Artículos
ECONOMÍAS POPULARES E INCLUSIÓN PRODUCTIVA PARA BENEFICIARIOS CON VIVIENDA GRATUITA EN CALI, JAMUNDÍ Y POPAYÁN
Popular Economies and Productive Inclusion for Beneficiaries with Free Accommodation in Cali, Jamundí and Popayán
Economias populares e inclusão produtiva para beneficiários com alojamento livre em Cali, Jamundí e Popayán
ECONOMÍAS POPULARES E INCLUSIÓN PRODUCTIVA PARA BENEFICIARIOS CON VIVIENDA GRATUITA EN CALI, JAMUNDÍ Y POPAYÁN
Cuadernos de Vivienda y Urbanismo, vol. 11, núm. 21, pp. 1-19, 2018
Pontificia Universidad Javeriana
Recepción: 14 Julio 2016
Aprobación: 31 Julio 2017
Publicación: 05 Febrero 2017
Financiamiento
Fuente: Ministerio de Trabajo, Departamento de la Prosperidad Social DPS y el Programa de Naciones Unidas para el Desarrollo PNUD, ECONOMÍAS POPULARES E INCLUSIÓN PRODUCTIVA PARA BENEFICIARIOS CON VIVIENDA GRATUITA EN CALI, JAMUNDÍ Y POPAYÁN
Resumen: Este documento aborda la dinámica de las economías populares en algunos proyectos de vivienda gratuita en Colombia como Llano Verde (Cali), El Rodeo II (Jamundí) y Valle del Ortigal (Popayán), con el fin de sugerir rutas de inclusión productiva que tengan en cuenta las habilidades y destrezas de las personas que allí habitan y sus propuestas. La información utilizada proviene del instrumento aplicado en los tres proyectos y de talleres participativos. Con la información cuantitativa se estimó un modelo multivariado por mínimos cuadrados ordinarios (MCO) para determinar los factores que inciden en los ingresos de las familias. Se concluyó que las apuestas que se implementen en las tres ciudades deberán tener enfoque diferencial; además, se encontró que los ingresos de los habitantes tienen una alta dependencia de los subsidios del Estado, en especial en Jamundí.
Palabras clave: Economías informales, economías populares, rutas de inclusión productiva, viviendas de interés prioritario, modelos estocásticos.
Abstract: This paper addresses the dynamics of popular economies in some free housing projects in Colombia such as: Llano Verde (Cali), El Rodeo II (Jamundí) and El Valle del Ortigal (Popayán), in order to propose paths of productive inclusion that take into account the abilities and skills of the people who live there and their productive bets. The information used comes from the instrument applied in the three projects and the making of participatory workshops. With quantitative data a multivariate model was estimated by OLS to determine which factors affect the families’ incomes. It was concluded that the best strategy to be implemented in the housing projects of the three cities, should be a differential approach, it was also found that the income of the inhabitants of the three projects especially in Jamundí have a high dependence on state subsidies.
Keywords: Informal economies, popular economies, inclusion routes, priority interest housing.
Resumo: Este artigo aborda a dinâmica das economias populares em alguns projetos de habitação gratuita na Colômbia como: Llano Verde (Cali), El Rodeo II (Jamundí) e El Valle del Ortigal (Popayán), a fim de propor caminhos de inclusão produtiva que levem em conta as habilidades e competências das pessoas que lá moram e as suas apostas produtivas. A informação utilizada vem do instrumento aplicado nos três projetos e a realização de ateliers participativos. Com os dados quantitativos um modelo multivariado foi estimado por MCO para determinar quais fatores afetam as rendas das famílias. Concluiu-se que a aposta a ser implementada nos projetos habitacionais das três cidades, deve ser a abordagem diferencial, também se constatou que a renda dos habitantes dos três projetos, especialmente em Jamundí têm uma elevada dependência dos subsídios estatais.
Palavras-chave: Economias informais, economias populares, rotas de inclusão produtiva, habitação de interesse prioridade.
Introducción
El afán incesante del capitalismo por obtener cada vez mayores tasas de ganancia ha tenido consecuencias de diversa índole en la población en todo el mundo y en el ambiente. De acuerdo con Hurtado (2013), esta crisis actual del capitalismo se manifiesta en mayores índices de pobreza, apropiación de ganancias, menor distribución de los ingresos y más contaminación ambiental. Una de las expresiones más dicientes de dicha crisis es la falta de generación de empleo e inserción de las personas al mercado laboral; como lo promulgan Farah y Vasapollo (2011), “profundiza las desigualdades sino también desestructura la protección social, de tal forma que se tenga que hablar de una crisis de seguridad humana” (p. 12).
Las cifras del Departamento Administrativo Nacional de Estadística (2014) indican que, para el año 2014, los colombianos en condición de pobreza monetaria, es decir, aquellos cuyos ingresos no alcanzaban para comprar una canasta básica, superaron los 13 millones de personas, o sea, un 28,5 % de la población total. Si se mide la pobreza multidimensional, que incluye factores como salud, educación y bienestar social, se encuentra que un 21,9 % de la población del país es pobre (alrededor de 10,3 millones de personas). Otro de los indicadores fundamentales de la pobreza es la imposibilidad de las familias con bajos ingresos, estudio y productividad de procurar una vivienda digna para su hogar. De acuerdo con el Ministerio de Vivienda, el Departamento Nacional de Planeación (DNP) y el DANE (2015), en 2014 existían alrededor de 2,5 millones de familias sin vivienda en todo el país.
El Gobierno nacional, con la ayuda de los Gobiernos locales, ha impulsado varias iniciativas en diversos municipios del país para dotar a dichas familias de un sitio digno donde puedan vivir. Entre 2013 y 2014, en las ciudades de Cali, Jamundí y Popayán se ha llevado a cabo este tipo de proyectos; sin embargo, la donación de viviendas gratuitas ha resuelto el problema, pero ha generado otros de tipo social y económico.
Debido a que gran parte de la población beneficiaria no tiene altos grados de escolaridad y cualificación, proviene del sector rural, está conformada por una gran cantidad de niños y ancianos y sus habilidades son incompatibles con los empleos que demanda la ciudad, es difícil que pueda insertarse en el mercado laboral local.
