocidad de viento (Vv).
— Termómetro infrarrojo tipo Fluke 66: se recogió la temperatura superficial de suelo (T suelo) en el punto (O).

Diseño y calibración del modelo teórico
El área de intervención fue simulada con un programa de acceso gratuito denominado ENVI-met2. La modelación teórica de la zona se diseñó con una resolución de 3 x 3 x 3 m y número de grillas totales de 70, 70, 30 (x, y, z), puesto que la superficie del área de referencia es de 210 x 210 m. Para la definición del modelo teórico que representa el área de estudio y su calibración con los datos medidos que describen su comportamiento microclimático, es necesario definir los parámetros listados en Tabla 1.

La temperatura de aire del punto observado (O) en el área de estudio fue comparada con la curva calculada por el software ENVI-met (S). Para validar la curva de temperatura de aire simulada (S) se calculó el coeficiente de determinación (r2), error de polarización medio (MBE), raíz del error cuadrático medio (RMSE) y sus componentes. La precisión está definida como el grado en el que las magnitudes de S se acercan a las magnitudes relevadas en el punto O. En los resultados obtenidos se observa una correspondencia similar entre el punto S y el O (Figura 2).

Escenarios
Sobre el caso base calibrado fueron simulados 32 escenarios con el software ENVI-met, con el propósito de evaluar la capacidad de los techos reflectivos y verdes para mejorar la calidad térmica de los espacios urbanos. Para ello, se contrastó el comportamiento de los escenarios según aspecto de ratio (H/W), rangos de â en fachadas y pavimentos y presencia o ausencia de vegetación urbana. Las variables son las siguientes:
Tecnologías de techo
— Reflectivo (R): se evaluaron membranas líquidas impermeables y pinturas atérmicas para techos de amplia difusión en el mercado regional con un â superior a 0,7. Los materiales mencionados fueron evaluados en Alchapar y Correa (2016b).
— Verde (V): se evaluó un tipo de tecnología verde comúnmente difundida en el parque edilicio nacional, que tiene una transmitancia térmica (U) de 0,35W/m2K. Esta tecnología está compuesta por una estructura de hormigón armado (espesor: 150 mm; peso específico 2.400 kg/m3); dosificación en volumen: 1-3-3 (cemento, árido grueso y fino), aislada hidráulicamente con membrana Sika® Sarnafil F 610-12 Felt. La tecnología verde está definida por dos capas: una material (manto drenante Sika® GR Aquadrain extensivo y sistema de riego por goteo subsuperficial) y una biológica. Esta se compone de sacos de geotextil que contienen el sustrato (arena, orujo agotado y turba negra en iguales proporciones; espesor: 150 mm) y la especie vegetal Apteniacordifolia (Flores et al., 2016).
Relación de aspecto H/W
— H/W: 0,3 (I)*: H: 6 m de altura edilicia promedio; W: 12 m de ancho de calle y 8 m de ancho de veredas.
— H/W: 1,5 (II): H: 30 m de altura edilicia promedio; W: 12 m de ancho de calle y 8 m de ancho de veredas.
Vegetación urbana dentro del canal vial
— Con vegetación (veg)*: 60 % de arbolado urbano dentro del canal vial.
— Sin vegetación (sin veg): 0 % de arbolado urbano dentro de canal vial.
Rangos de â de envolvente urbana
— 1*: â pavimentos=0,3; â paredes= 0,2;
— 2: â pavimentos= 0,7; â paredes= 0,8;
— 3: â pavimentos= 0,7; â paredes= 0,2;
— 4: â pavimentos= 0,3; â paredes= 0,8.
Las parámetros con (*) corresponden a las características del área de intervención.
La Tabla 2 describe las características y nomenclaturas que identifican a los 32 escenarios evaluados.

Beneficios ambientales según tecnología de techo
Se estimó el potencial de mitigación de techos reflectivos (R) y verdes (V) durante el período de máximas temperaturas de aire (16 h) en escenarios que modifican su configuración morfológica (aspecto de ratio H/W y arbolado urbano) y material (â en fachadas y pavimentos). Dicha estimación se hizo mediante la contrastación de las temperaturas de aire (Ta), medias radiantes urbanas (Tmr) y velocidad de viento de cada alternativa respecto al caso base.
Temperatura de aire. Casos extremos (Ta; K)
Para evaluar el efecto del uso de tecnologías de techos reflectivos y verdes sobre las temperaturas, los escenarios propuestos fueron contrastados con el caso base con igual aspecto de ratio, es decir, los escenarios con H/W: 0,30 propuestos (V1, 2, 3, 4.I y R1, 2, 3, 4.I) se contrastaron con el caso base B0.I y los escenarios con H/W: 1,5 (V1, 2, 3, 4.II y R1, 2, 3, 4.II) se contrastaron con el caso base B0.II.
