Artículo
Variación temporal de la densidad y aspectos ecológicos del ictioplancton en la zona epipelágica de la fosa de Cariaco, Venezuela
Density temporal variation and ecological aspects of ichthyoplankton in the epipelagic zone of the Cariaco Trench, Venezuela
Variación temporal de la densidad y aspectos ecológicos del ictioplancton en la zona epipelágica de la fosa de Cariaco, Venezuela
Revista Ciencias Marinas y Costeras, vol. 2, núm. 15, pp. 34-53, 2023
Universidad Nacional, Costa Rica
Recepción: 06 Febrero 2023
Recibido del documento revisado: 24 Agosto 2023
Aprobación: 25 Agosto 2023
Resumen: Se describió la composición y los aspectos ecológicos de las larvas de peces presentes en la fosa de Cariaco, Venezuela. Se realizaron 7 campañas, mediante las cuales se colectaron muestras planctónicas entre octubre de 2012 y diciembre de 2013. Se utilizó una red cónica estándar de ahorque de 35 cm de diámetro de boca y poro de 300 micras. Los calados se efectuaron de manera horizontal, a una profundidad de 20 metros, con una duración de 15 minutos, a una velocidad de 2 nudos. Se obtuvo 322 larvas de peces: en 16 órdenes, 20 familias y 28 especies. Las familias Carangidae y Gobiidae presentaron mayor número de especies, con 6 y 3, respectivamente; mientras, Bregmacerotidae fue la que contribuyó con mayor densidad de organismos (53.29 org/100 m3), y constituyó la especie con mayor abundancia relativa Bregmaceros cantori, con un 29.81%. En general, la diversidad mensual resultó baja, con valores entre 0 y 1.55 bits/ind; no difirió estadísticamente entre meses (KW = 7.604; P = 0.2686). La riqueza de especies entre 0 y 2.06 tampoco presentó diferencias entre los meses (KW = 7.0927; P = 0.3124). El ictioplancton de la fosa de Cariaco estuvo dominado, principalmente, por familias de peces mesopelágicos como Bregmacerotidae y Myctophidae. De las 28 especies identificadas, el 54% es de interés comercial para el país, lo que proporciona valor adicional a la fosa de Cariaco.
Palabras clave: Larvas de peces, Cuenca de Cariaco, taxonomía, diversidad, composición.
Abstract: The composition and ecological aspects of fish larvae present in the Cariaco Trench, Venezuela, were described. Planktonic samples were collected between October 2012 and December 2013 during seven campaigns. A standard conical hanging net with a 35 cm mouth diameter and a 300-micron pore was used. Drafts were made horizontally, at a depth of 20 meters, with a duration of 15 minutes, at a speed of 2 knots. A total of 322 fish larvae was obtained: in 16 orders, 20 families and 28 species. The families Carangidae and Gobiidae presented the highest number of species, with 6 and 3, respectively; while Bregmacerotidae was the one that contributed with the highest density of organisms (53.29 org/100 m3), being the species with the highest relative abundance Bregmaceros cantori with 29.81%. In general, monthly diversity was low, with values between 0 and 1.55 bits/ind, not differing statistically between months (KW = 7.604; P = 0.2686). Species richness between 0 and 2.06 did not present differences between months either (KW = 7.0927; P = 0.3124). The ichthyoplankton of the Cariaco Trench was dominated mainly by families of mesopelagic fish such as Bregmacerotidae and Myctophidae. Of the 28 species identified, 54% are of commercial interest to the country, which provides additional value to the Cariaco Trench.
Keywords: Fish larvae, Cariaco Basin, taxonomy, diversity, composition.
Introducción
El ictioplancton representa la etapa temprana del ciclo de vida de los peces, constituido, únicamente, por los huevos y larvas de estos. Comprender esta fase es de gran importancia, ya que complementa la información sobre la biología, ecología y distribución de los peces en su etapa adulta. Asimismo, el ictioplancton juega un rol esencial en los mecanismos de transferencia de energía y en el equilibrio de los ecosistemas acuáticos (Köster et al. 2001; Frederiksen et al. 2006; Montagnes et al. 2010; Zhou et al. 2011). Igualmente, el conocimiento de las primeras fases del ciclo de vida de los peces tiene aplicaciones directas en el manejo, la administración y el control de los recursos pesqueros, lo que permite una mejor gestión de estos (Jupiter et al. 2014; Hsieh et al. 2016).
La densidad del ictioplancton puede experimentar cambios temporales significativos, influenciados por diversos factores. Entre estos se incluyen aspectos físicos como la temperatura del agua, los flujos de corrientes oceánicas y la presencia de nutrientes. Además, los elementos biológicos, como la reproducción estacional de los peces y las interacciones predador-presa, también pueden desempeñar un papel importante en las variaciones de densidad del ictioplancton (Houde, 2008; Cowen & Sponaugle, 2009). Tales modificaciones en la densidad pueden tener consecuencias ecológicas importantes, hecho que altera la disponibilidad de alimento para otras especies marinas y afecta tanto la organización como el comportamiento de los ecosistemas marinos. Por otro lado, las fluctuaciones en la densidad del ictioplancton pueden repercutir en la pesca y la acuicultura, ya que estas actividades dependen, en gran medida, de la presencia de peces en sus etapas iniciales de desarrollo (Rooker et al. 2008).
