Artículos
El valor de la vista sobre la ciudad: el caso los apartamentos en Envigado**
The Value of the Views over the City: The Case of the Apartments in Envigado
O valor da vista sobre a cidade: o caso dos apartamentos em Envigado
El valor de la vista sobre la ciudad: el caso los apartamentos en Envigado**
Cuadernos de Vivienda y Urbanismo, vol. 14, pp. 1-20, 2021
Pontificia Universidad Javeriana
Recepción: 26 Noviembre 2019
Aprobación: 26 Agosto 2020
Publicación: 15 Agosto 2021
Resumen:
El estudio del sector inmobiliario ha suscitado la atención de una gran cantidad de investigadores alrededor del mundo. A pesar de ello, en Colombia el impacto ha sido limitado, toda vez que la información de valores reales de venta de bienes inmuebles es bastante limitada en el país. En este artículo se emplearon modelos de regresión geográficamente ponderada, con el fin de analizar la influencia de la vista sobre la ciudad en las viviendas del municipio de Envigado, Colombia. El principal hallazgo de este estudio radica en que en la medida en que un apartamento que tiene una vista sobre la ciudad tiende a venderse por unos valores superiores a aquellos que no la tienen, constituyéndose en una externalidad positiva.
Palabras clave: Sector inmobiliario, GWR, regresión geográficamente ponderada, precios hedónicos, valor de la vista.
Abstract:
The study of the real estate industry has called the attention of many researchers worldwide. Notwithstanding, it has had a poor impact in Colombia because the information on the real value of selling is quite limited in this country. This work used Geographically Weighted Regression models in order to analyze how the city views influence the housing in Envigado, Colombia. The main finding from this study is that when an apartment has a view over the city, there is a trend to be sold at a higher value than those with no view. It is a positive externality.
Keywords: Real estate industry, GWR, geographically weighted regression, hedonic pricing, view value.
Resumo:
O estudo do setor imobiliário suscitou a atenção de um grande número de pesquisadores ao redor do mundo. Apesar de isso, na Colômbia o impacto tem sido limitado, uma vez que as informações de valores reais de venta de bens imóveis são bastante limitadas no país. Neste artigo foram usados modelos de regressão geograficamente ponderada, a fim de analisar a influencia da vista sobre a cidade nas moradias do município de Envigado, Colômbia. O principal achado deste estudo é que apartamentos com vista sobre a cidade tendem a se vender por valores superiores daqueles que não têm, constituindo uma externalidade positiva.
Palavras-chave: Setor imobiliário, GWR, regressão geograficamente ponderada, preços hedônicos, valor da vista.
Introducción
Hace más de siete décadas, comenzó el estudio del mercado inmobiliario en el mundo, a partir de los estudios realizados por Beaty (1952) y de Dewey y Deturo (1950), quienes analizaban el sector desde el punto de vista de la rentabilidad que genera a los inversionistas. Sin embargo, algunos años más adelante, Lancaster (1966) formuló la denominada “Nueva teoría del consumidor”, que tenía como base la idea de que los precios de los activos reflejan sus características, dando origen a los modelos de precios hedónicos formulados por Rosen (1974), que expresan las relaciones matemáticas existentes entre los componentes de un bien y su precio, abriendo el camino para el empleo de modelos de este tipo en el mercado inmobiliario. Justamente, el empleo de especificaciones matemáticas y estadísticas hedónicas llevó a que otro tipo de autores como Can (1992), Basu y Thibodeau (1998) o Sheppard (1999), agruparan las características de los inmuebles con el fin de mejorar las especificaciones matemáticas de los modelos de precios hedónicos, obteniendo especificaciones generales del tipo:
Precio=f(Características intrínsecas,Características extrínsecas,Fecha)
Este tipo de especificación es la más empleada en la actualidad, pues se modelan los precios de los inmuebles en términos de sus características propias, de las características de la unidad residencial o edificio en que se encuentra el inmueble y de la fecha en que se vendió el inmueble.
Sin embargo, a finales de los años ochenta del siglo pasado, Anselin (1988) detectó problemas relacionados con la asociación espacial de los datos, hecho que es bastante afín a los datos del sector inmobiliario, así como la heterogeneidad espacial que implica que las características de los activos inmobiliarios adquieran diferentes valores dependiendo de su ubicación en el espacio.