Escenarios con aspecto de ratio H/W: 0,3
En los dieciséis escenarios que modifican su tecnología de techo, nivel de â en envolventes (fachadas-pavimentos) y porcentaje de vegetación urbana se observan los siguientes comportamientos extremos durante el período de máxima temperatura de aire (16 h) a escala peatonal (h: 2 m).
— Escenario con menor Ta: las configuraciones V3.Iveg y R3.Iveg consiguen disminuir más la temperatura de aire respecto al caso base (B0.I), es decir, los recintos urbanos con vegetación y bajo â en fachadas y alto â en pavimentos permanecen más fríos en ambas tecnologías de techo. Las diferencias de temperatura de aire (ΔTa) registrada respecto al caso base son de 2,0 K en el escenario con techo verde (V3.Iveg) y de -1,5 k en el escenario con techo reflectivo (R3.Iveg).
— Escenario con mayor Ta: las configuraciones que más elevan la temperatura máxima del aire no poseen vegetación urbana. Alcanzan su máximo incremento en los escenarios V4.Isin.veg y R4.Isin.veg con alto â en fachadas y bajo â en pavimentos. Respecto al escenario base B0.I, las alternativas mencionadas incrementan la Ta entre 2,3 y 2,1 K, respectivamente. Al evaluar las alternativas con vegetación urbana, el escenario con mayor Ta es V4.Iveg, es decir, las alternativas con o sin vegetación que poseen alto â en fachadas y bajo â en pavimentos presentan la combinación material más desfavorable en términos de incremento de temperatura para ambas tecnologías de techo.
Las ΔTa entre la mejor y peor estrategia alcanzan 5 K (V3.Iveg frente aR4.Isin.veg) (Figura 3 y Tabla 3)


En términos generales, para tramas urbanas bajas, abiertas y vegetadas, el beneficio de los techos verdes sobre la disminución de la temperatura del aire mejora cuando se aumenta la reflectancia de las superficies que conforman el canal vial y es óptima cuando se mantiene bajo el albedo de la superficie vertical y alto el albedo de la superficie horizontal. La situación inversa a la descrita anula sus beneficios respecto al parámetro analizado.
Con la condición actual de la trama de la ciudad (canales urbanos vegetados y bajo albedo en las superficies de los canales viales), el uso de techos reflectivos resulta levemente más benéficos que los techos verdes —disminución de temperaturas de 0,8 frente a 0,6 K— (Tabla 3). Ello es interesante, si se considera además la diferencia evidente entre la complejidad de colocación, el mantenimiento y el costo entre ambas tecnologías, sin dejar considerar que los techos verdes aportan beneficios para el ambiente urbano que no tienen estricta vinculación con la temperatura de la ciudad.
Respecto a las tramas urbanas que estamos analizando sin vegetación, articular el uso de ambas tecnologías con albedo combinado (alto en superficies horizontales y bajo en verticales) ofrece una alternativa, ya que empeora levemente la condición del caso base (60 % de vegetación). La temperatura se incrementa solo 0,2 K con el uso de techos reflectivos R1.Iveg y 0,7 K con el uso de techos verdes V1.Iveg. Esta configuración es interesante para controlar el comportamiento térmico de tramas de reciente edificación.
Escenarios con aspecto de ratio H/W: 1,5
En los dieciséis escenarios con H/W= 1,5 se observaron los siguientes comportamientos extremos durante el período de máxima temperatura de aire (16 h) a escala peatonal (h: 2 m).
— Escenario con menor Ta: la estrategia que favorece en mayor medida la disminución de la temperatura de aire es el escenario con techo verde, bajo â en fachadas y alto â en pavimentos y vegetación urbana —V3.IIveg— que registra disminuciones de temperatura de 2 K respecto al caso base B0.II. Luego, el escenario con techo reflectivo, bajo â en fachadas y alto â en pavimentos y vegetación urbana —R3.IIveg— registra disminuciones de 1,6 K. Lo siguen los escenarios V1.IIveg y R2.IIveg que disminuyen la temperatura en 0,6 y 0,7 K respectivamente. En el resto de las alternativas —con excepción de los escenarios sin vegetación V3.IIsin.veg y R3.IIsin.veg que prácticamente no modifican su temperatura respecto al caso base— los escenarios restantes (con y sin vegetación) elevan más su Ta que el caso base B0.II.
