Received: 04 November 2018
Revised: 28 December 2018
Accepted: 08 January 2019
Abstract:
ABSTRACT
Through the structural decomposition developed by Blanchard and Quah (1989), this paper studies the effects of the impulses associated with the Taylor’s rule of the United States and the supply and demand in Puerto Rico on the dynamics of the unemployment and inflation on the Island. According to the results, in the short run, unemployment responds mostly to the unanticipated shocks of the monetary policy rule in the United States and the supply shocks. Inflation also responds to this rule and the impulses associated with aggregate demand. In the long run, unemployment is declining, and inflation is accelerating mainly in the face of an unanticipated expansion of U.S. monetary policy caused by the establishment of the Taylor rule.
Keywords: Structural decomposition, inflation, unemployment, Taylor rule, economic fluctuations, regional effects of monetary policy.
Resumen:
RESUMEN
Este trabajo estudia los efectos de los impulsos asociados con la regla de Taylor de Estados Unidos y la oferta y demanda local en Puerto Rico sobre la dinámica de las tasas de desempleo e inflación en la Isla, a través de la descomposición estructural desarrollada por Blanchard y Quah (1989). Según los resultados, en el corto plazo, el desempleo responde principalmente a los impulsos imprevistos de la regla de política monetaria en Estados Unidos y de la oferta. La inflación también responde a esta regla y a los impulsos asociados con la demanda agregada. A largo plazo, el desempleo disminuye y la inflación se acelera, ante una expansión imprevista de la política monetaria de Estados Unidos causada por el establecimiento de la regla de Taylor.
Palabras clave: Descomposición estructural, inflación, desempleo, regla de Taylor, fluctuaciones económicas, efectos regionales de la política monetaria.
Introduction
One of the most discussed macroeconomic issues is based on the real effects of monetary policy and the use of monetary rules to achieve a certain macroeconomic objective. The most well-known and applied rule of this kind is the one developed by Taylor (1993) for the United States (Stock & Watson, 2001).
According to economic theory, Keynesian schools are in favor of short-run demand shocks, given the existence of rigidities in the system (Karras, 1993); however, they point out that, in the long run, supply shocks prevail due to price adjustments. On the other hand, there are neoclassical postures that are in favor of supply shocks given the existence of price and wage flexibility (Lucas, 1972; Misas & López-Enciso, 1999; Mio, 2002; Ludlow Wiechers & León León, 2008; Tapia & Ramos, 2012; Toledo, 2014).
Rodríguez and Toledo (2007) indicate that an additional aspect to this discussion occurs in the case of dollarized small and open economies. In this case it is essential to consider the effects of foreign policies simultaneously with the local policies shocks. On the other hand, when analyzing the literature on the regional effects of monetary policy, it is worth mentioning the paper of Carlino and Delfina (1998). These authors point out that some of the reasons why monetary policy may have different effects in different regions are: the mix of industries sensitive to interest rates, regional differences in the combination of large and small companies, and the regional difference in the ability of banks to change their balance sheets. Nachane, Ray, and Ghosh (2001) found similar results indicating that there are different reasons why there are different responses to monetary policy in the United States: (1) different interests among the states in industries sensitive to monetary policy; (2) differences in the mix of large and small companies between the states; and (3) the difference in financial depth between the states.
Studying the monetary policy in countries whose economic policies are integrated, it is worth mentioning the work of Arnold (2001). He specifies that in the European Union, monetary policy is transmitted differently between countries and that the industrial composition plays a significant role in its real effects. The larger the economy of the country, the higher the diversification of its national assets and liabilities. The above minimizes the risk of destabilizing the economy due to an external monetary policy shock; nevertheless, there are particular cases, such as Puerto Rico.
The monetary sector of Puerto Rico is tied to that of the United States and uses the dollar as currency, and therefore Puerto Rico could not monetize its debts; its stock of money depends on the economic policy of the United States (Rodríguez, 2002; Rodríguez, 2005; Rodríguez & Ortiz, 2007). It maintains a direct link with the Federal Reserve Bank as it appears as part of the second district of New York (Rodríguez, 2017); therefore, the three traditional instruments of monetary policy—open market operations, discount interest rate and the required reserve ratio—can have effects on the economy of Puerto Rico (Rodríguez & Toledo, 2007; Rodríguez, 2017).