A pesar de estos problemas, algunos trabajos aplicados al mercado inmobiliario utilizaron modelos econométricos tradicionales para estudiar aspectos tan dispares como, por ejemplo, el impacto de la estratificación en la formación del suelo urbano en Bogotá, como lo hicieron Jojoa y Marmolejo (2013); el valor de la centralidad en Barcelona, en el caso del trabajo realizado por Marmolejo et al. (2016); o el impacto en los precios de las clasificaciones de eficiencia energética en los diferentes segmentos de vivienda, como es el caso del estudio conducido por Marmolejo et al. (2020). Sin embargo, en todos los casos, el uso de estos modelos econométricos tradicionales implica la existencia de problemas asociados a la asociación espacial de los datos y la heterogeneidad espacial, además de que en dos de los tres casos se emplean datos de oferta, no de negocios reales, con lo cual no podría hablarse no del impacto de las externalidades en los valores de los inmuebles, sino más bien de su impacto en las expectativas de los vendedores.
A principios de la segunda década del presente siglo, Narváez y Benito (2011) realizan una reseña del libro “Emulación del valor inmobiliario y dinámica territorial” de Fitch (2006), y resaltan cómo los atributos ambientales relacionados con el paisaje y las obras públicas influyen decididamente en la elección de una vivienda por parte de un individuo, además de sus ingresos, estilo de vida y costumbres, de manera que pueden capturarse plusvalías para conservar la naturaleza o los espacios públicos.
En consecuencia, con los hallazgos de Anselin (1988), a principios de siglo, Fotheringham et al. (2002) presentaron una nueva técnica de análisis econométrico espacial, denominada Regresión Geográficamente Ponderada (GWR), que permite desarrollar una ecuación para cada uno de los datos, en vez de una única ecuación para un conjunto de datos, con lo cual se obtienen también distintos coeficientes para cada una de las variables en cada una de las ecuaciones. De esta manera, al generar múltiples ecuaciones con múltiples coeficientes, se reducen notoriamente los problemas de asociación y heterogeneidad espacial, expresados por Anselin (1988). Por estas características, la técnica GWR es la ideal para modelar datos del mercado inmobiliario, toda vez que permite conocer los valores de cada una de las características que componen cada uno de los inmuebles, en vez de obtener solo un valor promedio para un conjunto de datos, como ocurre en los modelos econométricos tradicionales o los modelos econométricos espaciales tradicionales, como los modelos de error espacial o rezago espacial.
Una de las primeras aplicaciones al mercado inmobiliario de la técnica de regresiones geográficamente ponderadas o GWR fue la desarrollada por Yu (2004), que la utilizó para estudiar las relaciones entre el precio de las viviendas y sus características en Milwaukee, encontrando, entre otras cosas, que los signos del parámetro edad, que refleja la fecha de construcción de la vivienda, cambian dependiendo de la ubicación del inmueble: son negativos en toda la ciudad, con excepción de aquellas zonas de conservación histórica en donde la mayor edad del inmueble tiende a agregar valor al mismo. Tres años más tarde, Bitter et al. (2007) aplicaron las regresiones geográficamente ponderadas a los inmuebles residenciales de Tucson, Estados Unidos, para estudiar el mercado de vivienda, encontrando que el tamaño de la construcción y la edad del inmueble explican, en gran medida, la variación de los precios de las viviendas.
Algunos años más tarde, se utilizó la técnica de GWR para analizar la manera en que las externalidades afectan el mercado inmobiliario residencial. El primero de estos estudios fue realizado por Marmolejo y González (2009), quienes estudiaron el impacto del ruido en los valores estimados por peritos para las viviendas de Barcelona, encontrando que esta externalidad reduce dichos valores. Algunos años más tarde Eskarmeta et al. (2015) estudiaron el efecto de los condominios verticales en las viviendas aledañas a los mismos en un barrio de Santiago, la capital de Chile, encontrando que dicha cercanía incrementa en un 4,7% los valores de los inmuebles. Mientras que Marmolejo et al. (2020) estudiaron el efecto de las clasificaciones de rendimiento energético sobre el valor de los inmuebles, encontrando que existe una prima de 1,7% por cada clasificación superior de dicho ranking. Sin embargo, en estos dos últimos casos no se utilizan valores reales de negociación, sino solo datos de ofertas por inmuebles, con lo que se obvia el efecto de la negociación sobre dichos activos, implicando que los mayores precios encontrados por la cercanía a condominios verticales, o por mejores calificaciones en rankings energéticos, pueden deberse simplemente a la calidad de los datos, que incluyen las expectativas de los propietarios, y no las negociaciones reales.