— Escenario con mayor Ta: las tres alternativas que más incrementan las cargas térmicas urbanas son los escenarios con techo reflectivo o verde, alto â en fachadas y bajo â en pavimentos y sin vegetación urbana —R4.IIsin.veg y V4.IIsin.veg—, con idéntico comportamiento ΔTa= 2,8 K. En tercer lugar el escenario con techo reflectivo, alto â en fachadas y pavimentos, sin vegetación urbana —R2.IIsin.veg— con una ΔTa respecto al escenario base de 1,6 K.
Al comparar los casos extremos se observa una ΔTa= 5,5 K (V3.IIveg frente a R4.IIsin.veg) (Figura 4 y Tabla 3).
Esto quiere decir que en los escenarios con aspecto de ratio 1,5 —tramas urbanas de alta densidad con canales viales profundos y vegetados— el beneficio de los techos verdes sobre la disminución de la temperatura del aire solo se verifica si se aplica a situaciones que presentan bajo albedo en fachada y alto albedo en pavimentos o bajo albedo en ambas superficies, a diferencia de las tramas abiertas de baja densidad. Para situaciones de alta densidad sin vegetación, el efecto positivo solo se verifica para tramas que presentan bajo albedo en fachadas y alto en pavimentos. La situación inversa a la descrita anula sus beneficios respecto al parámetro analizado.
Con la condición actual de la trama de la ciudad (canales urbanos vegetados y bajo albedo en las superficies de los canales viales), el uso de techos reflectivos muestra un impacto semejante al de los techos verdes —disminución de temperaturas de 0,6 frente a 0,7 K— (Tabla 3). Semejante a lo que ocurre en tramas abiertas, vegetadas de baja densidad.
Respecto a las tramas urbanas que estamos analizando sin vegetación, articular el uso de ambas tecnologías con albedo combinado (alto en superficies horizontales y bajo en verticales) ofrece una alternativa, ya que mejora levemente la condición del caso base (60 % de vegetación). La temperatura disminuye 0,3 K con el uso de techos verdes y se mantiene igual con el uso de techos reflectivos. Esta configuración es interesante para controlar el comportamiento térmico de tramas de alta densidad y reciente edificación.

Temperatura media radiante. Casos extremos de (Tmr K)
La temperatura media radiante (Tmr) permite evaluar la forma como la morfología y la materialidad de un espacio influyen sobre las condiciones de confort térmico de un canal urbano. Por ello, en este apartado se analizaron los casos extremos registrados y se contrastaron las diferencias de temperaturas medias radiantes (ΔTmr) entre escenarios con techos reflectivos y verdes durante el pico máximo de temperatura de aire (16 h).
Escenarios con aspecto de ratio H/W: 0,3 y 1,5
— Escenario con menor Ta: los registros detallados en la Tabla 3 evidencian que la Tmr se incrementa cuando las superficies de la envolvente tienen â alto y se disminuyen cuando la reflectancia solar baja, es decir, tanto en aspectos de ratios 0,3 como en 1,5, los recintos urbanos que consiguen menor Tmr tienen â bajo en pavimentos y fachadas.
Los escenarios más eficientes son aquellos con H/W= 0,3 y â bajo en envolventes: techo reflectivo —R1.Iveg=340,7 K— y techo verde —V1.Iveg=342,5 K—. En tercer lugar, el escenario con tecnología de techo verde, H/W=1,5 y bajo â en fachadas y alto â en pavimentos —V3.IIveg — registra una Tmr de 347,1 K. En ambas tramas evaluadas los casos más eficientes nunca incrementan sus Tmr por encima de los 7,6 K respecto a los casos base, lo que implica un bajo impacto sobre este parámetro en contraste con el beneficio que ofrece sobre las temperaturas del aire.
Cabe señalar que en todos los escenarios la presencia de vegetación atenúa considerablemente las medias radiantes, pero la tendencia es la misma en aquellos escenarios sin vegetación, es decir, si un escenario es más eficiente con una combinación de variables determinadas, continúa siéndolo con la ausencia de vegetación, pero con niveles de Tmr mayores (Tabla 3).
— Escenario con mayor Tmr: los escenarios con H/W=1,5, sin vegetación urbana y envolventes con alto â registran las mayores Tmr. Techo reflectivo —R2.IIsin.veg= 394,8 K— y techo verde —V2.IIsin.veg= 393,3 K— (Tabla 3). Ello implica que la aplicación de ambas tecnologías de techo en tramas de alta densidad sin arbolado en alineación y con alto albedo en sus superficies perjudica las condiciones radiantes del canal vial urbano incrementa su Tmr hasta 53 K.
