Artículo
Recepción: 22 Febrero 2017
Aprobación: 19 Julio 2017
Resumen: En el control y supervisión del manejo forestal para cuantificar cortas clandestinas, se requiere la estimación del diámetro normal (d) para caracterizar el arbolado original y estimar los volúmenes extraídos. Cuando el árbol ya no existe, no se tiene la medida del mismo, de la altura (h) y del volumen (v), pero es factible estimarlo en función del diámetro del tocón (dt). Esta relación alométrica se utiliza para calcular los volúmenes faltantes. El objetivo de la presente investigación fue desarrollar ecuaciones predictivas de las relaciones d-dt, h-dt y v-dt de ocho especies forestales tropicales de Quintana Roo (caoba, cedro rojo, chacáh, chechem, ramón, sacchacáh, tzalam y chicozapote), mediante un muestreo dirigido y la medición directa de 1 169 pares de datos d-dt, y la medición indirecta de la altura (h) de árboles. Se incluyeron todas las categorías diamétricas y de alturas posibles en diferentes condiciones de crecimiento. Se ajustaron modelos lineales y no lineales para predecir las variables d, h y v a partir del dt, con el método de mínimos cuadrados. El nivel de significancia de los parámetros de los modelos, sus estimadores de bondad de ajuste, la distribución de residuales, y la capacidad predictiva de los mismos indican que los modelos son válidos para predecir y explicar la variabilidad del d, h y v en función del dt.
Palabras clave: Alometría, cortas, ecuaciones, especies tropicales, manejo forestal, regresión.
Introducción
En la cuantificación de cortas clandestinas o revisiones en áreas bajo manejo, conocer el diámetro normal (d) y el volumen (v) es indispensable para caracterizar la estructura del arbolado original y a partir de esto, calcular los volúmenes extraídos (López et al., 2003; Pompa et al., 2011) e incluso la biomasa o la cantidad de carbono capturado.
Lo anterior se logra a través de modelos alométricos que estiman el d en función del diámetro del tocón (dt) y una tarifa de volumen que dependa del d o del dt (Diéguez et al., 2003). La estimación del d en función del dt puede hacerse mediante procesos de regresión y así usarse para calcular los volúmenes (Jenkins et al., 2004; Pompa et al., 2011); tal como lo hicieron Diéguez et al. (2003), quienes ajustaron ecuaciones de d y v para seis especies forestales en Galicia, España, para ello emplearon modelos lineales y alométricos transformados mediante logaritmos. Sus resultados mostraron relaciones adecuadas entre variables, pero fue el dt la variable que mejor predijo a las variables dependientes indicadas, además con la inclusión de la altura del tocón (ht) no se obtuvieron mejoras en las predicciones.
Benítez et al. (2004) llevaron a cabo un estudio en plantaciones de Casuarina equisetifolia L. de la provincia de Camagüey, Cuba, en el cual se desarrolló un modelo matemático que permitió determinar el d a partir del dt. La ecuación logarítmica
. explica con precisión 94 % de la variabilidad de la información.
Bava y López (2006) con datos de d, dt y altura total (h) ajustaron modelos predictores de d en función de las otras dos variables. Dada la heterocedasticidad obtenida, se repitió el procedimiento con las variables transformadas y seleccionaron un modelo logarítmico de la forma:
Donde:
Log = Logaritmo
d = Diámetro normal
dh = Diámetro a la altura del tocón
h = Altura total
El modelo permite determinar el d de los árboles que fueron cortados a partir de las dimensiones del tocón, y se puede utilizar tanto para conocer la estructura original del bosque, como para las características de un aprovechamiento ya realizado.
Corral et al. (2007) sugieren un ajuste lineal para las primeras clases de d, debido a los buenos resultados para especies de pino del norte de México con el modelo:
Diéguez et al. (2003), Jenkins et al. (2004) y Pompa et al. (2011) calcularon el d en función lineal del dt, pero no incluyeron la ht como variable explicativa por considerar que el dt invariablemente ocurre a una ht constante de 0.3 m, lo cual no sucede siempre, sobre todo con árboles ubicados en topografías accidentadas o bien por las diversas técnicas de derribo utilizadas en su aprovechamiento.
