Evaluación multicriterio de las barreras a la exportación en el sector muebles de madera en Antioquia, Colombia
Multicriteria Evaluation of Export Barriers in the Wood Furniture Sector in Antioquia, Colombia
Evaluación multicriterio de las barreras a la exportación en el sector muebles de madera en Antioquia, Colombia
Revista CEA, vol. 11, núm. 26, e3157, 2025
Instituto Tecnológico Metropolitano

Recepción: 03 Junio 2024
Aprobación: 22 Abril 2025
Resumen:
Objetivo: este estudio tuvo como objetivo evaluar empíricamente las barreras a la exportación en el sector específico de muebles de madera en el departamento de Antioquia, Colombia.
Diseño/metodología: se empleó un modelo de análisis multicriterio difuso para determinar la percepción de los exportadores sobre el grado de incidencia de diversas barreras. Estas barreras son clasificadas en internas y externas. Las barreras internas consideradas fueron: logística, producción y talento humano, mientras que las externas fueron: regulatorias, de mercado y de competencia.
Resultados: las barreras externas tuvieron una mayor incidencia (54 %) en comparación con las internas (46 %). Entre las barreras externas, las regulatorias fueron las más destacadas, con un 57 % de incidencia. En cuanto a las barreras internas, las logísticas fueron las más relevantes, con un 63 % de incidencia. En el contexto global, las sub-barreras más críticas identificadas fueron los aranceles (17 %), los altos costos de insumos (15 %) y las leyes ambientales (9 %).
Conclusiones: en el sector de muebles de madera de Antioquia, las barreras externas, especialmente las regulatorias, tienen un mayor impacto en la exportación que las barreras internas. Los aranceles, los altos costos de insumos y las leyes ambientales son los obstáculos más significativos. En el ámbito interno, los desafíos logísticos representan la principal dificultad para las empresas exportadoras.
Originalidad: el estudio contribuye en la identificación de las barreras más relevantes para los exportadores de muebles de madera en Antioquia, Colombia. Esto permite priorizar los esfuerzos para superar los principales obstáculos y facilitar el acceso a los mercados globales. La investigación proporciona información valiosa para abordar los desafíos específicos que enfrentan los exportadores de este sector en la región.
Palabras clave: exportaciones, barreras comerciales, muebles de madera, toma de decisiones, lógica difusa, Códigos JEL: F13, F14, M16, P33.
Abstract:
Objective: This study aims to empirically evaluate the barriers to exporting faced by the wood furniture sector in the department of Antioquia, Colombia.
Design/methodology: A fuzzy multicriteria analysis model was employed to determine exporters’ perceptions of the extent to which various barriers impact their operations. These barriers were classified as either internal or external. Internal barriers included logistics, production, and human talent, while external barriers encompassed regulations, market dynamics, and competition.
Findings: External barriers were found to have a higher impact (54 %) than internal ones (46 %). Among the external barriers, regulations were the most significant, accounting for 57 % of the total impact. As for internal barriers, logistics were the most influential, representing 63 % of the total impact. At the sub-barrier level, the most critical factors identified were tariffs (17%), high input costs (15 %), and environmental regulations (9 %).
Conclusions: In Antioquia’s wood furniture sector, external barriers—especially regulations—exert a stronger influence on export activity than internal factors. For instance, tariffs, high input costs, and environmental regulations emerged as the primary obstacles. On the internal side, logistical difficulties represent the main constraint for exporting companies.
Originality: This study contributes by identifying the most relevant barriers faced by wood furniture exporters in Antioquia, Colombia. These insights can help prioritize efforts to address key obstacles and facilitate access to global markets. The research provides valuable information to address the specific challenges faced by exporters in this sector in the region.
Keywords: exports, trade barriers, wooden furniture, decision making, fuzzy logic, JEL Codes: F13, F14, M16, P33.
Highlights
En el estudio se identifican barreras prioritarias para facilitar el acceso a los mercados globales.
Las barreras externas (54 %) superan a las internas (46 %); las barreras regulatorias y logísticas fueron claves.
Se empleó el análisis multicriterio difuso para captar las percepciones de los exportadores.
Se identificaron elementos críticos para las empresas de exportación como la poca inversión en promoción, la falta de financiación, competencia mundial y desarrollo innovador.
Highlights
The study identifies key export barriers to support better access to global markets.
External barriers (54 %) were more influential than internal ones (46 %), with regulatory and logistical issues being the most critical.
Exporters’ perceptions were captured through a fuzzy multicriteria analysis approach.
Major challenges for exporting companies include limited investment in promotion, inadequate financing, global competition, and competitor innovation.
1. INTRODUCCIÓN
El sector maderero colombiano ocupa una posición importante en la economía nacional en generación de empleo y contribución económica (Martínez-Cortés et al., 2022; 2024). De acuerdo con WWF Colombia (2015), este sector le dio empleo directo e indirecto a cerca de 400 000 personas. Además, Fedemaderas (2022) subraya que el sector maderero mantiene una contribución promedio constante de dos puntos porcentuales al sector agrícola en los últimos años. Los productos de muebles de madera colombianos han experimentado un crecimiento constante, alcanzando 60 millones de dólares en valor exportado durante el último año (Fedemaderas, 2023). No obstante, también es esencial considerar los retos que el sector maderero enfrenta en términos de sostenibilidad y conservación. La deforestación relacionada con esta actividad representa una preocupación crucial, por la afectación a los ecosistemas forestales y la biodiversidad del país (WWF Colombia, 2024). En este contexto, es necesario un enfoque holístico que promueva la gestión forestal sostenible y la implementación de prácticas responsables.
Aunque es bien sabido que la globalización y el comercio internacional han transformado la economía mundial permitiendo a las empresas expandirse más allá de sus fronteras y participar en mercados internacionales (Storper, 1992; Ghauri et al., 2021), también es cierto que el proceso de exportación puede presentar numerosos desafíos y obstáculos (Bertrand et al., 2022; Wei et al., 2023), especialmente para aquellas que se encuentran en sectores muy competitivos y regulados (Leonidou, 1995; Kahiya, 2018). Estas barreras pueden ser de naturaleza arancelaria, como impuestos y regulaciones aduaneras (Olechowski, 1987; Seale y Fairchild, 1994; Escandón et al., 2013), o no arancelarias, como normas de calidad, certificaciones y preferencias del consumidor (Deardorff y Stern, 2005; Turner et al., 2008). Además, factores macroeconómicos como la competitividad de precios y la incertidumbre económica y política pueden intensificar estas barreras y afectar a la capacidad de las empresas para exportar de manera efectiva (Topcu, 2023).
Para el caso particular de la internacionalización de la industria de la madera, Santos Roldán (2014) sostiene que es esencial contar con una visión a largo plazo, compromiso gerencial y adaptar al cambio, modificar el comportamiento organizacional y establecer vínculos internacionales. En este sentido, la implementación de prácticas de manufactura esbelta y la optimización de procesos productivos han demostrado ser estrategias efectivas para mejorar la competitividad y facilitar la internacionalización en la industria del mueble (Abu et al., 2022; Susanty et al., 2022), especialmente en contextos de países en desarrollo (Chowdhury et al., 2015; Abu et al., 2019; Ratnasingam et al., 2022; Uday et al., 2025). Asimismo, la diferenciación, la inversión publicitaria en el extranjero, la realización de estudios de mercado, el sostenimiento de relaciones estables con intermediarios son factores coadyuvantes en este proceso (Kaputa et al., 2016). En la misma línea, Colak et al. (2015) destacan la importancia de motivar a las organizaciones a participar en ferias comerciales para mejorar el comercio de muebles. También, sugieren que se deben implementar proyectos para mejorar la educación de los trabajadores y, así, obtener una mano de obra más calificada en la industria.
Otros estudios exponen obstáculos significativos que enfrenta el sector exportador de muebles de madera. Turner et al. (2008) señalan como principales trabas en Nueva Zelanda las normas contra incendios en Estados Unidos, requerimientos de diseño en Japón y certificaciones de ingeniería. Por su parte, Han et al. (2009) y Wang (2023) indican que las empresas chinas se topan con regulaciones cambiantes sobre los estándares de sus productos, antidumping, alta competencia global y certificaciones de comercio limpio. Por su parte, Sasatani y Eastin (2016) aducen que en Norteamérica las pymes madereras lidian con el desconocimiento de las prácticas foráneas, los altos costos y problemas de diferenciación. Murphy (2012) expone que en Bolivia existen desafíos por tala ilegal, corrupción, falta de tecnología y capital, débiles políticas y relaciones de poder asimétricas. Estos desafíos se ven agravados por la incertidumbre económica y política, que puede afectar la estabilidad de los mercados y las regulaciones, así como por la necesidad de mantener una competitividad de precios en un entorno global cada vez más exigente (Besch, 2005; Topcu, 2023).
