Artículos
Calidad de planta de Cedrela odorata L. asociada con prácticas culturales de viveroa b
Revista mexicana de ciencias forestales, vol. 7, núm. 36, 2016
Instituto Nacional de Investigaciones Forestales, Agrícolas y Pecuarias
Recepción: 12 Mayo 2015
Aprobación: Junio 2016
Resumen: En México muchas reforestaciones con Cedrela odorata no han tenido un desempeño inicial favorable, principalmente por el uso de planta de baja calidad, por lo que se requieren de alternativas en los viveros forestales que mejoren dicha condición. En el presente trabajo fue examinada la influencia del volumen de envase e hidrogel sobre la morfología, estado nutrimental y desempeño en campo de plántulas de C. odorata. El volumen del envase se manejó a dos niveles: bolsa de polietileno de 500 mL y tubete de plástico de 380 mL; el hidrogel, con tres niveles: adición de 0, 2 y 4 g L-1 de sustrato. Las características de las plántulas se evaluaron en vivero, mediante la determinación de varios indicadores morfológicos de calidad de planta y el uso de nomogramas de análisis de vectores para el diagnóstico del estado del nitrógeno, fósforo y potasio. El desempeño en campo fue medido como supervivencia y crecimiento durante 17 meses, a partir del establecimiento de la plantación. Las plántulas con los mejores atributos fueron las producidas en envases de 500 mL con la adición de hidrogel al sustrato en dosis de 4 g L-1; no obstante, el mejor desempeño en campo correspondió a las producidas en envases de 500 mL sin hidrogel, lo que permite concluir que el volumen de envase tiene un efecto directo en la calidad de planta de C. odorata.
Palabras clave: Cedro rojo, Cedrela odorata L., producción de planta forestal, reforestación, trópico, vivero forestal.
Introducción
El cedro rojo (Cedrela odorata L.) es una de las especies maderables tropicales más valiosas y de amplia distribución geográfica en América Latina y el Caribe. Su importancia como productora de madera preciosa, engloba aspectos económicos, ecológicos y sociales (Mesén, 2006). Por ello, es muy utilizada en plantaciones destinadas a reforestación en el trópico mexicano.
La mayoría de estas se orientan a proyectos de reconversión productiva en terrenos abandonados con historial de uso agropecuario (Ramírez et al., 2008). Sin embargo, muchas de ellas no han tenido el éxito esperado debido a la alta mortalidad y al pobre crecimiento de las plantas. Dichos problemas se asocian a diversos factores entre los que sobresale la vulnerabilidad de la especie al ataque de Hypsipyla grandella (Zeller, 1848) y a la severa degradación del suelo en los sitios de plantación (Calixto et al., 2015). Sin embargo, el impacto de cada uno de ellos ha sido mayor por el uso de planta de baja calidad, que no reúne las características morfológicas y fisiológicas apropiadas a las condiciones de los sitios de destino (Conafor, 2012).
En vivero, la obtención de esas características está relacionada con la implementación de diversas prácticas culturales (Rodríguez, 2008). La elección de una o más depende de su efectividad en el aumento de la calidad de planta en los taxa que se desea producir (Jacobs y Wilkinson, 2009).
En plantas de distintas especies forestales producidas en vivero, tanto de clima tropical como templado-frio, el volumen del envase o la adición de hidrogel al sustrato han demostrado una influencia preponderante sobre la modificación de algunas de sus propiedades. En varias de ellas, a medida que el volumen del envase es mayor, sus aspectos morfológicos de calidad son mejores, tales como la altura, el diámetro del tallo, así como el balance entre la formación de biomasa aérea y la biomasa radical (Ferraz y Engel, 2011; Lisboa et al., 2012; Abreu et al., 2014). En otras, con el uso de hidrogel no solo se ha observado una mejora en la forma (Orikiriza et al., 2009; Maldonado et al., 2011), sino también en aspectos de orden fisiológico, que se refieren al estado nutrimental como uno de los principales atributos afectados (Chirino et al., 2011; Bernardi et al., 2012), lo que se relaciona con la dosis aplicada. Es probable que en C. odorata los factores referidos tengan un efecto similar, por lo que es importante estudiarlos detalladamente.