Under these premises, Rodríguez & Toledo (2007) studied the effects of this monetary policy rule of the United States on the economy of Puerto Rico. According to them, the actions of the monetary policy of the United States precede and have significant effects on prices and employment in Puerto Rico. The direct short-term impact is on prices and the long-term on employment; however, according to Blanchard and Quah (1989), to analyze the real effects of aggregate shocks, certain restrictions must be imposed, with the objective that multivariate relationships, in a dynamic context, have greater theoretical significance.
For this paper, we will analyze the real simultaneous effects of the impulses associated with the Taylor rule of the United States, and the aggregate supply and demand at the local level with the Blanchard-Quah structural decomposition. For this, the restrictions start from the assumptions that the inflation and unemployment shocks of Puerto Rico have no short or long-term effects on the monetary policy rule of the United States, and the local demand shocks do not have long-run effects in the unemployment and the monetary policy rule of the United States (Toledo, 1992; Toledo, 2000; Toledo, 2002). Consequently, the supply shocks have long-term effects on unemployment and inflation. The impulses in unemployment are associated with the aggregate supply, while the inflation impulses are associated with the aggregate demand. That is, the model to be presented is composed of the variable that represents the Taylor rule of the United States, and the unemployment and inflation rates of Puerto Rico.
The next part of this paper presents some relevant theoretical aspects of the fluctuations of the economy and aggregate impulses. The third section discusses the particularities of the economic system of Puerto Rico and the theoretical proposal that will give foundation to the relations of the variables and the restrictions to impose within the structural decomposition developed by Blanchard and Quah (1989). The last two sections present the results and conclusions of the paper.
Relevant Aspects of the Economic System in Puerto Rico: Literature Review
The economic system in Puerto Rico has some essential characteristics that must be taken into account. First of all, the existing relationship between Puerto Rico and the United States has significantly influenced production processes due to the role played by the government as a promoter of economic activity and the results of the implementation of pre-established economic proposals (Luciano Montalvo, 2005; Rodríguez, 2008).
The Constitution of the Commonwealth of Puerto Rico, created in the mid-twentieth century, establishes the guidelines for economic policy on the island, especially fiscal policy. It sets limits on the government debt: that the budget must balance at the end of each fiscal year, and if any fiscal crisis occurs, the bondholders have absolute priority (Constitución del Estado Libre Asociado, 1947).
From 1947 until 1973, the economic policy in Puerto Rico was effective, since it was able to attract productive capital; nonetheless, the economic system became more sensitive to external economic cycles (Rodríguez, 2008), especially those of the United States. Also, factors on the supply side contributed, significantly, to the loss of competition, particularly in labor-intensive industries where the increase in real wages exceeds the productivity benefits (Rodríguez, 2006). These problems, together with those of the world economy, in the middle of the seventies, caused Puerto Rico to enter into a process of economic stagnation. To solve the problems of the economy of Puerto Rico, in 1976, Section 936 of the Internal Revenue Code of the United States was created. The central role of this Section was the attraction of foreign capital, especially of US companies, through tax exemptions on their profits, the use of common currency, and political stability.
For the year 1996, Section 936 was repealed since many of these foreign companies laundered money by repatriating their profits on the island and not paying taxes to the Federal Government of the United States. Despite this, from 1996 on, these companies were given a term of ten years, so that they continue to enjoy these benefits, which ran out in the year 2006.
Along with the repeal of this Section and the problems in the global economy, indebtedness and unsuccessful administrative decisions caused the economy to enter a process of recession, which has been very difficult to leave. Additionally, there are other aspects concerning how the economic system was constituted, which make it even more difficult to emerge from this recession process. At present, 96% of commercial relations in Puerto Rico are with the United States (Rodríguez, 2008). Most of the final and intermediate goods that the island imports come from this country.[1] Along with the high level of federal transfers,[2] this has generated a high level of economic dependence and has also had adverse effects on the domestic economy by weakening the links between the productive sectors (Rodríguez, 2004).