Es fundamental resaltar que el ictioplancton tiene una trascendencia más allá de su función en la cadena alimentaria y la economía, ya que también actúa como un indicador crucial de la salud y la condición de los ecosistemas marinos. Los estudios sobre la densidad y la composición del ictioplancton pueden proporcionar información valiosa sobre la productividad del océano, los efectos del cambio climático y la contaminación, así como sobre la recuperación de los ecosistemas después de eventos perturbadores (Leis & McCormick, 2002).
La información sobre el ictioplancton en Venezuela, particularmente en el oriente del país, data de los años 60, con los trabajos realizados por Simpson (1965), quien se enfocó en el análisis de las etapas iniciales del desarrollo de Cetengraulis edentulus, y por Simpson & González (1967), quienes estudiaron las primeras fases del ciclo de vida de Sardinella anchovia. Otras investigaciones se han centrado en examinar la dispersión y cantidad de huevos y larvas. (Marín, 1996; Marín & Dodson, 2000; Marín, 2016; Fariña et al. 2021; Fariña et al. 2022). Con respecto a los estudios enfocados en estructuras comunitarias de larvas de peces en el país, se han efectuado, principalmente, en áreas costeras, más en aquellas que se ven afectadas por el flujo de agua continental, o en regiones típicamente estuarinas (Luckhurst & Powles, 1986; González-Bencomo, 1997; Briceño, 2000; Henríquez, 2007; Balza et al. 2013; Martínez et al. 2015).
A pesar de que se han llevado a cabo diversos trabajos sobre el ictioplancton en el oriente de Venezuela, en la fosa de Cariaco, han sido escasos; destacan algunos sobre la taxonomía, distribución y abundancia del ictioplancton en la zona (Marín et al. 1989; Núñez & Marín, 2018; López-Marcano et al. 2022). Para esta investigación, se tomó como referencia el estudio de Marín et al. (1989), el hallazgo de composición del ictioplancton más conocido para el área mencionada, a partir del cual han transcurrido décadas sin actualizaciones sobre el listado taxonómico de larvas de peces de la región. En ese entendido, los datos de dichas pesquisas permiten dejar una base bibliográfica que establece un marco de referencia para comparaciones futuras y así poder inferir las posibles modificaciones en la composición de la comunidad de ictioplancton en la fosa de Cariaco, considerando la actual variabilidad ambiental derivada del cambio climático.
Teniendo en cuenta la relevancia del conocimiento científico acerca de la biodiversidad, el objetivo de este estudio fue describir la abundancia, composición taxonómica y aspectos ecológicos de las larvas de peces en la fosa de Cariaco, para fortalecer el saber científico sobre la diversidad de ellas en esta zona del mar Caribe venezolano.
Materiales y Métodos
Área de estudio: La fosa de Cariaco está ubicada al oeste de la península de Araya, estación fija (Fig. 1), costa oeste del estado Sucre (latitud 10° 30’ N y longitud 64° 40’ O). Es una depresión con 1 400 m de profundidad aproximadamente, localizada en la plataforma continental de Venezuela, entre cabo Codera y la península de Araya, conectada con la parte sureste del mar Caribe, a través de un umbral que alcanza 140 m en su punto más profundo (Okuda et al. 1974; Llano et al. 1991). Se caracteriza por su ambiente anóxico por debajo de los 250 m de profundidad, debido al carácter restringido de los movimientos de advección y mezcla de profundidades (Astor et al. 2003). Además, la fosa de Cariaco experimenta surgencias temporales, lo que la convierte en un lugar ideal para el estudio de diversos procesos biológicos, químicos, geológicos y físicos. Esta área ha sido reconocida como un laboratorio natural durante más de 45 años (Actividades de campo: López-Marcano et al. 2022 Las ). muestras de plancton se recolectaron durante un período de 7 meses, desde octubre de 2012 hasta diciembre de 2013, en una única estación a bordo del B/O HNO. GINES, propiedad de la Fundación La Salle, como parte del proyecto CARIACO (Muller-Karger et al. 2019). Para la captura del plancton se utilizó una red cónica estándar de ahorque, con un diámetro de boca de 35 cm y poros de 300 micras. Se realizaron calados horizontales a profundidades de 1, 5, 10 y 20 metros aproximadamente, para luego agrupar todos los registros de los diferentes estratos por mes. Estos calados se llevaron a cabo con una velocidad constante de arrastre de 2 nudos (1.02 m/s) y una duración de 15 minutos. El volumen de agua filtrada a través de la red se determinó utilizando un medidor de flujo calibrado, con base en la ecuación propuesta por Bagdo (1977). La densidad del ictioplancton se expresó como el número de larvas por 100 m3 de agua filtrada y se calculó por mes, unificando las muestras de las distintas profundidades colectadas. Las muestras se concentraron empleando un tamiz de 300 micras y se fijaron con formaldehído al 5% en agua de mar. Posteriormente, las muestras se almacenaron en frascos plásticos debidamente rotulados y se trasladaron al Laboratorio de Ictioplancton del Departamento de Biología Marina del Instituto Oceanográfico de Venezuela.

