Atículos Científicos
Caracterización fenológica del bosque semideciduo de la Reserva Florística Manejada San Ubaldo-Sabanalamar, Pinar del Río
Phenological characterization of the semi-deciduous forests of the San Ubaldo-Sabanalamar Managed Floristic Reserve, Pinar del Río
Caracterización fenológica del bosque semideciduo de la Reserva Florística Manejada San Ubaldo-Sabanalamar, Pinar del Río
Avances, vol. 23, núm. 3, 2021
Instituto de Información Científica y Tecnológica
Recepción: 18 Marzo 2021
Aprobación: 17 Junio 2021
Resumen: El trabajo tuvo como objetivo caracterizar fenológicamente las especies vegetales del bosque semideciduo sobre arenas blancas de la Reserva Florística Manejada San Ubaldo-Sabanalamar, Pinar del Río. Para lo cual se establecieron 20 parcelas de 15x15 m en 2016 donde se realizó un monitoreo mensual de la vegetación existente hasta enero de 2018, se identificaron: tipo de fruto, momento de reproducción, forma de reproducción, forma de dispersión de las semillas, tipos de flores y agentes polinizantes. Se encontró en la vegetación un equilibrio entre las especies que se reproducen todo el año y las de los periodos lluvioso y poco lluvioso, los tipos de frutos predomínate son la baya y la cápsula con 37 especies respectivamente, la forma de reproducción dominante es la sexual con 82 especies, el tipo de flor con mayor frecuencia es la hermafroditas 116 especies y la forma de propagación predomínate fue la zoocora con 82.
Palabras clave: dispersión de las semillas, forma de reproducción, momento de reproducción, tipo de fruto.
Abstract: In this paper was to phenologically characterize the plant species of the semi-deciduous forest on white sands of the San Ubaldo-Sabanalamar Managed Floristic Reserve, Pinar del Río. For which 20 plots of 15x15 m were established where a monthly monitoring of the vegetation was carried out until january 2018, they were identified: type of fruit, moment of reproduction, form of reproduction, form of seed dispersal, types of flowers and pollinating agents. A balance was found in the vegetation between the species that reproduce all year round and those of the rainy and dry periods, the predominat type of fruits are berry and the capsule with 37 species respectively, the dominant form of reproduction is sexual with 82 species, the type with the highest frequency is the Hermaphrodite 116 species and the predominant form of propagation was the zoocora with 82.
Keywords: form of seed dispersal, moment of reproduction, form of reproduction, type of fruit.
INTRODUCCIÓN
En ecosistemas naturales, el conocimiento y la comprensión de los patrones fenológicos de especies arbóreas son de interés básico en estudios ecológicos sobre las épocas de floración, fructificación, la cantidad de follaje, brotadura de hojas y frutos, y su relación con factores climáticos ó estímulos ambientales. Además, contribuyen a la búsqueda de la optimización del rendimiento de las especies de mayor importancia para el hombre en el aprovechamiento forestal, la fenología contribuye para la toma de decisiones de cuánto y cómo realizar los planes de corta, pues tiene un efecto directo sobre la regeneración de especies vegetales, así como en el comportamiento, migración y dieta de la fauna.
Las características de los frutos y las semillas de la flora, brinda una valiosa información sobre el proceso fenológico de las especies, los cuales ayudan a realizar comparaciones de comportamientos entre otras localidades o ecosistemas donde se desarrollan las mismas. Por otra parte, en los bosques tropicales estacionalmente secos, se considera que la variación de las precipitaciones es la principal señal ambiental que desencadena los eventos fenológicos, mientras que la variación sutil de la temperatura es una señal de menor importancia (Morellato et al. 2016).
