Resumen: El estudio de los incendios forestales requiere de un análisis integrado del territorio, pues el fuego no se genera por la acción de un factor aislado, sino que se deriva de la acción conjunta de un grupo de factores. En Hidalgo, la alteración de los regímenes de fuego es considerada la tercera causa de pérdida y degradación de los bosques, solo después del cambio de uso de suelo forestal y la tala clandestina. En este trabajo, se identificaron los factores meteorológicos, productivos, de uso del suelo y sociales que mejor explicaron la ocurrencia de incendios forestales en los municipios del estado durante el periodo 2000-2011, con base en el análisis de cuatro variables de siniestralidad y 73 explicatorias. Mediante regresión logística se construyó un modelo de probabilidad en el cual las variables significativas fueron: superficie de bosque, Producto Interno Bruto per cápita, longitud de carreteras y área perturbada, todas relacionadas positivamente con la probabilidad de incendio, excepto la última, con influencia negativa. A partir de la probabilidad de incendio, se estableció una escala de ocurrencia y se plasmó en un mapa. Fueron 39 municipios los que se ubicaron en una categoría media y 10 en alta. Las variables en el modelo estuvieron estrechamente ligadas a las actividades humanas, lo que evidenció la importancia de considerar el factor humano en la evaluación de riesgo de incendios. El manejo del fuego demanda de la comprensión de las causas detrás de las igniciones.
Palabras clave: Factores de riesgoFactores de riesgo,incendios forestalesincendios forestales,índice de peligro de incendioíndice de peligro de incendio,manejo integral del fuegomanejo integral del fuego,regresión logísticaregresión logística,uso del suelouso del suelo.
Artículo
Factores sociales de uso del suelo y vegetación asociados a los incendios forestales en Hidalgo
Recepción: 21 Enero 2016
Aprobación: 23 Abril 2017
El estudio de los incendios forestales requiere, en la mayoría de los casos, un análisis integrado del territorio pues estos no se generan por la acción de un factor aislado, sino que se derivan de la acción conjunta de un grupo de ellos, entre los cuales la vegetación, los tipos climáticos, la topografía y las actividades humanas resultan especialmente significativos (Chuvieco y Congalton, 1989).
En muchos sistemas ecológicos, los incendios forestales de gran magnitud tienen un impacto negativo, por la degradación que producen en el suelo y la cobertura vegetal y por las emisiones de gases de efecto invernadero, pero los efectos causados por el fuego no necesariamente son negativos; dado que influye en la heterogeneidad estructural de los bosques, la cual es esencial para el mantenimiento de la biodiversidad (Fulé et al., 2002; Cochrane, 2003).
Los incendios forestales han sido parte de la dinámica de los ecosistemas terrestres del mundo y una importante fuerza selectiva en los procesos de evolución de la biota (Whelan, 1995). Una visión de ese fenómeno que está siendo explorada en México, es el manejo integral del fuego, que considera su uso comunitario, el uso ecológico-silvícola del mismo, así como su prevención y combate (Rodríguez, 2000, 2015).
En México, cada año se registran numerosos incendios forestales que afectan, en diversos grados, a los diferentes ecosistemas terrestres, sin perder de vista que el fuego también cumple funciones ecológicas (Rodríguez, 2014). Para el estado de Hidalgo durante el periodo 2000 a 2011, el promedio de conflagraciones fue de 171 sobre una superficie promedio igual a 1 385.4 ha. Los máximos alcanzaron 346 incendios y 4 082.9 ha, respectivamente, ambos en 2011; mientras que los mínimos fueron 50 incendios y 164.7 ha, los dos en 2007.
De acuerdo con estadísticas recientes, se observa que regularmente 98 % de los incendios son inducidos por actividades humanas y solo 2 % por otro tipo de agentes naturales (Conafor, 2012), aunque algunos investigadores sugieren que la proporción de siniestros no provocados está subestimada (Rodríguez y Fulé, 2003). A reserva de mejorar el conocimiento de las causas precisas, en el país, los datos de Conafor resaltan la estrecha relación entre incendios y los factores antrópicos.
Algunos estudios han identificado variables relacionadas con la causalidad e incidencia de incendios forestales. Por ejemplo, Román y Martínez (2006) determinaron que a mayor densidad de caminos y de extensiones agrícolas aumenta su número en Reservas de la Biósfera del estado de Chiapas; Rodríguez et al. (2008) indican que la superficie de la zona con disturbio, la velocidad máxima del viento, la cantidad de productores agrícolas que reciben apoyos durante el ciclo productivo primavera - verano, el número de combatientes de los siniestros y el nivel de alfabetización son las variables más relacionadas con el área afectada, con el número de incendios y otros indicadores de siniestralidad en México.
Ávila et al. (2010) identificaron la relación cercana entre la intensidad y uso del suelo y el cambio del uso de la tierra, con los patrones de ocurrencia de fuego en Durango; Carrillo et al. (2012) demostraron que la precipitación media anual, la exposición del terreno y el número de ramales de vías de comunicación estuvieron relacionados con la distribución espacial de los siniestros en Puebla; Pérez-Verdín et al. (2013) vincularon la influencia de la densidad de población, vías de acceso, bajas precipitaciones y las altas temperaturas con el tamaño de los incendios en Durango.
En el estado de Hidalgo hay pocos estudios de este tipo, lo mismo puede decirse para la mayor parte de las entidades federativas de la república mexicana. En el Programa Forestal Estatal 2011-2016, el gobierno reconoce la importancia del tema, pues se tiene una tasa anual creciente de pérdida y degradación de los bosques (10 000 ha año-1), principalmente, por la problemática ya referida (Semarnath, 2011).
De acuerdo con el enfoque del presente trabajo, el objetivo fue identificar los factores que mejor explican la ocurrencia de incendios forestales en los diferentes municipios del estado de Hidalgo durante el periodo 2000-2011. Se partió de la hipótesis de que esos siniestros son el resultado de una pauta social, cuyo origen debe buscarse en las condiciones ambientales, forestales y socioeconómicas de cada zona.
El estado de Hidalgo se ubica en la región centro-oriental de México. Sus coordenadas son: al norte 21°24', al sur 19°36' de latitud norte; al este 97°58', al oeste 99°53' de longitud oeste. Tiene una superficie de 20 846.5 km2 y representa 1.1 % de la superficie del país. Cuenta con 84 municipios (Inegi, 2012a) (Figura 1).

