Artículos
Modelo de crecimiento en altura dominante para Pinus pseudostrobus Lindl. en el estado de Guerrero
Modelo de crecimiento en altura dominante para Pinus pseudostrobus Lindl. en el estado de Guerrero
Revista mexicana de ciencias forestales, vol. 7, núm. 37, 2016
Instituto Nacional de Investigaciones Forestales, Agrícolas y Pecuarias
Recepción: 08 Agosto 2016
Aprobación: 30 Septiembre 2016
Resumen :
La productividad forestal puede expresarse matemáticamente por medio de modelos que describen los patrones de desarrollo de acuerdo a los diferentes factores involucrados en el desarrollo de cada especie. El objetivo del presente estudio fue evaluar el ajuste de tres ecuaciones dinámicas de crecimiento en altura dominante en diferencia algebraica generalizada (GADA), con el fin de construir una familia de curvas de índice de sitio con una edad de referencia de 15 años. Se utilizaron los análisis troncales de 55 ejemplares de Pinus pseudostrobus, que fueron analizados de manera longitudinal, con el propósito de calcular la altura verdadera del anillo central que rodea a la médula del árbol. Los ajustes se realizaron mediante el método iterativo anidado, que es invariante con respecto a la edad base; además, se simuló la estructura del error con un modelo autorregresivo de segundo orden para corregir la dependencia de errores longitudinales inherentes a los datos procedentes del fuste. Las fórmula tipo GADA definieron una familia de curvas polimórficas con asíntotas variables, lo que implica que en cada lugar existen tasas de crecimiento diferentes. Se seleccionó una expresión dinámica basada en el modelo de Chapman-Richards porque mostró la mejor calidad de ajuste; el coeficiente de determinación
(
) fue de 0.9931 y la raíz del error medio cuadrático (RMSE) 0.5879 m. La familia de curvas que resultó de esta ecuación modela con precisión la trayectoria de los datos observados para la predicción de la altura dominante e índice de sitio.
Palabras clave: Altura dominante, curvas de crecimiento, GADA, índice de sitio, Pinus pseudostrobus Lindl., polimorfismo complejo.
Introducción
La calidad de sitio es la base para desarrollar sistemas de clasificación de terrenos forestales de acuerdo a su capacidad productiva (Mora y Meza, 2003). Se define como el potencial de producción maderable de un lugar, rodal o bosque, para una especie en particular, en la que a mejor calidad, la acumulación de volumen es mayor, razón por la que el potencial de una asociación está estrechamente relacionado con el volumen maderable medido en la cosecha final (Clutter et al., 1983). Para cuantificarlo existen métodos directos e indirectos en los que el de índice de sitio se clasifica como un método indirecto que utiliza un patrón de crecimiento de altura dominante a una edad de referencia o edad base predefinida (Vanclay, 1994; Martín et al., 2008; Quiñonez et al., 2015).
En la modelación y biometría forestal se han propuesto diversas opciones para la construcción de funciones de altura dominante e índice de sitio, entre las que destacan la curva guía, la diferencia algebraica (ADA, Algebriac Difference Approach) y la diferencia algebraica generalizada (GADA, Generalized Algebriac Difference Approach) (Rodríguez et al., 2015). En la primera se utilizan la expresión y estructura matemática original de los modelos base para obtener el valor de los parámetros que se usan para construir las familias de curvas de crecimiento por regresión, las cuales pueden ser polimórficas o anamórficas; en ADA o GADA los modelos base son manipulados algebraicamente y quedan calibrados en función de si uno o más parámetros se hacen dependientes de la calidad de estación (Clutter et al., 1983; Cieszewski, 2002). Así, resultan ecuaciones dinámicas que se ajustan a bases de datos de intervalo o longitudinales (análisis troncales).
Con ADA se obtienen familias de curvas de crecimiento anamórficas o polimórficas, mientras que GADA combina las dos propiedades y da lugar al polimorfismo asintótico. Los parámetros que se derivan de los métodos para diseñar familias de curvas de crecimiento en altura dominante pueden ser globales, es decir, comunes a todos los rodales, o locales, específicos para cada uno (García, 2006). Las ecuaciones son herramientas efectivas para calcular la productividad e implementación de prácticas efectivas de manejo forestal. Por lo tanto, la predicción correcta de la altura dominante e índice de sitio con ecuaciones dinámicas es esencial para modelar el crecimiento y la producción de rodales con fines maderables (Vargas et al., 2013).
