Original articles
Received: 17 June 2022
Accepted: 19 May 2023
DOI: https://doi.org/10.15446/ing.investig.103232
ABSTRACT: The availability of data on physicochemical properties is crucial to direct efforts towards identifying the quality standards of the Neotropical stingless bee Melipona beecheii's pot-honey. In this vein, other properties apart from those typically considered for Apis mellifera could also be relevant in characterizing the honey of this stingless bee. The physicochemical, rheological, and thermal properties of pot-honey from Melipona beecheii (Yucatán, México) were analyzed. Samples were collected from two annual harvests (2018 and 2019) and from a rural and an urban location. Free acidity, moisture, total reducing sugars, diastase activity, hydroxymethylfurfural content, and electrical conductivity were measured using standard techniques. The rheological and thermal behaviors were determined via Couette rheometry and differential scanning calorimetry, respectively. The physicochemical properties of Melipona beecheii pot-honey can be incorporated into a general quality specification for honey of the Neotropical Melipona genus, or as the basis for a regional (Mesoamerican) standardization of honey from this particular bee species. The rheological analyses indicated the Newtonian behavior of Melipona honey in the full studied range of 10-40 °C (7,545-244 cp), showing dynamic viscosities significantly lower than those expected for Apis mellifera honey, primarily due to its high water content. Two main endothermic transitions were detected via differential scanning calorimetry: at 96-162 °C and at 169-230 °C. The Apis mellifera honey samples showed the same thermal transitions but differed from Melipona beecheii honey in their peak temperatures and enthalpies.
Keywords: Melipona beecheii pot-honey, physicochemical characterization, rheology, differential scanning calorimetry.
RESUMEN: La disponibilidad de datos de propiedades fisicoquímicas es fundamental para direccionar esfuerzos hacia la identificación de los estándares de calidad de la miel de pote de Melipona beecheii. En este contexto, otras propiedades diferentes de aquellas típicamente consideradas para Apis mellifera podrían también ser relevantes para caracterizar la miel de esta abeja sin aguijón. Se analizaron las propiedades fisicoquímicas, reológicas y térmicas de la miel de pote de Melipona beecheii (Yucatán, México). Se recolectaron muestras de dos temporadas de cosecha anuales (2018 y 2019) y de una locación rural y una urbana. Empleando técnicas estándar, se midieron la acidez libre, la humedad, los azúcares reductores totales, la actividad diastásica, el contenido hidroximetilfurfural y la conductividad eléctrica. Los comportamientos reológico y térmico se determinaron por reometría tipo Couette y calorimetría diferencial de barrido respectivamente. Las propiedades fisicoquímicas de la miel de pote de Melipona beecheii se pueden incorporar a una especificación general de calidad para la miel de género Neotropical Melipona, o como base para una estandarización regional (Mesoamericana) de la miel de esta especie particular de abeja. Los análisis reológicos indicaron el comportamiento Newtoniano de la miel de Melipona para todo el rango estudiado de 10-40 °C (7,545-244 cp), mostrando viscosidades dinámicas significativamente menores que aquellas esperadas en la miel de Apis mellifera, primordialmente debido a su mayor contenido de agua. Se detectaron dos transiciones endotérmicas relevantes por calorimetría diferencial de barrido: a 96-162 °C y a 169-230 °C. Las muestras de miel de Apis mellifera presentaron las mismas transiciones térmicas, pero discreparon de la miel de Melipona beecheii en la temperaturas pico y las entalpías.
Palabras clave: Miel de Melipona beecheii, caracterización fisicoquímica, reología, calorimetría diferencial de barrido.
Introduction
Many centuries before the Spanish arrival to the Yucatán Peninsula, the Mayan people systematized the keeping of a stingless bee: Melipona beecheii. The pot-honey produced by Melipona was the only sweetener used by the Mayans; its honey and cerumen represented a valuable commodity for trade. Their high demand, advanced technification, and the cultural rooting of the Maya for their valuable bees, allowed meliponiculture to survive and thrive throughout the colonial era and the first century of the independent México.
In time, various factors contributed and still contribute to the fall of meliponiculture in Yucatán, mainly deforestation and displacement by the European or Africanized variations of Apis mellifera (Villanueva et al., 2005).
Despite the relatively small economic relevance of meliponiculture nowadays, it still has a strong cultural and ecological significance. Reassessing their keeping is very important for the preservation of stingless bees and the regional ecosystems' health. One way to do this is promoting the commercialization of Melipona honey, which is highly valued in niche markets due to its medicinal and traditional applications and is currently sold as a high value-added product at a market price 30-50 times higher than that of Apis honey. A very important starting point is the characterization of Melipona hive products, mainly pot-honey, in order to set quality standards. Needless to say, international standards have only been established for Apis honey (Codex Alimentarius, 2019), whose physicochemical properties are known to significantly differ from those of pot-honeys (Souza et al., 2006).
