Artículos de Investigación
Adaptación española de la escala HPLP-II con una muestra de empleados*
Spanish Adaptation of the HPLP-II toward with a Sample of Employees
Adaptación española de la escala HPLP-II con una muestra de empleados*
Universitas Psychologica, vol. 15, núm. 4, 2016
Pontificia Universidad Javeriana

Recepción: 22 Junio 2015
Aprobación: 14 Julio 2016
Resumen: Antecedentes: El objetivo de esta investigación fue la adaptación al castellano de la Escala HPLP-II de Walker y Hill-Polerecky en población trabajadora, teniendo en cuenta que los estilos de vida tienen una gran influencia en la salud laboral. Los seis factores que mide la escala original son: Actividad física, Crecimiento espiritual, Manejo del estrés, Nutrición, Relaciones interpersonales y Responsabilidad hacia la salud. Método: participaron en el estudio 513 trabajadores (48.1 % hombres, 51.9 % mujeres), escogidos mediante un muestreo no probabilístico. Se utilizaron los programas FACTOR (versión 7.2) y SPSS 20.0. Resultados: En la escala HPLP-II, los resultados apoyan una solución de cuatro factores, reduciéndose el número de ítems de 52 a 48, con una fiabilidad adecuada (Responsabilidad hacia la salud = 0.81, Actividad física = 0.86, Nutrición = 0.7 y Crecimiento espiritual y relaciones interpersonales = 0.88) e indicios de validez en relación con MBI-GS, Autoeficacia, Satisfacción con la Vida y Engagement. Conclusiones: Las Escala HPLP-II constituyen un instrumento fiable y válido, adecuado para ser usado en español.
Palabras clave: salud laboral, estilo de vida, escala, adaptación español.
Abstract: Background: The lifestyles have great influence on the occupational health of workers. The objective of this research is the Spanish adaptation of HPLP-II Scale Walker and Hill-Polerecky in working population. Factors that measures the original scale are 6 and correspond to physical activity, Spiritual Growth, Stress Management, Nutrition, Interpersonal Relations and Responsibility to health. Method: Participants were 513 workers (48.1% male, 51.9% female), obtained by a non-probability sampling. We used the FACTOR programs (version 7.2) and SPSS 20.0. Results: In the HPLP-II scale, the results support a four-factor solution reducing the number of items 52-48, presenting adequate reliability (Responsibility towards health = 0.81, = 0.86 Physical Activity, Nutrition = 0.7 and spiritual growth and interpersonal relations = 0.88) and evidence of validity: MBI-GS, Self-Efficacy, Life Satisfaction and Engagement. Conclusions: HPLP-II Scale is a reliable and valid, suitable for use in Spanish instrument.
Keywords: occupational health, lifestyle, scales, Spanish adaptation.
Para citar este artículo: Serrano-Fernández, M. J., Boada-Grau, J., Vigil-Colet, A., & Gil- Ripoll, C. (2016). Adaptación española de la escala HPLP-II con una muestra de empleados. Universitas Psychologica, 15 (4). http://dx.doi.org/10.11144/Javeriana.upsy15-4.aeem
En la actualidad, nos encontramos con que las principales causas de enfermedad y muerte son las que provienen de estilos de vida y conductas poco saludables (Matarazzo, Weiss, Herd, Miller, & Weiss, 1984), siendo el estrés el estado psicológico que influye más negativamente sobre la salud, asociado a muchos efectos adversos como la enfermedad cardíaca coronaria, el cáncer o la supresión del sistema autoinmune (Cohen & Williamson, 1991). Las enfermedades infecciosas ceden su protagonismo a las crónicas (cáncer, diabetes, etc.) y a las suscitadas por el estilo de vida, también se tiene cada vez más evidencia de la responsabilidad de los estados psicológicos, la conducta y el contexto de vida sobre la salud (Becoña, Vázquez, & Oblitas, 2004).
El aumento de la insatisfacción laboral, la intensidad del trabajo, la inflexibilidad horaria o la dificultad para conciliar la vida laboral y personal se relaciona con el aumento de las bajas laborales por estrés, ansiedad o depresión (Allen, Herst, Bruck, & Sutton, 2000).
The Health Promoting Lifestyle Profile II (HPLP-II) de Walker y Hill-Polerecky (1996) evalúa los comportamientos promotores de salud que sirven para mantener o aumentar el bienestar y la satisfacción de la persona. La adaptación al español de la escala HPLP-II realizada por Hulme et al. (2003) fue llevada a cabo con estudiantes, en el presente estudio se desarrolla con población trabajadora, para lo cual se formulan los siguientes objetivos: primero, la consistencia interna evaluada a partir del AFE distinguirá los seis factores de la escala original inglesa (Actividad física, Crecimiento espiritual, Manejo del estrés, Nutrición, Relaciones interpersonales y Responsabilidad hacia la salud); segundo, los factores de la escala tendrán una fiabilidad adecuada y tercero, los factores de la escala mostrarán indicios de validez con correlatos externos.