GADA considera que una ecuación de crecimiento puede ser expandida para hacer posible que más de un parámetro esté en función de la calidad de estación; se le asume como dependiente de una variable artificial que representa los factores que determinan la calidad de estación y las familias de curvas son más flexibles y aplicables en el manejo de grupos de árboles coetáneos o incoetáneos (Cieszewski y Bailey, 2000; Cieszewski, 2001). Con esta metodología se pueden generar familias de curvas con polimorfismo complejo, es decir, que tienen tasas de crecimiento variables y asíntotas múltiples (Cieszewski, 2002), lo que es ideal en el manejo forestal.
Las ecuaciones con polimorfismo complejo describen mejor los patrones de crecimiento en altura que los modelos anamórficos o polimórficos simples (Cieszewski, 2003). Establecen como supuesto la suma de factores como regímenes de manejo, condiciones de suelo y elementos ecológicos y climáticos definidos por una variable artificial denotada por X (variable no observable e independiente) (Cieszewski, 2002); además, preservan las propiedades lógicas de invariancia de la edad de referencia y de ruta o de camino de simulación (Cieszewski, 2003), en las que las proyecciones de la altura dominante pueden ser hacia el futuro o el pasado, sin afectar la capacidad predictiva de la ecuación.
Para el ajuste de las ecuaciones dinámicas de altura dominante en ADA o GADA se requieren pares de observaciones de alturas y edades tomadas en intervalos de tiempo o de manera longitudinal, es decir, medidos en condiciones de tiempo diferente o de manera repetida, como en parcelas permanentes o análisis trocales (Diéguez et al., 2006).
Pinus pseudostrobus Lindl. se distribuye, principalmente, en los bosques de pino y pino-encino de México; crece en suelos volcánicos y en climas templados y templado-cálidos, con precipitación anual entre 800 mm y 1 500 mm y registra cifras que sugieren buena productividad (López, 2002). Desde una perspectiva comercial proporciona madera de calidad procedente de ejemplares con dimensiones de 25 a 40 m de altura y de 40 a 80 cm de diámetro normal a edades adultas. Es por ello que representa una alternativa interesante de producción de planta y reforestación de áreas degradadas en el estado de Guerrero, así como de recuperación de terrenos forestales mediante un manejo eficiente y sustentado en estudios que describan su comportamiento.
Así, el objetivo del presente trabajo fue generar ecuaciones dinámicas de crecimiento en altura dominante e índice de sitio para construir una familia de curvas con polimorfismo complejo, a partir de datos de análisis troncales longitudinales de árboles de Pinus pseudostrobus en el ejido El Balcón del estado de Guerrero, México.
Materiales y Métodos
El área de estudio
El área de estudio se ubica en el ejido El Balcón, que pertenece al municipio Ajuchitlán del Progreso, en el centro de la Sierra Madre del Sur del estado de Guerrero, entre las coordenadas geográficas 17°34’00” a 17°51’00” norte y 100°27’ 30” a 100°36’45” oeste. El ejido tiene una superficie de 25 565 ha, de las cuales 10 000 ha están cubiertas por bosque de coníferas así como por asociaciones tropicales y subtropicales. El ecosistema que predomina es el bosque de pino y pino-encino con algunos manchones dispersos de bosque mesófilo de montaña y bosque de Abies religiosa (Kunth) Schltdl. et Cham. en las partes más altas. El intervalo altitudinal es de los 1 050 m hasta los 2 960 m, con un promedio de 2 213 m. El clima del lugar A(C)w2(w), corresponde al templado subhúmedo con lluvias en verano, con una precipitación media anual de 1400 mm.
