Artículo
Dinámica de nutrientes durante el proceso de degradación de la hojarasca en el Matorral Espinoso Tamaulipeco
Nutrient dynamics during the decomposition process of litterfall at the Tamaluipan thorn scrub
Dinámica de nutrientes durante el proceso de degradación de la hojarasca en el Matorral Espinoso Tamaulipeco
Revista mexicana de ciencias forestales, vol. 9, núm. 49, 2018
Instituto Nacional de Investigaciones Forestales, Agrícolas y Pecuarias
Recepción: 11 Diciembre 2017
Aprobación: 24 Julio 2018
Financiamiento
Fuente: Consejo Nacional de Ciencia y Tecnología (Conacyt)
Nº de contrato: 250732
Resumen: El Matorral Espinoso Tamaulipeco está constituido por árboles y arbustos que producen gran cantidad de hojarasca esencial para el suelo y el ciclo de los nutrientes, el cual es complejo de entender. El objetivo del presente trabajo fue determinar el contenido de Ca, K, P, Mg, Cu, Fe, Mn y Zn durante el proceso de degradación de la hojarasca y comparar su dinámica en dos estaciones. La hojarasca se recolectó 15 días previos a cada estación y se dejó en campo para evaluar su descomposición (10 g), mediante la técnica de bolsa de nylon durante el invierno y la primavera. La tasa de descomposición (k, g g-1 año-1) fue de 0.002 y 0.003, respectivamente. En la estación de invierno, el Ca y P registraron una acumulación de 34.7 y 0.32 mg g-1, respectivamente; el K, liberó 7.2 y el Mg, 0.3 mg g-1; el Cu 1.0 µg g-1; el Fe incrementó 402.8 y el Mn 7.9 µg g-1; el Zn presentó una acumulación de 0.04 µg g-1. En primavera, el Ca tuvo una acumulación de 10.93 mg g-1 y el contenido de P fue 0.7 mg g-1. Al igual que en la temporada invernal, los minerales que registraron liberación fueron K (6.3 mg g-1) y Mg (0.49 mg g-1). Con respecto a Cu, Fe, Mn y Zn, se observó acumulación a razón de 2.7, 446.3, 6.3 y 16.1 µg g-1, respectivamente.
Palabras Claves: Acumulación de nutrientes, hojarasca, liberación de nutrientes, Matorral Espinoso Tamaulipeco, primavera, invierno.
Abstract: The Tamaulipan thorn scrub consists of trees and shrubs that produce large amounts of litterfall, essential for soil and nutrient cycling, which is complex to understand. The main objective of this work was to determine the contents of Ca, K, P, Mg, Cu, Fe, Mn and Zn during the process of litterfall degradation and its dynamics were compared in two seasons. Litterfall was sampled 15 days before each season and was left in the field for decomposition (10 g), using the nylon bag technique during the winter and spring seasons. The decomposition rate (k, gg-1·year-1) during the winter and spring was 0.002 and 0.003, respectively. During the winter season, Ca and P registered an accumulation trend of 34.7 and 0.32 mgg-1, respectively; K and Mg released 7.2 and 0.3 mgg-1, respectively; Cu released 1.0 μgg-1; Fe and Mn increased 402.8 and 7.9 μgg-1, respectively; Zn exhibited an accumulation of 0.04 µgg-1. During the spring season, Ca exhibited an accumulation of 10.93 mgg-1, and the P content was 0.7 mgg-1. As in the winter season, the minerals that showed a release pattern were K (6.3 mgg-1) and Mg (0.49 mgg-1). With respect to Cu, Fe, Mn and Zn, an accumulation trend was observed at a rate of 2.7, 446.3, 6.3 and 16.1 μgg-1, respectively.
Key words: Nutrient accumulation, litterfall, nutrient release, Tamaulipan thorn scrub, spring, winter.
Introducción
Las plantas proveen la mayor parte de la cobertura del ecosistema, ofrecen la estructura física al resto de las comunidades, constituyen el punto de partida de numerosos procesos tróficos y son un elemento activo de los ciclos de los nutrimentos minerales (Begon et al., 1990; Friedel et al., 2000).
En los suelos forestales se depositan diferentes materiales, provenientes de distintos estratos de la vegetación, como las hojas, ramas, inflorescencias, cuyo conjunto se denomina hojarasca; de ello, la hoja es la fracción más importante en los ecosistemas forestales (Santa, 1987; Barreto et al., 2018). La hojarasca determina la estabilidad y el funcionamiento del ecosistema, constituye la fuente principal de circulación de materia orgánica, energía y nutrimentos entre las plantas y el suelo; su contenido depende del balance entre los procesos de acumulación y descomposición, lo cual, está determinado por la especie vegetal y su composición química, por citar algunos factores (Sánchez et al., 2009).