Ahora bien, varios estudios han analizado los impedimentos o las limitaciones que afectan el proceso de exportación de bienes colombianos. Escandón et al. (2013) sugieren que las barreras socioculturales, logísticas, financieras y de conocimiento afectan el compromiso exportador de las empresas. Similarmente, Vanegas y Restrepo (2016) y Vanegas López et al. (2017) encuentran limitantes como la falta de personal capacitado, los altos costos de transporte y problemas gerenciales. En el ejercicio empírico de Cardoza et al. (2016), aparte de algunas de estas, aparecen las regulaciones complejas. También es relevante destacar que, además de una estructura gerencial informal y la ausencia de una estrategia global clara, la poca experiencia en los mercados internacionales, así como la ausencia de áreas dedicadas a las exportaciones limita el acceso a mercados (Martínez Carazo, 2009).
Otro tipo de problemáticas subyacentes del sector exportador colombiano también han sido documentadas. Baena Rojas y Londoño Pineda (2020) destacan la dependencia en materias primas y socios comerciales limitados. Escandón-Barbosa et al. (2016) añaden problemas de competitividad doméstica e internacional, influidos por tipos de cambio, costos y contrabando. Por su parte, Lozano (2017) enfatiza en el tema no arancelario, en particular, medidas sanitarias y fitosanitarias, reglas de origen, licencias de importación, requisitos de etiquetado y embalaje y subsidios agrícolas. En síntesis, las investigaciones exponen múltiples niveles de barreras interrelacionadas, desde operativas hasta de política económica, que coinciden en obstáculos logísticos, gerenciales, de política pública y acceso a recursos que limitan el potencial exportador colombiano.
Además, en el contexto de Antioquia, las dificultades logísticas empeoran esta situación. Históricamente, el mal estado de las vías ha supuesto un incremento de los costes y tiempos de transporte hacia los puertos. Por ejemplo, en 2012 se estimaba que el 85 % de la red vial secundaria de Antioquia necesitaba mejoras significativas, una situación que afectaba especialmente a regiones como Urabá, donde el 98 % de las vías secundarias se encontraban en mal estado ese mismo año (Lenis Ballesteros y Rave Herrera, 2015). Para el sector del mueble, los productos de madera son voluminosos y delicados, por lo que estas condiciones suponían un riesgo de daños y retrasos, y afectaban a su competitividad (Dalalah et al., 2022; Kogler y Rauch, 2023). No obstante, los gobiernos posteriores han impulsado significativamente la infraestructura de Antioquia con la puesta en servicio de dos autopistas 4G: Pacífico 2 y Vías del Nus, y de tres iniciativas para mejorar la conexión con el centro del país, entre las que se encuentra el proyecto Santuario-Caño Alegre (Invías, 2022). Proyectos viales como Autopistas Mar 1 y Mar 2, que incluyen el túnel del Toyo (Lenis Ballesteros y Rave Herrera, 2015), buscan mejorar la conectividad hacia la región de Urabá, donde se construye el puerto Antioquia, y anticipan una reducción de los tiempos de tránsito y ahorros significativos en los trayectos desde Medellín y otras ciudades principales (Guerrero Molina y Vásquez Suárez, 2020). Se estima que el puerto Antioquia podría reducir los costos logísticos en 140 millones de dólares estadounidenses por año gracias a su ubicación estratégica e infraestructura moderna (Roldán Logistics, 2024).
El enfoque del presente estudio en las barreras a la exportación se justifica por la necesidad de identificar y comprender los obstáculos específicos a los que se enfrentan las empresas del sector del mueble de madera en Antioquia cuando internacionalizan su actividad. Aunque otros aspectos, como las estrategias de marketing, la innovación en diseño o las capacidades tecnológicas, son importantes para el éxito en los mercados internacionales, las barreras —ya sean arancelarias (impuestos, regulaciones aduaneras) o no arancelarias (normas de calidad, certificaciones)— son obstáculos fundamentales que impiden el acceso a mercados externos. Superarlas es un paso previo y necesario para que las empresas puedan implementar otras estrategias con éxito. Además, mientras la literatura ha explorado ampliamente otros factores relacionados con la exportación en el sector maderero, existe una brecha en el conocimiento específico sobre las barreras en el contexto de Antioquia, lo que subraya la relevancia y la originalidad de este estudio. Comprender en profundidad estas barreras es fundamental para desarrollar políticas y estrategias efectivas que promuevan la exportación en el sector. Por último, el uso de un modelo de análisis multicriterio difuso es particularmente adecuado para este propósito, ya que permite capturar la complejidad y la incertidumbre asociadas con la percepción de los exportadores sobre estos obstáculos y proporcionar una evaluación integral de las barreras (Nguyen, 2022). Específicamente, este modelo permite identificar diferencias significativas en la importancia de las barreras según los dos principales destinos de exportación de los muebles de madera antioqueños: República Dominicana y Panamá, lo que subraya su versatilidad y utilidad para comprender las particularidades de cada mercado.
Con base en lo planteado anteriormente, y considerando que la industria de muebles de madera en Antioquia es reconocida por su excelencia en la producción de muebles de alta calidad y diseño innovador (Salas Navarro y Cortabarría Castañeda, 2014), este estudio aborda una cuestión crucial: ¿cuáles son los principales obstáculos que enfrenta el sector en su proceso de exportación? El propósito central de esta investigación es evaluar empíricamente las barreras a la exportación del sector, utilizando un método multicriterio difuso. Para alcanzar este objetivo, se ha adoptado un enfoque metodológico que integra el análisis de casos de estudio y entrevistas con actores clave en la industria (Schoch, 2020).
2. METODOLOGÍA
Se planteó una estructura de barreras como factor de medición con base en la literatura científica, siguiendo un enfoque cuantitativo con un alcance descriptivo y bajo un diseño transversal no experimental. Luego, se seleccionó un conjunto de expertos empresarios del sector exportador de muebles tomando como referencia los registros de exportación, mediante un muestreo no probabilístico intencional. Posteriormente, se aplicaron dos escalas de medición para recolectar las percepciones empresariales frente a las barreras utilizando un cuestionario estructurado. Y, por último, se implementó un método de análisis multicriterio difuso (FAHP) para determinar las barreras con mayor incidencia.
Estructura jerárquica para la evaluación de las barreras
Se planteó un conjunto de factores objeto de medición a partir de otros estudios que los consideraban barreras incidentes durante la exportación de este tipo de productos (Seale y Fairchild, 1994; Colak et al., 2015; Kaputa et al., 2016). En este sentido, los obstáculos identificados en la literatura para las exportaciones de muebles de madera se clasifican en dos categorías: internas y externas, conformando una estructura jerárquica de cuatro niveles (Figura 1).
Figura 1. Estructura jerárquica propuesta
Figure 1. Proposed hierarchical structure

Figure 1. Proposed hierarchical structure
Fuente: elaboración propia con base en revisión de literatura.En este estudio, se empleó una metodología basada en el proceso analítico jerárquico (AHP, por sus siglas en inglés), un método de decisión multicriterio que permite priorizar criterios y alternativas de manera estructurada. El propósito fue evaluar las barreras a la exportación en el sector de muebles de madera, identificando las más críticas y analizando cómo su importancia varía según los principales destinos de exportación. La estructura jerárquica de tres niveles, alineada con el objetivo general (nivel 0) de «barreras a las exportaciones en el sector de muebles de madera de Antioquia». Este objetivo busca no solo determinar las barreras más relevantes, sino también comprender sus diferencias en función de los destinos de exportación.