Con base en lo anterior, en este trabajo se analiza la influencia del volumen del envase y de la adición de hidrogel al sustrato sobre la morfología, estado nutrimental y desempeño en campo de plántulas de C. odorata. El estudio plantea tres hipótesis:1) entre mayor es el volumen del envase, los atributos morfológicos de las plántulas de C. odorata son mejores; 2) la adición de hidrogel al sustrato también favorece a la morfología y el estado nutrimental de las plántulas; y 3) las plántulas de vivero con los atributos de calidad más destacados (morfológicos y estado nutrimental) registran tasas elevadas de supervivencia y crecimiento en campo.
Materiales y Métodos
El área de estudio
El estudio comprendió dos etapas experimentales: vivero y campo. Ambas se llevaron a cabo en las instalaciones del Instituto Tecnológico Superior de Venustiano Carranza, ubicado en Villa Lázaro Cárdenas, Venustiano Carranza, Puebla, México, entre las coordenadas geográficas 20°28’28.39” N y 97°41’53.60” O, a una altitud de 344 m. El clima de la zona es cálido húmedo con abundantes lluvias en verano, temperatura media anual entre 22 y 26 °C, con precipitaciones promedio anuales de 1 400 a 1 600 mm (Inegi, 2009).
La etapa de vivero se desarrolló dentro de una casa sombra cubierta por malla negra de 70 %. Durante el ensayo, se registraron temperaturas promedio máximas de 35 °C y mínimas de 20 °C. La humedad relativa promedio diurna osciló alrededor de 85 %. La etapa de campo se realizó en un terreno cuyo historial de uso se relaciona con actividades agropecuarias.
Producción de plántula en vivero
La plántula fue producida a partir de semillas recolectadas en mayo de 2014, procedentes de 10 a 20 árboles, seleccionados por sus características fenotípicas superiores, en rodales naturales localizados en el municipio Coyutla, Veracruz (20°35’80” N y 97°68’30” O). Se pusieron en remojo 1 000 semillas 12 h, en agua corriente para uniformizar su germinación; posteriormente, fueron sembradas sobre un sustrato de arena lavada de río y desinfectado mediante solarización. Tres semanas después, 384 plántulas de altura uniforme (aproximadamente 5 cm) fueron trasplantadas a bolsas negras de polietileno de 500 mL y tubetes de plástico de 380 mL, a los que se les incorporó un sustrato de materia orgánica descompuesta de Alchornia latifolia Sw. e hidrogel (tamaño de partícula de 1-2 mm).
Como prácticas culturales complementarias en la producción de la plántula, se fertilizó con el régimen y programa desarrollado para Swietenia humilis Zuccarini por Basave et al. (2015), que consiste en aplicar fertilizante hidrosoluble de propósito general (20-20-20) a una dosis base de 17-412 mg L-1 de N. Además, se aplicaron riegos periódicos con base en la disponibilidad de humedad en el sustrato. En total, la producción en vivero duró tres meses.
Tratamientos y diseño experimental en vivero
Los factores evaluados en vivero fueron el volumen de envase y la dosis de hidrogel. Para el primero se utilizaron la bolsa negra de polietileno de 500 mL (B500) y el tubete negro de plástico de 380 mL (T380). Para el segundo se consideraron dosis de 0, 2 y 4 g de hidrogel por L de sustrato. Los seis tratamientos resultantes del arreglo factorial 2 x 3, fueron T1 (B500 + 0 g de hidrogel), T2 (B500 + 2 g de hidrogel), T3 (B500 + 4 g de hidrogel), T4 (T380 + 0g de hidrogel), T5 (T380 + 2 g de hidrogel) y T6 (T380 + 4 g de hidrogel) con cuatro repeticiones. El tratamiento T4 fue el testigo, ya que representa el principal sistema de producción de C. odorata en vivero. La unidad experimental fue de 16 plántulas y se distribuyeron espacialmente sobre una cama de crecimiento, en hileras de 8 x 3, bajo un diseño experimental completamente al azar.
Evaluación de la morfología y estado nutrimental en vivero
Al final de la fase de vivero, a las plántulas se les examinó su morfología y estado nutrimental. La evaluación se hizo en una muestra aleatoria de 16 plántulas por tratamiento (cuatro por repetición). Con base en la metodología descrita por Johnson y Cline (1991), la morfología se analizó a partir de variables morfológicas de calidad de planta: altura del tallo (A[cm]), diámetro de tallo al cuello de la raíz (D[cm]), peso seco aéreo (PSA[g]) y peso seco radical (PSR[g]). Además, se calculó la relación PSA/PSR (R: PSA/PSR), el índice de robustez (IR) y el índice de calidad de Dickson (ICD). El estado nutrimental se midió en función de la concentración y contenido de nitrógeno (N), fósforo (P) y potasio (K). Las muestras analizadas morfológicamente fueron enviadas al laboratorio para un análisis químico de tejido vegetal, que se practicó a las plantas completas. La concentración de N (%) se determinó mediante el método Microkjeldahl, la de P a través del de vanadato- molibdato amarillo/espectrofotometría y la de K por digestión húmeda/absorción atómica. El contenido (mg de nutrimento/ planta) se obtuvo con los valores de biomasa seca total (PSA + PSR) y los de concentración de cada nutrimento (%).
