ARTÍCULOS CIENTÍFICOS
Programa de educación ambiental para la comunidad La Conchita, Pinar del Río
Proposed program of environmental education in the La Conchita community, Pinar del Río
Programa de educación ambiental para la comunidad La Conchita, Pinar del Río
Avances, vol. 20, núm. 3, pp. 308-318, 2018
Instituto de Información Científica y Tecnológica

Recepción: 15 Febrero 2018
Aprobación: 15 Mayo 2018
Resumen: La educación ambiental comunitaria ha sido asumida a lo largo del tiempo como espacios naturales, transmisión de valores, mediante un conjunto de conocimientos y técnicas, inspiradas en estudios de percepción. En la Comunidad La Conchita no existe una adecuada percepción ambiental y actuación consciente y sistemática de la problemática ambiental existente, es por ello que el objetivo de esta investigación consiste en elaborar un programa de Educación Ambiental destinado a mitigar los problemas ambientales en la comunidad La Conchita de la provincia de Pinar del Río. Con el propósito de determinar con mayor precisión, el estado actual de la percepción ambiental de los habitantes de la comunidad La Conchita del municipio Pinar del Río, sobre problemáticas afines, se diagnosticó la percepción ambiental, se aplicaron métodos como la observación participante, encuesta y entrevista. Los principales resultados estuvieron basados en la realización del diagnóstico de la situación del manejo de residuos sólidos en la comunidad, y en la propuesta de acciones educativas en materia ambiental, siendo la población de niños y adolescentes el grupo focal hacia donde se potencien las mayores acciones del programa educativo a implementar.
Palabras clave: Educación ambiental, comunidad, medio ambiente, programa de educación ambiental.
Abstract: The community environmental education has been assumed along the time like natural spaces, transmission of values, by means of a group of knowledge and technical, inspired by studies of perception. In the Community The Shell doesn't exist an appropriate environmental perception and conscious performance, systematic of those that intervene in the handling of the solid residuals causing severe impacts because of the contamination, it is for it that the objective of this investigation consists on elaborating a program of Environmental Education dedicated to mitigate the contamination for the solid residuals in the community The Shell of the county of Pinar del Rio. With the purpose of determining with more precision, the current state of the environmental perception of the inhabitants of the community The Shell of the municipality Pinegrove of the River, on problems tunes, the environmental perception was diagnosed, methods like the participant observation were applied and it interviews. The main results were based on the realization of the diagnosis of the situation of the handling of solid residuals in the community, and in the proposal of educational actions in environmental matter, being the population of children and adolescents the focal group toward where you potencien the biggest actions in the educational program to implement.
Keywords: Environmental education, community, environment, environmental perception.
INTRODUCCIÓN
Desde que en el mundo se comenzó a tomar conciencia del papel que desempeña el medio ambiente en la vida humana y viceversa, el concepto de educación ambiental ha cambiado. En 1975, la UNESCO y el PNUMA fundaron el Programa Internacional de Educación Ambiental (PIEA). Con este programa se pretendió definir los objetivos de la educación ambiental, examinar sus implicaciones educativas y planificar y coordinar la investigación, la formación del profesorado, la evaluación de los proyectos, así como coordinar la educación ambiental a nivel internacional.
En el documento denominado Carta de Belgrado (1975) se plantea la necesidad de reconsiderar conceptualmente el término «Desarrollo», para lo cual la Educación Ambiental será la herramienta propicia para generar una nueva ética en las relaciones del hombre con la naturaleza. Se definieron los objetivos y las metas de la educación ambiental con vistas a alcanzar una mejor calidad de vida para las generaciones actuales y futuras.
La Educación Ambiental es asumida como el proceso continuo y permanente, que constituye una dimensión de la educación integral de todos los ciudadanos, orientada a que en la adquisición de conocimientos, desarrollo de hábitos, habilidades, capacidades, actitudes y en la formación de valores, se armonicen las relaciones entre los seres humanos y de ellos con el resto de la sociedad y la naturaleza, para propiciar la orientación de los procesos económicos, sociales y culturales hacia el desarrollo sostenible (Estrategia de Educación Ambiental de Cuba, 2007).