La cantidad de bioelementos contenidos en la hojarasca constituye la principal fuente de nutrimentos incorporados al suelo, una vez que esta se descompone (Del Valle, 2003). Por lo cual, la evolución y velocidad de la descomposición, es clave para el funcionamiento de los bosques, ya que, si los nutrientes son liberados rápidamente, se pierden por lixiviación edáfica o por volatilización (Schlesinger, 2000; Castellanos y León, 2011). Por el contrario, si la descomposición es muy lenta, los nutrimentos disponibles pueden ser insuficientes y limitar el crecimiento y el desarrollo de las plantas (Jordan, 1985; Swift y Anderson, 1989; Bubb et al., 1998; Montagnini y Jordan, 2002; Castellanos y León, 2011).
El patrón general para la pérdida de peso de la hojarasca en descomposición comprende dos fases de estado: una inicial de rápido desarrollo por el lavado de compuestos solubles y la descomposición de materiales lábiles (azúcares, algunos fenoles, almidones y proteínas); y una segunda, más lenta, resultado de la baja descomposición de elementos recalcitrantes, como la celulosa, hemicelulosa, taninos y lignina (Arellano et al., 2004).
En los bosques montanos tropicales, los nutrientes liberados del mantillo representan la fuente principal de abastecimiento y de mantenimiento de la fertilidad del suelo (Vitousek et al., 1995; Parzych y Trojanowski, 2006), que satisfacen las necesidades de los vegetales (García-Oliva et al., 2003; Barreto y León, 2005). La descomposición de la hojarasca libera N, P, K, Ca, Mg y otros nutrimentos a diferentes tasas, en función de su calidad (Montagnini y Muñiz-Miret, 1999; Berg, 2000).
Kuruvilla et al. (2016) examinaron la dinámica de la producción de hojarasca, descomposición y liberación de nutrimentos de Munrochloa ritchei (Munro) M.Kumar & Remesh, una especie de bambú rara y endémica de Ghats Occidentales, India. La disminución en su contenido de N y K, fue continua; mientras que, P, Ca y Mg mostraron fases de acumulación temporales, antes de la liberación final. La liberación de nutrimentos de la hojarasca en descomposición tuvo el siguiente orden N = Mg > K = Ca > P.
La investigación sobre la descomposición de la hojarasca es útil para determinar la cantidad de nutrientes que pasan del reservorio de la hojarasca al suelo mineral y cómo influyen en su fertilidad. López et al., (2014) y González-Rodríguez et al., (2013) han realizado estudios en el Matorral Espinoso Tamaulipeco sobre ese tema y el aporte de nutrientes vía caída de hojarasca. Sin embargo, existen pocos trabajos en los ecosistemas del estado de Nuevo León sobre la liberación de macro y micronutrientes vía degradación de hojarasca y la influencia que existe en el comportamiento de estos en cada estación del año, durante el proceso de su descomposición. Es por ello, que el objetivo del presente trabajo fue determinar la liberación de macro y micronutrientes durante el proceso de degradación de la hojarasca y comparar su contenido en dos estaciones del año (invierno y primavera), en el Matorral Espinoso Tamaulipeco, sureste del estado de Nuevo León.
Materiales y Métodos
Sitio de estudio
El estudio se realizó en el Campus Experimental de la Facultad de Ciencias Forestales de la Universidad Autónoma de Nuevo León, ubicado a 8 km al sur del municipio Linares, en las coordenadas 24°47' N; 99°32' O, y a 350 msnm.
El clima de la región es subtropical y semiárido, con verano cálido, lluvias en los meses de abril a noviembre, con un periodo de sequía intraestival. La temperatura promedio mensual varía de 14.7 °C a 22.3 °C y temperaturas máximas de 45 °C se registran durante el verano. La precipitación promedio anual es de 805 mm, con distribución bimodal (González et al., 2004). Los suelos dominantes son de tipo Vertisol con profundidad de 0.80 a 1.50 m, de color gris oscuro, limo-arcillosos, con montmorillonita, se contraen y se expanden notablemente en respuesta a los cambios en el contenido de humedad del suelo (López, 2014).
Vegetación
El principal tipo de vegetación del ecosistema estudiado corresponde a Matorral Espinoso Tamaulipeco, formación arbustiva y subarbórea, con elementos florísticos dominantes de 4 a 6 m de altura, perennes, mayormente con espinas, hojas pequeñas y caducifolias. Las especies más representativas son: Acacia amentacea DC., Acacia farnesiana (L.)Willd., Acacia schaffneri (S.Watson)F.J.Herm., Castela erecta Turpin, Celtis pallida Torr., Condalia hookeri M.C.Johnst., Cordia boissieri A.DC., Diospyros texana Scheele, Eysenhardtia texana Scheele, Forestiera angustifolia Torr., Havardia pallens (Benth.) Britton & Rose, Lantana macropoda Torr., Leucophyllum frutescens (Berland.) I.M. Johnst. y Zanthoxylum fagara (L.) Sarg. La caracterización florística de este tipo de comunidad, ha sido previamente documentada por Domínguez et al. (2013).