Additionally, the administrative inefficiency of the government has led people to demand a higher level of productivity in government spending and transfers, due to the misuse of the available resources (Rodríguez, 2006). The excessive growth of public debt occurring on the island has created higher difficulty for the government to meet the future basic needs of the population since its priority is the allocation of public funds (Rodríguez, 2006).
Despite these problems, the discussion on local economic policy has remained virtually the same. Fiscal policy is always looking for ways to attract external capital and the conditions of the tax and bond systems and the constitutional terms have not changed.
According to theInforme al Gobernador del comité para el estudio de las finanzas en Puerto Rico (1976)(also known as Tobin report) the dollar began to be used as currency on the island with the arrival of the United States, in 1898. This allowed the free flow of capital, labor, goods, and services between the two economies (Luciano Montalvo, 2005; Rodríguez, 2008). Two results of these actions are that Puerto Rico cannot monetize its debts and its stock of money depends on the monetary policy of the United States (Rodríguez, 2002; Rodríguez, 2005; Rodríguez & Ortiz, 2007). In monetary terms, Puerto Rico maintains a direct link with the Federal Reserve Bank as it appears as part of the second district of New York. This Bank can have effects on the economy of Puerto Rico through the three traditional instruments of monetary policy: open market operations, discount interest rate, and the required reserve rate, which does not happen in most dollarized economies (Toledo, 2000; Toledo, 2002; Rodríguez & Toledo, 2007).
Given the previous discussion, economic policymakers in Puerto Rico start from the premise that the island’s economy has a limited fiscal policy, which should be devoted, mainly, to encourage the attraction of foreign capital. Besides being small and open, the island is fully dollarized, with its peculiarities. Also, most of its international trade is with the United States. In this context, it can be considered a price-taking economy in which the federal funds rate plays the role of the global interest rate.
According to Rodríguez and Toledo (2007), by way of synthesis, the main characteristics of the economy of Puerto Rico are: it is an autonomous territory that belongs to the United States; it uses the United States dollar as currency and is subject to the banking regulations of the United States; the monetary policy of the United States determines the economic conditions of the island; there is free trade between the economies of the United States and the island; it has high unemployment rates; since the 1950s the lowest annual average rate has been 10%; it has had low rates of economic growth since the 1970s; there is a high concentration of U.S. companies, mainly in the manufacturing and commerce sectors.
Theoretical Model and Methodology
The macroeconomic model for this paper considers two economies: the economy “I” (which could represent the economy of Puerto Rico) and the economy “X” (which could represent the economy of the United States). The following assumptions of the model are based mainly on the papers presented by Rodríguez and Toledo (2007) and Rodríguez (2011), but under the grounds of the government “I” social loss function:
1. “I” uses the currency of “X”;
2. The banking system of “I” is integrated to the banking system of “X”;
3. “X” unilaterally establishes the regulations in the banking system of “I”;
4. Country “I” doesn’t have the monetary tools to stabilize its economy;
5. The measures of the monetary policies of “X” are transmitted to the economy of country “I”;
6. The Central Bank of country “X” can affect the economy of “I” through the three traditional monetary policy instruments: open market operations, discount interest rate, and the required reserve rate;
7. The agents of the country “I” form their expectations according to the hypothesis of rational expectations;
8. Any inflation other than zero (or any deviation from the level of full employment) is considered a social welfare loss;
9. The government has the tools to manage unemployment levels in order to fulfill political objectives, such as winning elections.
According to the previous points, the following equations are used to describe the economy of the country I:
(1)
(2)
(3)
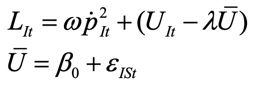
(4)Where (1) is the government’s loss function: “ω” (> 0) is the weight that the government gives to inflation “
” compared to the weight that given to unemployment “
.” On the other hand, “
” is the full unemployment rate which is affected only by supply shocks “
” and their determinants “
,” “
” is a parameter between zero and one that implies that the government considers a transitory reduction of “
,” for example, winning the election[3] and “
” is the desired level of unemployment.
