Artículo
Caracterización del sustrato y el agua intersticial del manglar de Mata de Limón, Puntarenas, Costa Rica
Characterization of the substrate and interstitial water of Mata de Limón mangrove, Puntarenas, Costa Rica
Caracterización del sustrato y el agua intersticial del manglar de Mata de Limón, Puntarenas, Costa Rica
Revista Ciencias Marinas y Costeras, vol. 15, núm. 1, pp. 9-26, 2023
Universidad Nacional, Costa Rica
Recepción: 26 Septiembre 2022
Recibido del documento revisado: 12 Marzo 2023
Aprobación: 13 Marzo 2023
Resumen: Los manglares son sistemas que mediante la interacción marino terrestre varían durante el tiempo y son altamente productivos. El objetivo del estudio fue describir la granulometría, parámetros fisicoquímicos y nutrientes del humedal de Mata de Limón. En el año 2014, se establecieron seis parcelas de monitoreo para analizar los sedimentos, nutrientes y parámetros fisicoquímicos. Se encontró mayor presencia de arenas, en especial las gruesas. Los valores de pH fueron muy similares, la mayoría cercanos a 8; mientras que la oxidación-reducción mostró una predominancia a procesos reductivos con un mínimo de -54 y un máximo de -3 mV. En cuanto a los nutrientes la concentración más alta de amonio fue de 29.2 µmol/L, en tanto que la más baja fue de cero. En el caso del nitrato, la superior fue de 30.53 µmol/L, y la inferior de 1.01 µmol/L. Tanto para los fosfatos como los silicatos, la mayor fue de 21.59 y 174.95 µmol/L, y la menor de 0.71 y 19.66 µmol/L respectivamente. El humedal de Mata de Limón está conformado mayormente por arenas; los parámetros fisicoquímicos están afectados por variaciones espaciotemporales, y un alto contenido de nutrientes. Sin embargo, es perturbado por presiones antropogénicas, causando inestabilidad en las variables evaluadas, lo que incrementa su complejidad; por el contrario, el sistema fluvial corresponde a un patrón más estable con cambios predecibles al interior del ecosistema.
Palabras clave: Estructura del manglar, sedimentos, componentes abióticos, nitrógeno, manglar periurbano.
Abstract: Mangroves are systems that, through land-sea interaction, vary in time and are highly productive. The objective of the study was to describe the granulometry, physicochemical parameters, and nutrients of the Mata de Limón Wetlands. In 2014, six monitoring plots were established to analyze the sediments, nutrients and physicochemical parameters. A greater presence of sand was found, especially thick sand. The pH values were very similar, most of them close to 8, while oxidation-reduction values showed a predominance of reductive processes with a minimum value of -54 and a maximum value of -3 mV. Regarding nutrients, the maximum concentration of ammonium was 29.2 µmol/L, while the minimum was zero. In the case of nitrate, the highest was 30.53 µmol/L and the lowest was 1.01 µmol/L. For both phosphates and silicates, the maximum values were 21.59 and 174.95 µmol/L, and the minimum were 0.71 and 19.66 µmol/L, respectively. The Mata de Limón Wetlands are comprised mainly by sand; the physicochemical parameters are affected by spatiotemporal variations and a high quantity of nutrients. Nevertheless, it is disturbed by anthropogenic pressures, causing instability in the evaluated variables, which increases their complexity; on the contrary, the river system corresponds to a more stable pattern with predictable changes to the interior of the ecosystem.
Keywords: Mangrove structure, sediments, abiotic components, nitrogen, periurban mangrove.
Introducción
Los manglares son sistemas que mediante la interacción marino terrestre varían durante el tiempo y son altamente productivos; sin embargo, son uno de los biomas más amenazados de los trópicos (Tenorio & Timaná, 2017). Condiciones específicas como la temperatura, vientos, mareas, salinidad, entrada de agua dulce, y el tipo de sedimento son variables que inciden en su desarrollo; por lo tanto, cambios en su entorno como el crecimiento urbano, la transformación del uso de suelo y la deforestación los hacen más vulnerables (Acuña-Piedra & Quesada-Román, 2017).
Asimismo, la heterogeneidad espacio temporal de los componentes bióticos y abióticos están influenciados por las características del sedimento, su composición mineral, el estado y cantidad de los desechos orgánicos y el comportamiento hídrico de las mareas y el agua dulce (Otero et al. 2009).
Estos factores afectan la saturación hídrica, salinidad y la absorción de materia orgánica; además, la vegetación y los patrones hidrológicos locales hacen que los ecosistemas de manglar sean áreas altamente variables en su estructura, composición y productividad (Feller et al. 2003; Hossain & Nuruddin, 2016).
Por lo anterior, es posible identificar los cambios de utilización del suelo mediante la pérdida de estructura vegetal, reducción de su materia orgánica y perturbaciones químicas y físicas en su capa superficial (Moreno-Martínez et al. 2021). En particular, considerando que las causas más importantes de desaparición del manglar se deben a la transformación del uso de la tierra, la sobreexplotación y erosión de la costa (Lim-Vega, 2022).