Proceso de selección de expertos
Con el propósito de evaluar las barreras a la exportación identificadas y su incidencia en los mercados internacionales compradores, se recolectaron juicios específicamente de empresarios exportadores de muebles de madera. Así pues, para determinar las empresas participantes, se empleó el sistema estadístico de comercio exterior de la Dirección de Impuestos y Aduanas Nacionales (DIAN, 2017) y se filtraron los datos del sector mediante el departamento de origen (Antioquia) y la partida arancelaria 03 del capítulo 94 correspondiente a los códigos 940330 (muebles de madera del tipo de los utilizados en las oficinas), 940340 (muebles de madera del tipo de los utilizados en las cocinas), 940350 (muebles de madera del tipo de los utilizados en los dormitorios) y 940360 (los demás muebles y sus partes de madera). Dicho filtro, arrojó como resultado que 40 empresas antioqueñas exportaron muebles de madera en el año 2017 y que 28 de estas tuvieron como destino principal República Dominicana y Panamá. Posteriormente, se clasificaron los datos de las empresas resultantes en tres categorías con base en el valor FOB anual exportado ($USD) de cada una, siendo categorizadas como empresas de baja (desde $200 000), media (desde $800 000) y alta exportación (desde $2’ 000 000). Luego, se realizó un muestreo no probabilístico intencional sobre las 28 empresas categorizadas, siguiendo lo propuesto por Otzen y Manterola (2017) y tomando 6 empresas exportadoras (2 por cada categoría) responsables del 15 % de las exportaciones del ramo maderero de la región durante el periodo analizado. Finalmente, tras la selección de las empresas, se recolectaron las percepciones y valoraciones exclusivamente de los gerentes o directivos experimentados del área de comercio internacional de cada empresa, usando como criterio de selección su cargo y los años de experiencia en operaciones de exportación. Frente a dicha participación, cabe señalar que todos los gerentes y directivos participantes de las 6 empresas aprobaron su participación mediante un consentimiento informado asociado al proyecto de investigación.
Escala de medición
Se aplicaron cuestionarios telefónicos y electrónicos estructurados, con el fin de obtener las percepciones de los directivos sobre el conjunto de barreras postulado (ver modelo de evaluación de las categorías en el Anexo 1). Para ello, se utilizó la técnica AHP propuesta por Saaty (2006), consistente en una escala de 9 valoraciones comparativas: 1 (igualmente incidentes), 3 (moderadamente más incidente), 5 (fuertemente más incidente), 7 (muy fuertemente más incidente), 9 (extremadamente más incidente), y 2, 4, 6 y 8 para los valores situados entre dos juicios adyacentes. Tras obtener los juicios de los expertos, los términos lingüísticos de la escala AHP se sustituyeron por números triangulares difusos (TFN, por sus siglas en inglés) para permitir el procesamiento mediante conjuntos difusos, como se muestra en la Tabla 1.

Table 1. Scale of linguistic values
Fuente: elaboración propia con base en Aghdaie (2017).Aplicación del modelo AHP difuso (FAHP)
Este modelo creado por Saaty (2006) se centra en establecer un ordenamiento jerárquico, a nivel general y específico, que conforman un determinado contexto complejo en función de la importancia relativa que se les asigna. Sin embargo, es esencial reconocer que tales juicios pueden verse afectados por la vaguedad o imprecisión del pensamiento humano al comparar las variables que componen un problema. Por ello, se combinó con un modelo AHP difuso (FAHP). Así, en este tipo de situaciones, los conjuntos difusos propuestos por Zadeh (1965) permiten representar la información imprecisa de los términos lingüísticos a través de números difusos triangulares (TFN), reduciendo la vaguedad que pueden presentar los veredictos, como se muestra en la Figura 2.

Figure 2. Structure of Triangular Fuzzy Numbers (TFNs)
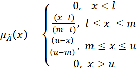
Fuente: elaboración propia basado en Chang (1996).Complementando lo anterior, cada TFN está compuesto por los parámetros l, m y u, los cuales hacen referencia a los valores bajo, medio y alto que describen el evento difuso. Así, en lugar de utilizar valores determinísticos o crisp, los TFN se expresan en límites tanto en izquierda como derecha. Por ejemplo, para corresponde la función de pertenencia descrita en la Ecuación 1.
(1)De manera similar, de acuerdo con Kaufmann y Gupta (1991), cuando se desean operar los TFN à y , expresados como à = (𝑙1, 𝑚1, 𝑢1) y = (𝑙2, 𝑚2, 𝑢2), se deben seguir las leyes de operación para este tipo de sistemas. Teniendo en cuenta la estructura de la función de pertenencia y las leyes aritméticas, a continuación, se describen los pasos seguidos en el modelo FAHP para la determinación de los pesos generales y específicos de las barreras a la exportación evaluadas por los empresarios:
Paso 1: se obtuvieron los juicios de los expertos a partir de la calificación de la estructura jerárquica propuesta.
Paso 2: una vez obtenidos los juicios sobre las barreras, cada una de las calificaciones de nivel general y específico dadas en la escala lingüística se convirtieron en TFN. A partir de ahí, los juicios TFN convertidos se estructuraron en matrices individuales de comparación emparejada entre variables, como se destaca en la Ecuación 2.
(2)Donde
i=j=1,2…, n
Paso 3: buscando sintetizar los juicios en una sola matriz por categoría, las matrices de comparación difusa se combinaron mediante el uso de la media geométrica propuesta por Buckley (1985), como se destaca en la Ecuación 3.
Sea 
(3)Donde
i=j=1,2…, n y 
Paso 4: la consistencia de la matriz combinada de comparación por pares se calcula defuzzificando el número difuso. Se asume que si la matriz de comparación combinada por pares defuzzificada es consistente, entonces la comparación combinada por pares lo será.
Paso 5: siguiendo a Buckley (1985), el peso difuso para cada criterio (i) se calcula usando la media geométrica, como se destaca en las Ecuaciones 4 y 5.
(4)
(5)Donde
y 
Paso 6: tras obtener los pesos difusos finales para cada factor general y específico, los pesos difusos = (𝑙𝑖, 𝑚𝑖, 𝑢𝑖) se defuzzifican utilizando el método de defuzzificación del centro del área (COA por sus siglas en inglés), tal y como sugieren Pehlivan et al. (2017) para obtener el peso final representado por un número crisp y como se destaca en la Ecuación 6.
(6)Paso 7: finalmente, las ponderaciones obtenidas del método de defuzzificación se normalizaron de forma centralizada para que la suma de las proporciones de todas las categorías fuera igual a 1, como se muestra en la Ecuación 7.
(7)3. RESULTADOS
Los resultados del modelo fuzzy AHP aplicado a partir de juicios de expertos permitieron determinar los conjuntos difusos para cada una de las barreras. Los hallazgos reflejaron que las barreras externas presentaron un mayor grado de incidencia con un 54.04 % y las internas alcanzaron un 45.96 % (ver Tabla 2), mostrando que no hay una dimensión completamente dominante sobre la otra, sino que hay una interdependencia mutua.
| Tipo | Pesos difusos | Peso nítido | Peso nítido normalizado | ||
| Barreras internas | 0.3695 | 0.4609 | 0.5702 | 0.4669 | 45.96 % |
| Barreras externas | 0.4355 | 0.5391 | 0.6720 | 0.5489 | 54.04 % |
Table 2. Incidence of general categories (first level)
Fuente: elaboración propia.Del mismo modo, se identificó la incidencia de las barreras en cada categoría, revelando que los empresarios percibieron especialmente como obstáculos las barreras internas relacionadas con la logística y comercialización (63.05 %), seguidas por las organizacionales y operativas (21.79 %) y las del capital humano (15.16 %). Por su parte, entre las barreras externas sobresalieron las relacionadas con legislación (56.70 %), mercado (26.88 %) y entorno (16.42 %), como lo indica la Tabla 3. De acuerdo con estos resultados, la destacada incidencia de las barreras logísticas y comerciales sugiere que puede haber ineficiencias en la gestión de la cadena de suministro y los procesos de distribución, que afectan la competitividad de estas empresas. Mientras tanto, el predominio de las barreras legislativas refleja que puede haber fricción entre los empresarios y el marco regulatorio internacional (aspectos ambientales, fitosanitarios y comerciales) de los productos de madera para ingresar a los mercados internacionales.
| Tipo | Barreras | Pesos difusos | Peso nítido | Peso nítido normalizado | ||
| Internas | Logística y comercialización | 0.4996 | 0.6328 | 0.7965 | 0.6430 | 63.05% |
| Capital humano | 0.1170 | 0.1503 | 0.1965 | 0.1546 | 15.16% | |
| Organizacional y operativa | 0.1681 | 0.2169 | 0.2815 | 0.2222 | 21.79% | |
| Externas | Legislación | 0.4262 | 0.5700 | 0.7532 | 0.5831 | 56.70% |
| Mercado | 0.2024 | 0.2685 | 0.3584 | 0.2764 | 26.88% | |
| Entorno | 0.1190 | 0.1615 | 0.2260 | 0.1688 | 16.42% | |
Table 3. Incidence of barriers (second level)
Fuente: elaboración propia.Continuando con la descripción de los hallazgos, también se logró identificar la importancia relativa de las sub-barreras internas (tercer nivel) pertenecientes a cada una de las barreras previamente establecidas. De este modo, los resultados en la Tabla 4 reflejaron que las sub-barreras internas mayormente incidentes fueron los altos costos de insumos (50.53 %), la carencia de mano de obra calificada (63.53 %) y falta de financiación (45.88 %), en sus respectivos grupos, evidenciando que los empresarios del sector perciben afectaciones asociadas a su cadena de valor y estructura de costos, a la falta de capital humano especializado dentro del sector y a las pocas fuentes de financiación para apalancar sus exportaciones.