Diferencias de temperatura media radiante ΔTmr entre techos reflectivos y techos verdes
Con el objetivo de establecer que la tecnología de techo favorece la habitabilidad de los espacios urbanos, las Figuras 5 y 6 comparan los perfiles de temperatura media radiante de escenarios con techos reflectivos y techos verdes con la misma configuración morfológica y material. Para determinar el comportamiento óptimo de cada escenario se calculó la diferencia entre ambas tecnologías ΔTmr a la altura peatonal.
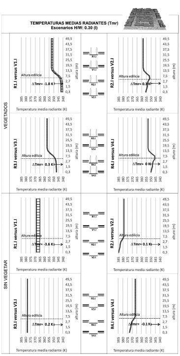
— Escenarios con aspecto de ratio H/W=0,3: se evidenció que los escenarios con techo verde registra menor Tmr que los reflectivos en cuatro de los ocho casos analizados. Las alternativas con mayores posibilidades de reducir la Tmr son aquellas con techo reflectivo y â bajo en pavimentos y fachada con presencia o ausencia de vegetación urbana, es decir, el escenario R1.I es 1,8 K (veg) y 3,6 K (sin.veg) más frío en términos de Tmr que aquellos escenarios con techo verde (V1.I) e igual configuración morfológica y material. Las alternativas con techo verde que tienen menor Tmr presentan alto â en pavimentos —V2.I; V3.Iveg y V3.Isin.veg—. Tales escenarios con techo verde tienen menor Tmr que los reflectivos (ΔTmr oscilan entre 0,1 y 0,3). Los escenarios con alto â en fachadas y bajo en pavimentos registran idéntico comportamiento en su Tmr (Figura 5 y Tabla 3).
— Escenarios con aspecto de ratio H/W=1,5: se observa que los escenarios con techo verde registran menor Tmr que los reflectivos en seis de los ocho casos analizados. Las alternativas con techo reflectivo que tienen menor Tmr son aquellas con â bajo en paredes y pavimentos con o sin vegetación (ΔTmr= 2,2 y 1 K, respectivamente) (Figura 6 y Tabla 3). Los escenarios con techo verde que registran menor Tmr que aquellos con techo reflectivo registran diferencias entre 1,6 y 0,6 K (Figura 6).

La flecha roja indica la diferencia de temperatura media radiante (ΔTmr) entre tecnologías de techos a una altura peatonal (2 m).
Fuente: elaboración propia

La flecha roja indica la diferencia de temperatura media radiante ΔTmr entre tecnologías de techos a una altura peatonal (2 m)
Fuente: elaboración propiaPerfil de velocidad de viento
Para profundizar el análisis del potencial de las tecnologías de techos sobre el microclima urbano, en la Figura 7 se representa el perfil de variación de velocidad de viento con la altura edilicia y vegetación urbana durante la ocurrencia de las máximas temperaturas (16 h), según tecnología de techos (reflectivos y verdes).
Se observa que las variaciones del perfil de velocidad de viento están influenciadas principalmente por la altura edilicia y por la vegetación urbana. La modificación del â en la materialidad de la envolvente no consigue modificar la velocidad dentro de un cañón urbano; sin embargo, la tecnología del techo impacta la velocidad de viento.
A altura peatonal con igualdad de vegetación urbana, la velocidad de viento no está influenciada por la densidad edilicia (diferencias del orden de 0,2 m/seg). En el límite de la copa comienza a incrementarse la velocidad de viento para la alta densidad; este cambio en el perfil de velocidad de viento no es tan evidente en el caso de la baja densidad, donde un incremento gradual se verifica cuando se supera la altura edilicia.
La altura de los edificios frena en gran medida la velocidad del viento. En alta densidad se registran velocidades inferiores a 1 m/seg hasta los 16,5 m de altura; en cambio, en la baja densidad, el punto de inflexión ocurre a los 4,5 m de altura, punto en donde se incrementa la velocidad hasta su máximo de 4 m/seg sobre la copa de los árboles. En alta densidad, la altura de la capa límite entre 45 y 55 m de altura con una velocidad aproximada de 6 m/seg (Figura 7).

Discusión
La optimización del uso de los recursos en el ámbito urbano, en especial en las zonas desérticas como Mendoza, representa un objetivo de considerable impacto. La fuerte presión antrópica asociada con la urbanización ha repercutido en el consumo y la sustentabilidad de dos de los recursos básicos para el uso y la gestión de las zonas áridas: el agua y la energía (Correa et al., 2006).
