Resumen: El objetivo del presente trabajo es analizar en qué medida los micro-emprendimientos de la economía doméstica complementaria de corte turístico están utilizando la plataforma de la economía colaborativa Airbnb para el caso de Cancún-México. La economía colaborativa se entiende como el fenómeno en el que las personas comparten sus “bienes subutilizados” por dinero o de manera gratuita con la ayuda del internet. Se presenta también el concepto de las EDOCO (Economía Doméstica Complementaria) como una alternativa de microemprendimientos que las familias llevan a cabo para complementar los ingresos de su hogar desde la informalidad. Se expone Airbnb como un ejemplo controversial de plataforma colaborativa del sector turístico que ha buscado conectar a los ofertantes de espacios para renta vacacional con los consumidores. En este trabajo se distingue, para el caso de Airbnb Cancún, los dos tipos de actores que usan la plataforma: aquellos que habitando su propiedad rentan sus áreas en desuso (EDOCO), representando el 8.88% de los casos revisados, versus el restante 91.2% que aparentemente no tienen activos subutilizados sino inversiones con fines de lucro. Por último, se ofrece una definición más amplia de las EDOCO que incluye las actividades de intercambio con mercados globales a partir de las plataformas colaborativas.
Palabras clave:AirbnbAirbnb,economía colaborativaeconomía colaborativa,economía doméstica complementariaeconomía doméstica complementaria,plataformas colaborativasplataformas colaborativas.
Abstract: The objective of this research study is to analyze the degree to which micro-enterprises from the complementary domestic economy of tourism are using a platform of collaborative economy, Airbnb in this case, in the city of Cancun-Mexico. By the term collaborative economy, we refer to a phenomenon in which people share underutilized goods for money, or otherwise for free, with the support of the internet. The concept of EDOCO (term in Spanish that means complementary domestic economy) is also presented as an informal economy, micro-firm alternative that families carry out to supplement their household income. Airbnb is exposed as a controversial example of a collaborative platform in the tourism sector that has sought to connect providers and consumers of vacation rental spaces. This document distinguishes, in the case of Airbnb Cancun, the two types of actors that use the platform: those who inhabit their property and rent non-used spaces (EDOCO), representing 8.88% of the cases reviewed, versus the remaining 91.2% that apparently do not have underutilized assets, but rather, possess for-profit investments. Finally, a broader definition of EDOCO is offered, which includes exchange activities with global markets from collaborative platforms.
Keywords: Airbnb, shared economy, complementary domestic economy, collaborative platforms.
Artículos
La plataforma de la economía colaborativa Airbnb y su uso por la EDOCO de corte turístico en Cancún-México

Recepción: 28 Marzo 2019
Aprobación: 06 Mayo 2019
La economía global y el aumento en la confianza de los clientes para realizar compras y pagos por internet han popularizado el fenómeno que diversos autores han denominado “Economía Colaborativa” o “Shared Economy” (Altinay y Taheri, 2018). Esta tendencia ha modificado los patrones de consumo y los patrones de emprendimiento en industrias como el turismo, la transportación, la educación, el mercado de trabajo, entre otras (Görög, 2018). Se define economía colaborativa como “el fenómeno en el que las personas comparten sus activos intangibles, o activos tangibles, subutilizados por dinero o de manera gratuita con la ayuda del internet resultando en nuevo modelo de negocios y creando una única área de investigación”[1] (Görög, 2018: 175).
Para el caso particular de la industria turística se han desarrollado plataformas y aplicaciones digitales que han facilitado su operación y administración. Adicionalmente, éstas permiten ofrecer, a un menor costo, alternativas de servicios que tradicionalmente se habían ofrecido “face to face” o por páginas web de los oferentes. Plataformas colaborativas como Airbnb, Uber, Clickandboat, Nightswaping, Housecares, Freetouring, Kangapp, entre otras, han venido a revolucionar la manera en cómo el mercado turístico se comporta y compra (Riaza, 2017).
[1]Cita en idioma original: “People share their intangible assets and underutilized tangible assets for money or for free with the help of the Internet with results in a new business model and creates a unique research area” (Görög, 2018:175).
