Artículos de investigación
A Comprehensive Analysis of Stock Index Connectedness and Volatility Spillovers Between Colombia, Brazil, Mexico, Chile, and the United States
Análisis de la conectividad de los índices bursátiles y los efectos indirectos de la volatilidad entre Colombia, Brasil, México, Chile y EE. UU
A Comprehensive Analysis of Stock Index Connectedness and Volatility Spillovers Between Colombia, Brazil, Mexico, Chile, and the United States
Revista CEA, vol. 11, núm. 25, e3075, 2025
Instituto Tecnológico Metropolitano

Recepción: 26 Abril 2024
Aprobación: 28 Noviembre 2024
Abstract:
Objective: This paper examines the interconnectedness of stock market indices between the United States and four Latin American countries: Colombia, Brazil, Mexico, and Chile. Particularly, it focuses on linkages and spillover effects, analyzing both the tails and the mean of the distribution.
Design/Methodology: To address this gap identified in the literature, this study investigates the pre- and post-COVID-19 periods using the Quantile Vector Autoregression (QVAR) approach.
Findings: The analysis revealed significant time variations in co-movements between stock indices, with notable peaks during the 2014–2017 and 2020–2021 periods. These peaks correspond to OPEC’s strategic shift in oil production and the global COVID-19 pandemic. Connectedness levels above 50 % underscore a high degree of interdependence, with the strongest connectedness observed in extreme quantiles, which signals increased risks during critical market conditions.
Conclusions: This study identified significant volatility interconnectedness among U.S. and Latin American stock indices, with peaks during major global events such as OPEC’s 2014 strategy shift and the COVID-19 pandemic. Brazil emerges as a key driver of regional volatility transmission. Analysis of extreme quantiles revealed heightened spillovers during turbulent periods, underscoring increased market risk. These findings emphasize the impact of geopolitical and economic factors on market dynamics and offer valuable insights for investors, risk managers, and policymakers to navigate periods of elevated market uncertainty.
Originality: These findings highlight pronounced volatility spillovers in the extreme tails of the distribution, accentuating increased uncertainty and risks associated with significant market fluctuations.
Keywords: market connectedness, financial contagion, stock market spillover, Quantile Vector Autoregression (QVAR), volatility, JEL codes: D52, G1, G15.
Resumen:
Objetivo: analizar la interconectividad de los índices bursátiles entre Estados Unidos y cuatro países de América Latina: Colombia, Brasil, México y Chile. Para ello se examinó el vínculo y los efectos de derrame, enfocándose específicamente en la cola y en la parte media de la distribución.
Metodología: al tratar esta falta en la literatura, se abarcan los períodos previos y posteriores a la pandemia por COVID-19, empleando el enfoque de vectores autorregresivos cuantílico (QVAR, por sus siglas en inglés).
Resultados: se observaron variaciones temporales significativas en los comovimientos entre índices, alcanzando un pico notable durante 2014-2017 y 2020-2021, coincidiendo con el cambio estratégico en la producción de petróleo de la Organización de Países Exportadores de Petróleo (OPEP) y la crisis pandémica global. La conectividad, que supera el 50 %, subraya una interdependencia sustancial, con una máxima conectividad en cuantiles extremos, lo que señala un aumento del riesgo durante extremos críticos del mercado.
Conclusiones: El estudio revela una interconexión significativa de la volatilidad entre los índices bursátiles de EE. UU. y América Latina, con picos durante eventos globales como el cambio estratégico de la OPEP en 2014 y la pandemia de COVID-19. Brasil desempeña un papel clave en la transmisión de volatilidad regional. Los cuantiles extremos destacan un aumento en los desbordamientos de volatilidad durante períodos turbulentos, lo que subraya un mayor riesgo en los mercados. Estos hallazgos ofrecen valiosos conocimientos para inversores, gestores de riesgos y responsables políticos para afrontar períodos de alta incertidumbre en los mercados.
Originalidad: estos hallazgos destacan los notables desbordes de volatilidad en las colas más extremas de la distribución, acentuando la incertidumbre y los riesgos elevados asociados con fluctuaciones significativas del mercado.
Palabras clave: conectividad del mercado, contagio del mercado financiero, vectores autorregresivos cuantílico (QVAR), volatilidad del mercado, Códigos JEL: D52, G1, G15.
Highlights
The COVID-19 pandemic significantly amplified correlations between Latin American markets.
Brazil emerges as the leading transmitter of volatility in the Latin American region.
Financial markets exhibit stronger integration during crisis periods.
The São Paulo Stock Exchange (Bovespa) consistently transmits volatility to both the Colombian market (COLCAP) and Chile’s Selective Stock Price Index (IPSA).
Highlights
La pandemia por COVID-19 incrementó significativamente la correlación entre mercados latinoamericanos.
Brasil emerge como transmisor dominante de volatilidad en la región latinoamericana.
Los mercados muestran mayor integración durante los periodos de crisis.
La Bolsa de Valores del Estado de São Paulo (BOVESPA) actúa como transmisor constante de volatilidad hacia el mercado colombiano (COLCAP) y al Índice de Precios Selectivo de Acciones (IPSA) de Chile.
1. INTRODUCTION
Financial markets, particularly those within the same geographic region, exhibit varying degrees of interconnectedness (Vitali, 2016), impacting portfolio diversification strategies and risk management practices. This interconnectedness tends to intensify during periods of significant market volatility, as observed in developing economies, which are often more susceptible to external shocks (Fassas, 2020; Tiwary et al., 2022; Kang et al., 2020).
Latin American stock markets, despite their predominantly low market capitalization, play a critical role in economic growth by facilitating business development and state financing. However, they are also subject to heightened volatility compared to their developed counterparts (Cardoso et al., 2020). This study investigates volatility dynamics and spillover effects across key benchmark indices in the Americas, including the United States (U.S.) (S&P 500), Colombia (COLCAP), Brazil (Bovespa), Mexico (IPC), and Chile (IPSA).
Several studies in the field have demonstrated the interconnectedness between the stock markets of Latin American countries and the U.S., particularly during periods of crisis (Rodríguez Benavides et al., 2021). Crises, as extreme events, provide a valuable opportunity to assess how volatility dynamics differ under normal and stressed market conditions.
This paper addresses a critical gap in the literature by examining the interconnectedness and volatility spillovers in the U.S. market before and after the COVID-19 pandemic. By analyzing spillovers and interconnectedness across different quantiles of market volatility, it offers deeper insights into the varying degrees of market interdependence during both stable and turbulent periods. To achieve this, the study employs the Diebold and Yilmaz (2012) framework for quantifying volatility transmission, combined with the Chatziantoniou et al. (2021) methodology for a comprehensive multi-quantile analysis. The results highlight significant co-movements among the analyzed indices, underscoring the complexities of market behavior across different volatility regimes.
The paper is structured as follows. Section 1 outlines the context, motivation, and main research questions. Section 2 presents relevant literature and the conceptual basis for the research. Section 3 describes the data, information sources, and methods used for analysis. Section 4 reports the main findings, followed by a discussion in Section 5 that contextualizes the results in relation to the research objectives and existing literature. Finally, Section 6 provides a summary of the key findings and their implications.