En este contexto de pobreza, falta de oportunidades y efectos expulsión del mercado laboral, la necesidad de conseguir algún ingreso de subsistencia, las familias beneficiarias se han insertado en la dinámica de lo que se conoce como la economía popular y solidaria, es decir, un conjunto de prácticas, emprendimientos o ideas de supervivencia económica individual o colectiva, que les permita enfrentar la exclusión de los mercados capitalistas para procurarse bienes de autoconsumo y bienes inmateriales (Sarria y Tiribia, 2004).
Estas prácticas locales se han venido presentando con una alta frecuencia en el suroccidente colombiano, en particular en los municipios de Cali, Jamundí y Popayán, fenómeno que coincide con las altas cifras de pobreza y desempleo mostradas por el DANE (2015) y Gómez, Sarmiento, Hoyos y Fajardo (2016) para dichas ciudades. En efecto, estas entidades señalan que el departamento del Valle encuentra una reducción muy baja en la pobreza para 2014 (solo un 2 %) y los pobres en el Cauca alcanzan un 54,2 % de la población en el mismo período; frente al desempleo, ambas ciudades muestran tasas cercanas a un 13,5 %.
Referentes teóricos
La economía popular agrupa todas las actividades económicas no capitalistas, no estatales, presentes en la producción material e inmaterial y en la circulación, ubicadas en el área urbana o rural. Se enfrenta a la carencia de asistencia técnica, bajos niveles tecnológicos, falta de maquinaria y equipos, bajos índices de productividad, escaso acceso a crédito bancario, ausencia de controles administrativos y contables por la falta de capacitación formal e incapacidad de almacenamiento de la producción y de comercialización directa.
Este tipo de economía ha sido una constante en la sociedad, aunque en los últimos años ha cobrado mayor importancia en las actividades urbanas, debido al desempleo y a los espacios dejados por el capital, entre otras razones. Se caracteriza por no poseer una lógica reproductiva en escala ampliada (suele operar para la sobrevivencia) y prefiere el consumo presente a la reinversión del excedente, aun cuando este último posibilitaría una mayor satisfacción de necesidades en el futuro (Montoya, 2012).
La nueva economía popular (NEP) no se concibe como un modelo alternativo al modelo neoliberal impulsado por el Gobierno, sino como una estrategia “de” y “para” las mayorías populares del campo y de la ciudad en los ámbitos económico, social, político y cultural. Se fundamenta en el propio esfuerzo organizativo y productivo por medio del trabajo como solución a los problemas de pobreza y marginación social: “[…] esto es, su propio desarrollo” (Montoya, 1993, p. 70).
La NEP podría coexistir con el sector capitalista de la economía, pero no como un simple apéndice del mismo, sino con su propia lógica de reproducción. La racionalidad de la NEP incorpora enfrentar el conjunto de necesidades humanas individuales o colectivas de subsistencia, fisiológicas, de convivencia y relación con los demás, de capacitación y desarrollo cultural, de crecimiento personal e identidad social, de autonomía e integración crítica a la sociedad. En los países latinoamericanos, la economía popular se asocia con los conceptos de economía informal, pequeña producción popular urbana, economía sumergida, economía invisible, economía de subsistencia o economía popular; no obstante, no se refieren al mismo fenómeno, pues establecen diversas expresiones de la realidad que identifican.
Todo este heterogéneo universo de iniciativas y experiencias de los grupos sociales más pobres en la búsqueda de asegurar la subsistencia y satisfacción de sus necesidades fundamentales es parte de la economía popular. Entre sus actividades se identifican: a) el trabajo por cuenta propia de trabajadores independientes que producen bienes, prestan servicios o comercializan en pequeña escala en casas, calles, plazas, medios de locomoción colectiva, ferias populares y otros lugares de aglomeración humana; b) las microempresas familiares, unipersonales o de dos o tres socios, en las que se elaboran productos o comercializan en pequeña escala en alguna habitación de la vivienda o adyacente a ella, y c) las organizaciones económicas o pequeños grupos de personas y familias que gestionan en común sus recursos escasos para desarrollar, en términos de cooperación y ayuda mutua, actividades generadoras de ingresos para satisfacer necesidades básicas de trabajo, alimentación, salud, educación, vivienda, etc.
Estas actividades solucionan los problemas económicos del mundo de los pobres. Así, para la sobrevivencia, las acciones ejecutadas apenas satisfacen las necesidades básicas fisiológicas (subnutrición, insalubridad, viviendas precarias y de emergencia, etc.); en este punto, no es posible alguna forma de acumulación.
Por su parte, en el crecimiento, las actividades permiten un progresivo mejoramiento en la calidad de vida, mayores posibilidades de éxito y, en consecuencia, la iniciativa emprendida es una opción permanente en la búsqueda de desarrollo y de ir más allá de la simple subsistencia. En este caso, se tienen en cuenta aspectos importantes como la libertad, la autogestión y las actividades culturales y de capacitación. Una dimensión esencial a tener en cuenta para entender el concepto de economía popular es la consideración del mundo económico de los pobres, activado y movilizado, en función de la solución autónoma de sus propias necesidades por medio de la oferta de su fuerza de trabajo, de sus propios recursos o de la forma de organización grupal, para dar lugar a la multiplicación de pequeñas experiencias económicas.
Las prácticas de la economía popular suelen ser informales (Coraggio, 2014). El sector informal surge como concepto cuando el éxodo rural y el posterior crecimiento urbano propician la ejecución de labores en pequeña escala capaces de proveer medios de subsistencia a los migrantes rurales y a los pobladores urbanos sin oportunidades de empleo. Para este enfoque, el desarrollo económico ha tenido una única trayectoria, en virtud de la cual, impulsado por el sector moderno, llevará con mayor o menor complejidad a la culminación del sector atrasado (Portes y Haller, 2004). La dinámica se pone en marcha cuando los empresarios capitalistas con mayores índices de productividad pueden proveerse de mano de obra del sector de subsistencia y ofrecen un salario que, si bien es superior al ingreso obtenido para subsistencia, es menor que el pagado en el sector capitalista; esta es la forma como se pueden captar los excedentes de mano de obra. Entonces, la economía informal es absorbida en su totalidad por el sector formal en situación de crecimiento.