Las variables que se asociaron a la ocurrencia de incendios fueron identificadas a partir de revisiones bibliográficas y consultas con expertos del estado. Se elaboró una base de datos en el programa Excel para los 84 municipios de Hidalgo, con información para el periodo 2000-2011(Cuadro 1).

La información meteorológica se obtuvo de la base de datos correspondiente estaciones climáticas superficiales de México CLICOM (Climate Computing Project), administrada por el Servicio Meteorológico Nacional (Cicese, 2015). Los datos de precipitación y temperatura se completaron con el método propuesto por Gómez et al. (2008), también se consideraron las isoyetas e isotermas de Inegi (2015a).
Las variables estadísticas (productivas, número de incendios y superficie siniestrada) y la red de carreteras fueron recopiladas del Anuario Estadístico y Geográfico de Hidalgo (Inegi, 2015a).
Las superficies municipales y usos de suelo se determinaron con el Sistema de Información Geográfica ArcGis 10.1 (ESRI, 2012), a partir de: carta de Áreas Geoestadísticas Municipales (Inegi, 2012b), mapa resultado del Inventario Forestal Nacional 2000 (Semarnat, 2001) y las Cartas de Uso del Suelo y Vegetación de Inegi escala 1:250 000 (Inegi, 2015b) (Cuadro 2).
La información de superficie anual se estimó a partir de una tasa de cambio que se asumió lineal y se obtuvo de productos cartográficos de diferentes años. Por ejemplo, si entre una carta y otra, editadas con cinco años de diferencia, había una reducción de 1 000 ha en la superficie forestal, la tasa de reducción fue de 200 ha año-1.