Análisis estadístico de los datos de vivero
Se realizó un análisis de varianza bifactorial con el procedimiento ANOVA de SAS versión 9.2 (2009). Los supuestos de normalidad y homogeneidad de varianza fueron validados. La prueba de hipótesis se basó en un nivel de significancia de 0.05. Las medias se compararon por pares con la prueba de Tukey (α = 0.05).
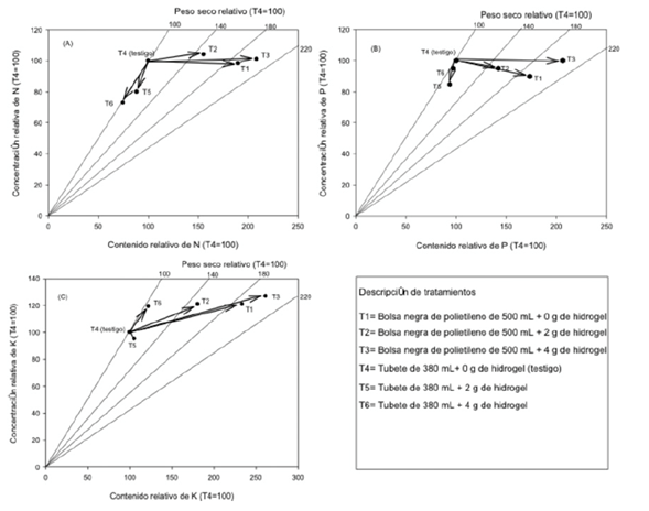
El estado nutrimental de las plántulas se diagnosticó por el método gráfico de vectores. Este último procedimiento constó de dos etapas: la construcción de nomogramas de vectores y su interpretación, los cuales se elaboraron conforme a la metodología descrita por Haase y Rose (1995) con valores relativos y de un tratamiento testigo como punto de referencia, que en este caso corresponden a los del T4. Su interpretación se respaldó en los trabajos desarrollados por Haase y Rose (1995) y López y Alvarado (2010).
Establecimiento de la plantación en campo
Debido a la abundancia de malezas en el predio, antes del establecimiento de la plantación se hicieron labores mecánicas de deshierbe, mediante la técnica roza, tumba y quema. Posteriormente, durante la tercera semana de septiembre de 2014, se estableció en campo un lote de 120 plántulas seleccionadas al azar procedente de los tratamientos evaluados en vivero. Al momento de la plantación, la humedad del suelo estaba entre 30 y 40 %. El diseño utilizado fue en tresbolillo con espaciamiento entre árboles de 3 m. La técnica de plantación fue de cepa común. La apertura de las cepas se hizo a 30 cm de profundidad por 20 cm de diámetro. Después del establecimiento de la plantación, bimestralmente las malezas se controlaron de forma manual, y solo en la base del árbol dentro de un perímetro circular de 2 m, aproximadamente.
Tratamientos evaluados y diseño experimental en campo
Los tratamientos evaluados consistieron en los seis analizados en vivero. Cada tratamiento tuvo cuatro repeticiones. La unidad experimental estuvo integrada por cinco plantas. El diseño experimental utilizado fue el de bloques completos al azar. El criterio de bloqueo fue la variabilidad de humedad en el suelo descrita en el párrafo anterior.
Variables evaluadas en campo
Los criterios para conocer el desempeño de las plántulas en campo fueron la supervivencia y el crecimiento (altura y diámetro). La toma de datos fue mensual durante los primeros seis meses, a partir del momento de plantación (septiembre 2014 a febrero 2015); se hizo una evaluación final a los 17 meses del establecimiento (enero de 2016). La supervivencia se registró como una variable binomial con valores 0 para los individuos muertos y 1 para los vivos. El crecimiento en altura (medida de la base del tallo al ápice principal) y diámetro (medido en la base del tallo), se analizó como tasa de crecimiento absoluto (TCA) con la fórmula siguiente:
Donde:
T1 y T2 = Crecimiento medido en el momento de la primera y segunda evaluación, respectivamente
ΔT = Intervalo (tiempo en meses) entre las dos mediciones
Análisis estadístico de los datos de campo
El análisis de supervivencia se llevó a cabo mediante la prueba Log-Rank a partir de curvas de supervivencia construidas por el método Kaplan-Meier que define la función de supervivencia como:

Donde=
S (t) = Función de supervivencia
P = Probabilidad de muerte de una plántula
T = Tiempo indefinido de vida de una plántula mayor al tiempo de duración del estudio
t = Tiempo definido de vida de una plántula durante el tiempo de duración del estudio
Se siguió el procedimiento LIFETEST de SAS versión 9.2 (SAS, 2009).