| Barreras | Sub-barreras | Pesos difusos | Peso nítido | Peso nítido normalizado | ||
| Logística y comercialización | Transporte | 0.0664 | 0.0890 | 4.8422 | 1.6659 | 9.34 % |
| Calidad y acabado del producto | 0.0339 | 0.0400 | 2.2064 | 0.7601 | 4.26 % | |
| Poca inversión en promoción | 0.1797 | 0.2343 | 12.3809 | 4.2650 | 23.92 % | |
| Problemas de distribución | 0.0865 | 0.1154 | 6.1869 | 2.1296 | 11.94 % | |
| Altos costos de insumos | 0.4046 | 0.5213 | 26.0977 | 9.0079 | 50.53 % | |
| Capital humano | Capacidad de toma de decisiones | 0.2738 | 0.3425 | 0.5608 | 0.3924 | 36.47 % |
| Carencia de mano de obra calificada | 0.3495 | 0.6575 | 1.0437 | 0.6836 | 63.53 % | |
| Organizacional y operativa | Resistencia al cambio | 0.0597 | 0.0783 | 0.1073 | 0.0818 | 7.86 % |
| Falta de capacidad instalada | 0.1981 | 0.2654 | 0.3632 | 0.2756 | 26.50 % | |
| Falta de financiación | 0.3050 | 0.4632 | 0.6632 | 0.4771 | 45.88 % | |
| Riesgo financiero del proveedor | 0.1456 | 0.1930 | 0.2779 | 0.2055 | 19.76 % | |
Table 4. Incidence of internal sub-barriers (third level)
Fuente: elaboración propia.Mientras tanto, las mayores proporciones de incidencia en las sub-barreras externas fueron otorgadas a los aranceles (56.38 %), desarrollo innovador de la competencia (40.94 %) y hábitos o preferencias de consumo (71.67 %), como se expone en la Tabla 5. Dichos resultados prominentes en los aranceles y las preferencias de consumo muestran que hay desafíos importantes tanto desde el punto económico-regulatorio como el cultural-comercial, advirtiendo la necesidad de implementar estrategias integrales que no solo aborden la eficiencia productiva, sino también las particularidades propias de los mercados internacionales.
| Barreras | Sub-barreras | Pesos difusos | Peso nítido | Peso nítido normalizado | ||
| Legislación | Aranceles | 0.4621 | 0.5652 | 0.6874 | 0.5716 | 56.38 % |
| Leyes ambientales | 0.2438 | 0.3005 | 0.3704 | 0.3049 | 30.08 % | |
| Políticas económicas | 0.1107 | 0.1343 | 0.1669 | 0.1373 | 13.54 % | |
| Mercado | Tipo de cambio | 0.0839 | 0.1088 | 0.1450 | 0.1126 | 10.95 % |
| Condiciones del mercado | 0.0942 | 0.1276 | 0.1736 | 0.1318 | 12.82 % | |
| Competencia mundial | 0.2676 | 0.3515 | 0.4690 | 0.3627 | 35.29 % | |
| Desarrollo innovador de la competencia | 0.3039 | 0.4121 | 0.5464 | 0.4208 | 40.94 % | |
| Entorno | Cultura | 0.2243 | 0.2801 | 0.3615 | 0.2887 | 28.33 % |
| Hábitos o preferencias de consumo | 0.5635 | 0.7199 | 0.9079 | 0.7304 | 71.67 % | |
Table 5. Incidence of external sub-barriers (third level)
Fuente: elaboración propia.Con la identificación de las proporciones de las categorías, fue posible calcular el nivel de incidencia global de las sub-barreras equivalente a la importancia relativa de estas frente a las percepciones y juicios de los empresarios exportadores de muebles. En este sentido, los resultados globales indicaron que las sub-barreras con mayor incidencia para el sector exportador de muebles antioqueños fueron los aranceles (17.27 %), los altos costos de insumos (14.64 %) y las leyes ambientales (9.22 %), como se observa en la Figura 3. En contraste, las sub-barreras calificadas como menos incidentes correspondieron a la resistencia al cambio (0.79 %), calidad y acabado del producto (1.24 %) y tipo de cambio (1.59 %). Dichos hallazgos muestran la importancia tanto de los factores internos como los externos en la percepción de los empresarios. Especialmente, sobresale el rol protagónico que tienen las barreras asociadas al marco comercial y regulatorio, como los aranceles y las leyes ambientales, siendo restricciones que limitan el acceso a los mercados internacionales al imponer gravámenes que alteran sustancialmente la estructura de costos y la competitividad de los precios en el mercado, por un lado, y al exigir la adaptación a las regulaciones técnico-ambientales frente a los productos de origen forestal, por el otro. También, es importante mencionar que la incidencia de los costos de los insumos evidencia que el sector presenta vulnerabilidades importantes en la estructura de su cadena de valor que pueden conllevar la disminución de la competitividad en los mercados externos.

Figure 3. Overall incidence of identified sub-barriers
Fuente: elaboración propia.Por último, en el cuarto nivel, la evaluación sobre la incidencia de sub-barreras en los principales mercados, muestran que Panamá presentó ligeramente más restricciones (50.77 %) frente a República Dominicana (49.23 %), como se aprecia en la Tabla 6. No obstante, las proporciones entre ambos son mínimas, indicando un grado de afectación similar. Los hallazgos también señalan que los aranceles, altos costos de insumos, competencia global y desarrollo innovador de competidores tuvieron alta incidencia en los dos países. Dicha uniformidad en los obstáculos en ambos destinos indica que estos pueden responder más a las características estructurales del sector de muebles antioqueños que a las condiciones de los mercados de destino. Así las cosas, aunque con matices, las empresas exportadoras de muebles en Antioquia enfrentan obstáculos equiparables en materia regulatoria, de mercado y talento humano al acceder a estas plazas centroamericanas, por lo que se requiere implementar soluciones transversales que mitiguen las barreras en común entre los mercados y estrategias especificas ajustadas a cada contexto.
| Barreras | Pesos globales | República Dominicana | Panamá | ||||
| Calificación | Valoración | V*PG | Calificación | Valoración | V*PG | ||
| Transporte | 0.0271 | M | 0.3333 | 0.0090 | B | 0.0667 | 0.0018 |
| Calidad y acabado del producto | 0.0124 | B | 0.0667 | 0.0008 | B | 0.0667 | 0.0008 |
| Poca inversión en promoción | 0.0693 | M | 0.3333 | 0.0231 | A | 0.6000 | 0.0416 |
| Problemas de distribución | 0.0346 | M | 0.3333 | 0.0115 | M | 0.3333 | 0.0115 |
| Altos costos de insumos | 0.1464 | A | 0.6000 | 0.0879 | A | 0.6000 | 0.0879 |
| Capacidad de toma de decisiones | 0.0254 | B | 0.0667 | 0.0017 | B | 0.0667 | 0.0017 |
| Carencia de mano de obra calificada | 0.0443 | B | 0.0667 | 0.0030 | B | 0.0667 | 0.0030 |
| Resistencia al cambio | 0.0079 | M | 0.3333 | 0.0026 | M | 0.3333 | 0.0026 |
| Falta de capacidad instalada | 0.0265 | M | 0.3333 | 0.0088 | M | 0.3333 | 0.0088 |
| Falta de financiación | 0.0459 | A | 0.6000 | 0.0276 | M | 0.3333 | 0.0153 |
| Riesgo financiero del proveedor | 0.0198 | A | 0.6000 | 0.0119 | B | 0.0667 | 0.0013 |
| Aranceles | 0.1727 | A | 0.6000 | 0.1036 | A | 0.6000 | 0.1036 |
| Leyes ambientales | 0.0922 | B | 0.0667 | 0.0061 | M | 0.3333 | 0.0307 |
| Políticas económicas | 0.0415 | M | 0.3333 | 0.0138 | M | 0.3333 | 0.0138 |
| Tipo de cambio | 0.0159 | B | 0.0667 | 0.0011 | B | 0.0667 | 0.0011 |
| Condiciones del mercado | 0.0186 | M | 0.3333 | 0.0062 | M | 0.3333 | 0.0062 |
| Competencia mundial | 0.0513 | A | 0.6000 | 0.0308 | A | 0.6000 | 0.0308 |
| Desarrollo innovador de la competencia | 0.0595 | A | 0.6000 | 0.0357 | A | 0.6000 | 0.0357 |
| Cultura | 0.0251 | M | 0.3333 | 0.0084 | M | 0.3333 | 0.0084 |
| Hábitos o preferencias de consumo | 0.0636 | M | 0.3333 | 0.0212 | M | 0.3333 | 0.0212 |
| Puntaje total | 0.4148 | 0.4278 | |||||
| Puntaje normalizado | 0.4923 | 0.5077 | |||||
Table 6. Impact of sub-barriers on current export markets (fourth level)
Fuente: elaboración propia.4. DISCUSIÓN
A continuación, se analizan las barreras internas (como los altos costes de los insumos, la dificultad en la financiación y la carencia de mano de obra calificada) y externas (aranceles, desarrollo innovador de la competencia y hábitos de consumo), organizadas en subsecciones para mayor claridad. Este enfoque permite destacar tanto las similitudes como las diferencias con la literatura existente, así como las contribuciones únicas del estudio.
