Resumen: Se presentan los resultados del plan de manejo ambiental (PMA) de una universidad privada de Colombia como estudio de caso desde la perspectiva de la responsabilidad ambiental universitaria (RAU). El propósito fue analizar el problema de los residuos sólidos y su manejo durante 2019 en el campus universitario, desde un enfoque mixto secuencial a partir de una metodología de alcance analítico, con sustento en las técnicas de revisión documental, fotografía narrativa, focus group y encuestas. Se destaca que, aunque la universidad ha implementado el sistema de gestión ambiental (SGA) bajo la norma ISO 14001:2015, la forma como se lleva a cabo este proceso por parte de los actores muestra falencias en su implementación y la necesidad de fortalecerlo mediante procesos formativos en manejo de residuos sólidos, para maximizar su aprovechamiento e implementar estrategias respecto de su disposición.
Palabras clave: residuos sólidos, reciclaje, educación ambiental, responsabilidad ambiental universitaria, gestión ambiental.
Abstract: Results from the University Environmental Responsibility and Solid Waste Management plan in 2019, in a private university in Colombia, is presented as a case of study. The main purpose of this research is to analyze the problems associated to solid waste management, and the implementation of environmental responsibility in the main campus. We used a mixed methodology, based on documentary review techniques, photo-narratives, category matrix, focus group, and surveys to stablish the grade of success of these programs. It is highlighted that, although the university has implemented an environmental management system under the standard ISO 14001: 2015, the way in which this process is carried out by the institution shows shortcomings in its implementation, and the university needs to strengthen it through training processes in solid waste management; maximizing its use and implementing strategies regarding its disposal.
Keywords: solid waste, recycling, environmental education, university environmental responsibility, environmental management.
Artículos originales
Gestión del manejo de residuos sólidos: un problema ambiental en la universidad
Solid Waste Management, an Environmental Problem in the University
Recepción: 07 Julio 2020
Aprobación: 07 Octubre 2020
Este artículo es resultado de un proceso de investigación llevado a cabo en una universidad privada de Colombia, la cual ha seguido estándares internacionales ambientales como parte de su actuar institucional orientado desde una perspectiva humanista como caso de estudio. Por ello, analiza el sistema de gestión ambiental y educativo institucional en relación con el manejo de los residuos sólidos, vistos en clave de la responsabilidad social universitaria (RSU) y de la responsabilidad ambiental universitaria (RAU).
Para lograr tal fin, la investigación contó con dos fases: una de orientación teórica y otra de corte empírico. En primer lugar, las reflexiones del grupo giraron en torno a la arquitectura conceptual necesaria para abordar la pregunta por el compromiso ambiental de la universidad en perspectiva de los posibles impactos ambientales que desde el manejo de los residuos sólidos esta puede generar. Para ello, se describe inicialmente un marco general que articula diferentes conceptos y considera la tesis según la cual la universidad, al desarrollar sus funciones sustantivas de docencia, investigación y extensión y proyección social, genera una serie de impactos ambientales no solo internos sino también para su entorno social (Pérez et al., 2018). Estas afectaciones deben ser analizadas y atendidas en la línea de su filosofía institucional.
De ahí surgieron las dos primeras categorías que fueron analizadas: RSU y RAU. Posteriormente, se identificaron tres conceptos más que dieron fundamento teórico a la investigación e hicieron posible una comprensión sistemática del fenómeno analizado: residuos sólidos, educación ambiental y plan de manejo ambiental (PMA).
A partir de lo anterior, la investigación, desde un diseño mixto secuencial, continúa con la aplicación de los instrumentos de recolección de datos y su respectivo análisis, que permitieron analizar el sistema de gestión ambiental (SGA) en lo referente al manejo de residuos sólidos en la institución. La construcción de tales instrumentos partió de las categorías derivadas de la problematización y de la revisión documental. Finalmente, se realizaron dos tipos de análisis: el primero de tipo cualitativo con alcance connotacional y el segundo de tipo cuantitativo con un alcance descriptivo. Lo anterior permitió que la información fuese interpretada y triangulada, y así reconocer algunos de los hallazgos que dieron como resultado una propuesta de PMA en perspectiva de RAU.
En tal sentido, el propósito es analizar el problema de los residuos sólidos y su manejo durante 2019 en el campus universitario. Los resultados se presentan de la siguiente manera: metodología, revisión de literatura y desarrollo de los conceptos, análisis y discusión, hallazgos y propuesta de PMA. Finalmente, se dan unas breves conclusiones.
Esta investigación fue desarrollada en la Universidad Católica de Oriente (UCO), ubicada en Rionegro (Antioquia-Colombia), y tuvo como objetivo el análisis de la RAU a la luz del plan institucional de gestión ambiental durante 2019. El desarrollo metodológico se abordó desde un diseño mixto, que representa el desarrollo de un conjunto de procesos vinculados y sistémicos, e implicó la recolección, el análisis y la triangulación de datos cualitativos, utilizando técnicas cualitativas y cuantitativas de recolección y análisis de datos a partir de un diseño de integración múltiple en tres fases, las cuales se presentan a continuación:
Fase 1. Se hizo un rastreo documental para conceptualizar las categorías con que se trabajaría en el estudio, para ello, se usaron fichas bibliográficas que luego fueron trianguladas en las reuniones del grupo de expertos que conforman la investigación.
Fase 2. Se realizó un rastreo de los datos obtenidos de diferentes sistemas de información de la universidad, para establecer si el sistema de gestión ambiental que actualmente funciona realiza gestión de los indicadores de consumo de agua y energía, así como de la generación de residuos. Del mismo modo, se realizó una encuesta para establecer la formación y el conocimiento que tienen los estudiantes sobre el SGA. En esta encuesta, se obtuvieron 121 respuestas válidas, las cuales permitieron establecer con un 1,3 % de error las percepciones de todos los estudiantes de pregrado de la UCO (N = 4696 en 2019) con un 95 % de confianza. Todos los resultados fueron analizados en los programas Excel y R.