Durante el segundo periodo de evaluación se advirtió un gran número de individuos muertos que afectó a tratamientos completos; por lo tanto, únicamente los valores de las tasas de crecimiento absoluto (altura y diámetro) del primer periodo de evaluación fueron sometidos a un análisis de varianza (ANOVA) con el procedimiento ANOVA en SAS versión 9.2 (SAS, 2009). Previo a ello, los supuestos de normalidad y homogeneidad de varianzas fueron validados. La prueba de hipótesis se basó en un nivel de significancia de α = 0.05. Las medias fueron comparadas por pares mediante la prueba Tukey (α = 0.05).
Resultados
En vivero, la influencia del volumen del envase sobre la modificación de la morfología de las plántulas estuvo asociada con la adición de hidrogel al sustrato (Cuadro 1).

Aunque estadísticamente hubo similitud entre los valores de las plántulas del T1 y T3, numéricamente las plántulas del T3 presentaron los mejores valores en la mayoría de las variables morfológicas de calidad (excepto R: PSA/PSR) (Cuadro 2). En relación a las plántulas del tratamiento testigo (T4), las del T3 registraron un crecimiento 19. 67 % superior en altura y 24.23 % en diámetro (Cuadro 2). Asimismo, las plántulas del T3 formaron 2.23 veces más biomasa aérea y 1.71 más biomasa radical en comparación con las del testigo (Cuadro 2). El IR, en cuyo caso valores bajos indican mejor calidad, mostró una diferencia de 5 % entre plántulas del T3 y T4 (Cuadro 2). Por último, en el ICD, bajo el supuesto de que valores altos indican mejores resultados, hubo diferencias superiores a 40 % entre los tratamientos mencionados (Cuadro 2).

Estado nutrimental
Independientemente del efecto correspondiente a la adición de hidrogel, las plántulas con mayor cantidad de reservas nutrimentales fueron las producidas en los envases de 500 mL (Cuadro 3).

Asimismo, de acuerdo con los nomogramas de vectores, y al tomar como punto de referencia el estado nutrimental de las plantas del T4 en nitrógeno, las del T1 evidenciaron un efecto de dilución, las del T2 de consumo de lujo, las del T3 de suficiencia y las del T5 y T6 de depleción (Figura 1A). Un efecto similar a lo obtenido en nitrógeno se observó para el fósforo, aunque en este caso el T2 ya no mostró un consumo de lujo sino de dilución (Figura 1B). Con respecto al potasio, las plantas del T1, T2, T3 y T6 tuvieron en común efectos de consumo de lujo; no obstante, esta respuesta fue más representativa en los primeros tres tratamientos. En los ejemplares del T5 se registró un efecto de dilución, lo cual fue distinto a lo ocurrido en los demás nutrimentos (Figura 1C).

Supervivencia y crecimiento en campo
A 17 meses de establecida la plantación, la supervivencia general promedio fue de 15 %. Durante los primeros 60 días se presentó una mortalidad superior a 25 % (Cuadro 4, Figura 2). La prueba Log-Rank mostró diferencias altamente significativas entre los tratamientos evaluados (X2 = 21.7, P = 0.0006). La mayor supervivencia se obtuvo en plantas del T1 (50 %), aunque sin diferencias significativas de aquellas pertenecientes al T2 y T3. Hubo una mortalidad de 100 % en las plantas del T4; sin embargo, este tratamiento difirió solamente del T1 (Cuadro 4). A pesar de que en T2 y T3 se tuvo supervivencia baja al final del periodo de evaluación, en los primeros seis meses son los tratamientos con la más destacada, cuyos valores fueron superiores a 80 % (Figura 2).