2. THEORETICAL FRAMEWORK
The study conducted by Boubaker et al. (2023) revealed significant fluctuations and volatility in stock markets. This behavior reflects the complexity and dynamism of financial markets, suggesting that various factors, including economic events and health crises, can influence the connectedness and stability of stock markets.
According to Chuliá et al. (2018), the analysis of volatility transmission among emerging nations differs from that conducted in economies with larger market capitalizations. Several authors, such as Ben Rejeb and Arfaoui (2016), Beirne et al. (2013), Yousaf and Ahmed (2018), Cardona et al. (2017), and Cardoso et al. (2020), confirm significant volatility transmission from U.S. stock markets to emerging markets, with no such transmission observed in the opposite direction. A particularly noteworthy finding is that volatility transmission is predominant from Brazil to other stock markets, as identified by Cardoso et al. (2020) and Cardona et al. (2017), with significant implications for decision-making and investment strategies. Similarly, Al Nasser and Hajilee (2016) provided evidence of short-term integration between stock markets in emerging and developed countries.
During times of crisis, regional markets tend to become more integrated, while the U.S. market tends to distance itself from the rest of the world, as noted by Zhang et al. (2020). Gordo Mora et al. (2020) further indicate that the U.S. market fluctuations can have a negative impact on the global economy, affecting its connectedness with emerging economies.
The COVID-19 pandemic has intensified these dynamics, with a more pronounced impact on stock returns in emerging markets than in developed ones (Topcu & Gulal, 2020; Harjoto & Rossi, 2023). Fassas (2020) emphasizes that risk aversion in emerging markets has played a crucial role in the connectedness of international markets during the pandemic. As noted by Valle et al. (2021), global return synchronization increases during crises, underscoring the interrelation between adverse economic events and volatility in financial markets.
Harjoto et al. (2021) identified a unidirectional return transmission from emerging economies to the U.S. dollar market. Similarly, Yousaf et al. (2020) and Bhowmik et al. (2022) found that Asian emerging markets have become more internationally integrated after each crisis, with the U.S. market playing a dominant role during the global financial crisis and the COVID-19 pandemic. Yousaf et al. (2021), for their part, reported that the Chinese stock market crisis negatively affected Latin American stock markets and the global oil market, given China’s strong trade dependence and its role as the world’s largest oil importer. According to Szczygielski et al. (2021), uncertainty has a greater impact on Latin American stock markets, as these markets have experienced higher returns and volatility during crises.
Regarding emerging economies, Fortunato et al. (2020) highlighted global stock market performance and commodity prices as the most influential factors in market dynamics in Latin America. Bhuyan et al. (2016) examined the relationship between U.S. stock markets and BRICS stock markets, concluding that the U.S. stock market has a significant average performance and indirectly affects volatility in BRICS stock markets. Likewise, Sarwar et al. (2020) analyzed volatility between oil returns and stock markets, finding evidence of a bidirectional loss of volatility between these two sectors.
The integration of Latin American financial markets has been widely studied over the past decade (Dias et al., 2019). For instance, Gamba-Santamaria et al. (2017) measured spillover effects in Latin American stock markets, focusing on Brazil, Chile, Colombia, and Mexico. Their findings suggest that Brazil is a key transmitter of spillovers to other markets. Similarly, Yousaf et al. (2020) analyzed spillover effects during the 2015 Chinese stock market crash and found a unidirectional transmission of volatility from the U.S. and Chinese markets to those in Brazil, Chile, Mexico, and Peru. Additionally, they identified a bidirectional volatility transmission between the U.S. and Mexican stock markets.
Other studies, including those by Beirne et al. (2013), Graham et al. (2012), Hwang (2014), Arouri et al. (2015), and Syriopoulos et al. (2015), have explored financial integration between Latin America and the U.S., particularly during periods of crisis. Their findings consistently indicate a significant spillover effect from the U.S. market to Latin American markets, with stronger interconnectedness observed during global crises.
A key area of research has been the Latin American Integrated Market (abbreviated MILA in Spanish), initially formed by Chile, Colombia, and Peru (Sandoval Alamos et al., 2015; Sandoval & Soto, 2016). Studies on MILA have focused on cointegration, the effects of portfolio efficiency, and diversification. Mellado and Escobari (2015) identified a notable enhancement in the dynamic correlation between stock returns following MILA’s establishment, suggesting a reduction in the benefits of international diversification. This finding was corroborated by Romero-Álvarez et al. (2013), who observed a high correlation between the assets of MILA member countries. In contrast, Uribe Gil and Mosquera López (2014) found no structural change in stock market indices after MILA’s implementation, attributing this to the nascent state of the integrated market.
Espinosa-Méndez et al. (2017) argued that the benefits of MILA integration are more pronounced when member countries have different levels of market development. In a study conducted by Arbeláez García and Rosso (2016), the authors analyzed seasonal effects in Pacific Alliance capital markets, identifying day-of-the-week and month-change effects in certain markets.
In a broader context, López-Herrera and Venegas-Martínez (2012) investigated the financial integration between Mexico and the U.S., finding evidence of significant transmission channels in returns and volatilities. However, they concluded that integration remains moderate or incomplete. More recent studies by Rodríguez Benavides et al. (2021) and Sosa et al. (2019) have examined U.S. international financial linkages, including the impact of the COVID-19 pandemic in Latin American markets. Additionally, Ortegón Rojas and Torres Castro (2016) evaluated the interconnectedness between MILA and Latibex, whereas Vargas Pulido and Bayardo Martínez (2013) explored MILA’s operational advantages and challenges.
In light of the above, this study examines the daily returns of benchmark stock indices in the U.S. (S&P 500), Colombia (COLCAP), Brazil (Bovespa), Mexico (IPC), and Chile (IPSA) from February 10, 2014, to February 9, 2024. Stock index data were obtained from the CEIC Data and Federal Reserve Bank of St. Louis databases, as shown in Table 1. The sample included 2,217 observations, with index values assumed to remain constant on non-working days.
| Variable | Description | Source |
| SP | Dow Jones Indices LLC: S&P 500 | Federal Reserve Bank of St. Louis |
| RCOL | Colombian Stock Exchange: COLCAP index | CEIC Data |
| RBO | Brazil Bolsa Balcão: Bovespa index | CEIC Data |
| RIPC | Mexican Stock Exchange: IPCindex | CEIC Data |
| RIPSA | Santiago Stock Exchange: IPSA index | CEIC Data |
Tabla 1. Descripción de variables
Source: Own work.During the study period, several significant events influenced the fluctuation of the stock market indices, as illustrated in Figure 1. In early 2016, Brazil experienced a political crisis triggered by corruption scandals at Petrobras and high inflation (10.7 %). As a result, the Bovespa Index fell by 6.5 %. This downturn was further exacerbated by declining oil prices, which negatively affected Latin American oil-exporting countries.