Los mismos autores señalan que se deben considerar las variaciones en ht y el tipo dendrométrico de la primera troza del árbol, al ajustar modelos de la relación del tocón con el d, y, por su ahusamiento, es necesario probar modelos no lineales con ht como variable predictiva. Se ha demostrado que el neiloide truncado modela adecuadamente el tocón (Díaz et al., 2007; Pompa et al., 2011), e incluso se recomienda su aplicación en la estimación de biomasa (Navarro et al., 2000).
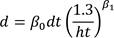
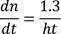
Para lograr lo anterior, los autores usaron al tocón como la porción del árbol del nivel del suelo hasta una altura menor o igual a 1.3 m (Raile, 1977); porque esta sección sigue un patrón dendrométrico del tipo neiloide truncado. Como h está relacionada con la ht; es decir, cuando el diámetro normal (d) es igual al diámetro del tocón (dt), se espera que ht = 1.3 m, por lo cual:
es decir, empíricamente se tiene:
Donde:
β 0 y β 1 = Coeficientes por determinarse mediante regresión
El primer parámetro de la función describe la proporción del d respecto al dt a lo largo de esta sección del fuste, mientras que el último representa la forma según las características dendrométricas del neiloide. Se espera que este modelo cumpla con la condición de que dt = d cuando ht = 1.3, para lo cual β0 debe ser cercano a 1.
Quiñones et al. (2012) ajustaron 12 modelos matemáticos para predecir el d a partir del dt para Pinus arizonica Engelm., P. ayacahuite Ehrenb. ex Schltdl., P. durangensis Martínez, P. leiophylla Shiede ex Schltdl. & Cham., P. teocote Shiede ex Schltdl. & Cham. y Quercus sideroxyla Humb. & Bonpl. en Durango, México. Para ello, emplearon modelos lineales y no lineales, cuyo ajuste indica que existe una tendencia lineal entre las variables d y h, en función del dt; mientras que, para el v la relación es logarítmica. Las ecuaciones obtenidas son aplicables en la reconstrucción de escenarios después de una intervención silvícola o la ocurrencia de fenómenos naturales catastróficos. Las ecuaciones son de la forma:
Para predecir la altura en función del diámetro del tocón, la literatura es escasa. Quiñonez et al. (2012) ajustaron los modelos recomendados por Diéguez et al. (2003), Benítez et al. (2004) y Corral et al. (2007), quienes proponen una relación lineal o exponencial entre el dt y el dn o v de los árboles. Los mejores resultados correspondieron a la expresión siguiente:
Dada la distribución de datos de la relación funcional entre el dt y la h, también se sugiere probar una relación con un parámetro no lineal, mediante la fórmula:
Para el volumen, los ingenieros forestales utilizan la regresión del volumen de los árboles sobre su diámetro, lo cual significa que al medir el diámetro (variable independiente) y reemplazar su valor en una relación definida según la clase de árbol, se determina el volumen y, aun sin necesidad de cálculos, aprecian el volumen al usar las gráficas de la función de dependencia, volumen=f(diámetro) (Prodan et al., 1997).
Para datos biológicos tales como el volumen, la heterocedasticidad de los residuos corresponde casi siempre a una relación de potencia entre la varianza residual y el tamaño de los árboles. Se parte del supuesto, que entre las variables explicativas de la regresión ponderada hay una (típicamente el diámetro de los árboles) tal, que v es una función de potencia de dicha variable. Sin pérdida de generalidad, se asume que esta variable es dt, de forma que:
(Picos y Cogolludo, 2008)
Donde:
β0 > 0
β1 ≥ 0
En consecuencia, la función de potencia es de la forma:
Donde:
β 0 = Número real, distinto de 0
β 1 = Número natural distinto de 1 (Picard et al., 2012)
Este es un modelo alométrico comúnmente usado (Prodan et al., 1997).
El objetivo del presente trabajo fue desarrollar ecuaciones que describan la relación diámetro normal (d), altura (h) y volumen (v) con el diámetro del tocón (dt) de árboles de ocho especies forestales tropicales de Quintana Roo.