To date, some actions have already been undertaken in South American countries in the form of regulations applicable to the pot-honey of stingless bees in Neotropical regions, namely:
1. For informational purposes only, Annex B of the Colombian Apis honey norm (ICONTEC, 2007) presents ranges of physicochemical properties applicable to species of the genera Frieseomelitta, Melipona, Plebeia, Scaptotrigona, Tetragonisca, and Trigona. The reference values are taken from Souza et al. (2006) and are the result of studies conducted in Central and South American countries between 1964 and 2006.
2. Recently, the pot-honey of Tetragonisca fiebrigi was included in chapter X of the Argentinian Codex Alimentarius (Código Alimentario Argentino, 2019), currently the only official norm at the national level which regulates the quality standards of pot-honey from a stingless native bee.
3. At the subnational level, an official norm was created by the Brazilian State of Bahia, albeit limited to the Melipona genus (ADAB, 2014).
4. Modifications have been suggested to the Venezuelan honey norm (COVENIN, 1984) with specifications for the pot-honey of stingless bees (Vit, 2013). These modifications are based mainly on previous works characterizing regional pot-honeys.
Currently, there is academic interest in compiling data and encouraging the creation of standard quality regulations for the pot-honey stingless bees worldwide (Ávila et al., 2018; Braghini et al., 2021 ; Colombo-Pimentel et al., 2022; Nordin et al., 2018; Souza et al., 2021). However, actions 2 and 3 suggest that the most reliable way to propose standards is focusing on specific species or genera. This is reasonable, since bees from the same species or genus have similar foraging behaviors, nectar processing work, morphological hive features, and geographical environments (May-Canché et al., 2022).
In the Mesoamerican region, many stingless bee species are harnessed, but few of them stand out as exploitable for economic activity like Melipona beecheii. This stingless bee is distributed not only across southwest México and Central America (Mesoamerica) but also across Cuba and Jamaica (May-Itzá et al., 2019).
The creation of standards for regulating the quality of pot-honey in México, Central American countries, or the whole Mesoamerican region is desirable because of the cultural, ecological, and economic potential of keeping stingless bees. The pot-honey of Melipona beecheii is the single most important stingless bee hive product that is common for the countries in the region. In this sense, it is advisable to direct efforts towards identifying the quality standards of this product, and data availability on physicochemical properties is crucial for this task.
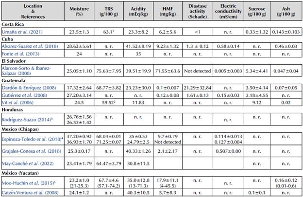
To the best of the authors, the current knowledge for the standardization of pot-honey of Melipona beecheii is mainly based on two sources: i) the specifications given by official norms applicable to Apis honey (Codex Alimentarius, 2019; NOM-004-SAG/GAN-2018) and Latin American stingless bee pot-honey (ADAB, 2014; ICONTEC, 2007), and ii) the reported values of physicochemical parameters for honeys of Melipona becheii throughout Mesoamerica and Cuba (Alarcón-Sorto and Ibáñez-Salazar, 2008; Álvarez-Suárez et al., 2018; Dardón and Enríquez, 2008; Espinoza-Toledo et al., 2018; Gutiérrez et al., 2008; May-Canché et al., 2022; Moo-Huchin et al., 2015; Rodríguez-Suazo, 2014; Umaña et al., 2021; Vit et al., 2006). Both of these sources are reported in Tables 1 and 2, respectively.
Moisture, free acidity, total reducing sugars, sucrose, ash, hydroxymethylfurfural, diastase activity, and electrical conductivity are some of the relevant properties for characterizing honey (Codex Alimentarius, 2019). Beyond these, other physical and chemical features can provide information about the quality and composition of honey with specific biological origins.
The rheological properties of honey are related to its chemical composition. They depend on its botanical and biological origin, moisture, temperature, carbohydrate composition, and granulation. Moreover, they are related to the sensory quality of honey and affect technological operations such as heating, mixing, hydraulic transport, and bottling (Machado de Melo et al., 2018). Costa et al. (2013) obtained viscosity flow curves for pot-honey of the Brazilian stingless bee Melipona subnitida at 25 °C, identifying a Newtonian behavior, with lower viscosity than Apis mellifera honey. Other studies report on the viscosity of other South-American pot-honeys, albeit using sensorial analysis (Batista de Sousa et al., 2016).