Fase 3. Se hizo una matriz categorial para identificar los principales aspectos del PMA en la UCO y evidenciar teóricamente sus falencias respecto de la disposición de residuos sólidos; para esto, y desde un enfoque fenomenológico, se utilizó la fotografía narrativa a fin de identificar la forma de uso de los lugares de disposición final de los residuos. A su vez, se realizó un focus group para reconocer las percepciones del personal administrativo y de servicios generales sobre la manipulación y disposición de los residuos sólidos. Finalmente, se utilizó la entrevista para indagar sobre el grado de conocimiento y conciencia ambiental que existe en los estudiantes de la institución respecto de la manipulación y disposición de residuos sólidos.
Todos los instrumentos usados fueron validados en reuniones semanales, realizadas por el grupo de expertos, a su vez, se desarrolló el proceso de triangulación de técnicas y de fuentes que brindó la información resultante para los hallazgos y la discusión.
Lo ambiental se incorpora a la responsabilidad social como una dimensión conjuntamente con la económico-financiera, la sociocultural y política (Pérez et al., 2016). Desde esta perspectiva, la dimensión ambiental o ecológica conduce a prevenir, identificar y mitigar los daños ambientales ocasionados por las instituciones en desarrollo de sus actividades misionales. Así, la RSA contiene el ideal de preservación y restauración de los servicios ecosistémicos al considerar que cualquier tipo de proceso organizacional tiene impactos sobre el ambiente (explotación y consumo de recursos naturales, extracción de materias primas, generación de residuos o desechos, entre otros).
Lo anterior requiere un conjunto de acciones entre las que se destacan las propuestas por la Superintendencia de Sociedades de Colombia (Yepes et al., 2010) en su Guía para la empresa responsable: medición de la cantidad de materias primas e insumos utilizados; control de los materiales peligrosos; implementación de planes de reducción del consumo de recursos (energía y agua); implementación de planes de reducción de emisión de gases, de vertimientos y de ruidos contaminantes; implementación de planes para la reducción de residuos y desechos; capacitación y concientización del personal y grupos de interés; implementación de planes de gestión de los impactos ambientales, entre otras.
La RAU es un constructo derivado de la responsabilidad social universitaria (RSU), el cual a su vez tiene como génesis dos perspectivas. Por un lado, se concibe como una "derivación de" los desarrollos sobre responsabilidad social empresarial (RSE); por otro, se considera como una creación "originaria en" la propia universidad (Pérez et al., 2018).
En la primera línea, la RSU ha acogido las dimensiones de la RSE: a) la orientación hacia los grupos de interés y promover la competitividad, el lucro y la creación de valor (financiero), b) la búsqueda de la legitimación y aceptación social de su accionar y c) la implementación de prácticas socioambientalmente responsables, por imposición legal, por imitación de buenas prácticas o siguiendo la tendencia de la normalización y estandarización de procesos.
La perspectiva de la RSU emerge principalmente en la universidad latinoamericana al comprender la misión y función social, y como consecuencia de la preocupación por gestionar los problemas sociales y los impactos que sus funciones sustantivas (docencia, investigación, proyección social y gestión) producen sobre la comunidad y el territorio.
Estas precisiones frente a la RSU han permitido la emergencia de la RAU como un concepto que trasciende el cumplimiento de la regulación (legal o de estandarización) y que promueve, desde sus capacidades y recursos, la configuración de una cultura del cuidado y la sostenibilidad ambiental a partir del proceso formativo y de la gestión de los riesgos e impactos generados por el desarrollo de las funciones sustantivas universitarias sobre las comunidades y sobre el ambiente (Pérez et al., 2018).
Los procesos productivos, extractivos y de consumo tienen impactos significativos sobre el ambiente. En un entorno urbano, la generación y acumulación de residuos sólidos es una consecuencia directa de la vida (Rodrigues et al., 2020; Tchobanoglous y Theissen, 1994), lo cual es reforzado por el caso colombiano. De facto, durante 2017 se generaron en el país 19,9 millones de toneladas de residuos sólidos con una variación positiva del 2,1% respecto de los tres años inmediatamente anteriores y cada colombiano generó en este año 450 kg de residuos sólidos. Cabe resaltar que solo se recuperó por medio de reciclaje o nueva utilización de los residuos sólidos el 8,7 % del total generado (Departamento Nacional de Estadísticas [DANE], 2018).
En este orden de ideas, lo que se ha denominado "residuos" corresponde a un subproducto de la acción antrópica, la cual aumenta como consecuencia del constante crecimiento de la población, el desarrollo tecnológico y las estrategias de mercado como la obsolescencia programada de productos, electrodomésticos y máquinas, que, si bien mejoran la rotación de stocks y la generación de ganancias, también potencian la generación de residuos y, por tanto, los volúmenes de desechos sólidos.
Ahora bien, este concepto de residuo sólido se ha venido definiendo a su vez como el resultado de una actividad proveniente del hombre o de un animal, esto es, restos de actividades humanas que pueden ser asumidos como inútiles o que ser desechados en algún momento de su generación por ser, supuestamente, inservibles para algún fin inmediato, ignorando la posibilidad de que dichos residuos resulten útiles para otras personas. De manera más amplia, Tchobanoglous et al. (1982) indican que el residuo sólido "comprende tanto la masa heterogénea de los desechos de la comunidad urbana como la acumulación más homogénea de los residuos agrícolas, industriales y minerales" (p. 16), mientras que Collazos (2005) brinda una definición anclada, además, al ritmo problemático generado: "lo que es 'residuo' para una persona o industria, puede ser 'materia útil' para otra persona o industria" (p. 9). Según este autor, hay cuatro factores que relacionan el problema con la población en un espacio conglomerado: aumento, facilidad de adquisición, tamaño del lugar y facilidad de biodegradabilidad de lo que allí se consume.