El presente trabajo se enfoca únicamente en la plataforma colaborativa de Airbnb presentando la controversia que ha generado en documentos académicos y de divulgación que cuestionan si se puede considerar realmente como un ejemplo de economía colaborativa. Se estudia para el caso de Cancún-México si la plataforma de Airbnb está permitiendo el surgimiento de otro tipo de manifestación de la Economía Doméstica Complementaria, sugiriendo una redefinición de EDOCO.
Para cumplir sus objetivos, este trabajo se estructura en seis secciones. Posterior a la introducción, en la segunda sección se presenta el marco teórico compuesto de las investigaciones más recientes en economía colaborativa, algunas precisiones sobre la economía doméstica complementaria, información disponible sobre Airbnb en México y en Cancún, y el debate académico que ha suscitado Airbnb como ejemplo de plataforma colaborativa. En la tercera sección se describe la metodología aplicada, la cual consiste en un muestreo por conglomerados de una etapa, mismos que fueron seleccionados de forma aleatoria simple sin remplazo. En la cuarta sección se detallan los resultados, uno de ellos indica que el 8.88% de los registrados en Airbnb son EDOCO en la ciudad de Cancún. En la quinta sección se exponen las conclusiones, y por último, en la sexta sección se discuten las limitaciones y contribuciones del presente trabajo.
2. Marco teórico
2.1 Economía colaborativa
Tendencias como: la socialización en línea o “social networking”, los avances tecnológicos de la web 2.0, los teléfonos inteligentes, la economía-app y la transición del comportamiento del consumidor de la propiedad al acceso; prepararon el terreno para el surgimiento de la economía colaborativa (Revueltas, 2012; Böcker y Meelen, 2016; Martínez, Moncada y Sosa, 2018; Görög, 2018).
Böcker y Meelen refieren a que este fenómeno se popularizó después de la crisis financiera de 2007 y 2008 derivado de las dificultades económicas que presentaron las personas desempleadas (Böcker y Meelen, 2016). De acuerdo con Görög (2018), hoy en día existen al menos 14 definiciones de economía colaborativa, y no hay consenso entre los autores que hablan de ella. La misma autora subraya que la economía colaborativa ha sido estudiada desde tres abordajes: 1) sociológico, 2) económico y 3) administrativo (como modelo de negocio). En este apartado no se pretende realizar una revisión exhaustiva de los estudios o definiciones de economía colaborativa; pero, sí se presentarán algunas aproximaciones para enmarcar teóricamente el trabajo. Bostman y Rogers (2011) definieron a la economía colaborativa como:
[…] aquella economía construida sobre redes dispersas de individuos y comunidades conectados, que transforma la manera en la cual se puede producir, consumir, obtener financiamiento y aprender. Lo que la distingue es que traslada el foco de atención de la propiedad de los bienes al acceso temporal de los mismos; todo posibilitado por las nuevas tecnologías de la información y la comunicación que permiten que el consumo colaborativo sea altamente accesible, flexible y fácil de compartir (traducción de Martínez et al., 2018: 9).
El énfasis de la definición anterior está justamente en explicar que el uso de los bienes es, hoy en día, más importante que la propiedad de ellos. Este aspecto de la economía colaborativa se ha discutido como uno de sus beneficios al permitir reducir el impacto ambiental, la utilización eficiente de recursos físicos, y favorecer la cohesión social. Sin duda, a partir de este tipo de actividades se ha creado un “nuevo sistema socio-económico” (Martínez et al., 2018: 9).
Por tanto, el centro de la economía colaborativa está en la acción de compartir. Este acto, como afirman Schor y Fitzmaurice (2015), no es algo nuevo en nuestra sociedad, sin embargo, las formas en que ahora se puede compartir han revolucionado la manera de consumir y de hacer negocios. “Lo que es innovador de la forma actual de compartir es que se trata de un mercado en donde extraños- más que allegados o comunidades- intercambian bienes y servicios”[2](Schor y Fitzmaurice, 2015: 3). En este intercambio de bienes con “desconocidos”, la reputación es el activo más importante de la economía colaborativa, tanto por los ofertantes como por los consumidores, y usualmente las plataformas a través de evaluaciones garantizan la confianza y la seguridad (Martínez et al., 2018).