On the other hand, equation (2) is the Phillip’s curve with expectations (derived from Lucas supply equation and Okun’s Law), “
” being a parameter that measures the effect of the unexpected part of inflation on the unemployment level. The third equation is a simple version of the stochastic quantitative equation of money expressed in growth rates with: “
” representing monetary growth, “
” is the change in the velocity of money, “
” is the real and growth rate of the economy and “
” are the demand shocks in country “I.” Equation (4) indicates that the money supply of “I” is a “τ” portion of “X.”
As regards country “X,” it is assumed that:
(5)
(6)In equation (5), “
” is the Taylor Rule for the United States. In this equation, monetary authorities determine the interest rate according to the behavior of economic growth “
” and inflation “
.” The dynamic behavior of inflation in country X, described in equation (6), depends mainly on monetary growth, but unexpected changes in supply and aggregate demand “
” introduce some deviations.
Starting from assumptions such as the constant velocity of money, and that economic activity depends exclusively on its production function, the reduced form of this model implies that fluctuations in unemployment and inflation depend on the impulses of supply and demand of “I” and demand impulses of “X” (Toledo, 2014):
(7)
(8)Where, “
” represents the impulses of “X,” which can be transmitted through its monetary rule. A dynamic version of the relationship in the reduced form can be:
(9)Where "
" represents the first difference of the unemployment rate and is the first difference for the variable that represents the Taylor rule,
are elements that describe the lags operator of “L,” where “P” is the order of lags. From this system, the Vector Moving Average representation can be obtained (Misas & López-Enciso, 1999; Toledo, 2014):
(10)The matrix
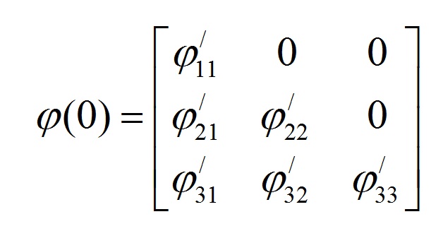
has the lags operator polynomials. For exposure purpose evaluating
for one lag, the long-run multipliers matrix, when restricting that all the elements of the main diagonal are equal to zero, is represented as:
(11)This identification scheme, initially proposed by Blanchard and Quah (1989), points out that demand impulses affects prices but not economic activity in the long run (Enders, 1995; Enders, 2003). In this paper, the restrictions imply that: none of the unexpected changes in Puerto Rico’s variables affects the United States monetary policy rule. The economic policy of the United States has short and long-term effects on unemployment and inflation. Inflation is also affected, in the short and long run, by local supply and demand impulses. For robustness purposes, a second identification based on contemporary relations must be carried out according to the following matrix:
(12)According to this matrix, “
” it is the most exogenous variable, so it is not affected contemporary by the other variables. Granger non-causality tests prove the relevance of these imposed restriction.
Results
Preliminary Analysis of the Data and Estimators
As evidenced in the previous section, the model to be estimated is a VAR system consists of three variables; “
” represent the Taylor’s rule, as presented on the website of the Federal Reserve Bank of Saint Louis “
” is the unemployment rate, and “ ” is the inflation rate of Puerto Rico. The series are quarterly and comprise the period from January 1976 to December 2010.
Figure 1 presents an initial analysis of the series. The series of unemployment and inflation show common trends in the long run. In the short run, it shows some oscillations; however, concerning the Taylor Rule of the United States, it can be observed that the cyclical movements of this variable resemble those of inflation, although in some periods their cyclical oscillations precede the movements of inflation, and move contrary to those of the unemployment rate. Meanwhile, in the long run, it shows a similar trend to local variables.
[Figure 1.]Figure 1. Taylor rule for the United States and Puerto Rico inflation and unemployment (1976-2010). Based on data from “Taylor rule data,” Federal Reserve Bank of Saint Louis, 2018; and “Series de empleo y desempleo,” Departamento del Trabajo y Recursos Humanos de Puerto Rico, 2018.