La radiación solar también puede ser un factor determinante para la fenología de plantas arbóreas, en particular de aquellas que crecen bajo el dosel. Los eventos de expansión y caída de las hojas de los individuos de mayor altura son los principales determinantes de la disponibilidad de luz para las plantas de menor altura (Osada y Hiura 2019). Por lo tanto, las diferencias temporales entre la expansión y la maduración de las hojas podrían promover o dificultar la coexistencia de especies.
Existe un gran número de trabajos que se han desarrollado sobre esta área de la biología entre los que se reportan los realizados por Blundo et al. (2018) con una análisis de sensores remotos en el Bosque Atlántico semideciduo no encontraron una relación entre la dinámica fenológica y el clima, Lasky et al. (2016); Fu et al. (2019); Montgomery et al. (2020); Di Francesantonio et al. (2020) sugieren que el cambio climático podría conducir a una fenología más variable, con consecuencias que incluyen un mayor riesgo de hojas tempranas inapropiadas e interacciones alteradas entre especies, ante pequeños cambios en la estacionalidad de la temperatura o en el patrón de precipitaciones.
En Cuba se destacan los trabajos realizados por Albert et al. (2008) en diferentes ecosistemas de Cuba, Occidental y el realizado por Toledo et al. (2021) en la fenología de Leptocereus scopulophilus especie amenazada y endémica presente en un bosque semideciduo de Cuba occidental, sin embargo, los estudios fenológicos en los que se comparan las categorías de las especies de acuerdo a su comportamiento fenológico, en relación con los portes de las mismas y las formaciones vegetales donde viven aún son escasos.
El bosque semideciduo sobre arenas blancas es una de las formaciones donde no se han desarrollado estos estudios, lo cuales son imprescindibles para su conservación; es por ello que este trabajo tiene como objetivo: caracterizar fenológicamente las especies vegetales que conforma el bosque semideciduo sobre arenas blancas de la Reserva Florística Manejada San Ubaldo-Sabanalamar, Pinar del Río.
MATERIALES Y MÉTODOS
El área de estudio se ubica regionalmente en la Llanura Sur de Pinar del Río (Figura 1), al sur-suroeste del poblado de Sábalo, limitando al oeste con la carretera que conduce a Cortés desde el entronque de Las Catalinas en la Carretera Panamericana hasta la desembocadura del río Cuyaguateje, por el sur con el mar Caribe hasta la playa Bailén, mientras que por el este y el norte los límites son muy irregulares dependiendo de las áreas del coto minero de Santa Teresa. La Reserva Florística Manejada San Ubaldo-Sabanalamar abarca 5212 ha.

Se levantaron 20 parcelas cuadradas de 15 x15 m en enero de 2016 a partir del criterio de área mínima, de forma aleatoria donde se inventariaron todas las especies presentes corroborando su identificación mediante Greuter y Rankin (2017), así también se identificaron las especies endémicas y amenazadas mediante Urquiola-Cruz et al. (2010). Se identificó además el hábito de crecimiento vegetal de Raunkiaer: árbol, arbusto, hierba, liana y epífita.
La especies inventariadas fueron monitoreadas mensualmente de enero de 2016 a enero de 2018 la vegetación existente siguiendo la metodología Wallece y Painter (2003), en relación momento de reproducción, la forma de reproducción, forma de dispersión de las semillas, número de semillas, tipos de flores, tipo de fruto y agentes polinizantes, posteriormente se confirmó y discutió con la literatura apropiada: Acevedo y Strong (2012).
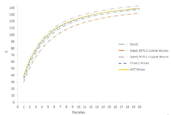
Para determinación del número de muestras representativas se utilizó la representación de las curvas de los estimadores no para métricos CHAO 1, ACE y Cole basados en abundancia con la utilización del programa Estimates versión 9.0.0.
RESULTADOS Y DISCUSIÓN
Las curvas de los estimadores no para métricos CHAO 1, ACE y Cole coinciden en el rango para la riqueza de especies del área, constituyen un indicador de la representatividad del muestreo y evidencian que con 14 parcelas es suficiente pues se alcanza el 70.0 % de las especies reportadas, por lo que con un incremento de la intensidad del muestreo no se provee un incremento de la riqueza de estas, como se observa en la Figura 2.

