Resumen
Tipo 1: Todas las cuotas del préstamo amortizan principal.
Tipo 2: Préstamos con interés simple cuando el principal queda cancelado antes de la última cuota. Utiliza una ecuación de equivalencia financiera a interés simple, que toma como fecha focal el final del horizonte del préstamo y calcula en ese momento el importe de la cuota uniforme, luego se sistematiza en un algoritmo matemático y se resuelve con la construcción de una función personalizada denominada Rsim, que se incorpora como un complemento add-in en Excel y permite plantear modelos automatizados de amortización de préstamos con cuotas uniformes, en periodos uniformes y con interés simple. Este artículo es el producto de nuestro proyecto de investigación Matemática Financiera: anualidades y perpetuidades, sistematizado en la función Rsim de nuestra propiedad intelectual, realizado con el apoyo de la Universidad Nacional del Callao. El objetivo de la investigación es hallar una ecuación de equivalencia financiera a interés simple que se aplique indistintamente para cualquier tipo de amortización de préstamos con cuotas uniformes que devengan interés simple, y su propósito es desarrollar un algoritmo que sistematice la ecuación de equivalencia de modo que sea utilizado por académicos y especialistas en costos financieros. La metodología utilizada es inducción-deducción en las que se consideraron las fases de observación, deducción y experimentación. Para cualquier caso de préstamos que devengan interés simple, el estudio concluye que si se utiliza el algoritmo Rsim se obtiene la verdadera equivalencia financiera que evita el anatocismo, lo que se comprueba al formular la tabla de amortización del préstamo.
Palabras clave: Amortización de préstamos , interés simple, monocapitalización, anualidades con interés simple, rentas uniformes, factor de recuperación del capital.
Abstract
Type 1: All loan installments repay principal.
Type 2: Loans with simple interest when the principal is canceled before the last installment. It uses an equation of financial equivalence at simple interest, which takes as focal date the end of the horizon of the loan and calculates at that time the amount of the uniform fee, which is then systematized in a mathematical algorithm that is solved with the construction of a function Called, Rsim, which is incorporated as an add-in Excel add-in and allows to propose automated loan repayment models with uniform rates, in uniform periods and with simple interest. This article is the product of our research project Financial Mathematics: annuities and perpetuities, systematized in the Rsim function of our intellectual property, made with the support of the National University of Callao. The objective of the investigation is a simple financial debt consolidation method that applies indistinctly to any kind of loan repayment with uniform interest-bearing rates, and its objective is Develop an algorithm that systematizes the equivalence equation so that both academics and financial cost specialists use it. The methodology used is induction-deduction in which the phases of observation, deduction and experimentation we are observed. The study concludes that, for any case of simple interest loans, using the Rsim algorithm gives the true financial equivalence that avoids the anatocism, which verified when formulating the loan repayment table.
Key words: loan repayment , simple interest, monocapitalization, simple interest annuities, uniform income, capital recovery factor.
Artículos originales
Amortización de préstamos con cuotas uniformes vencidas a interés simple
Amortization of simple interest loans with a series of uniform end-of-period installments
Recepción: 15 Mayo 2017
Aprobación: 19 Julio 2017
En el presente artículo se aborda el modelo de amortización de un préstamo bajo un régimen de interés simple, el cual se otorga mediante un único desembolso al inicio del horizonte temporal y que se paga mediante cuotas uniformes vencidas cuyos periodos también son uniformes. Considerando que en una cuenta bajo este régimen el interés se capitaliza únicamente al término del horizonte temporal de la referida cuenta, surge el interrogante respecto a ¿cómo calcular el importe de dicha cuota uniforme de manera tal que se evite el anatocismo?
El propósito de esta investigación es mostrar un procedimiento para calcular la cuota uniforme y formular la correspondiente tabla de amortización de este modelo, para lo cual pueden presentarse dos casos relevantes de estudio:
cuando el principal queda cancelado en la última cuota, caso en el cual todas las cuotas incluyen pago de interés y de principal;
cuando el principal queda cancelado antes de la última cuota, caso en el cual al menos una cuota incluye pago de interés, pero no de principal.
El presente trabajo se justifica porque la mayoría de las investigaciones y libros de Finanzas que abordan el tema de amortización de préstamos:
Generalmente desarrollan sistemas de amortización bajo el régimen de interés compuesto, el cual es un régimen de interés mul-ticapitalizado, y dejan de lado los sistemas de amortización bajo el régimen de interés simple, el cual es un régimen de interés mono-capitalizado, como puede observarse en los excelentes trabajos de Zbigniew Kosikowski (2007), Moore (1981), Villalobos (1993), García (2000), Ayres (1991), Dávila Atencio (1992) y otros.
Algunos autores como Mesías Levano (1984, p. 102) desarrolla el tema "Amortización a interés simple" y presenta una teoría para calcular la cuota uniforme de un préstamo amortizable con cuotas uniformes vencidas que devenga interés simple; sin embargo, no elabora la tabla de amortización del préstamo como conclusión. La particularidad de este trabajo es que utiliza tasas de interés simple anual que no superan el 10 %, cae en el caso tipo 1, y por tanto, la cuota uniforme se calcula por el método algebraico.
Otros autores como Vallo (s.f. p. 75), calculan adecuadamente la cuota uniforme del préstamo amortizable con interés simple, pero desarrolla el caso que hemos denominado tipo 1, el cual calcula la cuota uniforme por el método algebraico.
Algunos autores como Zans (2004, p. 87-89) y Cabeza de Vergara (2010) desarrollan sistemas de amortización de préstamos a interés simple, pero presentan diversos planteamientos para calcular la cuota uniforme. Plantean una ecuación de equivalencia financiera cuyo primer término es el importe del préstamo y el segundo término de la igualdad es la suma de los valores presentes de cada una de las rentas o cuotas uniformes simbolizadas R. Sin embargo, en esta supuesta ecuación de equivalencia financiera, se consideran implícitamente múltiples periodos de capitalización de interés (tantos como número de cuotas existan), lo cual es inconsistente con el régimen de interés simple, cuya única capitalización debe realizarse cuando en la fecha de término del correspondiente horizonte se cancela la operación.
En términos generales, en el caso de que la última cuota incluya amortización de interés y de principal, estos planteamientos podrían conllevar a obtener una fórmula que brinde correctamente el cálculo de la cuota uniforme. No obstante lo anterior, en el resto de los casos, esta fórmula brindará un cálculo no adecuado.
La metodología utilizada es inducción-deducción en donde se consideraron las fases de observación, deducción y experimentación. La inducción se ha realizado a través del análisis de trabajos de expertos, lo que permitió generalizar un algoritmo válido para cualquier tipo de cuota uniforme con interés simple. El tipo de investigación es analítico.
En sentido estricto, una anualidad de flujos es una periodicidad de flujos con periodos uniformes. Sin embargo, como el término anualidad suele usarse en un sentido que no es riguroso, se aplica también a periodicidades con periodos no uniformes y en los cuales alguno(s) o todos sus periodos pueden ser distintos de un año.
Al tener en cuenta dicha terminología, salvo indicación contraria, en el presente artículo se usarán las siguientes convenciones:
el término anualidad será usado para referirse a cualquier periodicidad de flujos de caja (independientemente de que sus periodos sean uniformes o no uniformes, anuales o no anuales) con un horizonte temporal finito;
los términos: renta y cuota, serán usados para referir a cualquier flujo de efectivo de dicha periodicidad, el mismo que puede tener signo positivo (ingreso) o signo negativo (egreso);
los términos periodo de renta y periodo de cuota serán usados para referirse a la distancia temporal que existe entre el momento en que se produce una renta hasta que se da la siguiente.
Entre los principales atributos de una anualidad se tienen los siguientes:
El estudio materia del presente artículo es un modelo de amortización de un préstamo bajo un régimen de interés simple con una tasa j que no varía durante el horizonte temporal, el cual se otorga mediante un único desembolso P al inicio del horizonte temporal, y que se paga mediante n cuotas uniformes vencidas cuyos periodos también son uniformes, cada una de las cuales de un importe R puede componerse de lo siguiente:
Cuota principal, que amortiza todo o parte del saldo del principal del préstamo, y
Cuota interés, que amortiza todo o parte del saldo del interés capitalizado.
En concordancia con lo señalado anteriormente, el modelo de estudio corresponde a una cuenta bajo un régimen de interés simple. Al tener en consideración que, bajo este régimen, el interés se capitaliza únicamente al término del horizonte temporal de la cuenta, surge la interrogante respecto a cómo calcular el importe de dicha cuota uniforme de tal manera de evitar el anatocismo. Para abordar este problema pueden identificarse dos tipos de amortización de préstamos enmarcados en el referido modelo:
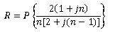
a. Tipo 1: Préstamos con interés simple cuando todas las cuotas amortizan principal. Para este tipo de amortización, el importe de la cuota uniforme vencida puede calcularse algebraicamente con la fórmula.