Igualmente, es de importancia conocer la concentración, composición y disponibilidad de los nutrientes dentro de los ecosistemas de manglar, ya que su conformación puede variar dependiendo de la zona donde estos se desarrollen (Alongi, 2021). Esta variación se debe a que la forma química en la que se hallan está relacionada directamente con los procesos microbianos que se puedan desarrollar en el sitio, ya sean aeróbicos o anaeróbicos, permitiendo que exista un reciclaje ecológico de estos componentes (Wang et al. 2022).
En este sentido, las características fisicoquímicas como el pH y los nutrientes que presentan los suelos y el agua intersticial permiten conocer la adaptabilidad a los cambios, así como el establecimiento y colonización de las especies de manglar en nuevas áreas, determinando el grado de afectación al que se enfrentan estos sitios (Méndez & Jiménez, 2015).
Por esta razón, es importante entender los cambios que ocurran a lo largo del tiempo para poder realizar un manejo adecuado del ecosistema (Huaylinos et al. 2003). Considerando lo anterior, se retomó la información obtenida en el año 2014, con la finalidad de establecer el punto de referencia de algunos aspectos fisicoquímicos del manglar de Mata de Limón de los cuales no existen datos científicos publicados, además de complementar la información estructural y de composición previamente publicada.
Por ello, el objetivo del estudio fue caracterizar la granulometría, nutrientes y parámetros fisicoquímicos del manglar de Mata de Limón con el propósito de crear una línea base como insumo para el manejo del ecosistema y comparación de variaciones en el tiempo.
Materiales y métodos
Área de estudio: el manglar de Mata de Limón se ubica en el Pacífico Central, Costa Rica, al noreste de la zona portuaria de Caldera; tiene una longitud cercana a los 1 650 metros en el área contigua su playa, y forma parte de la Zona Protectora Tivives (ZPT) (MINAE et al. 1999) (Fig. 1).
Los aportes de agua dulce al humedal se dan especialmente por el riachuelo Cambalache, y algunas quebradas intermitentes; la estación seca se presenta de mediados de noviembre a abril y en los demás meses la estación lluviosa (SINAC, 2018).
En este humedal costero se han identificado seis de las siete especies nucleares de mangle reportadas en el país (MINAET, 2010. Decreto N.° 35806), con mayor predominancia de Avicennia germinans; no obstante, presenta afectaciones en su estructura y composición debido a las perturbaciones que ha enfrentado a lo largo del tiempo (Guzmán-Sánchez et al. 2022).

Dentro de estas perturbaciones destacan la disminución de la entrada de agua por la construcción de un tramo de la carretera costanera sur y el puente, la actividad humana llevada a cabo en las cuencas hidrográficas cercanas y la construcción del Complejo Portuario de Caldera, que han ocasionado modificaciones en los patrones de distribución del sedimento y una disminución en la capacidad de retención de agua debido al suministro excesivo de estos (Güell et al. 2000; Guzmán-Sánchez et al. 2022).
Considerando lo anterior, la ubicación de las parcelas se realizó en función del grado de intervención antropogénica, zonación característica de los manglares e influencia del flujo del agua, por lo tanto; la primera y la sexta son aquellas que tienen mayor cercanía a la costa y se encuentran mayormente asociadas al género Rhizophora.
Por su parte, la segunda tiene la mayor proximidad a la central de contenedores de Caldera; mientras que la quinta se ubica en un sector mejor conservado y cuenta con la presencia de cinco de las seis especies de manglar identificadas en el humedal, ambas se localizan a una distancia media del litoral. Por último, la tercera y cuarta son aquellas que se hallan más alejadas del mar (Fig. 1).
Análisis granulométrico de los sedimentos: en marzo del año 2014, se establecieron seis parcelas de muestreo (cinco de 10x25 m y la #6 de 10x10 m); en cada una se tomó una muestra de sedimento en rangos de profundidad entre los 0-20 cm, 20-40cm, 40-60 cm, 60-80 cm y 80-100 cm con un barreno tipo Edelman.
Posteriormente, fueron llevadas en una hielera al laboratorio de Control de Calidad, en la Estación de Biología Marina Juan Bertoglia Richards de la Universidad Nacional, donde se secaron a 105°C durante 24 horas en un horno de secado. Seguidamente, la totalidad de cada una fue pesada en una balanza analítica y luego tamizadas de acuerdo con lo propuesto por la ASTM (2007), para obtener las fracciones según el tamaño de las partículas, utilizando tamices de diferente abertura de malla (0.9532 mm, 850 μm, 450 μm, 250 μm, 150 μm, 75 μm).
Después la porción retenida en cada criba fue pesada en una balanza analítica y se calculó el porcentaje de composición correspondiente a cada tamiz en función del peso total inicial de cada muestra, lo que permitió identificar el perfil granulométrico presente en cada una de ellas.