Degradación de la hojarasca y frecuencia de recolecta
Se utilizó el método de la bolsa de hojarasca conocido como litter bag (Bocock y Gilbert, 1957); que consiste en recolectar 10 g de hojarasca recién caída en bolsas. Cada una, reflejó la proporción relativa de los componentes estructurales del material original: hojas, ramas, estructuras reproductivas y otros componentes de la hojarasca. Se colocaron al azar un total de 80 bolsas en las estaciones de invierno (21 diciembre de 2015 a 20 marzo de 2016) y primavera (21 marzo 2016 a 20 junio 2016) dentro una parcela sin disturbio del Matorral Espinoso Tamaulipeco. Se retuvieron en el laboratorio 10 muestras como testigos. Posteriormente, se colectaron al azar 10 bolsas a los 5, 10, 15, 30, 45, 60, 75 y 90 días después de haber sido colocadas en el suelo en cada época. Las muestras se secaron a 70 °C durante 72 h en un horno de convección (Marca Felisa, Modelo 292AD) para obtener el peso seco residual de cada una. Con este valor, se obtuvo la pérdida de la biomasa inicial equivalente a la descomposición. Los valores de masa remanente se ajustaron al modelo de regresión exponencial simple (Olson, 1963) de la forma:
Donde:
X t = Masa de hojarasca a un tiempo determinado (años)
X 0 = Masa inicial de hojarasca
β 0 = Valor en el tiempo cero
e = Constante de Napier
k = Constante de descomposición
t = Tiempo expresado en días
También, se determinó el tiempo (años) teórico requerido para que se degrade 50 %, 95 % y 99 % de la hojarasca, calculado de acuerdo a las siguientes fórmulas:
Una vez calculado el peso seco residual de cada muestra, la hojarasca se molió en un molino Thomas Willey mini mil (Thomas Scientific Apparatus, Modelo 3383) con una malla del número 20 (0.85 mm2). Posteriormente, se almacenaron en bolsas tipo Ziploc ®, etiquetadas por fecha, repetición y estación de muestreo para su análisis químico.
Contenido de nutrientes
Por muestra, se usaron 1.0 g para determinar la concentración de minerales (Ca, K, P, Mg, Cu, Fe, Mn y Zn); se incineraron en una mufla Thermo Scientific, modelo F-48010 a 550 °C, durante 4 h, las cenizas se digirieron en una solución de ácido clorhídrico (HCl) y ácido nítrico (HNO3), por digestión húmeda (Cherney, 2000). Los contenidos de Ca, K, Mg, Cu, Fe, Mn y Zn se analizaron por espectrofotometría de absorción atómica, mediante un espectrofotómetro marca Perkin-Elmer, modelo PinAAcle 900F. Las concentraciones de calcio se cuantificaron con óxido nitroso/llama de acetileno, mientras que el potasio, magnesio, cobre, manganeso, hierro y zinc por medio de aire/llama de acetileno. El fósforo (P), se cuantificó por colorimetría utilizando un espectrofotómetro Perkin-Elmer, modelo Lambda 25.
Análisis estadísticos
Para probar los supuestos de normalidad (pruebas de Kolmogorov-Smirnov y Shapiro Wilk) y de homogeneidad de varianzas (prueba de Levene) de los datos correspondientes a cada estación y nutriente determinado, se observó que ambos no cumplieron con los mencionados supuestos, por lo que se utilizó la prueba no paramétrica de Kruskal-Wallis (Ott, 1993) para detectar diferencias entre las estaciones para cada nutriente analizado. Los análisis estadísticos se llevaron a cabo en el paquete estadístico Statistical Package for the Social Sciences (SPSS, por sus siglas en inglés) versión 22 para Windows (SPSS, 2013).
Variables ambientales
La temperatura (°C) y la humedad relativa (%) se registraron (base horaria) en el sitio de estudio, mediante sensores automatizados tipo HOBO (Familia H8; Forestry Suppliers, Inc.). La precipitación (mm) se cuantificó en el sitio con un pluviómetro automatizado marca HOBO. La temperatura y humedad relativa media mensual, así como la precipitación mensual registrada durante el periodo y sitio de estudio se presentan en el Cuadro 1.