b. Tipo 2: Préstamos con interés simple cuando el principal queda cancelado antes de la última cuota. Para este tipo de amortización, la cuota uniforme no se podría calcular algebraicamente y tendría que formularse un algoritmo recursivo que a través de un cálculo iterativo halle la solución buscada.
Premisas:
- El valor de n o número de cuotas uniformes es entero mayor que 1.
- La deuda se cancela con n cuotas uniformes.
- En todas las cuotas se amortiza principal.
- En las n-1 primeras cuotas no se rebaja interés.
- En la última cuota se cancela el principal insoluto y todo el interés simple devengado.
Al tomar como fecha focal el momento n, pueden representarse las variables R, P, j y n en el diagrama de tiempo-valor que se muestra en la figura 1.

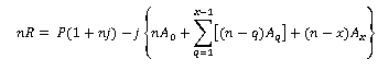
Si se asume que el préstamo P se concede para amortizarse con interés simple y n cuotas uniformes periódicas R que devengan una tasa nominal j, puede plantearse una ecuación de equivalencia financiera con fecha focal en el momento n y despejarse R del siguiente modo:

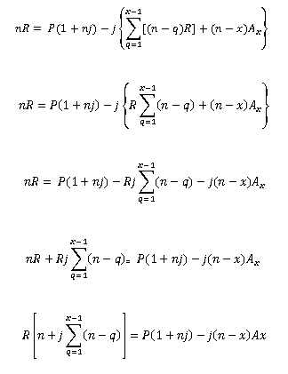
Al reagrupar términos se tiene:

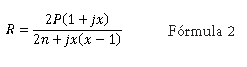
La fórmula 1 calcula la cuota uniforme vencida que amortiza un préstamo con interés simple dentro de un determinado horizonte temporal, en los cuales el periodo de la tasa j coincide con el periodo de la cuota. El término entre paréntesis:
- se denomina factor de recuperación de capital a interés simple para una tasa j y n periodos,
- se simboliza
.
En el caso de que a partir de valores hipotéticos de P, R y j, n no resultara un valor entero positivo, entonces no existiría ninguna anualidad vencida simple cuyos valores de P, R y j, sean iguales que los respectivos valores hipotéticos.
Ejemplo 1
Una empresa suscribió un contrato de préstamo por un importe de 10 000 unidades monetarias (um), que devenga una tasa nominal anual TNA de 0,18. Este préstamo, que devenga un interés simple, se amortizará en el plazo de un año, con cuotas uniformes que vencen cada 90 días. Calcule el importe de la cuota uniforme vencida y formule el cuadro de amortización de la deuda.
Solución
Con los datos:
y con la fórmula 1 se tiene:


Interés devengado
Es el interés simple devengado en cada periodo de cuota por el saldo del principal, también llamado principal por vencer.