Base de datos
La base de datos que se utilizó para el ajuste de las ecuaciones en GADA proviene de árboles individuales en rodales jóvenes, con edad promedio de 19 años. Se seleccionaron 55 ejemplares dominantes libres de daños, que se derribaron y seccionaron. La muestra se distribuyó en diferentes altitudes y exposiciones, y se cubrieron todas las calidades de estación presentes en el área de estudio. Se aplicó un corte longitudinal a lo largo del fuste de cada uno de los individuos, con el fin de medir el crecimiento verdadero por cada etapa de la vida del árbol, esto es, la altura a la que termina el anillo de crecimiento anual. El número de anillos se contabilizó en el tocón, en la sección en la que se toma el diámetro normal y a intervalos de 2 m hasta alcanzar la punta del árbol. Las estadísticas descriptivas de las variables consideradas se reúnen en el Cuadro 1.

Para modelar el crecimiento en altura dominante e índice de sitio en función de la edad, se seleccionaron tres ecuaciones cuya estructura matemática en GADA se deriva de los modelos base de Chapman-Richards (Richards, 1959), de Korf (Lundqvist, 1957) y de Hossfeld (Hossfeld, 1922) (Cuadro 2).
Ajuste de las ecuaciones dinámicas por regresión estadística
La calidad de ajuste de las ecuaciones dinámicas se evaluó a través del análisis numérico comparativo del coeficiente de determinación ajustado (
) y la raíz del cuadrado medio del error (RMSE). Además, se analizaron gráficamente las predicciones de las ecuaciones para verificar que tuvieran un comportamiento y tendencia biológicamente realista con respecto a las tendencias observadas (Goelz y Burk, 1992; Sharma et al., 2011) en el ajuste de la altura dominante en función de la edad. La forma matemática que presentan los estadísticos de bondad de ajuste es la siguiente:
[4]
[5]Donde:
Yi
,
= Valores observado, medio y predicho de la variable dependiente
n = Número de observaciones
p = Número de parámetros del modelo
La estimación de los parámetros para las ecuaciones dinámicas de altura dominante e índice de sitio implica diferentes consideraciones estadísticas: estructuras e independencia de errores, homogeneidad de varianzas y balance en los datos utilizados (Diéguez et al., 2006), por lo que debe confirmarse que se cumplan estos supuestos de la teoría de la regresión y, en su caso, corregirse en el mismo proceso de ajuste.
Los modelos fueron ajustados al considerar invariante la edad base, y de forma simultánea, los parámetros globales y específicos por árbol, para lo cual se usó el procedimiento iterativo (nested iterative procedure) (Tait et al., 1988), que genera buenos resultados con bases de datos mayores a 800 pares de altura y edad (Cieszewski, 2003; Krumland y Eng, 2005; Diéguez et al., 2006).
El ajuste de las ecuaciones se realizó por medio del MODEL del paquete estadístico SAS/ETS® (SAS, 2004), que permite la actualización dinámica de los residuos. El proceso iterativo consiste en los siguientes pasos: i) se ajustan los parámetros globales y se considera constante el parámetro local (H0) que varía para cada árbol y al que en principio se le asigna la altura media observada a la edad de 15 años; ii) los valores de los parámetros globales se consideran como constantes y el parámetro específico del sitio (H0) es reajustado; los datos observados para cada árbol (H0) son usados como de inicio para el procedimiento de ajuste; iii) los estimados (H1) se convierten en valores observados y los parámetros globales son ajustados nuevamente. Esta secuencia se repite hasta que las estimaciones sucesivas de los parámetros globales se estabilizan (Cieszewski y Bailey, 2000), para lo cual se utilizó como criterio que el cuadrado medio del error entre dos iteraciones fuera menor a 0.0001 (Vargas et al., 2010).
Para corregir la autocorrelación del término del error las ecuaciones fueron ajustadas con mínimos cuadrados ponderados, con el uso de una estructura autorregresiva continua de los errores (CAR2), a partir de la distancia entre las mediciones de altura para cada árbol (Zimmerman y Núñez, 2001; Vargas et al., 2013). El modelo autorregresivo presentó la forma siguiente:
[6]Donde:
eij = j-ésimo residuo de la unidad muestral
dk = 1 para > k y 0 para j = k (k = 1, 2)
ρk = Parámetro autorregresivo de orden k a estimar
tij - tij - k= Tiempo o distancia que separa la medición j-ésima de la medición j-ésima-k en cada unidad muestral tij > tij - k
εij = Error independiente que sigue una distribución normal con media cero y varianza constante
Resultados y Discusión
Los estimadores de los parámetros para las tres ecuaciones dinámicas ajustadas a las observaciones resultaron estadísticamente significativos en la prueba de hipótesis, con un nivel de significancia de 1 %; no hubo diferencias importantes en los estadísticos RMSE y
, ya que dichas expresiones explican más de 99 % de la varianza total de los datos observados y predicen las alturas totales con un error aproximado de 0.5 m (Cuadro 3).