Actividades de laboratorio: En el laboratorio, se separaron, contabilizaron e identificaron las larvas de peces hasta el nivel taxonómico más específico posible (familia, género o especie), con una lupa estereoscópica marca MOTIC. Se unificó toda la información de conteos y de identificación de los diferentes estratos de profundidad, así como se consideraron los resultados por mes y no por estrato. Aquellas larvas que presentaban características similares pero que no pudieron ser identificadas más allá del nivel de familia se diferenciaron, utilizando el término “sp.” (para indicar una especie no identificada), valiéndose de la literatura especializada (Richards, 2005; Fahay, 2007). El ordenamiento sistemático de las larvas se efectuó siguiendo la clasificación propuesta por Nelson et al. (2016) y, para corroborar la autoridad y nomenclatura actual de las especies, se consultó a Fricke et al. (2023).
Se calcularon los índices ecológicos de la comunidad: diversidad ( H’ Shannon & Wiener, 1949), riqueza de especies (Margalef, 1974), equidad J’ (Pielou, 1966), índice de dominancia (McNaughton, 1968; según Krebs, 1989) y constancia, la cual se agrupará en 3 componentes, de acuerdo con la clasificación propuesta por Yáñez-Arancibia et al. (1980):
Análisis estadístico: Se empleó el análisis de Kruskal-Wallis, con el software Rstudio v. 4.1.2 (R Core Team, 2021), para detectar posibles diferencias en la densidad de larvas y los índices ecológicos (diversidad y riqueza) entre los meses. El nivel de significación utilizado fue de α = 0.05. Previamente, fueron evaluados los supuestos de normalidad, mediante la prueba de Shapiro-Wilk, y la homogeneidad de varianzas, empleando la prueba de Bartlett. Para saber en qué pares específicos de subgrupos hay diferencias significativas (P < 0.05), se aplicó el test de Dunn con ajustes en el nivel α, asumido por la corrección de la prueba de Bonferroni, lo que permite contrastar el aumento en la tasa de error tipo I, debido a su ejecución sobre unos mismos datos de una serie de contrastes de hipótesis.
Resultados
Se obtuvo un total de 322 larvas de peces; el 98.14% (316 larvas) se ubicó en algún nivel taxonómico. El 1.86% restante (6 larvas) se encontraba en estado de deterioro, por lo que su identificación fue imposible, inclusive en la categoría de familia. Las larvas determinadas se agruparon en 16 órdenes, 20 familias y 28 especies (Cuadro 1).

En la figura 2, se muestra que el mayor número de familias estuvo agrupado en el orden Eupercaria (4 familias). Sin embargo, el valor más alto de número de especies lo presentaron los carangiformes (con 6 especies) y la mayor densidad la obtuvieron los gadiformes (53.29 org/100 m3). Las familias que mostraron el más alto número de especies fueron Carangidae y Gobiidae, con 6 y 3 especies, respectivamente. Las familias que contribuyeron con mayor densidad de organismos fueron Bregmacerotidae (53.29 org/100 m3), Carangidae (52.18 org/100 m3), Scombridae (26.09 org/100 m3) y Myctophidae (19.98 org/100 m3) (Fig. 2).

La especie que reveló mayor abundancia relativa en la zona de estudio, durante todo el periodo de muestreo, pertenece a la familia Bregmacerotidae, la cual fue Bregmaceros cantori, con un 29.81%, seguida por las especies Auxis thazard (14.59%), Selar crumenophthalmus (12.11%) y Diaphus sp. (11.18%); el resto de las especies manifestó abundancias relativas inferiores al 10% (Fig. 3).
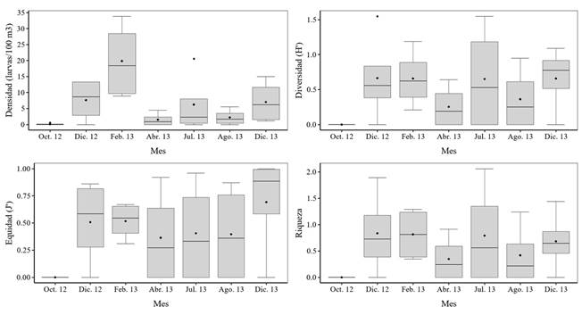
En la figura 4, se representa, de manera comparada, la densidad de larvas y los aspectos ecológicos estudiados (diversidad, equidad y riqueza) para las 7 campañas de muestreo. La mayor densidad de larvas se observó en febrero de 2013 (33.86 larvas/100 m3) y la menor en octubre de 2012 (0 larvas/100 m3). Se notaron diferencias significativas de la densidad de larvas entre los meses de muestreo (KW = 12.66; P = 0.0487). El test de Dunn generó 21 pares de subgrupos, entre los cuales solo se observaron diferencias estadísticas respecto a la densidad de larvas de peces entre octubre de 2012 y febrero de 2013 (Dunn = 3.16; P = 0.0340). En general, la diversidad (Hꞌ) mensual fue baja, con valores que oscilaron entre 0 y 1.55 bits/ind; la máxima fue en julio de 2013 y la menor, en octubre de 2012. No se vieron diferencias de la diversidad entre los meses (KW = 7.604; P = 0.2686). Para la equidad, los valores oscilaron entre 0 y 1 bits/ind.; el menor fue en octubre de 2012 y el mayor, en diciembre de 2013. Al igual que la diversidad, la equidad no difirió significativamente entre meses (KW = 6.9524; P = 0.3253). La riqueza de especies en la fosa de Cariaco estuvo entre 0 y 2.06; se alcanzó el mayor valor en julio de 2013 y el menor, en octubre de 2012. La riqueza de especies no difirió significativamente entre meses (KW = 7.0927; P = 0.3124).