Figura 1. Evolución de los índices a lo largo del tiempo
Source: Own work.In 2018, the U.S.–China trade war introduced uncertainty in global financial markets, destabilizing stock market indices in Latin America. The COVID-19 pandemic in 2020 had a profound impact on financial markets, resulting in a sharp drop in oil prices and widespread declines in stock market indices. At the end of 2021, the region witnessed a record number of Initial Public Offerings (IPOs), which mostly benefited Brazil and had a positive effect on the Bovespa index and other stock indices in the region.
A similar behavior was observed in the logarithmic returns of the stock indices (Figure 2) between 2020 and 2022, reflecting significant volatility and trends in the financial markets. In 2020, the logarithmic return graphs showed a marked drop in stock market indices, which coincided with the onset and spread of the COVID-19 pandemic. Throughout the analyzed period, there was significant uncertainty and market volatility, as evidenced by the sharp fluctuations in logarithmic returns.
Additionally, Figure 2 highlights similarities in the behavior of logarithmic returns between RCOL and RIPSA around 2022, with the COLCAP emerging as the region’s best-performing index, recording a 15 % increase.

Figura 2. Rentabilidad diaria a lo largo del tiempo
Source: Own work.Table 2 presents the descriptive statistics of the logarithmic returns for the RCOL, RBO, RIPC, RIPSA, and SP variables. The results indicate varying levels of dispersion and leftward skewness across the variables. RBO and SP exhibited greater dispersion, as reflected in their higher standard deviations. Furthermore, RCOL showed a negative coefficient of variation, suggesting an atypical dispersion relative to its mean. Measures of skewness and kurtosis indicate leftward skewness and increased concentration in the tails of the distributions of all variables.
| RCOL | RBO | RIPC | RIPSA | SP | |
| Observations | 2217 | 2217 | 2217 | 2217 | 2217 |
| Median | 9.582×10-5 | 2.539×10-4 | 1.024×10-4 | 1.253×10-4 | 2.986×10-4 |
| Mean | -3.396×10-5 | 1.934×10-4 | 6.993×10-5 | 1.066×10-4 | 2.012×10-4 |
| Std. deviation | 0.005 | 0.007 | 0.004 | 0.005 | 0.005 |
| Coefficient of variation | -160.183 | 36.904 | 64.324 | 50.358 | 25.144 |
| MAD robust | 0.004 | 0.006 | 0.004 | 0.003 | 0.003 |
| Skewness | -0.999 | -0.727 | -0.327 | -1.057 | -0.413 |
| Kurtosis | 28.507 | 10.545 | 3.495 | 19.072 | 9.784 |
| Minimum | -0.070 | -0.069 | -0.029 | -0.061 | -0.043 |
| Maximum | 0.054 | 0.057 | 0.023 | 0.040 | 0.039 |
| 25th percentile | -0.002 | -0.004 | -0.002 | -0.002 | -0.002 |
| 50th percentile | 9.582×10-5 | 2.539×10-4 | 1.024×10-4 | 1.253×10-4 | 2.986×10-4 |
| 75th percentile | 0.002 | 0.004 | 0.003 | 0.003 | 0.003 |
| Sum | -0.075 | 0.429 | 0.155 | 0.236 | 0.446 |
Tabla 2. Estadísticas descriptivas
Source: Own work.3. METHODOLOGY
This study extends the Vector Autoregression (VAR) framework by incorporating the Diebold and Yilmaz (2012) approach to quantify volatility transmission between different stock markets. Additionally, it applies the methodology presented by Chatziantoniou et al. (2021) to jointly assess both volatility transmission and connectedness across various quantiles. This comprehensive approach provides a deeper understanding of the complex interactions between stock markets at different levels.
The employed technique decomposes the forecast error variance of a given variable into contributions from shocks to all other variables, allowing for the quantification of each shock’s impact. Simultaneously, these measures capture the overall degree of interdependence between two variables, considering both the influence of one on the other and vice versa. They also summarize the overall interconnectedness within the entire system, providing a single metric for comparison across different scenarios.
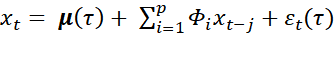
All these methodologies are grounded in the vector autoregressive model proposed by Sims (1980), which is defined as follows in Equation 1:
(1)Here, 𝑥𝑡 represents a 𝑘𝑥1 vector of endogenous variables. In the context of examining a given quantile, 𝝁(𝜏) is a 𝑘𝑥1 vector of conditional means, where 𝜏 denotes quantiles within the range [0,1]. The parameter 𝑝 indicates the number of lags, 𝛷𝑖 represents the 𝑘𝑥𝑘 matrix of coefficients, and 𝜀𝑡 is the 𝑘𝑥1 white noise vector. This system of equations allows for the exploration of how shocks in one variable affect another.
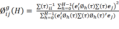
The Generalized Forecast Error Variance Decomposition (GFEVD) is a statistical technique used to quantify the effect of a shock in one variable (𝑗) on another variable (j), as defined in Equation 2:
(2)Equation 2 is then normalized using a zero vector, 𝑒𝑖, which has a value of one exclusively in its 𝑖 ‒ 𝑡ℎ element (Equation 3):
(3)After normalization—isolating the impact of variable 𝑖 on variable 𝑗—the total directional connectedness is computed using Equation 4:
(4)For the opposite direction of influence, Equation 5 measures the effect of variable 𝑗 on variable 𝑖:
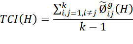
(5)Finally, Equation 6 defines the Total Connectedness Index (TCI), which quantifies the extent of interconnectedness between time series.
(6)4. RESULTS
The purpose of this study is to analyze the dynamic interconnectedness of volatility across prominent stock indices in the Americas: S&P 500 (U.S.), COLCAP (Colombia), Bovespa (Brazil), IPC (Mexico), and IPSA (Chile). Descriptive statistics were calculated for different time periods to characterize the data sample more accurately. Table 3 presents the chronological division of the main sample into three periods: before the COVID-19 pandemic (11/02/2014–4/02/2020), during the COVID-19 pandemic (5/02/2020–1/07/2021), and after the COVID-19 pandemic (2/07/2021–9/02/2024). This classification enables an examination of the behavior and variations in the dispersion measures of the studied variables during periods of crisis and recovery.