Los recubrimientos reflectivos para techos han demostrado ser eficaces, de bajo costo, fáciles de usar y amigables con el ambiente. Song y otros autores (2013) muestran los efectos de la utilización a gran escala de este tipo de recubrimientos en la reducción del consumo de energía para refrigeración. El ahorro de energía de enfriamiento debido a la aplicación de recubrimientos fríos se estima entre 12 y 25 % para edificios residenciales, entre 5 y 18 % en edificios de oficinas y entre 7 y 17 % para edificios comerciales. Se considera que la adopción de techos y pavimentos fríos a escala global podría contribuir a la mitigación de los efectos del calentamiento global, al reducir el equivalente a 44 Gt de emisiones de CO2 por año.
Investigaciones desarrolladas en Mendoza por Alchapar y Correa (2016a) evidenciaron que el aumento de la reflectancia solar en los techos es una estrategia eficiente para el enfriamiento urbano. No obstante, el desgaste de los materiales por efectos de la suciedad y del paso del tiempo modifica su capacidad reflectiva y, en consecuencia, su comportamiento térmico. El estudio examina diferentes clases de tejas y pinturas para techo. Se obtuvo que el total de los materiales evaluados tiende a aumentar la temperatura superficial entre 3,5 °C y 24 °C. Las tejas son más susceptibles al envejecimiento que las pinturas. Las principales características morfológicas que impactan en el rendimiento térmico de los materiales envejecidos son el color, la terminación y la forma.
Por otra parte, el techo verde es una técnica de enfriamiento pasivo ampliamente abordada. Castleton, Stovin, Beck y Davison (2010) recopilan los resultados obtenidos en los últimos diez años sobre las ventajas energéticas de la aplicación de estas tecnologías que ofrecen beneficios asociados con la reducción de la calefacción en invierno y de la refrigeración en verano. El mayor ahorro de energía está relacionado con edificios donde el aislamiento es deficiente o inexistente.
El trabajo de Alexandri y Jones (2008) analiza nueve tipos de climas y diversas geometrías y orientaciones de cañón urbano. Los resultados demuestran que, para los climas más cálidos y secos, la incorporación de vegetación en las envolventes (techos, fachadas y pisos) ayuda a disminuir las temperaturas urbanas hasta 11 ºC y concluyen que cuanto más caluroso y seco es un clima, mayor es el efecto de vegetación sobre las temperaturas urbanas.
En la ciudad de Mendoza, estudios realizados por Flores et al. (2016) demostraron que las cubiertas verdes permiten disminuir la temperatura media interior edilicia en 2 ºC, la amplitud térmica en 8 ºC y la temperatura máxima en 6 ºC. Sin embargo, su implementación en zonas áridas está supeditada al uso de especies vegetales de bajo consumo de agua. De estos trabajos se derivan algunos aspectos deben ser estudiados en profundidad, por ejemplo, las especies más adecuadas para cada clima, el espesor del follaje, la composición y grosor de la capa de sustrato.
La presente investigación demostró que incorporar techo verde o reflectivo en una ciudad inserta en un contexto árido disminuye las temperaturas de los espacios exteriores en las configuraciones material 1, 2 y 3. Para ambas tecnologías de techo, la configuración material 4 —alto â fachadas y bajo â pavimentos— es la combinación más desfavorable (R4 y V4). En este sentido, Alchapar y Correa (2016b) evidencian que el incremento de albedo en fachadas de edificios con más de 12 m de altura (H/W: 0,66) causa sobrecalentamiento dentro del canal vial, debido al efecto interedilicio de las múltiples reflexiones, conocido en la literatura internacional como IBE (Han y Taylor, 2015).
En términos de temperatura media radiante (Tmr), solo dos escenarios con techo reflectivo (R1.Iveg y R1.IIveg) del total de las alternativas evaluadas consiguen disminuir las cargas de calor radiativo, en coincidencia con los hallazgos de Erell, Pearlmutter, Boneh y Kutiel (2014), quienes reportaron que en ciudades de clima cálido el aumento de albedo en envolventes edilicias puede disminuir las temperaturas de aire, pero la temperatura media radiante se incrementa y, como resultado, se compromete el confort de los peatones.
Además, la aplicación de tecnologías reflectivas y verdes en techo contribuye a la sustentabilidad del ambiente construido. Sin embargo, su desarrollo e implementación requiere cuantificar su eficiencia energética, ambiental y económica en relación con las limitantes que imponen las ciudades respecto a sus recursos naturales, tecnológicos y modelos de desarrollo.