Los datos de las variables de tipo social se consultaron en la página electrónica del Departamento de Estadística, Matemática y Cómputo de la Universidad Autónoma Chapingo (DEMYC, 2015) y se complementaron con los informes del PNUD (2006, 2009, 2012). Dado que los índices sociales se calculan cada 5 años (2000, 2005 y 2010), se determinó una tasa de cambio municipal anualizada de forma similar a como se señaló para las cartas.
Cuando se trabaja con un conjunto tan grande de variables, aumenta la posibilidad de que se presente multiconlinealidad, con el fin de reducir sus posibles efectos, con el paquete estadístico SAS 9.0 (SAS, 2002) se realizaron análisis exploratorios y matrices de correlación, mediante el coeficiente de Pearson entre todas las variables. Las de tipo explicativas correlacionadas entre sí fueron eliminadas.
Además, debido a que 22 municipios no registraron incendios en el periodo de estudio, y uno carece de superficie forestal, se decidió eliminarlos del análisis. Después de la depuración, la base de datos estuvo compuesta por 732 observaciones y 77 variables: cuatro del número de incendios y de la superficie que afectan, variables respuesta, y 73 independientes referidas a características sociodemográficas y territoriales.
Posteriormente, se hizo otro análisis de correlación para conocer la relación entre las variables independientes y las de respuesta; como era de esperarse, los valores del coeficiente fueron bajos en general, si bien se consideraron los mayores valores para seleccionar solo 10 variables y usarlas para la regresión logística: temperatura media promedio, temperatura máxima de la temporada, número de ovinos, número de caprinos, número de bovinos, superficie de bosque, áreas con disturbio, esperanza de vida, longitud de carreteras y PIB per cápita. Resultaron significativas todas las variables previamente elegidas con un alfa de 0.05.
El modelo logístico se ha utilizado en distintos análisis para la estimación de la ocurrencia de incendios forestales a escalas regionales o locales, mediante la generación de modelos predictivos y explicativos, al conocer las variables de mayor importancia en el fenómeno (Carvacho, 1998).
Para el análisis estadístico de probabilidad de incendios forestales se utilizó el modelo de regresión logística de Hosmer y Lemeshow (2000):
Donde:
P = Probabilidad de ocurrencia de incendios forestales
e = Base de los logaritmos naturales
α = Ordenada al origen
β1 = Constante asociada a la variable independiente X 1 y así sucesivamente hasta β n X n
Este método requiere de una variable dependiente binomial, por lo tanto, se transformó la variable continua número de incendios forestales, asignando el valor 0 cuando no ocurrió un incendio y 1 cuando sí hubo por lo menos uno durante el año. El análisis se realizó con el procedimiento logístico (Proc logistic) del programa SAS 9.0 (SAS, 2002) para microcomputadoras.
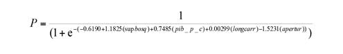
Para evaluar si los parámetros eran significativos, se examinaron los parámetros estimados, además de usar los valores del test χ2 y del estadístico de Wald. Las 10 variables seleccionadas, previamente, se analizaron por etapas (stepwise) “hacia atrás” y se alternaron una a una, hasta determinar las que no aportaron diferencias estadísticamente significativas (p ≤ 0.05) al modelo. Por último, se seleccionaron cuatro variables: dos de uso del suelo, área perturbada (apertur) y superficie de bosque (supbosq); además de, dos sociales, longitud de carreteras (longcarr) y PIB per cápita (pib_p_c). Se escogieron pocas variables porque se pretendía lograr un modelo significativo, pero que su uso no fuese complejo.
Las variables apertur, supbosq y pib_p_c se categorizaron a partir de un punto de corte, 10 000 para las tres variables (Cuadro 3). El valor elegido para el corte responde a su cercanía a las medias de las variables explicativas: superficie con bosque (11 481 ha), área perturbada (13 531 ha) y PIB per cápita (US$7 795). La variable longcarr permaneció continua.

Se estableció una escala de ocurrencia de incendios (Cuadro 4) en función de los valores obtenidos para la probabilidad de ocurrencia de incendios forestales (P); y se plasmaron en un mapa.

El mejor modelo incluyó cuatro variables: superficie de bosque (supbosq), PIB per cápita (pib_p_c), longitud de carreteras (longcarr), con influencia positiva, y superficie de áreas perturbadas (apertur), con influencia negativa; en el Cuadro 5 se muestran los coeficientes y variables estimadas con el modelo.