La estructura autorregresiva continua de los errores (CAR2) corrigió correctamente el problema de autocorrelación de los errores en las expresiones evaluadas, con lo que se logró la independencia de los residuales de la altura dominante en función de la edad, lo que favoreció contar con estimadores de los parámetros más eficientes e insesgados (Parresol y Vissage, 1998). Con ello se previene la subestimación de la matriz de covarianzas de los parámetros y pueden realizar las pruebas estadísticas de los estimadores de los parámetros de dichas ecuaciones (West et al., 1984).
Desde el punto de vista práctico, los parámetros considerados para modelar la estructura del error, por lo general, no se utilizan para las predicciones de la altura dominante (Rodríguez et al., 2015; Castillo et al., 2013; Diéguez et al., 2006), ya que el propósito principal es lograr estimaciones consistentes de los parámetros y de los errores estándar (Cieszewski, 2001). De esta forma, la altura dominante de los árboles de un rodal se calcula en función de su edad, misma que se incorpora directamente al modelo, además de su altura a esa edad inicial para la proyección de la altura dominante a una edad futura o pasada.
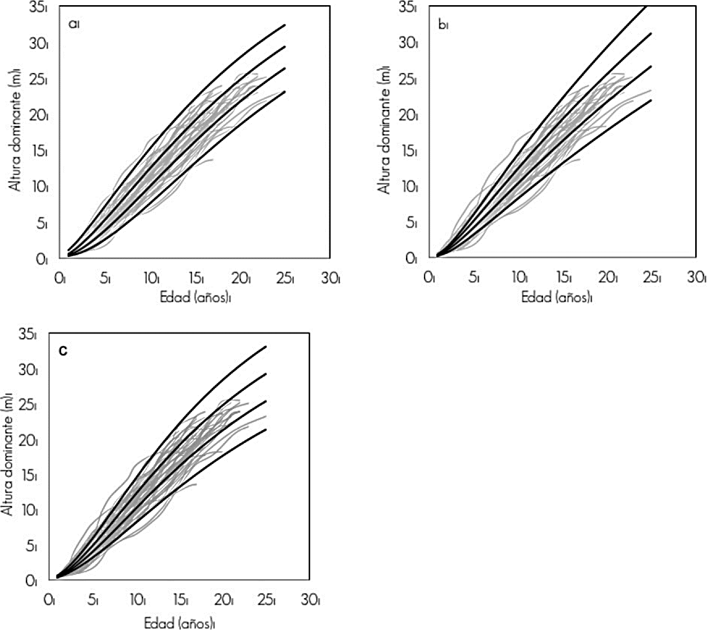
La Figura 1 muestra la comparación de las familias de curvas de crecimiento para los índices de sitio 13, 16, 19 y 22 m a la edad base de 15 años para las ecuaciones dinámicas ajustadas. Se advierte que la ecuación 2 subestima la altura dominante para edades menores a 3 años y la asíntota de las curvas no sigue la tendencia de los datos observados, sobre todo para los índices de 19 y 22 m, por lo que tiende a sobreestimar la altura.

Por su parte, la familia de curvas que genera la ecuación 3 sugiere que la curva ajustada para índices de sitio de 13 m tampoco es consistente con la tendencia de la asíntota de los datos observados en el intervalo de edades mayores a 15 años; por esta razón las ecuaciones dinámicas 2 y 3 se descartaron para modelar el crecimiento en altura dominante en árboles de P. pseudostrobus.
Las curvas de IS que se derivan de la ecuación 1 son las que describen de mejor manera el comportamiento del crecimiento en altura dominante, ya que siguen claramente la trayectoria definida en todas las clases de edad y marcan la asíntota en los cuatro índices de sitio. A pesar de que las ecuaciones dinámicas evaluadas no presentan diferencias evidentes en la bondad de ajuste, es conveniente analizarlas mediante gráficas si son distintas, dadas las trayectorias asintóticas de las curvas. Por ello, la ecuación dinámica 1 fue seleccionada como la mejor para expresar los patrones de crecimiento en altura dominante de P. pseudostrobus y también optaron por ella Vargas et al. (2013) para la especie de interés en el noreste de México, lo que confirma la condición práctica y flexible del modelo base, así como de la ecuación dinámica para regiones ecológicas diversas.