Método
Participantes
Los participantes fueron 513 trabajadores en activo (48.1 % hombres, 51.9 % mujeres), la edad media era de 43.13 años (DE = 11.61); el estado civil, casado (62.2 %), pareja de hecho (7.8 %), soltero (18.7 %), divorciado/separado (10.3 %) y viudo (1.0 %). En cuanto al nivel de formación académica, la distribución fue la siguiente: ningún título académico (1.9 %), estudios primarios acabados (25.5 %), estudios secundarios acabados (43.3 %), diplomatura o ingeniero técnico (14.2 %), licenciado, ingeniero superior o arquitecto (9.9 %) y máster y/o doctorado (5.1 %).
Instrumentos
El Health Promoting Lifestyle Profile II (HPLP-II; Walker & Hill-Polerecky, 1996), en la versión en español con una muestra de estudiantes (Hulme et al., 2003), está compuesto por 52 ítems y 6 subescalas y utiliza un formato de respuesta tipo Likert de cuatro puntos (de 1 = nunca a 4 = rutinariamente ). Los factores que componen la escala de este estudio son: F1: Actividad física: de 8 ítems (α = 0.81; e. g., “4.- Sigo un programa de ejercicios planificados”); F2: Crecimiento espiritual de 9 ítems (α = 0.77; e. g., “12.- Creo que mi vida tiene propósito”; F3: Manejo del estrés de 8 ítems (α = 0.59; e. g “17.- Acepto aquellas cosas en mi vida que yo no puedo cambiar”; F4: Nutrición de 9 ítems (α = 0.64; e. g., “20.- Como de 2 a 4 porciones de frutas todos los días”; F5: Relaciones interpersonales de 9 ítems (α = 0.77; e. g., “25.- Se me hace fácil demostrar preocupación, amor y cariño a otros” y F6: Responsabilidad hacia la salud, compuesto por 9 ítems (α = 0.74; e. g., “21.- Busco una segunda opinión, cuando pongo en duda las recomendaciones de mi proveedor de servicios de salud”.
La Satisfaction With Life Scale ([SWLS]; Diener, Emmons, Larsen, & Griffin, 1985) tiene una adaptación al español realizada por Atienza, Pons, Balaguer y García-Merita (2000). Esta escala es unifactorial (α = 0.84) y está compuesta por 5 ítems (e. g., “2.- Hasta ahora he conseguido de la vida las cosas que considero importantes”). El formato de respuesta es tipo Likert de 5 puntos (1 = totalmente en desacuerdo a 5 = totalmente de acuerdo ).
La General Self-Efficacy Scale ([GSE]; Baessler & Schwarcer, 1996), en su versión española adaptada por Sanjuán, Pérez y Bermúdez (2000), posee un solo factor y está compuesta por 10 ítems (α = 0.87); e. g., “8.- Puedo resolver la mayoría de los problemas si me esfuerzo lo necesario”). El formato de respuesta es tipo Likert de 4 puntos (1= falso a 4= cierto ).
De la Utrecht Work Engagement Scale ([UWES]; Schaufeli, Salanova, González-Romá, & Bakker, 2002) se ha utilizado la versión española realizada por Salanova, Schaufeli, Llorens, Peiró y Grau (2000). Esta es una escala de tres factores, compuesta por 15 ítems; el primero, Vigor, está compuesto por 5 ítems, un ejemplo sería: “1.- En mi trabajo me siento lleno de energía” (α = 0.8); el segundo factor, Dedicación, también de 5 ítems, un ejemplo sería: “5.- Mi trabajo me inspira” (α = 0.92). La última dimensión es la Absorción, también de 5 ítems, un ejemplo sería: “8.- Me dejo llevar por mi trabajo” (α = 0.75), con formato de respuesta tipo likert de 7 puntos (de 1= en total desacuerdo a 7 = totalmente de acuerdo ).
La escala de Burnout ([MBI-GS]; Schaufeli, Leiter, Maslach, & Jackson, 1996), en la versión en lengua española (Salanova et al., 2000), evalúa el burnout y consta de 15 ítems (3 subescalas). La subescala de Agotamiento (α = 0.87) comprende 5 ítems (e. g., “6.-Estoy ‘quemado’ por el trabajo”), la de Cinismo (α = 0.85) con 5 ítems (por ejemplo, “9.-He perdido entusiasmo por mi trabajo”) y la de Eficacia profesional (α = 0.78) comprende 6 ítems (e. g., “12.-He conseguido muchas cosas valiosas en este puesto”), con respuestas tipo Likert de 7 puntos que van desde 0 = nunca/ninguna vez a 6 = siempre/todoslos días .
Finalmente, para evaluar las evidencias de validez también se utilizaron algunos correlatos (Boada-Grau, Prizmic-Kuzmica, Serrano-Fernández & Vigil-Colel, 2013) en forma de interrogantes que los informantes debían contestar. Algunas de ellas hacían referencia a cuestiones vitales como “En términos generales, ¿te sientes saludable?”, “Teniendo en cuenta la felicidad, ¿cómo estás de feliz con tu vida?” y “¿Con qué frecuencia te llevas trabajo a casa?” y se contestaban a través de una escala Likert de cinco respuestas (1 = casi nunca a 5 = casi siempre ). Otras eran contestadas mediante un dato o frecuencia, como es el caso de la edad (Johnstone & Johnston, 2005), las horas trabajadas durante la semana (Aziz & Zickar, 2006; Burke & Ng, 2007; Huang, Hu, & Wu, 2010), las citas personales demoradas y las llamadas telefónicas en fin de semana.
