Artículo
Macrofauna bentónica asociada a raíces de Rhizophora mangle en la Ciénaga de La Palmita, Sistema de Maracaibo, Venezuela
Benthic macrofauna associated with roots of Rhizophora mangle in the Ciénaga de La Palmita, Maracaibo System, Venezuela
Macrofauna bentónica asociada a raíces de Rhizophora mangle en la Ciénaga de La Palmita, Sistema de Maracaibo, Venezuela
Revista Ciencias Marinas y Costeras, vol. 15, núm. 1, pp. 53-74, 2023
Universidad Nacional, Costa Rica
Recepción: 01 Diciembre 2022
Recibido del documento revisado: 17 Abril 2023
Aprobación: 18 Abril 2023
Resumen: Las raíces inmersas de mangle rojo constituyen un sustrato donde se crían y alimentan variedad de invertebrados, siendo uno de los ecosistemas tropicales más productivos. Con el objetivo de estudiar la macrofauna bentónica adherida a raíces de Rhizophora mangle en la Ciénaga de La Palmita, se muestrearon 8 estaciones en mayo de 2018, extrayendo 2 raíces en cada estación, introduciéndolas en bolsas plásticas y fijándolas con formalina al 10%. Se midió temperatura, profundidad, salinidad y transparencia del agua. En el laboratorio se hizo un lavado y raspado superficial a cada raíz, reteniendo los invertebrados en un tamiz de 425 µm, preservándolos en alcohol al 70%. Los especímenes se cuantificaron e identificaron mediante claves taxonómicas. Se cuantificaron 27 014 individuos, identificando 3 Phyla; Arthropoda, Annelida y Mollusca, distribuidas en 6 clases, 13 órdenes, 19 familias y 20 especies. Los crustáceos representaron el 93.6% de la composición, seguido de los anélidos (3.3%), los moluscos (1.6%), y hexápodos (1.5%). La riqueza total fue 20 especies. El índice de constancia arrojó 14 especies constantes, 3 accesorias y 3 accidentales. El índice de Shannon-Wienner varió, encontrando mayor diversidad en la estación 4 (H’ = 2.01). El cirrípedo Balanus amphitrite fue la especie dominante, seguida del tanaidáceo Sinelobus stanfordi y el anfípodo Americorophium sp., especies estuarinas, adaptadas a zonas tropicales. Los parámetros fisicoquímicos indican que se trata de un ambiente de poca fluctuación y baja salinidad, donde confluyen especies marinas y especies estuarinas, presentando baja proporción y riqueza de moluscos y alta proporción y abundancia de crustáceos.
Palabras clave: Ciénaga de La Palmita, diversidad, estuario, invertebrados, mangle rojo.
Abstract: The immersed roots of red mangrove constitute a substrate where a variety of invertebrates breed and feed, being one of the most productive tropical ecosystems. With the objective of studying the benthic macrofauna attached to Rhizophora mangle roots in the Ciénaga de La Palmita, 8 stations were sampled in May 2018; the two roots extracted from each station were placed in plastic bags and fixed with 10% formalin. Water temperature, depth, salinity, and transparency were measured. In the laboratory, each root was washed and scraped superficially, and the invertebrates were retained in a 425 µm sieve and preserved in 70% alcohol. Specimens were quantified and identified by taxonomic keys. A total of 27,014 individuals were quantified, with three Phyla identified: Arthropoda, Annelida, and Mollusca, distributed in six classes, 13 orders, 19 families, and 20 species. Crustaceans represented 93.6% of the composition, followed by annelids (3.3%), mollusks (1.6 %), and hexapods (1.5%). Total richness was 20 species. The constancy index yielded 14 constant species, 3 accessory and 3 accidental. The Shannon-Wienner index varied, finding greater diversity in station 4 (H’ = 2.01). The cirripede Balanus amphitrite was the dominant species, followed by the tanaidacean Sinelobus stanfordi and the amphipod Americorophium sp., estuarine species adapted to tropical areas. Physicochemical parameters indicate that this is an environment with little fluctuation and low salinity, where marine species and estuarine species converge, presenting a low proportion and richness of mollusks and a high proportion and abundance of crustaceans.
Keywords: Ciénaga de La Palmita, diversity, estuary, invertebrates, red mangrove.
Introducción
Los manglares son un bioma conformado por árboles con crecimiento exuberante en islas y zonas costeras del trópico, donde una estrecha relación se establece entre el fondo marino y estos árboles, que forman masas vegetales de gran importancia biológica, como refugio para larvas y juveniles de especies marinas (Mazparrote, 1986). Son uno de los ecosistemas tropicales de mayor productividad, dadas las características paisajísticas o ambientales que conforman en franjas intermareales de estuarios, golfos, atolones, humedales y pantanos, con adaptaciones especiales para tolerar altos niveles de salinidad e inundación. Brindan hábitats para la llegada y establecimiento de especies acuáticas y terrestres, donde se reproducen, crían, refugian y asientan variedad de invertebrados (FAO, 2007; Ruiz & López, 2014; Acosta-Balbas et al. 2014). Las raíces inmersas de Rhizophora mangle son un importante sustrato para una amplia comunidad de invertebrados con estructura comunitaria propia, dado que les proveen sitios de criadero a esponjas, peces, foraminíferos, camarones, cangrejos, mejillones, poliquetos, isópodos, copépodos y anfípodos (Márquez & Jiménez, 2002; Molina et al. 2017).