En el área muestreada se identificaron 968 individuos pertenecientes a 94 especies, 41 familias y 82 géneros. Estos resultados son superiores a los reportados Jiménez (2016) quienes registraron 19 especies en la reserva natural El Mulo, Artemisa, Cuba, Figueredo (2017) en el bosque semideciduo de la reserva ecológica “Siboney-Juticíel” reportó 21 espécies, Leiva et al. (2018) en un bosque semideciduo micrófilo en la Reserva Ecológica de Baitiquirí quienes reportan 51 especies, 47 géneros y 29 familias y los encontrados por Hechavarría y Manzanares (2016) quienes reporta 28 especies en estos bosques; estas diferencias encontradas en este estudio son como consecuencia de la existencia de vegetación limítrofe como pinares y bosque siempreverde presentes en el área de estudio lo cual contribuye a una mayor riqueza de especies dentro de esta formación.
El comportamiento según sus hábitos de crecimiento es, de 137 especies son árboles 73 (53,4 %), arbustos 33 (24,1 %), hierbas 19 (13,8 %), lianas 8 (5,8 %), epifitas 4 (3,0 %). Este resultado del predominio de árboles fue reportado para bosque semideciduos por Delgado (2012) en la península de Guanahacabibes quien reporto que ocupan el 64 %.
En cuanto a las relaciones florísticas en el área de estudio se encuentran 18 especies del Neotrópico (30 %), Sur Caribe 11(19 %), Norcaribe y Antillas Mayores 7 (11 %), Centro América 6(10 %), Antillas 4(7 %) y Pancaribe y Florida-Antillas-Bahamas con 3 especies para un (5%). La mayor relación de la flora se presenta con los elementos del Neotrópico y Sur Caribe, seguidos de Norcaribe y Antillas mayores.
De la 137 especies presentes en el área de estudio son endémicos cubanos, el 60 % (71), 14 % (17) representado por las especies cubanas y la Isla de la Juventud, el endemismo de Pinar del Río representa el 11 % (13), las especies disyuntas entre Pinar del Río y la Isla de la Juventud representan el 8 % (10), el 5 (6) y 2 % (2) están representados por endémicos del occidente cubano y los endémicos cubanos respectivamente.
El distrito Sabaloense, cuenta con el mayor número de taxones amenazados debido a la existencia de un elevado endemismo, determinado por escasez de nutrientes y alternancia de períodos de humedecimiento - sequía, lo cual condiciona una flórula especializada en estos sustratos de condiciones muy extremas (Urquiola et al., 2010).
El bosque semideciduo en cuba actualmente se encuentran entre las formaciones vegetales con mayor número de especies amenazadas (González-Torres et al., 2016). En el área, de las especies listadas se encuentran 24 endémicas para un 17, 5 % con alguna categoría de amenaza, se registraron 58 taxones para un 42,3%, con categoría de amenazadas (A), peligro crítico (CR), en peligro (EN) según la Lista roja de la flora de Cuba (González-Torres et al., 2016) se encuentran:
Colpothrinax wrightii (Griseb. Et Wendl) (EN) E, Coccothrinax yuraguana (A. Rich) León (CR) E, Sabal yapa (C Wright ex Becc) (EN), Tournefortia roigii (Britt) (EN), Harrisia eriophora (Britton) (EN) E, Licaria jamaicensis (Nees) Kosterman, Pachyanthis wrigtii (Griseb) E (CR), Eugenia cristata (Wr) A E(A), Carpodiptera cubensis (Griseb), (EN), Plinia orthoclada (Urb) (CR) E, Eugenia punicifolia (HBK) DC. (EN), Eugenia punicifolia (HBK) DC E (A), Phyllanthus heliotropus (Griseb) (A) E, Phyllanthus junceus (Muell. Arg) (A) E, Mollugo brevipens (Urb). (CR) E, Oxalis pinetorum (Small) Urb (A) E, Plinia orthoclada (Urb) (A) E, Mitrocarpus scaberulus (Urb) (A), Mitrocarpus laetiviridis (Wr. Ex Sauv) (A) E Nodocarpea radicans (Griseb) (CR) E.