Análisis del agua intersticial y parámetros fisicoquímicos: se colocó en cada parcela un tubo de PVC de 120 cm de longitud tapado en la parte superior, que presentaba perforaciones en los primeros 15 cm del extremo inferior las cuales estaban cubiertas con cedazo para posibilitar la circulación del agua intersticial.
Un mes después se hicieron las tomas de agua, donde fueron recolectadas al menos dos por estación de muestreo; además, fueron utilizados contenedores de plástico para evitar cualquier reactividad del envase con la concentración de alguno de los nutrientes, que se transportaron en frío (a una temperatura cercana a los 0°C) al laboratorio de Control de Calidad, donde se analizaron los siguientes nutrientes por métodos espectrofotométricos: amonio, nitratos, nitritos, fosfatos y silicatos, según la metodología establecida por Strickland & Parsons (1972) y Rice et al. (2012).
Por cada una de las muestras de agua, fueron utilizadas tres alícuotas por nutriente para la determinación de su concentración por los métodos mencionados anteriormente. Además, se midió el pH y potencial redox con un multiparámetro Thermo Scientific Orion 5 Star®, mientras que la alcalinidad fue calculada por volumetría en mg/L CaCO3 (Sierra, 2011).
Análisis estadístico de los parámetros fisicoquímicos: para el cálculo de los resultados se utilizó el programa Statgraphics Centurion (2007); pruebas de varianza de una vía no paramétrica Kruskall-Wallis, para comprobar si había diferencias significativas entre las parcelas y su concentración de nutrientes; además, de los parámetros fisicoquímicos en cada una de ellas. Las variables que mostraron diferencias significativas fueron analizadas mediante Test de Rangos Múltiples en un nivel de significancia alfa de 0.05.
Resultados
Análisis granulométrico: debido a que el sedimento de las parcelas tres, cuatro y cinco no presentaba una textura adecuada fue imposible extraer las muestras de las profundidades 4060-80 cm de la tres, y 80 cm de la cuatro y cinco.
Por otro lado, en términos generales, el manglar de Mata de Limón está compuesto principalmente por arenas, siendo las gruesas las de mayor presencia con un promedio de 28± 3%. Contrariamente a lo presentado por las gravas, que fueron las de menor porcentaje promedio en todo el humedal (Cuadro 1).
En cuanto a la composición de partículas en función de la profundidad de la muestra por parcela, se encontró que en la uno la conformación del sedimento varía en cada una de las profundidades. No obstante, a 20 cm hay una mayor cantidad de arenas; y a 40 cm es posible observar que se compone principalmente de gravas. Mientras que la constitución de la dos tiende a ser uniforme en la mayoría de las profundidades (Fig. 2).
En la tres se observa una composición similar de gravas y arcilla + limo en la superficie, mientras que en la segunda capa de sedimento se encuentran en alto porcentaje las arenas. La

cuatro presentó la misma composición de partículas, pero distribuidas de manera homogénea a lo largo de todas las profundidades. La más alta variación la presentan las gravas, que a los 20, 40 y 60 cm son las de mayor proporción (Fig. 2).
En el caso de la cinco, se encontró que las arenas predominan especialmente a los 60 cm, mientras que las gravas tienen una importante presencia a los 0 y 40 cm. Finalmente, en la seis se pre-senta uniformidad en la composición de las gravas a 0, 40 y 60 cm, en tanto que a 80 cm es donde se puede ver la mayor variación al ser las partículas arenosas las de mayor presencia (Fig. 2).
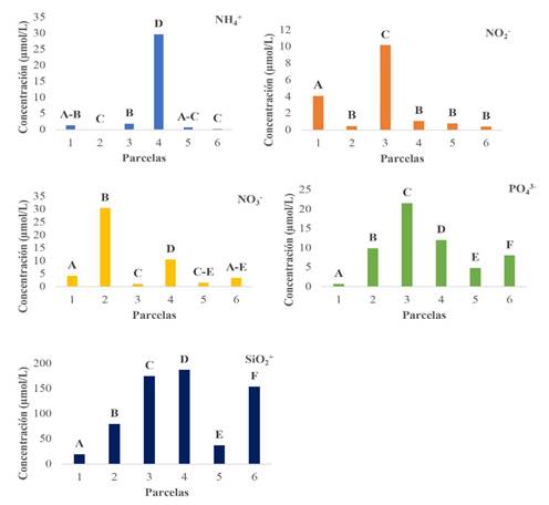
Concentración de nutrientes y parámetros fisicoquímicos: la parcela cuatro presentó el máximo nivel de amonio (NH 4+) con 29.2 µmol/L; en tanto que la dos tuvo cero. En el caso del nitrito (NO2-), la parcela tres obtuvo la mayor cantidad (10.19 µmol/L), mientras que la seis la menor (0.42 µmol/L) (Fig. 3).