Se han estudiado las comunidades de invertebrados asociados al manglar, desde América Central y el Caribe, en México (Ruiz & López, 2014; Lucas & De la Cruz, 2018), Cuba (Lalana et al. 1985) y Costa Rica (Castaing et al. 1980), hasta América del Sur, en Colombia (Valle, 2007; García Padilla & Palacio, 2008; Quiceno Cuartas & Palacio Baena, 2008; Molina et al. 2017) y Venezuela (Morao, 1983; Márquez & Jiménez, 2002; Medina et al. 2005; Cedeño et al. 2010; Acosta-Balbas et al. 2014; Quintero et al. 2021). En Venezuela los manglares cubren 673 500 hectáreas sobre una línea costera de alrededor de 3 200 km, y en el estado Zulia ocupan 116 km2 (Medina & Barboza, 2006). La Reserva de Fauna Silvestre Ciénaga de La Palmita e Isla de Pájaros, creada en el año 2000 para conservar y proteger estos ecosistemas (República Bolivariana de Venezuela, 2000), hoy día presenta alteraciones antrópicas que ponen en riesgo su biodiversidad, como la disminución del río Aurare, transformado en un arroyo intermitente, bajos aportes de agua de escorrentía y el aumento de poblaciones en sus alrededores, modificando el paisaje por la deforestación, la caza y el desarrollado actividades agropecuarias (Vera et al. 2021).
En la Ciénaga de La Palmita se ha estudiado poco en el campo de la zoología, destacándose un trabajo que describe la ictiofauna (González & Borjas, 2003), y un estudio preliminar donde solo mencionan a los invertebrados más comunes en el área, pero no se reportan todas las especies (Olivares, 1988). Se estima que, en el bosque de manglar del área, existe una macrofauna desconocida, dadas las características ambientales de este ecosistema, sustrato que comúnmente alberga varios grupos de invertebrados que forman una comunidad de importancia ecológica (Márquez & Jiménez, 2002; Quiceno Cuartas & Palacio Baena, 2008; Molina et al. 2017), que requiere del manglar como productor primario y base de la cadena trófica. En este sentido, debido a la escasa información publicada sobre comunidades de invertebrados en la zona, el presente estudio tuvo como objetivo estudiar la composición de la macrofauna bentónica asociada a raíces de R. mangle en la Ciénaga de La Palmita, Sistema de Maracaibo, Venezuela.
Materiales y métodos
Área de estudio
La Ciénaga de La Palmita (10º 35’ 12”- 10º 38’ 23” N y 71º 26’ 41”- 71º 31’ 15”) está ubicada en la costa oriental del lago de Maracaibo, entre los municipios Santa Rita y Miranda del estado Zulia, y dentro del Sistema de Maracaibo se encuentra en la zona del estrecho; es decir, entre la porción más salina representada por el golfo de Venezuela y el lago de Maracaibo como zona menos salina (Rodríguez, 2000). Este humedal incluye costas de manglares, pantanos y lagunas que actúan como ecotono entre la zona de explayamiento del río Aurare y el estrecho del lago de Maracaibo, con una superficie de 100 hectáreas. El clima es tropical seco, la precipitación media anual oscila entre los 400 a 500 mm, registrándose las mayores precipitaciones en mayo y octubre, la evaporación alcanza los 1 400 mm y la temperatura promedio es de 29°C (Aguilera & Riveros, 1993; Lárez et al. 2021). La vegetación es mayormente xerofítica, al noreste se encuentra el bosque seco tropical y el bosque de manglar se sitúa en el borde costero y riberas de la ciénaga, formado en su mayoría por R. mangle (Vera et al. 2010; Vera et al. 2021). En cuanto a la hidrografía, el río Aurare posee un flujo intermitente que drena al estrecho directamente, a través de la Ciénaga de La Palmita (Barrios et al. 2018).
Diseño del muestreo y procesamiento de muestras
Los muestreos se realizaron en mayo de 2018, durante marea alta, entre las 11:00 y 17:00 horas. Para estudiar la composición de la macrofauna bentónica adherida a las raíces del mangle rojo y determinar si existen variaciones en la distribución de especies por el gradiente ambiental, se establecieron 8 estaciones denominadas E1, E2, E3, E4, E5, E6, E7 y E8, las cuales se distribuyeron de manera equidistante a lo largo de la ensenada La Palmita (zona bordeada por el bosque de mangle rojo). En cada estación se midieron por duplicado, los siguientes parámetros fisicoquímicos del agua: la salinidad (UPS), la temperatura (°C), la profundidad (cm) con una cinta métrica y la transparencia (cm) con un disco de Secchi (Rice et al. 2017).
Para el estudio de la macrofauna hicieron recorridos a pie y en bote, siguiendo la línea de la costa en sentido sur-norte (Fig. 1). En cada estación se extrajeron al azar 2 raíces sumergidas de R. mangle (vivas y sanas, no afianzadas al sustrato), cortando la raíz con segueta sobre el nivel de línea de marea alta y se introdujo en una bolsa plástica previamente rotulada. Cada muestra se fijó en campo con formalina al 10%, por 48 horas, las bolsas se cerraron con una banda elástica para su traslado al laboratorio (Márquez & Jiménez, 2002).

Las muestras se procesaron en el Laboratorio de Ecología General de la Facultad Experimental de Ciencias de la Universidad del Zulia, donde se procedió a realizarle un lavado y raspado superficial a cada raíz, reteniendo los especímenes en un tamiz de 425 micras (µm), adicionalmente se les hizo un corte longitudinal, donde se evidenció que ninguna muestra presentó perforaciones o cavidades en su interior. Los organismos obtenidos se preservaron en alcohol etílico al 70%. Finalmente, bajo una lupa estereoscópica binocular, los especímenes se cuantificaron e identificaron hasta el taxón más bajo posible mediante claves taxonómicas (Díaz & Puyana, 1994; Ortiz, 1994; Severeyn & Rodríguez, 2000; LeCroy, 2004; García, 2007; Nava et al. 2011; Hiebert, 2015).