Procedimiento
Se utilizó el muestreo no probabilístico (Hernández, Fernández, & Baptista, 2000), también denominado aleatorio-accidental (Kerlinger, 2001), para la obtención de la muestra. La tasa de respuesta fue del 80 %, aproximadamente.
Análisis de Datos
En la presente escala, el AFE se obtuvo empleando el método de extracción Promin (Lorenzo-Seva, 1999). Se usó el programa FACTOR 7.2 (Ferrando, 2005 y Lorenzo-Seva & Ferrando, 2006), dado que permite realizar el análisis utilizando matrices de correlación policóricas, que son más apropiadas cuando los ítems presentan un formato de respuesta tipo Likert (Muthen & Kaplan, 1992). Además, proporciona la posibilidad de decidir el número de factores que se deben retener a partir del análisis paralelo (Timmerman & Lorenzo-Seva, 2011). Los análisis relativos a la fiabilidad de las subescalas y a las correlaciones de los indicios de validez de la escala HPLP-II, a partir de las correlaciones de Pearson, se realizaron con el programa SPSS 20.0.
Resultados
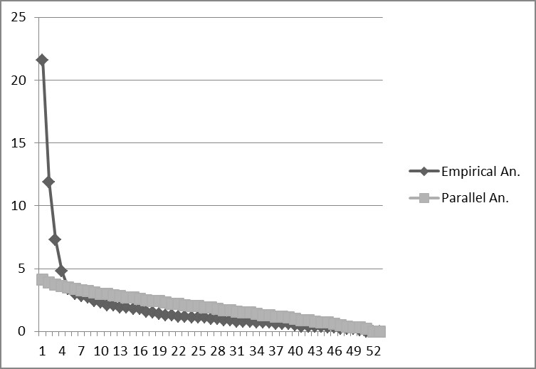
Los resultados de la prueba de esfericidad de Bartlett (chi-cuadrado, df 1326 = 10239.9; p < 0.01) y el índice Kaiser-Meyer-Olkin (KMO) de adecuación muestral de 0.869 mostraron la adecuación de los datos para la aplicación de un análisis factorial. El screen-test recomendó una solución de cuatro factores relacionados con F1: Responsabilidad hacia la salud, F2: Actividad física, F3: Nutrición y F4: Crecimiento espiritual y relaciones interpersonales. De forma complementaria, el análisis paralelo (Lattin, Carroll, & Green, 2003; Timmerman & Lorenzo-Seva, 2011) y el criterio “ mínimum average partial ” de Vellicer (1976) señalaron la adecuación de la solución de cuatro factores. La Figura 1 muestra el gráfico de sedimentación junto con el análisis paralelo indicando la solución de cuatro factores.

Una vez establecida la solución factorial más adecuada se utilizó el método de rotación Promin (Lorenzo-Seva, 1999) con el objetivo de obtener una solución factorial simple, dicho método de rotación oblicua tiende a obtener una solución lo más simple posible, incluso en aquellos casos en que alguno de los ítems muestre una estructura compleja.
A partir de los 52 ítems de la versión en inglés (Walker & Hill-Polerecky, 1996), se depuró la escala, eliminando todos aquellos ítems con saturaciones inferiores a 0.3 o saturaciones complejas (superiores a 0.3 en más de un factor). La matriz de saturaciones de la solución factorial obtenida permite identificar los contenidos de los factores. De esta forma, se seleccionaron 48 ítems con las mayores saturaciones de tal modo que los cuatro factores están constituidos por los ítems que se detallan en la Tabla 1. La varianza explicada entre todos ellos es del 45.6 %.

(b) Factores (F1. Responsabilidad hacia la salud, F2. Actividad física, F3. Nutrición, F4. Crecimiento Espiritual y Relaciones Interpersonales) de la versión en lengua castellana (N=513) con una muestra de trabajadores.
(c) Ítem eliminado en la versión castellana con una muestra de trabajadores.


En la Tabla 2 se indican la media, la desviación estándar, los coeficientes de fiabilidad y los intervalos de confianza. Respecto a la fiabilidad hallada en los cuatro factores oscila entre 0.70 y 0.88. Las correlaciones entre los factores fluctúan entre 0.24 y 0.43 lo que demuestran que es moderada.
También se aportan indicios de validez del HPLP-II en población trabajadora, mediante las correlaciones del instrumento con cuatro variables demográficas (edad y antigüedad), con diez correlatos y con cuatro escalas (MBI-GS, Autoeficacia, Satisfacción con la Vida y Engagement).
En este sentido, se puede observar cómo se establecen correlaciones entre los cuatro factores del HPLP-II y varios instrumentos. De esta forma, el factor que expresa la Responsabilidad hacia la salud (F1) correlaciona positivamente con cuatro subescalas (Agotamiento, Vigor, Dedicación y Absorción), la Actividad física (F2) correlaciona inversamente con Agotamiento y positivamente con Autoeficacia y Satisfacción por la vida, la Nutrición (F3) se asocia de forma positiva con la Eficacia personal, la Autoeficacia, la Satisfacción por la Vida, el Vigor, la Dedicación y la Absorción, y de forma negativa con el Cinismo, y el Crecimiento espiritual y las relaciones interpersonales (F4) se relaciona positivamente con la Eficacia personal, Autoeficacia y Satisfacción por la Vida, Vigor, Dedicación y Absorción, y negativamente con Cinismo.