En el presente caso, la suma de los intereses devengados por los saldos deudores hasta el final del horizonte temporal asciende a 1053,86 um, importe que se cancela en la última cuota del préstamo, con lo que se cumple la condición de ser una cuenta bajo un régimen de interés simple monocapitalizado.
Es el saldo del préstamo inmediatamente después del vencimiento de cada cuota. Por ejemplo, inmediatamente después del vencimiento de la primera cuota, el saldo de 7236,53 um es la diferencia del saldo anterior y de la cuota que acaba de vencer: 10000 um-2763,47 um. Luego del pago de la última cuota este saldo debe ser cero, tal como se observa en la tabla 1.
Al desarrollar el ejemplo 1 pudo comprobarse que el problema cumplía los supuestos planteados anteriormente y, por lo tanto, todas las cuotas incluían amortización de principal. Sin embargo, ¿cómo se calcularía una cuota uniforme en un problema en que no se cumplan dichos supuestos? Para ilustrar este tipo de amortización, se plantea el ejemplo 2.
Ejemplo 2
Una empresa firmó un contrato de préstamo de 10 000 um, que devenga interés simple con una TNA de 0,18, para amortizarlo en el plazo de dos años con cuotas uniformes que vencen cada 90 días. Calcule el importe de la cuota uniforme y formule el cuadro de amortización de la deuda.
Solución
Con los datos:
Si se aplicara la fórmula 1, se tendría lo siguiente:


En el presente caso solo las n-1 primeras cuotas se destinan a amortizar principal, mientras que en la penúltima y última cuota se pagan intereses. Sin embargo, con cuotas uniformes de 1 468,68 um cada una, importe calculado con la fórmula 1, no alcanza para cancelar el interés devengado durante el préstamo, que asciende a 1 762,10 um, y deja pendiente por cancelar 12,63 um de saldo insoluto de interés simple. Queda ilustrado entonces que, en este ejemplo, la aplicación de la fórmula 1 no obtiene el verdadero importe de la cuota uniforme.
La fórmula 1 fue desarrollada bajo los supuestos del modelo de estudio bajo el tipo 1, en el cual el principal queda cancelado en la última cuota. Sin embargo, ello no ocurre en el ejemplo 2, dado que, en dicho ejemplo, el principal se cancela no en la octava y última cuota sino en la séptima, configurándose el tipo 2 del modelo de estudio. Por tal razón, en este caso, la aplicación de la fórmula 1 no obtiene el verdadero importe de la cuota uniforme, por lo que para calcularlo resulta necesario desarrollar un método que sea aplicable para este segundo tipo.
Simbologia
Para deducir la fórmula de la cuota uniforme vencida aplicable al tipo 2 se utilizarán los siguientes símbolos:
n el número de cuotas uniformes periódicas en el horizonte temporal.
k un número entero perteneciente al intervalo [0; n].
q un número entero perteneciente al intervalo [0; k].
Pk el principal insoluto al final de los k primeros periodos.
Sk el saldo (principal más interés) al final de los k primeros periodos.
Ak la amortización de principal efectuada al final del k-ésimo periodo, si k > 0; 0, si k = 0.
x el número de cuotas que incluyen amortización de principal.
u un número entero perteneciente al intervalo [x; n].
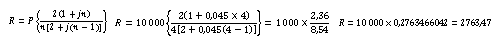
Al utilizar la simbologia anterior, se tiene lo siguiente:

En forma general puede expresarse lo siguiente:

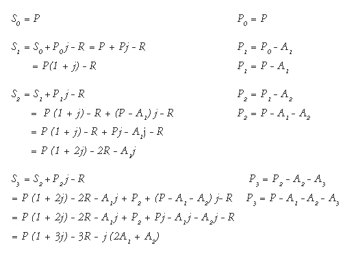
Cuando k=n:

Dado que S0 = 0:

Si x es el número de cuotas que incluyen amortización de principal, se tiene:

Al considerar que cualquier cuota posterior a la x-ésima no incluirá amortización de principal, se tiene lo siguiente:

Téngase en cuenta que A0 = 0 y Aq = R para todo q entero en [1; x-1]. Se cumple entonces lo siguiente:

Si se estudia la expresión
, se deduce que es igual a (n-1)+(n-2) + ...+ [n-(x-1)] que es la suma de una progresión aritmética de x-1términos y diferencia 1. De ello se deduce:

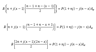
En la x-ésima cuota se cancela el principal. Por lo tanto, Ax será igual a P menos la suma de todas las amortizaciones de principal anteriores. Téngase presente que en todas las cuotas anteriores se amortizaba principal y no se rebajaba interés. Por lo tanto, cada una de las amortizaciones de principal anteriores son iguales a R y Ax = P - (x-1) R. Se cumplen entonces las siguientes igualdades:

Al reagrupar términos, se tiene:

Sin embargo, al aplicar la fórmula anterior puede surgir el problema de desconocer el valor de x, de ahí que para hallar R puede usarse el siguiente algoritmo en el cual el signo * es el operador de multiplicación.