[2]Cita en idioma original: “While sharing is a longstanding form of exchange, new forms of sharing have emerged. What is innovative about today’s sharing is that it is a market form in which strangers—rather than kin and communities—exchange goods and services” (Schor y Fitzmaurice, 2015: 3).
Schor (2014) propuso que las actividades de la economía colaborativa pueden presentar cuatro categorías: recirculación de bienes, aumento en la utilización de activos duraderos, intercambio de servicios, e intercambio de activos productivos. También sugiere que las plataformas colaborativas pueden categorizarse en cuatro tipos de acuerdo a dos variables: orientación de la plataforma (lucrativa vs no lucrativa) y tipo de proveedor (intercambio entre pares peer-to-peer P2P vs business-to-peer B2P).
Parte de la controversia que genera el fenómeno de la economía colaborativa es que si bien permite tener efectos ambientales y sociales positivos, puede caer en el terreno de la informalidad debido a la falta de regulación, de protección al consumidor y la generación condiciones laborales inestables (Malhorta y Van-Alstyne, 2014; Schor y Fitzmaurice, 2015; Böcker y Meelen 2016; Beltrán, 2017; Görög, 2018).
2.2 Economía doméstica complementaria
El término EDOCO son las siglas de Economía Doméstica Complementaria que hace alusión a un tipo de micro-emprendimiento de carácter informal que las personas utilizan para complementar el ingreso del hogar. La primera definición del término la proporcionaron May, Aguilera y Martínez (2013) tras un estudio longitudinal de microempresas en Cancún, donde se distinguió este tipo particular de micro-emprendimientos informales.
Las EDOCO son emprendimientos informales en pequeña escala que se dan en el seno de un hogar, sin incurrir en una inversión extraordinaria y cuya operación y “administración” es realizada por miembros de la familia, pudiendo ser servicios o productos, utilizando los recursos materiales propios de las actividades cotidianas como las ollas con que preparan sus propios alimentos, los cubiertos, la mesa de la cocina, las sillas, etc. Con la finalidad de propiciar un ingreso adicional para las necesidades propias de la familia. Muchas veces se ubican por letreros en la fachada con leyendas como se vende hielo, se hacen cortes de cabello, se dan clases de guitarra, etc. (May et al., 2013:5).
Más adelante, Hernández-von Wobeser y McCoy (2017) distinguieron este tipo de emprendimiento de otros tipos de economía informal tales como la piratería, el ambulantaje y las empresas formales que recurren a prácticas de informalidad. “Mientras que las últimas afectan el desarrollo de nuestro país, las EDOCO representan una práctica de subsistencia familiar y no tienen como fin el enriquecimiento a costa de la falta de regulación” (Hernández-von Wobeser y McCoy 2017: 85). Las autoras encontraron que el 20.54% de unidades familiares de la región estudiada han recurrido a este tipo de práctica de subsistencia. En la Figura 1, se presentan dos ejemplos de unidades de EDOCO de tipo comercio informal. La primera fotografía anuncia la venta pollo fresco, y la segunda ofrece cortes de cabello para caballeros y niños.

En el Cuadro 1 se comparan algunos elementos del concepto de EDOCO con los de economía colaborativa. Si bien coinciden en varios aspectos, hasta ahora la definición de EDOCO no refiere a la utilización de tecnología para generar sus insumos, ya que el intercambio se da principalmente entre vecinos o transeúntes. Otra diferencia es que, el intercambio Peer to Peer (P2P) para la economía colaborativa tiene un mercado global gracias a la tecnología, y el activo de la reputación a través de evaluaciones que realizan los usuarios.

May, Pool y Gopar (2018: 20) refieren que la era digital y “con el incremento de dispositivos para acceder a internet […] las EDOCO han incrementado su alcance al poder poner en 'renta' los espacios y medios de transporte propios a través de plataformas colaborativas; por ejemplo, el auto (UBER) y las habitaciones vacías en casa (Air B&B).” Así, la EDOCO se está complementando con las nuevas tendencias tecnológicas, pasando de ser una actividad que tradicionalmente se realizaba in situ a una actividad sin fronteras. La economía doméstica está atendiendo actualmente a un mercado global y de extraños gracias a las plataformas colaborativas. Por lo tanto una nueva definición de EDOCO es necesaria.