Análisis de datos
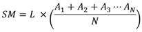
Se determinó la densidad de los organismos presentes en las raíces, midiendo la longitud (largo) y la circunferencia en 3 alturas distintas de cada raíz (bajo el corte, en el medio y sobre el ápice). Con estos datos se aplicó la siguiente fórmula:

Donde: SM=superficie muestreada, L=longitud de la parte radical muestreada, A=circunferencia de la raíz a determinada altura, N=número de medidas de circunferencias tomadas a distintas alturas. Luego, se calculó un factor de conversión del área a cada raíz, para extrapolar el área muestreada a un 1m2. Este factor fue calculado a través de la relación: F=1m2/SM, con los valores de cada factor de conversión y de los números de organismos recolectados en cada raíz se estimó la densidad (Ind./m2), de acuerdo con la fórmula: D=F(n) × N.O. donde: D=Densidad (Ind./m2), N.O=Número de organismos en cada estación, F(n)=Factor de conversión en cada estación (Ordosgoitti, 1985; Acosta-Balbas et al. 2014). Se aplicó una prueba de Kruskal-Wallis, para observar diferencias significativas entre la densidad de organismos entre estaciones de muestreo.
Adicionalmente se evaluaron los índices ecológicos utilizados en estudios de ecología de comunidades. Para determinar la diversidad se empleó el índice de Shannon-Wiener (H’), para evaluar la equitatividad se utilizó el índice de Equidad de Pielou (J’), la riqueza específica (S) se expresó por el número de especies en cada estación, y la abundancia relativa de estas se calculó por el coeficiente del número de individuos observados de una especie, entre el número total de individuos de todas las especies observadas (Ni/Nt × 100) (Magurran, 1988). Además, se determinó el índice de Constancia de especies, según Krebs (1985) que establece 3 categorías, a) especies constantes (C): las encontradas en más del 50% de ocasiones de muestreo; b) especies accesorias (Acs): las presentes entre el 25 y 49% y c) especies accidentales (Acc): las presentes en menos del 25% de los muestreos. Estos índices se calcularon utilizando el paquete estadístico PAST versión 3.08 (Hammer et al. 2001).
Resultados
La salinidad fue constante presentando variaciones mínimas, con 13 UPS en las estaciones 2, 4, 5, 6 y 8, y 14 UPS en las estaciones 1, 3 y 7 (Fig. 2A), en cuanto a la temperatura, espacialmente las estaciones situadas a los extremos de la ensenada (2, 3 y 8) presentaron temperaturas relativamente bajas (29°C) a excepción de la estación 1 con una temperatura moderada de 31°C, mientras que las estaciones ubicadas al centro de la ensenada (4, 5, 6 y 7) se mantuvieron altas (33-34°C) (Fig. 2B). La transparencia fue heterogénea, se encontró la mayor transparencia en las estaciones 1 y 2, y las menores en las estaciones 3, 4, y 7 (Fig. 2C). La profundidad osciló entre 75 y 149 cm, la menor profundidad se halló en la estación 1 con 75 cm y, a medida que se ascendía, incrementaba en las siguientes estaciones (2, 3 y 4), manteniéndose un valor similar entre las estaciones 4 y 7, con un leve descenso en la estación 5, para luego descender en la estación 8 (Fig. 2D).

En total se procesaron 16 raíces de R. mangle, con una longitud mínima de 40.5 cm, máxima de 80 cm y un promedio de 59.4 ± 4.37 cm, y una circunferencia mínima de 4 cm, máxima de 10.3 cm y un promedio de 6.5 ± 1.75 cm, donde se cuantificaron 27 014 organismos pertenecientes a 3 Phyla: Arthropoda, Annelida y Mollusca. Se identificaron 6 clases, 13 órdenes, 19 familias y 20 especies de las cuales 14 se identificaron hasta su epíteto específico y 6 quedaron en géneros (Cuadro 1). El Subphylum Crustácea fue el grupo más abundante con 25 285 especímenes, representando el 93.6% de la composición de especies, seguido del Phylum Annelida con 891 individuos lo equivalente al 3.3%, el Phylum Mollusca con 423 individuos que corresponden al 1.6%, y el Subphylum Hexapoda con 415 individuos, conformando el 1.5% (Fig. 3A y 3B).


El cirrípedo Balanus amphitrite fue la especie más abundante con un total de 17 988 individuos, seguido del tanaidaceo Sinelobus stanfordi con 4 015 individuos, encontrando varias hembras ovadas, al igual que el anfípodo Americorophium sp., en tercer lugar; el isópodo Anopsilana jonesi que ocupa el cuarto lugar, sigue el poliqueto Nereis succinea; el díptero Dicrotendipes sp.; el poliqueto Capitella sp.; el isópodo Cassidinidea ovalis; los anfípodos Grandidierella japónica y Gitanopsis sp. como novena y décima especies más abundantes respectivamente.
Entre las 10 especies de menor abundancia, se encuentra el bivalvo Mytilopsis sp., el cangrejo Uca pugilator; el mejillón Mytella maracaiboensis; el caracol Pyrgophorus platyrachis; el mejillón Geukensia demissa; el cangrejo Aratus pisonii; los gasterópodos
Neritina reclivata (la mejor distribuida) y Tarebia granifera; el isópodo Ligia sp. y la almeja Polymesoda solida con tan solo 1 individuo (Cuadro 2). Por otro lado, la estación 4 presentó la mayor abundancia (4 792 ind.), mientras que las más baja correspondió a la estación 7 (2 307 ind.) (Cuadro 2). De acuerdo con el índice de Constancia, 14 especies fueron constantes, encontrándose más del 50% de las raíces; 3 fueron accesorias, dado que se hallaron entre el 25 y 49%, mientras que 3 fueron raras o accidentales, por encontrarse en menos del 25% (Cuadro 2).
La densidad por estación estuvo comprendida entre 345.2 ind/m2 en la estación 7 y 577.9 ind/m2 en la estación 4 (460.9 ± 85.34 ind/m2) (Fig. 4). Se encontraron diferencias significativas en la abundancia de invertebrados presentes en las raíces de R. mangle entre las estaciones de muestreo (Kruskal-Wallis: Fs= 11.29, P < 0.007).
La riqueza total fue de 20 especies y la riqueza específica osciló entre 11 especies en la estación 7 y 16 especies en la estación 2. El índice de diversidad de Shannon-Wienner, estuvo comprendido entre H’=1.12 y H’=2.01, la estación 4 mostró el valor más alto de diversidad y los valores más bajos se observaron en las estaciones 2 y 3. La equidad por estación mantuvo una correspondencia con la diversidad; encontrando la mayor equitatividad en la estación 4 y la menor en las estaciones 2 y 3 (Cuadro 3).