A partir de la precondición {n es entero positivo; p es positivo; j es positivo} este algoritmo deja en y el número de cuotas amortizaciones uniformes, en R el valor de la cuota uniforme. El algoritmo anterior ha sido sistematizado en la función financiera personalizada Rsim1 (cuota uniforme con interés simple) del complemento Herramientas financieras personalizadas de Excel.
Para que el algoritmo deje en x el número de cuotas en las que se cancela el principal, puede añadir: x=y+1.

Aplicaciones de la función Rsim en amortizaciones con interés simple
Ejemplo 3
Una empresa firmó un contrato de préstamo de 10 000 um, que devenga una TNA de 0,18, para amortizarlo en el plazo de dos años con interés simple y cuotas uniformes que vencen cada 90 días. Calcule el importe de la cuota y formule el cuadro de amortización del préstamo. Este es el mismo ejemplo 2, cuya cuota uniforme de 1468,68 um se obtuvo con la fórmula 1, pero ahora debe calcularse con la fórmula 2 y la función financiera personalizada Rsim.
Solución
Con los datos:
, la fórmula 2 y la función Rsim operada en Excel se obtiene el modelo que se presenta a continuación.

Con el importe de la cuota uniforme calculada como se muestra en la figura 2, se elaboró el siguiente modelo en una hoja de Excel.

Al comparar la tabla de amortización del ejemplo 2 con la tabla de amortización del ejemplo 3, que utiliza los mismos datos, se observan las siguientes diferencias:
Al término del séptimo periodo (k=7), la cuota se aplica parcialmente a extinguir el saldo insoluto del principal ascendente a 1179,43 um, y lo restante ascendente a 290,67 um se aplica a disminuir parte del interés devengado por el préstamo.
Como el principal queda cancelado al término del séptimo periodo (k=7), al tratarse de un préstamo bajo un régimen de interés simple, durante el periodo de la última cuota no se devengó interés (celda K11), ya que el saldo del principal era 0.
A manera de referencia, en la celda B10 de la figura 3 se calculó la TIR del préstamo, que arrojó una tasa efectiva trimestral TET = 0,037518207, con la cual se preparó la tabla de amortización del préstamo equivalente (figura 4), pero con interés compuesto.

Sobre la base del problema anterior se hizo una simulación de los valores de n manteniendo los demás datos del ejemplo 3, cuyas cuotas uniformes fueron calculadas con el frc (fórmula 1) y con la función Rsim (fórmula 2). En la tabla 3 se observa que para valores de n que van desde 2 hasta 7 no hay diferencia en los importes de las cuotas calculadas con el frc o con Rsim, y en consecuencia corresponden al tipo 1.
En cambio, para n>7 las cuotas uniformes calculadas con la fórmula 1 son inferiores a las cuotas uniformes calculadas con Rsim, y no permiten cancelar los intereses devengados por el saldo insoluto. Estos intereses pendientes de cancelar crecen en la medida que aumenta el número de cuotas del préstamo por amortizar.