También se le ha enmarcado entre las actividades de baja productividad, propias de un conjunto de “trabajadores pobres” (working poor) migrantes desde las zonas rurales a las urbanas o de los países de menor desarrollo que no encuentran trabajo en los sectores modernos y enfrentan la necesidad de sobrevivir. En estas circunstancias, los nuevos pobladores de las zonas urbanas deben desempeñar cualquier actividad que les permita percibir un ingreso y resultar funcionales al resto de la economía (Tokman, 1987a). El problema no se concentra en el desempleo, sino en el ingreso insuficiente de los ocupados (Tokman, 1987b).
El sector informal urbano se define a partir de la presencia de pequeñas empresas con poco capital, escasos requisitos de capacitación y entrenamiento especial por parte de sus trabajadores y grandes cantidades de población en situación de pobreza que vive del trabajo por cuenta propia (ventas callejeras, servicio doméstico, reparaciones domésticas menores, servicios de vigilancia y actividades semejantes), con una base productiva dependiente del ámbito familiar, bajos ingresos y pocas oportunidades para progresar más allá de las actividades informales.
Estas características propias de una cultura productiva y de relaciones sociales del campo se trasladaron a la ciudad con los procesos migratorios de décadas atrás. Al no obtener empleos en el sector moderno (sector formal) de la economía, esta sobreoferta laboral tiende a generar sus propias ocupaciones y su cultura productiva, por lo general, atrasada en cuanto a tecnología y a relaciones sociales.
Estudios aplicados
Los programas de vivienda de interés prioritario en Colombia obedecen a una de las iniciativas del Gobierno para erradicar la pobreza y la pobreza extrema en Colombia.
El programa de 100.000 viviendas gratis o de interés prioritario forma parte de los pilares para el desarrollo sostenible y fue planteado con el objetivo de reducir el déficit de vivienda y mejorar las condiciones de habitabilidad de la población colombiana (Álvarez, Freyle y Saucedo, 2014). Prioriza a las familias desplazadas, a las que conforman la Red Unidos y a los sectores más vulnerables. Además, un porcentaje de viviendas en cada proyecto será destinado a los hogares afectados por los desastres naturales o que habiten en zonas de alto riesgo no mitigable.
Se han construido 362 proyectos de vivienda gratuita, que se han adjudicado a cerca de 95.550 familias a las que se ha identificado en alguna de las situaciones mencionadas. Estos proyectos se encuentran ubicados en todos los departamentos del país; las ciudades en donde se encuentran los más grandes son Medellín, Barranquilla, Bogotá, Tunja, Manizales, Florencia, Cali, Jamundí, Cartagena, Cúcuta, Montería, Pasto, Quibdó, Montería, Pereira, Dosquebradas, Popayán, Neiva, Santa Marta, Valledupar, Villavicencio, Soacha, Barrancabermeja, Bucaramanga y Sincelejo.
Estas soluciones habitacionales para las familias más pobres has sido sujeto de diferentes tipos de análisis desde lo urbanísticos, lo psicosocial y lo económico. Sin embargo aún son muy escasos los que están disponibles.
El tipo de metodología empleado en el análisis de la información de este trabajo es novedoso, puesto que no se encuentran estudios de proyectos de vivienda que la empleen. Desde el punto de vista arquitectónico y social, Bedoya (2011) plantea la necesidad de construir viviendas de interés social sostenibles que sean de bajo costo, alta calidad ambiental, energéticamente eficientes, con ecomateriales, espacios ergonómicos y acceso a servicios de la ciudad (políticos, administrativos y educativos, entre otros). Solo así se garantiza un ambiente construido sostenible, capaz de combinar el desarrollo económico con las dimensiones ambiental y social, para lograr comunidades menos vulnerables a fenómenos de violencia provocados por el hacinamiento y también que se minimicen los egresos de sus habitantes a causa del consumo energético y de agua.
Otro aspecto que se ha evaluado en este tipo de proyectos es la accesibilidad a los servicios. En Girardot, en el proyecto Valle del Sol, se entregaron 608 apartamentos, en el marco del programa de 100.000 viviendas. En él se analizaron el entorno geográfico y las posibilidades de acceso a servicios como educación, salud y trabajo.
Nieto-Ñustes, Serna-Hernández, Granados-Perdomo y Nieves (2014) encontraron que esta población no contaba con el recurso inmediato para el sostenimiento de estas viviendas, ya que deberían pagar un rubro de administración propia de las viviendas tipo apartamento, servicios domiciliarios, transporte público, transporte de sus provisiones de alimentación, acceso a centros de salud y educativos en general.
Es evidente que la carga de una vivienda nueva sin equipamiento necesario y opciones de accesibilidad tan bajas supera la resiliencia económica. Persiste el conflicto familiar y entre vecinos, situación que resulta de aglutinar en apartamentos a familias de extrema pobreza para que desarrollen una relación de convivencia muy estrecha. Además, es muy común la monoparentalidad en los grupos familiares y la alta movilidad laboral, lo que se traduce en inestabilidad de los empleos y de la seguridad jurídica de los mismos. Por último, se determinó que el proyecto VIP Valle del Sol cumplía únicamente con 2 % de accesibilidad.
Carvajal, García y Cotte (2015) analizan los determinantes socioeconómicos y financieros que inciden en el acceso efectivo a vivienda en los hogares subsidiados para el caso colombiano. Su trabajo se hizo mediante la estimación de modelos probabilísticos, con una muestra de 612 hogares que, durante el período 2009-2012, participaron en el proceso de obtención de una vivienda de interés prioritario. Los resultados de los modelos estimados muestran que las familias con ingresos adecuados y capacidad de ahorro tenían mayor probabilidad de acceder a vivienda de interés prioritario, mientras aquellas con mayor número de miembros, más edad y elevados pagos en el arriendo tenían menor probabilidad.
Los principales hallazgos manifiestan la importancia del diseño de estrategias y políticas públicas que favorezcan la igualdad en la distribución del ingreso y reduzcan la pobreza, factores clave para impulsar el crecimiento y el desarrollo económico. Como recomendación de política de vivienda, se propone mejorar las instancias de fomento del ahorro para vivienda.
En todos los proyectos de vivienda de interés prioritario en el país, el Ministerio del Trabajo, junto con el Departamento para la Prosperidad Social (DPS), el Programa de Naciones Unidas para el Desarrollo (PNUD), la Red de observatorios regionales de mercado de trabajo (Red Ormet) y algunas instituciones de orden local y nacional, adelantaron en 2014 cerca de 34 revisiones sociolaborales1 para proponer estrategias de vinculación laboral y de inclusión productiva, en cada uno de los proyectos.