Discusión
La macrofauna identificada en La Ciénaga de La Palmita se trata de especies habitantes propias de raíces de mangle rojo, y aunque existen variaciones en la composición de ellas, lo encontrado en este ecosistema zuliano es consistente con lo reportado por otros estudios de invertebrados asociados a la superficie de raíces de R. mangle de otras regiones del Caribe que se mencionan a continuación; García Padilla & Palacio (2008) en las bahías Turbo y El Uno, Colombia, reportaron 28 especies, de las cuales 8 coincidieron con las encontradas en nuestro estudio; Ruiz & López (2014) en la laguna costera de La Mancha, México, identificaron 28 especies y 8 de ellas también coinciden con las encontradas en este estudio, Molina et al. (2017) en el delta del río Ranchería, Guajira colombiana, identificaron 38 especies, 6 en común con este trabajo que presenta un número de especies (20) menor al descrito en esos trabajos y mayor al referido por Molina (2017), quien reporta 12 especies en un estuario de la Guajira, 5 en común con nuestro estudio.
Los estudios que se mencionan a continuación, sobre macrofauna asociada a la superficie de raíces de mangle rojo en ambientes intermareales marinos de Venezuela, muestran una riqueza mayor en comparación con la Ciénaga de La Palmita, así tenemos a Cedeño et al. (2010) que reportaron 61 especies en la laguna de Bocaripo, estado Sucre, y solo 2 coinciden con nuestro estudio; Acosta-Balbas et al. (2014) en isla Larga, estado Sucre, identificaron 60 especies de moluscos y ninguna fue coincidente con las observadas en este trabajo, y Quintero et al. (2021) encontraron 46 especies de crustáceos en la laguna de Cocinetas, Guajira venezolana, con 2 especies en común respecto al presente trabajo. Estas diferencias probablemente se deban a que esos estudios y las especies que reportan son de ambientes principalmente marinos, en contraste con el área de estudio, un ambiente intermareal estuarino. La presencia de B. amphitrite, S. stanfordi y Americorophium sp. como especies dominantes, muestra su adaptación a este ambiente y sugiere que los organismos eurihalinos son los principales representantes de la taxocenosis estudiada.
Al comparar la abundancia total que se obtuvo en la Ciénaga de La Palmita (27 014 individuos) con los estudios de Quintero et al. (2021) que contabilizaron 6 139 organismos; Cedeño et al. (2010) que colectaron una totalidad de 1 465 organismos; Acosta-Balbas et al. (2014) que cuantificaron 20 893 organismos y Molina (2017) que cuantificó un total de 1 513 individuos, se evidencia que esta fue elevada, aun considerando que el número de muestras es menor a esos trabajos. En estudios de invertebrados asociados a raíces de mangle rojo es difícil comparar zonas, cuyas áreas de muestreos son diferentes (Acosta-Balbas et al. 2014) y es importante considerar que la abundancia varía según las condiciones ambientales existentes en el área y el tamaño de la muestra (Cedeño et al. 2010).
El porcentaje de moluscos (1.56%) es menor al encontrado en otros trabajos como el de Cedeño et al. (2010), donde conformaron el 74.6% y Molina (2017) encontró un 57.89% de moluscos. Mientras que el porcentaje de crustáceos (93.60%) resultó mayor al descrito por Cedeño et al. (2010) con un 25.4% de crustáceos; en los trabajos de Ruiz & López (2014) y Molina et al. (2017) los crustáceos representaron el 42%. Lacerda et al. (2001) mencionan a los crustáceos como el grupo de mayor importancia en los manglares, dado que contribuyen en la degradación y transformación de materia orgánica producida por estas plantas.
Resaltando las especies identificadas, tenemos que B. amphitrite fue la especie dominante, como mencionan otros estudios (Valle, 2007; García Padilla y Palacio, 2008; Cedeño et al. 2010), formando grandes conglomerados en las raíces. En general, los cirrípedos requieren aguas tranquilas para establecerse y se desarrollan mejor en aguas turbias que en claras, debido a su necesidad de alimentarse de materia en suspensión (Romero, 2004), siendo comunes en estuarios donde los niveles de salinidad les favorecen (Rodríguez, 2000). El aumento del nivel de la marea y turbidez durante el muestreo en las estaciones 3 y 4, aunado a la profundidad que se mantiene en esas estaciones, patrón similar al descrito por Cedeño et al. (2010), favorece a estos organismos con movilidad restringida, los cuales necesitan del agua circundante para captar oxígeno y alimento (Lárez et al. 2021).
La segunda especie numéricamente importante, es el tanaidáceo S. stanfordi, el cual presenta distribución mundial y es considerada invasora en muchos países, tolerando fluctuaciones ambientales (Haaren & Soors, 2009), muestra asociación con los anfípodos (LeCroy, 2004; Hiebert, 2015), lo que coincide con lo encontrado en este estudio, y aunque la mayoría son marinos, pueden adaptarse a los cambios de salinidad, encontrándose en salinidades menores (10 UPS) de ambientes salobres y también dulceacuícolas (Lárez et al. 2021).
La presencia y abundancia del anfípodo Americorophium sp. se explica, por tratarse de un crustáceo principalmente estuarino (LeCroy, 2004), señalado como especie dominante en otros estuarios (Molina, 2017), adaptado al tipo de sustrato, raíces de R. mangle como sustrato duro (Hiebert, 2015) y asociado a tanaidáceos, poliquetos y otros anfípodos. G. japonica es una especie exótica formadora de tubos sobre sustratos fangosos, a menudo en aguas costeras y estuarios salobres (Lee, 2008) y Gitanopsis sp. de aguas tropicales. La abundancia de estos anfípodos en el área es importante, pues sustenta la diversidad de este grupo de crustáceos, presentes tanto en ambientes marinos, como estuarinos y dulceacuícolas (Mazé, 2015).