Materiales y Métodos
Alrededor de 20 especies tienen importancia comercial en los aprovechamientos forestales de Quintana Roo; destacan Swietenia macrophylla King (caoba), Cedrela odorata L. (cedro), Lysiloma latisiliquum (L.) Benth. B. (tzalam), Metopium brownei (Jacq.) Urban L. & N (chechem negro), Dendropanax arboreus (L.) Decne & Planch. (sacchacáh), Bursera simaruba (L.) Sarg. B. (chacáh rojo), Simarouba glauca DC. C. (negrito) y Manilkara zapota (L.) Van Royen (chicozapote). Estas especies se distribuyen de manera natural en poblaciones en todo el estado, aunque son más abundantes en el centro y sur.
Con base en lo anterior, se tomaron datos en los ejidos Felipe Carrillo Puerto, X-Hazil, Chan Santa Cruz, Naranjal Poniente, Caobas y Bacalar, ubicados en esas partes (Figura 1).

Mediante un muestreo dirigido y con medición directa para árboles derribados e indirecta (relascopía) para árboles en pie, se levantó un total de 1 169 pares de datos de dt, d y h de individuos de las ocho especies de importancia comercial (caoba 137, cedro rojo 82, chacáh 190, chechem 133, ramón 215, sacchacáh 128, tzalam 109 y chicozapote 175). Se incluyeron todas las categorías diamétricas y de alturas posibles en diferentes condiciones de crecimiento.
Para árboles derribados, el diámetro con corteza se midió con forcípula Haglöf Sweden Digitech Professional de 80 cm a 0.30 m, 0.60 m, 0.90 m, 1.30 y 2.5 m, posteriormente se realizó la medición del diámetro por secciones a una longitud variable hasta llegar a la punta y determinar la altura total. Mientras que para árboles en pie se midió en forma directa el diámetro a 0.30 m, 0.60 m, 0.90 m, 1.30 m y 2.5 m todos ellos con corteza. Con el telerelascopio de Bitterlich Parapente Nr. 172305 se tomaron diámetros a alturas superiores en secciones de aproximadamente 2.5 m de longitud, en unidades taquimétricas y la altura en porcentaje.
El volumen de cada sección se calculó mediante la fórmula de Smalian y la punta se cubicó como un cono. El volumen total del árbol resultó de la suma del volumen de cada troza y el volumen de la punta, tal como se indica:
Donde:
V trozas = Volumen de las trozas (m3)
V Punta = Volumen de la punta (m3)
g o = Área basal del diámetro mayor de la troza (m2)
g 1 = Área basal del diámetro menor de la troza (m2)
g n = Área basal del diámetro de la punta (m2)
L = Longitud de la troza (m)
Se analizaron 11 modelos lineales y no lineales, mismos que fueron propuestos por Pompa et al. (2011), Quiñones et al. (2012), García-Cuevas et al. (2016) y otros mencionado por Prodan et al. (1997) (Cuadro 1).
Los datos atípicos se detectaron en el diagrama de dispersión de los datos observados y se eliminaron.
Para el ajuste se usó PROC MODEL con el método de máxima verisimilitud con información completa (FIML) para generar estimadores consistentes (SAS, 2015).
La selección del mejor modelo se hizo con base en los criterios de bondad de ajuste: la raíz del cuadrado medio del error (RCME), nivel de significancia de los estimadores (Pr>ІtІ), coeficiente de determinación ajustado (R² adj ) y la distribución de residuales contra predichos. Dicho análisis fue útil para determinar si los ajustes corresponden a la tendencia de los datos (Huang, 2002; García-Cuevas et al., 2016).

El cumplimiento de los supuestos de regresión se verificó con la prueba de Shapiro-Wilk (SW) para normalidad, con la que se probó las hipótesis H0: las observaciones tienen distribución normal; versus H1: las observaciones no tienen distribución normal, rechazando el supuesto de distribución normal (p<0.05) (Balzarini et al., 2008) y de forma gráfica para la homocedasticidad de los residuales (SAS, 2015).