Estas investigaciones se llevaron a cabo en Bogotá, Barranquilla, Soledad, Cali, Jamundí, Cartagena, Cúcuta, Dosquebradas, Pereira, Medellín, Montería, Pasto, Santa Marta, Cúcuta, Soacha y Valledupar y permitieron identificar oportunidades para la generación de ingresos en población beneficiada por viviendas gratuitas de interés prioritario.
Se hizo la caracterización socioeconómica de la población beneficiaria, así como la oferta de mano de obra (perfil ocupacional histórico, expectativas laborales y de capacitación). De otra parte, se detectaron unidades productivas que podrían ser dirigidas a los programas de emprendimiento y fortalecimiento de la microempresa existentes en el territorio y el riesgo de pérdida de la actividad económica o detrimento de ingresos de la población beneficiaria y sus determinantes. Se catalogaron nuevos potenciales hacia la generación de ingresos y sus determinantes y se estimaron necesidades en servicios e infraestructura. También se identificaron cambios geográficos de la población en cuanto a su ubicación anterior, localización de la actividad productiva, situación de los principales servicios y programas a los que accede.
Este documento se refiere a algunos casos del suroccidente colombiano, para conocer de cerca la dinámica de las economías populares implementadas en los más recientes proyectos de vivienda gratuita en el sector de Llano Verde (Cali), El Rodeo II (Jamundí) y Valle del Ortigal (Popayán), con el fin de implementar un conjunto de rutas de inclusión productiva que tuviera en cuenta las habilidades y destrezas de las personas que allí habitan y sus propuestas.
El texto se divide en siete partes: la primera es la introducción, que relaciona los antecedentes de la investigación, el marco teórico y los estudios aplicados frente a las economías populares. En la segunda se presenta la metodología del levantamiento de la información; la tercera contiene los resultados y se expone el análisis descriptivo y la estimación del modelo; enseguida se abre la discusión sobre algunos aspectos clave para avanzar en algunas opciones de rutas de vinculación laboral y autoempleo. Por último, se esbozan algunas conclusiones.
Metodología
La metodología de esta investigación es mixta. Es cuantitativa en la medida que utiliza datos de este tipo y se emplea el análisis estadístico como característica resaltante y es cualitativa en tanto se basa en el análisis subjetivo e individual; esto la hace una investigación interpretativa, referida a lo particular.
La investigación se nutrió de información primaria obtenida mediante un formulario que se diligenció en todos los proyectos de vivienda del país y talleres participativos con los líderes de los proyectos de vivienda.
El tipo de operación estadística fue un censo de las familias beneficiarias de vivienda gratuita en el sector de Llano Verde, El Rodeo II y Valle del Ortigal en el mes de septiembre de 2014. Las personas encuestadas en los tres escenarios sumaron 1.196 en Cali, 2.622 en Jamundí y 3.687 en Popayán. En los censos se indagó sobre varios aspectos, mediante módulos que recogían los aspectos generales del hogar, sus grados de educación, el comportamiento de la fuerza de trabajo, ocupaciones u oficios, intereses de capacitación y subsidios del Estado.
Para conocer más de cerca la problemática de las familias, se desarrollaron varios talleres participativos con la comunidad, que contaron con la presencia de actores clave y líderes comunitarios en las tres ciudades. Para finalizar, se entrevistó a los directores de las instituciones locales (DPS, Secretaría de Educación y Ministerio del Medio Ambiente, entre otras) que tuvieron incidencia en el impulso de programas económicos, sociales y productivos para la comunidad.
Se estimó un modelo econométrico multivariado por mínimos cuadrados ordinarios (MCO). Como no existe un modelo previo o teoría sobre el análisis realizado, se seleccionaron las variables explicativas con mayor correlación con la variable de ingresos y también aquellas que, por experiencia previa, se creyó que explicarían de alguna manera el comportamiento del ingreso de las familias.
En línea con Wooldrige (2010), los modelos econométricos suelen basarse en teorías, pero también en la percepción o intuición, lo que supone que no debe existir una teoría previa para utilizar la econometría: “Algunas veces, el modelado económico formal es el punto de partida del análisis empírico, pero es más común el empleo de teorías económicas menos formales o incluso apoyarse por completo en la intuición” (p. 3). Por tanto, el modelo aquí planteado es ateórico y partir de las correlaciones simples para su construcción no debe generar relaciones espurias (es decir, sin conexión lógica), ya que las variables consideradas provienen de los aspectos sociales, económicos y de contexto de los negocios manifestados por la comunidad de los municipios analizados.
Romero (2013) intentó determinar si la informalidad en Colombia dependía del desplazamiento forzado y construyó un modelo econométrico logístico cuyo objetivo fue capturar la probabilidad de que un individuo se encontrara ocupado en el sector informal; sus variables de control son edad, género, máximo grado educativo, migración por motivo laboral, parentesco con el jefe de hogar, estado civil, edad al cuadrado. El modelo que se construyó para este trabajo fue un reflejo de lo sugerido por Wooldrige (2010) y lo realizado por Romero (2013).
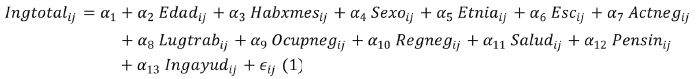
Para determinar los factores que inciden en los ingresos de las familias, se implementó un modelo multivariado estimado por mínimos cuadrados ordinarios (MCO). Su estructura es la siguiente:

Donde el subíndice i recoge el número de personas encuestadas y j corresponde a la ciudad en donde se ejecutó el proyecto de vivienda2.