Gitanopsis sp. es una especie de hábitats marino costeros y sistemas lagunares o estuarios. Se ha descrito, en otros sustratos, asociada a macroalgas marinas en playas de la península de Paraguaná (Flores, 2012) y bentos de la región estuarina en el delta del Orinoco (Martín & Díaz, 2007). La presencia de este anfípodo en raíces inmersas de mangle rojo constituye el primer registro para el Sistema de Maracaibo, lo que amplía los límites de distribución de esta especie en Venezuela.
Las condiciones ambientales del área son idóneas para Nereis (Neanthes) succinea, de acuerdo con León & Solís (1997) este poliqueto se distribuye en estuarios, cosmopolita en aguas tropicales, en algas y raíces de mangle y típico de aguas contaminadas. En el grupo de los decápodos, se destacó el cangrejo violinista (Uca pugilator), evidenciándose que la totalidad de individuos cuantificados correspondían a juveniles, lo cual está relacionado con la fase planctónica de su ciclo de vida, en la que llegan a la raíz, colonizándola de este modo (Molina et al. 2017).
El mejillón Mytilopsis sp. aunque fue el molusco más abundante, su abundancia es menor a la reportada en otros trabajos (García Padilla & Palacio, 2008; Ruíz & López, 2014 y 1), lo que está relacionado con los niveles de salinidad del área (13-14 UPS), pues en salinidades menores (1419 UPS) su presencia se ve afectada, creciendo más en salinidades mayores a 20 UPS (Llanes & González, 2002).
La presencia del caracol P. platyrachis solo en las estaciones 1 y 2, tiene que ver con el sedimento en esas estaciones, que corresponde a zonas submareales, dado que esta especie se distribuye en ambientes caracterizados por presentar sedimentos arenosos finos a semifangosos (Nava et al. 2011), y las demás estaciones se ubican en la porción de la ensenada caracterizada por presentar fondo fangoso (Vera et al. 2021). Mientras que para el caracol N. reclivata es posible que la competencia por espacio con los cirrípedos sea el motivo de su poca abundancia (Lárez et al. 2021). Cabe destacar que los individuos se encontraron debajo del nivel de línea marea en la parte superior de la raíz desprovista de cirrípedos, lo que coincide con lo descrito en otros sustratos con un patrón de zonación espacial representado por una zona de N. reclivata en el límite superior, seguida por la dominancia de B. amphitrite en la zona media e infralitoral (Lárez et al. 2021).
El área tiene una salinidad constante (13-14 UPS). Mayo corresponde al final de la temporada seca y comienzos de la lluviosa (Aguilera & Riveros, 1993). La ubicación en una zona ecotonal del estrecho del Sistema de Maracaibo, bajo mayor influencia de aguas dulces provenientes del río Aurare y escorrentía pluvial que desemboca al lago, en contraste con las aguas saladas procedentes del golfo de Venezuela (Olivares, 1988), crean condiciones para existencia de bajos niveles de salinidad. Cabe señalar que las estaciones se dispusieron en la ensenada, donde la influencia salina depende mayormente de las aguas del lago, y en menor medida de la laguna y del río Aurare. Se estima que la predominancia de crustáceos sobre moluscos se debe a su naturaleza estuarina, donde los niveles de salinidad favorecen el desarrollo de crustáceos (Molina, 2017) y los estudios de Cedeño et al. (2010) y Acosta-Balbas et al. (2014) que mencionan predominancia de moluscos, se han realizado en ambientes principalmente marinos.
La fluctuación de temperatura coincide con la biestacionalidad pluvial. En el estrecho del Sistema de Maracaibo la temperatura promedio anual es de 28.4 ± 2.34°C. En mayo comienzan a registrarse altas temperaturas, patrón descrito en áreas costeras del oriente de Venezuela, con un promedio de 35ºC entre mayo y septiembre (Cedeño et al. 2010). Las altas temperaturas de las estaciones localizadas al centro de la ensenada se deben a una menor exposición al oleaje por estar más alejadas del flujo de mareas del lago, mientras que las estaciones en los extremos se encuentran más cerca las aguas abiertas del lago, las cuales tienen mayor variabilidad de temperatura (Cedeño et al. 2010).
La transparencia varía según la ubicación de las estaciones, el efecto de las mareas e incluso la contaminación, ya que la ensenada La Palmita representa una zona caracterizada por presentar aguas estuarinas, tranquilas, turbias y de fondo fangoso (Vera et al. 2021). Además, la toma de muestras en horas de la tarde, donde los vientos presentan velocidades mayores, pudiera favorecer el incremento de turbidez (Lárez et al. 2021). Este parámetro tiene una influencia estacional, donde la columna de agua es más turbia en la temporada lluviosa por las descargas de ríos y arroyos, siendo más clara en temporada seca (Ruiz & López, 2014); por ende, la lluvia y los vientos influyen, de forma moderada, en la transparencia de las aguas (Odum, 1972). El crecimiento del afluente del río Aurare y descarga al lago, crea mayor disponibilidad de nutrientes que pueden aprovechar los individuos de este ecosistema, lo cual favorece el desarrollo de algunas especies adaptadas a cambios bruscos de turbidez como N. succinea, S. stanfordi, G. japónica, Gitanopsis sp. y B. amphitrite (León & Solís, 1997; Romero, 2004; Lee, 2008; Lárez et al. 2021).
Los cuerpos lagunares con poca profundidad o menor a 1.5 metros facilitan la mezcla de la columna de agua, ocasionada por la acción del viento y las mareas (Flores et al. 1992). Se observó que el nivel de la marea incrementa en horas de la tarde, puesto que se llena con las aguas estuarinas procedentes del estrecho del Sistema de Maracaibo, por acción de las mareas semidiurnas comunes en el área (Lucart et al. 2016).