Respecto a las variables sociodemográficas se observa que la Nutrición (F3) está relacionada positivamente con la edad y la antigüedad en la profesión, y el Crecimiento espiritual y las relaciones interpersonales (F4) se relaciona inversamente con la antigüedad (lugar de trabajo, profesión y empresa).
Finalmente, en cuanto a los correlatos externos utilizados las cuatro subescalas se asocian a varios tanto directa como inversamente. Así, la Responsabilidad hacia la salud (F1) se asocia con dos de forma directa (frecuencia del trabajo a casa y noches que se ha despertado pensando en temas de trabajo) y tres inversas (por ejemplo, horas extras trabajadas al año). Por otro lado, la Actividad física (F2) se relaciona de forma positiva con tres (por ejemplo, te sientes saludable) y cinco de forma negativa (por ejemplo, noches despertadas pensando en el trabajo). También, la Nutrición (F3) está relacionada con cinco, positivamente con cuatro (por ejemplo, sentirse feliz con tu vida) y negativamente con uno (pensar que deberías estar trabajando). Y el Crecimiento espiritual y las relaciones interpersonales (F4) se asocian con cinco positivamente (por ejemplo, días de vacaciones disfrutado) y cinco negativas (por ejemplo, antigüedad en el lugar de trabajo).


Discusión
En el presente estudio se presentan las propiedades psicométricas de la Escala de Estilos de Vida II (HPLP-II), de Walker y Hill-Polerecky (1996), partiendo de la adaptación del test efectuada en el presente trabajo. En esta versión, el instrumento consta de 48 ítems que permiten evaluar la Responsabilidad hacia la salud (F1), la Actividad física (F2), la Nutrición (F3) y el Crecimiento espiritual y relaciones interpersonales (F4).
El primer objetivo no se ha visto corroborado. Los resultados del AFE, con una muestra de trabajadores española heterogénea, no confirman el modelo de 6 factores ni los 52 ítems que se proponen en inglés (Walker & Hill-Polerecky, 1996), en castellano con una muestra de estudiantes (Hulme et al., 2003), en japonés (Wei et al., 2000) y en árabe (Aqtash & Van Servellen, 2013).
Por otro lado, la versión china realizada por Teng, Yen y Fetzer (2010) se configura en 5 factores y 30 ítems. Nuestros resultados son más parecidos a los encontrados en la versión iraní por Mohamadian, Ghannaee, Kortdzanganeh y Meihan (2013) con 4 factores y 34 ítems.
En la presente versión, el factor Manejo del estrés (SM) de la escala original inglesa desaparece, distribuyéndose sus ítems entre el resto de los factores y además hay dos factores que se fusionan en uno (Crecimiento espiritual y Relaciones interpersonales), quedando los factores tal como se expone a continuación.
El primer factor, se denomina Responsabilidad hacia la salud y está compuesto por 12 ítems, de los cuales 8 son ítems de la escala original Responsabilidad hacia la salud (HR), 3 ítems de la escala Manejo del estrés (SM) y 1 de la escala Nutrición (N). Está relacionado con el hecho de informar al doctor o a otros profesionales cuando se detectan síntomas extraños, ver programas de televisión relacionados con la salud, buscar una segunda opinión cuando se ponen en duda las recomendaciones que le hace su proveedor de salud, controlar la tensión, practicar la relajación, asistir a programas de educación sobre la salud, etc. Este factor está constituido por doce ítems (números: 2, 7, 12, 14, 18, 24, 26, 30, 35, 37, 40 y 41) y explica el 21.6 % de la varianza.
El segundo factor se denomina Actividad física y está compuesto por 12 ítems, de los cuales 8 son la totalidad de los ítems de la escala original Actividad física (PA), 3 ítems de la escala Manejo del estrés (SM) y 1 de la escala Crecimiento espiritual (SG). Su contenido hace referencia a seguir un programa de ejercicios planificados, hacer ejercicios vigorosos por lo menos tres veces a la semana, tomarse tiempo para relajarse todos los días, realizar actividades físicas livianas y de recreación, hacer estiramientos, hacer ejercicio durante actividades diarias, examinar el pulso, etc. Este factor está compuesto por doce ítems identificados con los números 3, 8, 9, 13, 19, 25, 31, 32, 36, 42, 43 y 44. La varianza que explica es del 11.9 %.
En tercer lugar, se encuentra el factor denominado Nutrición y está compuesto por 6 ítems de la escala original Nutrición (N), que tenía 9 ítems de los que 2 se han eliminado y 1 ha pasado a formar parte del factor Responsabilidad hacia la salud (F1). Los ítems de este factor están relacionados con el hecho de elegir una dieta baja en grasas, limitar el uso de azúcares, comer diariamente de 2 a 4 porciones de fruta, de 3 a 5 porciones de vegetales y de 2 a 3 porciones de lácteos al día y tomar desayuno. El presente factor está constituido por los ítems: 1, 6 17, 23, 29 y 46 y explica el 7.3 % de la varianza.