En esta misma línea, Vargas et al. (2015) manifiestan que los residuos sólidos comprenden todo material desechado por la población que puede ser de origen doméstico, comercial, industrial, desechos de la vía pública o resultantes de la construcción. De igual forma, sostienen que cada día aumentan en cantidad y variedad como causa del incremento demográfico y del desarrollo tecnológico e industrial, así como coinciden con algunos autores ya anotados en que su disposición final es incorrecta y ha ocasionado grandes problemas al ambiente, contaminando agua, aire y suelo.
La postura asumida en este artículo se identifica con la visión de Vargas et al. (2015), y en complemento con la mirada de Collazos (2005), se centra en la generación de residuos a partir del actuar humano, el cual genera una serie de residuos sólidos que afectan de forma directa o indirecta los diversos procesos ambientales y ecosistémicos, y los impacta de forma negativa.
Según Bordehore (s. f.). existen algunas variables que se pueden denominar una causa fuerte de este riesgo/impacto de la producción de residuos sólidos, entre ellas la población que contrapone el número de habitantes con el perjuicio ambiental que estos generan, la tecnología que pone de relieve su doble función como generadora y mitigadora del impacto ambiental y la organización social que permite entrever que, de acuerdo con los valores éticos, religiosos o culturales, hacen que impacten menos el ambiente e, incluso, influyan de manera positiva en este.
A partir de lo anterior, es importante considerar la definición y clasificación de los residuos presentada en el título F del Reglamento Técnico para el Sector Agua Potable y Saneamiento Básico (RAS) (2012), que, según su composición física, los divide en a) residuos orgánicos crudos, residuos de poda, corte de césped y jardinería; b) productos de papel y productos de cartón; c) plásticos; d) textiles; e) metales ferrosos, compuestos de aluminio y otros metales no ferrosos; f) vidrio, y g) madera, caucho (goma), cuero, ceniza, rocas y escombros, huesos y otros. El mismo reglamento divide los residuos sólidos según su procedencia, en atención a que su acumulación y mayor tasa de generación procede de aglomeraciones urbanas: a) residenciales, b) industriales, c) comerciales, d) institucionales, e) hospitalarios no peligrosos, f) de barrido manual o mecánico y limpieza de áreas públicas, y g) de escombros.
Como un mecanismo orientado a reducir el impacto ambiental causado por la generación de residuos sólidos, ha emergido el modelo de las 3R ecológicas (reducir, reutilizar y reciclar), cuya nomenclatura cuenta con reconocimiento internacional. En tal sentido, el concepto reducir supone modificaciones en los imaginarios individuales y colectivos, conciencias y hábitos de consumo que conduzcan a consumos conscientes y responsables y a usar adecuadamente los bienes y medios a los cuales las personas puedan acceder. En el caso de las universidades, este concepto se ha reflejado en la reducción de papel a la hora de imprimir o hacer trabajos, lo cual permite utilizar hojas que ya estaban previamente utilizadas por un lado y la digitalización de gran cantidad de documentos. En el caso de la institución objeto de estudio, se destaca la iniciativa de utilizar el papel de desecho en la producción de material vegetal in vitro en el laboratorio de biotecnología, con lo cual su aprovechamiento es bastante prolongado.
En segundo lugar, el concepto reutilizar está íntimamente relacionado con la prevención en la producción de residuos (Lecitra, 2010). La adopción de medidas en este sentido se centra en la reutilización de envases. Tradicionalmente el sector de las bebidas y los alimentos líquidos ha sido el que mayor proporción de reutilización de los envases ha desarrollado. Sin embargo, el sistema que se ha aplicado durante muchos años ha empezado a desaparecer debido a los nuevos hábitos de consumo y a la implantación de nuevos sistemas de distribución. Otro ejemplo es el de las bolsas de los supermercados. Pero no solo es entender la reutilización como la práctica que solo adopta la manufactura. Para el caso universitario, se ha tratado de buscar la orientación hacia el desarrollo de planes y estrategias con responsabilidad ambiental. Por ejemplo, la universidad que sirve como estudio de caso para este documento cuenta con reservorios o tanques que albergan aguas lluvias para abastecer las unidades sanitarias, además de contar con edificaciones que tienen la certificación LEED, paneles solares que permiten aprovechar recursos de energía solar y ayudan a la preservación del medio ambiente.
Por último, el concepto reciclar se concibe como el aprovechamiento que se da a los diferentes residuos que emanan de un proceso para generar nuevos productos. Por su parte, Elías (2012) describe el reciclaje como la operación compleja que permite la recuperación, transformación y elaboración de un material a partir de residuos, total o parcial, en la composición definitiva. Por tanto, el reciclaje y los residuos responden a diversas actividades que pueden llevarse a cabo sobre los diferentes flujos de residuos para aprovecharse, desde el mismo uso hasta otra aplicación.
Se considera el reciclaje como una alternativa indispensable en los procesos de gestión ambiental, ya que tiene un impacto directo en el cuidado y la conservación del medio ambiente al reducir de forma amplia la generación de residuos en los procesos productivos y de servucción.
El manejo de los residuos sólidos en Colombia está regulado en la Ley 9 de 1989 (artículos 22-33), la cual dispuso que en las organizaciones se implementarán espacios de almacenamiento, al tiempo que prohíbe mantener los residuos a campo abierto o sin protección, siempre y cuando sean provenientes de instalaciones o procesos empresariales. Esta ley se complementa con el Decreto 2981 de 2013 (artículos 17-26) para la presentación adecuada de los residuos, almacenamiento y separación en la fuente, y su direccionamiento local con la expedición de los planes de gestión integral de residuos sólidos (PGIRS).