Según Leff (2002) podemos señalar que se trata de «educar para formar un pensamiento crítico, creativo y prospectivo, capaz de analizar las complejas relaciones entre procesos naturales y sociales, para actuar en el ambiente con una perspectiva global, pero diferenciada por las diferentes condiciones naturales y culturales que lo definen».
La participación y la acción son elementos centrales de la educación ambiental comunitaria, ya que la educación requiere apoyar y orientar las acciones sin las cuales no se estaría logrando resultados concretos para el mejoramiento de las situaciones ambientales y la toma de una conciencia ambiental y mejor calidad de vida de las personas (Conde, 2009).
Hoy la educación ambiental camina por nuevos escenarios, nuevas concepciones, incorporándose a las tradicionales práctica educativas, aquellas que aprueben la metodología de la Educación Popular Ambiental, y en consecuencia un cúmulo de prácticas renovadoras que se insertan con los esfuerzos para lograr nuevos resultados a favor del medio ambiente, a pesar de que se reconoce, no hay suficientes avances en la transformación del actuar en muchos de los escenarios ambientales existentes (Borte et al., 2011).
Muchas son las herramientas que se utilizan en Cuba para lograr un estadio superior en el fomento y desarrollo de una mejor situación ambiental en las comunidades, la elaboración de un programa de educación ambiental en la comunidad La Conchita de la provincia de Pinar del Río, es una propuesta del estudio para mejorar la situación ambiental existente e involucrar a todos los actores de dicha comunidad.
MATERIALES Y MÉTODOS
La comunidad La Conchita, a siete kilómetros de la ciudad de Pinar del Río, con una extensión superficial de 49,5 km2, y una población de 8 122 habitantes. Limita al norte con el centro turístico Aguas Claras, al oeste con el Consejo Popular Ovas y al este con el Consejo Popular 10 de Octubre. Posee 13 circunscripciones electorales, de ellas seis rurales, 15 zonas de los Comité de Defensa de la Revolución (CDR), 15 bloques de la Federación de Mujeres Cubanas (FMC), 13 Asociaciones de Combatientes de la Revolución Cubana (ACRC) y siete (7) núcleos zonales del Partido Comunista de Cuba (PCC). En la localidad sobresale como elemento natural el río Paso Viejo.
Métodos utilizados
El desarrollo de la investigación se apoyó en la utilización de distintos métodos científicos sustentados en el Materialismo Dialéctico como método general de estudio de la realidad, en su decursar histórico y lógico.
Histórico-Lógico: Para conocer la evolución y el desarrollo de la Educación ambiental comunitaria y conformar el marco teórico y conceptual de los resultados presentados.
Dialéctico: para determinar las tendencias y el estudio examinador de los trabajos anteriores, y para utilizar estos como punto de referencia y comparación de los resultados alcanzados. Permite comprender el objeto de estudio en su desarrollo, su historia y su lógica, mediante el conocimiento de las distintas etapas del objeto en su sucesión cronológica, su evolución y desarrollo, las etapas principales de su desenvolvimiento y las conexiones históricas fundamentales.
Métodos Empíricos.
La observación se efectuó en el área de estudio, para evaluar las acciones de los pobladores, de los directivos de las instituciones, así como los representantes de las organizaciones política y de masas de la comunidad respecto al medio ambiente.
Análisis cuantitativos: Tabulaciones de datos obtenidos para los siguientes análisis: Estadísticas descriptivas (encuestados).
Determinar la necesidad de aplicar un programa de educación ambiental en la comunidad.
Determinar la disposición de los pobladores de la comunidad en participar de este programa educativo para la conservación.
La encuesta se aplicó al azar considerando un total de 100 personas, incluyéndose 10 líderes de la comunidad, 5 presidentes del CDR, y los demás sujetos claves, con una guía estructurada siguiendo los requerimientos para ello establecidos. Se realizó una estratificación de la población por grupos etarios para su aplicación, quedando estos en los rangos siguientes:
Niños y adolescentes
Adultos mujeres y hombres
Se entrevistaron a especialistas en el tema para evaluar la validez del programa, se desarrollaron recorridos por el área de la comunidad, a los alrededores de la UEB La Conchita, El tejar Dolores. El método de investigación acción-participación permitió promover la participación activa, mediante la observación participativa se describen los hechos y se anotan criterios de la participación local. Los métodos estadísticos- matemáticos se utilizaron para comparar los resultados de la encuesta en el diagnóstico inicial y los resultados finales.