Como se observa, la variación de estos parámetros, aunque puntuales y espaciales, reflejan las características ambientales del área, provocando respuestas ecológicas en los organismos, por las diferencias de profundidad, exposición al oleaje o cambios de mareas, contacto con aguas de distinta salinidad entre las estaciones ubicadas a los extremos de la ensenada y las localizadas al centro, siendo la profundad y la salinidad parámetros que pueden mantenerse en el tiempo, en contraste con la temperatura y transparencia que suelen variar con la estacionalidad (Lárez et al. 2021). La macrofauna en raíces de R. mangle varía en su estructura, dependiendo de la ubicación respecto a los límites del sistema, interacción con los hábitats adyacentes y las migraciones entre los distintos ambientes del área (Cedeño et al. 2010).
La alta diversidad de organismos en las estaciones 4 y 1, que a la vez obtuvieron mayor equitatividad, puede estar relacionada a las condiciones ambientales favorables y a un mayor desarrollo de las raíces de R. mangle en esas estaciones, lo que ofrece una variedad de microhábitats para los organismos (Acosta-Balbas et al. 2014). Parece ser que el efecto de la actividad antrópica y el menor intercambio de mareas sustenta la baja diversidad encontrada en las estaciones 2 y 3. La baja de abundancia y densidad por raíz en las estaciones 5 y 7, se deben al poco desarrollo del manglar en esas estaciones, encontrando solo árboles jóvenes de R. mangle.
Los valores reportados en esta investigación son similares a los descritos por Morao (1983) en la laguna de la Restinga, con diversidades entre 0.35-2.44; Valle (2007) reporta valores de diversidad entre 2.23-2.81, en La Ciénaga de Cholón, isla Barú, el cual varía de una estación a otra. Lo que sugiere que, la ubicación de las estaciones frente a la exposición del oleaje y ciclos de mareas condiciona la distribución y diversidad de especies. Odum (1972) afirma que la diversidad es baja en los ecosistemas alterados físicamente, y es un hecho que los cambios periódicos del ciclo de mareas influyen en la composición de la macrofauna (estaciones 2 y 3).
En cuanto al índice de constancia, 14 de 20 especies, aun variando su abundancia entre estaciones, resultaron constantes por estar presentes en más del 50% de las mismas. Las especies accesorias N. reclivata, G. demissa y P. platyrachis, presentes en menos del 49% de las estaciones, se debe a la afinidad de sustrato que prefieren, G. demissa un mejillón introducido que se ha extendido en el Sistema de Maracaibo, es abundante en los niveles más bajos de las playas, en especial en las orillas (Rodríguez, 2000), como en la estación 1, P. platyrachis solo en las estaciones 1 y 2, caracterizadas por presentar sedimentos arenosos finos, el sustrato habitual del gasterópodo (Nava et al. 2011). Para las especies accidentales presentes en menos del 25% de las estaciones, como P. solida, un caso similar reporta García Padilla & Palacio (2008) y es mencionada en el área de estudio, localizada solo entre la arena y el fango frente al manglar (Olivares, 1988); T. granifera se trata de una especie exótica dulceacuícola, registrada en sitios rodeados de vegetación y playas arenosas soleadas (Naranjo-García & Olivera-Carrasco, 2014); y para Ligia sp. su distribución y abundancia está ligada a su movilidad, que se encuentran por debajo del límite de mareas, pero nunca inmersos y al sentirse amenazados huyen a ocultarse (Kensley y Schotte, 1994).
En conclusión, la macrofauna bentónica asociada a raíces inmersas de R. mangle en la Ciénaga de La Palmita, es similar a la descrita en otras áreas de Venezuela y el Caribe, presentando una baja proporción y riqueza de moluscos y una alta proporción y abundancia de crustáceos. El cirrípedo B. amphitrite fue la especie dominante, seguida del tanaidáceo S. stanfordi y el anfípodo Americorophium sp., especies caracterizadas por su naturaleza estuarina y adaptación a zonas tropicales. Los parámetros fisicoquímicos indican que este importante ecosistema costero se trata de un ambiente estuarino de poca fluctuación y baja salinidad, donde confluyen especies típicamente marinas y especies estuarinas con predominancia de crustáceos
Agradecimientos
Al Laboratorio de Ecología General (FEC-LUZ) por prestar parte del apoyo logístico. A los dos árbitros anónimos, así como a Nidya Nova Bustos, Editora REVMAR por sus observaciones y sugerencias al manuscrito
Referencias
Acosta-Balbas, V., Betancourt-Tineo, R. & Prieto-Arcas, A. (2014). Estructura comunitaria de bivalvos y gasterópodos en raíces del mangle rojo Rhizophora mangle (Rhizophoraceae) en isla Larga, bahía de Mochima, Venezuela. Rev. Biol. Trop., 62(2), 551-565. https://doi.org/10.15517/rbt.v62i2.9803
Aguilera, M. & Riveros, J. (1993). Diagnóstico preliminar de la Ciénaga de La Palmita, municipios Miranda y Santa Rita e isla de Pájaros, municipio Santa Rita. Venezuela. PROFAUNA & MARNR.
Barrios, M., Rodríguez-Olarte, D. & Rodríguez, P. (2018). Ríos en riesgo de Venezuela. Volumen 2. Colección Recursos hidrobiológicos de Venezuela. En D. Rodríguez-Olarte (Ed). Los ríos en riesgo en la costa oriental del lago de Maracaibo (pp. 31-46). Venezuela: UCLA.
Castaing, A., Jiménez, J. M. & Villalobos, C. (1980). Observaciones sobre la ecología de manglares de la costa pacífica de Costa Rica y su relación con la distribución del moluscos Geloina inflata (Philippi) (Pelecypoda: Corbiculidae). Rev. Biol. Trop., 28, 323-339.
Cedeño, J., Jiménez, M., Pereda, L. & Thays, A. (2010). Abundancia y riqueza de moluscos y crustáceos asociados a las raíces sumergidas del mangle rojo (Rhizophora mangle) en la laguna de Bocaripo, Sucre, Venezuela. Rev. Biol. Trop., 58(Supl. 3), 213-226. https://doi.org/10.15517/rbt.v58i0.20079
Díaz, J. & Puyana, M. (1994). Moluscos del Caribe colombiano. Un catálogo ilustrado. Colombia. Colciencias-Fundación Natura-Invemar.