| Mes | Variable Ambiental | ||
|---|---|---|---|
| Temperatura | Humedad relativa | Precipitación | |
| Diciembre | 13.18 | 70.3 | 4.0 |
| Enero | 13.25 | 67.7 | 34.0 |
| Febrero | 17.50 | 63.6 | 1.2 |
| Marzo | 21.40 | 71.6 | 18.4 |
| Abril | 23.15 | 73.7 | 31.2 |
| Mayo | 24.60 | 81.8 | 133.2 |
| Junio | 25.50 | 78.7 | 83.0 |
Resultados y Discusión
Descomposición de la hojarasca
La tasa de descomposición de la hojarasca se presenta en el Cuadro 2, en el que se ilustra el valor de la constante de descomposición (k, g g-1 año-1) para las estaciones de invierno (0.002) y primavera (0.003), lo que indica una tasa de descomposición baja. En un estudio realizado en el Matorral Espinoso Tamaulipeco se estimaron valores de k en un intervalo de 0.42 y 0.50 (Marmolejo et al., 2013). Mientras que en otro tipo de vegetación, de plantaciones de Coffea arabica L., Pinus oocarpa Schiede ex Schltdl. y Eucalyptus grandis Hill ex Maiden, los valores de k fueron de 0.87, 1.08 y 0.72, respectivamente (Farfán y Urrego, 2007). Rivera et al. (2013) citan una k = 0.00913 en acahuales de más 20 años y con un tiempo de 75.9 días para descomponer 50 % de la materia y de 504.3 días para 99 %. En el presente estudio, la hojarasca para descomponerse a 50 % requiere de 0.8 años para invierno y de 0.6 años en primavera. El tiempo para la degradación de 99 % varía de 5.2 años en invierno a 3.7 años en primavera, lo que indica que la hojarasca de invierno tardara más tiempo en descomponerse.
| Estaciones | k (g g-1 año-1) | Degradación (años) | R2 | ||
|---|---|---|---|---|---|
| t.50 | t.95 | t.99 | |||
| Invierno | 0.002 | 0.8 | 3.4 | 5.2 | 0.819 |
| Primavera | 0.003 | 0.6 | 2.4 | 3.7 | 0.462 |
Los resultados de la prueba Kruskal-Wallis para detectar diferencias significativas entre las dos estaciones del año (invierno y primavera) para el contenido de macro y micronutrientes de la hojarasca durante el proceso de degradación, a los diferentes tiempos de incubación, se ilustran en el Cuadro 3. Los macronutrientes como el Ca y el Mg, presentaron diferencias significativas en siete tiempos de incubación de los nueve considerados; P solo en un tiempo de incubación mostró diferencias significativas. En cuanto a los micronutrientes, el Mn tuvo diferencias significativas en seis tiempos, el micronutriente Zn registró diferencias solo en dos tiempos.
| Tiempo de incubación (días) | Estadístico | Nutrimento | |||||||
|---|---|---|---|---|---|---|---|---|---|
| Ca | K | P | Mg | Cu | Fe | Mn | Zn | ||
| 0 | χ2 | 13.166 | 1.463 | 13.166 | 8.251 | 12.091 | 0.571 | 5.143 | 14.286 |
| Valor p | <0.001* | 0.226 | <0.001* | 0.004* | 0.001* | 0.450 | 0.023* | <0.001* | |
| 5 | χ2 | 5.851 | 13.166 | 0.143 | 3.863 | 7.406 | 0.091 | 3.571 | 1.851 |
| Valor p | 0.016* | <0.001* | 0.705 | 0.049* | 0.007* | 0.762 | 0.059 | 0.174 | |
| 10 | χ2 | 9.606 | 0.091 | 3.023 | 7.823 | 5.491 | 2.520 | 2.520 | 0.966 |
| Valor p | 0.002* | 0.762 | 0.082 | 0.005* | 0.019* | 0.112 | 0.112 | 0.326 | |
| 15 | χ2 | 4.860 | 10.667 | 0.427 | 6.827 | 2.160 | 4.167 | 7.260 | 3.527 |
| Valor p | 0.027* | 0.001* | 0.514 | 0.009* | 0.142 | 0.041* | 0.007* | 0.060 | |
| 30 | χ2 | 2.063 | 0.206 | 0.023 | 12.623 | 11.063 | 0.463 | 3.863 | 1.286 |
| Valor p | 0.151 | 0.650 | 0.880 | <0.001* | 0.001* | 0.496 | 0.049* | 0.257 | |
| 45 | χ2 | 6.606 | 0.463 | 0.006 | 3.291 | 0.823 | 0.823 | 7.823 | 0.463 |
| Valor p | 0.010* | 0.496 | 0.940 | 0.070 | 0.364 | 0.364 | 0.005* | 0.496 | |
| 60 | χ2 | 7.823 | 5.851 | 2.286 | 1.651 | 0.206 | 9.606 | 9.606 | 5.143 |
| Valor p | 0.005* | 0.016* | 0.131 | 0.199 | 0.650 | 0.002* | 0.002* | 0.023* | |
| 75 | χ2 | 10.566 | 2.766 | 0.966 | 5.143 | 3.291 | 12.623 | 13.720 | 0.571 |
| Valor p | 0.001* | 0.096 | 0.326 | 0.023* | 0.070 | <0.001* | <0.001* | 0.450 | |
| 90 | χ2 | 1.851 | 0.006 | 0.143 | 4.806 | 10.566 | 1.120 | 0.006 | 3.291 |
| Valor p | 0.174 | 0.940 | 0.705 | 0.028* | 0.001* | 0.290 | 0.940 | 0.070 | |
Los resultados indican que la mayor retención de nutrientes, y por tanto menor liberación de ellos, ocurrió en primavera, que coincidió con la mayor precipitación. Lo anterior concuerda con lo documentado por Tripathi y Singh (1992), quienes sugieren que la mayoría de los nutrientes se inmovilizan durante la temporada de lluvias.