The unit root tests presented in Table 1 indicates that both the unemployment rate and the variables that represents the Taylor rule are of order I (1); nevertheless, even though the ADF test for inflation indicates that it is I (1), both the PP and the ERS (1996) tests suggests that the inflation series is I (0); therefore, it was concluded that the series is I (0). The similarity observed in the order of integration of the series can show the possibility of a stable relationship over time, which suggests that it exists in the long run (Fuller, 1976; Dickey & Fuller, 1981; Elder & Kennedy, 2001). These shocks can permanently alter the level of the variables and suggest the need to use cointegrated series to obtain unbiased and consistent estimators and solve the problem of spurious regressions (Elder & Kennedy, 2001). The Akaike, Schwartz, and Bayesian information criteria determined the number of lags.

Table 2 indicates the existence of a stable, long-term relationship between the variables. Table 3 presents the Johansen procedure trace test. According to this, there is at least one cointegrated vector (Johansen, 1988; Rao, 1994). The presence of at least one cointegrated vector implies the existence of at least one long-term solution. Linear combinations that represent linearly independent vectors can also be a possible solution. As a consequence of the property of cointegration, the least squares estimators are unbiased, and there is no problem with spurious regressions.

By normalizing the equation obtained by the Johansen procedure as a long-run solution to the unemployment rate, Taylor’s rule, and inflation rate, we get:
(13)This cointegration relationship implies that the deviations may be represented as a stationary series and tend to become more improbable as the magnitude of the disequilibrium increases. It expresses the mechanisms and magnitudes of economic agents adjustments as they force the different variables to return to equilibrium in the presence of a disequilibrium (Johansen, 1988). The coefficients of this cointegration vector express the relationships used by economic agents to maintain the considered variables in the equilibrium trajectory.
According to the weak exogeneity tests, for the Taylor rule, this hypothesis is accepted for this variable and the unemployment rate, but rejected for the inflation rate. This occurs in spite of the fact that the values of the alphas for the co-integration vectors, synthesized in Table 5, are very close to zero. This indicates that all the variables contain relevant information to explain the behavior of the system. Given the low value of the alpha coefficients, the exclusion of any of the variables considered may lead to obtaining invalid statistical inferences and the loss of relevant information to get an appropriate estimate of the information-generating process.
To explore the relationships between the variables more deeply, the Granger non-causality test presented in Table 6 points out that forecasts can be obtained in the evolution of the movements of the inflation rate and unemployment in Puerto Rico.
Structural Decomposition Analysis
According to table 7, which presents the cumulative response of the variable "i" due to an unexpected change in the variable “j,” unemployment decreases and inflation accelerate by an unexpected expansion of the Taylor rule. The signs are the expected of this type of reaction. It should be noted, nonetheless, that the response of “
,” given these unexpected changes in the Taylor rule, is higher than those of “
.”
On the other hand, the cumulative response
due to disturbances in the aggregate supply is positive and null for those of demand due by the restrictions imposed in the structural decomposition. The reaction of “
” to the disturbances of the aggregate supply is negative and almost null, and positive to demand shocks, as expected.
To evaluate, in the short run, the response of the system variables to the impulses considered, the next two graphs present the impulse response functions for both unemployment and inflation in Puerto Rico. The three types of impulses are capable of producing oscillations in unemployment in the short run, but in the long run, they vanish, since the first differences of the variables are stationary. For inflation, the demand shocks are those that generate greater oscillations and supply, and external oscillations are small. The effects of demand shocks are positive until they reach zero. The unexpected supply impulses, at the beginning of the forecast horizon, are negative, and then it keeps oscillating mostly at negative levels but very close to zero. External shocks generate an initial negative effect, but quickly return to positive levels and remain in an oscillation pattern until the impact of the impulse disappears. These types of impulses are consistent with fundamental macroeconomic models; therefore, it can be concluded that the restrictions imposed on the structural decomposition identified the three types of impulses well.