| RCOL | RBO | RIPC | RIPSA | SP | |
| 11/02/2014–4/02/2020 | |||||
| Observations | 1313 | 1313 | 1313 | 1313 | 1313 |
| Mean | 3.374×10-5 | 2.926×10-4 | 3.834×10-5 | 9.524×10-5 | 2.003×10-4 |
| Std. deviation | 0.004 | 0.007 | 0.004 | 0.004 | 0.004 |
| Coefficient of variation | 115328 | 22308 | 103638 | 38659 | 18684 |
| Skewness | -0.229 | -0.129 | -0.324 | 0.489 | -0.526 |
| Kurtosis | 2.761 | 1.753 | 4.095 | 6.986 | 2.734 |
| 5/02/2020–1/07/2021 | |||||
| Observations | 318 | 318 | 318 | 318 | 318 |
| Mean | -3.628×10-4 | 1.145×10-4 | 1.527×10-4 | -9.813×10-5 | 3.688×10-4 |
| Std. deviation | 0.009 | 0.011 | 0.006 | 0.009 | 0.008 |
| Coefficient of variation | -25483 | 95724 | 41672 | -95762 | 22319 |
| Skewness | -1.478 | -1.242 | -0.564 | -1.682 | -0.390 |
| Kurtosis | 20.180 | 11.140 | 2.489 | 10.446 | 7.363 |
| 2/07/2021–9/02/2024 | |||||
| Observations | 587 | 587 | 587 | 587 | 587 |
| Mean | -3.556×10-7 | 7.108×10-6 | 9.691×10-5 | 2.451×10-4 | 1.159×10-4 |
| Std. deviation | 0.006 | 0.006 | 0.004 | 0.006 | 0.005 |
| Coefficient of variation | -15845486 | 797165 | 45275 | 22638 | 46252 |
| Skewness | 0.484 | -0.179 | 0.088 | 0.562 | -0.224 |
| Kurtosis | 7.291 | 1.160 | 0.537 | 6.106 | 1.644 |
Tabla 3. Estadísticas descriptivas de los periodos
Source: Own work.Between February 11, 2014, and February 4, 2020, the average logarithmic returns of Latin American financial indices generally increased. The RCOL, RIPC, RIPSA, and SP indices recorded positive returns, with the RBO index exhibiting the highest deviation. However, a notable shift occurred between February 5, 2020, and July 1, 2021. During this period of market uncertainty and volatility, the RCOL, RIPC, and SP indices experienced negative average returns and increased volatility in the averages.
Between July 2, 2021, and February 9, 2024, the average logarithmic returns displayed a mixed trend. The indices showed slightly positive returns and the variation in averages moderated compared to the previous period. This suggests a degree of stabilization or normalization in the regional financial markets.
Table 4 presents the Pearson correlation coefficients and corresponding p-values for the variables. The results indicate moderate positive correlations between variable pairs, implying similar relationships between them.
| Variable | RCOL | RBO | RIPC | RIPSA | SP | ||||||||
| 1. RCOL | Pearson's r | — | |||||||||||
| p-value | — | ||||||||||||
| 2. RBO | Pearson's r | 0.449 | — | ||||||||||
| p-value | < .001 | — | |||||||||||
| 3. RIPC | Pearson's r | 0.406 | 0.521 | — | |||||||||
| p-value | < .001 | < .001 | — | ||||||||||
| 4. RIPSA | Pearson's r | 0.435 | 0.425 | 0.412 | — | ||||||||
| p-value | < .001 | < .001 | < .001 | — | |||||||||
| 5. SP | Pearson's r | 0.429 | 0.544 | 0.564 | 0.410 | — | |||||||
| p-value | < .001 | < .001 | < .001 | < .001 | — | ||||||||
Tabla 4. Correlaciones de Pearson
Source: Own work.To estimate the models using the methodologies proposed by Diebold and Yilmaz (2012) and Chatziantoniou et al. (2021), correlations were measured before, during, and after the COVID-19 pandemic. Table 5 shows a significant increase in correlation between most country pairs in Panel B compared to Panel A, which indicates greater regional integration during this period. For its part, Panel C shows a decline in correlation for most pairs, suggesting reduced integration or the influence of country-specific factors. These changes in correlation have important implications for investors: higher correlations limit portfolio diversification, while lower correlations may create opportunities but also increase exposure to individual market risks.

Tabla 5. Correlaciones de Pearson para los periodos
Source: Own work.A 250-day window was selected to balance the need for capturing significant market dynamics with computational efficiency. This window size aligns with established practices in financial econometrics research. Similarly, a 5-day horizon was chosen to assess connectedness within a timeframe relevant to the data frequency and the spillover effects under investigation.
Figure 3 illustrates the dynamic TCI, highlighting a significant level of co-movement between the analyzed indices. However, this interconnectedness exhibited substantial temporal variation, with peak levels observed during the 2014–2017 and 2020–2021 periods. The 2014–2017 peak coincides with OPEC’s (Organization of the Petroleum Exporting Countries) strategic shift toward increased oil production. As most analyzed indices represent economies heavily reliant on commodity exports, this oil price volatility spillover likely contributed to heightened interconnectedness. The 2020–2021 peak, for its part, aligns with the global COVID-19 pandemic, a time of unprecedented economic and financial distress. This widespread external shock likely intensified market movements, driving the observed volatility co-movement among the indices.

Figura 3. Conexión dinámica de variables
Source: Own work.Figure 4 provides a more detailed examination of the individual volatility interconnectedness of the S&P 500 (SP), COLCAP (RCOL), Bovespa (RBO), IPC (RIPC), and IPSA (RIPSA) indices. It compares their volatility dynamics with the entire system under study. Notably, the results reveal a general pattern of similar behavior across all indices, suggesting a degree of interconnectedness.

Figura 4. Conexión dinámica de variables
Source: Own work.Figure 5 examines the dominant roles of each index as either transmitters or receivers of volatility over the analyzed period. The results reveal distinctive patterns. For instance, the COLCAP index (RCOL) primarily functions as a net receiver of volatility from other markets, with the IPSA index (RIPSA) being the exception. These two indices exhibit a reciprocal relationship, alternately transmitting and receiving volatility depending on the period.

Figura 5. Efectos indirectos netos de la volatilidad
Source: Own work.The Bovespa index (RBO) plays a more dynamic role, shifting between transmitting and receiving volatility. However, it acts as a dominant transmitter to the COLCAP (RCOL) and IPSA (RIPSA) indices in most cases. Similarly, the IPC index (RIPC) functions as both a transmitter and a receiver depending on the period, but it consistently transmits volatility to the IPSA index (RIPSA), suggesting a unidirectional influence. The S&P 500 (SP), for its part, consistently acts as a total transmitter to the COLCAP (RCOL) and IPSA (RIPSA) indices, and its interactions with the other indices vary over time.