Para finalizar, el cuarto factor se denomina Crecimiento espiritual y relaciones interpersonales, este factor de 18 ítems está compuesto por 8 ítems de la escala original Crecimiento espiritual (SG), 8 ítems de la escala original Relaciones interpersonales (IR), 1 ítem de la escala Manejo del estrés (SM) y 1 ítem de la escala Responsabilidad hacia la salud (HR). Su contenido hace referencia a sentir que se está creciendo, cambiando de manera positiva, elogiar a los otros por sus éxitos, creer que la vida tiene un propósito, mantener relaciones significativas y enriquecedoras, mirar hacia el futuro, pasar tiempo con los amigos, concentrarse en pensamientos agradables a la hora de acostarse, etc. Este factor está compuesto por dieciocho ítems que son los números 4, 5, 10, 11, 15, 16, 20, 21, 22, 27, 28, 33, 34, 38, 39, 45, 47 y 48. La varianza que explica es del 4.8 %.
Respecto a las correlaciones entre los cuatro factores, en la versión en español presentada, oscila entre r = 0.24 y r = 0.43, similar a la encontrada por Teng et al. (2010) en población general de Taiwán, con r = 0.26 y r = 0.47. Contrariamente, Mohamadian et al. (2013) hallaron, en una muestra de estudiantes femeninas adolescentes iraníes, correlaciones interfactores que oscilan entre r = 0.73 y r = 0.8.
El segundo objetivo se verifica ya que los coeficientes de fiabilidad obtenidos (Tabla 2) son adecuados. El primer factor, Responsabilidad hacia la salud, presenta una fiabilidad de 0.81, situándose en un punto medio de las fiabilidades encontradas por otros autores como Carlson (2000) en enfermeras bilingües español-inglés con 0.69 en español y 0.68 en inglés; Teng et al. (2010) en población general con 0.71; Mohamadian et al. (2013) en una muestra de estudiantes femeninas adolescentes iraníes con 0.77; Wei et al. (2000) en población general con 0.84 y Aqtash y Van Servellen (2013) en inmigrantes árabes con 0.86, igual que la versión portuguesa de Tajik, Galvao y Siqueira (2010) con inmigrantes brasileños.
El segundo factor, Actividad física, muestra un alfa de Cronbach es de 0.86 como encontraron también Aqtash y Van Servellen (2013) en inmigrantes árabes y Carlson (2000) que encontró 0.86 en español y 0.85 en inglés. Así, Tajik et al. (2010) con inmigrantes brasileños hallaron una fiabilidad de 0.85. Estas fiabilidades son similares a las encontradas por Wei et al. (2000) en población general japonesa con 0.85. Sin embargo, Mohamadian et al. (2013) en una muestra de estudiantes femeninas adolescentes iraníes hallaron una fiabilidad menor (0.75) y el resultado de Teng et at. (2010) en población general de Taiwán fue superior 0.87.
El factor denominado Nutrición, tiene una fiabilidad de 0.7 igual que la encontrada por varios autores: Mohamadian et al. (2013) en una muestra de estudiantes femeninas adolescentes iraníes con 0.7 y Wei et al. (2000) en población general japonesa con 0.7, quedando en el centro de otras investigaciones como es el caso de Carlson (2000) en enfermeras bilingües español-inglés con 0.73 en español y 0.54 en inglés y Teng et al. (2010) en población general de Taiwán y Aqtash y Van Servellen (2013) en inmigrantes árabes con 0.69. La fiabilidad más alta hallada en este factor es la de Tajik et al. (2010) con inmigrantes brasileños (alfa de Cronbach = 0.75).
El cuarto factor denominado Crecimiento espiritual y relaciones interpersonales es un híbrido de los factores citados anteriormente. Con el fin de contrastar la fiabilidad, se tomó como punto de referencia aquellos dos que tienen más peso (Crecimiento espiritual, SG y Relaciones interpersonales, IR). El alfa de Cronbach del presente factor es de 0.88, siendo una puntuación superior a las encontradas por Carlson (2000) (Crecimiento espiritual, SG = 0.79; Relaciones interpersonales, IR = 0.67), Aqtash y Van Servellen (2013) (Crecimiento espiritual, SG = 0.77; Relaciones interpersonales, IR = 0.75) y Tajik et al. (2010) (Crecimiento espiritual, SG = 0.84; Relaciones interpersonales, IR = 0.69).
El tercer objetivo se verifica, ya que los indicios de validez (Tabla 2) son adecuados, encontrando cuatro investigaciones que los aportan (Can et al., 2008; Lee, Eom, Song, Chae, & Paul, 2008; Mohamadian et al., 2013; Psaros, Kagan, Auba, Alert, & Park, 2012), sin embargo, otras cinco carecen de indicios de validez: Aqtash y Van Servellen (2013), Carlson (2000), Teng et al. (2010), Tajik et al. (2010) y Wei et al. (2000).