En los ajustes es común que se presenten problemas de heterocedasticidad, por ello, se incluyó una función que pondera la varianza de los residuales (Residual/((x)ϕ)0.5) (Crecente et al., 2009) por medio de una función exponencial de acuerdo con la metodología sugerida por Harvey (1976), donde x es la forma de la variable utilizada y ϕ proviene de la regresión lineal del logaritmo natural (ln) de los residuales de la variable dependiente en función del ln de x.
Las ecuaciones que tienen mejor ajuste no siempre estiman los valores reales con mayor precisión, por lo que se debe tomar en cuenta que el análisis de regresión tiene como finalidad desarrollar el modelo que describa a la población en su conjunto con mayor fidelidad (Hair et al., 1999). Por ello, el uso de una medida teórica para evaluar la regresión con respecto a la diferencia entre la variable dependiente efectiva y su valor predictivo (error o sesgo) es importante y es usado con frecuencia en los modelos forestales (Gadow y Hui, 1999; Castedo y Álvarez, 2000; Diéguez et al., 2003; Corral et al., 2007).
Para la precisión de las predicciones se estimó el sesgo promedio (
), el cual indica la desviación individual del modelo con respecto a los valores observados (Diéguez et al., 2003) y. la diferencia agregada (DA %), que corresponde a la desviación para toda la muestra; la raíz del cuadrado medio del error (RCME); el coeficiente de determinación ajustado (R
2
adj
), que refleja la variabilidad total que es explicada por el modelo y que tiene en cuenta el número total de los parámetros estimados (Diéguez et al., 2003; Barrio et al., 2004; Trincado y Leal, 2006). Un modelo será mejor que otro si presenta un valor menor de
, RCME y un valor mayor del R2adj.
Resultados
En los cuadros 2, 3 y 4 se reúnen los resultados para las mejores ecuaciones ajustadas; solo en la altura total de chacáh se exhiben dos ecuaciones, ya que se llegó a resultados iguales en los criterios de bondad de ajuste.
Análisis para d-dt
Para las ocho especies se graficó la dispersión de datos observados de d, h y v en función del dt (Figura 2). Se obtuvo una tendencia lineal para la relación diámetro tocón-diámetro normal.
La estimación de los parámetros de las ecuaciones mejor ajustadas, así como sus criterios de bondad de ajuste para cada especie se muestran en el Cuadro 2. De los modelos analizados, se calculó un mejor ajuste con el modelo 2, el cual permitió predecir el diámetro normal en función del diámetro del tocón con mayor precisión.

El modelo 1 también presentó ajustes satisfactorios, pero para chacáh, chechem, sacchacáh, tzalam y chicozapote, el parámetro β0 no fue significativo, por lo que no se recomienda.
Para el modelo 2 se minimizó la raíz del cuadrado medio del error y los parámetros de las ecuaciones son significativos, por lo que se infiere que estas son válidas para predecir el d en función del dt (Cuadro 2).

Otro criterio trascendente para comprobar la bondad de ajuste de los modelos es el valor del coeficiente de determinación ajustado (R²adj). En este caso los valores más altos son para el modelo 2, los cuales en todos los casos explica arriba de 92 % la variación de los datos (Cuadro 2). Resultados similares registraron Pompa et al. (2011) con el mismo modelo, con valores de 0.96 para P. durangensis.
El análisis gráfico de los residuales para el modelo 2 (Figura 3) no presenta tendencias sistemáticas que indiquen heterogeneidad de varianzas (heterocedasticidad).
Para verificar el cumplimiento de los supuestos de la regresión, se infiere que hay normalidad de los errores en el modelo 2, porque los valores de la prueba de Shapiro-Wilk (SW: Normal) son cercanos a 1 (Velazco et al., 2006). Como se tienen muestras suficientemente grandes, de acuerdo con el teorema del límite central, estas tienden a aproximarse a la normalidad (Martínez-González et al., 2007).