Liberación de macronutrientes
El comportamiento de los macro (Ca>P) y micronutrientes (Fe>Mn>Zn>) en invierno y primavera tienden a presentar una inmovilización al principio, para luego mostrar una acumulación durante el tiempo de incubación, como se muestra en la figuras 1a, 1c, 2a, 2c y 2d. En tanto, a la liberación de nutrimentos en ambas estaciones, ocurrió en K>Mg. El orden de liberación registrada en el presente estudio difiere de lo señalado por Kuruvilla et al. (2016) en plantas de Munrochloa ritchei, cuyo patrón de liberación fue Mg>K. El Cu fue el único elemento que presentó liberación en invierno, mientras que la acumulación de Ca fue mayor que la de P en primavera. Con respecto al Ca en las estaciones invierno y primavera, evidenció una acumulación que fluctuó, de 0 a 90 días de incubación, de 45.7 a 80.5 mg g-1 y de 76.9 a 87.8 mg g-1, respectivamente. Lo que indica que no hubo liberación en ninguna de las dos estaciones, pero si una acumulación de 34.7 mg g-1 para invierno y 10.9 mg g-1 para primavera (Figura 1a); y su aumento, expresado en porcentaje respecto a su valor inicial, fue de 76 % y 14 %, respectivamente. Estos resultados son contrarios a lo observado por Farfán y Urrego (2007) en plantaciones de Coffea arabica L. y Cordia alliodora (Ruiz &Pav.) Oken en un periodo experimental de 365 días, con una liberación en ambas especies de 34 % y de 54 %, respectivamente. Por lo que se considera que el tiempo de incubación, las condiciones ambientales y la calidad de la hojarasca, fueron factores limitantes para la liberación del Ca.


Con relación al K, mostró una fluctuación de 11.4 a 4.2 mg g-1 en invierno y de 10.6 a 4.3 mg g-1, en primavera. Por tanto, de acuerdo a la Figura 1b, este elemento tendió a liberar 63 % (7.2 mg g-1) durante la estación de invierno y 59 % (6.3 mg g-1) en primavera. Observaciones que sugieren que el K es un elemento de rápida liberación, como ha sido previamente a lo documentado por Arce (2007) y por Castellanos y León (2011) en plantaciones de Ormosia coccinea (Aubl.) Jacks. y Vochysia lomatophylla Standl. Ese carácter de movilidad del K ha sido citado, y por tanto, se infiere que no está ligado a las estructuras orgánicas de los tejidos foliares, sino que se localiza de manera libre, por lo que es fácilmente lavado o removido (Attiwill, 1968; Tukey, 1970; Parker, 1983).
La concentración de P en invierno y primavera representó una fluctuación de 0.3 a 0.6 mg g-1 y de 0.6 mg g-1 a 0.7 mg g-1, respectivamente. Independientemente de las dos estaciones evaluadas, se puede observar que este elemento tuvo poca movilidad durante el proceso de descomposición de la hojarasca, ya que los valores se mantuvieron, relativamente, estables desde los 5 hasta los 60 días de incubación, tiempo en el que empezó a acumularse hasta los 90 días. Al final del estudio, el P se acumuló en 91 % (invierno), y 15 % (primavera), respecto a la cantidad inicial (Figura 1c). Resultados que coinciden con los consignados en hojarasca de Eucalyptus grandis, en los que se presentó inmovilización de P (Farfán y Urrego, 2007). Una tendencia similar fue observada por Castellanos y León (2011) en hojarasca de Acacia mangium Willd., autores que señalan al P como el elemento más restrictivo para la descomposición y mineralización de la materia orgánica, con una tendencia a la inmovilización, dada su escasa disponibilidad edáfica. Will (1967) registra que el P en el proceso de descomposición de la hojarasca, es retenido por los microorganismos o compuestos orgánicos.