La regresión logística evidenció una concordancia de 66.9%. La probabilidad de ocurrencia de incendios forestales en los municipios de Hidalgo puede estimarse mediante la siguiente ecuación:
Donde:
P = Probabilidad de ocurrencia de incendios forestales
e = Número de Euler (2.7182)
supbosq = Superficie de bosque (ha)
pib_p_c = PIB per cápita ($ persona-1)
longcarr = Longitud de carreteras (km)
apertur = Superficie de áreas perturbadas (ha)
La mayoría de los signos de los coeficientes para cada variable son lógicos, de acuerdo al conocimiento previo que se tiene de las causas de incendios en México. Para el área perturbada la relación no es la esperada, cuyo coeficiente es negativo. Rodríguez et al. (2008) registran una relación positiva entre la existencia de áreas perturbadas y la superficie afectada, a nivel nacional.
Las variables significativas en este estudio, en parte, confirman lo que en otras investigaciones se ha documentado para algunas entidades federativas, por ejemplo: Román y Martínez (2006), Carrillo et al. (2012) y Pérez-Verdín et al. (2013) citan que la densidad de carreteras es uno de los factores antrópicos relacionados con la incidencia, distribución y el tamaño del incendio en Chiapas, Puebla y Durango, respectivamente.
En el ámbito mundial, también hay coincidencias con los resultados del presente estudio: Guo et al. (2015), con base en un análisis de regresión logística señalan que la heterogeneidad de la distribución de los incendios forestales es causada por la altitud, la cercanía a vías del tren, tipo de bosque y temperatura en las montañas de Daxing’an, China. Chas et al. (2012) al estudiar el patrón espacial de los incendios en la región de Galicia, España observaron que la alta presión demográfica, la propiedad comunal, el gran número de carreteras y caminos de acceso al bosque incrementan la probabilidad de una conflagración; mientras que, con el establecimiento de plantaciones forestales el riesgo disminuye.
Cardille et al. (2001) aplicaron la regresión lineal generalizada a variables abióticas, bióticas y humanas para determinar cuáles explican mejor la actividad de los incendios en la región del medio oeste de Estados Unidos de América. Sus resultados evidenciaron que la combinación de los tres grupos de variables se relacionó con la distribución espacial del fuego, pero resaltaron que las zonas con mayor densidad de población, de caminos; y con la menor distancia a las áreas no forestales fueron más propensas a las conflagraciones.
La variable superficie forestal se relacionó positivamente con la ocurrencia de incendios forestales, en parte, debido a la presencia de combustibles que existen en los bosques, lo que incrementa el peligro de incendio. Entre los trabajos que han consignado tendencias parecidas, está el de Guo et al. (2015).
Las zonas centro y sur de Hidalgo poseen la mayor concentración de población y un desarrollo económico superior al resto del estado, coincidentemente, en esa área se registra el número más alto de incendios. El desarrollo de la región implica el impulso de programas de actividades productivas mejor remuneradas que generen ingresos suficientes para que las familias tengan acceso a mayores niveles de consumo, que además propicien economías más dinámicas.
Al respecto, la región registra un grado alto de desarrollo humano en promedio (asociado a un PIB per cápita alto) (PNUD, 2014). Es posible que la relación directa entre probabilidad de incendios y PIB per cápita se explique porque dicha variable también puede implicar una gama de actividades más amplia, incluido el uso del fuego en el bosque o en sus inmediaciones, como parte de las prácticas agropecuarias.
Aparentemente, la variable PIB per cápita no había sido registrada como significativa en un modelo de probabilidad de incendios; aunque, sí han aportado en este sentido variables como el índice de desarrollo humano por género, que a nivel nacional Rodríguez et al. (2008) señalan tiene una relación inversa con respecto a la superficie afectada por incendios y la superficie forestal total. Destaca que más crecimiento económico puede incrementar los incendios, pero un mayor desarrollo humano tiene un efecto contrario.
Los incendios forestales se registran, sobre todo, durante los meses de marzo a mayo, posiblemente, debido a la falta de precaución durante el uso del fuego en las actividades agropecuarias, que coinciden con la época de sequía, así como a los descuidos de paseantes y excursionistas en sus visitas a los bosques. Bajo estas circunstancias es cuando la longitud de caminos y carreteras adquiere una relevancia alta, pues se puede vincular tanto con el aumento en la facilidad de acceso a diferentes áreas para iniciar un incendio por accidente o negligencia, así como con la quema de la vegetación que se lleva a cabo en los acotamientos de las carreteras.
Lo mismo sucede en pinares ubicados a orillas de carreteras, ya que desde los vehículos se arrojan colillas (Rodríguez, 2014). Un ejemplo de ello ocurre en la carretera del corredor turístico de Pachuca y en la de Pachuca a Real del Monte, donde es común ver áreas incendiadas en sus bordes.
En Hidalgo, la Conafor y el Gobierno del Estado otorgan apoyos en diferentes rubros para rehabilitar las áreas con disturbios por incendios y otros factores (Semarnat, 2016). Así como sucede en la actualidad, durante los años que abarcó esta investigación se desarrollaron políticas de recuperación de la superficie forestal, para la prevención y la concientización de la importancia de conservar los ecosistemas forestales.
Así, durante 2003-2010 el gobierno de México asignó $5 289 000 000 bajo el esquema de Servicios Ambientales en una superficie de 2 767 000 ha (Iglesias et al., 2010). El monto por pago de servicios ambientales en el estado de Hidalgo, en el periodo 2005-2011 fue de $46 656 674 (Conafor, 2017a; 2017b), para una superficie aprobada de 22 180 ha (Semarnath, 2011); en 2003 y 2004 no se otorgó dicho beneficio.
A través de esas acciones se explica, parcialmente, la influencia negativa de la variable superficie de áreas perturbadas en la ocurrencia de incendios forestales, pues existen otras opciones como el manejo forestal comunitario, mediante el cual muchas comunidades rurales cuidan los terrenos con reforestación y participan de manera activa para reducir la posibilidad de que un incendio las queme, y una más que se está explorando en México, es el manejo integral del fuego (Rodríguez, 2000, 2015).
En la Figura 2 se observan los grados de ocurrencia de incendio forestales para los municipios de Hidalgo, con relación a la superficie por clase y con respecto a la superficie forestal del estado.