According to the results of the variance decomposition, supply shocks affect over 60% and external shocks over 35% of the deviations of unemployment in its long-run trend. This means that this model depends crucially on changes in productivity and the way in which the United States structures the monetary policy rule and other factors that affect the supply side of the economy. Aggregate demand seems to have little effect on unemployment.
On the other hand, the dynamics of inflation seems to be determined by the disturbances in demand and the Taylor rule. Both are approximately 97%, with demand shocks exceeding 70% in most of the period and 97% in the first. After a period, supply impulses are only about 3%.
Conclusions
According to the results of this paper, it can be inferred that, in the long run, and at the local level, supply impulses explain mainly the unemployment oscillations. On the other hand, demand impulses largely determine the movements of inflation; however, the external impulses generated by the Taylor rule affect both variables; therefore, it can significantly affect the behavior of supply and demand in Puerto Rico.
In local terms, these results are compatible with the theory of real economic cycles, which state that real forces, such as productivity, explain the fluctuations of real variables such as unemployment. In this case, it is also worth mentioning that supply-side limitations, such as technology and energy, can affect the dynamics of unemployment in Puerto Rico.
The results also suggest that the unemployment in industries sensitive to the Taylor rule and which have significant links with other industries make an unincorporated territory, such as Puerto Rico, more sensitive to the dynamics of external shocks.
In conclusion, it can be deduced that when the Taylor rule is used as an operational objective of monetary policy, the inflation and unemployment rates in Puerto Rico are significantly affected.
References
Arnold, I. J. M (2001). The regional effects of monetary policy in Europe. Journal of Economic Integration, 16(3), 399–420.
Blanchard, O. J., & Quah, D. (1989). The dynamic effects of aggregate and demand disturbances. The American Economic Review, 79(4), 655–673.
Carlino, G., & Defina, R. H. (1998). The differential regional effects of monetary policy. The Review of Economics and Statistics, 80(4), 572–587.
Constitución del Estado Libre Asociado de Puerto Rico [Const.]. (1947). Artículo VI [Título I] Retrieved from http://www.lexjuris.com/lexprcont.htm
Dickey, D. A., & Fuller, W. A. (1981). Likelihood ratio statistics for autoregressive time series with a unit root. Econometrica, 49(4), 427–431.
Elder, J., & Kennedy, P. E. (2001). Testing for unit roots: What should students be taught? The Journal of Economic Education, 32(2), 137–146.
Enders, W. (1995). Applied Econometrics Time Series. New York, NY: John Wiley & Sons.
Enders, W. (2003). RATS programming manual. Retrieved from http://www.time-series.net/yahoo_site_admin/assets/docs/RATS_Programming_Manual_W_Enders.38150422.pdf
Elliott, G., Rothenberg, T. J., & Stock, J. H. (1996). Efficient tests for an autoregressive unit root. Econometrica, 64(4), 813–836.
Fuller, W. A. (1976). Introduction to statistical time series. New York, NY: John Wiley & Sons.
Gobierno de Puerto Rico. (1976). Informe al Gobernador del comité para el estudio de las finanzas en Puerto Rico. Retrieved from http://www.bvirtual.ogp.pr.gov/ogp/Bvirtual/reogGubernamental/PDF/Informes%20y%20Estudios/1975-12.pdf
Johansen, S. (1988). Statistical analysis of cointegrating vectors. Journal of Economic Dynamics and Control, 12, 231–254.
Karras, G. (1993). Sources of U.S. macroeconomic fluctuations. Journal of Macroeconomics, 15(1), 47–68.
Lucas, R. E. (1972). Expectations and the neutrality of money. Journal of Economic Theory, 4(2), 103–124.
Luciano Montalvo, I. (2005). Dependencia de la economía de Puerto Rico: un análisis cuantatitavo y cualitativo de Insumo-Producto (1972-1987). (Tesis doctoral). Universidad Nacional Autónoma de México.
Ludlow Wiechers, J. A., & León León, J. (2008). Efectos de la política monetaria sobre los precios, la producción y el empleo: México, 1986-2005. Investigación Económica, 67(266), 95–134.