Una de las primeras aplicaciones de la técnica de regresiones geográficamente ponderadas al mercado residencial de inmuebles, en América Latina fue la desarrollada por Agudelo et al. (2011), quienes aplicaron este tipo de regresiones al mercado de viviendas de la Comuna 13 en Medellín, y utilizaron 89 informes de valoraciones inmobiliarias, para encontrar que la cercanía a la estación del metro tiende a incrementar el valor de los inmuebles. En este contexto, este estudio pretende mostrar evidencia estadística de que una vista agradable sobre la ciudad de Envigado incrementa los valores de los inmuebles, convirtiéndose en una externalidad positiva que afecta directamente el patrimonio de los propietarios.
En el caso particular del análisis de las externalidades asociadas a la variable vista, los estudios iniciales datan de hace cinco décadas, cuando Davies (1974) —empleando 114 datos de venta de vivienda, que corresponden al 0,034% del total de viviendas de la zona, y utilizando metodologías econométricas tradicionales— analizó la influencia de la vista panorámica en los valores de los inmuebles en Nottingham, Inglaterra, encontrando que dicha variable no era relevante en la determinación del valor. Estudios similares fueron desarrollados por Brown y Pollakowski (1977) en Seattle, Washington, empleando 179 datos de venta de vivienda, que corresponden al 0,066% del total de viviendas de la zona, y por Correll et al. (1978), en Boulder, Colorado, utilizando 36 datos de venta de inmuebles residenciales, que corresponden al 0,08% del total de viviendas de la zona. En ambos casos, la vista de los inmuebles sobre espacios verdes y fuentes de agua resultó no ser significativa, aunque resalta el hecho de que las técnicas empleadas en ambos estudios correspondían a modelos econométricos tradicionales que no eliminaban los problemas de heterogeneidad y autocorrelación espacial, lo que pudo influir en sus resultados.
Más recientemente, Tse (2002) analizó la influencia de la vista al mar sobre el valor de los inmuebles en Hong Kong, empleando 1000 datos de ventas de vivienda, correspondientes al 1,5% de viviendas de la zona, encontrando que los valores de los inmuebles se incrementan entre un 6% y un 10% cuando tienen vista sobre el cuerpo de agua. De manera similar Bond et al. (2002) estudiaron la incidencia que tiene sobre los valores de venta de vivienda, la vista sobre el lago Erie en Cleveland, utilizando 190 datos de venta que corresponden al 0,11% del total de inmuebles de la zona, encontrando que la vista sobre el lago incrementa los valores de venta en promedio en 89,9%. De manera similar, Des Rosiers et al. (2002) tomaron 760 datos que corresponden al 0,21% del total de viviendas en Quebec, y encontraron que la vista sobre el paisaje incrementa el valor de las viviendas en un 4,4%, en promedio.
Este estudio se presenta novedoso, dado que, hasta donde conocemos, es la primera vez que en Colombia trata de establecerse una relación estadística y matemática entre la vista sobre la ciudad de inmuebles residenciales y el valor de los mismos, empleando valores reales de venta de apartamentos. En las siguientes secciones se enuncia brevemente la metodología del estudio, luego se describe brevemente la ciudad en donde se realizó el mismo, se describen los aspectos generales de los inmuebles analizados, y por último se muestran los resultados del análisis.
Contenido
Con el fin de llevar a cabo este estudio, se utilizó un modelo econométrico de regresiones geográficamente ponderadas, basado en el método de Mínimos Cuadrados Ordinarios, desarrollado por Friedrich Gauss, que consiste en encontrar una función continua a partir de un grupo de pares ordenados, que genere el mínimo error cuadrático, como observan Martínez et al. (2021). El empleo de esta técnica es aconsejado en situaciones en las que se presentan altos niveles de heterogeneidad y correlación espacial, como es el caso del mercado inmobiliario, en el cual los valores de los inmuebles están altamente relacionados con los valores de los inmuebles vecinos, al tiempo que características como las áreas o los garajes tienen valores diferentes dependiendo de su ubicación en el espacio. De ahí que la técnica GWR sea bastante apropiada, toda vez que permite generar una ecuación para cada dato utilizado en la muestra, con lo cual es posible obtener diferentes valores para cada una de las características de los datos utilizados.
Inicialmente se tiene una expresión que corresponde a una variable explicada y un conjunto de variables explicativas, de manera que en los modelos econométricos tradicionales usualmente se considera una regresión del tipo:

O en forma matricial

En donde
y: Vector de dimensión de "n" observaciones de la variable endógena
X: Matriz de dimensión, donde k-1 es la cantidad de variables exógenas del modelo
b: Vector de dimensión de parámetros de las variables exógenas
U: Vector de dimensión de perturbaciones aleatorias ruido blanco
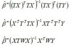
Utilizando el método de mínimos cuadrados ordinarios o el de máxima verosimilitud se puede obtener un estimador adecuado del vector de parámetros beta:

Sin embargo, para variables que presentan el fenómeno de dependencia espacial debe utilizarse otro tipo de modelos llamados econométricos espaciales, entre los cuales se encuentran los obtenidos por medio de regresiones geográficamente ponderadas, las cuales permiten estimar modelos locales para cada una de las observaciones, como lo demuestran Agudelo, Ospina et al. (2021):

Donde (ui, vi) representan las coordenadas que describen la ubicación geográfica de la observación. Mediante métodos de estimación, tales como el de máxima verosimilitud o el de mínimos cuadrados ordinarios, es posible estimar el vector de parámetros:

Como lo muestran Agudelo, Martínez et al. (2021), en el modelo lineal general Y= Xβ + U, premultiplicando por una matriz de ponderaciones T no singular, se obtiene:

La matriz de varianzas y covarianzas de TU es:

Como:

En los modelos donde se utilizan datos con dependencia espacial, se introduce naturalmente la heteroscedasticidad, por lo tanto, asumiendo que este fenómeno se encuentra presente, se tiene:

Y entonces,

De donde se deduce que para que no exista heteroscedasticidad en el modelo es necesario que:

Donde, despejando la matriz W, se obtiene:

Como el modelo lineal general considerado es TY = Tβ + TU , el estimador de β es:

Por consiguiente, el estimador para el vector de parámetros es:

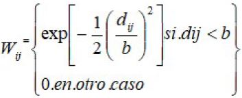
En donde W (ui, vi) es la matriz de pesos espaciales de dimensión (nxn) de la observación correspondiente a las coordenadas (ui,vi). Las componentes Wi,j de dicha matriz son calculadas a partir de una función Kernel, en este caso a partir de la función gaussiana, que asigna una mayor ponderación a las observaciones más cercanas:

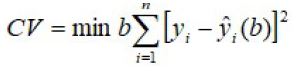
En donde dij es la distancia euclidiana entre el punto con coordenadas (ui, vi) y el punto de coordenadas (uj, vj). El parámetro b se calcula a partir del criterio de validación cruzada:

Caso de estudio
Contexto
Envigado es un municipio de nivel socioeconómico medio-alto, ubicado en el centro occidente de Colombia, en el departamento de Antioquia, que según datos del último censo contaba con 222 mil habitantes y 81 mil viviendas, constituyéndose en el municipio con la cuarta mayor aglomeración urbana del departamento. El municipio cuenta con 39 barrios y 6 veredas, con una estructura urbana bastante heterogénea y conformada principalmente por viviendas bifamiliares y trifamiliares antiguas, y por multifamiliares más recientes. Tradicionalmente, el municipio ha sido netamente residencial, con algún tipo de comercio barrial de bajo formato y bodegas las inmediaciones del río Medellín. El municipio limita al norte la ciudad de Medellín, al sur con el municipio de Sabaneta, y al occidente y al oriente con los municipios de Itagüí y El Retiro, respectivamente.
Actualmente, Envigado es uno de los municipios con menor índice de pobreza multidimensional en Colombia, con un 4,9% según el DANE (Departamento Administrativo Nacional de Estadística, 2018), además de que cuenta con tasas de homicidio de 7,5 individuos por cada 100 mil habitantes, lo que lo ubica entre los municipios con menores tasas en el departamento de Antioquia. Estos aspectos han hecho que sea demandado por las familias de estrato alto, que buscan estándares de vida y de seguridad superiores a los del resto de la región, y están dispuestos a pagar por viviendas con características que se adecuen a sus gustos y niveles de vida.