Conclusiones
Ambas tecnologías de techos —reflectivos y verdes— muestran la misma tendencia de reducción de las temperaturas urbanas en combinación con las variables materiales y morfológicas propuestas (albedo en envolventes, aspecto de ratio H/W y presencia o ausencia de vegetación); no obstante, el impacto en el descenso de temperatura de aire (Ta) es mayor en los escenarios con techos verdes que en los reflectivos con diferencias de 0,5 K.
En términos de temperatura media radiante (Tmr), solo dos escenarios con techo reflectivo de 32 alternativas evaluadas consiguen disminuir su valor hasta 0,4 K (R1.Iveg y R1.IIveg). La estrategia más eficiente es aquella con niveles de â bajos en fachadas y altos en pavimentos y con vegetación urbana para H/W: 0,3 y 1,5 (Tabla 3).
Los resultados obtenidos muestran que aumentar la reflectividad en techos es una estrategia efectiva para reducir la temperatura de aire en todos los escenarios analizados. El mayor impacto se registra en aquellas configuraciones que incrementan también su reflectividad en los pavimentos. Los escenarios con materiales reflectivos en techos y pavimentos disminuyen la temperatura de aire a escala peatonal hasta 1,6 K (R3.Iveg).
La aplicación de techos verdes siempre conlleva una mejora de la calidad térmica del área. El alcance y la extensión de los beneficios, en términos de su eficiencia, podrían variar en función de la fisiología vegetal. Los escenarios con techos verdes disminuyen la temperatura de aire a escala peatonal hasta 2,0 K (V3.Iveg).
Para determinar el potencial de ahorro energético para calefacción y refrigeración que alcanzan estas tecnologías de techo, en trabajos futuros se evaluarán las temperaturas interiores y el confort térmico edilicio.
Del mismo modo, es necesario examinar la eficiencia en términos de costo beneficio del uso de ambas tecnologías en función de las características de la trama (alta o baja densidad). Los hallazgos muestran mayores beneficios de los techos verdes (considerado su impacto sobre la Ta y la Tmr del canal vial) en las tramas de mayor densidad edilicia; no obstante, para las tramas de baja densidad, los beneficios de ambas tecnologías se encuentran equilibradas, si se toman en cuenta ambos parámetros.
Agradecimientos
Artículo producto de la investigación “Diseño eficiente y nuevas tecnologías verdes para la consecución de la sustentabilidad urbana en zonas áridas. El caso del área metropolitana de Mendoza, Argentina”, financiado por el Centro Científico Tecnológico (Conicet), sede Mendoza. Titular del proyecto: M. Alicia Cantón.
Bibliografía
Akbari, H. y Levinson, R. (2008). Evolution of Cool-Roof Standards in the US. Advances in Building Energy Research, 2(1), 1-32. https://doi.org/10.3763/aber.2008.0201
Akbari, H. y Rose, L. S. (2008). Urban Surfaces and Heat Island Mitigation Potentials. Journal of Human-Environmental System, 11(2), 85-101. https://doi.org/10.1618/jhes.11.85
Alchapar, N. y Correa, E. (2016a). Aging of Roof Coatings. Solar Reflectance Stability According to their Morphological Characteristics. Construction and Building Materials, 102, 297-305. https://doi.org/10.1016/j.conbuildmat.2015.11.005
Alchapar, N. y Correa, E. (2016b). The Use of Reflective Materials as a Strategy for Urban Cooling in an Arid “Oasis” City. Sustainable Cities and Society, 27, 1-14. https://doi.org/10.1016/j.scs.2016.08.015
Alchapar, N., Correa, É. y Cantón, M. (2014). Classification of Building Materials Used in the Urban Envelopes According to their Capacity for Mitigation of the Urban Heat Island in Semiarid Zones. Energy and Buildings, 69, 22-32. https://doi.org/10.1016/j.enbuild.2013.10.012
Alexandri, E. y Jones, P. (2008). Temperature Decreases in an Urban Canyon Due to Green Walls and Green Roofs in Diverse Climates. Building and Environment, 43, 480-493. https://doi.org/10.1016/j.buildenv.2006.10.055
Banting, D., Doshi, H., Li, J., Missios, P., Au, A., Currie, B. A. y Verrati, M. (2005). Report on Environmental Benefits and Costs of Green Roof Technology for the City of Toronto. Recuperado de https://www1.toronto.ca/city_of_toronto/city_planning/zoning_environment/files/pdf/fullreport103105.pdf
Bruse, M. (1999). Die Auswirkungenkleinskaliger Umweltgestaltung auf das Mikroklima. Entwicklung des prognostischennumerischenModells ENVI-met zur Simulation der Wind-, Temperatur-, und Feuchtverteilung in städtischenStrukturen. (Tesis doctoral inédita). Universidad Ruhr de Bochum, Alemania.