Los hallazgos reflejan una conjunción de factores internos y externos. Entre los primeros sobresalen los altos costos de insumos, la carencia de mano de obra calificada y la falta de financiación. En cuanto a los segundos, los más relevantes fueron los aranceles, la innovación competitiva y las preferencias de los consumidores. Estos resultados concuerdan con estudios previos. Por ejemplo, Sasatani y Eastin (2016) señalan que los altos costos y la falta de financiación son barreras comunes en este sector. Además, Seale y Fairchild (1994) destacan que los aranceles y las condiciones del mercado, como la competencia global, pueden obstaculizar las exportaciones. Estos hallazgos coinciden con lo expuesto por Besch (2005), quien destaca la presión de los costes en la competitividad de los precios, y por Topcu (2023), que subraya el impacto de la incertidumbre económica en los sectores manufactureros.
En el ámbito de los obstáculos internos, muchos estudios han identificado el coste de las materias primas como una barrera significativa para las empresas exportadoras. Leonidou (1995) reveló que estos costes eran una preocupación considerable para muchas pequeñas y medianas empresas, especialmente en sectores dependientes de materiales costosos o difíciles de obtener, como el de los muebles de madera. Kahiya (2018) mostró que este problema se agrava en industrias con precios volátiles de las materias primas, mientras que Han et al. (2008) y Kaputa et al. (2016) sugieren que estas fluctuaciones pueden hacer que la exportación sea menos viable desde el punto de vista financiero, especialmente en regiones como Antioquia, donde la dependencia de insumos externos reduce la competitividad de las empresas locales de menor tamaño. La falta de financiación, por su parte, también se alinea con lo expuesto por Seale y Fairchild (1994) y Kahiya (2018), que evidenciaron cómo la limitada capacidad de acceso a créditos refleja un problema estructural, problema que también es persistente en economías emergentes como la colombiana. Respecto a las barreras externas, los aranceles reducen la competitividad en mercados clave como Estados Unidos y la Unión Europea, un fenómeno también observado en estudios de políticas comerciales manufactureras (Seale y Fairchild, 1994). Además, el desarrollo innovador de la competencia, según Ratnasingam et al. (2022), refleja una brecha en I+D frente a clústeres globales, mientras que los hábitos de consumo, influenciados por preferencias sostenibles (WWF Colombia, 2024), desafían a las empresas antioqueñas a adaptarse rápidamente a estándares internacionales.
En este sentido, las empresas pueden implementar estrategias para mitigar estos obstáculos. Por ejemplo, desde el punto de vista productivo, pasar de ser un fabricante de equipos originales a uno de diseños o marcas propias (Han et al., 2009). Centrarse en la innovación, la diferenciación de productos y la calidad en vez de solo competir en precios (Kaputa et al., 2016). De igual forma, exportar productos madereros transformados de mayor valor agregado, que les permita a las empresas transitar más allá de los commodities (Turner et al., 2008). También, fortalecer las relaciones en la cadena de suministro para generar mayor estabilidad y menores costos de materias primas, al tiempo que podría ser plausible deslocalizar la producción a lugares con insumos más baratos para reducir los costos de fabricación. Entretanto, para abordar la falta de financiación, son fundamentales las alianzas estratégicas con programas gubernamentales que ofrezcan incentivos fiscales, ayudas para la financiación de exportaciones y acuerdos comerciales para reducir aranceles (Seale y Fairchild, 1994), así como redes de financiación y cobertura de divisas para gestionar riesgos (Kahiya, 2018). En cuanto a la carencia de mano de obra competente, Colak et al. (2015) argumentan que es un problema clave en industrias técnicamente complejas, mientras que Martínez Carazo (2009) señala que la falta de departamentos dedicados a la gestión de exportaciones restringe el crecimiento. Para superar dichas limitaciones, son esenciales las inversiones en formación (Kaputa et al., 2016), así como la motivación de los directivos y los departamentos especializados en I+D, producción y marketing (Martínez Carazo, 2009; Colak et al., 2015).
A pesar de las similitudes con la literatura existente, los resultados de este estudio difieren en ciertos aspectos clave. Por ejemplo, Santos Roldán (2014) profundiza en la logística y los daños en el transporte como desafíos específicos para la exportación de muebles, así como en la poca confianza en los consorcios de exportación, temas que no emergieron como los principales en el presente análisis. Esta diferencia podría deberse a variaciones en la infraestructura logística o en las dinámicas de colaboración entre empresas en Antioquia y en el contexto andaluz. Asimismo, Colak et al. (2015) hacen hincapié en la importancia de tener una base sólida en el mercado doméstico como requisito previo para la exportación, un aspecto que no se aborda explícitamente en este estudio, que se centra más en las barreras inmediatas a las que se enfrentan las empresas cuando intentan exportar. Esta divergencia podría reflejar una prioridad distinta en el sector antioqueño, donde la internacionalización se percibe como una estrategia de diversificación ante la competencia local.
Adicionalmente, aunque Kaputa et al. (2016) mencionan la legislación como una barrera externa general, este estudio destaca específicamente las leyes ambientales como una tercera barrera significativa, lo que constituye una diferencia notable. Las certificaciones de gestión forestal sostenible emergen como herramientas estratégicas para transformar esta barrera en una oportunidad, respaldadas por WWF Colombia (2024), que documenta un incremento progresivo en la demanda de muebles sostenibles. Asimismo, la Netherlands Enterprise Agency (2023) subraya la necesidad de transformar proactivamente las prácticas de abastecimiento y producción para mantener el acceso a mercados con alta conciencia ambiental, lo que diferencia este estudio del análisis más genérico sobre legislación.
La discusión anterior identificó múltiples estrategias para mitigar las barreras a la exportación, pero no todas son igualmente aplicables a las realidades empresariales de la locación estudiada, debido a su contexto económico, político y social. Si bien Antioquia es la segunda economía del país, presenta una fuerte dependencia de las exportaciones de materias primas, costes de producción elevados, infraestructura limitada, desafíos sociales y falta de formación especializada. Algunas estrategias concretas que se pueden mencionar son la innovación, la diferenciación de productos y la calidad, ámbitos en los que las empresas pueden invertir en investigación y desarrollo, colaborar con universidades o centros tecnológicos y participar en ferias internacionales para adoptar tendencias innovadoras. Otra estrategia podría ser la exportación de productos madereros transformados de mayor valor agregado que permitan identificar nichos de mercado (por ejemplo, muebles de lujo o sostenibles), desarrollar marcas propias y mejorar procesos para garantizar estándares de calidad internacionales. También es plausible que, a través de la búsqueda de alianzas estratégicas para acceder a programas gubernamentales, algunas empresas se informen y participen en iniciativas como los incentivos fiscales para exportadores o los programas de ProColombia, siempre y cuando cumplan con los requisitos establecidos. Desde el punto de vista de las inversiones en formación para aumentar los conocimientos sobre exportaciones, es necesario participar en capacitaciones de ProColombia, contratar consultores especializados o establecer programas internos de formación en comercio internacional. Otro elemento clave es el desarrollo de la motivación de los directivos para explorar nuevos mercados, donde se ofrezcan incentivos (bonificaciones por alcanzar metas de exportación) y se promueva una cultura empresarial orientada a la internacionalización mediante talleres y ejemplos de casos de éxito.