En la Tabla 2, se pueden observar correlaciones existentes entre los 4 factores y las escalas de contraste, encontrando que el primer factor, Responsabilidad hacia la salud, correlaciona positivamente con Agotamiento ( r = 0.13, p < 0.01), Vigor ( r = 0.13, p < 0.01), Dedicación ( r = 0.15, p < 0.01), Absorción ( r = 0.1, p < 0.05), la frecuencia con la que te llevas trabajo a casa ( r = 0.21, p < 0.01), el número de noches que te has despertado pensando en temas de trabajo ( r = 0.17, p < 0.01) y negativamente con las relaciones de tipo social, el número de veces que pensaste o hasta manifestaste que debías estar trabajando ( r = -0.13, p < 0.01), la cantidad de citas personales a las que llegaste tarde por estar trabajando ( r = -0.11, p < 0.05) y el número de horas extras trabajadas al año ( r = -0.09, p < 0.05).
Mohamadian et al. (2013) encontraron la relación con la Autoeficacia ( r = 0.03, p < 0.0001), el Componente Mental ( r = 0.17, p < 0.05), el Componente Físico ( r = 0.28, p < 0.05) y la Calidad de vida ( r = 0.07, p < 0.0001). En la presente investigación, no se halló ninguna asociación entre Responsabilidad hacia la salud y otras dos variables (Autoeficacia y Satisfacción con la vida). Por otro lado, Can et al. (2008) la asociaron con la Relación con la familia ( r = 0.07, p < 0.05), la Relación con los amigos ( r = 0.16, p < 0.001) y la Autopercepción de rendimiento académico ( r = 0.1, p < 0.01).
El segundo factor, Actividad física, se relaciona positivamente con la Autoeficacia ( r = 0.17, p < 0.01) y la Satisfacción por la vida ( r = 0.13, p < 0.01), con te sientes saludable ( r = 0.14, p < 0.01), eres feliz con tu vida ( r = 0.14, p < 0.01) y los días de vacaciones que has disfrutado ( r = 0.09, p < 0.05) y negativamente con el número de noches que te has despertado pensando en temas de trabajo ( r = -0.22, p < 0.01) con el número de veces que pensaste o hasta manifestaste que debías estar trabajando estando en relaciones de tipo social ( r = -0.08, p < 0.05), con la cantidad de citas personales a las que llegaste tarde por estar trabajando ( r = -0.09, p < 0.05), con el número de horas extras trabajadas al año ( r = -0.11, p < 0.01), y con el número de sábados que has trabajado por la mañana en el caso de no ir a turnos ( r = -0.09 , p < 0.05). También correlaciona negativamente con Agotamiento ( r = -0.11, p < 0.01).
En una investigación realizada por Mohamadian et al. (2013), se encontraron relaciones entre la Actividad física y otras variables como la Autoeficacia ( r = 0.08, p < 0.0001), el Componente mental ( r = 0.21, p < 0.05), el Componente físico ( r = 0.28, p < 0.05) y la Calidad de vida ( r = 0.16, p < 0.05). Otro estudio la relaciona con otro tipo de variables como Índice de Masa Corporal (r = 0.11, p < 0.001), Autopercepción sobre el estado de salud ( r = 0.12, p < 0.001), Relación con los amigos ( r = 0.11, p < 0.01) y Autopercepción de rendimiento académico ( r = 0.08, p < 0.01) (Can et al., 2008).
El factor Nutrición, correlaciona positivamente con la Autoeficacia ( r = 0.15, p < 0.01), la Satisfacción por la vida ( r = 0.09, p < 0.05), el Vigor ( r = 0.17, p < 0.01), la Dedicación ( r = 0.15, p < 0.01) y la Absorción ( r = 0.15, p < 0.01), también con la edad ( r = 0.09, p < 0.05), la antigüedad en la profesión ( r = 0.1 , p < 0.05), el sentirse saludable ( r = 0.12, p < 0.01), el estar feliz con tu vida ( r = 0.12, p < 0.01) y la Eficacia personal ( r = 0.13, p < 0.01). De forma negativa con el número de veces que pensaste o hasta manifestaste que debías estar trabajando con estando en relaciones de tipo social ( r = -0.2, p < 0.01) y el Cinismo ( r = -0.11, p < 0.05).
Mohamadian et al. (2013) encontraron relación con la Autoeficacia ( r = 0.14, p < 0.05), el Componente mental ( r = 0.25, p < 0.05), el Componente físico ( r = 0.22, p < 0.05) y la Calidad de vida ( r = 0.23, p < 0.05). Otros autores encontraron una asociación con la Autopercepción de rendimiento académico ( r = 0.11, p < 0.001), la Relación con la familia ( r = 0.06, p < 0.05) y la Relación con los amigos ( r = 0.1, p < 0.001) (Can et al., 2008).
El cuarto factor, Crecimiento espiritual y relaciones interpersonales, se relaciona directamente con la Eficacia personal ( r = 0.41, p < 0.01), la Autoeficacia ( r = 0.28, p < 0.01), la Satisfacción por la vida ( r = 0.33, p < 0.01), el Vigor ( r = 0.39, p < 0.01), la Dedicación ( r = 0.37, p < 0.01) y la Absorción ( r = 0.32, p < 0.01), el sentirse saludable ( r = 0.28, p < 0.01), el ser feliz con la vida ( r = 0.29, p < 0.01), la frecuencia con la que te llevas trabajo a casa ( r = 0.21, p < 0.01), el número de noches que te has despertado pensando en temas del trabajo ( r = 0.21, p < 0.01) y los días de vacaciones que has disfrutado ( r = 0.10, p < 0.05).