Según el índice de dominancia temporal, las especies más dominantes se encontraron entre el 40 y 60%; ocurrió una excepción en octubre de 2012, pues, al capturarse una sola (Acyrtops sp.), esta obtuvo el 100%. Entre las especies más representativas, se encuentra Diaphus sp., apareció en 3 de los 7 meses de muestreo y alcanzó un valor máximo de dominancia de 45.12%, para diciembre de 2013. Las otras especies representativas fueron: Eucinostomus sp., B. cantori, A. thazard, S. crumenophthalmus y Trachurus lathami, que lograron porcentajes de dominancia de 66.67%, 62.83%, 59.46%, 55.07% y 50%, respectivamente (Fig. 5).

En lo que respecta a los componentes comunitarios, se observó que, en todos los meses muestreados, el grupo más representativo fue el de las especies accidentales, con el 63.65%, seguido por el de las cíclicas, con el 22.26%, y, en menor porcentaje de aparición, el de las permanentes, con el 14.09%; destaca la ausencia de especies permanentes en los meses de octubre de 2012 y abril de 2013 (Fig. 6).
Entre las especies residentes o permanentes, se encontraron B. cantori, A. thazard, S. crumenophthalmus, Diaphus sp. y Caranx hippos, mientras que como especies cíclicas se reportaron Selene vómer, Eucionostomus sp. y Trachurus lathami. El resto de las especies se incluyó en el grupo de las accidentales (Cuadro 1).


Discusión
La composición de especies de larvas de peces obtenida en este estudio es similar a la presentada por trabajos previos realizados en el área evaluada y zonas adyacentes, donde se ha reportado la presencia de familias de peces mesopelágicos como Bregmacerotidae y Myctophidae (Marín et al. 1989; Matsuura et al. 1993; Love et al. 2004; Fariña et al. 2021; Fariña et al. 2022). Al respecto, Marín et al. (1989) señalan a B. cantori y Diaphus taaningi como residentes permanentes de esta cuenca, lo cual se confirma con la constante presencia de dichas especies durante esta investigación, así como con sus altos valores de abundancia relativa.
Otras especies que se destacaron por su abundancia relativamente alta y su constancia fueron el atún A. thazard y los carángidos S. crumenophthalmus y C. hippos, de relevancia comercial. Es importante resaltar que es ampliamente reconocido que la fosa de Cariaco es una zona de gran trascendencia socioeconómica y científica en el área nororiental de Venezuela (Quintero et al. 2005) y se han reportado diversas especies de interés pesquero en esta área (Cervigón, 2005).
Para este estudio, se registraron altas densidades de carángidos, lo cual coincide con lo que reporta Pugh (1972), por lo que se considera que esta familia tiene una contribución significativa en la riqueza de la zona, debido al número de especies presentadas y, principalmente, por su constancia a lo largo de la indagación. Además, se reportó la presencia de unos pocos individuos de la familia Gobiesocidae y Gobiidae. Aunque estos taxones suelen encontrarse, más que todo, en áreas someras cerca de la costa, especialmente los Gobiesocidae, su aparición en la fosa de Cariaco podría indicar un enlace entre hábitats superficiales, como arrecifes de coral y aguas costeras, y las aguas oceánicas de la cuenca. Es conocido que las larvas de muchos peces pasan por una fase pelágica temprana en su ciclo de vida, durante la cual son arrastradas por las corrientes marinas, antes de establecerse en hábitats adecuados (Pineda et al. 2010). Por ello, si se encuentran larvas de las familias descritas en la zona de estudio, es posible que la fosa de Cariaco actúe como un corredor de migración para esas especies. Algunos peces, incluidos los gobios, realizan migraciones estacionales en busca de alimento y refugio (Ross & Quattrini, 2009); por esta razón, la presencia de larvas de dichas familias en la cuenca podría indicar que la región tiene un papel importante en el movimiento y la dispersión de las poblaciones de peces entre diferentes hábitats. Es necesario destacar que la fosa de Cariaco se encuentra ubicada cerca del golfo de Cariaco y del Parque Nacional Mochima, donde se ha reportado la presencia de varias especies de las familias Gobiesocidae y Gobiidae (Allen-Peña et al. 2009; Fariña et al. 2022). Además de esto, los góbidos han sido reportados por Marín et al. (1989), en su fase inicial en la fosa de Cariaco, indicador de que estos individuos se distribuyen en la cuenca entre los 25 y 50 m de profundidad, y unos pocos entre 0 y 25 m, hecho que corresponde con las profundidades utilizadas para este estudio.