Entre las disposiciones definidas en estos PGIRS, se insta a los generadores de residuos a cumplir con los lineamientos sobre separación que permitan aprovechar las materias y energías presentes, así como al almacenamiento en recipientes por periodos limitados de tiempo que impidan la proliferación de insectos o roedores, y conserven la estética de los lugares. Igualmente, se invita a que los generadores de residuos especiales (gran volumen) sean responsables de su recolección, transporte y disposición final, y acaten las medidas para cargue, descargue, transporte, almacenamiento y disposición final de escombros, materiales, elementos, concretos y agregados sueltos, de construcción, de demolición y capa orgánica, suelo y subsuelo de excavación (Resolución 541 de 1994).
Así pues, llevar estas disposiciones normativas nacionales a la praxis es posible solo a través de los denominados PMA o de gestión ambiental.
Por ello, utilizaremos lo conceptualizado por la Autoridad Nacional de Licencias Ambientales (ANLA, s. f.):
Plan de Manejo Ambiental (PMA): Es el conjunto detallado de medidas y actividades que, producto de una evaluación ambiental, están orientadas a prevenir, mitigar, corregir o compensar los impactos y efectos ambientales debidamente identificados, que se causen por el desarrollo de un proyecto, obra o actividad.
De lo anterior se deduce que los PMA son generadores de múltiples beneficios (Vargas et al., 2015) y gracias a estos pueden mitigarse los daños ambientales, generar actividades correctivas y preventivas de los residuos, además de un correcto manejo de estos.
Por último, se concibe como necesario y de vital importancia en los PMA el componente educativo que genere una real conciencia ambiental en los actores de las instituciones donde son implementados, por lo que un modelo de educación ambiental para todos sus grupos de interés es una premisa base que debe tener cualquier organización que desee generar un impacto medioambiental positivo a partir de su PMA.
La preocupación en torno al cuidado del medio ambiente ha estado presente a lo largo de los últimos siglos, sin embargo, solo hasta este último siglo ciertos sectores de la sociedad proponen y promueven sistemas que buscan favorecer la sostenibilidad ambiental. De esta forma, se empieza a concebir la educación ambiental como un campo importante en tanto formación de una ciudadanía ecológica, con conciencia sobre el cuidado del medio ambiente.
Así, la educación ambiental ha cobrado mayor importancia desde finales del siglo XX ante la necesidad del cuidado y la preservación de los servicios ecosistémicos, ha dado pie a la estructuración y consolidación de la educación ambiental mediante el surgimiento de la Unión Internacional para la Conservación de la Naturaleza (UICN) y la Organización de Naciones Unidas para la Educación, la Ciencia y la Cultura (Unesco), las cuales han propiciado el debate en torno al problema ambiental (Avendaño, 2012).
Desde esta perspectiva, se concibe la educación ambiental como una competencia ciudadana garante del cuidado y conservación de los ecosistemas y de la vida que debe desarrollarse en los procesos formativos a partir de los avances tecnológicos y los desafíos que plantea la globalización financiera. De hecho, se ha privilegiado el desarrollo y crecimiento económico, y relegado los impactos que se generan sobre el ambiente.
Ahora, con ocasión del declive ecológico manifestado en el calentamiento global, altos niveles de contaminación, extinción de especies naturales y escases de recursos vuelve a cobrar importancia la idea de la preservación del medio ambiente como único camino para conseguir un desarrollo sustentable y respetuoso de la vida presente y futura.
Según Paz et al. (2014), las diferentes estrategias pedagógicas implemen-tadas por las instituciones educativas no resaltan la educación ambiental hacia el desarrollo de competencias ciudadanas relacionadas con la convivencia social y con la protección del medio ambiente. Así, la educación ambiental es de vital importancia en tanto permitiría integrar egresados en la sociedad que coadyuven a mitigar el impacto ambiental y proponer soluciones a los problemas asociadas.
Tales problemas son diversos y se articulan con otros fenómenos de tipo social, económico, de salud, entre otros (Ocampo, 2015), por lo que la educación ambiental es el eje central para abordar estrategias encaminadas a concientizar a la población y estimular la participación de los diferentes sectores sociales en la implementación de soluciones viables y acordes con cada realidad específica (Vargas et al., 2015).
El primer instrumento de análisis consistió en una matriz categorial a partir de la cual se pudo entender que el proceso para generar una conciencia ambiental está integrado por una serie de pasos que van desde explicar la fuente de los problemas ambientales hasta investigarlos y proponer alternativas, y de esta manera concientizar a los seres humanos frente a la urgencia de mitigar los daños causados. Así, cuando se identifican bienes comunes, tanto de las empresas como de las entidades sociales, se abre paso a un bien que beneficia a todos, humano y no humano (Jonas, 1995), que genera como resultado una mayor satisfacción para los entes implicados, y el logro de los fines esperados, general o individualmente.
Por este motivo, la universidad objeto de investigación a través del Sistema Integral de Calidad Educativa (SICE), se adhiere a estas premisas para cumplir con acciones mancomunadas que lleven a la generación de procesos sostenibles, de conciencia ambiental y sus consecuentes acciones mejoradoras del medio ambiente, comprendiendo que como institución generadora de residuos sólidos está llamada a ejercitar la RSU y la RAU. En tal sentido, ha diseñado un PMA que busca proporcionarle sustentabilidad a la institución desde el cual se implementan estrategias de educación ambiental que buscan incentivar el consumo responsable y consciente, el aprovechamiento y la reutilización de los residuos.
Este PMA atiende a la necesidad del manejo de los residuos y, al mismo tiempo, le exige a la academia hacerse cargo de los desafíos que van aconteciendo en la operacionalización de sus funciones sustantivas, y que implican transformaciones para alcanzar el progreso humano, social, ambiental, educativo y económico, que se espera en los diferentes entornos de influencia.