Bruse, M. y Fleer, H. (1998). Simulating Surface -Plant-Air Interactions inside Urban Environments with a Three Dimensional Numerical Model. Environmental Modelling & Software, 13(3-4), 373-384. https://doi.org/10.1016/S1364-8152(98)00042-5
Canales, M. (2014). Efectos del uso de techos y fachadas vegetales en el comportamiento térmico de edificios. (Tesis de pregrado inédita). Santiago, Universidad de Chile.
Cantón, M. A. y De Rosas, C. (2004). Centros libres de manzana en el área metropolitana de Mendoza. Análisis y diagnóstico de la condición del espacio abierto. Avances en Energías Renovables y Medio Ambiente, Averma, 8(1), 31-36.
Castleton, H., Stovin, V., Beck, S. y Davison, J. (2010). Review Green roofs; building energy savings and the potential for retrofit. Energy and Buildings, 42, 1582-1591. https://doi.org/10.1016/j.enbuild.2010.05.004
Correa, E., De Rosa, C. y Lesino, G. (2006). Isla de calor urbana. El caso del área metropolitana de Mendoza. (Tesis doctoral inédita). Salta, Universidad Nacional de Salta, Argentina.
Erell, E., Pearlmutter, D., Boneh D. y Kutiel, P. (2014). Effect of High-Albedo Materials on Pedestrian Heat Stress in Urban Canyons. Urban Climate, 10(2), 367-386.
Flores, E., Martínez, C. y Cantón, M. (2013, octubre 22-25). Tecnologías verdes. Potencial de aplicación en el área metropolitana de Mendoza (AMM). Conferencia presentada en la XXXVI Reunión de trabajo de Asociación Argentina de Energías Renovables y Ambiente, San Miguel de Tucumán, Universidad Nacional de Tucumán.
Flores, E., Martínez, C., Cantón, M. y Correa, É. (2016). Desempeño térmico de cubiertas verdes en ciudades de zonas áridas. Hábitat Sustentable, 6(2), 6-15.
Google Street View. (s. f.). Mapa de calle Doctor Lemos, Godoy Cruz, Mendoza, Argentina (32°54'47"S, 68°50'46"O). Recuperado de https://www.google.com/maps/place/32%C2%B054'48.0%22S+68%C2%B050'46.0%22W/@-32.91355,-68.8467171,196m/data=!3m1!1e3!4m14!1m7!3m6!1s0x967e09702069f319:0x788547b694ae0aa4!2sDr.+Julio+Lemos,+Godoy+Cruz,+Mendoza!3b1!8m2!3d-32.9132706!4d-68.846663!3m5!1s0x967e096fe779333f:0xdaba3722e171c8a6!7e2!8m2!3d-32.9133336!4d-68.8461109?hl=es-ES
Han, Y. y Taylor, E. (2015). Disaggregate Analysis of the Inter-Building Effect in a Dense Urban Environment. Energy Procedia, 75, 1348-1353. https://doi.org/10.1016/j.egypro.2015.07.208
Kottek, M., Grieser, J., Beck, C., Rudolf, B. y Rubel, F. (2006). World Map of the Köppen-Geiger Climate Classification Updated. Meteorologische Zeitschrift, 15(3), 259-263. https://doi.org/10.1127/0941-2948/2006/0130
Levinson, R., Akbari, H. y Reilly, J. (2007). Cooler Tile-Roofed Buildings with Near-Infrared-Reflective Non-Whitecoatings. Building and Environment, 42, 2591-2605. https://doi.org/10.1016/j.buildenv.2006.06.005
Menon, S., Akbari, H., Mahanama, S., Sednev, I. y Levinson, R. (2010). Radiative Forcing and Temperature Response to Changes in Urban Albedos and Associated CO2 Offsets. Environmental Research Letters, 5(1), 1-11.
Mesa, A. y Giusso, C. (2014). Modelos de urbanización en tierras de alta vulnerabilidad ambiental. Análisis de la ocupación de la periferia del área metropolitana de Mendoza. Cuaderno Urbano, 16(16), 5-26.
Ministerio de Ciencia, Tecnología e Innovación Productiva. (2012). Argentina Innovadora 2020. Plan nacional de ciencia, tecnología e innovación. Lineamientos estratégicos 2012-2015. Recuperado de http://www.mincyt.gob.ar/adjuntos/archivos/000/022/0000022576.pdf
Rosenzweig, C., Gaffin, S. y Parshall, L. (2006). Green Roofs in the Metropolitan Region Research Report. Nueva York: Columbia University Centre for Climate Systems Research, NASA Goddard Institute for Space Studies.