Si bien las observaciones provienen de árboles y rodales jóvenes que aún no se desarrollan en plenitud, sí se proyecta la trayectoria de las curvas de incremento corriente anual (ICA) e incremento medio anual (IMA) en altura dominante (Figura 2), se puede reconocer, entonces, que el turno absoluto (edad a la cual se logra el crecimiento máximo en altura dominante) sucede antes de los 10 años para sitios ricos, mientras que para sitios más pobres el turno se verifica después de los 20 años. Con ello se demuestra que la especie estudiada exhibe diferentes patrones de crecimiento en altura dominante en relación a la calidad de sitio en la que se toma la muestra. Lo anterior significa que los turnos absolutos serán distintos para los diferentes índices de sitio, los cuales ocurrirán más tarde para los rodales con productividad o índice de sitio menor (Quiñonez et al., 2015). Por lo tanto, las prácticas silvícolas en la planeación del manejo deben obedecer a una especie en particular, a su biología y a las condiciones del sitio con el fin de acortar los turnos absolutos y mejorar los patrones de crecimiento de la especie.

Aunque en la actualidad P. pseudostrobus es tratado con el Método Mexicano de Ordenación de Bosques Irregulares (MMOBI), con selección en grupos, e incluso con la diversidad biológica y las características del mercado, los resultados mostraron que se puede aplicar un manejo silvícola intensivo en los rodales estudiados, por lo tanto, es necesario desarrollar, adoptar o adaptar nuevos esquemas, mediante el replanteamiento de los objetivos y las tecnologías que son relevantes para las nuevas realidades ecológicas, socioculturales, económicas, legislativas e institucionales de las áreas forestales (Torres et al., 2016).
Todas las familias de curvas obtenidas con las ecuaciones dinámicas presentan polimorfismo complejo, un punto de inflexión a edades menores a 7 años y son invariantes con respecto al camino de simulación. Resultados similares los refieren López et al. (2015) con modelos de altura dominante en plantaciones de Pseudotsuga menziesii (Mirb.) Franco en España.
Aunque la familia de curvas de crecimiento en altura dominante que genera la ecuación dinámica seleccionada sigue la tendencia de los datos observados, se debe tener en cuenta que la altura total del árbol es una suma de periodos más amplios al del límite superior de edad analizado en este estudio; en ello pudieron intervenir otros factores adicionales y distintos a los de la calidad del sitio en un lapso más extenso (Huang, 1999), como la erosión del suelo por malas prácticas de manejo y alta densidad forestal en los sitios (Daniel et al., 1982); por lo tanto, tales curvas sólo tienen validez de aplicación en rodales con edades hasta de 25 años para estimar la altura dominante y calificar la productividad a través del índice de sitio.
La Figura 3a muestra el comportamiento gráfico lineal de los residuos de la ecuación 1, contra un retardo de los residuales (Lag1) sin considerar los parámetros autorregresivos; esta tendencia lineal desaparece después de corregir la autocorrelación con una estructura autorregresiva continua de los errores de segundo orden (CAR2), lo que provee un patrón aleatorio en los residuales al usar tres retardos (Lag3) (Figura 3b); Castillo et al. (2013) consignan resultados similares en modelos de índice de sitio para cuatro especies de pino en Santiago Papasquiaro, Durango.

Conclusiones
Una ecuación dinámica de altura dominante e índice de sitio tipo GADA, basada en el modelo de Champan-Richard, tuvo la mejor calidad de ajuste a los datos de análisis troncales, por lo que fue seleccionada para predecir el crecimiento en altura dominante y para calificar el nivel de productividad de rodales de Pinus pseudostrobus por conducto del índice de sitio en la zona de estudio. Se deberá actualizar el ajuste de esta ecuación e incorporar observaciones de árboles con más edad, con la finalidad de abarcar el intervalo completo de la edad del turno y obtener mejores predicciones.