La variable Ingtotal es el ingreso monetario total reportado por las personas, en pesos, por mes. La Edad muestra la edad del encuestado, medida en años y el número de meses de residencia en la vivienda corresponde a Habxmes. El género se recoge en una variable dicótoma denominada Sexo, la cual asume el valor de 1 si es hombre y 0 si es mujer, para cada ciudad. Para capturar la raza se construyó la variable Etnia, la cual asume el valor de 1 si es indígena en Cali y Jamundí y 1 para quienes no se reconocen de ninguna raza en Popayán; en los restantes casos se asume el valor de cero. Los años de escolaridad se expresan con la variable Esc, mientras la actividad del negocio Actneg es dicótoma y toma el valor de 1 si pertenece al sector comercial en Cali y Popayán y 1 si pertenece al sector servicios en Jamundí; para los restantes casos es igual a 0, en las todas las ciudades analizadas. El lugar de trabajo Lugtrab adquiere el valor de 1 si se trata de local fijo, oficina o fábrica y 0 en otro caso, para todas las ciudades.
Las personas ocupadas en el negocio se determinan por la variable Ocupneg y su registro legal, Regneg, por una variable binaria, donde 1 denota una respuesta positiva y 0 una negativa. Para dar cuenta de si las personas están afiliadas a un régimen de salud subsidiado (Sisbén), se construyó la variable Salud, la cual adopta el valor de 1 si es el caso y 0 de no serlo. La seguridad social se captura en la variable Pensión, la cual asume el valor de 1 si el encuestado la tiene y 0 en caso contrario.
Con el objetivo de conocer si la persona ha obtenido ingresos anuales mediante programas de subsidios por parte del Estado como Familias en acción, por ejemplo, la variable Ingayud muestra su valor en pesos para las tres ciudades.
Finalmente, Uij denota los términos aleatorios de error, es decir, recoge las variables que afectan los ingresos totales de las personas, pero que no han sido tenidos en cuenta de forma explícita. Como es costumbre, se asume que esta sigue una distribución normal y que es ruido blanco.
Resultados
Se obtuvo el perfil ocupacional de la población mayor de 18 años que habita en las viviendas de interés prioritario, que incluye desde la identificación de los oficios desempeñados —experiencia laboral y las expectativas de vinculación—, oficios demandados o deseados, necesidades de capacitación y características (disponibilidad de tiempo, jornada, etc.), lugar de trabajo, cambio reciente de la actividad económica, ingresos por la actividad productiva antes y después.
También se halló información de las unidades productivas activas: tipo (clasificación), características, ingresos antes y después del cambio; estimación de la población con riesgo de pérdida de la actividad económica o detrimento; estimación de la población con potencial de generación de ingresos o mejora de su actividad productiva e identificación de líneas con mayor potencial de apoyo a la generación de ingresos; además, se cuenta con un mapeo de la oferta académica local y otro sobre proyectos o iniciativas territoriales que favorezcan o incentiven la generación de ingresos de esta población.
Los resultados generales de las encuestas muestran que los beneficiarios de las viviendas gratuitas en las tres ciudades fueron ocupando las viviendas paulatinamente, así que en el momento de diligenciar los instrumentos, el tiempo que llevaban las familias habitando la vivienda variaba entre los proyectos. En Llano Verde (Cali), un 30,4 % de los hogares habitaba la vivienda desde hacía seis meses y un 23,7 %, doce meses o más; en El Rodeo (Jamundí), un 42 % llevaba de diez a once meses y en el Valle del Ortigal (Popayán), un 57 %, entre cinco y siete meses.
En cuanto a la edad de las personas beneficiarias, como se muestra en la parte (a) del Figura 1, en Llano Verde, el rango de edad 0-14 años fue el de mayor participación, seguido del rango 25-54 años. En Popayán y Jamundí, el rango 25-54 años tuvo una participación de 39 % y 45 % respectivamente.

(a) (b)
Fuente: elaboración propia con datos de la encuesta DPSLa parte (b) del Figura muestra que la mayoría de habitantes, en los tres proyectos, es mujer, con una participación de 56,9 % en Cali, 53,6 % en Jamundí y un 54 % en Popayán. Aunque los proyectos han sido entregados por diferentes razones3, se sabe que buena parte de las familias recibió la vivienda por ser víctima de desplazamiento forzado.

La gráfica anterior muestra que en los tres proyectos la población tenía bajos grados de escolaridad, pues en Cali y Popayán la mayoría de la población contaba con cinco años de estudio o menos; esto se puede explicar por la importante presencia de población infantil y juvenil en ambos proyectos. En el caso de Jamundí, en donde la participación de la población infantil y juvenil fue menor, un 50,7 % de los habitantes tenía entre cinco y once grados de escolaridad. Para todos los proyectos, la participación de personas con más de once años de formación era muy baja.

En cuanto a la etnia, la mayoría de la población beneficiaria de Valle del Ortigal no se incluyó en algún grupo étnico 89 %, a diferencia de los proyectos de Cali y Jamundí, en donde un 60 % y un 37 % respectivamente se reconoció como negro, mulato, afrocolombiano o afrodescendiente. En el caso de Jamundí, un 17 % de la población se catalogó como indígena.
En cuanto a las características de los negocios desarrollados por la población se han encontrado diferentes emprendimientos por parte de los hogares. Estos pequeños negocios son, en su mayoría, pequeñas unidades económicas de baja productividad que les permiten a las familias aumentar sus ingresos.

En los tres proyectos se encontró que los sectores donde más se desarrollan emprendimientos son el comercio, los servicios y la construcción.

Acerca del lugar en donde se desarrollan las actividades económicas, se encontró que para los tres proyectos el uso de local u oficina tuvo mayor participación, con 31,8 % en Cali, 24,5 % en Jamundí y 25,1 % en Popayán. En Llano Verde, un 18,4 % de las apuestas productivas o los negocios operaban en las viviendas; de ellos, 72,7 % lo hacían en las viviendas, un 15,4 % en otras viviendas y un 11,7 % a la intemperie. En los negocios de El Rodeo II, se halló que un 18,9 % funcionaba en el campo. Para el Valle del Ortigal, el campo, la vivienda y la intemperie representaron un 15, 9,7 y 9,6 % respectivamente.

El número de personas contratadas da cuenta del tipo de unidades económicas que se encontraban en los proyectos, pues un 97% de ellos no contrató ni un solo trabajador. Tan solo un 3 % contrató a uno o más trabajadores.

En el Valle del Ortigal hubo mayor porcentaje de negocios con algún tipo de registro 7,6 %, seguido de Llano Verde, con una participación de solo 2,8 % y de El Rodeo con un 1,3 %. Este factor y el número de empleados son tenidos en cuenta por la definición de informalidad manejada por el DANE; sin embargo, esta no es la única, ya que para el Ministerio de Trabajo la informalidad está asociada con el pago de seguridad social.