Complementando lo anterior, la literatura reciente destaca que la manufactura esbelta podría ser una estrategia viable para el contexto antioqueño. En este sentido, Abu et al. (2019), Ratnasingam et al. (2022) y Uday et al. (2025) documentan mejoras significativas en productividad y reducción de plazos de entrega mediante la implementación de técnicas como el mapeo del flujo de valor y la optimización de plantas en industrias del mueble en países en desarrollo. Ante ello, Chowdhury et al. (2015) señala que estas prácticas han demostrado efectividad específica en el sector maderero, mitigando potencialmente la barrera de altos costos de insumos identificada como crítica en el estudio.
5. CONCLUSIONES
Este estudio ha permitido una comprensión más profunda de las barreras que, al exportar, enfrentan las empresas del sector de muebles de madera. El análisis ha demostrado que, aunque existen varias barreras tanto internas como externas, las más significativas fueron los aranceles, seguidas de los altos costos de insumos y la legislación ambiental. Estos hallazgos resaltan la necesidad de enfocar estrategias en la reducción de costos de insumos, capacitación laboral, adaptación a normativas ambientales y arancelarias, y desarrollo de productos alineados con las preferencias de los mercados internacionales.
Las empresas de exportación de muebles antioqueñas enfrentan desafíos en República Dominicana y Panamá. Aunque Panamá experimenta un impacto ligeramente mayor en comparación con la República Dominicana, ambos mercados presentan retos similares. Aspectos como la poca inversión en promoción y la falta de financiación, además de la intensa competencia mundial y el desarrollo innovador de la competencia, son elementos críticos que estas empresas deben abordar. Este análisis subraya la necesidad de desarrollar estrategias específicas y bien dirigidas para superar estos obstáculos, lo que es crucial para mejorar la eficacia en los esfuerzos de exportación de muebles desde Antioquia hacia estos mercados internacionales.
Como con cualquier estudio, se reconocen algunas limitaciones. En primer lugar, el estudio se basa en las percepciones de un conjunto de expertos, y sus opiniones podrían no ser representativas de todas las empresas del sector de muebles de madera. En segundo lugar, aunque el método FAHP proporciona una evaluación flexible y precisa de las barreras, también implica un grado de incertidumbre y subjetividad. En tercer lugar, se reconoce que otra de las limitantes del estudio fue no evaluar alternativas directamente usando el modelo FAHP. En cuarto lugar, el estudio se centra en un solo sector, en una región específica, lo que podría limitar la generalización de sus hallazgos.
Por último, con base en los elementos de novedad identificados, se proponen las siguientes líneas de investigación futura: i) un análisis más exhaustivo de las barreras para la implementación de la fabricación esbelta en la industria del mueble de Antioquia, teniendo en cuenta las particularidades del contexto regional; ii) la exploración de métodos alternativos de agregación difusa para profundizar en la interrelación y priorización de las barreras; iii) el estudio del ecosistema industrial más amplio, que incluya la cadena de suministro y las relaciones interempresariales, para diseñar estrategias de divulgación adaptadas; iv) la investigación detallada sobre cómo transformar las regulaciones ambientales en oportunidades de diferenciación competitiva ante la creciente demanda de productos sostenibles y las nuevas normativas internacionales; v) el análisis de la efectividad de alianzas estratégicas con programas como ProColombia para mitigar barreras financieras y de acceso a mercados; vi) los estudios sobre la implementación de programas de formación en comercio internacional para abordar la falta de mano de obra cualificada y fomentar una cultura empresarial orientada a la internacionalización.
REFERENCIAS
Abu, F., Gholami, H., Saman, M. Z. M., Zakuan, N., y Streimikiene, D. (2019). The implementation of lean manufacturing in the furniture industry: A review and analysis on the motives, barriers, challenges, and the applications. Journal of Cleaner Production, 234, 660-680. https://doi.org/10.1016/j.jclepro.2019.06.279
Abu, F., Saman, M. Z. M., Garza-Reyes, J. A., Gholami, H., y Zakuan, N. (2022). Challenges in the implementation of lean manufacturing in the wood and furniture industry. Journal of Manufacturing Technology Management, 33(1), 103-123. https://doi.org/10.1108/JMTM-01-2021-0029
Aghdaie, M. A. (2017). Data mining group decision-making with FAHP: An application in supplier evaluation and segmentation. En A. Emrouznejad, y W. Ho (aut.), Fuzzy Analytic Hierarchy Process (pp. 99-124). Chapman and Hall/CRC. https://www.taylorfrancis.com/chapters/edit/10.1201/9781315369884-4/data-mining-group-decision-making-fahp-mohammad-hasan-aghdaie
Baena Rojas, J. J., y Londoño Pineda, A. A. (2020). Tariff barriers and non-tariff barriers: appraising Colombia's protectionism. World Customs Journal, 14(1), 71-93. https://doi.org/10.55596/001c.116310
Bertrand, O., Betschinger, M. A., y Brea-Solís, H. (2022). Export barriers for SMEs in emerging countries: A configurational approach. Journal of Business Research, 149, 412-423. https://doi.org/10.1016/j.jbusres.2022.05.045
Besch, K. (2005). Product-service systems for office furniture: barriers and opportunities on the European market. Journal of Cleaner Production, 13(10-11), 1083-1094. https://doi.org/10.1016/j.jclepro.2004.12.003
Buckley, J. (1985). Fuzzy hierarchical analysis. Fuzzy Sets and Systems, 17(3), 233-247. https://doi.org/10.1016/0165-0114(85)90090-9
Cardoza, G., Fornes, G., Farber, V., Gonzalez Duarte, R., y Ruiz Gutierrez, J. (2016). Barriers and public policies affecting the international expansion of Latin American SMEs: Evidence from Brazil, Colombia, and Peru. Journal of Business Research, 69(6), 2030-2039. https://doi.org/10.1016/j.jbusres.2015.10.148
Chang, D. (1996). Applications of the extent analysis method on fuzzy AHP. European Journal of Operational Research, 95(3), 649-655. https://doi.org/10.1016/0377-2217(95)00300-2
Chowdhury, S., Haque, K. A., y Sumon, M. (2015). Implementation of Lean Strategies in a Furniture Manufacturing Factory. Journal of Mechanical and Civil Engineering, 12(1), 45-50. https://www.iosrjournals.org/iosr-jmce/papers/vol12-issue1/Version-3/H012134550.pdf
Colak, M., Cetin, T., y Engin, B. (2015). Reasons for inability of organizations furniture industry to get into international markets. Procedia Economics and Finance, 26, 818-826. https://doi.org/10.1016/S2212-5671(15)00886-2
Dalalah, D., Khan, S. A., Al-Ashram, Y., Albeetar, S., Abou Ali, Y., y Alkhouli, E. (2022). An integrated framework for the assessment of environmental sustainability in wood supply chains. Environmental Technology & Innovation, 27, 102429. https://doi.org/10.1016/j.eti.2022.102429
Dirección de Impuestos y Aduanas Nacionales. (2017). Estadísticas de comercio exterior.https://www.dian.gov.co/dian/cifras/Paginas/EstadisticasComEx.aspx
Deardorff, A. V., y Stern, R. M. (2005). Empirical analysis of barriers to international services transactions and the consequences of liberalization. En Quantitative Methods for Assessing The Effects Of Non-Tariff Measures And Trade Facilitation (pp. 549-609).