El municipio cuenta con varias vías importantes, como la carrera 43A y la transversal intermedia, que comunican el sur con el norte de la ciudad y permiten un importante nivel de comercio. Además, cuenta con comercio barrial de pequeño formato, ubicado, en su mayoría, en los límites de los barrios que lo conforman, y cercano a las avenidas principales, al igual que bodegas, particularmente en las zonas bajas del municipio, lo que favorece el nivel de empleo y desarrollo en la ciudad.
El motivo de presentar el estudio radica en especificar un modelo de regresión geográficamente ponderada, que permita cuantificar la influencia de la vista en el precio de una vivienda en el municipio de Envigado, al tiempo que se presenta una herramienta de estimación de valores bastante eficiente y fácil de utilizar.
Datos utilizados
Para realizar el estudio, se utilizaron los datos correspondientes a 356 apartamentos vendidos entre 2014 y 2020 en el municipio de Envigado (anexo 1), lo que representa el 0,44% del total de viviendas de la zona, porcentaje similar al utilizado en otros estudios que utilizan valores reales de venta de inmuebles, aunque inferior a los empleados en estudios que utilizan valores de oferta de inmuebles, que son mucho más voluminosos, pero menos precisos. Los datos utilizados en el trabajo fueron aportados por la Lonja de Propiedad Raíz de Medellín y Antioquia, y fueron obtenidos a partir de un recorrido de campo que realiza la empresa en los principales barrios de la ciudad, dado que ni los compradores ni los vendedores de inmuebles acostumbran a divulgar este tipo de datos. La metodología de recolección de los datos está basada en un recorrido de campo que se hace mensualmente por todos los barrios, detectando los anuncios de ofertas de venta de vivienda. Una vez se tiene el dato, se contacta telefónicamente a la empresa o persona que ofrece el inmueble y se indaga por aspectos relacionados con el inmueble en oferta. Cada mes se verifica si el inmueble continúa en oferta o si ya ha sido comercializado, en caso de que haya sido vendido se pregunta por el valor por el cual se negoció. Esta metodología permite obtener datos primarios de buena calidad para realizar un seguimiento al mercado inmobiliario de la ciudad.

En la figura 2 se observa el plano de la zona, en donde cada punto corresponde a un dato utilizado. Las estadísticas descriptivas de la tabla 2 muestran la diversidad de las viviendas empleadas en el estudio, que tienen valores de entre $120 y $1100 millones, con áreas que oscilan entre los 57 y 290 m2.
Definición de variables
Las variables pertenecientes a las 356 ventas de apartamentos utilizadas en la modelación, y que corresponden a las características intrínsecas y extrínsecas de los inmuebles, son (anexo 2): precio, el valor por el cual se vendió el inmueble; edad, que corresponde al número de años de construido el inmueble. Mientras mayor es la edad, menor es el valor del inmueble; área, el número de metros cuadrados con que cuenta la vivienda. Mientras mayor es el área de la vivienda, mayor el valor del inmueble; garajes, el número de parqueaderos con que cuenta una vivienda. Mientras más garajes tiene la vivienda, mayor es el valor del inmueble; vista, variable dicótoma que toma el valor de 1 en caso de que el inmueble tenga vista sobre la ciudad, y 0 en caso de que no la tenga. Este dato es reportado por el vendedor del inmueble; administración, el valor de los pagos mensuales que hace el propietario de un inmueble para el sostenimiento de los gastos y el mantenimiento de las zonas comunes del edificio. Mientras mayores son las zonas comunes, más altos son los pagos que se realizan por este concepto. En este trabajo, la cuota mensual de administración se emplea como una variable proxy de las características extrínsecas de los inmuebles asociadas al edificio del que hacen parte; fecha, el mes en que se realizó la venta del inmueble. Toma el valor de cero en el caso de la venta se haya realizado en febrero de 2014, el valor de uno en caso de que la venta haya ocurrido en marzo de 2014, y así sucesivamente, hasta junio de 2020, cuando la variable toma el valor de 76.
Resultados
Al emplear datos espaciales, es necesario verificar la existencia de autocorrelación espacial, para lo cual se utiliza el estadístico conocido como I de Moran. Como se presenta en la figura 3, con un valor p de 0,001, es posible afirmar con un 95% de confianza, que no existe evidencia de la existencia de no autocorrelación espacial de los datos; es decir, deben tenerse en cuenta los efectos espaciales de los datos para realizar el análisis. Para ellos se emplea una matriz de pesos espaciales W, generada con el método “K-Nearest neighborhood” igual a 4, ya que se asume que cada vivienda considerada tiene cuatro viviendas vecinas en la muestra, con características similares a ella.