Table 6 reports volatility spillovers across various quantiles (5th, 10th, 20th, 30th, 40th, 50th, 60th, 70th, 80th, 90th, and 95th percentiles), highlighting the estimated contributions to forecast error variance from market 𝑖 impacting market 𝑗. The row sums indicate contributions received from other markets, while the column sums represent contributions to other markets.
| Variable | Quantile | RCOL | RBO | RIPC | RIPSA | SP | FROM |
| RCOL | Q95 | 27.99 | 18.11 | 18.09 | 17.91 | 17.90 | 72.01 |
| Q90 | 32.44 | 17.37 | 16.95 | 16.45 | 16.79 | 67.56 | |
| Q80 | 41.89 | 15.31 | 14.72 | 13.85 | 14.23 | 58.11 | |
| Q70 | 51.30 | 12.94 | 12.62 | 11.30 | 11.85 | 48.70 | |
| Q60 | 59.00 | 10.87 | 10.47 | 9.63 | 10.04 | 41.00 | |
| Q50 | 59.58 | 10.84 | 10.33 | 9.30 | 9.96 | 40.42 | |
| Q40 | 60.04 | 10.51 | 10.45 | 9.39 | 9.60 | 39.96 | |
| Q30 | 52.14 | 12.64 | 12.65 | 10.94 | 11.63 | 47.86 | |
| Q20 | 41.98 | 15.26 | 15.18 | 13.77 | 13.81 | 58.02 | |
| Q10 | 31.08 | 17.64 | 17.46 | 17.02 | 16.79 | 68.92 | |
| Q05 | 26.55 | 18.48 | 18.33 | 18.13 | 18.52 | 73.45 | |
| RBO | Q95 | 17.58 | 26.95 | 19.06 | 17.55 | 18.86 | 73.05 |
| Q90 | 16.47 | 30.31 | 18.46 | 16.56 | 18.20 | 69.69 | |
| Q80 | 13.88 | 38.11 | 17.00 | 14.49 | 16.53 | 61.89 | |
| Q70 | 11.39 | 46.53 | 15.26 | 12.13 | 14.70 | 53.47 | |
| Q60 | 9.41 | 53.76 | 13.24 | 10.50 | 13.09 | 46.24 | |
| Q50 | 9.13 | 54.42 | 13.03 | 10.35 | 13.07 | 45.58 | |
| Q40 | 9.14 | 54.05 | 12.88 | 10.75 | 13.18 | 45.95 | |
| Q30 | 10.85 | 48.04 | 14.96 | 12.01 | 14.14 | 51.96 | |
| Q20 | 13.52 | 39.35 | 16.82 | 14.45 | 15.85 | 60.65 | |
| Q10 | 16.51 | 30.56 | 18.14 | 16.90 | 17.89 | 69.44 | |
| Q05 | 17.77 | 26.30 | 18.81 | 18.27 | 18.85 | 73.70 | |
| RIPC | Q95 | 17.26 | 18.81 | 26.53 | 17.92 | 19.48 | 73.47 |
| Q90 | 15.78 | 18.35 | 30.08 | 16.49 | 19.30 | 69.92 | |
| Q80 | 12.91 | 16.93 | 37.54 | 14.20 | 18.42 | 62.46 | |
| Q70 | 10.52 | 15.12 | 44.97 | 11.92 | 17.47 | 55.03 | |
| Q60 | 8.72 | 13.23 | 51.51 | 10.36 | 16.18 | 48.49 | |
| Q50 | 8.21 | 13.01 | 52.40 | 10.33 | 16.05 | 47.60 | |
| Q40 | 8.42 | 12.90 | 52.54 | 10.63 | 15.51 | 47.46 | |
| Q30 | 10.21 | 14.89 | 46.19 | 11.99 | 16.72 | 53.81 | |
| Q20 | 12.88 | 16.69 | 38.16 | 14.35 | 17.92 | 61.84 | |
| Q10 | 15.94 | 18.14 | 29.99 | 16.90 | 19.02 | 70.01 | |
| Q05 | 17.54 | 18.92 | 25.97 | 17.97 | 19.60 | 74.03 | |
| RIPSA | Q95 | 17.74 | 18.51 | 18.89 | 26.80 | 18.06 | 73.20 |
| Q90 | 16.64 | 17.76 | 17.81 | 30.97 | 16.82 | 69.03 | |
| Q80 | 13.71 | 16.03 | 15.80 | 39.99 | 14.48 | 60.01 | |
| Q70 | 11.21 | 13.65 | 13.80 | 49.33 | 12.01 | 50.67 | |
| Q60 | 9.39 | 11.90 | 12.11 | 56.36 | 10.24 | 43.64 | |
| Q50 | 9.03 | 11.56 | 11.95 | 57.05 | 10.42 | 42.95 | |
| Q40 | 9.01 | 11.82 | 12.28 | 55.97 | 10.92 | 44.03 | |
| Q30 | 10.64 | 13.23 | 13.80 | 50.62 | 11.71 | 49.38 | |
| Q20 | 13.47 | 15.56 | 16.12 | 40.75 | 14.10 | 59.25 | |
| Q10 | 16.59 | 17.58 | 18.18 | 30.64 | 17.01 | 69.36 | |
| Q05 | 18.16 | 18.52 | 18.76 | 26.19 | 18.38 | 73.81 | |
| SP | Q95 | 17.07 | 18.86 | 19.72 | 17.58 | 26.77 | 73.23 |
| Q90 | 15.74 | 18.40 | 19.38 | 15.85 | 30.63 | 69.37 | |
| Q80 | 12.98 | 16.72 | 18.51 | 13.28 | 38.51 | 61.49 | |
| Q70 | 10.50 | 14.77 | 17.75 | 10.57 | 46.40 | 53.60 | |
| Q60 | 8.81 | 12.94 | 16.41 | 8.89 | 52.96 | 47.04 | |
| Q50 | 8.55 | 12.79 | 16.03 | 8.86 | 53.77 | 46.23 | |
| Q40 | 8.15 | 13.07 | 15.51 | 9.38 | 53.90 | 46.10 | |
| Q30 | 10.13 | 14.14 | 17.07 | 10.38 | 48.27 | 51.73 | |
| Q20 | 12.60 | 15.93 | 18.28 | 13.01 | 40.17 | 59.83 | |
| Q10 | 15.99 | 17.97 | 19.22 | 16.09 | 30.72 | 69.28 | |
| Q05 | 17.92 | 18.86 | 19.58 | 17.58 | 26.07 | 73.93 | |
| TO | Q95 | 69.65 | 74.29 | 75.76 | 70.96 | 74.30 | 364.96 |
| Q90 | 64.63 | 71.88 | 72.60 | 65.36 | 71.10 | 345.57 | |
| Q80 | 53.47 | 64.99 | 66.02 | 55.82 | 63.65 | 303.95 | |
| Q70 | 43.61 | 56.48 | 59.43 | 45.92 | 56.03 | 261.48 | |
| Q60 | 36.34 | 48.93 | 52.22 | 39.38 | 49.54 | 226.42 | |
| Q50 | 34.93 | 48.20 | 51.34 | 38.83 | 49.49 | 222.79 | |
| Q40 | 34.72 | 48.31 | 51.12 | 40.14 | 49.21 | 223.50 | |
| Q30 | 41.84 | 54.91 | 58.48 | 45.33 | 54.18 | 254.75 | |
| Q20 | 52.47 | 63.43 | 66.41 | 55.59 | 61.69 | 299.58 | |
| Q10 | 65.03 | 71.33 | 73.01 | 66.91 | 70.73 | 347.01 | |
| Q05 | 71.38 | 74.78 | 75.48 | 71.94 | 75.34 | 368.92 | |
| Inc.Own | Q95 | 97.63 | 101.24 | 102.28 | 97.77 | 101.07 | cTCI/TCI |
| Q90 | 97.06 | 102.19 | 102.68 | 96.34 | 101.73 | cTCI/TCI | |
| Q80 | 95.37 | 103.10 | 103.56 | 95.81 | 102.16 | cTCI/TCI | |
| Q70 | 94.91 | 103.01 | 104.40 | 95.25 | 102.43 | cTCI/TCI | |
| Q60 | 95.33 | 102.69 | 103.73 | 95.74 | 102.50 | cTCI/TCI | |
| Q50 | 94.50 | 102.63 | 103.73 | 95.88 | 103.25 | cTCI/TCI | |
| Q40 | 94.76 | 102.35 | 103.66 | 96.12 | 103.11 | cTCI/TCI | |
| Q30 | 93.98 | 102.95 | 104.67 | 95.96 | 102.45 | cTCI/TCI | |
| Q20 | 94.45 | 102.78 | 104.57 | 96.34 | 101.86 | cTCI/TCI | |
| Q10 | 96.12 | 101.88 | 103.00 | 97.55 | 101.45 | cTCI/TCI | |
| Q05 | 97.92 | 101.08 | 101.45 | 98.13 | 101.41 | cTCI/TCI |
Tabla 6. Repercusión de la volatilidad en todo el mercado
Source: Own work.As observed, the interconnectedness between all markets is high, with a consistent pattern emerging across all variables. Notably, volatility spillovers are significantly more pronounced at the extreme tails of the distribution (both higher and lower quantiles). This finding emphasizes the heightened risk and uncertainty associated with extreme market movements.