El Mg, en invierno y primavera tuvo una fluctuación de 3.9 a 3.6 mg g-1 y de 3.3 a 2.9 mg g-1, respectivamente. La liberación de este elemento fue lenta en las dos estaciones, en invierno tuvo una liberación de 0.34 mg g-1 equivalente a 9 % de la cantidad inicial y en primavera, de 0.39 mg g-1, equivalente a 12 % respecto de su cantidad inicial (Figura 1d). Estos resultados indican poca liberación de Mg, en relación a la de K, patrón similar a lo documentado por Moro y Domingo (1996), quienes observaron en la hojarasca de Adenocarpus decorticans Boiss., en la Sierra de los Filabres, España, que el Mg registró una liberación de 0.96 % y K de 1.69 %. Sin embargo, en un estudio realizado por Kuruvilla et al., (2016) en Munrochloa ritchei, determinaron que el Mg fue el elemento de mayor liberación, con respecto al K.
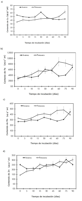
Liberación de micronutrientes
El contenido de Cu en invierno tuvo una fluctuación de 5.4 a 4.3 μg g-1 y en la estación de primavera de 3.5 a 6.3 μg g-1. En invierno, el Cu se incrementó 0.8 μg g-1 a los 30 días, para posteriormente tener una liberación de 1.0 μg g-1 al finalizar la estación. En cambio, en la primavera, se observó una acumulación de 2.7 μg g-1 a los 90 días de incubación. Por tanto, solo existió liberación en la estación de invierno, y fue del orden de 7 % (Figura 2a).
El elemento Fe en las estaciones invierno y primavera fluctuó de 278.4 a 681.3 µg g-1 y de 299.5 a 745.9 µg g-1, respectivamente. Independientemente, de las dos estaciones, no existió liberación de Fe a lo largo del periodo experimental. En la Figura 2b se ilustra que al final de la incubación, el Fe mostró un incremento promedio (424.55 µg g-1), similar en invierno y primavera.
El contenido de Mn en invierno y primavera correspondió al intervalo de 26.6 a 44.5 µg g-1 y de 33.0 a 39.3 µg g-1, respectivamente. En la Figura 2c, se observa que el elemento Mn, al final del periodo de incubación, tuvo un incremento similar, en promedio, de 12.1 µg g-1.
Con respecto al contenido de Zn, en la época invernal no se registró una variación considerable, ya que el contenido se mantuvo, prácticamente, constante (25.2±5.22 μg g-1) en los tiempos 0, 30, 45 y 90; en primavera, fluctuó de 14.2 a 30.3 µg g-1. Este elemento no presentó liberación a lo largo del periodo de incubación. En la Figura 2d se ilustra que, en el invierno, el Zn permaneció, relativamente, estable; sin embargo, durante la primavera, al final del tiempo de incubación, aumentó 13 % (6.1 µg g-1) respecto al tiempo inicial.
Conclusiones
El comportamiento de los nutrientes en la primera etapa del proceso de la degradación de la hojarasca evidencia similitudes tanto en invierno como en primavera; en la mayoría de los casos se presenta la acumulación e inmovilización de nutrientes (Ca, P, Cu, Mn, Fe, y Zn). Solo los elementos K y Mg, en ese orden de importancia, registran una tendencia de liberación. El K tiene una ligera liberación en el periodo invernal 0.42 mg g-1, en comparación con la estación de primavera. El Mg muestra una liberación lenta en ambas estaciones. El Ca y el P se acumulan en ambas épocas, cuyos valores más altos se observan en primavera y la mayor acumulación en invierno, con respecto a la media. Con relación a los micronutrientes (Cu, Mn, Zn y Fe) tienden a acumularse en primavera, respecto al invierno.
Los resultados de la tasa de degradación de la hojarasca a 50%, indican que, en invierno, la degradación será más lenta respecto a la primavera por una diferencia de 0.2 años (73 días). Se infiere que los factores ambientales, composición química de la hojarasca, agentes biológicos descomponedores y factores edáficos son determinantes en la movilidad e inmovilidad de los nutrimentos. En la época de primavera, se presentaron las mayores precipitaciones, y la inmovilidad de los nutrientes fue más evidente. En el caso de la liberación rápida de K, que se observa en ambas estaciones, sugiere que es un nutrimento móvil, que se localiza en forma libre y no asociado a las estructuras de la hojarasca.
Agradecimientos
Los autores agradecen al Consejo Nacional de Ciencia y Tecnología (Conacyt), por el financiamiento del proyecto Conacyt, clave 250732. También, se agradece la participación de tres revisores anónimos por enriquecer y hacer observaciones críticas y constructivas al presente escrito.
Referencias
Arce, U. C. 2007. Dinámica de descomposición y mineralización de macro nutrimentos en hojarasca de plantaciones de Ormosia coccinea (Aubl.) Jackson," Huayruro" y Vochysia lomatophylla Standl, "Quillosisa'', Iquitos, Loreto, Perú. Folia Amazónica 16(2): 101-106.