Para el nitrato (NO3-) la mayor concentración la tuvo la parcela dos con 30.53 µmol/L, y la menor la tuvo la tres con de 1.01 µmol/L. Para los fosfatos (PO43-) y los silicatos (SiO2+) los valores máximos fueron encon-trados en la tres (21.59 y 174.95 µmol/L), mientras los mínimos en la uno (0.71 y 19.66 µmol/L), respectivamente (Fig. 3).
Por otro lado, la concentración por parcela, de fosfatos y silicatos no presentó ninguna homogeneidad entre sitios. Sin embargo, los nitratos tuvieron una similitud entre las parcelas uno y seis; y tres y cinco. Para los



nutrientes restantes hubo agrupaciones similares entre dos o más zonas (Fig. 3). En relación con los parámetros fisicoquímicos del agua se encontró que el pH entre sitios fue muy similar entre sí, con un valor máximo en la seis (8.34), y el mínimo en la cuatro (7.35). Por otro lado, el potencial de oxidación reducción solamente presentó cifras asociadas a este proceso o con esta tendencia, siendo la cuatro la máxima (-3.50) y la seis la mínima (-54.05), estando está cercana al estero; y la anterior ubicada en la parte interna del manglar (Cuadro 2).
Por último, la alcalinidad obtenida alcanzó su mayor concentración en la parcela tres con un valor de 666.65 CaCO mg/L, y su mínimo en la uno 100 CaCO mg/L (Cuadro 2). De esta manera, lo más común fue encontrar diferencias significativas por parámetros fisicoquímicos entre sitios, a excepción de un caso por cada variable de homogeneidad. Para el pH y el potencial oxidación-reducción, existe una similitud entre la parcela dos y cuatro, mientras que de forma inversa hay una semejanza de alcalinidad (Cuadro 2).
Discusión
Análisis granulométrico de los sedimentos: los resultados muestran que el sustrato del humedal de Mata de Limón está compuesto principalmente por arenas, en este sentido se ha determinado que cercano a un metro de profundidad el sedimento de manglar suele distinguirse por ser primordialmente orgánico (Agraz-Hernández, 1999).
Sin embargo, también se ha documentado que en sitios próximos a barreras arenosas o bien en zonas más someras hay presencia de fracciones de partículas en estas profundidades, ya que las condiciones energéticas pueden generar una mitigación en la capacidad de transporte de partículas por medio de la corriente provocando una deposición de los sedimentos (Agraz-Hernández, 1999; Barboza et al. 2006; Tenorio & Timaná, 2017).
Lo anterior, se ve reflejado en el manglar de Mata de Limón, donde la configuración del espacio y las condiciones topográficas de la depresión, en que se ubica el sistema lagunar, ha generado un ambiente de captura de sedimentos que favorece la distribución y acumulación de materiales en el estero, ocasionando el transporte de las partículas más finas hacia las zonas centrales, mientras que en el borde del área depresiva se acumulan las más pesadas y de mayor tamaño (Güell et al. 2000).
Según Ongay (2016), los suelos de manglar que presentan mayoritariamente partículas finas como las arcillas y los limos se ven favorecidos en el desarrollo de las plántulas y en la productividad primaria debido a que se da un aumento en la evacuación, lo que permite que el agua pueda llegar a las raíces más profundas mejorando así la asimilación de nutrientes, gracias a la gran capacidad de retención de este tipo de material.
No obstante, algunas especies también muestran mayor facilidad para desarrollarse en granulometrías gruesas como Avicennia spp. y Laguncularia racemosa (Barrantes-Leiva & Cerdas-Salas, 2016); en el caso de Mata de Limón esto se evidencia principalmente con L. racemosa que fue la más importante en las parcelas cuatro y seis (Guzmán-Sánchez et al. 2022), donde se presentan altos porcentajes de gravas finas y arenas gruesas (Cuadro 1).
Finalmente, otro factor que debe considerarse es el efecto que las actividades antropogénicas, como la construcción, la agricultura y la ganadería tienen en la composición del suelo. Este tipo de intervenciones genera una constante movilización de los sedimentos y sobre todo una conversión del terreno, ocasionando la presencia frecuente de partículas de mayor tamaño (> 75 μm) (Moreno-Martínez et al. 2021).
Por lo anterior, se genera una mayor densidad aparente del suelo que puede ser provocada por el paso frecuente de ganado y personas o la eliminación parcial de la franja arbustiva y herbácea (Moreno-Martínez et al. 2021); son situaciones que se observaron durante los muestreos y continúan siendo recurrentes en la zona; así como los constantes dragados que se realizan en el puerto de Caldera.
Análisis del agua intersticial y parámetros fisicoquímicos: El manglar de Mata Limón por su estructura vegetal corresponde a uno perturbado, con una predominancia de Avicennia germinans; por consiguiente muestra una heterogeneidad clara de manera que los sitios más alejados de los asentamientos humanos presentan una complejidad superior, mientras que las zonas más externas un menor desarrollo (Guzmán-Sánchez et al. 2022), lo que podría deberse a la acumulación de sedimentos que ha generado modificaciones en la circulación natural de su sistema de corrientes (Güell et al. 2000), lo que a su vez influye en la concentración de nutrientes y parámetros fisicoquímicos.