Una vez comprobada la existencia relaciones espaciales entre las variables empleadas en el trabajo, se utilizó el software GWR3 para estimar una regresión ponderada geográficamente. Luego de ocho iteraciones, se obtuvo el siguiente criterio de minimización de Akaike:

A partir de los 356 datos se desarrolló una ecuación econométrica que explica el comportamiento de los precios de los apartamentos en función de las características intrínsecas y extrínsecas de los mismos:

En este modelo se destaca el hecho de que todas las variables involucradas en el análisis resultaron ser estadísticamente significativas. Los resultados muestran que en promedio un garaje adicional cuesta $ 35 054 683, mientras que cada metro cuadrado adicional tiene un valor promedio de $ 2 757 442. Por el contrario, por cada año adicional de construido que tiene un apartamento, su valor se reduce en $ 5 283 102 en promedio. Uno de los resultados más relevantes encontrados en el estudio es el asociado al valor de la vista sobre la ciudad: un apartamento con vista sobre la ciudad cuesta en promedio $ 15 921 858 más que un apartamento sin esta característica, revelando la existencia de una externalidad positiva sobre los inmuebles, que genera una mayor disponibilidad a pagar por dicha cualidad.
Sin embargo, como se explicó anteriormente, los datos espaciales presentan problemas de heterogeneidad espacial, lo que implica que es posible que un mismo atributo presente distintos valores dependiendo de su ubicación en el espacio, hecho que puede resolverse empleando la técnica de regresiones geográficamente ponderadas, que permite obtener una ecuación econométrica para cada dato, y cada una de ellas con diferentes valores de los parámetros, con lo cual los problemas de heterogeneidad y correlación espacial se resuelven. De esta manera se desarrollaron 356 ecuaciones, una para cada dato utilizado, las cuales tienen coeficientes de ajuste que oscilan entre el 91,4% y el 95,1%, mostrando la alta capacidad productiva de los modelos GWR.