Arellano, R., J. Paolini, L. Vásquez y E. Mora. 2004. Producción y descomposición de hojarasca en tres agroecosistemas de café en el estado de Trujillo, Venezuela. Revista Forestal Venezolana 48(1): 7-14.
Attiwill, P. M. 1968. The loss of elements from decomposing litter. Ecology 49(1): 142-145.
Barreto S., L. H. y J. D. León P. 2005. Masa total y contenido de nutrientes en raíces finas de ecosistemas forestales (Pinus patula Schltdl y Cham., Cupressus lusitanica Mill. y Quercus humboldtii Bonpl.) de Piedras Blancas, Antioquia-Colombia. Revista Facultad Nacional de Agronomía 58(2): 2907-2929.
Barreto S., W., E. Périco, M. Schmidt D., M. Santos and R. L. Cajaiba. 2018. Are litterfall and litter decomposition processes indicators of forest regeneration in the neotropics? Insights from a case study in the Brazilian Amazon. Forest Ecology and Management 429: 189-197.
Begon, M., J. L. Harper and C. R. Townsend. 1990. Ecology Individuals, Populations and Communities. Blackwell Scientific Publications. Malden, MA USA. 945 p.
Berg, B. 2000. Litter decomposition and organic matter turnover in northern forest soils. Forest Ecology and Management 133(2): 13-22.
Bocock, K. L. and J. W. Gilbert. 1957. The disappearance of leaf litter under different woodland conditions. Plant and Soil 9(1): 179-185.
Bubb, K. A., Z. H. Xu, J. A. Simpson and P. G. Safigna. 1998. Some nutrient dynamics associated with litterfall and litter decomposition in hoop pine plantations of southeast Queensland, Australia. Forest Ecology and Management 110(1): 343-352.
Castellanos, B. J y J. D. León. 2011. Descomposición de hojarasca y liberación de nutrimentos en plantaciones de Acacia mangium (Mimosaceae) establecidas en suelos degradados de Colombia. Revista de Biología Tropical 59(1): 113-128.
Cherney, D. J. R. 2000. Characterization of forages by chemical analysis. In: Givens, D. I., E. Owen, R. F. E. Axford and H. M. Omed (eds.). Forage evaluation in ruminant nutrition. CAB International. Wallingford, UK. pp. 281-300.
Del Valle A., J. I. 2003. Cantidad, calidad y nutrimentos reciclados por la hojarasca fina de bosques pantanosos del Pacífico Sur Colombiano. Interciencia 28(8): 443-449.
Domínguez G., T. G., H. González R., R. G. Ramírez L., A. E. Estrada C., I. Cantú S., M. V. Gómez M., J. A. Villarreal Q., M. S. Alvarado y G. Alanís F. 2013. Diversidad estructural del Matorral Espinoso Tamaulipeco durante las épocas seca y húmeda. Revista Mexicana de Ciencias Forestales 4(17): 106-123.
Farfán, V. F. y J. B. Urrego. 2007. Descomposición de la hojarasca y liberación de nutrimentos de Coffea arabica, Cordia alliodora, Pinus oocarpa y Eucalyptus grandis, en sistemas agroforestales con café. Cenicafé 58(1): 20-39.
Friedel, M. H., W. A. Laycock and G. N. Bastin. 2000. Assessing rangeland condition and trend. In: Mannetje, L. T. and R. M. Jones (eds.). Field and Laboratory Methods for Grassland and Animal Production Research. CABI Publishing. Wallingford, UK. pp. 227-262.
García-Oliva, F., B. Sveshtarova and M. Oliva. 2003. Seasonal effects on soil organic carbon dynamic in a tropical deciduous forest ecosystem in western Mexico. Journal of Tropical Ecology 19(2): 179-188.
González, R. H., I. Cantú, M. V. Gómez and R. G. Ramírez. 2004. Plant water relations of thornscrub shrub species, northeastern Mexico. Journal of Arid Environments 58(4): 483-503.
González-Rodríguez, H., R. G. Ramírez-Lozano, I. Cantú-Silva, M. V. Gómez-Meza, M. Cotera-Correa, A. Carrillo-Parra y J. J. Marroquín-Castillo. 2013. Producción de hojarasca y retorno de nutrientes vía foliar en un matorral desértico micrófilo en el noreste de México. Revista Chapingo Serie Ciencias Forestales y del Ambiente 19(2): 249-262.
Jordan, C. F. 1985. Nutrient Cycling in Tropical Forest Ecosystems. Principles and Their Application in Management and Conservation. John Wiley and Sons. Chichester, New York, Brisbane, Toronto, Singapore. 190 p.
Kuruvilla, T., C. M. Jijeesh and K. K. Seethalakshmi. 2016. Litter production and decomposition dynamics of a rare and endemic bamboo species Munrochloa ritcheyi of Western Ghats, India. Tropical Ecology 57(3): 601-606.