Beyond identifying patterns, the analysis underscores the amplification of volatility in extreme conditions. This serves as a reminder for investors and risk managers to pay close attention to market behavior during turbulent periods. Understanding these quantile-dependent spillovers can help investors to make more informed decisions and policymakers to refine risk management strategies, allowing them to navigate periods of extreme market volatility with greater confidence.
Figure 6 shows the interconnectedness within the economic system across various quantiles, with warmer tones indicating higher connectedness levels. Remarkably, connectedness consistently exceeds the 50% threshold throughout the analyzed periods, signaling a significant degree of interdependence. Furthermore, the highest connectedness levels occur at the extremes of the quantiles.

Figura 6. Conectividad total del sistema a lo largo del tiempo y cuantiles
Source: Own work.Between 2014 and 2017, strong interconnectedness is observed, suggesting substantial cohesion within the economic system. Connectedness reaches its pinnacle from 2020 to 2021, coinciding with the economic disruptions caused by the COVID-19 pandemic. This surge in connectedness during the pandemic shock underscores the profound challenges faced by the economic system during this period.
Furthermore, it is important to note the impact of OPEC’s policies between 2014 and 2017, as these geopolitical and economic factors likely played a significant role in the heightened interconnectedness observed during that time.
To rigorously assess robustness, the TCI was calculated three times using windows of 150, 200, and 250 days, respectively. As shown in Figure 7, the three TCI series exhibited similar behavior, demonstrating the consistency of the analysis regardless of the selected index. This confirms that comparable cases of volatility fluctuations across various stock market scenarios are effectively captured.

Figura 7. Índice dinámico de conectividad total para ventanas de 150, 200 y 250
Source: Own work.5. DISCUSSION
This study examined the dynamic interconnectedness of volatility among major stock indices in the Americas. The findings revealed a high degree of co-movement between these markets, with peaks in interconnectedness during 2014–2017 and 2020–2021, which coincide with OPEC’s production strategies (Boubaker et al., 2023) and the COVID-19 pandemic (Zhang et al., 2020), respectively.
The results presented in this study highlight Brazil’s significant influence in transmitting volatility to other markets, including the U.S. and Mexico. This finding is consistent with prior research by Cardona et al. (2017) and Cardoso et al. (2020), which observed an increasing correlation between the U.S. and Brazilian stock markets over time. Brazil’s role as a regional leader in volatility transmission reflects the complexity of financial interactions. Also, it emphasizes the need to consider geopolitical and economic factors (Wu et al., 2024), such as OPEC’s policies and the impact of the COVID-19 pandemic when analyzing the dynamics of Latin American and global financial markets.
The analysis of each index’s volatility indicated similar behavior, suggesting a strong interrelation between them. The S&P 500 consistently transmits volatility to Latin American markets, such as COLCAP (Colombia) and IPSA (Chile), reinforcing the dominant role of the U.S. market during crises (Bhowmik et al., 2022; Zhang et al., 2020). The findings also reveal that Latin American markets, like Colombia and Chile, are more affected than the U.S. market, which aligns with previous research showing that emerging markets face heightened volatility and risk contagion during crises (Szczygielski et al., 2021; and Harjoto et al., 2021). Furthermore, volatility was found to be more pronounced at the extreme ends of the distribution, specifically at the high and low percentiles. This supports existing evidence that volatility tends to increase during times of crisis (Boubaker et al., 2023; Valle et al., 2021). These insights underscore the importance for investors and risk managers to closely monitor market behavior during turbulent periods.
Furthermore, the results of this study align with those reported by Beirne et al. (2013), Graham et al. (2012), Hwang (2014), Arouri et al. (2015), and Syriopoulos et al. (2015), who noted that spillover effects tend to increase during crises. However, this study extends the analysis by measuring spillovers effect across different quantiles, revealing that contagion effects are more pronounced in the extreme tails of the distribution.
Drawing on the work of Mellado and Escobari (2015) and Romero-Álvarez et al. (2013), this paper confirms the existence of significant market interconnectedness. However, the analysis extends beyond previous work, revealing its dynamic nature. Interconnectedness varies substantially over time, with peaks observed in the 2014–2017 and 2020–2021 periods.
The dominant role of the S&P 500 in transmitting volatility to the COLCAP and IPSA indices further supports the findings of López-Herrera and Venegas-Martínez (2012) regarding financial integration between the U.S. and Latin American markets. Nonetheless, this study reveals a more complex dynamic, in which each index’s role as a volatility transmitter or receiver shifts depending on the time period and market pair under consideration.
The identification of interconnectedness peaks during specific events, such as OPEC’s policies in 2014–2017 and the COVID-19 pandemic in 2020–2021, adds a new dimension to the analysis of the impact of financial crises on these markets conducted by Rodríguez Benavides et al. (2021).
6. CONCLUSIONS
This paper provides a comprehensive analysis of the dynamic interconnectedness of volatility among major stock indices in the Americas. Using advanced methodologies based on Quantile Vector Autoregression (QVAR) and volatility transmission quantification techniques, it offers a nuanced understanding of the intricate relationships between stock markets across different quantiles. The analysis focused on benchmark indices from the U.S., Colombia, Brazil, Mexico, and Chile over the period from February 10, 2014, to February 9, 2024.
The findings revealed significant co-movement between the analyzed indices, with distinct peaks in interconnectedness during the 2014–2017 and 2020–2021 periods. These peaks coincide with notable global events, such as OPEC’s strategic shift in 2014 and the unprecedented economic disruptions caused by the COVID-19 pandemic in 2020. The study also delves into the roles of individual indices as volatility transmitters or receivers, identifying unique patterns for each and highlighting Brazil’s prominent role in volatility transmission in the region.