The chemical composition of honeys also defines its thermal properties. In this sense, Differential Scanning Calorimetry (DSC) is a useful technique for characterizing the thermal behavior of foods. Depending on composition and heating and cooling rates, honey undergoes several thermal events. A couple of works have dealt with the calorimetric features of pot-honey samples from South American stingless bees. One of them identified glass transitions and related their features to the water content of Melipona subnitida pot-honey (Costa et al., 2013). The other one identified thermal transitions at T > 18 °C of pot-honey from Melipona fuscipes, Melipona favosa, and Melipona compressipes (Cardona et al., 2018). The authors suggested that DSC is an adequate technique to characterize honey samples for species authentication and detecting adulteration.
To contribute to the knowledge about the physicochemical properties of pot-honey, in this work, the following physicochemical properties were assessed on pot-honey of Melipona beecheii from the Yucatán State (México): free acidity, moisture, reducing sugars, ash and hydroxymethylfurfural contents, diastase activity, density, and electrical conductivity. Samples of rural and urban locations of two annual harvests were analyzed. Based on the assessment of existing and the obtained data, a suggestion of ranges of values for standard quality properties was conducted. Moreover, a first report on the flow and thermal behavior of such pot-honey is presented using rheological and calorimetric measurements.
Methodology
The pot-honey samples were collected from two locations of the Yucatán State in México: Mérida (urban) and Tekax (rural) (factor 1: location). The nectar sources in the urban location were primarily ornamental trees in thoroughfare and parks, as well as backyard fruit trees and plants to a lesser extent; while, in the rural location, the sources were primarily backyard fruit trees and low deciduous forest and undergrowth. In each location, two multi-flora samples were obtained in April 2018 and April 2019, respectively (factor 2: harvest). Each pot-honey sample consisted of 100 ml directly extracted by suction with hose and syringe from two different rational hives by halves. The samples were stored at 25 °C to be analyzed within two months after sampling. It was assumed that no significant changes in the properties of honey occur in such period. The measured variables were physicochemical, rheological, and calorimetric properties (Figure 1).

Physicochemical properties
Free acidity, moisture, total reducing sugars, diastase activity, hydroxymethylfurfural content, and electrical conductivity were measured via well-known standard methods according to the Mexican standard for honey (NOM-004-SAG/GAN-2018). The determination of free acidity (meq/kg) was based on the potentiometric titration of diluted honey, using a solution of NaOH. The moisture content (g/100 g) was determined by measuring the refractive index with an Abbe refractometer (ATAGO NAR-2T, Atago Co.) coupled with a thermostatic bath (25 °C). The total reducing sugars content (TRS, g/100 g) was determined via the modified volumetric method of Lane and Eynon (1923). The diastase activity was obtained with the method of Schade et al. (1958). The hydroxymethylfurfural content (HMF, mg/kg) was measured via the spectrophotometric Carrez method. Finally, the electric conductivity (mS/cm) was determined by direct measuring in 20% water diluted honey. Color was not measured in this work; this property is of a sensory nature and dependent on the content of minerals, pigments, and other minor components, and it is not included in conventional grading methods (Moo-Huchin et al., 2015; Santos et al., 2018; Smetanska et al., 2021 ). To determine whether the rheological and calorimetric properties of honey can be related to its composition and/ or biological source, samples of Apis honey were acquired from rural beekeepers and analyzed, with their origin being multi-flora (Dzitás, Yucatán) and 'Tzitzilché' (Gymnopodium floribundum) dominant (Espita, Yucatán), respectively.


Rheology and calorimetry
Tests were carried out in a rotational viscometer (RVDV-II + Pro, Brookfield) with a small sample adapter (SSA) coupled to a thermostatic bath. A Thermosel Spindle SCA-21 was used as a rotational Couette-type geometry. The readings of shear stress and apparent viscosity at different shear rates allowed constructing flow curves and determining the rheological behavior of the pot-honey samples. Small samples were used. The test temperatures were 10, 20, 30, and 40 °C. Temperature is an additional statistical factor for this case, and the evaluated values correspond to the expected environmental range during harvest and handling. The shear rate was varied by changing the rotation velocity of the spindle, always in the range of % torque recommended by the manufacturer.
The thermal behavior was determined with a differential scanning calorimeter DSC-6 (Perkin-Elmer). The DSC device was calibrated with indium and the data analyzed using the Pyris software. 3-5 pg samples were weighted on aluminum pans (20 pL, max. pressure: 2 bar). Each pan was hermetically sealed and left to reach thermal equilibrium at room temperature. The samples were scanned at temperatures between 15 and 260 °C, at a rate of 5 °C/min. The enthalpy changes (Δh) of the thermal transitions and the associated peak (Tpeak), initial (Ti), and final (Tf) temperatures were identified from the resulting thermograms.