2.3 Airbnb en Cancún-México
Airbnb (acrónimo de Air bed and breakfast) se fundó en 2008 y hoy está presente en “más de 65,000 ciudades de 191 países y posee una oferta de más de tres millones de sitios de alojamiento, ninguno de su propiedad (https://www.airbnb.mx/). En México, durante 2016, hubo cerca de 33,000 anfitriones que hospedaron a 974,000 visitantes en sus propiedades” (Blanco, 2017 en Martínez et al., 2018: 9). Dos años después de su fundación en el 2008, Airbnb inicia operaciones en el mercado quintanarroense publicando siete anuncios de alojamiento para Cancún; para el 2017 se contaba para Cancún con 4,600 anuncios (Martínez et al., 2018: 12).
Por la importancia del destino, era de esperarse que la plataforma contara con una oferta considerable y que por consiguiente, llamara la atención de la industria del hospedaje formalmente establecida. El crecimiento puede percibirse en la Gráfica 1, en donde se aprecia que Playa del Carmen, como destino, tiene un crecimiento mayor en oferta de habitaciones a través de la plataforma que Cancún.

No obstante lo anterior, se encuentran escasas investigaciones en la materia enfocadas a Cancún como destino (May et al., 2018 y Martínez, et al. 2018), a diferencia de otros destinos como Puerto Vallarta (Huizar, López y Villanueva, 2018) y la Ciudad de México (Madrigal, Sales-Favà, Pinto y López-Gay, 2017), por mencionar algunos. Sorprenden los pocos estudios de Airbnb en Cancún, a pesar de ser un destino de playa importante para la plataforma detrás de Playa del Carmen y Cabo San Lucas (López, 2017: 8); y ser la segunda ciudad más cara a nivel mundial en cuanto a la renta de habitaciones vía plataforma colaborativa, solamente después de Boston, Estados Unidos en el 2014 (Statista, 2019). Los investigadores del presente trabajo se han abocado a estudiar el fenómeno en Cancún, ya que existe poca información de esta localidad.
En un estudio previo de Airbnb en Cancún se analizó la cantidad de anuncios gestionados por un anfitrión (May et al., 2018), evidenciando que el 70% de los anuncios pertenecían a anfitriones que ofrecían una sola propiedad. El porcentaje restante estaba constituido por anfitriones que publicaban de dos a cinco anuncios y que, de acuerdo a Martínez et al. (2018: 13), podrían tratarse de “un agente inmobiliario o bien personas que se dedican a administrar propiedades de tercero como salida laboral”. Martínez et al. (2018) también encontraron que del total de 4,180 anuncios analizados, el 1.8% eran habitaciones compartidas, el 42% eran habitaciones privadas dentro de una vivienda compartida, y la mayoría de alojamientos (56.2%) correspondían a viviendas completas.
Entre las motivaciones de los anfitriones cancunenses para rentar sus habitaciones o viviendas en Airbnb se reconocen tres razones 1) el fin exclusivamente económico, 2) la combinación de ingresos extras y tener compañía (la mayoría), y 3) tener compañía y compartir. Se argumenta que “los anfitriones motivados por fines exclusivamente económicos ya contaban con experiencia en renta convencional de propiedades para turistas […] sin embargo coincidían en preferir Airbnb por su baja comisión de gestión y porque percibían ingresos crecientes” (Martínez et al., 2018: 14). Estas motivaciones de los hosts pueden contrastarse con las encontradas por Ruiz-Correa et al. (2019) para las ciudades de Guanajuato y San Miguel de Allende quienes sugieren que las más comunes son: 1) el dinero, 2) las tradiciones de la cultura mexicana que permiten a los host involucrarse más con la gente que reciben y 3) la creación de empleos como apoyo a la comunidad local.