Escandón, D. M., Hurtado Ayala, A., y Castillo Caicedo, M. (2013). Influencia de las barreras a la exportación sobre el compromiso exportador y su incidencia en los resultados internacionales. Revista Ean, (75), 38-55. https://doi.org/10.21158/01208160.n75.2013.770
Escandón-Barbosa, D., Hernandez-Espallardo, M., y Rodriguez, A. (2016). International market orientation and international outcomes. Global Economy Journal, 16(4), 669-696. https://doi.org/10.1515/gej-2015-0037
Fedemaderas. (2022). Boletín Estadístico Forestal 2022. Federación Nacional de Industriales de la Madera. https://fedemaderas.org.co/boletin-estadistico-forestal-2022/
Fedemaderas. (2023). Exportaciones colombianas de muebles. Federación Nacional de Industriales de la Madera. https://fedemaderas.org.co/exportaciones-colombianas-de-muebles/
Ghauri, P., Strange, R., y Cooke, F. (2021). Research on international business: The new realities. International Business Review, 30(2), 101794. https://doi.org/10.1016/j.ibusrev.2021.101794
Guerrero Molina, M. I., y Vásquez Suárez, Y. A. (2020). Características de la logística y la infraestructura de Puerto Antioquia, en las exportaciones antioqueñas. En-Contexto, 8(13), 169-193. https://doi.org/10.53995/23463279.717
Han, X., Wen, Y., y Kant, S. (2009). The global competitiveness of the Chinese wooden furniture industry. Forest Policy and Economics, 11(8), 561-569. https://doi.org/10.1016/j.forpol.2009.07.006
Invías. (2022, 4 de marzo). Con una inversión superior a los 23 billones de pesos, el Gobierno nacional a través del sector transporte promueve la competitividad del departamento de Antioquia. Instituto Nacional de Vías. https://www.invias.gov.co/index.php/informacion-institucional/43-inicio/4474-con-una-inversion-superior-a-los-23-billones-de-pesos-el-gobierno-nacional-a-traves-del-sector-transporte-promueve-la-competitividad-del-departamento-de-antioquia
Kahiya, E. T. (2018). Five decades of research on export barriers: Review and future directions. International Business Review, 27(6), 1172-1188. https://doi.org/10.1016/j.ibusrev.2018.04.008
Kaputa, V., Paluš, H., y Vlosky, R. (2016). Barriers for wood processing companies to enter foreign markets: a case study in Slovakia. European Journal of Wood and Wood Products, 74, 109-122. https://doi.org/10.1007/s00107-015-0954-5
Kaufmann, A., y Gupta, M. M. (1991). Introduction to fuzzy arithmetic: Theory and applications. Van Nostrand Reinhold.
Kogler, C., y Rauch, P. (2023). Lead time and quality driven transport strategies for the wood supply chain. Research in Transportation Business & Management, 47, 100946. https://doi.org/10.1016/j.rtbm.2023.100946
Lenis Ballesteros, C. A., y Rave Herrera, C. C. (2015). Antioquia en vías. Rutas para la transformación. Gobernación de Antioquia / Centro de Ciencia y Tecnología de Antioquia.
Leonidou, L. (1995). Empirical research on export barriers: review, assessment, and synthesis. Journal of International Marketing, 3(1), 29-43. https://doi.org/10.1177/1069031X950030010
Lozano, A. R. (2017). Las barreras no arancelarias, como dificultad a superar para exportar a Canadá por productores colombianos. Revista Logos, Ciencia & Tecnología, 8(2), 221-234. https://doi.org/10.22335/rlct.v8i2.311
Martínez Carazo, P. C. (2009). Proceso del desarrollo exportador de la PYME colombiana. Cuadernos de Gestión, 9(1), 47-65. https://doi.org/10.5295/cdg.19081pm
Martínez-Cortés, O. G., Kant, S., y Isufllari, H. (2024). Forest sector models for tropical countries-A case study of Colombia. Forest Policy and Economics, 169, 103341. https://doi.org/10.1016/j.forpol.2024.103341
Martínez-Cortés, O. G., Kant, S., y Isufllari, H. (2022). An analysis of wood availability under six policy scenarios of commercial forest plantations in Colombia. Forest Policy and Economics, 138, 102722. https://doi.org/10.1016/j.forpol.2022.102722
Murphy, J. T. (2012). Global production networks, relational proximity, and the sociospatial dynamics of market internationalization in Bolivia's wood products sector. Annals of the Association of American Geographers, 102(1), 208-233. https://doi.org/10.1080/00045608.2011.596384
Netherlands Enterprise Agency. (2023). Agro-logistics in the Colombian Caribbean. https://www.rvo.nl/files/file/2023-04/Agro-logistics%20in%20the%20Colombian%20Caribbean.pdf
Nguyen, P. H. (2022). Two-Stage PLS-SEM and Fuzzy AHP Approach to Investigate Vietnamese SMEs' Export Competitiveness. Computers, Materials & Continua, 72(2), 4107-4123. https://doi.org/10.32604/cmc.2022.026286
Olechowski, A. (1987). Barriers to trade in wood and wood products. En M. Kallio, D. P. Dykstra, y C. S. Binkley (eds.), The Global Forest Sector: An Analytical Perspective (pp. 371-390). Jhon Wiley & Sons.
Otzen, T., y Manterola, C. (2017). Técnicas de Muestreo sobre una Población a Estudio. International Journal of Morphology, 35(1), 227-232. http://dx.doi.org/10.4067/S0717-95022017000100037
Pehlivan, N., Paksoy, T., y Çalik, A. (2017). Comparison of Methods in FAHP with Application in Supplier Selection. En A. Emrouznejad y W. Ho (eds.), Fuzzy Analytic Hierarchy Process (pp. 45-76). CRC Press. https://www.taylorfrancis.com/chapters/edit/10.1201/9781315369884-3/comparison-methods-fahp-application-supplier-selection-nimet-yapici-pehlivan-turan-paksoy-ahmet-%C3%A7alik
Ratnasingam, J., Zbieć, M., Liat, L. C., Ab Latib, H., Othman, K., Amir, M. A., y Jegatheswaran, N. (2022). Status of Lean Manufacturing Practices and Its Influence on the Adoption of Industry 4.0 in the Malaysian Furniture Industry. Annals of Warsaw University of Life Sciences-SGGW. Forestry and Wood Technology, 119, 5-23. https://wulsannals.com/article/160764/en
Roldán Logistics. (2024, 20 de mayo). Puerto Antioquia: nuevo epicentro logístico de Colombia. https://www.roldanlogistics.com/post/puerto-antioquia-nuevo-epicentro-logístico-de-colombia
Saaty, T. (2006). Fundamentals of decision making and priority theory with the analytic hierarchy process (Vol. VI of the AHP series). RWS Publications.
Salas Navarro, K., y Cortabarría Castañeda, L. (2014). Análisis competitivo del sector madera y muebles de la región Caribe de Colombia. Prospectiva, 12(1), 79-89. https://doi.org/10.15665/rp.v12i1.154
Santos Roldán, L. (2014). Factores de éxito en la internacionalización de las empresas del mueble en Andalucía [tesis doctoral, Universidad de Córdoba]. Helvia UCO. http://hdl.handle.net/10396/11794
Sasatani, D., y Eastin, I. L. (2016). Significant factors impacting export decisions of small-and medium-sized softwood sawmill firms in North America. Canadian Journal of Forest Research, 46(1), 67-76. https://doi.org/10.1139/cjfr-2015-0202
Schoch, K. (2020). Case study research. En G. J. Burkholder, K. A. Cox, L. M. Crawford, y J. H. Hitchcock (eds.), Research Design and Methods: An Applied Guide for the Scholar-Practitioner (pp. 245-258). Sage.
Seale, J. L., y Fairchild, G. F. (1994). Trade agreements, competition, and the environment: Gridlock at the crossroads. Journal of Agricultural and Applied Economics, 26(1), 97-107.