Moreover, the analysis emphasizes the importance of considering extreme quantiles in volatility spillover research, as interconnectedness tends to intensify during turbulent periods. Volatility spillovers are particularly pronounced in the extreme tails of the distribution, reinforcing the increased risk and uncertainty associated with extreme market movements.
The results presented here contribute to the existing literature by shedding light on the intricate dynamics of volatility transmission across diverse stock markets. They also underscore the influence of geopolitical and economic factors in shaping the interconnectedness of financial markets. Finally, the paper highlights the practical implications of its findings, providing valuable insights to investors, risk managers, and policymakers for informed decision-making during periods of heightened market volatility.
REFERENCES
Al Nasser, O. M., & Hajilee, M. (2016). Integration of emerging stock markets with global stock markets. Research in International Business and Finance, 36, 1-12. https://doi.org/10.1016/j.ribaf.2015.09.025
Arbeláez García, D., & Rosso, J. (2016). Efectos estacionales en los mercados de capitales de la Alianza del Pacífico. Estudios Gerenciales, 32(141), 358-368. https://doi.org/10.1016/j.estger.2016.10.002
Arouri, M. E. H., Lahiani, A., & Nguyen, D. K. (2015). Cross-market dynamics and optimal portfolio strategies in Latin American equity markets. European Business Review, 27(2), 161-181. https://doi.org/10.1108/EBR-04-2013-0069
Beirne, J., Caporale, G. M., Schulze-Ghattas, M., & Spagnolo, N. (2013). Volatility Spillovers and Contagion from Mature to Emerging Stock Markets. Review of International Economics, 21(5), 1060-1075. https://doi.org/10.1111/roie.12091
Ben Rejeb, A., & Arfaoui, M. (2016). Financial market interdependencies: A quantile regression analysis of volatility spillover. Research in International Business and Finance, 36, 140-157. https://doi.org/10.1016/j.ribaf.2015.09.022
Bhowmik, R., Debnath, G. C., Debnath, N. C., & Wang, S. (2022). Emerging stock market reactions to shocks during various crisis periods. PLOS ONE, 17(9), e0272450. https://doi.org/10.1371/journal.pone.0272450
Bhuyan, R., Robbani, M. G., Talukdar, B., & Jain, A. (2016). Information transmission and dynamics of stock price movements: An empirical analysis of BRICS and US stock markets. International Review of Economics & Finance, 46, 180-195. https://doi.org/10.1016/j.iref.2016.09.004
Boubaker, S., Karim, S., Naeem, M. A., & Sharma, G. D. (2023). Financial markets, energy shocks, and extreme volatility spillovers. Energy Economics, 126, 107031. https://doi.org/10.1016/j.eneco.2023.107031
Cardona, L., Gutiérrez, M., & Agudelo, D. A. (2017). Volatility transmission between US and Latin American stock markets: Testing the decoupling hypothesis. Research in International Business and Finance, 39, 115-127. https://doi.org/10.1016/j.ribaf.2016.07.008
Cardoso, G. F., Souza, G. S., Carvalho, L. F., & Ribeiro, K. C. D. S. (2020). Analysis of volatility and contagion effect of countries from Latin America. Revista Ibero-Americana de Estrategia, 19(4), 41-57. https://doi.org/10.5585/riae.v19i4.14457
Chatziantoniou, I., Gabauer, D., & Stenfors, A. (2021). Interest rate swaps and the transmission mechanism of monetary policy: A quantile connectedness approach. Economics Letters, 204, 109891. https://doi.org/10.1016/j.econlet.2021.109891
Chuliá, H., Fernández, J., & Uribe, J. M. (2018). Currency downside risk, liquidity, and financial stability. Journal of International Money and Finance, 89, 83-102. https://doi.org/10.1016/j.jimonfin.2018.09.009
Dias, R., da Silva, J. V., & Dionísio, A. (2019). Financial markets of the LAC region: Does the crisis influence the financial integration? International Review of Financial Analysis, 63, 160-173. https://doi.org/10.1016/j.irfa.2019.02.008
Diebold, F. X., & Yilmaz, K. (2012). Better to give than to receive: Predictive directional measurement of volatility spillovers. International Journal of Forecasting, 28(1), 57-66. https://doi.org/10.1016/j.ijforecast.2011.02.006
Espinosa-Méndez, C., Gorigoitía, J., & Vieito, J. (2017). Is the Virtual Integration of Financial Markets Beneficial in Emerging Markets? Evidence from MILA. Emerging Markets Finance and Trade, 53(10), 2279-2302. https://doi.org/10.1080/1540496X.2017.1307101
Fassas, A. P. (2020). Risk aversion connectedness in developed and emerging equity markets before and after the COVID-19 pandemic. Heliyon, 6(12), e05715. https://doi.org/10.1016/j.heliyon.2020.e05715
Fortunato, G., Martins, N., & de Lamare Bastian-Pinto, C. (2020). Global Economic Factors and the Latin American Stock Markets. Latin American Business Review, 21(1), 61-91. https://doi.org/10.1080/10978526.2019.1665467
Gamba-Santamaria, S., Gomez-Gonzalez, J. E., Hurtado-Guarin, J. L., & Melo-Velandia, L. F. (2017). Stock market volatility spillovers: Evidence for Latin America. Finance Research Letters, 20, 207-216. https://doi.org/10.1016/j.frl.2016.10.001
Gordo Mora, E., Kataryniuk, I., & Santabárbara, D. (2020). El auge del proteccionismo: implicaciones para la economía global. Economistas, (166), 67-79. https://dialnet.unirioja.es/servlet/articulo?codigo=7264506
Graham, M., Kiviaho, J., & Nikkinen, J. (2012). Integration of 22 emerging stock markets: A three-dimensional analysis. Global Finance Journal, 23(1), 34-47. https://doi.org/10.1016/j.gfj.2012.01.003
Harjoto, M. A., & Rossi, F. (2023). Market reaction to the COVID-19 pandemic: evidence from emerging markets. International Journal of Emerging Markets, 18(1) 1, 173-199. https://doi.org/10.1108/IJOEM-05-2020-0545
Harjoto, M. A., Rossi, F., Lee, R., & Sergi, B. S. (2021). How do equity markets react to COVID-19? Evidence from emerging and developed countries. Journal of Economics and Business, 115, 105966. https://doi.org/10.1016/j.jeconbus.2020.105966
Hwang, J.-K. (2014). Spillover Effects of the 2008 Financial Crisis in Latin America Stock Markets. International Advances in Economic Research, 20(3), 311-324. https://doi.org/10.1007/s11294-014-9472-1
Kang, W., Ratti, R. A., & Vespignani, J. (2020). Global commodity prices and global stock market volatility shocks: Effects across countries. Journal of Asian Economics, 71, 101249. https://doi.org/10.1016/j.asieco.2020.101249
López-Herrera, F., & Venegas-Martínez, F. (2012). Integración Financiera México-Estados Unidos: Mercados accionarios y de derivados accionarios. Economía: teoría y práctica, (36), 179-196.