En la figura 4 se observan los coeficientes que toma el parámetro de la variable vista en el municipio de Envigado, que refleja la valoración que hacen los compradores de la vista que tiene el apartamento sobre la ciudad. Los colores anaranjados y amarillos muestran la mayor incidencia de la variable vista en los valores de los inmuebles, con valores que fluctúan entre el 15% y el 25% en estas zonas, mientras que las zonas dominadas por los colores azules oscuros y claros reflejan la menor influencia de dicha variable en el valor de negociación de los inmuebles, con incidencias inferiores al 3% en los valores de negociación. De esta manera, en las zonas noroccidental y centro oriental del municipio es mucho mayor la influencia de la variable sobre los precios de los inmuebles negociados. En promedio la vista sobre la ciudad agrega un 4,94% más de valor a los apartamentos en Envigado, con lo cual esta variable contribuye activamente a la formación de los precios inmobiliarios en el municipio. Este resultado es similar al obtenido por Des Rosiers et al. (2002) en Quebec, para inmuebles con vista sobre el paisaje, los cuales presentan aumentos promedio del 4,4% en su valor, e inferior a los resultados encontrados cuando se estudian vistas sobre el mar o sobre lagos, los cuales llegan a ser, en algunos casos, hasta del 89,9%.
En el caso de los coeficientes de la variable Área que se observa en la figura 5, los colores anaranjados muestran valores más altos por metro cuadrado, que son los que se observan límites con la comuna El Poblado, que es la agrupación de barrios con nivel económico más alto de la ciudad de Medellín, los cuales oscilan entre los $ 2 800 000 y $ 3 300 000 por metro cuadrado, mientras que los valores más bajos de esta variable son los ubicados al sur del municipio de Envigado, y limitan con la sección norte del municipio de Sabaneta, que tiene un nivel económico y viviendas con valores inferiores de entre $ 1 800 000 y $2 200 000 por metro cuadrado.
Conclusiones y recomendaciones
En este estudio se empleó la técnica de regresiones geográficamente ponderadas para estudiar la influencia del valor de la vista sobre la ciudad en el valor de una vivienda en el municipio de Envigado, Colombia. Para realizar el estudio se emplearon 356 datos de ventas de apartamentos realizados en la ciudad entre los años 2014 y 2020, que representan el 0,44% del total de las viviendas del municipio. Con estos datos se especificaron ecuaciones a partir de variables intrínsecas y extrínsecas de los apartamentos, y de una variable que permitió controlar la estacionalidad de las ventas.
La variable denominada “Vista”, que es aquella que mide el hecho de que una vivienda tenga una vista privilegiada sobre la ciudad, resultó ser estadísticamente significativa, lo que implica que aquellos inmuebles con esta característica tienden a venderse en un valor superior al de otros inmuebles que no tienen dicho atributo. En promedio, la vista sobre la ciudad agrega un 4,94% de valor a los inmuebles, constituyéndose en una externalidad positiva que afecta el valor de los apartamentos del municipio, en el que sus habitantes demandan inmuebles con características que se amoldan a su nivel de vida. De esta manera, el principal hallazgo de este estudio radica en comprobar que la vista sobre la ciudad tiende a incrementar el patrimonio de los propietarios, de manera que esta variable juega un papel importante en la explicación de los precios residenciales, junto con variables intrínsecas tradicionalmente empleadas en este tipo de trabajos, y contribuyen conjuntamente en la formación de los precios inmobiliarios residenciales.
Desde el punto de vista de la planeación urbana, posiblemente las políticas públicas que se aplican desde hace varios años en el municipio, y que buscan reducir el número de edificaciones en las zonas de ladera, han contribuido a mantener el número de inmuebles con vista sobre la ciudad y a incrementar el valor pagado por inmuebles con estas características, toda vez que este tipo de directrices reducen las barreras visuales que producen otros edificios cercanos sobre la panorámica de la ciudad de los apartamentos, y minimizan la oferta de inmuebles de este tipo, contribuyendo a aumentar el valor de los activos con estas particularidades. Este tipo de escenarios pueden considerarse externalidades positivas generadas por políticas que buscan generar ciudades más densas y compactas en zonas con mayores disponibilidades de servicios urbanos, al tiempo que reducen la oferta de vivienda en zonas con características urbanísticas menos deseables desde el punto de la vista de la planeación urbana y regional, pero que son altamente demandadas por familias de ingresos altos, por ser más privadas y menos accesibles a la comunidad en general.
A pesar de ello, las políticas orientadas a generar ciudades más densas y compactas se consideran adecuadas, toda vez que buscan transformar la ciudad y su relación con el territorio, reduciendo su crecimiento periférico, discontinuo y disperso, aunque en el proceso se pueden generar presiones al alza sobre los precios de los activos que se ubican en zonas altamente demandadas, con características deseables como es el caso de las vistas panorámicas sobre la ciudad, y que como consecuencia de la normatividad ven restringida la oferta de nuevos inmuebles que satisfagan la demanda de las familias de ingresos altos.
En tal sentido, consideramos relevante cuantificar cómo la vista sobre la ciudad contribuye a la formación de los precios de los inmuebles en la ciudad de estudio, y verificar cómo las familias están dispuestas a pagar por características particulares de los inmuebles, aún en ciudades pequeñas, como es el caso del municipio de estudio.