Por su parte, May et al. (2018) encontraron, para una muestra de 75 anuncios, que el 24% de los anfitriones tenían una sola propiedad, de los cuales solamente nueve ofrecían un espacio dentro de la vivienda del anfitrión. Por otro lado, casi un 19% de oferentes ofrecen en suma más de 300 espacios que van desde las 10 hasta las 52 unidades, “acaparando en gran medida el mercado, siendo a todas luces mucho más allá de un emprendimiento para completar el ingreso[…]”(May et. al. 2018: 22).
2.4 Airbnb: Un caso controversial
Airbnb ha sido un caso controversial para analizar desde el punto de vista de la economía colaborativa. Un primer grupo de teóricos considera que Airbnb puede ser un ejemplo emblemático de consumo colaborativo, al construir confianza entre los usuarios mediante su comunicación. Otros autores tienen la postura de que no se trata de “consumo colaborativo” ya que implica intercambio monetario (Gansky, 2010). Respecto a Uber y Airbnb, Schor (2014) menciona que “las críticas han denunciado a éstas de tratarse de economías de interés-propio más que colaborativas y por ser depredadoras y explotadoras […][3] (Schor, 2014: 1). También, argumenta Schor, que otros autores han focalizado los resultados utópicos de las economías colaborativas como el empoderamiento de las personas comunes, la eficiencia y la reducción de la huella de carbono. Su postura es más neutral, al considerar que la problemática es compleja y que mientras las compañías lucrativas pueden estar actuando mal, estas tecnologías peer-to-peer (P2P) son “potenciales herramientas poderosas para construir un movimiento social centrado en prácticas genuinas de intercambio y cooperación en la producción y consumo de bienes y servicios”[4](Schor, 2014: 1).
[3]Cita en idioma original: Critics denounce them for being about economic self-interest rather than sharing, and for being predatory and exploitative. […] While the for-profit companies may be “acting badly,” these new technologies of peer-to-peer economic activity are potentially powerful tools for building a social movement centered on genuine practices of sharing and cooperation in the production and consumption of goods and services (Schor, 2014: 1).
[4]Cita en idioma original: While the for-profit companies may be “acting badly”, these new technologies of peer-to-peer economic activity are potentially powerful tools for building a social movement centered on genuine practices of sharing and cooperation in the production and consumption of goods and services (Schor, 2014: 1).
En el bando de las críticas, Beltrán (2017) cuestiona si plataformas como Airbnb realmente suman a la economía colaborativa o más bien facilitan la economía informal. Este autor sustenta su argumento basándose en los dos principios que sustentan la economía colaborativa: primero, que las personas interactúan intercambiando bienes y servicios directamente, evitando proveerse a través de las compañías y las empresas en los mercados convencionales y, segundo, que la motivación que anima dicho intercambio es la satisfacción de necesidades y no tanto el afán de lucro. Por lo tanto, concluye Beltrán (2017), no existe “libre intercambio” entre iguales, sino un intercambio establecido por las plataformas según los condiciones que éstas imponen a sus usuarios) y sin lugar a dudas, la motivación única de estas plataformas no es otra que el puro afán de lucro.
Otra crítica que ha recibido Airbnb es la de Oskam y Boswijk (2016) quienes afirman que Airbnb no corresponde al sentido de economía colaborativa ya que podría generar consecuencias negativas para la actividad turística si no se establecen regulaciones. Así ha sucedido para Airbnb en México que ha venido adecuándose a los cambios de regulación. Por ejemplo, en agosto de 2017 se impuso a la plataforma el Impuesto Sobre el Hospedaje (IH) del 3%, para lo cual tuvo que inscribirse al Registro Estatal de Contribuyentes[5], lo que conlleva a que en cuanto el usuario realiza el pago de su alojamiento, de manera automática le es cargado el porcentaje y es entregado al Gobierno del Estado. En noviembre de 2018, el Gobierno del Estado de Quintana Roo ingresó al congreso del estado una iniciativa que regula la operación de plataformas digitales de renta vacacional, imponiéndoles ya no sólo el cobro del IH, sino la tramitación de licencias de funcionamiento y su inscripción en el Registro Estatal de Contribuyentes (García, 2018).