Con respecto a la concentración de nitrógeno en forma de N-NO2-, y N-NO3-, y su relación inversa con la del amonio presente en una misma parcela, son atribuidas sobre todo a los diferentes tipos de microhábitats aeróbicos o anaeróbicos generados por raíces o capas oxigenadas de suelo poroso (Boto & Wellington, 1984).
Los procesos microbianos en la dinámica del nitrógeno dependen en gran medida del potencial oxidación-reducción del sedimento (dos y cuatro), la nitrificación se da únicamente en presencia de oxígeno, mientras que los demás (desnitrificación, anammox y reducción de nitrato) en condiciones anóxicas (Ramírez-Lozada & Rojas-Villamil, 2020).
La parcela dos presentó la mayor concentración de N-NO3 y la menor de N-NH 4+, lo que sugiere que ocurrió un proceso de oxidación completo, y corresponde a un sitio con buena oxigenación; mientras tanto, para la tres fue posible visualizar un proceso incompleto, prevaleciendo el N-NO2 (Tam & Wong, 1998), este sitio es el que se encuentra más alejado de la costa, y se ubica en un sector donde anteriormente, hubo una salinera; aspectos que podrían estar influenciado estos resultados.
Finalmente, con respecto a las otras formas de nitrógeno, la parcela cuatro corresponde al sitio donde fue posible visualizar la mayor concentración de N-NH4+, y la menor de N-NO2-, y N-NO3. Generalmente, sitios con estas características corresponden a zonas donde ocurren procesos de mineralización, debido a una menor disponibilidad de oxígeno, y por lo general secos con poca escorrentía (Tam & Wong, 1998), considerando la localización de este sitio es probable que sea menos influenciada por la entrada de agua marina, lo que favorece estos procesos.
Deacuerdo con Guzmán-Sánchez et al. (2022), el manglar de Mata de Limón en términos de caracterización estructural se encuentra conformado en su mayoría por la especie Avicennia germinans, la cual corresponde a áreas internas, donde usualmente, se presenta carencia de drenaje y escorrentía. Esto en conjunto con la información anterior, permite visualizar como este sitio de muestreo presenta variaciones en los procesos antes mencionados, lo que a su vez afecta directamente, la fisicoquímica de sus nutrientes.
Los manglares presentan altas tasas de fijación de nitrógeno, vinculados a procesos de descomposición de las hojas, neumatóforos o raíces aéreas, corteza de los árboles, a las comunidades de cianobacterias que conforman tapetes microbianos que cubren la superficie y tipo de sedimento presente (Holguín & Bashan, 2007), de manera que esta variación en la concentración pudo verse afectada por estos diferentes factores en cada una de las parcelas de Mata de Limón.
Por otro lado, las bajas concentraciones encontradas de P-PO en el agua intersticial, se pueden deber a la mineralización de los compuestos orgánicos presentes, y la capacidad reductiva del ecosistema de manglar, que afecta su presencia; ya que, en aquellos sustratos con menos disponibilidad de fósforo, las bacterias solubilizadoras de este nutriente se encargan de liberar estos iones para contribuir con su biodisponibilidad en el ecosistema, principalmente, porque este elemento es vital para el crecimiento de las plantas (Krom & Berner, 1981).
Los manglares componen sistemas con óptimas condiciones para la descomposición de la materia orgánica, que funciona como un método de liberación de fósforo por medios microbianos (Rammanathan et al. 2008). Holguín & Bashan (2007), mencionan como su baja concentración puede verse reflejada por la precipitación en el agua intersticial que ocasiona que sea depositada en los sedimentos debido a la abundancia de cationes en las aguas marinas e imposibilitando su biodisponibilidad por parte de la flora.
Cabe mencionar que el ciclo del fósforo (P) es poco conocido. Se presume que este nutriente se ve relacionado a los procesos geoquímicos del suelo, y una baja concentración de sus formas químicas (PO43o P orgánico) sugiere una poca biodisponibilidad. Siendo necesario realizar más investigaciones con esta orientación para visualizar el impacto de diferentes disturbios antropogénicos en el ciclo de este elemento y la transformación del nutriente en el sustrato (Alongi, 2018). Con respecto a las altas concentraciones obtenidas de este nutriente en la parcela dos y tres, Méndez & Jiménez (2015), asocian esta diferencia por el uso creciente de fósforo para abonos agrícolas, detergentes y fertilizantes, que traen como consecuencia un aumento considerable en la concentración de fosfatos; lo que se puede atribuir a la mayor densidad urbana presente en este sector del manglar.
Ambos sitios están próximos a posibles fuentes antropogénicas, como el centro de contenedores de Caldera y a la comunidad.