El proceso de matriz categorial empieza con el rastreo de los contenidos alusivos a las siguientes categorías en el PMA de la UCO:
Estrategia educativa
Práctica educativa
Prácticas de gestión de manejos de residuos sólidos
Dichas categorías transitan por diferentes escenarios que se podrían asumir en dimensiones como:
Dimensión formativa, en la cual se consideran los procesos intencionados que se vivencian en los programas, y que se encuentran articulados a los currículos. Estos son direccionados por docentes, asesores o auxiliares.
Dimensión institucional, que tiene que ver con aquellas prácticas articuladas a estrategias, acciones y actividades, que, teniendo una intencionalidad educativa, no se encuentran articuladas a procesos educativos formales, y que pueden ser continuas, a lo largo del año, o puntuales, en una acción realizada en un momento específico.
Es necesario resaltar que la universidad objeto de análisis cuenta con un SGA sustentado en la norma ISO 14001:2015 que hace las veces de diseñador, operador y veedor del cumplimiento de las apuestas, estrategias y acciones ambientales a implementar.
Teniendo presente lo anterior, se puede afirmar que para el desarrollo del análisis se revisaron diferentes documentos oficiales que orientan los procesos de gestión ambiental en la universidad. Es importante resaltar que como organización educativa y social se ha configurado como un ente con responsabilidad social y ambiental que busca entre sus marcos direccionales y en los propósitos establecidos en sus funciones sustantivas ser una institución consciente de los diversos impactos que desde dichas funciones genera en los sujetos, en la sociedad y en el ambiente. Lo anterior se corresponde con el enfoque de Vallaeys (2014) y Franco (2018) sobre responsabilidad social y ambiental universitaria.
Frente a lo expuesto, Gutiérrez (s. f.) plantea que procurar
una sociedad cada vez más comprometida con el medio ambiente es un reto ambicioso que exige reformas e innovaciones en lo privado y en lo público, en lo personal y en lo institucional, en lo individual y lo colectivo, en lo educativo y en las demás esferas de la vida ciudadana. En este sentido, las instituciones educativas de las sociedades modernas no solo tienen el deber de incorporar estrategias para conseguir ciudadanos ambientalmente educados; además tienen la responsabilidad de predicar con el ejemplo, desarrollando actuaciones modélicas que incorporen a sus estructuras organizativas nuevos modelos de gestión y nuevas formas de aprovechamiento alternativo de los recursos.
El anterior planteamiento se convierte en un desafío en cuanto al desarrollo de una cultura ambiental que lleve a poner en tensión los procesos formativos adelantados en la universidad. Cabe destacar que, si bien es cierto está declarada una intencionalidad de formación integral en el Proyecto Educativo Institucional (PEI), deberá hacerse más visible y explícito el componente ambiental como dimensión que transversalice los currículos en cada nivel de formación. Esto implica que debe apostarse por una educación ambiental aplicada a todos los programas y no solo en aquellos que tienen que ver con este campo de forma explícita, tales como la Ingeniería Ambiental, la Licenciatura en Ciencias Naturales o las Ciencias Agropecuarias, lo cual se ha dado en denominar ambientalización del currículo.
Aun así, la formación ambiental de los estudiantes de la universidad objeto de estudio no tiene una perspectiva curricular en la cual el componente ambiental como complemento marque una diferencia clara respecto de lo dispuesto en las intencionalidades formativas, como se ha podido confirmar desde la revisión documental realizada. Como ya se afirmó, sí se hace visible en programas relacionados directamente con el tema, en los que el componente ambiental es fuerte. En tal sentido, se considera necesario hacer un reconocimiento y un análisis más profundo de estas deficiencias en perspectiva de la RAU, que tenga presente aspectos como propuestas curriculares, misión, visión, funciones sustantivas universitarias, entre otras.
Aunque en el marco formativo concerniente a procesos de docencia directa en los programas se han encontrado ciertas deficiencias, es posible afirmar que la universidad ha venido implementando un conjunto de estrategias y prácticas de gestión con componente formativo que han generado impactos positivos en la consolidación de una cultura ambiental institucional. Un ejemplo de esto lo constituye la estrategia de ahorro y uso eficiente de los recursos naturales (agua y energía) y manejo integral de residuos sólidos, que se han asumido como estrategia y práctica formativa orientada a que la comunidad educativa haga uso racional y consciente de estos. Se destaca que en el marco general de la propuesta del PMA se desarrolla un proceso de concientización a partir de jornadas de información y capacitación que cumplen un papel de alta relevancia, en busca de que los participantes fomenten en sus prácticas un uso y manejo eficiente y racional del agua y la energía, más en una perspectiva del cuidado; sin embargo, se resalta la falta de seguimiento a este proceso.

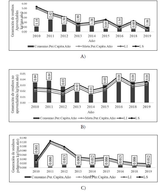
Aunque son tímidas las campañas, la implementación de estas estrategias han logrado un éxito relativo. En las figuras 2-4, se observa la evolución de los indicadores per capita del consumo de energía, agua y generación de residuos sólidos desde 2010 hasta 2019. En la mayoría de los años, el consumo de agua (a excepción de 2010), energía (a excepción de 2011) y generación de residuos estuvieron entre los intervalos de confianza de las metas estipuladas por el Comité Ambiental Universitario, lo que sugiere una adecuada gestión del sistema que evita que los consumos y la generación de residuos sobrepase las metas estipuladas.