De las 137 especies 55 (40 %) se reproducen en el periodo lluvioso y 48 (35 %) en el periodo poco lluvioso y 34 (25 %) todo el año, este comportamiento coincide con el reportado por Blundo et al. (2018) en el Bosque Atlántico semideciduo el cual no mostró una relación entre la dinámica fenológica y el clima, posiblemente por la diversidad de especies siempreverdes y brevideciduas así como por el desarrollo de la vegetación del sotobosque durante el invierno, todo lo cual permite un crecimiento y un potencial fotosintético de la vegetación relativamente continuo a lo largo del año (Cristiano et al., 2014).
Así se discrepa con los resultados reportados Ramírez (2009) en bosques estacionales tropicales donde este patrón fenológico frecuentemente es relacionado con factores climáticos y con el tiempo óptimo para el éxito reproductivo predominando las especies que se reproducen en el periodo lluvioso. De acuerdo a la forma de reproducción 128 presentan reproducción sexual, 8 combinadas, y 2 sexual y por regeneración natural.
La polinización es una etapa crucial de la reproducción en la mayoría de las angiospermas, donde los vectores de polen son esenciales para mantener la transferencia de genes, tanto en ecosistemas naturales como agrícolas. En el área de estudio se destacan tres formas de polinización, entomofilia, anemofilia y ornitofilia, siendo la de mayor porciento la entomofilia.
La forma de dispersión predominante fue la zoocora de forma general con 82 especie, dentro de estas formas de dispersión 27 especies son autocora, 13 anemócora, 2 hidrócora, 1 zoocora-hidrocora y 1 anemócora-hidrocora. La presencia elevada de la dispersión zoocora dentro de este tipo de dispersión se encuentran: aves, murciélagos, hormigas entre otros se debe a que la mayor parte de los frutos son carnosos como bayas y drupas, 74 en total, la presencia de cápsulas con arilos de diferentes tonalidades y sabores también hace que estos sean visitados por los animales, en ocasiones estos arilos pueden presentar elaeosomas y pueden ser dispersados por hormigas (Mirmecoría), varias familias como Meliaceae, Verbenaceae, Flacourtiaceae la dispersión es ornitocora en los géneros Trichilia y Guarea. En el caso de la familia Meliaceae, la dispersión ocurre de dos formas ornitocora y anemócora (Albert et al. 2008).
Del total de especies 37 tienen frutos en bayas, 37 cápsulas, 19 drupas, 18 legumbres, 3 aquenio, 2 estróbilos, 2 folículo, 1 esquizocarpo, 1 sámara, 1 cariópside, 1 polibaya, 1 bifolículo, 1 polifolículo, y 1 bayas drupáceas.
En sentido general, el desarrollo foliar no presenta grandes fluctuaciones durante el año en las especies perennes, sin embargo, en las especies anuales, el mes de diciembre representó el momento en que desaparece la mayor cantidad de especies.
Los resultados encontrados coinciden para más de 50 % de la especies con los reportados por Acevedo y Strong (2012) para Cuba y el caribe así como por Albert et al., (2008) en el estudio del comportamiento fenológico de 148 especies en Cuba Occidental.
El estudio contribuirá a la solución de algunos problemas forestales, ya que sienta bases para comprenderla biología de la reproducción de las especies, la dinámica de las comunidades, las interacciones planta-animal y la evolución de la historia de vida de los animales que dependen de las plantas para su alimentación. Este conocimiento proporciona información sobre la disponibilidad de recursos a lo largo del año y permite determinar las estrategias de recolecta de frutos, lo que puede favorecer la calidad y cantidad de semillas para la producción de nuevas plántulas.