Data analysis
The data obtained were evaluated with two-way analyses of variance (ANOVA) at a 5% significance level. Duncan tests were applied to determine statistical differences between means. These analyses were performed in Statgraphics Centurion 18.1.12.
The fitting of parameters regarding the viscometric data to a predictive model was made using Matlab R2019a, minimizing the difference between the measurements and the model output. Finally, the thermal parameter values obtained from calorimetric experiments were determined automatically via the TA Universal Analysis 2000 software.
Results and discussion
Physicochemical properties
The moisture of the pot-honey samples obtained this work was around 22% in all cases (Table 3), close to the lower limit and within the range suggested as standard for Brazilian species of the genus Melipona, but above the maximum value specified for Apis honey (Table 1 ).

The relatively high moisture (as high as 41,9%) is a distinctive feature of stingless bee pot-honey (Souza et al., 2006). One reason for this relates to the fact that the relative surface area of pots with processed nectar in stingless-bee hives (including free and slightly permeable wall surfaces) is always significantly lower than that of processed nectar in honeycombs of Apis mellifera. In particular, the surface area to volume ratio for storage pots of Melipona beecheii is roughly 2,5 cm2/cm3 (typical 'spherical' pot: 8 cm3) (Lóriga Peña et al., 2015). On the other hand, honeycomb cells of Apis mellifera have a ratio of roughly 12 cm2/cm3 (standard cell of hexagonal section: 0,5 cm in diameter and 1 cm deep) (Hailu and Biratu, 2016). The water evaporation of processed nectar occurs at its surface when in contact with intranidal air (primarily) and pot walls (marginally). Thus, the ripening of stingless bee honeys involves a more restrictive dehumidifying process.
The moisture content values in this work fall in the range of those for Melipona beecheii honey from other Mesoamerican locations, and they are close to the lower limits (Table 2). This may be due to the fact that sampling was carried in April, a month of the harvest season of the api-botanical cycle in the Yucatán Peninsula, which is characterized by hot and dry environmental conditions (Quezada-Euán, 2018). Under these conditions, the evaporation of water from the pots can reach lower values than those of other seasons and locations.
The free acidity of the analyzed pot-honeys was 45,74 mEq/kg on average. No significant difference was observed between sampling locations or harvesting periods (Table 3). The acidity of honey is due to the presence of organic acids, which come directly from the nectar or are produced by the action of enzymes secreted by bees during ripening and storage (De-Melo et al., 2017). Consequently, it is affected by the floral source and intranidal food processing. Such factors are associated with foraging preferences and the biology of the species, respectively. Thus, it can be hypothesized that this property could be distinctive according to the biological origin and freshness of honey. In this sense, the acidity value reported in this work (Table 2) reinforces the directive given by ADAB (2014) (Table 1) and research observations emphasizing the more acidic nature of stingless bee honeys (Ávila et al., 2018; Colombo-Pimentel et al., 2022; Nordin et al., 2018; Souza et al., 2021).
The total reducing sugars were 50,89 mEq/kg on average. Significant differences were observed only between harvests, not between locations (Table 3). Since the carbohydrate content depends on the botanical source of nectars and climatic conditions (Mohammed, 2020), these variations in the sugar content are expected. It is relevant to point out that the sugar content also can contribute to acidity via enzymatic degradation and fermentation. The obtained values fall within the ranges observed for the species Melipona (Braghini et al., 2021) but are relatively low in comparison with the regulations for Brazilian Melipona and the reported data for Melipona beecheii (Tables 1 and 2).
The obtained values for diastase activity (9.70 Schade) and electric conductivity (0,36 mS/cm) are in the same order of magnitude as the reported data for Melipona beecheii (Table 2), and no significant differences were observed between sampling locations or harvests (Table 3). Finally, HMF was not detected, probably because of the relatively short time between sampling and analysis.
Table 4 contains the suggested specifications regarding the standard quality of Melipona beecheii honey. They were elaborated while considering the typical physicochemical parameters used for the standardization of Apis mellifera honey, as well as the obtained and available data for Melipona beecheii honey. The discordant data regarding moisture (Espinoza-Toledo et al., 2018), total reducing sugars (this work), and sucrose (Vit et al., 2006) must be taken with caution; they were not taken into account for the suggestions in Table 4. The available data on HMF and diastase activity are currently inconclusive; more studies are needed to outline - or confirm - a range. The information for this pot-honey generally agrees with ADAB standards (2014).