En cuanto a la densidad de larvas, la prueba a posteriori solo indicó diferencias entre octubre y febrero, lo cual puede estar asociado al éxito en el reclutamiento de algunas especies que responden a los ciclos de producción ambiental (Frank & Leggett, 1983; Somarakis et al. 2000), seleccionando el área y el momento reproductivo (Fuiman & Werner, 2002), para garantizar el desarrollo de sus primeras etapas de vida. Por ello, es de esperar un aumento en la abundancia de individuos en la época de surgencia, relacionado con un ambiente propicio; tal comportamiento se evidencia, especialmente, en B. cantori, cuya abundancia fue superior en febrero.
Con respecto a los resultados de diversidad y riqueza, se ha documentado que el ictioplancton de la fosa de Cariaco es relativamente escaso y de poca variedad (Marin et al. 1989), posiblemente, debido a que el área puede considerarse oceánica, con aguas anóxicas por debajo de los 250 m, cargadas de fuertes corrientes subsuperficiales. Asimismo, a pesar de que la zona está influenciada temporalmente por el fenómeno de surgencia (produciendo alimentos que permiten la sobreviviencia de la comunidad planctónica en el área), esta se encuentra dispersa, así que se observa gran abundancia de las especies adaptadas a vivir en la cuenca, como es el caso de los mesopelágicos. Otros aspectos que han sido estudiados por diversos autores plantean que la diversidad y la riqueza en las estructuras comunitarias de peces pueden verse condicionadas por distintos factores, entre ellos, la latitud y longitud, el tipo de sustrato y las estaciones del año (Sale, 1991; Fariña & Méndez, 2009; Rabascall, 2009). Por otro lado, variables ambientales como la velocidad del viento y la intensidad de la surgencia también influyen tanto en la diversidad como en la riqueza dentro de una comunidad (Guzmán, 1988) y, al ser la fosa de Cariaco un foco de surgencia intensa, las especies allí presentes se ven afectadas por este factor abiótico.
Respecto al índice de dominancia, a pesar de considerarse B. cantori una especie residente permanente, solo dominó en febrero. Sobre esto, Briceño (2000) mencionó, para una zona cercana a la fosa de Cariaco, en el suroeste de la isla de Margarita, que la mayor abundancia de esta especie se presenta durante los meses de febrero a abril. Por su parte, Núñez & Marín (2018) señalan que, en la época de surgencia, primordialmente en febrero, aumenta la abundancia de B. cantori. Con respecto a Diaphus sp., la especie más representativa del muestreo, autores como Marín et al. (1989) han resaltado su dominancia en la composición del ictioplancton y Mead (1963) ha indicado su presencia y gran abundancia como adulto en el área, lo que es congruente con los resultados obtenidos en esta evaluacion, indicadores de una fuerte dominancia de las larvas de dicha especie para la zona de estudio.
Los resultados de constancia y su variación temporal muestran diferentes ciclos reproductivos para cada especie; presentan pulsos de desove mayores en ciertas épocas del año, que, por lo general, están asociados a los eventos de surgencia, al inicio del año y entre julio y agosto, momento cuando el ambiente reúne condiciones óptimas para el desarrollo y sobrevivencia de las larvas, por lo que existe una mayor probabilidad de que sean capturadas gracias a su gran biomasa inicial (Blaber & Blaber, 1980; Lasiak, 1984; Whitfield, 1996). En general, las fluctuaciones en la presencia de larvas de peces a lo largo del tiempo se deben, principalmente, a los procesos reproductivos de las especies. Estos eventos parecen estar sincronizados con los requisitos ambientales mínimos necesarios para que las larvas tengan una mayor posibilidad de establecerse, lo que a su vez influye en el patrón temporal de distribución del ictioplancton (Johannes, 1978; Robertson, 1991; Pineda et al. 2010; China & Holzman, 2014).
Conclusiones
La fosa de Cariaco presentó una estructura comunitaria representada, primordialmente, por 4 familias con las mayores abundancias, Bregmacerotidae, Carangidae, Scombridae y Myctophidae, 2 de ellas reportadas como residentes en la zona.
De las 28 especies identificadas, el 54% es de interés comercial para el país; destaca la alta abundancia, durante el período de estudio, de A. thazard, así como de los carángidos Selar C. y C. hippos, especies fundamentales para las pesquerías del oriente del país, que proporcionan valor adicional a la fosa de Cariaco.
Los resultados obtenidos en este estudio son una contribución al escaso conocimiento existente acerca de la estructura comunitaria de las larvas de peces presentes sobre la fosa de Cariaco, lo cual ayuda al fortalecimiento de la información requerida para incorporar acciones de manejo y conservación en el área evaluada
Agradecimientos
El presente trabajo de investigación está basado en los datos hidrográficos y biológicos de la serie de tiempo hidrográfica que realiza el proyecto CARIACO en la fosa oriental de la cuenca de Cariaco. La generación de estos datos fue posible gracias al intenso y mancomunado esfuerzo de muchas personas pertenecientes a 6 instituciones venezolanas y norteamericanas (UDO, FLASA, USB, USF, USC y SUNY).