RESULTADOS Y DISCUSIÓN
Para la determinación de los principales problemas ambientales se consultaron los dictámenes de los controles e inspecciones estatales ambientales realizadas por la Delegación Territorial del CITMA en Pinar del Río y otros organismos rectores (Centro Provincial y Municipal de Higiene y Epidemiología, Instituto Nacional de Recursos Hidráulicos)
Según el diagnóstico ambiental de la UEB La Conchita (2011) se identifica como problemas ambientales los siguientes:
Emisiones atmosféricas provenientes del proceso de cocción en los hornos del tejar y del área de calderas de la UEB la Conchita.
Generación de malos olores y vectores en el patio de la Fábrica La Conchita.
Vertimiento directo al medio de residuales líquidos domésticos e industriales sin previo tratamiento.
Generación de ruidos por el tráfico vehicular hacia el tejar y la actividad industrial.
Ausencia de alcantarillado para evacuar los residuales y el agua pluvial.
Deficiente abasto de agua a la población.
No están creados en la comunidad ni en las industrias sistemas para el adecuado manejo de los desechos sólidos, el cual abarque todo su ciclo de vida (generación, almacenamiento temporal, transporte, tratamiento y disposición final).
Los pobladores no han tomado conciencia de la importancia de preservar los recursos naturales y la salud humana.
No está concebida en los programas de gestión ambiental de las entidades la introducción de prácticas de producción más limpia.
El figura 1 evidencia que los mayores problemas ambientales presentes en la comunidad están relacionados con el mal estado de la red vial, la deficiente Educación ambiental en las instituciones, así como la baja integración comunitaria que existe en los factores y la comunidad.

Se encuestaron como actores (figura 2), 17 adultos de 53 para un 32 %; 15 niños de 25 para un 40 % y 10 adolescentes de 22 para 45 %. El 60 % de los encuestados refieren que desconocen los problemas ambientales, lo que incide en que no se incorporan como actores sociales en la solución de los mismos, incidiendo en la calidad de vida de la población. Se logró sensibilizar a los actores locales implicados para abordar la problemática y la política ambiental, con el objetivo de estimular el nivel de compromiso social, para que actúen proactivamente e incidan en la transformación del medio ambiente que favorezca el tránsito hacia el desarrollo sostenible.

Los autores coinciden a lo referido por Tréllez (2000) acerca del rol de los procesos educativos ambientales de aportar en la construcción de un futuro diferente, con miras a la sustentabilidad, a la equidad, a la valoración de lo diverso y lo múltiple, a la paz y el equilibrio. Se propone introducir la dimensión ambiental en los planes de divulgación y propaganda de los órganos y organismos gubernamentales y no gubernamentales , de las organizaciones políticas y de masas la realización de actividades integradoras donde se consoliden los valores patrióticos, revolucionarios, profesionales, éticos y morales de los pobladores y directivos de la comunidad, fortaleciéndose la integración, la disciplina para la prevención y el cuidado al medio ambiente, siendo factores claves para del éxito el consejo popular La Conchita, consejo de dirección de la fábrica La Conchita, consultorios médicos, Proyecto Comunitario Los Chapuseiros y los pobladores.
Los resultados del diagnóstico, muestrearon que el 67 % de la población nunca han recibido capacitación desde el punto de vista de la educación ambiental para no verter desechos sólidos al medio, no poseen conocimientos sobre el empleo de técnicas para llevar a cabo la conservación, ni de documentos que aborden esta temática, además desconocen especies vegetales con mayor necesidad de conservación, así como el significado de la conservación integrada ex situ in situ. El 18% poseen algunos conocimientos sobre los aspectos mencionados anteriormente.