3. Metodología
Para dar respuesta al objetivo planteado, se realizó un muestreo por conglomerados de una etapa, mismos que fueron seleccionados de forma aleatoria simple sin remplazo. Esto, con la ayuda de la base de datos AIRDNA. Cabe mencionar que la ciudad de Cancún se encuentra seccionada por 270 regiones, o conglomerados, de los cuales fueron elegidos al azar 25. Por cada uno de estos últimos, se tomaron como muestra el total de unidades Airbnb registradas en dichas regiones (sin dejar ningún elemento sin muestrear por ser de una etapa). De tal manera, se obtuvo una muestra representativa de 338 de una población de 7,132 unidades.
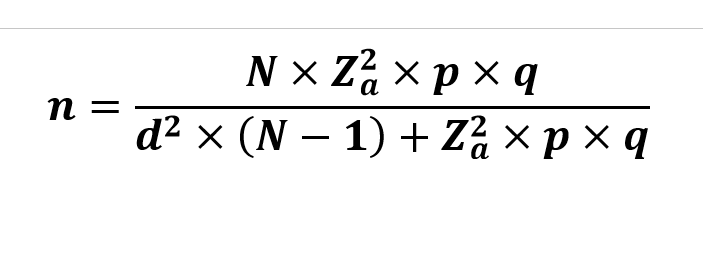
Aguilar-Barojas (2005: 336) recomienda que para el cálculo del tamaño de la muestra se utilice la siguiente fórmula para poblaciones finitas:
[5] El Registro Estatal de Contribuyentes, es la dependencia de orden estatal responsable de la recaudación fiscal del estado de Quintana Roo, dependiente de la Secretaría de Hacienda Federal.
En esta fórmula, la población N es de 7,132, el valor Z equivale a 1.96 para un nivel de confianza del 95%, p igual a 0.36 por considerarse en un inicio la probabilidad a favor de encontrar a una EDOCO, q la probabilidad en contra del 64%, y d igual al 5 % como margen de error.
Con base en la muestra seleccionada, cada unidad se cualificó como EDOCO o negocio. Para ello, se tomaron en cuenta las imágenes subidas por el anfitrión (en las que se observó el tipo de decoración y distribución de los muebles), su perfil y los comentarios de invitados hospedados con anterioridad. Por ejemplo, los anfitriones que hacían mención explícita que viven en la misma unidad, se consideraron EDOCO, así como aquellos que indicaban que habitaban mascotas en la propiedad.
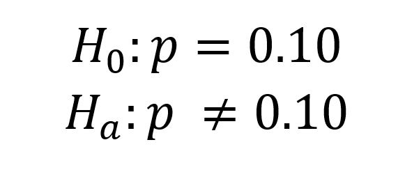
Posteriormente, se obtuvo la proporción de EDOCO en la muestra con la finalidad de establecer la inferencia estadística hacia la población. Esto, por medio de una prueba de hipótesis bilateral, es decir:

Es importante señalar que se ha elegido una hipótesis bilateral, ya que es de interés que la proporción sea igual a 0.10, es decir ni mayor ni menor que 0.10, sino que sea igual a 0.10.
4. Resultados
De acuerdo con la población total en Cancún (7,132), con datos arrojados por la base de datos en AIRDNA, en la Gráfica 2 se pueden apreciar el número de unidades registradas en relación con la clasificación (o estrato) que asigna la misma plataforma de Airbnb.

La clasificación de cuarto privado, que tiene un total de 2,497 en Airbnb, no resulta clara dado que durante el proceso de muestreo, se encontraron algunas ofertadas de este tipo con hasta ocho habitaciones.
En relación al objetivo principal, se encontró (en la muestra obtenida) que el 8.88% de las unidades ofertadas en la plataforma de Airbnb en la ciudad de Cancún cumplen con la definición de una EDOCO, es decir sólo 30 de 338 unidades. Asimismo, de acuerdo a la inferencia estadística realizada hacia la población, no se rechaza la hipótesis nula establecida anteriormente con un nivel de confianza del 95%. Esto es, que el 10% de los registrados en dicha plataforma son EDOCO. Por otro lado, se obtuvieron datos descriptivos en la muestra con respecto al tipo de alojamiento, tal cual se han registrado en la plataforma. En el Cuadro 2 se pueden observar los datos arrojados en el estudio.