Además, se asocia inversamente con la antigüedad en el lugar de trabajo actual ( r = -0.13, p < 0.01), la antigüedad en la profesión ( r = -0.12, p < 0.01), la antigüedad en la empresa ( r = -0.12, p < 0.01), la cantidad de citas personales a las que llegaste tarde por estar trabajando ( r = -0.09, p < 0.05) y la cantidad de oportunidades personales que perdiste por no dedicarles tiempo, debido al que le dedicas al trabajo ( r = -0.10, p < 0.05) y el Cinismo ( r = -0.13, p < 0.01).
Can et al. (2008), encontraron relaciones con la Autopercepción sobre el estado de salud (Crecimiento Espiritual: r = 0.13, p < 0.01 y Relaciones interpersonales: r = 0.1, p < 0.01), la Relación con la familia (Crecimiento espiritual: r = 0.17, p < 0.001 y Relaciones interpersonales: r = 0.13, p < 0.001), la Relación con los amigos (Crecimiento Espiritual: r = 0.27, p < 0.001 y Relaciones interpersonales: r = 0.3, p < 0.001) y la Autopercepción de rendimiento académico (Crecimiento Espiritual: r = 0.21, p < 0.001 y Relaciones interpersonales: r = 0.19, p < 0.001). Otros autores (Psaros et al., 2012), encontraron relaciones con la Edad (Relaciones interpersonales: r = -0.2, p < 0.05) y la Depresión (BDI-II) (Crecimiento espiritual: r = -0.57, p < 0.01 y Relaciones interpersonales: r = -0.32, p < 0.01).
Asimismo, se han encontrado indicios de validez de la escala medida de forma global (Lee et al., 2008), encontrando que el HPLP II correlaciona significativamente con bienestar social y familiar ( r = 0.31), bienestar emocional ( r = 0.24), bienestar funcional ( r = 0.38), preocupaciones sobre el cáncer colono rectal ( r = 0.28) y evaluación funcional de la terapia sobre el cáncer colono rectal ( r = 0.4).
En conclusión, teniendo en cuenta los resultados de la presente investigación, los resultados respaldan que la Escala de Estilos de Vida (HPLP-II) es un instrumento fiable, válido y adecuado para ser usado en español, donde se aporta evidencia de la existencia de una estructura de cuatro factores, con una reducción de 52 a 48 ítems, a la vez que muestra unos índices estadísticos adecuados (Tabachnick & Fidell, 2007). Los resultados del AFE, con la muestra heterogénea utilizada, no confirman el modelo de 6 factores ni los 52 ítems que se proponen en inglés (Walker & Hill-Polerecky, 1996), en español con una muestra de estudiantes (Hulme et al., 2003), en japonés (Wei et al., 2000) y en árabe (Aqtash & Van Servellen, 2013). Por otro lado, los coeficientes de fiabilidad de los cuatro factores son adecuados. Y, por último, se encontraron indicadores que confirman su utilización para determinar la validez de la escala.
Referencias
Allen, T. D., Herst, D. E. L., Bruck, C. S., & Sutton, M. (2000). Consequences associated with work-to-family conflict: A review and agenda for future research. Journal of Occupational Health Psychology, 5 (2), 278-308.
Aqtash, S., & Van Servellen, G. (2013). Determinants of health‐promoting lifestyle behaviors among Arab immigrants from the region of the Levant. Research in Nursing & Health, 36 , 466-477.
Atienza, F. L., Pons, D., Balaguer, I., & García-Merita, M. L. (2000). Propiedades psicométricas de la Escala de Satisfacción con la Vida en adolescentes. Psicothema, 12 (2), 314-319.
Aziz, S., & Zickar, M. J. (2006). A cluster analysis investigation of workaholism as a syndrome. Journal of Occupational Health Psychology, 11 (1), 52-62.
Baessler, J., & Schwarcer, R. (1996). Evaluación de la autoeficacia: adaptación española de la Escala de Autoeficacia General. Ansiedad y Estrés, 2 (1), 1-8.
Becoña, E., Vázquez, F., & Oblitas, L. (2004). Promoción de los estilos de vida saludables. Investigación en Detalle, 5 , 1-39.
Burke, R. J., & Ng, E. S. W. (2007). Workaholic behaviors: Do colleagues agree? International Journal of Stress Management, 14 (3), 312-320.
Can, G., Ozdilli, K., Erol, O., Unsar, S., Tulek, Z., Savaser, S., … Durna, Z. (2008). Comparison of the health‐promoting lifestyles of nursing and non‐nursing students in Istanbul, Turkey. Nursing & Health Sciences, 10 (4), 273-280.
Carlson, E. D. (2000). A case study in translation methodology using the Health-Promotion Lifestyle Profile II. Public Health Nursing, 17 (1), 61-70.
Cohen, S., & Williamson, G. M. (1991). Stress and infectious disease in humans. Psychological Bulletin, 109 (1), 5-24.