Rheology and calorimetry
A Newtonian behavior was detected in Melipona beecheii honey at the four temperatures (Figure 2). No significant difference was observed between harvests, but there was a significant difference between sampling locations (Table 5). Higher values were measured for Apis mellifera honey, also exhibiting a Newtonian behavior, in the same order of magnitude previously reported for local samples of Apis (Mora-Escobedo et al., 2006). There is a clear contrast between the viscometrical measurements of honeys by species. Melipona honey is characterized by a higher fluidity, primarily because of the high water content. However, this property may not be adequate for the direct differentiation of samples, since it is also dependent on composition, basically water and carbohydrate contents, which provide independent information about standard differences (Faustino and Pinheiro, 2021). However, it has been suggested that rheological parameters can be useful to identify adulteration with syrups, as adulterated samples and honey exhibit different behaviors under variable conditions (temperature, concentration, storage time) (Kamboj and Mishra, 2015).
The influence of temperature on honey viscosity was fitted by nonlinear regression to an Arrhenius-type model:

The activation energy (Ea, a barrier to flow) was larger for the honey of Apis mellifera than for that of Melipona beecheii; the pre-exponential factor (μ0, viscosity at temperature close to infinity) was two orders of magnitude lower for Apis mellifera honey (Table 5).

Regarding the differential scanning calorimetry, three endothermic phenomena were detected in the honey samples (Figure 3 and Table 6):



1. A very weak phenomenon at 18-24 °C, also observed in a previous work with Brazilian Melipona honey, could correspond to the vaporization of some volatile compounds (Cardona et al., 2018). None of the thermal parameters showed significant differences between sampling locations or between harvests Melipona beecheii honey. Since this first transition is weak and occurs immediately after the initial heat flow from the equipment to the sample pan (or as final part of it), it could also be related to the transient process to thermal equilibrium between the sample and the controlled oven of the equipment.
2. A strong endothermic phenomenon at 96-162 °C may correspond to water vaporization and the rupture of sugar-water and sugar complexes (Cardona et al., 2018). The location (urban and rural) caused statistical differences on Ah, revealing the importance of nectar origin and composition.
3. A transition between 169-230 °C can be attributed to the melting and decomposition of sugars (mono-, di-, tri-, and oligosaccharides) (Cardona et al., 2018). Only the location factor caused statistical differences on the parameters of this third thermal transition (Ah and Tf).
The samples of honey of Apis mellifera also had the same three thermal transitions as that of Melipona. To explore whether a differentiation through DSC may be suggested, a statistical comparison through an ANOVA was carried out for the whole set of thermal data with the species as factor. Significant differences between the means of Tpeak and T for transition 1, Tpeak and T for transition 2, and Δh and Tf for transition 3 were detected (Table 6). Despite these observations, the mean values of some of these parameters are close. However, the mean values of Tpeak for transition 2 and Ah for transition 3 seem to have values different enough to suggest them as a differentiation parameter. In the first case (Tk), the difference could be related to distinctive intermolecular structures, and, in the second case (Δh), to the chemical nature of remaining sugars at such relatively high temperatures.
Conclusions
The physicochemical, rheological, and calorimetrie properties of urban and rural (Yucatán, México) samples of Melipona beecheii honey were characterized in this study. Along with the analysis of the current knowledge about the properties of such pot-honey, the following conclusions arise from this work:
The standard quality specifications for the physicochemical properties of Melipona beecheii honey differ from the specifications for Apis mellifera, particularly in moisture content. Moreover, the measured and literature data for hydroxymethylfurfural content and diastase activity seem to be inconclusive, leaving the issue of whether these are relevant properties to characterize this particular product open for debate.
Since there is great variability in the reported data on the physicochemical properties of stingless bee honey in general, it is advisable to establish standard specifications for honey by stingless be species or genus. In this sense, the measured and literature data on the physicochemical properties of honey from Melipona beecheii have proven to be embeddable into a general quality specification for honey of the Neotropical Melipona genus. They may also be the basis for a regional (Mesoamerican) quality specification norm for honey of this species.
The honey of Melipona beecheii has a Newtonian behavior in the whole range of 10-40 °C (7 545-244 cp), being characterized by a lower dynamic viscosity than honey of Apis mellifera (31 995-604 cp), primarily due to its high water content.