![Función de supervivencia estimada [S (t)] para los diferentes tratamientos de vivero evaluados en la plantación de Cedrela odorata L.](../2007-1132-remcf-7-36-00065-gf2.png)
Durante el periodo de crecimiento evaluado en campo, se registraron tanto en altura, como en diámetro diferencias altamente significativas entre los tratamientos (P ≥ 0.0001). En ambos casos, las plántulas del T1 tuvieron las tasas de crecimiento absoluto más elevadas. Al comparar los valores de dicho tratamiento contra los del T4 (testigo), en altura y diámetro las diferencias fueron 200 % y 86 % superiores, respectivamente (Figura 3A y B).

Discusión
En vivero, la morfología y el estado nutrimental de las plántulas de C. odorata se mejoran con el uso de envases de 500 mL y la adición de 4 g de hidrogel por litro de sustrato (Cuadro 2). Esta respuesta se atribuye a las condiciones generadas en el medio crecimiento, ya que ambos factores lo constituyen. El medio de crecimiento afecta positivamente el crecimiento de las plantas cuando les provee agua, nutrientes y oxígeno en niveles apropiados.
En ese contexto, la interacción entre el envase de 500 mL (bolsa de polietileno) y la dosis de 4 g de hidrogel (T3), sugiere una respuesta sinérgica positiva que favoreció, en primera instancia, el crecimiento radical. La formación de biomasa radical de las plántulas de dicho tratamiento fue 1.71 veces mayor que la de las plántulas del tratamiento testigo (Cuadro 2). A partir de ello, es probable, así como lo demuestra Orikiriza et al. (2009) que cuando hubo un buen crecimiento radical, las plántulas del T3 presentaron una mayor capacidad de absorción de agua, nutrientes y oxígeno, favoreciéndoles tanto un buen crecimiento de sus demás estructuras (Cuadro 2), como un adecuado estado nutrimental (Figura 1A, B, C). Esta hipótesis es sustentada por estudios cuyo contexto es similar al del presente trabajo. Por ejemplo, Annapurna et al. (2004), Ferraz y Engel (2011), Lisboa et al., (2012) y Abreu et al. (2014) registraron un mejor crecimiento y más formación de biomasa aérea y radical en plántulas de diversas especies forestales entre mayor sea el volumen del envase con el que se producen en vivero. Asimismo, la incorporación de hidrogel al sustrato muestra un efecto benéfico sobre el crecimiento y formación de biomasa de plántulas de otros taxa en estudios desarrollados por Orikiriza et al. (2009), Maldonado et al. (2011), Chirino et al. (2011), Bernardi et al. (2012) y Navroski et al. (2015).
Aunque en el crecimiento de las plantas hay efectos asociados con el tipo de envase (en relación con el tipo de material, forma, color, etcétera) como lo consignan Wightman et al. (2001) y Tauer y Cole (2009), las respuestas obtenidas en torno al volumen se atribuyen a que las plantas disponen de más espacio para crecer en biomasa radical, puesto que el envase es una barrera física que restringe el desarrollo de la raíz.
En cambio, los beneficios del hidrogel coinciden con la modificación de las propiedades físicas del sustrato, en especial, al incremento de la capacidad de retención de agua fácilmente disponible, condición que influye de forma positiva en el estado hídrico de las plantas, lo cual ha sido verificado por los ensayos de laboratorio y campo de Koupai et al. (2008) y Narjary et al. (2012).
En la investigación que aquí se documenta, ni los niveles de la cantidad de agua disponible en el sustrato ni el estado hídrico de las plántulas fueron medidos; no obstante, el supuesto de que las plántulas del T3 hayan registrado las mejores respuestas por el incremento en la capacidad de retención de agua, fácilmente, disponible por efecto de la adición de hidrogel (ya que disponían de más material por el volumen de la bolsa), se relaciona con el estado nutrimental representado en los nomogramas de vectores (Figura 1A, B, C). A diferencia de las plántulas de los otros tratamientos, cuyo estado nutrimental fue variable (Cuadro 3, Figura 1A, B, C), las plántulas del T3 presentaron un consumo de lujo en N, P y K, a pesar del hecho de que la tasa de adición de fertilizante fue igual para todos los tratamientos. De ahí se infiere que la eficiencia de este insumo se mejoró por la disponibilidad de agua, lo cual es coherente con las relaciones, bien conocidas, en las plantas entre agua y absorción de nutrimentos (Jones, 2005).