Storper, M. (1992). The limits to globalization: technology districts and international trade. Economic Geography, 68(1), 60-93. https://doi.org/10.2307/144041
Susanty, A., Sumiyati, L. S., Syaiful, S., y Nihlah, Z. (2022). The impact of lean manufacturing practices on operational and business performances at SMES in the wooden furniture industry. International Journal of Lean Six Sigma, 13(1), 203-231. https://doi.org/10.1108/IJLSS-08-2020-0124
Topcu, Y. E. (2023). The comparative advantages in the wooden furniture industry: does the export price matter? Competitiveness Review: An International Business Journal, 33(6), 1145-1160. https://doi.org/10.1108/CR-03-2022-0045
Turner, J. A., Buongiorno, J., Zhu, S., y Maplesden, F. (2008). Effect of non-tariff barriers on secondary processed wood product trade: New Zealand exports to the United States, China and Japan. New Zealand Journal of Forestry Science, 38(2/3), 299-319. https://www.scionresearch.com/__data/assets/pdf_file/0003/5583/NZJFS382_32008TURNER299_321.pdf
Uday, R. M., Salman, S., Karim, M. R., Ar Salan, M. S., Islam, M., y Shahriar, M. (2025). Assessing the barriers to lean manufacturing adoption in the furniture industry of Bangladesh: a fuzzy-DEMATEL study. International Journal of Industrial Engineering and Operations Management, 7(1), 44-67. https://doi.org/10.1108/IJIEOM-07-2023-0060
Vanegas López, J. G., Merlos García, J. J., y Mayorga Abril, C. M. (2017). Flower export barriers: a comparative study in Colombia, Mexico and Ecuador. Latin American Business Review, 18(3-4), 227-250. https://doi.org/10.1080/10978526.2017.1354705
Vanegas, J. G., y Restrepo, J. A. (2016). Factores que afectan el posicionamiento de productos en el exterior: el caso del sector floricultor antioqueño. Civilizar Ciencias Sociales y Humanas, 16(30), 145-160. http://www.scielo.org.co/pdf/ccso/v16n30/v16n30a11.pdf
Wang, Q. (2023). Research on the Problems and Countermeasures of China's Wooden Furniture Product Exports. Frontiers in Business, Economics and Management, 7(3), 57-64. https://doi.org/10.54097/fbem.v7i3.5339
Wei, H., Tu, Y., y Zhou, P. (2023). Technical barriers to trade and export performance: Comparing exiting and staying firms. Economic Modelling, 126, 106439. https://doi.org/10.1016/j.econmod.2023.106439
WWF Colombia. (2015). Informe: causas de la ilegalidad de la madera en Colombia un estudio sobre los flujos del comercio de la madera, los actores y los impactos de la tala ilegal. El Bando Creativo. https://wwflac.awsassets.panda.org/downloads/ilegalidadmadera_m3_b18_c5_web.pdf
WWF Colombia. (2024, 12 de febrero). Los devastadores impactos de la deforestación en Colombia. https://www.wwf.org.co/?386550/deforestacion-colombia-causas-consecuencias/
Zadeh, L. A. (1965). Fuzzy Sets*. Information and Control, 8(3), 338-353. https://doi.org/10.1016/S0019-9958(65)90241-X
Anexos
Anexo 1. Modelo de evaluación de las categorías
Diferentes estudios nacionales o internacionales han demostrado la presencia de barreras y obstáculos que presentan las empresas a la hora de posicionar sus productos en los mercados internacionales. A continuación, encontrará las principales barreras identificadas en el contexto del sector de la madera. El objetivo es que, como experto, desde su experiencia compare dos alternativas según su importancia y las califique (valore) en una escala de 1 a 9.
Marque con una (X) la alternativa que considere más importante entre las dos opciones de cada fila.
Una vez marcada la opción, utilice la escala de valoración entre 1 y 9 para calificar qué tan importante es la opción seleccionada respecto a la contraria.
| ESCALA DE VALORACIÓN | |
| Si la alternativa X es.... qué Y | # |
| Igualmente importante | 1 |
| Apenas más importante | 3 |
| Bastante importante | 5 |
| Mucho más importante | 7 |
| Absolutamente importante | 9 |
1) A continuación, se necesita que compare y valore cada una de las subcategorías de obstáculos a las exportaciones con el fin de establecer cuáles son los más importantes dentro de cada grupo. Compare cada uno de los pares de ellas, marque con una X el que considere más importante y califique esa importancia en una escala de 1 a 9.
| Obstáculo X | Obstáculo Y | Valoración |
| Logística y comercialización | ||
| Transporte ( ) | Calidad y acabado del producto ( ) | |
| Transporte ( ) | Poca inversión en promoción ( ) | |
| Transporte ( ) | Problemas de distribución ( ) | |
| Transporte ( ) | Altos costos de insumos ( ) | |
| Calidad y acabado del producto ( ) | Poca inversión en promoción ( ) | |
| Calidad y acabado del producto ( ) | Problemas de distribución ( ) | |
| Calidad y acabado del producto ( ) | Altos costos de insumos ( ) | |
| Poca inversión en promoción ( ) | Problemas de distribución ( ) | |
| Poca inversión en promoción ( ) | Altos costos de insumos ( ) | |
| Problemas de distribución ( ) | Altos costos de insumos ( ) | |
| Capital humano | ||
| Capacidad de toma de decisiones ( ) | Carencia de mano de obra calificada (..) | |
| Organizacional y operativa | ||
| Resistencia al cambio ( ) | Falta de capacidad instalada ( ) | |
| Resistencia al cambio ( ) | Falta de financiación ( ) | |
| Resistencia al cambio ( ) | Riesgo financiero del proveedor ( ) | |
| Falta de capacidad instalada ( ) | Falta de financiación ( ) | |
| Falta de capacidad instalada ( ) | Riesgo financiero del proveedor ( ) | |
| Falta de financiación ( ) | Riesgo financiero del proveedor ( ) | |
| Legislación | ||
| Aranceles ( ) | Leyes ambientales ( ) | |
| Aranceles ( ) | Políticas económicas ( ) | |
| Leyes ambientales ( ) | Políticas económicas ( ) | |
| Mercado | ||
| Tipo de cambio ( ) | Condiciones del mercado ( ) | |
| Tipo de cambio ( ) | Competencia mundial ( ) | |
| Tipo de cambio ( ) | Desarrollo innovador de la competencia ( ) | |
| Condiciones del mercado ( ) | Competencia mundial ( ) | |
| Condiciones del mercado ( ) | Desarrollo innovador de la competencia ( ) | |
| Competencia mundial ( ) | Desarrollo innovador de la competencia ( ) | |
| Entorno | ||
| Cultura ( ) | Hábitos o preferencias de consumo ( ) | |
2) ¿Cuál de los siguientes obstáculos incide más en el momento en que una empresa del sector de la madera decida exportar? Compare cada una de las parejas de obstáculos, marque con una X el que considere más importante y califique esa importancia en una escala de 1 a 9.
| Obstáculo X | Obstáculo Y | Valoración |
| Logística y comercialización ( ) | Capital humano ( ) | |
| Logística y comercialización ( ) | Organizacional y operativa ( ) | |
| Logística y comercialización ( ) | Legislación ( ) | |
| Logística y comercialización ( ) | Mercado ( ) | |
| Logística y comercialización ( ) | Entorno ( ) | |
| Capital humano ( ) | Organizacional y operativa ( ) | |
| Capital humano ( ) | Legislación ( ) | |
| Capital humano ( ) | Mercado ( ) | |
| Capital humano ( ) | Entorno ( ) | |
| Organizacional y operativa ( ) | Legislación ( ) | |
| Organizacional y operativa ( ) | Mercado ( ) | |
| Organizacional y operativa ( ) | Entorno ( ) | |
| Legislación ( ) | Mercado ( ) | |
| Legislación ( ) | Entorno ( ) | |
| Mercado ( ) | Entorno ( ) |
3) ¿Cuáles de los siguientes destinos de exportación cree que son más propensos a presentar las barreras identificadas anteriormente? En este caso, tiene tres alternativas de valoración: obstáculos altos a la exportación (A), obstáculos medios a la exportación (M), obstáculos bajos a la exportación (B).
| Obstáculo / Destino | República Dominicana | Panamá |
| Transporte | ||
| Calidad y acabado del producto | ||
| Poca inversión en promoción | ||
| Problemas de distribución | ||
| Altos costos de insumos | ||
| Capacidad de toma de decisiones | ||
| Carencia de mano de obra calificada | ||
| Resistencia al cambio | ||
| Falta de capacidad instalada | ||
| Falta de financiación | ||
| Riesgo financiero del proveedor | ||
| Aranceles | ||
| Leyes ambientales | ||
| Políticas económicas | ||
| Tipo de cambio | ||
| Condiciones del mercado | ||
| Competencia mundial | ||
| Desarrollo innovador de la competencia | ||
| Cultura | ||
| Hábitos o preferencias de consumo |
Notas
Los autores declaran que no presentan conflictos de interés financiero, profesional o personal que pueda influir de forma inapropiada en los resultados obtenidos o las interpretaciones propuestas.
Para el desarrollo de este proyecto todos los autores han realizado una contribución significativa, especificada a continuación:
Juan Gabriel Vanegas-López: diseñó la metodología de investigación y participó en la redacción del manuscrito.
Verónica Marcela Morales-Sánchez: participó en el proceso de recolección de datos, contribuyó al desarrollo de la metodología de investigación y colaboró con la revisión de literatura.
Diego Alejandro López-Cadavid: participó en el análisis de datos, contribuyó al desarrollo de la metodología y estuvo involucrado en la redacción del manuscrito.
Jorge Aníbal Restrepo-Morales: Desarrolló el marco conceptual, redactó el manuscrito y lideró el proyecto.
Información adicional
Cómo citar / How to cite: Vanegas-López, J. G., Morales-Sánchez, V. M., López-Cadavid, D. A., y Restrepo-Morales, J. A. (2025). Evaluación multicriterio de las barreras a la exportación en el sector muebles de madera en Antioquia, Colombia. Revista CEA, 11(26), e3157. https://doi.org/10.22430/24223182.3157
Información adicional
redalyc-journal-id: 6381