Futuros trabajos relacionados con el tema se enfocarán en la influencia que tiene sobre los valores de venta de un inmueble la cercanía a elementos de infraestructura como estaciones de transporte masivo, vías o aeropuertos.
Referencias
Agudelo, J., Duque, J., y Velásquez, H. (2011). Infraestructura pública y precios de vivienda: una aplicación de regresión geográficamente ponderada en el contexto de precios hedónicos. Ecos de Economía, 15(33), 95-122. https://repository.eafit.edu.co/handle/10784/5329
Agudelo, J., Ospina, O., y Martínez, D. (2021). Developing spatial econometric models in gwr3.0. Optimal Books.
Agudelo, J., Martínez, D., y Ospina, O. (2021). Using mapinfo in spatial econometric models. Optimal Books.
Anselin, L. (1988). Spatial Econometrics: Methods and Models. Kluwer Academic Publishers.
Basu, S., y Thibodeau, T. (1998). Analysis of spatial autocorrelation in house prices. Journal of Real Estate Finance and Economics, 17, 61-85.
Beaty, J. (1952). Rental real estate often a good investment. GP, 5(6): 93-94.
Bitter, C., Mulligan, G., y Dall’erba, S. (2007). Incorporating spatial variation in housing attribute prices: a comparison of geographically weighted regression and the spatial expansion method. Journal of Geographical Systems, 9(1), 7-27. https://link.springer.com/article/10.1007/s10109-006-0028-7
Bond, M., Seiler, V., y Seiler, M., (2002). Residential real estate prices: a room with a view. Journal of Real Estate Research, 23(1-2), 129-137. https://www.researchgate.net/publication/5142153_Residential_Real_Estate_Prices_A_Room_with_a_View
Brown, G., y Pollakoski, H. (1977). Economic Valuation of Shoreline. The Review of Economics and Statistics, 59(3), 272-278. https://www.doi.org/10.2307/1925045
Can, A. (1992). Specification and estimation of hedonic house Price models. Regional Sciences and Urban Economics, 22, 453-474.
Correll, M., Lillydahl, J., y Singell, L. (1978). The Effects of Greenbelts on Residential Property Values: Some Findings on the Political Economy of Open Space. Land Economics, 54(2), 207-217. https://www.doi.org/10.2307/3146234
Departamento Administrativo Nacional de Estadística. (2018). Medida de pobreza multidimensional municipal de fuente censal 2018.https://www.dane.gov.co/index.php/estadisticas-por-tema/pobreza-y-condiciones-de-vida/pobreza-y-desigualdad/medida-de-pobreza-multidimensional-de-fuente-censal
Des Rosiers, F., Therault, M., Kestens, Y., y Villeneuve, P. (2002). Landscaping and house values: An Empirical Investigation. Journal of Real Estate Research, 23, 139-162. https://www.tandfonline.com/doi/abs/10.1080/10835547.2002.12091072
Davies, G. (1974). An econometric analysis of residential amenity. Urban Studies Journal, 11(2), 217-225.
Dewey, L., y DeTuro, P. (1950). Should I invest in real estate? Journal of Medic Economics, 28(3), 85-93.
Eskarmeta, E., Marmolejo, C., Aguirre Núñez C. A. (2015) ¿Los condominios verticales benefician por igual al valor de los inmuebles vecinos? Un análisis para Ñuñoa, Santiago de Chile. ACE: Architecture, City and Environment, 9(27) 69-96. https://raco.cat/index.php/ACE/article/view/288371
Fitch, J. (2006). La incidencia de externalidades ambientales en la formación espacial del valor urbano. El caso de la Región Metropolitana de Barcelona. ACE: architecture, city and environment, 6, 673-692.
Fotheringham, A., Brunsdon, C., y Charlton, M. (2002). Geographically Weighted Regression: The Analysis of Spatially Varying Relationships. John Wiley & Sons.
Jojoa, V., y Marmolejo, C. (2013). Evaluación del impacto de la estratificación socioeconómica en la formación del valor del suelo en Bogotá D. C. [Tesis de maestría]. Universidad Politécnica de Cataluña, Cataluña, España.
Lancaster, K. (1966). A new approach to consumer theory. Journal of Political Economy, 74(2), 132-157. www.jstor.org/stable/1828835
Marmolejo, C., Echavarría, J., y Biere, R. (2016). El valor de la centralidad: un análisis para la Barcelona Metropolitana. ACE: Architecture, City and Environment, 11(32), 95-112. https://www.doi.org/10.5821/ace.11.32.4834
Marmolejo, C., Chen, A., y Bravi, M. (2020). Spatial Implications of EPC Rankings Over Residential Prices. En G. Mondini, A. Oppio, S. Stanghellini, M. Bottero, y F. Abastante (Eds.), Values and Functions for Future Cities. Green Energy and Technology (pp. 51-71). Springer. https://www.doi.org/10.1007/978-3-030-23786-8_4
Marmolejo, C., y González, C. (2009). Does noise have a stationary impact on residential values? Journal of European Real Estate Research, 2(3), 259-279. https://www.doi.org/10.1108/17539260910999992
Martínez, D., Ospina, O., y Agudelo, J. (2021). Valuation of real estate assets using statistical models. Optimal Books.
Narváez, T., y Benito, A. (2011). El valor del entorno: la incorporación del valor público a la propiedad privada. ACE: Architecture, City and Environment, 6, 253-256.
Rosen, S. (1974). Hedonic prices and implicit markets: product differentiation and pure competition. Journal of Political Economy, 82(1), 34-55. https://www.jstor.org/stable/1830899
Sheppard, S. (1999). Hedonic analysis of housing markets. Handbook of Regional and Urban Economics, 3, 1595-1635. https://doi.org/10.1016/S1574-0080(99)80010-8
Tse, R. (2002). Estimating neighbourhood effects in house prices: towards a new hedonic model approach. Urban Studies, 39(7), 1165-1180. https://doi.org/10.1080/00420980220135545
Yu, D. (2004). Modeling housing market dynamics in the city of Milwaukee: a geographically weighted regression aproach. University Consortium for Geographic Information Science.
Anexos







Notas
Notas de autor
a Autor de correspondencia. Correo electrónico: agudelotorres@hotmail.com