Con respecto a las medidas de precisión, se observa capacidad predictiva alta de acuerdo con los valores pequeños de la raíz del error medio cuadrático y sesgo promedio, y un valor alto de R2adj (Cuadro 2). Los sesgos negativos indican en cuántas unidades se sobreestima la predicción a nivel de árbol individual y los sesgos positivos, la subestimación. Lo anterior es superior a lo obtenido por Pompa et al. (2011) con valores de RCME mayores de 5.7 y
superiores a 2.39 para P. durangensis.
El análisis gráfico de los valores predichos vs los datos observados muestra que el modelo 2 predice con precisión alta el diámetro normal en función del diámetro del tocón para las ocho especies (Figura 2).
Análisis para h-dt
La tendencia de los datos es tipo cóncavo y asintótico para diámetro del tocón-altura total, excepto para sacchacáh en el que se observa lineal (Figura 4).
En el Cuadro 3 se muestra la estimación de los parámetros de los mejores modelos, así como sus criterios de bondad de ajuste. Para estimar la altura, se ajustaron cinco modelos, que generaron resultados satisfactorios para caoba (3), cedro (7), chacáh (3 y 9), chechem (10), ramón (6), sacchacáh (3), tzalam (7) y chicozapote (3).

Los coeficientes de las ecuaciones tuvieron un nivel de significancia alto, por lo que se infiere que las ecuaciones son válidas para predecir la altura total en función del diámetro del tocón.
El valor de los coeficientes de determinación ajustado (R² adj ) para caoba, cedro, chacáh y sacchacáh explican de 52 a 68 % de la variación de los datos y para las demás especies solo entre 37 y 45 %.
La altura total en función del diámetro del tocón es difícil de modelar, tal como lo describen Diéguez et al. (2003), quienes enfrentaron limitaciones para ajustar ecuaciones en Pinus pinaster Aiton, P. radiata D. Don y P. sylvestris L. en Galicia, España. En México, Quiñonez et al. (2012) también tuvieron problemas para ajustar ecuaciones en P. arizonica, P. ayacahuite, P. durangensis, P. leiophylla, P. teocote y Quercus sideroxyla en Durango. Para dichos autores, el mejor modelo fue el lineal, pero con R 2 adj entre 0.47 y 0.77, distribuciones de residuos que muestran heterocedasticidad, sobreestimación en las primeras categorías de altura y una de los valores predichos en algunas especies.

El análisis gráfico de los residuales para los modelos (Figura 5) no presenta tendencias sistemáticas que indiquen heterocedasticidad.
Existe normalidad de los errores en la prueba de Shapiro-Wilk (SW: Normal) para chicozapote son ya que sus valores son cercanos a 1 y con nivel de confiabilidad alto (Pr < DW). En caoba, cedro, chacáh, chechem, ramón, sacchacáh y tzalam, la confiabilidad no es significativa, pero se tiene una muestra suficientemente grande y de acuerdo al teorema central del límite, estas tienden a aproximarse a la normalidad (Martínez-González et al., 2007).
Respecto a la precisión de las predicciones, se observa buena capacidad predictiva de acuerdo con los valores pequeños de la raíz del error medio cuadrático, sesgo, desviación agregada y mayor R2adj (Cuadro 3).
El análisis gráfico de los valores predichos vs los datos observados muestra la fidelidad con que las ecuaciones generadas predicen la altura total en función del diámetro del tocón (Figura 4).

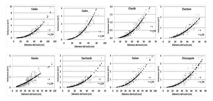
Análisis para v-dt
La tendencia de los datos es potencial para diámetro del tocón-volumen, en la que se representan todas las clases diamétricas para árboles individuales de las ocho especies (Figura 6).

El modelo alométrico describió con alto nivel de confiabilidad el volumen, en función del diámetro del tocón (Cuadro 4). Para las ocho especies, los coeficientes de las ecuaciones fueron significativos. En todos los casos los valores del R²adj fueron altos y explicaron entre 86 y el 93 % de la variación de los datos observados. Lo anterior concuerda con lo citado por Pompa et al. (2011) y Quiñonez et al. (2012), quienes estimaron para esta relación coeficientes de determinación entre 0.78 y 0.96 %.