En la Figura 3 se presenta un mapa que expresa, en una escala probabilística comprendida entre 0 y 1, la posibilidad estimada de que en un municipio ocurran incendios, con base en las variables históricas del modelo. Los municipios que aparecen en blanco son aquellos que se excluyeron del análisis por no tener registros de incendios en el periodo de estudio o carecer de superficie forestal, como es el caso de Tizayuca.
Sobresale que son 39 municipios los que se clasifican en una categoría media y 10 en alta, dichas áreas son de interés en las estrategias de manejo del fuego. Se observa que los municipios con la mayor probabilidad de incendios se ubican en el sureste de la entidad, en las regiones de Apan, Tulancingo y Pachuca, principalmente, pero también en los municipios Actopan, Tula de Allende, Zacualtipán de Ángeles y Zimapán.

El modelo logístico se graficó para apreciar mejor el efecto de sus variables explicativas (Figura 4). En el primer caso se fijó en 0 (PIB bajo) el valor de la variable pib_p_c, en el segundo ejemplo, la misma variable tuvo el valor 1 (PIB alto). La leyenda de la gráfica se refiere a un grado de ocurrencia de incendios conforme al color de los municipios.
Entre paréntesis se indican los valores correspondientes a la superficie de bosque y el área perturbada, 0 o 1 (bajo o alto), respectivamente. La probabilidad de incendios tiene influencia positiva de las variables superficie boscosa, PIB per cápita, longitud de carreteras; y efecto negativo del área perturbada. Se sugiere que cada variable ejerce un efecto aditivo a las demás para explicar el fenómeno.

Las variables más relevantes para explicar la probabilidad de ocurrencia de incendios y con base en el valor de sus constantes asociadas en el modelo logístico son la superficie de áreas perturbadas (influencia negativa), superficie con bosque (influencia positiva), producto interno bruto (influencia positiva) y la longitud de las carreteras (influencia positiva).
Los resultados confirman la importancia que tiene la longitud de caminos, ya que muestra una relación significativa con los incendios. El modelo de regresión logística demostró que la variable socioeconómica PIB per cápita tiene un peso significativo en la probabilidad de ocurrencia de incendios, por lo que es importante considerar el factor humano en la evaluación de riesgo de incendios en Hidalgo. La superficie forestal influye positivamente en la probabilidad de incendios, pero la superficie con áreas perturbadas tiene un efecto negativo.
Los resultados solo son válidos para los municipios de Hidalgo, pues probablemente, algunas de las variables del modelo no están relacionadas con la ocurrencia en otras regiones del país. Se considera que este trabajo debe ampliarse generando otros modelos de regresión geográficamente ponderados para cada una de las unidades de estudio, a fin de identificar las variables cuyos coeficientes varían de manera significativa a lo largo del espacio. Asimismo, queda pendiente la validación del modelo propuesto.
Los modelos de ocurrencia de incendios forestales pueden contribuir en la planeación de estrategias de manejo del fuego, tales como prevención, control y combate del mismo, con ello se garantiza que los recursos se dirijan a las zonas con mayor probabilidad o peligro, o bien donde el fuego deba ser reintroducido con fines de conservación, restauración o silvícolas. Pero es necesario enfatizar que la respuesta debe ser no solo para prevenir los incendios no deseados y combatirlos, sino también se requiere estimular el manejo comunitario del fuego, hacer su aplicación ecológico-silvícola, aprovecharlo para reducir el peligro de las conflagraciones no deseadas, favorecer la diversidad, entre muchos otros objetivos; es decir, un manejo integral del fuego.
Al Conacyt y a la Universidad Autónoma Chapingo.
*Autor por correspondencia, email: dantearturo@yahoo.com

