En el Cuadro 3 se representan el número de cuartos de los que dispone cada tipo de alojamiento representado en el Cuadro 2.

Adicionalmente, en la Gráfica 3 se representa el número de oferentes en relación al número de cuartos de los que disponen.

Caber mencionar que el número de cuartos no determina si se comparte la vivienda con otros invitados o si se renta por completo. Así también, sólo el 1.18% de los registrados como estudio y el 7.69% de los registrados con un cuarto se distinguieron como EDOCO con respecto al total de la muestra.
5. Conclusiones
Los hallazgos de este estudio encontraron un porcentaje de anuncios (8.88%) que, por sus características, indica que se trata de familias que buscan complementar su ingreso familiar a partir de sus activos excedentes (en este caso habitaciones). El concepto tradicional de economía doméstica complementaria (EDOCO) debe actualizarse, ya que junto a la popularidad de plataformas colaborativas se han creado nuevas prácticas sociales para complementar, desde la informalidad, la economía doméstica. Por ello, en este estudio se propone una nueva definición de EDOCO como aquellos:
Emprendimientos informales adicionales a la actividad económica principal de las familias, llevados a cabo con los activos domésticos, incluyendo los bienes muebles e inmuebles, de modo tradicional o respaldados por las plataformas colaborativas con la finalidad de complementar el ingreso del hogar.
En el mismo tenor que Schor (2014) se considera que esta plataforma representa un buen ejemplo de economía colaborativa al contribuir con el intercambio de activos subutilizados. Pero, también nos sumamos a trabajos previos como el de la misma Schor (2014), Martínez et al. (2018), Malhorta y Van-Alstyne (2014) y May et al. (2018) que sugieren regulaciones e impuestos a los usuarios que utilizan la plataforma solamente como un medio más lucrativo para comercializar sus negocios tradicionales (hostales, rentas tradicionales de casas, hoteles o condominios completos). A partir del dato de número de anuncios ofrecidos por cada anfitrión, podemos acercarnos a una cifra del porcentaje de ofertas en Airbnb que representan este tipo de negocio. Aquellos anfitriones que tienen dos o más cuartos ubicados fuera del inmueble que habitan, se podría hablar que ya no están ofreciendo un activo excedente sino haciendo negocios con la plataforma, por lo tanto, partiendo de la definición y naturaleza del EDOCO, no serían considerados como tales. Del trabajo previo de Martínez et al. (2018) se infiere que al menos el 30% de sus anuncios analizados correspondían a este caso. En el estudio previo de May et al. (2018) se encontró que al menos un 19% corresponde a esta categoría. Mientras que el presente estudio se halló un 43% (suma de anfitriones que tienen entre dos a cinco cuartos, es decir 144 de 338). Estudios futuros se requieren para encontrar un rango de diferencia menos disparado.
6. Limitaciones y contribuciones
Limitaciones del presente trabajo están relacionadas con la posibilidad que los resultados obtenidos no sean representativos de todas las ciudades en México ni en todas las plataformas colaborativas de alojamiento, sólo aplican para el caso específico de Cancún y la plataforma de Airbnb. Así también, no se pudo observar cuántas de las ofertas registradas corresponden a empresas formalmente constituidas, ni el tiempo en el que los anfitriones han utilizado esta plataforma. Por lo que se sugiere emprender estudios futuros de corte longitudinal, con análisis estratificado de diferentes entes económicos, y publicitados en plataformas como HomeAway, Wimdu, entre otras.
Sin embargo, la importancia de los hallazgos radica en poder tomar mejores decisiones en materia de política pública e impuestos por parte del gobierno, así como para emprendedores que desean conocer cómo está compuesta la oferta de alojamientos. Adicionalmente, se abona al conocimiento en materia de plataformas colaborativas y economía complementaria, enfocada en la ciudad de Cancún como destino turístico.