López H., J. M. 2014. Producción de hojarasca y retorno potencial de nutrimentos en tres sitios del estado de Nuevo León, México. Tesis Doctoral, Facultad de Ciencias Forestales, Universidad Autónoma de Nuevo León. Linares, N.L., México. 83p.
López H., J. M., H. González R., R. G. Ramírez L., J. I. del Valle A., I. Cantú S., M. Pando M., A. E. Estrada C. y M. V. Gómez M. 2014. Producción de hojarasca y depósito potencial de nutrientes de las hojas en el Matorral Espinoso Tamaulipeco. Revista Mexicana de Ciencias Forestales 6(30): 74-89.
Marmolejo M., J. G., C. M. Cantú A. y M. A. Gutiérrez S. 2013. Degradación de la hojarasca en sitios con vegetación primaria y secundaria del Matorral Espinoso Tamaulipeco. Revista Mexicana de Ciencias Forestales 4(17): 175-181.
Montagnini, F. and N. Muñiz-Miret. 1999. Vegetation and soils of tidal floodplains of the Amazon estuary: A comparison of várzea and terra firme forests in Pará, Brazil. Journal of Tropical Forest Science 11(2): 420-437.
Montagnini, F. y C. Jordan. 2002. Reciclaje de nutrimentos. In: Guariguata, M.R. y G. H. Kattan. (eds.), Ecología y conservación de bosques lluviosos neotropicales. Cartago, Costa Rica. pp. 167-190.
Moro, M. J y F. Domingo. 1996. Descomposición de hojarasca en la leguminosa Adenocarpus decorticans: pérdida de peso y dinámica de los nutrientes en la Sierra de los Filabres (Almería). Revista Mediterránea Serie de Estudios Biológicos 2(15): 13-19.
Olson J., S. 1963. Energy storage and the balance of producers and decomposers in ecological systems. Ecology 44(2): 322-331.
Ott, L. 1993. An introduction to statistical methods and data analysis. 2nd ed. Duxbury Press. Boston, MA USA. 775 p.
Parker, G. G. 1983. Throughfall and stemflow in the forest nutrient cycle. Advances in Ecological Research 13(1): 57-133.
Parzych, A. and J. Trojanowski. 2006. Precipitation and duff fall as natural sources of nitrogen and phosphorus for forest soils in the Słowiński National Park. Baltic Coastal Zone 10: 47-59.
Rivera V., R., L. Soto P., C. A. Núñez C., B. De Jung, M. G. Hernández R. y J. A. B. Ordóñez D. 2013. Producción y tasa de descomposición de hojarasca en Acahuales de selva caducifolia en Chiapas. Revista Mexicana de Ciencias Forestales 4(20): 20-30.
Sánchez, S., G. Crespo y M. Hernández. 2009. Descomposición de la hojarasca en un sistema silvopastoril de Panicum maximum y Leucaena leucocephala (Lam) de Wit cv. Cunningham. I. Influencia de su composición química. Pastos y Forrajes 32(4): 2-8.
Santa, R. I. 1987. Contribución al estudio de la dinámica de la materia orgánica y bioelementos en bosques en la Sierra de Béjar. Tesis Doctoral. Universidad de Salamanca. Salamanca, España. 464 p.
Schlesinger, W. H. 2000. Biogeoquímica: un análisis del cambio global. Colección Ariel Ciencia. Barcelona, España. 592 p.
Statistical Package for the Social Sciences (SPSS). 2013. Statistical Package for the Social Sciences. Ver. 22. SPSS Inc. Armonk, NY USA. n/p.
Swift, M. J and J. M. Anderson. 1989. Decomposition. In: Lieth, H. and M. J. A. Werger (eds.). Tropical rain forest ecosystems: Biogeographical and ecological studies. Ecosystems of the world 14A. Elsevier Science. New York, NY USA. pp. 547-569.
Tripathi, K. P. and K. P. Singh. 1992. Nutrient immobilization and release patterns during plant decomposition in a dry tropical bamboo savanna, India. Biology and Fertility of Soils 14(1): 191-199.
Tukey, H. B. 1970. The leaching of substances from plants. Annual Review of Plant Physiology 21(1): 305-324.
Vitousek, P. M., G. Gerrish, D. R. Turner, L. R. Walker and D. Mueller-Dombois. 1995. Litterfall and nutrient cycling in four Hawaiian montane rainforests. Journal of Tropical Ecology 11(2): 189-203.
Will, G. M. 1967. Decomposition of Pinus radiata litter on the forest floor. Part I. Changes in dry matter and nutrient content. New Zealand Journal of Science 10(4): 1030-1044.
Notas de autor
*Autor por correspondencia; correo-e: humberto.gonzalezrd@uanl.edu.mx
Declaración de intereses