Referencias
Allen-Peña, T., Marcano, L., Marín-Espinoza, B. & Márquez-Rojas, B. (2009). Abundancia del ictioplancton y macrozooplancton en el suroeste del Golfo de Cariaco. Venezuela. Bol. Cent. Invest.Biol., 43(4), 501-526.
Astor, Y., Müller-Karger, F. & Scranton, M. (2003). Seasonal and interannual variation in the hydrography of the Cariaco Basin: implications for basin ventilation. Cont. Shelf Res., 23(1), 125-144. https://doi.org/10.1016/S0278-4343(02)00130-9
Bagdo, E. (1977). Abundancia, distribución horizontal y biomasa de zooplancton en el Golfo de Cariaco entre marzo y diciembre de 1975. (Trabajo de grado no publicado). Universidad de Oriente,Venezuela.
Balza, M. A., Marín, B. & Silva, A. (2013). Abundancia espacial del ictioplancton en el Caño Mánamo durante la época de sequía en el delta del río Orinoco, Venezuela. Bol. Inst. Oceanogr. Venezuela, 52(1), 79-92.
Blaber, S. J. M. & Blaber, T. G. (1980). Factors affecting the distribution of juvenile estuarine and inshore fish. J. Fish Biol., 17(2), 143-162. https://doi.org/10.1111/j.1095-8649.1980.tb02749.x
Briceño, R. (2000). Abundancia, distribución y composición del ictioplancton del suroeste del estado Nueva Esparta, Venezuela. (Trabajo de grado no publicado). Universidad de Oriente, Venezuela.
Cervigón, F. (2005). La ictiofauna marina de Venezuela: una aproximación ecológica. Bol. Inst. Oceanogr. Venezuela, 44(1), 3-28.
China, V. & Holzman, R. (2014). Hydrodynamic starvation in first-feeding larval fishes. Proc. Natl. Acad. Sci., 111(22), 8083-8088. https://doi.org/10.1073/pnas.1323205111
Cowen, R. K. & Sponaugle, S. (2009). Larval dispersal and marine population connectivity. Annu. Rev. Mar. Sci., 1, 443-466. https://doi.org/10.1146/annurev.marine.010908.163757
Fahay, M. (2007). Early stages of fishes in the Western North Atlantic Ocean. (Volumen I-II). Canadá: Northwest Atlantic Fisheries Organization.
Fariña-Pestano, A. & Méndez De Elguezabal, E. (2009). Variación estacional de la estructura comunitaria de peces en dos arrecifes: rocoso-coralino y de octocorales, en el Bajo Las Caracas, Venezuela. Rev. Biol. Mar. Oceanogr., 44(1), 153-162.
Fariña-Pestano, A., Marín, B. & Rey-Méndez, M. (2021). Cambios espaciales de los ensambles de ictioplancton en respuesta a gradientes ambientales, en el sector Las Caracas, estado Sucre, Venezuela. Bol. Inst. Oceanogr. Venezuela, 60(2), 42-57.
Fariña-Pestano, A., Marín, B. & Rey-Méndez, M. (2022). Fluctuaciones temporales del ictioplancton en el sector Las Caracas, Parque Nacional Mochima , Venezuela. Bol. Inst. Oceanogr. Venezuela, 61(1), 35-56.
Frank, K. & Leggett, W. (1983). Multispecies larval fish associations: accident or adaptation? Can. J. Fish. Aquat. Sci., 40(6), 754-762. https://doi.org/10.1139/f83-098
Frederiksen, M., Edwards, M., Richardson, A., Halliday, N. & Wanless, S. (2006). From plankton to top predators: bottom-up control of a marine food web across four trophic levels. J. Anim. Ecol., 75(6), 1259-1268. https://doi.org/10.1111/j.1365-2656.2006.01148.x
Fricke, R., Eschmeyer, W. N. & Van der Laan, R. (eds). (2023). Eschmeyer’s Catalog
Fuiman, L. & Werner, R. (2002). Fishery Science: The Unique Contributions of Early Life Stages. UK: Blackwell Science.
González-Bencomo, E. (1997). Composición y abundancia del ictioplancton en la costa oriental y occidental del estrecho del Lago de Maracaibo, Venezuela. Bol. Centro Inves. Biol., 31(1), 33-56.
Guzmán, H. (1988). Distribución y abundancia de organismos coralívoros en los arrecifes coralinos de la Isla del Caño, Costa Rica. Rev. Biol. Trop., 36(2A), 191-207.
Henríquez, E. (2007). Abundancia y distribución del ictioplancton en la plataforma externa de la fachada atlántica de Venezuela. (Trabajo de grado no publicado). Universidad de Oriente, Venezuela.
Houde, E. D. (2008). Emerging from Hjort’s Shadow. J. Northw. Atl. Fish. Sci., 41, 53-70. https://doi.org/10.2960/J.v41. m634
Hsieh, H. Y., Lo, W-T., Chen, H. H. & Meng, P. J. (2016). Larval fish assemblages and hydrographic characteristics in the coastal waters of southwestern Taiwan during non-and post-typhoon summers. Zool. Stud., 55, 18.