Por otro lado, en campo, el volumen del envase y la adición de hidrogel afectan el desempeño de las plántulas, pero el efecto más directo sobre su calidad está asociado al primer factor. Durante los seis meses iniciales de plantación, los ejemplares de los tratamientos T1, T2 y T3 tuvieron una supervivencia mejor en comparación con los de los T4, T5 y T6; pero a los 17 meses, solo las del T1 mantuvieron ese comportamiento (Cuadro 4, Figura 2); lo anterior contrasta con lo esperado del T3, que al momento de la plantación, eran individuos mejores morfológica y nutrimentalmente. Sin embargo, en términos estadísticos u operativos con los que se evalúa el éxito de las reforestaciones (Conafor, 2012), la supervivencia en campo de C. odorata no fue favorable para todo el conjunto de tratamientos, pues la mortalidad general promedio fue de 85 %.
Mediante observaciones en campo, se identificó al mal drenaje del suelo (por su textura arcillosa, su capacidad de campo de 34.5 %, el punto de saturación de 64.4 %, la conductividad hidráulica de 0.80 cm h-1 y densidad aparente de 1.18 g cm-3) y a la presencia de insectos fitófagos en el lugar, como los principales responsables de la mortalidad elevada. Ambas causas corresponden a los factores a los que C. odorata es vulnerable en esquema de plantación forestal (Calixto et al., 2015). Aunque las dos condiciones afectaron a todas las plántulas, sus características determinaron la severidad del impacto de cada uno; al respecto, un efecto diferencial se evidenció entre grupos de tratamientos.
Las plántulas de los tratamientos que involucraron la bolsa de polietileno de 500 mL (T1, T2 y T3) murieron, principalmente, por ataques de saltamontes (Caelíferos) e Hypsipyla grandella, mientras que las desarrolladas en el tubete de 380 mL (T4, T5 y T6) en su mayoría colapsaron por anegamiento. La susceptibilidad a la herbivoría en las plantas del primer grupo de tratamientos se sustenta en la hipótesis de vigor de plantas de acuerdo con revisiones de Baraza et al. (2007). Su aspecto vigoroso y la calidad nutrimental de sus tejidos, al parecer, propiciaron un foco de atracción para los insectos, como lo constataron Medinaceli et al. (2004) de forma experimental. Por otro lado, la pérdida de los ejemplares del segundo grupo se atribuye a las alteraciones creadas en el suelo por el encharcamiento y a la baja capacidad de las plántulas para tolerar el estrés debido a sus características morfológicas y fisiológicas inferiores (Pardos, 2004) (Cuadro 2).
Al contrario de las reacciones derivadas de la etapa de vivero y similar a la de supervivencia, los sobresalientes crecimientos absolutos en altura y diámetro no correspondieron a las plántulas con las mejores características de calidad (T3), sino a las del T1 (Figura 3). Sumado al efecto positivo del volumen del envase donde se produjeron, cuyas respuestas coinciden con las obtenidas en otros trabajos (Aphalo y Rikala, 2003; Prieto et al., 2007), el crecimiento superior en campo de las plántulas del T1 se vincula con la falta de hidrogeles en su cepellón. Probablemente ante las condiciones de mal drenaje en el suelo del sitio de plantación, las plántulas retuvieron menor cantidad de agua en comparación con las que si disponían de hidrogel, lo que redujo los impactos del anegamiento descritos por Pardos (2004). Al estar menos afectadas por tal condición, la mejor disponibilidad de oxígeno y nutrientes (que no tuvieron las demás plántulas con crecimiento más reducido), les permitió un desempeño más destacado. La limitación ejercida por el hidrogel contrasta con los beneficios reconocidos, por lo general, de este material, lo cual es coherente porque la efectividad del hidrogel ha sido analizada mayoritariamente en contextos de sequía (Chirino et al., 2011; Orikiriza et al., 2013).
Estos hallazgos tienen implicaciones prácticas para las reforestaciones con C. odorata. La evidencia experimental sugiere evitar el uso de hidrogel en suelos con drenaje pobre, y en su lugar, producir planta en envases cuyo volumen sea suficiente para que la planta resultante sea vigorosa y competitiva, con tasas elevadas de crecimiento que las facultan para evadir rápidamente las fases de vulnerabilidad en campo; no obstante, esta recomendación debe sujetarse a un análisis de costo-beneficio, como el efectuado por Puértolas et al. (2012).
Conclusiones
En vivero se verificó un efecto positivo sobre la calidad morfológica y estado nutrimental de las plántulas de C. odorata entre mayor es el volumen del envase con el que se producen y con la adición de hidrogel al sustrato, en dosis de 4 g por litro. El volumen del envase y la adición de hidrogel afectaron el desempeño de las plántulas en campo, pero el efecto más directo sobre su calidad se asocia al primer factor.