Ruiz, M. A. y Correa, É. (2015). Suitability of Different Comfort Indices for the Prediction of Thermal Conditions in Forested Open Spaces in Arid Zone Cities. Theoretical and Applied Climatology, 122(1-2), 69-83. https://doi.org/10.1007/s00704-014-1279-8
Santamouris, M. (2014). Cooling the Cities. A Review of Reflective and Green Roof Mitigation Technologies to Fight Heat Island and Improve Comfort in Urban Environments. Solar Energy, 103, 682-703. https://doi.org/10.1016/j.solener.2012.07.003
Santamouris, M., Pavlou, C., Doukas, P., Mihalakakou, G., Synnefa, A., Hatzibiros, A. y Patargias, P. (2007). Investigating and Analysing The Energy and Environmental Performance of an Experimental Green Roof System Installed in a Nursery School Building in Athens, Greece. Energy, 32(9), 1781-1788. https://doi.org/10.1016/j.energy.2006.11.011
Sfakianaki, A., Pagalou, E., Pavlou, K., Santamouris, M. y Assimakopoulos, M. N. (2009). Theoretical and Experimental Analysis of the Thermal Behaviour of a Green Roof System Installed in Two Residential Buildings in Athens, Greece. International Journal of Energy Research, 33(12), 1059-1069. https://doi.org/10.1002/er.1535
Shishegar, N. (2014). The Impact of Green Areas on Mitigating Urban Heat Island Effect: A Review. The International Journal of Environmental Sustainability, 9(1), 119-130.
Smith, G., Gentle, A., Swift, P., Earp, A. y Mrong, N. (2003).Coloured Paints Based on Coated Flakes of Metal as the Pigment, for Enhanced Solar Reflectance and Cooler Interiors: Description and Theory. Solar Energy Materials & Solar Cells, 79(2), 163-177. https://doi.org/10.1016/S0927-0248(02)00409-9
Song, Z., Zhang, W., Shi, Y., Song, J., Qu, J., Qin, J., … Zhang, R. (2013). Optical Properties across the Solar Spectrum and Indoor Thermal Performance of Cool White Coatings for Building Energy Efficiency. Energy and Buildings, 63, 49-58.
Synnefa, A. y Santamouris, M. (2012). Advances on Technical, Policy and Market Aspects of Cool Roof Technology in Europe: The Cool Roofs Project. Energy Building, 55, 35-41. https://doi.org/10.1016/j.enbuild.2011.11.051
Synnefa, A., Santamouris, M. y Livada, I. (2006). A Study of the Thermal Performance of Reflective Coatings for the Urban Environment. Solar Energy, 80(8), 968-998. https://doi.org/10.1016/j.solener.2005.08.005
Taha, H., Akbari, H., Rosenfeld, A. y Huang, J. (1988). Residential Cooling Loads and the Urban Heat Island: The Effects of Albedo. Building and Environment, 23(4), 271-283. https://doi.org/10.1016/0360-1323(88)90033-9
UN-Habitat. (2016). World Cities Report. Prosperity of Cities. Cambridge: Autor.
Van Curen, R. (2012). The Radiative Forcing Benefits of “Cool Roof” Construction in California: Quantifying the Climate Impacts of Building Albedo Modification. Climatic Change, 112(3), 1071-1083.
Weather Underground. (2014). Tiempo historia de SAME-enero, 2014. Mendoza, Argentina. Recuperado de https://espanol.wunderground.com/history/airport/SAME/2014/1/14/DailyHistory.html?req_city=&req_state=&req_statename=&reqdb.zip=&reqdb.magic=&reqdb.wmo=
World Urban Areas. (2010). Demographia World Urban Areas Population Projections. Recuperado de http://www.demographia.com/db-wuaproject.pdf
Zinzi, M. y Agnoli, S. (2012). Cool and Green Roofs. An Energy and Comfort Comparison between Passive Cooling and Mitigation Urban Heat Island Techniques for Residential Buildings in the Mediterranean Region. Energy Building, 55, 66-76.
Zoulia, I., Santamouris, M. y Dimoudi, A. (2009). Monitoring the Effect of Urban Green Areas on the Heat Island in Athens. Environmental Monitoring and Assessment, 156(1-4), 275-292. https://doi.org/10.1007/s10661-008-0483-3
Notas
Notas de autor
aAutor de correspondencia. Correo electrónico: nalchapar@mendoza-conicet.gob.ar