Johannes, R. (1978). Traditional marine conservation methods in Oceania and their demise. Ann. Rev. Ecol. Syst., 9(1), 349-364. https://doi.org/10.1146/annurev.es.09.110178.002025
Jupiter, S., Cohen, P., Weeks, R., Tawake, A. & Govan, H. (2014). Locally-managed marine areas: multiple objectives and diverse strategies. Pac. Conserv. Biol., 20(2), 165-179. https://doi.org/10.1071/pc140165
Köster, F., Hinrichsen, H., St. John, M., Schnack, D., MacKenzi, B., Tomkiewicz, J. & Plikshs, M. (2001). Developing Baltic cod recruitment models. II. Incorporation of environmental variability and species interaction. Can. J. Fish Aq. Sci., 58(8), 1534-1556. https://doi.org/10.1139/f01-093
Krebs, C. (1989). Ecological methodology. EE. UU.: Harper and Row Publishers Inc.
Lasiak, T. (1984). Structural aspects of the surf-zone fish assemblage at King’s Beach, Algoa Bay, South Africa: Long-term fluctuations. Estuar. Coast. Shelf Sci., 18(4), 459-483. https://doi.org/10.1016/0272-7714(84)90084-2
Leis, J. M. & McCormick, M. I. (2002). The biology, behavior, and ecology of the pelagic, larval stage of coral reef fishes. In P. Sale (ed.), Coral Reef Fishe: Dynamics and Diversity in a Complex Ecosystem (pp. 171-199). EE. UU.: Academic Press.
Llano, M., Cárdenas, J., Mayz, L., Guevara, P., Armas, A., Fréon, P., Kimberley, M. & Abu-Jaber, N. (1991). Elementos biogénicos de los sedimentos de la Fosa de Cariaco y los recursos ícticos del Nororiente venezolano. Mem. Fund. La Salle Cien. Nat., 51(135- 136), 57-72.
López-Marcano, J., Núñez, J. & Marín, B. (2022). Abundancia y distribución vertical-temporal de la densidad de huevos y larvas de peces en aguas oceánicas superficiales de la Fosa de Cariaco, Venezuela. Bol. Inst. Oceanogr. Venez., 61(1), 57-78.
Love, R., Fisher, R., Wilson, M. & Nero, R. (2004). Unusual swimbladder behavior of fish in the Cariaco Trench. Deep Sea Res. Part I Oceanogr. Res. Pap., 51(1), 1-16. https://doi.org/10.1016/j.dsr.2003.09.004
Luckhurst, B. & Powles, H. (1986). Icthyoplankton of the central venezuelan coast, composition, abundance and seasonality. Northeast Gulf Sci., 8(2), 129-141. https://doi.org/10.18785/negs.0802.04
Margalef, R. (1974). Ecología. España: Editorial Omega.
Marín, B. & Dodson, J. (2000). Age, growth and fecundity of the silver mullet, Mugil curema (Pisces: Mugilidae), in coastal areas Northeastern Venezuela. Rev. Biol. Trop., 48(2-3), 389-398. https://doi.org/10.15517/rbt.v48i2-3.18755
Marín, B. (1996). Transport et recrutement du Muge argente Mugil curema, dans une lagune cotière tropicale. (Thèse de doctorat non publiée). Université Larval, Québec, Canadá.
Marín, B. (2016). Patrones de distribución y abundancia del ictioplancton en el nororiente de Venezuela. (Trabajo de ascenso no publicado). Universidad de Oriente, Venezuela. https://doi.org/10.35537/10915/121964
Marín, B. J., Gómez, A. & Urosa, L. J. (1989). Taxonomía y distribución del ictioplancton en la Fosa de Cariaco, Venezuela. Bol. Inst. Oceanogr. Venezuela, 28(1&2), 15-27.
Martínez, A., Marín, B., Núñez, J. & Ariza, L. (2015). Variabilidad temporal de la composición y abundancia de larvas de peces de la Laguna de Chacopata y zonas adyacentes, estado Sucre, Venezuela. Bol. Inst. Oceanogr. Venez., 54(1), 25-37.
Matsuura, Y., Silva, A., Katsuragawa, M. & Suzuki, K. (1993). Distribution and abundance of two species of Codlet (Teleostei, Bregmacerotidae) larvae from the South-East Brazilian Bight. Fish. Oceanogr., 2(2), 82-90. https://doi.org/10.1111/j.1365-2419.1993.tb00123.x
Mead, G. (1963). Observations on fishes caught over the anoxic waters or the Cariaco Trench, Venezuela. Deep-Sea Res. Oceanogr. Abstr., 10(3), 251-257. https://doi.org/10.1016/0011-7471(63)90361-9
Montagnes, D., Dower, J. & Figueiredo, G. (2010). The protozooplankton-ichthyoplankton trophic link: an overlooked aspect of aquatic food webs. J. Eukaryot. Microbiol., 57(3), 223-228. https://doi.org/10.1111/j.1550-7408.2010.00476.x
Muller-Karger, F.; Astor, Y.; Scranton, M.; Taylor, G.; Thunell, R.; Varela, R.; & Tappa, E. (2019). Time-series Niskin-bottle sample data from R/V Hermano Gines cruises in the Cariaco Basin from 1995 through 2017 (CARIACO Ocean Time-Series Program). Biological and Chemical Oceanography Data Management Office. https://doi.org/10.1575/1912/bco-dmo.3093.1
Nelson, J., Grande, T. & Wilson, M. (2016). Fishes of the World. (5th ed.). EE. UU.: John Wiley & Sons, Inc.