The thermal decomposition and melting of sugars generate endothermic transitions measurable via differential scanning calorimetry (15-260 °C). It was found that the samples evaluated in this work differ in the peak temperature and the enthalpy for endothermic transitions at 96-162 and 169-230 °C, respectively. These thermal parameters can differentiate the pot-honey of Melipona beecheii from that of Apis mellifera.
Acknowledgements
This work was supported by the Mexican Council of Science and Technology (Consejo Nacional de Ciencia y Tecnología, CONACyT, México) through grant number 316824.
References
ADAB (2014). Regulamento técnico de identidade e qualidade do mel de abelha social sem ferrão, gênero Melipona (PORTARIA ADAB No 207 DE 21-11-2014). Agência Estadual de Defesa Agropecuária da Bahia.
Alarcón-Sorto, R. C., and Ibáñez-Salazar, L. C. (2008). Determinación de las características fisicoquímicas de la miel producida por las especies de abejas nativas sin aguijón Melipona beechii (jicota) y Tetragonisca angustula (chumelo) de meliponicultores de la zona norte del Departamento de Chalatenango [Undergraduate thesis, Universidad de El Salvador]. https://ri.ues.edu.sv/id/eprint/2892.
Álvarez-Suárez, J. M., Giampieri, F., Brenciani, A., Mazzoni, L., Gasparrini, M., González-Paramás, A. M., Santos-Buelga, C., Morroni, G., Simoni, S., Forbes-Hernández, T. Y., Afrin, S., Giovanetti, E., and Battino, M. (2018). Apis mellifera vs. Melipona beecheii Cuban polifloral honeys: A comparison based on their physicochemical parameters, chemical composition and biological properties. LWT - Food Science and Technology, 87, 272-279. https://doi.org/10.1016/j.lwt.2017.08.079
Ávila, S., Beux, M. R., Ribani, R. H., and Zambiazi, R. C. (2018). Stingless bee honey: Quality parameters, bioactive compounds, health-promotion properties and modification detection strategies. Trends in Food Science and Technology, 81, 37-50. https://doi.org/10.1016/j.tifs.2018.09.002
Batista de Sousa, J. M., Leite de Souza, E., Marques, G., Benassi, M. T., Gullon, B., Pintado, M. M., and Magnani, M. (2016). Sugar profile, physicochemical and sensory aspects of monofloral honeys produced by different stingless bee species in Brazilian semi-arid region. LWT - Food Science and Technology, 65, 645-651. https://doi.org/10.1016/j.lwt.2015.08.058
Braghini, F., Biluca, F. C., Schulz, M., Gonzaga, L. V., Costa, A. C. O., and Fett, R. (2021). Stingless bee honey: A precious but unregulated product - reality and expectations. Food Reviews International, 38(SUP1), 683-712. https://doi.org/10.1080/87559129.2021.1884875
Cardona, Y., Torres, A., Hoffmann, W., and Lamprecht, I. (2018). Differentiation of honey from Melipona species using differential scanning calorimetry. Food Analytical Methods, 11, 1056-1067. https://doi.org/10.1007/s12161-017-1083-z
Catzín-Ventura, G., Delgado, A., and Medina-Medina, L. (2008). Evaluación de la actividad antibacteriana de la miel de Melipona beecheii y Scaptotrigona pectoralis de Yucatán, México. In Memorias del V Congreso Mesoamericano sobre Abejas sin Aguijón (pp. 55-62).
Codex Alimentarius (2019). Codex Alimentarius standard for honey 12-1981 (Revised 2001, Amended 2019). FAO/OMS.
Código Alimentario Argentino (2019). Alimentos azucarados. Capitulo X, Articulo 783bis. https://www.argentina.gob.ar/anmat/codigoalimentario
Colombo-Pimentel, T., Rosset, M., Batista de Sousa, J. M., Gomez de Oliveira, L. I., Meireles-Mafaldo, I., Estevez-Pintado, M. M., Leite de Souza, E., and Magnani, M. (2022). Stingless bee honey: An overview of health benefits and main market challenges. Journal of Food Biochemistry, 46(3), e13883. https://doi.org/10.1111/jfbc.13883
Costa, P. A., Moraes, I. C. F., Bittante, A. M., Sobral, P. J. A., Gomide, C. A., and Carrer, C. C. (2013). Physical properties of honeys produced in the Northeast of Brazil. International Journal of Food Studies, 2, 118-125. https://doi.org/10.7455/ijfs/2.1.2013.a9
COVENIN (1984). Miel de abejas. Comisión Venezolana de Normas Industriales.
Dardón, M. J., and Enriquez, E. (2008). Caracterización fisicoquímica y antimicrobiana de la miel de nueve especies de abejas sin aguijón (Meloponini) de Guatemala. Interciencia, 33(12), 916-922.