La ecuación dinámica de índice de sitio seleccionada se recomienda para calcular la productividad de rodales jóvenes y deberá validarse para determinar la factibilidad de usarla en rodales de Pinus pseudostrobus de mayor edad, y tomar en cuenta los tratamientos silvícolas de manejo aplicados al bosque.
Con el uso de análisis troncales longitudinales se obtienen resultados aceptables en el ajuste de las ecuaciones dinámicas, por lo que se propone el uso de esta metodología para trabajos de investigación posteriores.
Conflicto de intereses
Los autores declaran no tener conflicto de intereses.
Contribución por autor
Miguel González Méndez: análisis de datos, ajuste de modelos, elaboración y revisión del manuscrito; Francisco Cruz Cobos: análisis de datos, ajuste de modelos, elaboración y revisión del manuscrito; Gerónimo Quiñonez Barraza: análisis de datos, ajuste de modelos, elaboración y revisión del manuscrito; Benedicto Vargas Larreta: análisis de datos, ajuste de modelos, elaboración y revisión del manuscrito; Juan Abel Nájera Luna: análisis de datos, ajuste de modelos, elaboración y revisión del manuscrito.
Agradecimientos
Los autores desean expresar su reconocimiento a la Dirección General de Educación Superior Tecnológica (DGEST) por la beca “Movilidad Nacional de Posgrado” otorgada al primer autor. Y al ejido El Balcón municipio de Ajuchitlán del Progreso, Guerrero, México por su gran disposición para permitir la realización del trabajo de toma de datos de campo.
Referencias
Castillo L., A., E. Vargas L., J. J., Corral R., J. A. Nájera L., F. Cruz C. y J. Hernández, F. 2013. Modelo compatible altura-índice de sitio para cuatro especies de pino en Santiago Papasquiaro, Durango. Revista Mexicana de Ciencias Forestales 4(18): 86-103.
Cieszewski, C. J. 2001. Three methods of deriving advanced dynamic site equations demonstrated on inland Douglas-fir site curves. Canadian Journal of Forest Research 31(1): 165-173.
Cieszewski, C. J. 2002. Comparing fixed-and variable-base-age site equations having single versus multiple asymptotes. Forest Science 48(1): 7-23.
Cieszewski, C. J. 2003. Developing a well-behaved dynamic site equation using a modified Hossfeld IV Function Y 3=(axm)/(c+ x m-1), a simplified mixed-model and scant subalpine fir data. Forest Science 49(4): 539-554.
Cieszewski, C. J. and L. Bailey. 2000. Generalized algebraic difference approach: theory based derivation of dynamic site equations with polymorphism and variable asymptotes. Forest Science 46(1): 16-126.
Cieszewski, C. J. and M. Strub. 2008. Generalized algebraic difference approach derivation of dynamic site equations with polymorphism and variables asymptotes from exponential and logarithmic functions. Forest Science 54(3): 303-315.
Clutter, J., J. Forston, L. Pienaar, G. Brister and R. Bailey 1983. Timber management: a quantitative approach. John Wiley and Sons Inc. New York, NY, USA. 331 p.
Daniel, T. W., J. A. Helms y F. S. Baker. 1982. Principios de silvicultura. Litográfica Ingramex, S. A. México, D. F., México. 492 p.
Diéguez A., U., H. E. Burkhart and R. L. Amateis. 2006. Dynamic site model for lobolly pine (Pinus taeda L.) Plantations in the United States. Forest Science 52(3): 262-272.
García, O. 2006. Site index: concepts and methods. In: Cieszewski, C. J. andM. Strub. (eds). Second International Conference on Forest Measurements and Quantitative Methods and Management. Warnell School of Forestry and Natural Resources. University of Georgia. Athens, GA, USA. pp. 275-283.
Goelz, J. C. G. and T. E. Burk. 1992. Development of a well-behaved site index equation: jack pine in north central Ontario. Canadian Journal of Forest Research 22: 776-784.
Hossfeld J., W. 1922 Mathematik für Forstmänner, Ökonomen und Cameralisten. Gotha, Thüringen, Deutschland. 310 p.
Huang, S. 1999. Development of compatible height and site index models for young and mature stands within an ecosystem-based management framework. In: Amaro, A. and M. Tomé (eds). Empirical and process- based models for forest tree and stand growth simulation. Ediçoes Salamandra-Novas Tecnologias. Lisbon, Portugal. pp. 61-98.