FAO. (2007). The world´s mangroves 19802005. EE. UU.: FAO.
Flores, A. (2012). Composición y abundancia de Anfípodos (Crustacea: Gammaridea) asociados a macroalgas marinas en las playas de Adicora y Buchuaco, estado Falcón, Venezuela. (Tesis de licenciatura no publicada). Universidad del Zulia, Venezuela.
Flores, F., González, F., Zamorano, D. & Ramírez, P. (1992). Mangrove ecosystems of the Pacific coast of Mexico: Distribution, Structure, Litterfall and Detritus Dynamics. In U. Seeliger (Ed.), Coastal Plant Communities of Latin America (pp. 383-392). Brazil: Academic Press, Inc.
García, M. (2007). Clave ilustrada para las familias de anfípodos gamáridos (Peracarida: Amphipoda) litorales del Pacífico oriental tropical y glosario de términos. Ciencia y Mar, XI(32), 3-27.
García Padilla, J. & Palacio, J. (2008). Macroinvertebrados asociados a las raíces sumergidas del Mangle Rojo (Rhizophora mangle) en las bahías Turbo y El Uno, golfo de Urabá (Caribe Colombiano). Gestión y Ambiente, 11(3), 55-66.
González, E. & Borjas, J. (2003). Inventario de la ictiofauna de la ensenada de La Palmita, estrecho del lago de Maracaibo, Venezuela. Bol. Centro Invest. Biol., 37(2), 83-102.
Haaren, T. & Soors, J. (2009). Sinelobus stanfordi (Richardson, 1901): A new crustacean invader in Europe. Aquatic Invasions, 4(4), 703-711. http://dx.doi.org/10.3391/ai.2009.4.4.20
Hammer, O., Harper, D. A. & Ryan, P. D. (2001). Past: paleontological statistics software package for education and data analysis. Paleontol. Electrón, 4(1), 1-9.
Hiebert T. (2015). Americorophium brevis. In T. C., Hiebert; B. A., Butler; & A. L., Shanks (Eds.), Oregon Estuarine Invertebrates: Rudys’ Illustrated Guide to Common Species (pp. 282-286). EE. UU.: University of Oregon Libraries and Oregon Institute of Marine Biology.
Kensley, B. & Schotte, M. (1994). Marine isopods from the Lesser Antilles and Colombia (Crustacea: Peracarida). Proceedings of the Biological Society of Washington107(3): 482-510.
Krebs, C. (1985). The experimental analysis of distribution and abundance (3er. Ed.). EE. UU.: Harper and Row.
Lacerda, L., Conde, J., Kjerfve, B., Álvarez-León, R., Alarcón, C. & Polanía, J. (2001). American Mangroves. In L. D. de Lacerda (Ed.), Mangrove Ecosystem: Function and Management (pp. 144-367). EE. UU.: Springer-Verlag.
Lalana, R., Álvarez, M., Ortiz, M., Pérez, M. & Veledo, T. (1985). Organismos asociados a las raíces de mangle Rhizophora mangle, en lagunas costeras y de cayos. Rev. Invest. Mar.VI (2-3), 59-71.
Lárez, L., Mendoza, J., Pereira, N., Nava, M. & Cabrera, L. (2021). Macroinvertebrados bentónicos intermareales de la costa oriental del lago de Maracaibo, Venezuela. Rev. REDIELUZ, 11(2), 122-130. https://doi.org/10.5281/zenodo.6812282
Llanes, C. & González, N. (2002). Evaluación de los mejillones Mytilopsis sallei (Recrúz) y Brachiodontes exustus (Linné) como bioindicadores de materia orgánica en la bahía de Chetumal, México. Universidad y Ciencia, 18(35), 29-41.
LeCroy, S. (2004). An illustrated guide to the nearshore marine and estuarine Gammaridean Amphipoda of Florida. Vol. 3. Families Bateidae, Biancolinidae, Cheluridae, Colomastigidae, Corophiidae, Cyproideidae and Dexaminidae. EE. UU.: Ocean Springs, University of Southern Mississipi.
Lee, S. (2008). Mangrove macrobenthos: Assemblages, services and linkges. J. Sea Res., 59, 6-29.
León, J. & Solís, W. (1997). Comisión nacional para el conocimiento de la biodiversidad. Nereididae. (Annelida: Polychaeta) de México. Informe Final Proyecto H-01. México. Sin editorial.
Lucart, A., Hernández, L., Ortega, M. & Barboza, F. (2016, julio). Fenología reproductiva de R. mangle, L. racemosa y C. erectus presentes en costa occidental del estrecho del lago de Maracaibo. Ponencia presentada en el V Congreso Venezolano, VI Jornadas Nacionales de Investigación Estudiantil “Dr. Jesús Enrique Lossada”, Maracaibo, Venezuela.
Lucas, E. & De la Cruz, V. (2018). Macroflora y macrofauna asociada a las raíces sumergidas de Rhizophora mangle (Rhizophoraceae), en la laguna Tampamachoco, Veracruz, México. Rev. Colombiana Ciencia Animal, 10(1), 31-42. https://doi.org/10.24188/recia.v10.n1.2018.629
Magurran, A. (1988). Ecological Diversity and Its Measurement. EE. UU.: Princeton.
Márquez, B. & Jiménez, M. (2002). Moluscos asociados a las raíces sumergidas del mangle rojo Rhizophora mangle, en el golfo de Santa Fe, estado Sucre, Venezuela. Rev. Biol. Trop., 50(3/4), 1101-1112.
Martín, A. & Díaz, Y. (2007). Biodiversidad de crustáceos peracáridos en el delta del río Orinoco, Venezuela. Rev. Biol. Trop., 55 (Supl. 1), 87-102. https://doi.org/10.15517/rbt.v55i0.5809
Mazé R. (2015). Clase Malacostraca Orden Amphipoda. Revista Ibero Diversidad Entomológica @ccesible, 82, 1-10.