De-Melo, A. A. M., Almeida-Muradian, L. B. De, Sancho, M. T., and Pascual-Maté, A. (2017). Composition and properties of Apis mellifera honey: A review. Journal of Apicultural Research, 57(1), 5-37. https://doi.org/10.1080/00218839.2017.1338444
Espinoza-Toledo, C., Vázquez-Ovando, A., Santos, R. T. D. L., López-García, A., Albores-Flores, V., and Grajales-Conesa, J. (2018). Stingless bee honeys from Soconusco, Chiapas: A complementary approach. Revista de Biología Tropical, 66(4), 1536-1546. https://doi.org/10.15517/rbt.v66i4.32181
Faustino, C., and Pinheiro, L. (2021). Analytical rheology of honey: A state-of-the-art review. Foods, 10(8), 1079. https://doi.org/10.3390/foods10081709
Fonte, L., Díaz, M., Machado, R., Demedio, J., García, A., and Blanco, D. (2013). Caracterización físico-química y organoléptica de miel de Melipona beecheii obtenida en sistemas agroforestales. Pastos y Forrajes, 36(3), 345-349.
Grajales-Conesa, J., Vandame, R., Santiesteban-Hernández, A., López-García, A., and Guzmán-Díaz, M. (2018). Propiedades fisicoquímicas y antibacterianas de mieles de abejas sin aguijón del Sur de Chiapas, México. IBCIENCIAS, 1(1), 1-7. http://biociencias.unach.mx/ibciencias/articulos.html.
Gutiérrez, M. G., Enríquez, E., Lusco, L., Rodríguez-Malaver, A., Persano, O.-L., and Vit, P. (2008). Caracterización de mieles de Melipona beecheii y Melipona solani de Guatemala. Revista de La Facultad de Farmacia, 50(1), 2-6.
Hailu, A., and Biratu, K. (2016). Determination of bee space and cell dimensions for Jimma zone honeybee Eco-Races (Apis melifera), Southwest Ethiopian. Journal of Biology, Agriculture and Healthcare, 6(9), 41-46. https://www.iiste.org/Journals/index.php/JBAH/article/view/30503.
ICONTEC (2007). Norma Técnica Colombiana para miel de abejas(NCT-1273). Instituto Colombiano de Normas Técnicas y Certificación. https://ecollection.icontec.org/norma-vw.aspx?ID=590
Kamboj, U., and Mishra, S. (2015). Prediction of adulteration in honey using rheological parameters. International Journal of Food Properties, 18(9), 2056-2063. https://doi.org/10.1080/10942912.2014.962656
Lane, J. H., and Eynon, L. (1923). Determination of reducing sugars by means of Fehling's solution with methylene blue as internal indicator. Journal of the Society of Chemical Industry, 42, 32-36.
Lóriga Peña, W., Álvarez-López, D., Fonte-Carballo, L., and Demedio-Lorenzo, J. (2015). Población inmadura y reservas de alimentos en colonias naturales de Melipona beecheii Bennett (Apidae: Meliponini) como factores básicos para su salud. Revista de Salud Animal, 37(1), 47-51. http://scielo.sld.cu/pdf/rsa/v37n1/rsa07115.pdf.
Machado de Melo, A. A., de Almeida-Muradian, L. B., Sancho, M. T., and Pascual-Maté, A. (2018). Composition and properties of Apis mellifera honey: A review. Journal of Apicultural Research, 57, 5-37. https://doi.org/10.1080/00218839.2017.1338444 REVIEW
May-Canché, I., Moguel-Ordoñez, Y., Valle-Mora, J., González-Cadenas, R., Toledo-Núñez, B., Arroyo-Rodríguez, L., Piana, L. and Vandame R. (2022). Sensory and physico-chemical analysis of honeys of nine stingless bee species of Mexico and Guatemala. Journal of Food Science and Technology59, 4772-4781. https://doi.org/10.1007/s13197-022-05561-7
May-Itzá, W., Peña, W. L., De la Rúa, P., and Quezada-Euán, J. J. G. (2019). A genetic and morphological survey to trace the origin of Melipona beecheii (Apidae: Meliponini) from Cuba. Apidologie, 50, 859-870. https://doi.org/10.1007/s13592-019-00696-7
Mohammed, M. E. A. (2020). Factors affecting the physicochemical properties and chemical composition of bee's honey. Food Reviews International, 38, 1330-1341. https://doi.org/10.1080/87559129.2020.1810701
Moo-Huchin, V. M., González-Aguilar, G. A., Lira-Maas, J. D., Pérez-Pacheco, E., Estrada-Leon, R., Moo-Huchin, M., and Sauri-Duch, E. (2015). Physicochemical properties of Me-lipona beecheii honey of the Yucatan Peninsula. Journal of Food Research, 4(5), 25-32. https://doi.org/10.5539/jfr./v4n5p25
Mora-Escobedo, R., Moguel-Ordóñez, Y., Jaramillo-Flores, M. E., and Gutiérrez-López, G. F. (2006). The composition, rheo-logical and thermal properties of tajonal (Viguiera dentata) mexican honey. International Journal of Food Properties, 9(2), 299-316. https://doi.org/10.1080/10942910600596159
NOM-004-SAG/GAN-2018 (2018). Norma Oficial Mexicana. Producción de Miel y Especificaciones. Diario Oficial de la Federación. https://www.dof.gob.mx/nota_detalle.phpicodigo=5592435&fecha=29/04/2020#gsc.tab=0.