Por otro lado, en la universidad se ha propuesto la estrategia GARE 003-04 relacionada con el manejo integral de residuos cuyo propósito es "hacer un manejo integral de los residuos generados en todas las áreas y procesos llevados a cabo al interior de la universidad", la cual incluye los siguientes aspectos: recopilación y almacenamiento en un punto ecológico, separación, clasificación y aprovechamiento de residuos, venta de residuos aprovechables y transporte y disposición de residuos no aprovechables.
Dentro de esta estrategia que propone la universidad, se evidencia la adopción de los códigos internacionales y nacionales para el manejo integral de residuos, usando correctamente la nomenclatura de color expuesta en las normas técnicas para tal fin. Sin embargo, también se evidencia que las campañas de sensibilización quedan en su mayoría reducidas al personal involucrado en su clasificación. No se especifica si hay jornadas educativas dirigidas a la comunidad estudiantil, que, además de ser los mayores generadores de dichos residuos, podría mejorar significativamente la disposición final y la generación total.
Por tal razón, es posible afirmar que la universidad debe pensar su responsabilidad ambiental no solo desde el cumplimiento de la normatividad en cuanto a rotulación y clasificación de residuos, seguimientos de consumos (agua y energía), generación de residuos, sino también desde la autosuficiencia energética. Es decir, existen otras alternativas de gestión de residuos además del reciclaje y la reutilización como la transformación de los residuos en energía útil. La RSU debe ir más allá de la norma, pensarse en el futuro, reducir en lo más posible la huella ecológica que genera su actividad en las distintas funciones sustantivas de docencia, investigación, extensión y proyección social y gestión, así como estructurar nuevos modelos que respondan a la autosuficiencia energética, cuidado y conservación ambiental con un carácter de sostenibilidad.
Teniendo presente el planteamiento anterior, en los documentos revisados se hace referencia a un conjunto de campañas que se convierten en focos de interés para el análisis que se viene realizando. Una de ellas se llama Campaña Posconsumo: Chatarra Electrónica cuyo propósito es "sensibilizar y posteriormente concientizar sobre el uso ulterior de la chatarra electrónica y la protección de los recursos naturales" en lo dispuesto en la Ley 1672 de 2013.
Lo mismo sucede con otras campañas como la de siembra de árboles nativos a partir de la cual se siembran 100 árboles nativos dentro del campus universitario logrando arborizar zonas despobladas, al tiempo de contribuir a la reducción de la huella de carbono. Por otro lado, se hace evidente la voluntad de la universidad por promover diversas campañas de concientización y sensibilización para disposición adecuada de plástico, pilas, medicamentos, entre otros, sin embargo, hacen falta datos que permitan realizar mayores análisis de resultados para estas campañas.
Con todo lo anterior, se puede deducir, como bien se afirmó, que la universidad tiene una apuesta seria y clara para el desarrollo de procesos y la implementación de estrategias que contribuyan a la reducción de los impactos ambientales causados en desarrollo de sus funciones misionales. No obstante, es necesario recalcar la necesidad de consolidar el sistema que trascienda el cumplimiento de los "debes" requeridos en los estándares definidos en la norma ISO 14001:2015 hacia la consolidación de un sistema propio de gestión ambiental que responda a la necesidad de formación de ciudadanos ecológicamente responsables y a la intervención de las problemas, potencialidades, oportunidades y riesgos que presenta la misma universidad.
Por otro lado, se recurrió a la técnica de la fotografía narrativa en consideración al alcance planteado. Así, desde un análisis con un nivel fenoménico se intentó resaltar el contenido de los textos e imágenes, precisando los eventos desde un sentido denotativo y al mismo tiempo tratando de reconocer el sentido de la imagen y las palabras. Los datos principales de su cartografía fueron área física, número de estudiantes, número de empleados, número de lugares para la separación, número de puntos ecológicos y número de cafeterías.
La figura 5 surge del análisis de las fotografías narrativas, las cuales permiten reconocer a partir de la imagen y sus descripciones ciertos estados de la realidad en momentos específicos. La imagen por sí misma es representativa y simbólica, sin embargo, es el mismo investigador el que le da el sentido a lo que se pretende mostrar a través de esta. Así entonces, a partir del análisis de las fotografías narrativas, emerge una de las formas de configuración relacional que da cuenta, en una perspectiva cualitativa, de las cercanías y lejanías que se presentan en relación con el manejo de los residuos sólidos en la universidad.
Como se puede observar respecto de las cercanías, hay dos procesos que se destacan de forma clara en relación con el manejo de los residuos sólidos. El primero refiere a los puntos ecológicos y la disposición de las canecas. En tal sentido, en la universidad hay puntos ecológicos estratégicamente situados al tiempo que se destaca el número y la cantidad de canecas claramente señalizadas y marcadas que invitan a realizar un buen manejo de estas.

Ahora bien, es importante tener presente que, aunque en el campus hay una buena disposición y cantidad de estos, el manejo de estos para el proceso de separación desde la fuente (figura 5) muestra distanciamiento del manejo esperado. Aquí hay que considerar una red compleja que teje y relaciona los espacios físicos en los que convive la comunidad educativa, cafetería, aulas de clase, oficinas, zonas de estudio, laboratorios, baños, entre otros. Lo que es posible afirmar desde las fotografías narrativas es que algunos de estos espacios presentan más problema en el manejo de los residuos sólidos desde la fuente como oficinas y aulas de clase en las que solo existe una caneca donde se depositan toda clase de residuos. El manejo, aunque es mucho mejor que en los demás puestos, siguen encontrándose inconvenientes de separación de residuos. Ahora bien, es posible afirmar que el poder identificarlos permite establecer un proceso de intervención más directo.
En las zonas verdes, se observa que el reciclaje se hace de manera desordenada, ya que no existen puestos que puedan generar un control a la hora de hacer la separación de los residuos. Aquí también se encuentra el puesto de reciclaje de solo cartón. En las mesas que hay en esta zona, se identifica que, independiente de que haya una caneca cerca, los estudiantes dejan los desechos y residuos encima de estos espacios.