Otra posible explicación para la diferencia de concentración de este nutriente es la presencia/ausencia de bacterias sulfato reductoras, ya que la mayoría de los sedimentos de manglar son principalmente anaeróbicos, siendo estos los descomponedores más importantes, que permiten liberar hierro y fósforo en el sistema (Holguín & Bashan, 2007). De esta manera, posiblemente, la parcela tres cuenta con una mayor cantidad de estos organismos ya que presenta una concentración de P-PO -3 de 20 µmol/L, mientras que la uno, la menor con 0.71 µmol /L.
En cuanto a la concentración de silicatos, los valores obtenidos en las parcelas tres, cuatro y seis, son superiores a los 100 µmol/L, similares a los reportadas por APECO (2002), para el manglar de San Pedro-Vice, con un rango normal (entre los 169.02 y 260.94 µmol/L). Estos mismos autores mencionan que estos resultados son obtenidos porque las aguas dulces tropicales son escasas en electrolitos, constituyendo la mayor parte de su composición total, de manera que usualmente, aparecen en cantidades de moderadas a mayores en la parte continental.
Además, estas concentraciones pueden variar por la intromisión de aguas costeras, que poseen en sus contenidos diferentes tipos de diatomeas, cuyas tecas se encuentran formadas principalmente por sílice; y el proceso de hidrólisis que pueden sufrir las rocas de cuarzo dentro del suelo provocando que este nutriente sea abundante (Muller, 1969; Loza et al. 2011). En este sentido, es posible que la parcela seis se vea afectada por la intromisión del mar, mientras que la tres y cuatro por los afluentes de los ríos dado que están localizadas en el sector más interno del manglar.
Por otro lado, para los sitios donde se presentaron concentraciones bajas como la parcela uno y cinco, Dugdale et al. (1995), mencionan como el silicato posee una regeneración mínima en las capas superficiales, de manera que corresponde a uno de los primeros nutrientes que se agota y limita el desarrollo del fitoplancton, aunque no fue medida la cantidad de clorofila “a” en ninguna de nuestras sitios de muestreo. Mientras que para la tres, cuatro y seis, se presenta una alta disponibilidad de este nutriente.
Con respecto a los valores de pH encontrados en el manglar de Mata de Limón, todos se encuentran alrededor de 8 para cada parcela muestreada. Huaylinos et al. (2003), lo asociaron a intensos procesos de oxidación y reducción, con una actividad fotosintética que consume el CO2, lo cual hace que el medio se torne neutro alcanzando un pH cercano a 8.
Mientras tanto, para los valores de potencial oxidación-reducción en el manglar de Mata de Limón, los resultados obtenidos reafirman las características para este tipo de ecosistemas, con sedimentos submareales típicos de suelos reductores, debido a la combinación de procesos químicos y biológicos que sufren los sedimentos (Libes, 2009). Por otro lado, aquellos sitios con tendencia más oxidativa fueron probablemente, afectados por mayores flujos de agua, lo cual obedece a la influencia hídrica de reoxigenación de los sedimentos (Mendoza, 2007).
Conclusiones
El manglar de Mata Limón corresponde a un ecosistema que se ha visto afectado por diversos tipos de perturbaciones y presiones antropogénicas que han generado un aumento de la heterogeneidad de su hábitat. Causando inestabilidad en las variables evaluadas, lo que incrementa su complejidad; por el contrario, el sistema fluvial presenta un patrón más estable con cambios predecibles en el interior del lugar.
En general, este manglar presenta partículas gruesas en la parte superficial de los sedimentos, y finas en la porción más profunda, características típicas de este ecosistema, aunque con mayor predominancia de arenas debido a las perturbaciones que ha enfrentado.
Por otro lado, los parámetros fisicoquímicos y la biodisponibilidad de nutrientes muestran un alto contenido en porciones con un óptimo recambio de agua y oxigenación, un pH básico, con una predominancia a procesos reductivos y valores de alcalinidad variables al interior de la zona; que, se ven afectados por las variaciones espacio temporales, principalmente por el sistema subfluvial y los procesos de marea
Agradecimientos
A la Estación de Biología Marina Juan Bertoglia Richards de la Universidad Nacional, por las facilidades brindadas para realizar los análisis de las muestras de sedimento y agua intersticial, en especial a Hannia Vega Bolaños. A Jesús Alfaro Rodríguez, Ariel Azofeifa Barrientos, Mónica Espinoza Miralles y Laura Sotela Blanco por el apoyo brindado en la toma de datos y procesamiento de las muestras. Un agradecimiento especial a Ana Yury Saravia Arguedas y Alexandre Tisseaux Navarro. A los dos revisores anónimos por las sugerencias dadas para la mejora de este artículo
Referencias
Acuña-Piedra, J. F. & Quesada-Román, A. (2017). Cambios en el uso y cobertura de la tierra entre 1948 y 2012 en el Humedal Nacional Térraba-Sierpe, Costa Rica. Rev. Mar. Cost., 9(2), 9-28. http://dx.doi.org/10.15359/revmar.9-2.1
Agraz-Hernández, C. M. (1999). Reforestación experimental de manglares en ecosistemas lagunares estuarinos de la costa noroccidental de México. (Tesis de doctorado no publicada). Universidad Autónoma de Nuevo León, México.