CONCLUSIONES
En la vegetación del bosque semideciduo sobre arenas blancas de la RFM San Ubaldo Sabanalamar hay un equilibrio entre proporción de especies que se reproducen en el periodo lluvioso, poco lluvioso y todo el año.
El tipo de fruto predomínate en la vegetación del bosque semideciduo sobre arenas blancas de la RFM San Ubaldo Sabanalamar es la baya y la capsulas con 37 especies respectivamente, así como la forma de reproducción dominante es la sexual con 82 especies, el tipo flor con mayor frecuencia es la hermafroditas 116 especies y la forma de propagación predomínate fue la zoocora con 82 especies.
El desarrollo foliar no presenta grandes fluctuaciones durante el año en las especies perennes, sin embargo, en las especies anuales, el mes de diciembre representó el momento en que desaparece la mayor cantidad de especies.
REFERENCIAS BIBLIOGRÁFICAS
Acevedo-Rodríguez, P. & Strong, M. T. (2012). Catalogue of seed plants of the West Indies. Smithsonian Contributions to Botany. https://doi.org/10.5479 /si.0081024X.98.1
Albert, D., Urquiola-Cruz, A., Baró, I., Herrera, P., González, L. & Urquiola-Cabrera, A. (2008). Comportamiento fenológico de 148 especies en Cuba Occidental. Acta Botánica Cubana 201, 1-11.
Blundo, C., Gasparri, N., Malizia, A., Clark, M., Gatti, G., Campanello, P. I., H. R. Grau, L. Paolini, L. R. Malizia, S. E. Chediack, P. Macdonagh & Goldstein, G. (2018). Relationships among phenology, climate and biomass across subtropical forests in Argentina. Journal of Tropical Ecology 34, 93-107, https://doi.org/10.1017/S026646741800010X
Cristiano, P., Madanes, N., Campanello, P., Di Francescantonio, D., Rodríguez, S., Zhang, Y. J., Carrasco, L. & Goldstein, G. (2014). High NDVI and Potential Canopy Photosynthesis of South American Subtropical Forests despite Seasonal Changes in Leaf Area Index and Air Temperature. Forests 5, 287-308, https://doi.org/10.3390/f5020287
Di Francesantonio, D., Villagra, M., Goldstein. G., Campanelo, P.I. (2020). Factores ambientales que modulan la fenología foliar de árboles del Bosque Atlántico. Ecología Austral, 30, 415-427,
Figueredo, L. M. (2017). Composición florística y estructura horizontal del bosque semideciduo micrófilo de la reserva ecológica Siboney-Juticí. Cuba: Rodriguésia.
Fu, Y. H., Zhang, X., Piao, S., Hao, F., Geng, X., Vitasse, Y., Zohner, C., Peñuelas, J. & Janssens, I. A. (2019). Daylength helps temperate deciduous trees to leaf-out at the optimal time. Global Change Biology 25, 2410-2418, https://doi.org/10.1111/gcb.14633
González-Torres, L. R., Palmarola, A., González-Oliva, L., Bécquer, E. R., Testé, M., Castañeira-Colomé, A., Barrios, D., Gómez-Hechavarría, J. L., García-Beltrán, J. A., Granado, L., Rodríguez-Cala, D., Berazaín, R. & Regalado, L. (Comp.). (2016). Lista Roja de la flora de Cuba. Bissea 10(1E), 33-283.
Greuter W. & Rankin Rodríguez, R. (2016). Espermatófitos de Cuba: inventario preliminar. Parte II: Inventario. The Spermatophyta of Cuba: a preliminary checklist. Part II: Checklist. – Berlin: Botanischer Garten & Botanisches Museum Berlin-Dahlem; La Habana: Jardín Botánico Nacional; Universidad de La Habana. http://dx.doi.org/10.3372/cubalist.2016.2
Hechavarría, O. & Manzanares, K. (2016). Primer informe sobre recursos genéticos forestales hasta 2020. Instituto de Investigaciones Agro-forestales. MINAG. p. 28-29.