De los resultados de la simulación para diversos valores de n, se infiere que para amortizaciones del préstamo del ejemplo 3 hasta 7 cuotas uniformes corresponden al tipo 1, y de 8 a más cuotas corresponden al tipo 2. Como resultado de otras sensibilizaciones se pudo notar que manteniendo los valores del resto, los datos de un préstamo amortizable a interés simple, en la medida que se incrementa la tasa de interés simple, el principal se cancela en menores cuotas y, por tanto, las siguientes cuotas sirven para cancelar el saldo insoluto del interés devengado.
La presente sustentación teórica que concluye con la generalización del cálculo de la cuota uniforme con interés simple (fórmula 2) que se resuelve por métodos numéricos sistematizada en la función Rsim que se incorpora en Excel cuando se instala el complemento Herramientas financieras personalizadas, debe contrastarse con los resultados que se presentan en algunos libros de Matemática Financiera y artículos especializados, como se describe a continuación.
Zans (2004, pp. 87-89) plantea que la cuota uniforme se obtiene luego de establecer una ecuación que es supuestamente de equivalencia financiera en el presente (momento 0). Así, para obtener la cuota uniforme de un préstamo de 50000 um, que devenga una tasa de interés simple mensual de 0,03 y se cancela con tres cuotas uniformes mensuales, formula el siguiente cálculo:

Al desarrollar la tabla de amortización con la cuota uniforme de 17657,33 um (tabla 4) se observa que los intereses del préstamo de 2971,69 um son mayores que los verdaderos intereses devengados de 2910,85 um. Con ello se comprueba que la supuesta ecuación de equivalencia financiera con fecha focal en el momento 0 no es la correcta para obtener el verdadero importe de la cuota uniforme en el modelo de estudio que corresponde a un régimen de interés simple. En su lugar debió utilizarse como fecha focal el final del horizonte temporal, como se muestra en la figura 1.

Por su parte, Cabeza de Vergara (2010, pp. 158-175), en su informe Cavilaciones sobre el interés simple, plantea el siguiente problema: "Se realiza un préstamo de $4000000 y se pacta cancelarlo en siete cuotas iguales, a una tasa de interés de 6 % semestral, bajo la modalidad del interés simple. Se desea calcular el valor de la cuota y construir una matriz de pago que muestre cómo se distribuye la cuota entre intereses y abonos a capital y luego compare el presente de cada cuota con el presente de una anualidad vencida, interés simple". Después de calcular la cuota uniforme con la fórmula 1, plantea la siguiente solución.


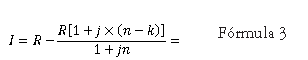
Para calcular el interés imputable a cada cuota del préstamo, Cabeza de Vergara (2010) utiliza la fórmula 3.

Por ejemplo, el interés de la cuota 1 y de la cuota 2, cuando k=1 y k=2, se tiene:

Calculada la cuota interés de la cuota total, procede a calcular la cuota principal CP al restar la cuota total del interés:

Este procedimiento permite mostrar, por un lado, que la suma de los "valores actuales" de las cuotas asciende a $3918865,01, valor inferior al importe del préstamo. Por otro lado, ilustra que la suma de los "valores futuros" de cada cuota descontados hacia el momento 0, sí obtiene el importe del valor presente de $4000000.
El referido procedimiento, sin embargo, está considerando implícitamente múltiples periodos de capitalización de interés (tantos como número de cuotas existan), lo cual es inconsistente con el régimen de interés simple. Esta inconsistencia se hace más evidente cuando la referida autora considera que en cada cuota se paga interés y principal. Por ejemplo, según dicha autora, la primera cuota se compone de $658595.64 de principal y $29055.69 de interés, mientras que la última se compone de $484261.50 de principal y $203389.83 de interés.
En contraste, al aplicar la fórmula 2 y la función financiera Rsim se obtiene la tabla de amortización, que se muestra en la figura 5. Observe que la cuota uniforme debe ser $688607,59 (figura 5) y no $687651,33 como se muestra en la tabla 5, y que los verdaderos intereses devengados por el préstamo ascienden a $820253,16. En este caso, el saldo de principal quedó cancelado en la sexta cuota, mientras que la última cuota correspondió exclusivamente a pago de interés.