En estos espacios, no se cuentan con las canecas necesarias y adecuadas para hacer la separación de los residuos. En cuanto a la deposición del cartón, como solo es un material y este es su espacio, no hay problema alguno. Se observa una falta de cultura y de sentido de pertenencia por los espacios que brinda la universidad.
Es importante resaltar que un componente de cercanía y que se configura como un proceso de formación indirecto, al mismo tiempo que un escenario posible de RAU, tiene que ver con las campañas que se hacen de forma permanente y han venido cobrando gran relevancia en la universidad, hasta el punto de que tienen un lugar propio, es decir, un espacio físico para su realización como estrategia ambiental. Estas campañas tienen que ver con recolección de chatarra tecnológica, medicamentos, pilas, entre otras, que se vienen configurando como un escenario de reflexión en relación con el manejo y uso de estos elementos.
En el Edificio de la Ciencia, en todos los pisos se encuentran los puntos de reciclaje muy bien organizados y claramente rotulados. Algo que cabe resaltar es que se inició un proyecto llamado el punto ecológico especial para el reciclaje de papel. Las canecas en todos los puestos están completas, con su bolsa y con la información clara para hacer la correcta separación de residuos. En el edificio, se incentiva la reutilización de este material, y aunque no hay canecas, la caja que se utiliza está bien presentada y organizada.
Hay un lugar que es importante resaltar, Punto Limpio, ya que es un punto de acopio de residuos donde confluye de forma directa la comunidad aledaña a la universidad como escenario de RAU. Este punto es destacado por el buen manejo de los residuos sólidos, ya que se observa que van en el lugar que les corresponde. Lo anterior puede obedecer a que la información es muy clara, está muy bien organizado y los recipientes son adecuados para cualquier cantidad de desechos que se depositen. Todo esto se encuentra claramente registrado a través de la técnica de la fotografía narrativa.
Como complemento al desarrollo de la revisión documental y la fotografía narrativa, y para profundizar más en las perspectivas, experiencias y concepciones de la comunidad educativa, se implementó la técnica del focus group. Según una guía semiestructurada de 15 preguntas, se escogieron dos grupos de participantes considerados fundamentales para evaluar el SGA en el manejo de residuos sólidos de la universidad, a los que se realizaron las mismas preguntas, sin negar la posibilidad de nuevos cues-tionamientos que surgieron de las respuestas dadas en la conversación. Se notó cómo estos fueron encaminándose a las actividades laborales de los entrevistados. Los grupos escogidos fueron personales de servicios generales y personal administrativo.
Los resultados evidencian una relación entre los siguientes fenómenos como causas más importantes de los problemas referidos a la manipulación y disposición de residuos sólidos en la institución. Una asociación entre el desconocimiento del SGA de la universidad con el mal manejo de los residuos sólidos por parte del personal de la institución según el cual el 95 % de las personas que participaron en el estudio aducen no conocer el SGA (figura 6).
Asimismo, estos participantes identificaron como causas principales del mal manejo de los residuos sólidos las medidas ineficientes por parte de la institución, la poca conciencia ambiental y el desconocimiento del SGA.
Ahora bien, un fenómeno nuevo que surge al analizar los códigos con mediación de la aplicación Atlas.ti respecto de las medidas ineficientes para el manejo de residuos sólidos por parte de la institución es el retroceso institucional en procesos de separación de residuos sólidos, lo que implica procesos a su vez incoherentes con el PMA.
Se tiene también poca claridad en el color de las canecas que está asociado, en primer lugar, a la poca conciencia ambiental respecto de la manipulación de residuos sólidos; en un segundo lugar, a la poca claridad sobre los tipos de residuos sólidos y su clasificación, y en un tercer lugar, a las medidas institucionales ineficientes.
La falta de objetividad en la clasificación de residuos sólidos se vincula principalmente a la poca claridad en los tipos de residuos sólidos, seguido del desconocimiento del SGA y el mal manejo en los residuos sólidos.
Según lo anterior, los fenómenos que deben ser intervenidos son:
Inadecuado manejo de los residuos sólidos por parte del personal de la institución
Medidas ineficientes por parte de la institución para el manejo de residuos sólidos
Poca conciencia ambiental respecto de la manipulación de residuos sólidos
Desconocimiento del sistema de gestión ambiental
Poca claridad en el color de las canecas para la separación de residuos sólidos
Poca claridad sobre la clasificación de los residuos sólidos
Retroceso institucional en procesos de separación de residuos sólidos

Por otra parte, la falta de conciencia ambiental ha conducido a la mezcla constante de residuos sólidos en el campus, que está asociada con los siguientes fenómenos (figura 7):
Inadecuada manipulación por parte del personal de la institución de los residuos sólidos y la producción alta por parte de los estudiantes de estos, ambas a su vez relacionadas con una clasificación incorrecta de estos.
El aula de clase se ha identificado como el lugar donde más residuos sólidos se generan.
La mezcla de residuos sólidos está asociada a su incorrecta clasificación por parte de estudiantes y personal de la institución, la falta de medidas prácticas institucionales, la poca claridad en el uso de las canecas para la separación de residuos, el número insuficiente de canecas para la separación y los reprocesos en el manejo institucional de estos.

Por otro lado, al efectuar el análisis de las tablas de coocurrencia, se obtuvieron las siguientes relaciones. En primer término, los aspectos que están más relacionados con la manipulación negativa de residuos sólidos en la universidad son los salones como los lugares donde más se producen estos residuos, la mala manipulación de los residuos por el personal de la institución y a falta de canecas para su clasificación. Esto se relaciona con el hecho de que dentro de las aulas de clases solo hay una papelera pequeña que no permite la clasificación, además de la permisión por parte de los docentes de dejar consumir alimentos a los estudiantes.