Mazparrote, S. (1986). Fundamentos de ecología. Venezuela. Editorial Biosfera.
Medina, E. & Barboza, F. (2006). Lagunas costeras del lago de Maracaibo: Distribución, estatus y perspectivas de conservación. Ecotrópicos, 19, 128-139.
Medina, P., Marín, M., Polo, C., Reyes, L. & Godoy, A. (2005). Isópodos en raíces de mangle rojo (Rhizophora mangle), en isla San Carlos, estado Zulia, Venezuela. Bol. Centro Invest. Biol., 39(1), 67-79.
Molina, G. (2017). Malacofauna y Carcinofauna asociada a Rhizophora mangle (L, 1753) en un estuario: río Ranchería, La Guajira, Colombia. Rev. Posgrado y Sociedad, 15(1), 27-38. https://doi.org/10.22458/rpys.v15i1.1823
Molina G.; Jiménez, A.; & Nava, M. (2017). Taxocenosis Mollusca-Crustacea en raíces de Rhizophora mangle, delta del río Ranchería - La Guajira, Colombia. Intropica, 12(2), 87-100.
Morao, A. (1983). Diversidad y fauna de moluscos y crustáceos asociados a las raíces sumergidas del mangle rojo, Rhizophora mangle en la laguna de la Restinga. (Tesis de licenciatura no publicada). Universidad de Oriente, Venezuela.
Naranjo-García, E. & Olivera-Carrasco, M. (2014). Moluscos dulceacuícolas introducidos e invasores. En R. Mendoza & P. Koleff (Eds.). Especies acuáticas invasoras en México (pp. 337-345). México: Comisión Nacional para el Conocimiento y Uso de la Biodiversidad.
Nava, M.; Severeyn, H.: & Machado, N. (2011). Distribución y taxonomía de Pyrgophorus platyrachis (Caenogastropoda: Hydrobiidae), en el Sistema de Maracaibo, Venezuela. Rev. Biol. Trop., 59(3), 1165-1172. https://doi.org/10.15517/rbt.v0i0.3388
Odum, E. (1972). Fundamentals of Ecology. EE. UU.: W. B. Saunders Company.
Olivares, D. (1988). Caracterización ecológica del manglar de la Ciénaga las Palmitas (estado Zulia, Venezuela). Bol. Centro Invest. Biol., 17, 91-119.
Ordosgoitti, R. (1985). Estudio ecológico de la epifauna en raíces sumergidas del mangle Rhizophora mangle en la bahía de Mochima. (Tesis de licenciatura no publicada). Universidad de Oriente, Venezuela .
Ortiz, M. (1994). Clave gráfica para la identificación de familias y géneros de anfípodos del suborden Gammaridea del Atlántico Central Tropical. An. Inst. Invest. Mar. Punta Betín, 23(1), 59101. http://dx.doi.org/10.25268/bimc.invemar.1994.23.0.389
Quiceno Cuartas, P. & Palacio Baena, J. (2008). Aporte al conocimiento de los macroinvertebrados asociados a las raíces del mangle (Rizophora mangle) en la ciénaga la Boquilla, municipio de San Onofre, Sucre. Gestión y Ambiente, 11(3), 67-78.
Quintero, E., Polanco, D., Yamarte, R. & Reyes, J. (2021). Crustáceos asociados a raíces sumergidas de Rhizophora mangle en la laguna de Cocinetas, Alta Guajira Venezolana. Rev. REDIELUZ, 11(1), 91-97.
República Bolivariana de Venezuela. (2000). Decreto N.º 730 sobre la creación de la Reserva de Fauna Silvestre Ciénaga de La Palmita e Isla de Pájaros. (Publicado en la Gaceta Oficial N.º 36.911, marzo 15). Venezuela: Imprenta Nacional.
Rice, E., Baird, R. & Eaton, A. (2017). Standard methods for the examination of water and wastewater (23rd ed.). EE. UU.: American Public Health Association, American Water Works Association, Water Pollution Control Federation.
Rodríguez, G. (2000). El sistema de Maracaibo. 2a edición. Venezuela: Instituto Venezolano de Investigaciones Científicas (IVIC).
Romero, P. (2004). Composición taxonómica y proceso sucesional de la fauna asociada a las raíces sumergidas de Rhizophora mangle (Mangle Rojo) de San Andrés isla. (Tesis de licenciatura publicada). Universidad de Bogotá Jorge Tadeo Lozano, Colombia.
Ruiz, M. & López, J. (2014). Variación espacio-temporal de la comunidad de macroinvertebrados epibiontes en las raíces del mangle rojo Rhizophora mangle (Rhizophoraceae) en la laguna costera de La Mancha, Veracruz, México. Rev. Biol. Trop., 62(4), 1309-1330. https://doi.org/10.15517/rbt.v62i4.12582
Severeyn, H. & Rodríguez, G. (2000). La fauna estuarina: Invertebrados. En G. Rodríguez (Ed.). El Sistema de Maracaibo. (pp. 140-224). Venezuela: Instituto de Investigaciones Científicas (IVIC).
Valle, A. (2007). Estructura del bosque de manglar y algunos aspectos sobre la fauna asociada a las raíces de Rhizophora mangle (L., 1773) en la ciénaga de Cholón, isla Barú, Municipio de Cartagena, Caribe Colombiano. (Tesis de licenciatura no publicada). Universidad de Bogotá Jorge Tadeo Lozano, Colombia.
Vera, A., Villareal, A. & Martínez, M. (2010). Composición florística de cuatro ambientes en la Ciénaga de La Palmita, estado Zulia, Venezuela. Acta bot. Venezuelica, 33(1), 23-32.
Vera, A., Pacheco, D., Barboza, F., Jiménez, L., Martínez, M. & León, E. (2021). Aportes para la zonificación de la Reserva de Fauna Silvestre Ciénaga de La Palmita e Isla de Pájaros, estado Zulia, Venezuela. Rev. REDIELUZ, 11(1), 85-90