Diener, E., Emmons, R., Larsen, R. J., & Griffin, S. (1985). The satisfaction with life scale. Journal of Personality Assessment, 49 (1), 71-75.
Ferrando, P. J. (2005). Factor analytic procedures for assessing social desirability in binary items. Multivariate Behavioral Research, 40 (3), 331-349.
Huang, J. -C., Hu, C., & Wu, T. -C. (2010). Psychometric properties of the Chinese version of the workaholism battery. The Journal of Psychology, 144 (2), 163-183.
Hulme, P. A., Walker, S. N., Effle, K. J., Jorgensen, L., McGowan, M. G., Nelson, J. D., & Pratt, E. N. (2003). Health-promoting lifestyle behaviors of Spanish-speaking Hispanic adults. Journal of Transcultural Nursing, 14 (3), 244-254.
Johnstone, A., & Johnston, L. (2005). The relationship between organizational climate, occupational type and workaholism. New Zealand Journal of Psychology, 34 (3), 181-188.
Kerlinger, F. N. (2001). Investigación del comportamiento: métodos de investigación en ciencias sociales . México: McGraw-Hill.
Lattin, J., Carroll, D. J., & Green, P. E. (2003). Analyzing multivariate data . Pacific Grove: Duxbury Press.
Lee, E. O., Eom, A., Song, R., Chae, Y. R., & Lam, P. (2008). Factors influencing quality of life in patients with gastrointestinal neoplasms. Journal of Korean Academy of Nursing, 38 (5), 649-655.
Lorenzo-Seva, U. (1999). Promin: a method for oblique factor rotation. Multivariate Behavioral Research, 34 , 347-365.
Lorenzo-Seva, U., & Ferrando, P. J. (2006). FACTOR: A computer program to fit the exploratory factor analysis model. Behavioral Research Methods, Instruments and Computers, 38 (1), 88-91.
Matarazzo, J. D., Weiss, S. M., Herd, J. A., Miller, N. E., & Weiss, S. M. (Eds.). (1984). Behavioral health: A handbook of health enhancement and disease prevention . Nueva York: Wiley.
Mohamadian, H., Ghannaee, M., Kortdzanganeh, J., & Meihan, L. (2013). Reliability and construct validity of the Iranian version of Health-promoting Lifestyle Profile in a female adolescent population. International Journal of Preventive Medicine, 4 (1), 42-49.
Muthen, B., & Kaplan, D. (1992). A comparison of some methodologies for the factor analysis of non-normal Likert variables: A note on the size of the model. British Journal of Mathematical and Statistical Psychology, 45 , 19-30.
Salanova, M., Schaufeli, W. B., Llorens, S., Peiró, J. M., & Grau, R. (2000). Desde el “burnout” al “engagement”: ¿una nueva perspectiva? Revista de Psicología del Trabajo y las Organizaciones/Journal of Work and Organizational Psychology, 16 (2), 117-134.
Sanjuán, P., Pérez, A. M., & Bermúdez, J. (2000). Escala de autoeficacia general: Datos psicométricos de la adaptación para población española [The general self-efficacy scale: psychometric data from the Spanish adaptation]. Psicothema, 12 (Supl. 2), 509-513.
Schaufeli, W. B., Leiter, M. P., Maslach, C., & Jackson, S. E. (1996). Maslach Burnout Inventory - General Survey. En C. Maslach, S. E. Jackson & M. P. Leiter (Eds.), The Maslach Burnout Inventory - Test Manual (3.a ed.) Palo Alto, CA: Consulting Psychologists Press.
Schaufeli, W. B., Salanova, M., González-Romá, V., & Bakker, A. B. (2002). The measurement of engagement and burnout: A two sample confirmatory factor analytic approach. Journal of Happiness Studies, 3 , 71-92.
Tabachnick, B. G., & Fidell, L. S. (2007). Using multivariate statistic . Boston: Allyn & Bacon.
Tajik, M., Galvão, H. M., & Siqueira, C. E. (2010). Health survey instrument development through a community-based participatory research approach: Health promoting lifestyle profile (HPLP-II) and Brazilian immigrants in Greater Boston. Journal of Immigrant and Minority Health, 12 (3), 390-397.
Teng, H. L., Yen, M., & Fetzer, S. (2010). Health promotion lifestyle profile‐II: Chinese version short form. Journal of Advanced Nursing, 66 (8), 1864-1873.
Timmerman, M. E., & Lorenzo-Seva, U. (2011). Dimensionality assessment of ordered polytomous items with parallel analysis. Psychological Methods, 16 (2), 209-220.
Vellicer, W. F. (1976). Determining the number of components from the matrix of partial correlations. Psychometrika, 41 (3), 321-327.
Walker, S. N., & Hill-Polerecky, D. M. (1996). Psychometric evaluation of Health-Promoting Lifestyle Profile II . Manuscrito inédito, University of Nebraska, Medical Center, Lincoln, Estados Unidos.
Wei, C. N., Yonemitsu, H., Harada, K., Miyakita, T., Omori, S., Miyabayashi, T., & Ueda, A. (2000). Nihon eiseigaku zasshi [A Japanese language version of the health-promoting lifestyle profile]. Japanese Journal of Hygiene, 54 (4), 597-606.
Notas
Notas de autor