Alongi, D. (2018). Impact of Global Change on Nutrient Dynamics in Mangrove Forests. Forest, 9, 1-13. https://doi.org/10.3390/f9100596
Alongi, D. (2021). Macro and Micronutrient Cycling and Crucial Linkages to Geochemical Processes in Mangrove Ecosystems. J. Mar. Sci. Eng., 9(5), 1-26. https://doi.org/10.3390/jmse9050456
APECO (Asociación Peruana para la Conservación de la Naturaleza). (2002). Evaluación de fauna silvestre en los humedales de Sechura, conservación del sistema de humedales marino-costeros de Sechura provincia de Sechura, Piura-Perú. Perú. Sin editorial.
ASTM (American Society for Testing and Materials). (2007). ASTM D422-63(2007) e2. Standard test method for particle-size analysis of soils. EE.UU.: ASTM International.
Barboza, F.; Barreto, M. B.; Figueroa, V.; Francisco, M.; González, A.; Lucena L.;…. & Medina, E. (2006). Desarrollo estructural y relaciones nutricionales de un manglar ribereño bajo clima semi-árido. Ecotrópicos, 19(1), 13-29.
Barrantes-Leiva, R. M. & Cerdas-Salas, A. (2016). Distribución espacial de las especies de mangle y su asociación con los tipos de sedimentos del sustrato, en el sector estuarino del Humedal Nacional Térraba-Sierpe, Costa Rica. Rev. Biol. Trop., 63, 47-60. http://dx.doi. org/10.15517/rbt.v63i1.23094
Boto, K. G. & Wellington, J. T. (1984). Soils characteristics and nutrient status in a Northern Australian mangrove forest. Estuaries, 7, 6169. https://doi. org/10.2307/1351957
Dugdale, R. C., Wilkerson, F. P. & Minas, H. J. (1995). The role of a silicate pump in driving new production. Deep Sea Res., 42(5), 697-719. https://doi. org/10.1016/0967-0637(95)00015-X
Feller, I. C., McKee, K. L., Whigham, D. F., & O’neill, J. P. (2003). Nitrogen vs. phosphorus limitation across an ecotonal gradient in a mangrove forest. Biogeochemistry, 62(2), 145-175. https://doi.org/10.1023/A:1021166010892
Güell, D., Pineda, E. & Salas, D. M. (2000). Procesos hidrogeomorfológicos de transporte y sedimentación en el sistema lagunar de Mata de Limón, Puntarenas, Costa Rica. (Tesis de licenciatura no publicada). Universidad de Costa Rica, Costa Rica.
Guzmán-Sánchez, Y., Rojas-Ortega, G., Esquivel-Martín, E., Arrieta-Sancho, A., Vargas-Solano, J. & Villalobos-Chacón, L. (2022). Estructura vegetal y flora asociada del manglar de Mata de Limón, Puntarenas, Costa Rica. Rev. Cien. Mar. Cos., 14(1), 51-64. https://doi.org/10.15359/revmar.14-1.3
Holguín, G. & Bashan, Y. (2007). La importancia de los manglares y su microbiología para el sostenimiento de las pesquerías costeras. En R. Ferrera-Cerrato & A. Alacaron (Eds.), Microbiología agrícola: hongos, bacterias, micro y macrofauna, control biológico, planta organismo (pp. 239-253). México: Editorial Trillas.
Hossain, M. D. & Nuruddin, A. A. (2016). Soil and mangrove: a review. J. Environ. Sci. Technol., 9(2), 198-207. https://doi.org/10.3923/jest.2016.198.207
Huaylinos, W., Quispiúpac, E. & Martínez, N. (2003). Variabilidad fisicoquímica y fisiográfica del ecosistema de manglarSan Pedro-Vice (Piura-Perú) . Rev. Inst. Investig. Fac. Minas, Metal Cienc. Geogr. 6(11), 7-19.
Krom, M. D. & Berner, R. A. (1981). The diagnosis of phosphorus in a nearshore marine sediment. Geochim. Cosmochim. Acta, 45(2), 207216. https://doi.org/10.1016/0016-7037(81)90164-2
Libes, S. (2009). Introduction to marine biogeochemistry. (2nd ed.). EE.UU.: Academic Press.
Lim-Vega, C. A. (2022). Análisis de comunidades microbianas asociadas a sedimentos de manglar y su relación con las propiedades fisicoquímicas del agua intersticial en dos sistemas de manglar de Puerto San Carlos, BCS. (Tesis de maestría no publicada). Centro de Investigaciones Biológicas del Noroeste, S. C. México.
Loza, S.; Sánchez, M.; Carmenate, M.; & Siqueiros, D. (2011). Adición a la microflora de diatomeas de las aguas marinas de Cuba. Serie Oceanológica, 8, 4752.