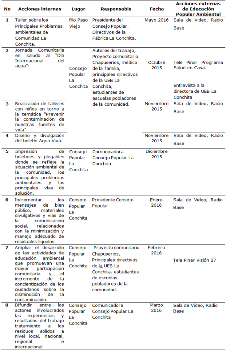
Con el fin de mitigar los problemas ambientales proponemos un programa de Educación Ambiental (tabla) hacia el interior y exterior de la comunidad para promover el cuidado y protección del medio ambiente, orientando el desarrollo de los valores y los cambios de comportamiento a partir de los métodos utilizados en la investigación, jugando un rol fundamental las instituciones de la comunidad, para transformar al ambiente en una fuente de vida para todos; con la disminución de impactos negativos y la participación activa de los habitantes de la comunidad, para la elevación de la cultura ambiental local.

Objetivo: Desarrollar en los pobladores de la comunidad «La Conchita» conocimientos, valores, hábitos y habilidades en el ámbito medio ambiental con énfasis en el manejo de los desechos sólidos.
Se considera imprescindible un enfoque multidisciplinario, sistémico e integral en cada programa educativo que se lleve a cabo. El plan de acción propuesto dará solución a los problemas ambientales presentes en la comunidad y permitirá elevar la educación ambiental entre todos los actores e instituciones de la comunidad.
Según Tréllez (2002), la educación ambiental comunitaria requiere especiales esfuerzos para contribuir en este sentido, para lo cual se precisan alternativas metodológicas y acercamientos que permitan la formación para la acción y el pensamiento creativo, para la renovación de las ideas y la imaginación, para la orientación de los cambios, para la toma de conciencia y la profundización acerca de las características dinámicas de los contextos en los cuales transcurre la cotidianidad de la población.
La autora tomó como referente la definición de este autor, por considerar a la educación ambiental comunitaria como un medio propicio para incorporar aptitudes, en búsqueda de nuevos conceptos para edificar estilos de adaptación, con el objetivo de transformar las actitudes y valores de carácter dominante que hoy posee nuestra sociedad, comprometiendo por ende la trasformación de las futuras generaciones. Además considera que la educación ambiental, más que un proceso de aprendizaje permanente, es un proceso educativo, dirigido al mejoramiento de la calidad y las condiciones de vida de la población y su entorno, mediante la adquisición e incorporación de nuevos conocimientos, hábitos y habilidades, con el rescate de valores, culturas y tradiciones, en aras de garantizar la protección y conservación del medio ambiente, desarrollando actitudes que mejoren las relaciones directas que existen entre el hombre y la naturaleza.
Este programa tuvo como novedad, gestar todas las acciones por los principales actores de la comunidad, vistos como unidades de gestión local, para la implementación de propuestas que apunten a la sostenibilidad del medio ambiente.
CONCLUSIONES
El programa de Educación Ambiental materializado en un plan de acción heterogéneo e incluyente, es una herramienta que permite elevar la cultura medioambiental, dirigida a los principales actores sociales, económicos y políticos de la Comunidad La Conchita.
Las acciones realizadas permiten sensibilizar a los factores de la comunidad, para elevar la articulación de la visibilidad y la percepción del medio ambiente en una propuesta de solución que no solo utilicen los directivos de la fábrica y las organizaciones gubernamentales políticas y de masas, sino también los actores y principales líderes formales e informales desde las entidades, las tecnologías de la información y los medios de comunicación masiva.
REFERENCIAS BIBLIOGRÁFICAS
Conde, E. (2009). Propuesta teórico-metodológica para la Educación Popular Ambiental en función del desarrollo sostenible de la comunidad. (Tesis presentada en opción al grado científico de Doctor en Ciencias de la Educación). Universidad de Pinar del Río, Cuba.
Borte, E., Medina, A. & Rivero, A. (2011). La cultura ambiental. Comportamientos ambientales más responsable.
Leff, E. (2002). Saber ambiental: sustentabilidad, racionalidad, complejidad, poder. Siglo XXI editores. 3ª. Edición. México.
Tréllez, E. (2002). La Educación ambiental y las utopías del siglo XXI. En Revista Tópicos de Educación Ambiental, 2(4), 7-20. México.
Ministerio de Ciencia Tecnología y Medio Ambiente (2007). Estrategia de Educación Ambiental de Cuba, 2007-2010. La Habana. Dirección de Medio Ambiente.
UNESCO-PNUMA. 1975. Carta de Belgrado. Un marco general para la educación ambiental. Seminario Internacional de Educación Ambiental de UNESCO-PNUMA, Belgrado, Rusia.