Como lo muestra el figura anterior, los habitantes de los tres proyectos prefieren no contestar cuando se les pregunta por su afiliación a la seguridad social. Entre las pocas personas que respondieron a este interrogante se encontró que el régimen subsidiado en salud tuvo una participación de 20 % en Cali, 23 % en Jamundí y 33 % en Popayán. Sobre la cotización en un fondo de pensiones, un 24 % de los encuestados en Cali manifestaron no estar afiliados a ninguno de ellos; en Jamundí, un 27,8 % y en Popayán, un 37 %.
— Resultados del modelo estocástico
Para cada proyecto de vivienda estudiado se estimó el mismo modelo multivariado para explicar el ingreso de las familias. Los resultados resumidos de los modelos se encuentran a continuación4.

Como se puede apreciar en la tabla anterior, en términos globales los tres modelos presentan buenos ajustes, ya que la medida de bondad de ajuste o R2 es elevada, sobre todo en el caso de la ciudad de Jamundí (99,6 %) y Cali (71,4 %) y de forma un poco distante se encuentra Popayán (51,7 %). Este resultado se refuerza con el p-valor de la prueba F, pues de manera conjunta este resultado indica robustez estadística, por lo que los modelos resultan confiables.
Se encuentra que la variable edad solo es estadísticamente significativa para Jamundí y Popayán, pero no para Cali; se puede concluir que por cada año adicional de vida del encuestado, sus ingresos se elevan en $402 en Jamundí y $321 en Popayán. El género es un factor significativo para las tres ciudades: ser hombre reporta siempre ingresos mayores, en particular en Jamundí, donde alcanza un diferencial de $96.500, mientras en Cali y Popayán es casi la mitad de tal cifra. Este resultado no es sorpresivo, porque esa es la tendencia regional y nacional, como lo señalan las investigaciones de Gómez et al. (2016) o Miller, Sarmiento y Gómez (2015), que explican que la baja inserción de las mujeres en el mercado laboral obedece a su papel reproductivo, la doble jornada laboral y la baja capacitación.
La escolaridad también es importante. Se encuentra que cuantos más años de estudio, mayores ingresos para los individuos en los tres escenarios analizados, lo que quizá se explica porque mayores niveles de escolaridad propician mayores niveles de productividad y, por ende, más ingresos percibidos; todo esto a la luz de la teoría del capital humano establecida por Mincer (1974). Respecto al lugar de trabajo, los sitios escogidos por los vendedores son correctos, toda vez que elevan sus ingresos en $48.000 en Cali y en más de 100.000 para las otras ciudades.
En cuanto a la seguridad social, los signos no son los esperados para Jamundí y Popayán, pero sí para Cali, en donde se elevan en alrededor de $65.000. La pensión eleva los recursos personales, ya que es un ingreso extra a las actividades comerciales desarrolladas, situación que se acentúa más en Popayán que en Cali, por ejemplo.
En el caso de los ingresos provenientes de ayudas o subsidios estatales (Ingayud), se observa que en Cali y Popayán, por cada peso en que se eleva dicha ayuda, los ingresos de las personas se incrementan en aproximadamente 95 centavos, pero en Jamundí, dicho incremento del ingreso es igual a $1, lo que demuestra que la mayoría de los ingresos de quienes se encuentran en el proyecto de El Rodeo II provienen de las ayudas del Estado.
Los pobladores de los proyectos de vivienda gratuita en Cali y Popayán tienen un grado de independencia mayor frente a las ayudas monetarias del Estado que Jamundí. Esto podría deberse a la menor cualificación de esta población, a menores oportunidades para acceder a recursos o a problemas de consumidor parásito (free rider) en la adopción de subsidios.
Para ahondar en el asunto, se estimaron los modelos sin los ingresos provenientes del Estado y los resultados5 muestran que, en Cali, el R2 cayó a 45,9 %, es decir, se redujo en un 26 %; para Popayán, a un 40,6 %, con lo que disminuyó en 11%; el caso crítico es Jamundí, el cual pasó de 99 a 1,2%, lo que reafirma que los habitantes viven o dependen de forma directa de los subsidios e ingresos del Estado. Desafortunadamente, sin más información no es posible esclarecer el porqué de este comportamiento6.
Acerca de las restantes variables del modelo, se puede establecer que para ninguna de las tres ciudades analizadas la antigüedad de residencia del individuo en la vivienda afecta los ingresos percibidos. En este mismo sentido, la etnia tampoco es relevante para determinarlos, lo cual podría explicarse porque las apuestas productivas están abiertas para cualquier persona sin importar su raza. El registro legal tampoco es relevante, puesto que las economías populares se caracterizan por ser informales.
Discusión
Entre los datos arrojados por el censo en los tres proyectos, llama la atención la participación de la población infantil y juvenil en los proyectos de Cali y Popayán, pues representa un 54 % de la población en el proyecto de la ciudad de Cali y un 71 % en el de Popayán.
Esto tiene una implicación directa en el tipo de atención que la institucionalidad debe lleva a la comunidad, por ejemplo, los hogares de bienestar para la primera infancia, el acceso a los colegios o a la salud; asimismo, se debe considerar que cuanto más joven sea la población, la razón de dependencia tiende a aumentar, es decir, el número de personas que no están en edad productiva frente a los miembros del hogar que generan ingresos. Si esta relación es mayor, crece la probabilidad de que no se puedan atender los gastos mínimos de todos los miembros del hogar, lo que puede ocasionar que los niños o los jóvenes abandonen sus colegios para trabajar y contribuir con los gastos del hogar, si se tiene en cuenta además que buena parte de las viviendas entregadas fueron a población en situación de desplazamiento y que las mujeres son mayoría en los tres proyectos, la situación se complejiza aún más; el fenómeno del desplazamiento forzado en Colombia afecta en especial a las mujeres, pues ellas deben asumir el rol de proveedoras porque están solas a cargo de sus hijos o porque a los hombres no les resulta fácil emplearse en la ciudad. Este aspecto, lejos de ser un factor de empoderamiento, se convierte en uno de mayor inequidad, porque les ofrecen empleos en condiciones precarias y mal remunerados; además, continúan con la carga de las labores de cuidado de la familia (Britto, 2010).