Nordin, A., Sainik, N. Q. A. V., Chowdhury, S. R., Saim, A. Bin, and Idrus, R. B. H. (2018). Physicochemical properties of stingless bee honey from around the globe: A comprehensive review. Journal of Food Composition and Analysis, 73, 91-102. https://doi.org/10.1016/j.jfca.2018.06.002
Quezada-Euán, J. J. G. (2018). Stingless bees of Mexico. The biology, management and conservation of an ancient heritage. Springer. https://doi.org/10.1007/978-3-319-77785-6
Rodríguez-Suazo, G. E. (2014). Caracterización física, química y microbiológica de la miel de Melipona beecheii [Undergraduate thesis, Escuela Agrícola Panamericana, Honduras]. https://bdigital.zamorano.edu/items/b8165c8d-dd70-4a1d-a3f9-3932d2a63b50.
Schade, J. E., Marsh, G. L., and Eckert, J. E. (1958). Diastase activity and hydroxy-methyl-furfural in honey and their usefulness in detecting heat alteration. Journal of Food Science, 23(5), 446-463.
Santos, E., Meerhoff, E., García da Rosa, E., Ferreira, J., Raucher, M., Quintana, W., Martínez, A., González, C., and Mancebo, Y. (2018). Color and electrical conductivity of honeys produced by Apis mellifera in Uruguay. INNOTEC, 16, 5155. https://doi.org/10.26461/16.08
Smetanska, I., Alharthi, S., and Selim, K. (2021). Physicochemi-cal, antioxidant capacity and color analysis of six honeys from different origin. Journal of King Saud University - Science, 33(5), 101447. https://doi.org/10.1016/jjksus.2021.101447
Souza, B., Roubik, D., Barth, O., Heard, T., Enriquez, E., Carvalho, C., Villas-Bôas, J., Marchini, L., Locatelli, J., Persa-no-Oddo, L., Almeida-Muradian, L., Bogdanov, S., and Vit, P. (2006). Composition of stingless bee honey: Setting quality standards. Interciencia, 31(12), 867-875.
Souza, E. C., Menezes, C., and Flach, A. (2021). Stingless bee honey (Hymenoptera, Apidae, Meliponini): A review of quality control, chemical profile, and biological potential. Apidologie, 52(1), 113-132. https://doi.org/10.1007/s13592-020-00802-0
Umaña, E., Zamora, G., Aguilar, I., Arias, M. L., Pérez, R., Sánchez, L. A., Solórzano, R., and Herrera, E. (2021). Physicochemical differentiation of stingless bee honeys from Costa Rica. Journal of Apicultural Research, 2021, 1903737. https://doi.org/10.1080/00218839.2021.1903737
Villanueva-G, R., Roubik, D. W., and Colli-Ucán, W. (2005). Extinction of Melipona beecheii and traditional beekeeping in the Yucatán peninsula. Bee World, 86(2), 35-41. https://doi.org/10.1080/0005772X.2005.11099651
Vit, P. (2013). Modificaciones comentadas de la norma Miel de Abejas, hacia la norma Miel de Venezuela: inclusión de miel de pote y exclusión de mieles falsas. In P. Vit and D. W. Roubik (Eds.), Stingless bees process honey and pollen in cerumenpots. Universidad de Los Andes, Mérida, Venezuela (ch. 17). http://www.saber.ula.ve/handle/123456789/37277.
Vit, P., Enriquez, E., Barth, M. O., Matsuda, A. H., and Almeida-Muradian, L. B. (2006). Necesidad del control de calidad de la miel de abejas sin aguijón. Revista de Facultad de Medicina, Universidad de Los Andes, 15(2), 89-95.
Notes