Agradecimientos
Los autores expresan su total agradecimiento a Norberto Pérez Silva y Styv de Jesús Calva por el apoyo técnico en la recolección y beneficio del germoplasma. Asimismo, se agradece de manera especial al Instituto Tecnológico Superior de Venustiano Carranza por el apoyo brindado en sus instalaciones para realizar este trabajo.
Referencias
Abreu, A. H. M., P. S. S Leles, L. A. Melo, D. H. A. A. Ferreira e F. A. S Monteiro. 2014. Produção de mudas e crescimento inicial em campo de Enterolobium contortisiliquum produzidas em diferentes recipientes. Floresta 45:141-150. DOI: 10.5380/rf.v451i.28931.
Annapurna, D., T. S. Rathore and G. Joshi. 2004. Effect of container type and size on the growth and quality of seedlings of Indian sandalwood (Santalum album L.). Australian Forestry 67:82-87. DOI: 10.1080/00049158.2004.10676211.
Aphalo P. and R. Rikala. 2003. Field performance of silver-birch planting-stock grown at different spacing and in containers of different volume. New Forests 25:93-108.
Baraza, E., R. Zamora, J. A. Hódar, J. M. Gómez. 2007. Plant-herbivore interaction: beyond a binary vision. Functional plant ecology. CRC Press. Boca Raton, FL, USA. pp. 482-499.
Basave V., E., V. M. Cetina A., M. A. López L., A. Aldrete and D. H. Del Valle Paniagua. 2015. Nursery practices increase seedling performance on nutrient-poor soils in Swietenia humilis. Forest - Biogeosciences and Forestry 8:552-557. DOI: 10.3832/ifor179-007.
Bernardi, M. R., M. Sperotto J., O. Daniel e A. C. T. Vitorino. 2012. Crescimento de mudas de Corymbia citriodora em função do uso de hidrogel e adubação. CERNE 18:67-74.
Calixto, C. G., M. A. López L., A. Equihua, D. E. Lira G. y V. M. Cetina A. 2015. Crecimiento de Cedrela odorata e incidencia de Hypsipyla grandella en respuesta al manejo nutrimental. Bosque (Valdivia) 36:265-273. DOI: 10.4067/s0717-92002015000200012.
Chirino, E., A. Vilagrosa and V. R. Vallejo. 2011. Using hydrogel and clay to improve the water status of seedlings for dryland restoration. Plant and Soil 344:99-10. DOI: 10.1007/s104-01-0730-1.
Comisión Nacional Forestal (Conafor). 2012. Evaluación complementaria del PROCOREF ejercicio fiscal 2011. Comisión Nacional Forestal, Zapopan, Jal., México. 325 p.
Ferraz, A. d. V. e V. L. Engel. 2011. Efeito do tamanho de tubetes na qualidade de mudas de jatobá (Hymenaea courbaril L. var. stilbocarpa (Hayne) Lee et Lang.), IPÊ-Amarelo (Tabebuia chrysotricha (Mart. ex DC.) Sandl.) e guarucaia (Parapiptadenia rigida (Benth.) Brenan). Revista Árvore 35:413-423.
Haase, D. L. and R. Rose. 1995. Vector analysis and its use for interpreting plant nutrient shifts in response to silvicultural treatments. Forest Science 41:54-66.
Instituto Nacional de Estadística y Geografía. México (Inegi). 2009. Prontuario de información geográfica municipal de los Estados Unidos Mexicanos. Venustiano Carranza, Puebla. Clave geoestadística 2194., México D. F., México. s/p
Jacobs, D. F. and K. M. Wilkinson. 2009. Planning crops and developing propagation protocols. Nursery manual for native plants: a guide for tribal nurseries. Department of Agriculture, Forest Service. Washington, DC, USA. pp. 33-53.
Jones, J. B. 2005. The plant root: its roles and functions, hydroponics: a practical guide for the soilless grower. CRC Press. Boca Raton, FL, USA. pp. 19-28.
Johnson, J. D. and M. L. Cline. 1991. Seedling quality of Southern Pines. Forest Regeneration Manual. Kluwer Academic Publishers. The Netherlands. pp. 143-159.
Koupai, J. A., S.S. Eslamian and J. A. Kazemi. 2008. Enhancing the available water content in unsaturated soil zone using hydrogel to improve plant growth indices. Ecohydrology & Hydrobiology 8:67- 75. DOI: http://dx.doi.org/10.2478/v10104-009-0005-0.