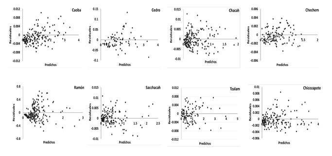
En los análisis gráficos de los residuales no se observan tendencias sistemáticas que indiquen heterogeneidad de varianzas (Figura 7).

Se asume que hay normalidad de los errores en todos los casos, porque los valores de la prueba de Shapiro-Wilk (W: Normal) son cercanos a 1 y con alto nivel de confiabilidad (Pr < DW). Además, se cumple con el teorema del límite central para muestras grandes, dado que estas tienden a aproximarse a la normalidad (Martínez-González et al., 2007).
Las ecuaciones ajustadas presentan capacidad predictiva alta de acuerdo con los valores pequeños de la raíz del error medio cuadrático, sesgo, desviación agregada y R2adj (Cuadro 4).
Conclusiones
Se obtuvieron ecuaciones que permiten estimar el diámetro normal de los árboles apeados, a partir de variables como el diámetro del tocón y la altura del tocón, así como para altura y volumen a partir del diámetro del tocón. Las ecuaciones son confiables, tienen una alta precisión y son prácticas ya que los elementos que se deben incorporar son variables fáciles de medir en campo
Agradecimientos
Los autores desean agradecer al Gobierno del Estado de Quintana Roo por el apoyo que brindó mediante el proyecto: Estudios para realizar acciones de tablas de volúmenes de ocho especies forestales maderables (SINCOPT-232179Y)
Referencias
Balzarini M., G., L. González, M. Tablada, F. Casanoves, J. A. Di Rienzo y C. W. Robledo. 2008. Infostat: Manual del Usuario, Editorial Brujas, Córdoba, Argentina. 336 p.
Barrio A., M., J. G. Álvarez G., I. J. Díaz M. y C. A. López S. 2004. Relación altura diámetro generalizada para Quercus robur L. en Galicia. Cuadernos de la Sociedad Española de Ciencias Forestales 18: 141-146.
Bava J., O. y P. M. López B. 2006. Predicción del diámetro a la altura de pecho en función de las dimensiones del tocón de árboles de lenga (Nothofagus pumilio) en Tierra del Fuego, Argentina. Quebracho 13:87-92.
Benítez N., J. Y. et al. 2004. Estimación del diámetro normal a partir del diámetro del tocón en plantaciones de Casuarina equisetifolia Forst. de la Provincia Camagüey, Cuba. Revista Chapingo: Serie Ciencias Forestales y del Ambiente 10(1): 25-30.
Corral R., J. J., M. Bario A., O. A. Aguirre C. and U. Diéguez A. 2007. Use of stump diameter to estimate diameter at breast height and tree volume for major pine species in El Salto, Durango (México). Forestry 80(1): 29-40.
Castedo, F. y J. G. Álvarez. 2000. Construcción de una tarifa de cubicación con clasificación de productos para Pinus radiata D. Don en Galicia basado en una función de perfil del tronco. Investigación Agraria. Sistemas y Recursos Forestales9(2): 253-268.
Crecente C., F., A. Rojo A. and U. Diéguez A. 2009. A merchantable volume system for Pinus sylvestris L. in the major mountains ranges of Spain. Annals of Forest Science 66:1-12.
Díaz F., R., M. Acosta M., F. Carrillo A., E. Buendía R., E. Flores A. y J. Etchevers B. 2007. Determinación de ecuaciones alométricas para estimar biomasa y carbono en Pinus patula Schl. et Cham. Madera y Bosques 13(1): 25-34.
Diéguez, A. U., M. Barrio A., F. Castedo D., y M. Balboa M. 2003. Estimación del diámetro normal y del volumen del tronco a partir de las dimensiones del tocón para seis especies forestales comerciales de Galicia. Investigación Agraria. Sistemas y Recursos Forestales 12(2): 131-139.
Gadow, K. V. and G. Hui. 1999. Modelling forest development. Kluwer Academic Publishers. Dordrecht, The Netherlands. 205 p.