Krumland, B. and H. Eng. 2005. Site index systems for major young-growth forest and woodland species in northern California. California Department Forestry and Fire Protection. Davis, CA, USA. California Forestry Report Num. 4. 220 p.
López S., C. A., J. G. Álvarez G., U. Diéguez A. and R. Rodríguez S. 2015. Modelling dominant height growth in plantations of Pseudotsuga menziesii (Mirb.) Franco in Spain. Southern Forests: a Journal of Forest Science 77(4): 315-319.
López U., J. 2002. Pinus pseudostrobus Lindl. In: Vozzo A., J. A. (ed.). Tropical Tree Seed Manual. USDA Forest Service. Washington, DC, USA. pp. 636-638.
Lundqvist, B. 1957. On the height growth in cultivated stands of pine and spruce in northern Sweden. Medd Fran Statens Skogforsk Band 47(2): 1-64.
Martín B., D., G. Gea I., M. Del Río and I. Cañellas. 2008. Long-term trends in dominant-height growth of black pine using dynamic models. Forest Ecology and Management 256: 1230-1238.
Mora, F. y V. Meza. 2003. Comparación del crecimiento en altura de la teca (Tectona grandis) en Costa Rica con otros trabajos previos y con otras regiones del mundo. Seminario y Grupo de Discusión Virtual en Teca. Heredia, Costa Rica. http://www.una.ac.cr/inisefor (3 de julio de 2016).
Parresol, B. R. and J. S. Vissage. 1998. White pine site index for southern forest survey. Res. Pap. SRS-10. US Department of Agriculture, Forest Service, Southern Research Station. Asheville, NC, USA. 8 p.
Quiñonez B., G., H. M. De los Santos P., F. Cruz C., A. Velázquez M., G. Ángeles P. y G. Ramírez V. 2015. Índice de sitio con polimorfismo complejo para masas forestales de Durango, México. Agrociencia 49(4): 439-454.
Richards, F. J. 1959. A flexible growth function for empirical use. Journal of Experimental Botany 10(2): 290-301.
Rodríguez C., A., F. Cruz C., B. Vargas L. y F. J. Hernández. 2015. Modelo compatible de altura dominante-índice de sitio para táscate (Juniperus deppeana Steud.). Revista Chapingo. Serie Ciencias Forestales y del Ambiente 21(1): 97-108.
Statistical Analysis System Institute Inc. (SAS). 2004. SAS/ETS User’s Guide, 9.1. Version. Cary, NC, USA. 1315 p.
Sharma, R. P., A. Brunner, T. Eid and B. H. Øyen 2011. Modelling dominant height growth from national forest inventory individual tree data with short time series and large age errors. Forest Ecology and Management 262(12): 2162-2175.
Tait, D. E., C. J. Cieszewski and I. E. Bella. 1988. The stand dynamics of lodgepole pine. Canadian Journal of Forest Research 18(10): 1255-1260.
Torres R., J. M., R. Moreno S. and M. A. Mendoza B. 2016. Sustainable forest management in Mexico. Current Forestry Reports 2(2): 93-105.
Vanclay, J. 1994. Modelling forest growth and yield. applications to mixed tropical forests. CAB International. Wallingford, UK. 312 p.
Vargas L., B., O. A. Aguirre C., J. J. Corral R., F. Crecente C., y U. Diéguez A. 2013. Modelos de crecimiento en altura dominante e índice de sitio para Pinus pseudostrobus Lindl. en el noreste de México. Agrociencia 33(1): 91-106.
Vargas L., B. , J. G. Álvarez G. J. J. Corral R. y O. A. Aguirre C. 2010. Construcción de curvas dinámicas de índice de sitio para Pinus cooperi Blanco. Fitotecnia 33(4): 344-351.
West, P. W., D. A. Ratkowsky and A. W. Davis. 1984. Problems of hypothesis testing of regressions with multiple measurements from individual sampling units. Forest Ecology and Management 7(3) :207-224.
Zimmerman, D. L. and V. Núñez A. 2001. Parametric modeling of growth curve data: an overview (with discussion). Test 10(1): 1-73.