Lisboa, A. C., P. S. d. Santos, S. N. d. Oliveira Neto, D. N.d. Castro e A. H. M. d. Abreu. 2012. Efeito do volume de tubetes na produção de mudas de Calophyllum brasiliense e Toona ciliata. Revista Árvore 36:603-609.
López L., M. Á. y J. Alvarado L.. 2010. Interpretación de nomogramas de análisis de vectores para diagnóstico nutrimental de especies forestales. Madera y Bosques 16:99-108.
Maldonado B., K. R., A. Aldrete, J. López U., H. Vaquera H. y V. M. Cetina A. 2011. Producción de Pinus greggii Engelm. en mezclas de sustrato con hidrogel y riego en vivero. Agrociencia 45:389-398.
Medinaceli, A., N. P. Flores S., F. Miranda A. y E. Gutiérrez C. 2004. Herbivoría en relación al tamaño de la planta y a las diferencias de exposición de Pilea sp. (Urticaceae) en la Estación Biológica Tunquini, Cotapata, La Paz Bolivia. Ecología en Bolivia 39:4-8.
Mesén, S. F. 2006. Prácticas de recolección, manejo y uso de germoplasma de especies forestales nativas en América Central y Sur de México. CATIE. Turrialba, Costa Rica. 62 p.
Narjary, B., P. Aggarwal, A. Singh, D. Chakraborty and R. Singh. 2012. Water availability in different soils in relation to hydrogel application. Geoderma 187-188:94-101. DOI: http://dx.doi.org/10.1016/j.geoderma.2012.03.002.
Navroski, M. C., M. M. Araujo, C. S. Fior, F. d. S. Cunha, Á. L. P. Berghetti e M. d. O Pereira. 2015. Uso de hidrogel possibilita redução da irrigação e melhora o crescimento inicial de mudas de Eucalyptus dunnii Maiden. Scientia Forestalis 43:467-476.
Orikiriza, L. J. B., H. Agaba, M. Tweheyo, G. Eilu, J. D. Kabasa and A. Hüttermann. 2009. Amending soils with hydrogels increases the biomass of nine tree species under non-water stress conditions. CLEAN-Soil, Air, Water 37:615-620. DOI: 10.1002/clen.200900128.
Orikiriza. L. J. B., H. Agaba , G. Eilu , J. D. Kabasa, M. Worbes and A. Hüttermann . 2013. Effects of hydrogels on tree seedling performance in temperate soils before and after water stress. Journal of Environmental Protection 04:713-721. DOI: 10.4236/jep.2013.47082.
Pardos, J. A. 2004. Respuestas de las plantas al anegamiento del suelo. Investigación Agraria: Sistemas y Recursos Forestales (Fuera de serie):101-107.
Prieto R., J. Á., P. A. D Calleros, E. H. C. Oviedo y J. J. Návar Ch. 2007. Efecto del envase y del riego en vivero en el establecimiento de Pinus cooperi Blanco en dos condiciones de sitio. Madera y Bosques 13:79-97.
Puértolas, J., D. F. Jacobs, L. F. Benito and J. L. Peñuelas. 2012. Cost-benefit analysis of different container capacities and fertilization regimes in Pinus stock-type production for forest restoration in dry Mediterranean areas. Ecological Engineering 44:210-215. DOI: http://dx.doi.org/10.1016/j.ecoleng.2012.04.005.
Ramírez G., C., G. Vera C., F. Carrillo A. y O. S. Magaña T. 2008. El cedro rojo (Cedrela odorata L.) como alternativa de reconversión en terrenos abandonados por la agricultura comercial en el sur de Tamaulipas. Agricultura Técnica en México 34:243-250.
Rodríguez T., D. A. 2008. Indicadores de calidad de planta forestal. Mundi-Prensa, México, D. F., México. 156 p.
Statistical Analysis System (SAS). 2009. SAS Version 9.2. SAS Institute Inc. Cary, NC, USA. s/p
Tauer, P. K. and J. C. Cole. 2009. Effect of fabric and plastic containers on plant growth and root zone temperatures of four tree species. Journal of Environmental Horticulture 27:145-148.
Wightman, K. E., T. Shear, B. Goldfarb and J. Haggar. 2001. Nursery and field establishment techniques to improve seedling growth of three Costa Rican hardwoods. New Forests 22:75-96.
Notas
Notas de autor
*Autor por correspondencia: basave.erickson@inifap.gob.mx