García-Cuevas, X. et al. 2016. Ecuaciones para predecir el diámetro normal en función del diámetro del tocón para Abies religiosa (Kunth) Schltdl. et Cham. Revista Mexicana de Ciencias Forestales 7 (37): 95-103.
Hair, J. F., R. E. Anderson, R. L. Tatham y W C . Blach 1999. Análisis multivariante. Quinta edición. Prentice Hall Iberia. Madrid, España. 832 p.
Harvey, A. C. 1976. Estimating regression models with multiplicative heteroscedasticity. Econometrica 44: 461-465.
Huang, S. 2002. Validating and localizing growth and yield models: procedures, problems and prospects. In: Proceedings of IUFRO Workshop on Reality, Models and Parameter Estimation: the Forestry Scenario. June 2-5, 2002. Simbra, Portugal. http://rd4.dfid.gov-uk/PDF/Outputs/Forestry/R6915BTOR_Sesimbra_pdf (20 de julio de 2017).
Jenkins, J., D. Chojnacky, L. Heath and R. Birdsey. 2004. Comprehensive database of diameter-based biomass regressions for North American tree species. USDA. Gen. Tech. Rep. NE-319. Newtown Square, PA, USA. 45 p.
López S., C. A et al. 2003. A height-diameter model for Pinus radiata D. Don in Galicia (Northwest Spain). Annals of Forest Science 60:237-245.
Martínez-González, M. A., A. Sánchez-Villegas y J. Faulin-Fajardo. 2007. Bioestadística amigable. 2ª. Ed. Ediciones Díaz Santo. Barcelona, España. 919 p.
Navarro M., S. A. et al. 2000. Predicción de volúmenes de fuste para Pinus cembroides Zucc., en el Sureste de Coahuila. Foresta-AN. Nota Técnica No. 3. UAAAN. Saltillo, Coahuila. 16 p.
Picard N., L. Saint-Andre L. and M. Henry. 2012. Manual de construcción de ecuaciones alométricas para estimar el volumen y la biomasa de los árboles. Del trabajo de campo a la predicción. Organización de las Naciones Unidas para la Alimentación y la Agricultura y El Centre de Coopération Internationale en Recherche Agronomique pour le Développement. Rome, Montpellier, France. 223 p.
Picos M., J. y M. A. Cogolludo A. 2008. Apuntes de Dasometría. Escola Universitaria de Exeñería Técnica Forestal. Universidad de Vigo. Vigo, España. 191 p.
Pompa G., G. M. et al. 2011. Un modelo dendrométrico para estimación del diámetro normal a partir de las dimensiones del tocón. Agrociencia 45: 379-387.
Prodan, M., R. Peters, F. Cox y P. Real. 1997. Mensura forestal. Serie de investigación y evaluación en desarrollo sostenible. San José, Costa Rica. Instituto Interamericano de Cooperación para la Agricultura (IICA), GTZ. San José, Costa Rica 561 p.
Quiñonez B., G., F. Cruz C., B. Vargas L. y F. J. Hernández. 2012. Estimación del diámetro, altura y volumen a partir del tocón para especies forestales de Durango. Revista Mexicana de Ciencias Forestales 3(9): 23-39.
Raile, G. 1977. Estimating D.B.H. from stump dimensions. USDA For. Ser. Res. General Technical Report NC-48. Asheville, NC USA. pp: 30-33.
Statistical Analysis System (SAS). 2015. SAS/STAT® ver. 14.1 User’s Guide. SAS Institute Inc. Cary, NC. https://support.sas.com/documentation/onlinedoc/stat/141/nlmixed.pdf (18 de noviembre de 2016)
Trincado, G. y C. Leal D. 2006. Ecuaciones locales y generalizadas de altura-diámetro para pino radiata (Pinus radiata). Bosque 27(1)23-34.
Velazco B., E. et al. 2006. Manual para la elaboración de tablas de volumen fustal en pinos. Libro técnico Núm. 1. Instituto Nacional de Investigaciones Forestales, Agrícolas y Pecuarias. México, D. F., México. 34 p.
Notas de autor
*Autor por correspondencia, correo-e: adrian.hernandezr90@gmail.com
Declaración de intereses