Núñez, J. & Marín, B. (2018). Edad y crecimiento en la fase larval de Bregmaceros cantori (Milliken & Houde, 1984) (Pisces: Bregmacerotidae), en la Fosa de Cariaco, Venezuela. Bol. Inst. Oceanogr. Venez., 57(1), 84-99.
Okuda, T., Benítez, J., Sellier De Civieux, J., Fukuoka, J. & Gamboa, B. (1974, agosto). Revisión de los datos oceanográficos en el Mar Caribe suroriental, especialmente en el margen continental de Venezuela. Ponencia presentada en la III Conferencia de las Naciones Unidas sobre el Derecho del Mar, Caracas, Venezuela.
Pielou, E. (1966). The measurement of diversity in different types of biological collections. J. Theor. Biol., 13, 131-144. https://doi.org/10.1016/0022-5193(66)90013-0
Pineda, J., Porri, F., Starczak, V. & Blythe, J. (2010). Causes of decoupling between larval supply and settlement and consequences for understanding recruitment and population connectivity. J. Exp. Mar. Biol. Ecol., 392(1-2), 9-21. https://doi.org/10.1016/j.jembe.2010.04.008
Pugh, W. (1972). Collections of midwater organisms in the Cariaco Trench, Venezuela. Bull. Mar. Sci., 22(3), 592-600.
Quintero, A., Terejova, G. & Bonilla, J. (2005). Morfología costera del Golfo de Cariaco, Venezuela. Bol. Inst. Oceanogr. Venez., 44(2), 133-142.
Rabascall, C. (2009). Composición y estructura comunitaria de la ictiofauna presente en cuatro playas arenosas del extremo noroccidental de la Península de Araya, estado Sucre, Venezuela. (Trabajo de grado no publicado). Universidad de Oriente, Venezuela .
R Core Team. (2021). R: A language and environment for statistical computing. R Foundation for Statistical Computing, Vienna, Austria. URL https://www.R-project.org/.
Richards, W. (2005). Early stages of Atlantic fishes: an identification guide for the Western Central North Atlantic. (Volumen I-II). EE. UU.: CRC Press.
Robertson, R. (1991). The role of adult biology in the timing of spawning of tropical reef fishes. In P. Sale (ed.), The ecology of fishes on coral reefs (pp. 356-386). EE. UU.: Academic Press .
Rooker, J. R., Secor, D. H., De Metrio, G., Schloesser, R., Block, B. A., & Neilson, J. D. (2008). Natal homing and connectivity in Atlantic bluefin tuna populations. Sci., 322(5902), 742-744. https://doi.org/10.1126/science.1161473
Ross, S. W. & Quattrini, A. M. (2009). Deep-sea reef fish assemblage patterns on the Blake Plateau (Western North Atlantic Ocean). Mar. Ecol., 30(1), 74-92. https://doi.org/10.1111/j.1439-0485.2008.00260.x
Sale, P. (1991). The ecology of fishes on coral reefs. EE. UU.: Academic Press .
Shannon, E. & Wiener, N. (1949). The mathematical theory of communication. EE. UU.: Urbana, University of Illinois Press.
Simpson, J. & González, G. (1967). Algunos aspectos de las primeras etapas de la vida y el medio ambiente de la sardina Sardinella anchovia en el oriente de Venezuela. Ministerio de Agricultura y Cría. Serv. Rec. Expl. Pesq., 1(2), 39-45.
Simpson, J. (1965). Estudio de las primeras etapas de desarrollo de la rabo amarillo, Cetengraulis edentulus (Cuvier), en el oriente de Venezuela. Ministerio de Agricultura y Cría. Serv. Rec. Expl. Pesq., 1(1), 1-24.
Somarakis, S., Maraveya, E. & Tsimenides, N. (2000). Multispecies ichthyoplankton associations in epipelagic species: is there any intrinsic adaptive function?. Belgian J. Zool., 130(1), 125-129.
Whitfield, K. A. (1996). A review of estuarine ichthyology in South Africa over the past 50 years. Trans. R. Soc. South Africa, 51(1), 79-89. https://doi.org/10.1080/00359199609520601
Yáñez-Arancibia, A., Amézcua-Linares, F. & Day, J. (1980). Estuarine perspectives. In V. Kennedy (ed.), Fish community structure and function in Terminos Lagoon, a tropical estuary in Southern Gulf of Mexico (pp. 465-482). EE. UU.: Academic Press Inc.
Zhou, M., Lin, Y., Yang, S., Cao, W. & Zheng, L. (2011). Composition and ecological distribution of ichthyoplankton in eastern Beibu Gulf. Acta Oceanol. Sin., 30(1), 94-105. https://doi.org/10.1007/s13131-011-0095-6