Mellado, C., & Escobari, D. (2015). Virtual integration of financial markets: A dynamic correlation analysis of the creation of the Latin American Integrated Market. Applied Economics, 47(19), 1956-1971. https://doi.org/10.1080/00036846.2014.1002892
Ortegón Rojas, J. A., & Torres Castro, F. A. (2016). El Mercado Integrado Latinoamericano (MILA): Sus expectativas y el impacto del latibex. Sinapsis, 8(2), 121-145.
Rodríguez Benavides, D., Gurrola Ríos, C., & López Herrera, F. (2021). Dependencia de los mercados de valores de Argentina, Brasil y México respecto del estadounidense: Covid19 y otras crisis financieras recientes. Revista Mexicana de Economía y Finanzas Nueva Época, 16(3), 1-18. https://doi.org/10.21919/remef.v16i3.652
Romero-Álvarez, Y. P., Ramírez-Atehortúa, F. H., & Guzmán-Aguilar, D. S. (2013). Mercado Integrado Latinoamericano (MILA): Análisis de correlación y diversificación de los portafolios de acciones de los tres países miembros en el período 2007-2012. Cuadernos de Contabilidad, 14(34), 53-74. https://revistas.javeriana.edu.co/index.php/cuacont/article/view/6067
Sandoval Alamos, E., Vásquez-Párraga, A. Z., & Sabat Arriagada, R. (2015). Integración de los Mercados Accionarios de Chile, Colombia y Perú en el Mercado Integrado Latinoamericano (MILA). Innovar, 25(spe), 71-84. https://doi.org/10.15446/innovar.v25n1spe.53195
Sandoval, E., & Soto, M. (2016). Mercado Integrado Latinoamericano: Un Análisis De Cointegración. Revista Internacional Administración & Finanzas, 9(1), 1-17. https://papers.ssrn.com/abstract=2663684
Sarwar, S., Tiwari, A. K., & Tingqiu, C. (2020). Analyzing volatility spillovers between oil market and Asian stock markets. Resources Policy, 66, 101608. https://doi.org/10.1016/j.resourpol.2020.101608
Sims, C. A. (1980). Macroeconomics and reality. Econometrica, 48(1), 1-48. https://doi.org/10.2307/1912017
Sosa, M., Ortiz, E., & Cabello, A. (2019). International Financial US Linkages: Networks Theory and MS-VAR Analyses. Revista Mexicana de Economía y Finanzas Nueva Época, 14, 459-484. https://doi.org/10.21919/remef.v14i0.418
Syriopoulos, T., Makram, B., & Boubaker, A. (2015). Stock market volatility spillovers and portfolio hedging: BRICS and the financial crisis. International Review of Financial Analysis, 39, 7-18. https://doi.org/10.1016/j.irfa.2015.01.015
Szczygielski, J. J., Bwanya, P. R., Charteris, A., & Brzeszczyński, J. (2021). The only certainty is uncertainty: An analysis of the impact of COVID-19 uncertainty on regional stock markets. Finance Research Letters, 43, 101945. https://doi.org/10.1016/j.frl.2021.101945
Tiwary, D., Das, K. C., Shettigar, J., & Misra, P. (2022). Exchange Rate Volatility and Financial Stress: Evidence from Developing Asia. Journal of Emerging Market Finance, 21(4), 355-384. https://doi.org/10.1177/09726527221078634
Topcu, M., & Gulal, O. S. (2020). The impact of COVID-19 on emerging stock markets. Finance Research Letters, 36, 101691. https://doi.org/10.1016/j.frl.2020.101691
Uribe Gil, J. M., & Mosquera López, S. (2014). Efectos del MILA en la eficiencia de portafolio de los mercados de acciones colombiano, peruano y chileno. Cuadernos de administración, 30(52), 75-83. https://www.redalyc.org/articulo.oa?id=225033236008
Valle, M. A., Lavín, J. F., & Magner, N. S. (2021). Equity Market Description under High and Low Volatility Regimes Using Maximum Entropy Pairwise Distribution. Entropy, 23(10), 1-29. https://doi.org/10.3390/e23101307
Vargas Pulido, W., & Bayardo Martínez, J. (2013). El Mila. Mercado de Integración entre Chile, Perú y Colombia. Revista de Relaciones Internacionales, Estrategia y Seguridad, 8(1), 113-133. https://doi.org/10.18359/ries.67
Vitali, S., Battiston, S., & Gallegati, M. (2016). Financial fragility and distress propagation in a network of regions. Journal of Economic Dynamics and Control, 62, 56-75. https://doi.org/10.1016/j.jedc.2015.10.003
Wu, J., Rasool, Z., Ali, S., & Nazar, R. (2024). Between policy swings and financial shockwaves: Asymmetric impact of economic policy uncertainty on financial stability in high-volatility nations. Socio-Economic Planning Sciences, 95, 102000. https://doi.org/10.1016/j.seps.2024.102000
Yousaf, I., & Ahmed, J. (2018). Mean and Volatility Spillover of the Latin American Stock Markets. Journal of Business & Economics, 10(1), 51-63. https://journals.au.edu.pk/ojs/index.php/jbe/article/view/105
Yousaf, I., Ali, S., Naveed, M., & Adeel, I. (2021). Risk and Return Transmissions From Crude Oil to Latin American Stock Markets During the Crisis: Portfolio Implications. SAGE Open, 11(2). https://doi.org/10.1177/21582440211013800
Yousaf, I., Ali, S., & Wong, W.-K. (2020). Return and Volatility Transmission between World-Leading and Latin American Stock Markets: Portfolio Implications. Journal of Risk and Financial Management, 13(7), 1-19. https://doi.org/10.3390/jrfm13070148
Zhang, D., Hu, M., & Ji, Q. (2020). Financial markets under the global pandemic of COVID-19. Finance Research Letters, 36, 101528. https://doi.org/10.1016/j.frl.2020.101528
Notes
The authors declare that they have no known competing financial interests or personal relationships that could have influenced the work reported in this paper. This research received no external financial or non-financial support. There are no relevant relationships, patents, or intellectual property rights associated with this work, and no additional disclosures.
All authors contributed significantly to the development of this article, with responsibilities as follows:
Juan Manuel Candelo-Viáfara: Methodology, Conceptualization, Software.
María del Pilar Rivera-Diaz: Formal analysis, Writing - Original Draft, Writing - Review & Editing.
Juan Esteban Orrego- Reyes: Data Curation, Visualization.
Información adicional
How to cite: Candelo-Viáfara, J. M., Rivera-Díaz, M. del P., & Orrego-Reyes, J. E. (2025). A Comprehensive Analysis of Stock Index Connectedness and Volatility Spillovers Between Colombia, Brazil, Mexico, Chile, and the United States. Revista CEA, 11(25), e3075. https://doi.org/10.22430/24223182.3075
Información adicional
redalyc-journal-id: 6381