Jimenez, A. (2016). Caracterización florística del bosque semideciduo mesófilo de la reserva natural «El Mulo», Artemisa, Cuba. Revista Cubana de Ciencias Forestales, 4(1), 3. https://cfores.upr.edu.cu/index.php/cfores/article/view/139/324
Lasky, J. R., Uriarte, M. & Muscarella, R. (2016). Synchrony, compensatory dynamics, and the functional trait basis of phenological diversity in a tropical dry forest tree community: effects of rainfall seasonality. Environmental Research Leers 11, 115003. https://doi.org/10.1088/1748-9326/11/11/115003
Leyva M, I., Semanat Laffita, R, K., Cuscó Casenave-Cambet, A., Rodríguez Matos, Y. & Reyes Orlando, J. (2018). Estado de conservación de la vegetación del bosque semideciduo micrófilo en la Reserva Ecológica de Baitiquirí, Revista Cubana de Ciencias Forestales, 6(3), 341-353 http://cfores.upr.edu.cu/index.php/cfores/article/view/335/
Montgomery, R. A., Rice, K. E., Stefanski, A., Rich, R. L. & Reich, P. B. (2020). Phenological responses of temperate and boreal trees to warming depend on ambient spring temperatures, leaf habit, and geographic range. Proceedings of the National Academy of Sciences, 117(19), 10397-10405. https://doi.org/10.1073/pnas.1917508117
Morellato, L. P., B. Alberton, S. T. Alvarado, B. Borges, E. Buisson, M. G. Camargo, L. F. Cancian, D. W. Carstensen, D. F. Escobar, P. T. Leite, I. Mendoza, N. M. W. B. Rocha, N. C. Soares, T. S. F. Silva, V. Staggemeier, G., Streher, A. S., Vargas, B.C. & Peres, C. A. (2016). Linking plant phenology to conservation biology. Biological Conservation 195, 60-72,
Osada, N. & Hiura, T. (2019). Intraspecific differences in spring leaf phenology in relation to tree size in temperate deciduous trees. Tree Physiology 39, 782-791, https://doi.org/10.1093/treephys/tpz011
Ramírez, N. (2009). Correlaciones entre la fenología reproductiva de la vegetación y variables climáticas en los altos Llanos Centrales Venezolanos. Acta Botánica Venezolana, 32(2). http://ve.scielo.org/scielo.php?script=sci_arttext&pid=S0084-59062009000200004&lng=es&nrm=iso
Toledo, S., Barrios, D., García-Beltrán, J. A. & González-Torres, L. R. (2021). Fenología de la especie amenazada Leptocereus scopulophilus (Cactaceae) en un bosque semideciduo de Cuba occidental. Acta Botanica Mexicana 128, e1701,
Urquiola Cruz, A. J., González-Oliva, L., Novo Carbó, R. & Acosta Ramos, Z. (2010). Libro rojo de la flora vascular de la provincia de Pinar del Río. Publicaciones Universidad de Alicante. 457 pp. https://www.researchgate.net/publication/268279284_Libro_Rojo_de_la_Flora_Vascular_de_la_Provincia_Pinar_del_Rio/link/56be0fd308ae44da37f88bd3/download
Wallace, R. B. & Painter, L. E. (2003). Metodologías para medir la fenología de fructificación y su análisis con relación a los animales frugívoros. Documentos de Ecología en Bolivia, Serie Metodología, 2, 1-14. https://www.researchgate.net/publication/269398308_Metodologias_para_medir_la_fenologia_de_fructificacion_y_su_analisis_con_relacion_alos_animales_frugivoros