Respecto del manejo negativo de residuos sólidos, se pudo observar que el problema de los salones como lugares donde más residuos se producen y la mala manipulación por parte del personal de la institución influye en más de un 60 %, mientras que este fenómeno explica la mezcla de residuos sólidos en un 40 %. De igual manera, se observó que los reprocesos en el manejo institucional de residuos sólidos están relacionados en un 100 % con la mala manipulación de los residuos sólidos por el personal de la institución (figura 8).

Ahora bien, la inefectiva generación de conciencia ambiental por parte de la institución, junto con la falta de papeleras para la clasificación de residuos sólidos, explican entre un 30 a un 35 % la mala manipulación de los residuos sólidos por el personal de la institución, la mezcla de residuos sólidos y los salones como los lugares donde más residuos sólidos se producen.
Una de las prácticas institucionales que más evidencia falencias es la mezcla de residuos sólidos por parte de la comunidad, que se encuentra asociada a la falta de medidas prácticas institucionales y a su vez a la inefectiva generación de conciencia ambiental en la institución.
Por último, a través de una encuesta aplicada a la población estudiantil de pregrado, se pretendió medir el grado de conciencia ambiental con el que cuenta a partir de cuatro variables: a) conocimiento sobre los residuos sólidos y su separación, b) prácticas correctas de residuos sólidos y su separación, c) importancia que le dan a la buena práctica y manejo de los residuos sólidos y su separación, y d) opinión sobre el manejo institucional de los residuos sólidos. La encuesta tuvo un porcentaje de error del 1,3 % con un 95 % de confianza. Los resultados fueron los siguientes:
alfa de Cronbach medio = 0,75
Límite inferior de alfa de Cronbach = 0,69
Límite superior de alfa de Cronbach = 0,8
Se concluye que el instrumento tiene una adecuada consistencia interna y puede ser utilizado para medir el nivel de conciencia de los estudiantes.
Dado que no se pudo realizar un análisis factorial adecuado porque el criterio de Kaiser-Meyer-Olkin fue menor de 0,7, se procedió a realizar un análisis descriptivo de cada uno de los ítems, y se los clasificó en un nivel de conciencia alto, medio y bajo.
Los ítems que fueron categorizados en un nivel de conciencia alto están relacionados con el conocimiento que tiene el estudiante sobre la tipología de residuos, la importancia de manipular y separar adecuadamente los residuos sólidos y el reconocimiento de los diferentes tipos de canecas que permiten separar adecuadamente los residuos sólidos. En cuanto al nivel de conciencia medio, el estudiante reconoce que la información que le permite una adecuada separación de los residuos sólidos no es la suficiente, que las campañas ambientales de la universidad tampoco lo son, que no promueve adecuadamente el cuidado por el medio ambiente, que no es del todo suficiente la formación que sobre cuidado del medio ambiente recibe de la universidad y que la ubicación de las canecas en esta no es la más adecuada. Por su parte, el estudiante mostró un nivel de conciencia bajo en aspectos como escasa claridad sobre la forma en que están rotuladas las canecas en la universidad para hacer una correcta clasificación de residuos, ha recibido poca información sobre la clasificación de los residuos sólidos en la universidad, no conoce el SGA, considera que las campañas de gestión ambiental son ineficientes y no realiza adecuadamente la separación de residuos sólidos en la universidad.



Si bien es cierto que existe literatura que aborda algunos conceptos desarrollados como RSU, RAU, residuos sólidos, gestión ambiental, entre otros tratados, es necesario continuar propiciando espacios de discusión, reflexión y debate en torno al fenómeno ambiental y los problemas que lo afectan como estrategia que permita, por una parte, generar iniciativas de intervención y mitigación de los impactos ambientales, y por otra, consolidar una cultura y una conciencia personal y colectiva de conservación/ restauración de los servicios ecosistémicos.
Desde esta perspectiva, la universidad como institución educativa tiene un rol protagónico en este sentido desde el enfoque de la RAU. En efecto, esta orientación demanda la identificación y gestión de los impactos de tipo social y ambiental generados en desarrollo de las funciones misionales de docencia, investigación, extensión y proyección social, y gestión, esto es, los impactos que el accionar universitario produce sobre el territorio, las comunidades y el medio ambiente.
De esta manera, la perspectiva de la RAU debe llevar a considerar que, si bien los modelos de gestión ambiental, entre ellos el sustentado en las normas ISO, son relevantes para procurar el desarrollo sustentable organiza-cional, lo es aún más el hecho de lograr trascender el simple cumplimiento de estos desde lo regulatorio hacia la promoción, desde sus capacidades y recursos, de una cultura del cuidado ambiental. Lo anterior se asocia no solo con la preparación de profesionales idóneos, sino también con la educación ambiental, esto es, la formación de ciudadanos ecológicamente responsables, con capacidad para comprender el problema ambiental y proponer soluciones desde sus profesiones y campos de conocimiento.
En tal sentido, uno de los problemas más representativos en la universidad objeto de estudio es el concerniente al manejo de los residuos sólidos que exige fortalecer las acciones de educación ambiental, adecuada clasificación, aprovechamiento y disposición de estos. Uno de los modelos que puede contribuir a este propósito es el denominado 3R consistente en reducir, reutilizar y reciclar los residuos generados en desarrollo de las funciones misionales para lo cual debe recurrirse a la digitalización de contenidos como estrategia de ahorro de papel, demarcación adecuada de los puntos ecológicos que permitan hacer una clasificación adecuada y aprovechamiento de los residuos, disminución de los residuos no aprovechables cuyo impacto sobre el ambiente es mayor, transversalización del componente ambiental en las propuestas formativas de los diferentes niveles de educación (básica, universitaria y posgraduada).