Maddala, G. S., & Kim, M. (2002). Unit roots, cointegration and structural change. New York, NY: Cambridge University Press.
Mio, H. (2002). Identifying aggregate demand and aggregate supply components of inflation rate: A structural vector autoregression analysis for Japan. Monetary and Economic Studies, 20(1), 33–56.
Misas, M. A., & López-Enciso, E. A. (1999). “El producto potencial en Colombia: una estimación bajo un VAR estructural.” Serie de Cuadernos de Investigación Centro de Estudios Monetarios Latinoamericanos (CEMLA), 1–36.
Nachane, D. M., Ray, P., & Ghosh, S. (2002). Does monetary policy have differential state-level effects? An empirical evaluation. Economic and Political Weekly, 37(47), 4723–4728.
Rao, B. (1994). Cointegration for the applied economist. London, United Kingdom: Palgrave Macmillan UK.
Rodríguez, C. A. (2002). Análisis de la economía de Puerto Rico con un modelo de vectores autorregresivos y cointegración. Revista de Ciencias Sociales, (11), 91–110.
Rodríguez, C. A. (2004). A P* model analysis of inflation in Puerto Rico. American Review of Political Economy, 2(2), 16–41.
Rodríguez, C. A. (2005). La estabilidad de la demanda real de dinero en Puerto Rico. Economics and Business Journal, 1(2), 39–56.
Rodríguez, C. A. (2006). The economic trajectory of Puerto Rico since WWII. Centro Journal, 17(2), 224–233.
Rodríguez, C. A. (2007). Efectos aceleradores reales de la política monetaria estadounidense sobre una economía pequeña, abierta y totalmente dolarizada: el caso de Puerto Rico. Revista de Ciencias Sociales, (16), 30–47.
Rodríguez, C. A. (2008). Evolución histórica, teoría económica y sistema deseable: aspectos fundamentales en el progreso y desarrollo de Puerto Rico. Ensayos y Monografías, (136), 1–15.
Rodríguez, C. A. (2011). Credibilidad, pérdida social y estancamiento económico: el caso de Puerto Rico. Revista de Ciencias Sociales, (22), 1–19.
Rodríguez, C. A., & Ortiz, K. (2007). La tasa de los fondos federales de los Estados Unidos y la dinámica del mercado laboral en una economía pequeña, abierta y dolarizada: evidencia mediante la creación y destrucción de empleo en Puerto Rico. Economics and Business Journal, 4(1), 85–112.
Rodríguez, C. A., & Toledo, W. (2007). Los efectos de la tasa de los fondos federales de los Estados Unidos en una economía pequeña, abierta y dolarizada: el caso de Puerto Rico. El Trimestre Económico, 74(293), 223–245.
Stock, J. H., & Watson, M. W. (2001). Vector autoregressions. Journal of Economic Perspectives, 15(4), 101–115.
Tapia, E., & Ramos, S. (2012). Impulsos de la demanda y oferta agregada y las fluctuaciones económicas en Santiago de Cali de 1996 a 2008. Tendencias, 13(1), 135–156.
Taylor, J. B. (1993). Discretion versus policy rules in practice. Carnegie-Rochester Conference Series on Public Policy, 39, 195–214. Retrieved from https://web.stanford.edu/~johntayl/Onlinepaperscombinedbyyear/1993/Discretion_versus_Policy_Rules_in_Practice.pdf
Toledo, W. (1992) Sectoral shocks and economic fluctuations. Serie de Ensayos y Monografías, (62B), 1–18.
Toledo, W. (2000). Inflación y señoriaje en Puerto Rico. Serie de Ensayos y Monografías, (100), 1–15.
Toledo, W. (2002). El efecto de la política monetaria de Estados Unidos en la economía de Puerto Rico. Revista de Ciencias Sociales, (11), 73–90.
Toledo, W. (2014). Fuentes de Fluctuaciones en América Latina. Ecos de Economía, 18(38), 5–35.
Notes