Méndez, C. & Jiménez, J. (2015). Análisis de la asociación entre la estructura y composición de la comunidad vegetal de manglar, y los parámetros fisicoquímicos del agua en la Bahía La Graciosa, Izabal, Guatemala. Rev. Cient., 25(1), 50-64. https://doi.org/10.54495/Rev.Cientifica.v25i1.97
Mendoza, U. (2007).Dynamics of phosphorus and sulphur in a mangrove forest in Braganca, North Brazil. (Tesis de doctorado no publicada). Universidad de Bremen, Alemania.
MINAE, IMN, CZMC & CRRH (Ministerio de Ambiente y Energía, Instituto Meteorológico Nacional, Coastal Zone Manegement Center & Comité Regional de Recursos Hidráulicos). (1999). Estudios de cambio climático en Costa Rica. Componente recursos costeros. Evaluación de la vulnerabilidad de los recursos costeros al cambio climático. Costa Rica. Sin editorial.
MINAET (Ministerio de Ambiente, Energía y Telecomunicaciones). (2010). Criterios técnicos para la identificación, clasificación y conservación de humedales. Decreto N.º 35803. (Publicado en La Gaceta N.° 73, abril 2010). Costa Rica: Imprenta Nacional. http://www.pgrweb.go.cr/scij/Busqueda/Normativa/Normas/nrm_texto_completo.aspx?param1=NRTC&nValor1=1&n-Valor2=67673&nValor3=88177&strTipM=TC
Moreno-Martínez, A., Álvarez-Arteaga, G. & Orozco-Hernández, M. E. (2021). Heterogeneidad ambiental y alteraciones antrópicas en comunidades de manglar en el pacífico sur de México. Trop. J. Environ. Sci., 55(1), 70-85. https://doi.org/10.15359/rca.55-1.4
Muller, G. (1969). Diagenetic changes in interstitial water of holocene lake constance sediments. Nature, 224, 258-259. https://doi.org/10.1038/224258a0
Ongay, C. (2016). Suelos y productividad primaria en manglares en el sur de Quintana Roo. (Tesis de licenciatura no publicada). Universidad de Quintana Roo, México.
Otero, X. L., Ferreira, T. O., Huerta-Díaz, M. A., Partiti, C. S. D. M., Souza Jr., V., Vidal-Torrado, P. & Macías, F. (2009). Geochemistry of iron and manganese in soils and sediments of a mangrove system, Island of Pai Matos (Cananeia-SP, Brazil). Geoderma, 148(3-4), 318-335. https://doi.org/10.1016/j.geoderma.2008.10.016
Ramírez-Lozada, D. & Rojas-Villamil, N. (2020). Influencia de la comunidad bacteriana en los ciclos biogeoquímicos del carbono y el nitrógeno en el ecosistema de manglar. (Tesis de licenciatura no publicada). Universidad Colegio Mayor de Cundinamarca, Colombia.
Rammanatha, A. L., Singh, G., Majumdar, J., Samal, A. C., Chauhan, R., Kumar, R., Rajkumar, R. & Santra, S. C. (2008). A study of microbial diversity and its interaction with nutrients in the sediments of Sundabarn mangroves. Ind. J. Mar. Sci., 37(2), 159165.
Rice, E. W., Baird, R. B., Eaton, A. D. & Clesceri, L. S. (2012). Standard Methods for the Examination of Water and Wastewater. EE.UU.: Water Environment Federation.
Sierra, C. (2011). Calidad del agua: evaluación y diagnóstico. Universidad de Medellín: Ediciones de la U. http://hdl.handle.net/11407/2568
SINAC (Sistema Nacional de Áreas de Conservación). (2018). Plan general de manejo de la zona protectora Tivives 2018-2028. Costa Rica. Sin editorial.
Statgraphics Centurion. (2007). Statgraphics Centurion XV®. Version 10. https://www.statgraphics.com/ EE. UU.: StatPoint, Inc.
Strickland, J. D. H. & Parsons, T. R. (1972). A Practical Handbook of Seawater Analysis. Bull. Fish. Res. Board. Can. 167. 2nd edn. http://dx.doi.org/10.25607/OBP-1791
Tam, N. F. Y. & Wong, Y. S. (1998). Variations of soil nutrient and organic matter content in a subtropical mangrove ecosystem. Water Air Soil Pollut., 103, 245-261. https://doi.org/10.1023/A:1004925700931
Tenorio, S. E. R. & Timaná, D. L. (2017). Ecosistema manglares de San Pedro, Vice-Piura: Variación estacional en su cobertura, características fisiográficas y componentes fisicoquímicos. Noviembre 2014 octubre 2015. (Tesis de licenciatura no publicada). Universidad Nacional Pedro Ruiz Gallo, Perú.
Wang, H.; Qi, Z.; Zheng, P.; Jiang, C.; & Diao, X. (2022). Abundant and rare microbiota assembly and driving factors between mangrove and intertidal mudflats. Appl. Soil Ecol., 210, 1-9. https://doi.org/10.1016/j.apsoil.2022.104438