Mesías Levano (1984, pp. 96-102) cuando desarrolla "Amortización a interés simple-deudas insolutas" calcula adecuadamente el valor de la cuota, al despejarla de una ecuación de equivalencia financiera que toma como fecha focal el final del horizonte temporal. Dicho autor, para un préstamo de S/. 32800, que devenga interés simple con una tasa nominal mensual TNA de 0,09 durante un año y 4 meses, obtiene el valor R = 2173.73. Sin embargo, el ejemplo que presenta corresponde al tipo 1 de nuestro modelo de estudio, en el cual el saldo del principal queda extinguido en la última cuota. No obstante, si al mismo problema se le incrementa la tasa de interés, por ejemplo, a una TNA = 0,18, el problema correspondería al tipo 2 del modelo de estudio y la aplicación de la fórmula que utiliza este autor deja de ser consistente. En efecto, con dicha fórmula se obtendrían un importe de S/ 2284.94 que no permite cancelar el préstamo en la última cuota, cuando el valor correcto, calculado con la función Rsim es S/. 2286.2.
Vallo Andrade (s. f., pp. 63-76) en su capítulo VII "Amortización a interés simple" plantea el problema de un préstamo de S/. 80000 que devenga una TNA de 0,09 durante 10 meses, cuya cuota mensual de S/. 8319,23 fue calculada con la fórmula 1. El ejemplo ilustrado por el autor en mención cae nuevamente en los supuestos de los problemas tipo 1, para los cuales no se requiere utilizar necesariamente el algoritmo que se propone en el presente estudio.
1. En la bibliografía especializada de Ingeniería Económica y Matemática Financiera, por ejemplo, Blank y Tarquin (2006), DeGarmo, y otros (2004), Taylor (1972), suele abordarse un modelo de amortización de préstamos otorgados bajo un único desembolso al inicio del horizonte temporal que se amortiza mediante cuotas uniformes vencidas cuyos periodos también son uniformes. El modelo tradicionalmente abordado es uno, bajo un régimen de interés compuesto en el cual el importe de la cuota puede calcularse mediante métodos algebraicos utilizando una fórmula predeterminada, y que deja de lado el estudio de los préstamos bajo régimen de interés simple.
2. No obstante, algunos autores sí han abordado el estudio de préstamos bajo este régimen simple (Ayres; Dávila Atencio; García; Vallo Andrade; Villalobos; Zans; Zbigniew Kasikowski). Sin embargo, en sus estudios no se ha tenido en cuenta dos consideraciones aplicables en una cuenta bajo un régimen de interés simple:
El principal puede ser igual que cero o quedar cancelado antes del término del horizonte temporal.
El interés se capitaliza únicamente al término del horizonte temporal.
3. El dejar de lado estas consideraciones ha ocasionado que dichos autores hayan planteado en sus investigaciones fórmulas y métodos que no son aplicables a todos los casos del modelo en estudio.
4. Al tomar en cuenta dichas consideraciones, en el presente estudio se han identificado los dos siguientes tipos de préstamos que se enmarcan en el objetivo del trabajo.
Tipo 1: Préstamos con interés simple cuando todas las cuotas amortizan principal.
Tipo 2: Préstamos con interés simple cuando el principal queda cancelado antes de la última cuota.
5. Para los préstamos tipo 1, se ha deducido la fórmula 1:
, que permite obtener mediante métodos algebraicos el importe de la cuota informe, cuando se conoce el valor de las variables del lado derecho de la referida fórmula.
6. No obstante, en el presente artículo queda evidenciado lo siguiente:
La fórmula 1 no conlleva a la obtención de la cuota uniforme de los préstamos tipo 2.
Dicha cuota puede obtenerse mediante la aplicación de la fórmula 2:
cuando se conoce el valor de las variables del lado derecho de la referida fórmula, incluido el valor de x.
7. Sin embargo, a priori el valor de x no es conocido; por lo tanto, para hallar R se plantea usar el siguiente algoritmo, en vez de usarse directamente un método exclusivamente algebraico, que deja en el número de cuotas amortizaciones uniformes, y en R el valor de la cuota uniforme:

Fin de mientras
8. Como resultado de la presente investigación, el algoritmo que obtiene la cuota uniforme vencida de un préstamo que devenga interés simple, para cualquier caso denominados tipo 1 y tipo 2, se ha sistematizado en la función Rsim que en forma add-in se incorpora y resuelve en una hoja de cálculo de Excel.