Otro aspecto que causa mayor vulnerabilidad es el grado de escolaridad, puesto que muy pocas personan superan los once años de estudio (no más de 2 %). Lo anterior deriva, entre otras cosas, en que los empleos a los que pueden acceder son precarios y de baja remuneración o en que las apuestas productivas no son manejadas o administradas de la mejor forma.
En los tres proyectos se halló que los sectores en los que más se desarrollan emprendimientos son el comercio, los servicios y la construcción. Esto puede tener consecuencias lesivas para la economía de dichas familias, ya que dichos sectores, en especial los dos primeros, son estacionales y volátiles y el último depende en extremo de los ciclos económicos. En Popayán y Jamundí también es importante la participación de los negocios en el sector agricultura y ganadería y en Cali, la participación del sector industria.
El tamaño de los negocios va de la mano con la legalidad, ya que no es rentable para un negocio de subsistencia pagar impuestos o registros; así, se puede decir que los emprendimientos generados por la población son negocios informales, pequeños y con poca capacidad de generar empleo.
Rutas de vinculación laboral y autoempleo
Frente a la vinculación laboral y el autoempleo se recomendó que las estrategias estuvieran direccionadas en cuatro vías:
Cualquier apuesta que se implemente deberá tener enfoque diferenciado para las comunidades campesinas e indígenas, para las comunidades afrodescendientes y por género, si es posible. En primer lugar, se deben crear organizaciones sociales y solidarias que agreguen valor a la producción. Estas oportunidades se complementarían con capacitación. En segundo lugar, se requiere fortalecer el asociativismo, las redes y circuitos locales y regionales. En tercer lugar, es preciso iniciar procesos generación de una cultura hacia la conversión organizacional con solidaridad, articulados con escenarios de nuevos mercados locales, especializados y agroecológicos con enfoque diferencial.
Luego se deberá identificar métodos, tecnologías locales y términos necesarios para la agregación justa y equitativa de valor en todos los eslabones productivos, que reconozcan y transfieran los saberes tradicionales. De manera paralela, es menester avanzar en alianzas, asociaciones y redes productivas para la mejora de las condiciones de vida de las familias en cada uno de los eslabones, en especial para aquellos que requieren reducir costos de producción y encontrar nuevos mercados.
También se debe iniciar o continuar con procesos de capacitación relacionados con la agro-transformación en los sectores productivos promisorios (alimentos, sobre todo), para los cuales se tenga el mercado asegurado. Esto, con el fin de que la agregación de valor sea en lo local y que estos valores se queden en la comunidad.
De manera complementaria, deben considerarse los componentes productivos y agroindustriales; desarrollo organizativo; mercado y comercialización; soberanía alimentaria; diversificación de ingresos y la banca descalza solidaria para la supervivencia en el territorio, de acuerdo con el sector en el que lo precisen las familias beneficiadas de los tres proyectos. La banca descalza corresponde a la institución financiera que asigna recursos monetarios a actividades de grupos locales que no tienen acceso a financiamiento de ninguna otra institución bancaria, ya sea pública o privada.
Asociativismo estratégico: buscar alianzas con entidades cercanas al entorno, con el fin de solicitarles apoyo económico o en especie para llevar a cabo las iniciativas de negocio por medio de sus planes de “responsabilidad empresarial”.
Banco de alimentos: crear un banco de alimentos o ampliar el ya existente, buscar los socios que le aporten y, a partir de allí, distribuir a las familias beneficiadas con vivienda gratuita en Cali, Jamundí y Popayán.
Ventana de donaciones: mediante una fundación para las familias de los proyectos de vivienda gratuita en cada ciudad, es necesario gestionar y montar una página web que permita promocionar y visibilizar las labores y buenas prácticas de las familias organizadas en las zonas y recibir donaciones de todas partes del mundo (instituciones y empresas con fines altruistas), para apoyar iniciativas locales que se lleven a cabo desde las familias.
La promoción de jóvenes: se pretende contribuir a resolver el mínimo de subsistencia —incluso para los jóvenes y personas en edad de trabajar— con iniciativas laborales apoyadas por el Gobierno y aprovechar los programas gubernamentales de educación y trabajo para mejorar las condiciones de vida de las familias.
La ampliación de horizontes: tiene en cuenta lo relacionado con la recreación y el deporte, de manera que no solo se ejecuten actividades para la subsistencia, sino que también se ejerza el derecho a los tiempos lúdicos, mediante una oferta personas de todas las edades.
Esta vía pretende iniciar ideas de negocio que tengan el mercadeo y la comercialización asegurados; por esto, previo a este proceso, se requiere un análisis de mercado sobre las ideas de negocio propuestas y la definición de las más viables en términos de mercadeo.
Conclusiones
El objetivo primario del proyecto de vivienda gratuita para las tres ciudades analizadas se ha cumplido, pero otros propósitos no. Si bien la mayoría de las viviendas ha sido empleada para habitarla, muchas familias han decidido utilizarlas para lucrarse de alguna manera. Se han convertido en tiendas de barrio o casas de alquiler y los espacios comunes como las zonas verdes o parqueaderos son utilizados para apuestas productivas familiares. Esto obedece a que los proyectos de inclusión productiva que acompañan al de vivienda gratuita no han tenido el impacto esperado, dada la discrepancia entre las habilidades y destrezas de los beneficiarios —en buena parte, provenientes del campo— y las habilidades que se requieren para trabajar en las ciudades.
En estos proyectos, no se presentan economías populares en estricto sentido, ya que los negocios de las familias allí establecidas compiten entre ellas en busca de una fuente de ingreso monetario diario de subsistencia. Ello va en contravía de la solidaridad para generar acciones colectivas que mejoren la calidad de vida, con respeto por el ambiente y el entorno inmediato, aspectos clave en las economías populares. Lo que se observa son negocios de tipo informal, cuyos dueños reúnen las características ya conocidas: bajos grados de escolaridad, edades avanzadas y escasa productividad, entre otras.
Existe una desarticulación entre las instituciones y los programas adelantados en las zonas, por una parte y las necesidades reales de la comunidad, por otra. Los proyectos deben tener mayor seguimiento y control por los organismos encargados para que cumpla sus objetivos, ya que un número considerable de familias ha hecho su voluntad —como en el caso del uso de las viviendas para fines lucrativos— y otras están a expensas de las contribuciones otorgadas por el Estado. Prueba de ello es la alta dependencia de los subsidios, sobre todo en Jamundí y Popayán, pues por cada peso que ingresa al hogar, más de 90 centavos provienen del Estado. Esto se debe a que las personas residentes no desean salir de la base de datos al obtener un empleo, porque perderían muchos beneficios otorgados por el Gobierno.
Las capacitaciones y el apoyo financiero para que las familias obtengan un ingreso deben tener en cuenta el perfil promedio del beneficiario, desde la oferta y también desde la demanda. Las estrategias de generación de ingresos no solo deben estar direccionadas hacia la formalidad y de manera individual, debido a que no es fácil mantenerse al día con la reglamentación actual. Sin embargo, podrían pensarse propuestas de desarrollo comunitario en las que se vinculen varias familias y que se contraten por prestación de servicios. Para esto, se precisan estrategias eficientes, eficaces y efectivas, es decir, que no tengan un alto costo y que sean posibles y aceptables para que se beneficie gran parte de la población residente.
Por último, el modelo estocástico muestra que el sexo y la escolaridad son clave en la generación de ingresos de los hogares de los tres proyectos, pero refuerzan la necesidad de incluir en las iniciativas un enfoque diferencial de género que otorgue a la mujer una mejor participación en el mercado laboral.
Agradecimientos
Este documento se apoya en la información recogida por el informe denominado “Perfil socioeconómico para la población beneficiaria de viviendas gratuitas en Cali, Jamundí y Popayán” realizado por el Observatorio Regional del Mercado de Trabajo (ORMET Cauca) y financiado por el Ministerio de Trabajo, Departamento de la Prosperidad Social DPS y el Programa de Naciones Unidas para el Desarrollo PNUD, ECONOMÍAS POPULARES E INCLUSIÓN PRODUCTIVA PARA BENEFICIARIOS CON VIVIENDA GRATUITA EN CALI, JAMUNDÍ Y POPAYÁN. Únicamente el acápite 4, es una versión ajustada del texto original. Clasificación JEL: D78, H59, I31, I38, R51
Bibliografía
Álvarez, L., Freyle, S. y Saucedo, M. (2014). Análisis de la ejecución del programa Locomotora de vivienda entre los años 2010-2013 propuesto por el presidente de Colombia, Juan Manuel Santos. (Tesis de Maestría). Recuperada de Repositorio institucional Eafit, Bogotá, Colombia. (Número de acceso 338.9861CDA473A).
Bedoya, C. M. (2011). Viviendas de interés social y prioritario sostenibles en Colombia —VISS y VIPS—. Revista Internacional de Sostenibilidad, Tecnología y Humanismo, (6), 27-36.
Britto, D. (2010) El desplazamiento forzado tiene rostro de mujer. La manzana de la discordia, 5(1), 65-78.
Carvajal, P., García, J. y Cotte, A. (2015). Determinantes socioeconómicos y financieros del acceso a vivienda de interés prioritario: un estudio para el caso colombiano durante el período 2009-2012. Revista Investigación Operacional, 36(2), 169-177.
Coraggio, J. (2014). La economía social y solidaria y el papel de la economía popular en la estructura económica. En Instituto Nacional de Economía Popular y Solidaria (ed.), La economía popular y solidaria el ser humano sobre el capital 2007-2013 (pp. 21-46). Quito: Instituto Nacional de Economía Popular y Solidaria.
Departamento Administrativo Nacional de Estadística [DANE]. (2015). Pobreza monetaria y multidimensional en Colombia. Boletín técnico. Recuperado de http://www.dane.gov.co/files/investigaciones/condiciones_vida/pobreza/bol_pobreza_14_.pdf
Farah, I. y Vasapollo, L. (coords.). (2011). Vivir bien: ¿Paradigma no capitalista?. La Paz: Plural Editores.
Gómez, A. M., Sarmiento, J. I., Hoyos, F. y Fajardo, L. (2016). Análisis de la dinámica del mercado laboral en Popayán-Colombia. Económicas CUC, 37(1), 135-176.
Hurtado, O. (2013). Caracterización socioeconómica de la economía popular en la plaza de mercado del barrio “La Esmeralda” en la ciudad de Popayán, departamento del Cauca. (Tesis de pregrado). Universidad del Cauca, Popayán, Colombia.
Miller, A., Sarmiento, J. I. y Gómez, A.M. (2015). Participación laboral de las mujeres en el municipio de Popayán (Colombia). Revista Facultad de Ciencias Económicas: Investigación y Reflexión, 23(1), 23-51.
Mincer, J. (1974). Schooling, Experience, and Earnings. Nueva York: National Bureau of Economic Research.
Montoya, A. (2012). La nueva economía popular: ¿Una utopía realizable? Realidad, (131), 7-21.
Montoya, A. (1993). La nueva economía popular: una aproximación empírica. San Salvador: UCA editores.
Nieto-Ñustes, L. A., Serna-Hernández, L. F., Granados-Perdomo, E. E. y Nieves, E. P. (2014). Impacto psicosocial y económico de la vivienda gratuita en Girardot, Colombia. Memorias, 12(22), 47-56. https://doi.org/10.16925/me.v12i22.869
Portes, A. y Haller, W. (2004). La economía informal. En Cepal (ed.), Políticas sociales: vol. 100. Santiago: Cepal.
Romero, A. (2013). Informalidad laboral en los centros urbanos de Colombia: ¿Depende del desplazamiento forzado?. Documento de trabajo No. 011052, Universidad Javeriana, Bogotá.
Sarria, A. y Tiribia, L. (2004). Economía popular. En A. Cattani (org.), La otra economía (pp. 173-186). Porto Alegre: Veraz Ltda.
Tokman, V. (1987a). El imperativo de actuar. El sector informal hoy. Nueva Sociedad, 90, 70-86.
Tokman, V. (1987b). El sector informal hoy: quince años después. El trimestre económico, 54(215(3)), 513-536.
Wooldrige, J. (2010). Introducción a la econometría: un enfoque moderno. (4a ed.). Ciudad de México: Cengage Learning Editores.
Notas
Notas de autor
aAutor de correspondencia. Correo electrónico: amgomez@unicauca.edu.co