Efectos de la inactivación sistémica de los receptores GR y MR sobre el daño rápido en la recuperación de la memoria espacial inducido por corticosterona*
Systemic Inactivation of GR and MR Receptors on Corticosterone-induced rapid damage in Spatial Memory Recovery
Efectos de la inactivación sistémica de los receptores GR y MR sobre el daño rápido en la recuperación de la memoria espacial inducido por corticosterona*
Universitas Psychologica, vol. 15, núm. 5, 2016
Pontificia Universidad Javeriana
Recepción: 05 Agosto 2016
Aprobación: 01 Diciembre 2016
Resumen: Estudios previos de nuestro laboratorio han mostrado que diez minutos después de la administración sistémica de corticosterona se dificulta la recuperación de la memoria espacial en el laberinto de Barnes, sin embargo se desconocen los mecanismos que subyacen a este efecto. Dado que los glucocorticoides ejercen sus acciones a través de los receptores de tipo GR y MR, en el presente estudio se evaluó la participación de estos receptores en el efecto perjudicial rápido de la corticosterona sobre la memoria espacial. Para ello 37 ratas Wistar macho fueron entrenadas en la tarea y 24h después recibieron una inyección subcutánea de antagonista GR, antagonista MR o vehículo. 50min después los animales fueron inyectados con corticosterona o vehículo por vía intraperitoneal y 10min después se evaluó la recuperación de la memoria espacial. Los resultados mostraron que la corticosterona perjudicó rápidamente la recuperación de la memoria espacial a largo plazo, pues los animales inyectados con esta hormona presentaron mayores latencias de escape, mayor número de errores, mayor número de exploraciones y mayor distancia recorrida hasta alcanzar la meta; un efecto revertido solamente con la administración del antagonista MR. Este hallazgo concuerda con estudios in vitro donde se muestra que los efectos rápidos de la corticosterona sobre la trasmisión glutamatérgica en el hipocampo están mediados por los receptores MR.
Palabras clave: corticosterona, déficit rápido en la recuperación, memoria espacial, laberinto de Barnes, receptores de glucocorticoides.
Abstract: Previous studies of our laboratory have shown that it is difficult to recover the spatial memory in the Barnes maze ten minutes after a systemic administration of corticosterone; however the mechanisms that underlie this effect are unknown. Considering glucocorticoids exert their actions through GR and MR type receptors, the present study evaluated the participation of these receptors in the rapid damaging effect of corticosterone on spatial memory. For this, 37 male Wistar rats were trained on the task and 24 h afterwards they received a subcutaneous injection of GR antagonist, MR antagonist or vehicle. 50 min later the animals were injected with corticosterone or vehicle intraperitoneally and 10 min later, the spatial memory recovery was evaluated. The results indicated that corticosterone rapidly impaired spatial long-term memory recovery, as animals injected with this hormone presented higher escape latencies, more errors, higher exploration and greater traveled distance to reach the goal; an effect reverted only with the administration of the MR antagonist. This finding agrees with in vitro studies showing that the rapid effects of corticosterone on glutamatergic transmission in the hippocampus are mediated by MR receptors.
Keywords: corticosterone, rapid deficit in recovery, spatial memory, Barnes maze, glucocorticoid receptors.
Introducción
Los glucocorticoides, cortisol (en humanos) y corticosterona (en humanos, ratas y ratones), son un tipo de hormonas esteroideas segregadas por la corteza adrenal durante las situaciones de estrés. Estas hormonas pueden influenciar el aprendizaje y la memoria al activar dos tipos de receptores en el cerebro, el receptor de glucocorticoides (GR) y el receptor de mineralocorticoides (MR) (Abel & Lattal, 2001; Groeneweg, Karst, De Kloet & Joëls, 2011a).
En su estado libre de ligando GR y MR se encuentran en el citoplasma como complejos de proteínas, pero una vez se activan, se disocian del complejo, se dimerizan y se trasladan al núcleo de la célula, donde promueven la transcripción génica al unirse a sitios de reconocimiento en el ADN o al interactuar con otros factores de transcripción.
De acuerdo con de Kloet, Joëls y Holsboer (2005) aunque MR y GR comparten sitios de unión al ADN, estos no afectan los mismos tipos de genes, lo cual indica que pueden ejercer distintas acciones celulares. Los receptores MR y GR también difieren en su afinidad por los glucocorticoides y en sus patrones de distribución en el cerebro. Se sabe que el receptor MR presenta alta afinidad por los glucocorticoides, es decir que cantidades basales de los mismos son suficientes para activarlos, mientras que el receptor GR presenta baja afinidad por los glucocorticoides, es decir que requiere aumentos por encima del nivel basal para poder activarse.
Respecto a su localización, se sabe que MR tiende a encontrarse en áreas límbicas con niveles moderados en la corteza y en la amígdala, mientras que el receptor GR se expresa en todo el cerebro (Chao, Choo & McEwen, 1989). Diversas investigaciones han demostrado que ambos tipos de receptores se co-localizan en el giro dentado y en las células piramidales del hipocampo (Han, Ding, & Shi, 2014; Han, Ozawa, Matsuda, Nishi, & Kawata, 2004; Nishi, Tanaka, Matsuda, Sunaguchi, & Kawata, 2004), una estructura implicada principalmente en los procesos de memoria espacial y que es particularmente sensible a los aumentos en los niveles de corticosterona (Roozendaal, 2000; 2002).
El aumento en los niveles circulantes de corticosterona afecta diferentes fases de la memoria. Se ha demostrado que en dosis moderadas los glucocorticoides pueden mejorar la adquisición y la consolidación de la memoria a largo plazo, aunque parecen perjudicar su recuperación (Abel & Lattal, 2001; Roozendaal, 2000). Según se reporta el aumento en los niveles de corticosterona facilita la adquisición en las tareas de memoria dependientes del hipocampo (Galliot, Levaillant, Beard, Millot & Pourié; 2010); un efecto que parece requerir la activación de los receptores MR, pues el bloqueo de estos receptores previo a la adquisición (a diferencia del bloqueo de los receptores GR) revierte el efecto facilitador de la corticosterona (De Kloet, Oitzl & Joëls, 1999). Asimismo, se ha observado que el aumento en los niveles circulantes de corticosterona mejora la consolidación de la memoria (Roozendaal, 2000; Roozendaal & McGaugh, 1997; Schwabe, Joëls, Roozendaal, Wolf & Oitzl, 2011), un efecto que parece depender de la activación de los receptores GR, pues al activarlos con el uso de agonistas específicos o al bloquearlos con antagonistas específicos poco después de la adquisición se simulan y revierten respectivamente los efectos de la corticosterona, lo cual no se observa al manipular a los receptores MR (Roozendaal, 2002).
Con relación a la fase de recuperación se han evidenciado déficits tras el incremento en los niveles circulantes de corticosterona. Por ejemplo, se ha observado que los animales expuestos a estrés agudo por restricción de movimientos 1h 30m antes de la prueba de retención en la tarea de evitación pasiva al contexto, exhiben latencias significativamente menores para cruzar al compartimento oscuro en comparación con sus respectivos controles (Rashidy-Pour, Sadeghi, Taherain, Vafaei, & Fathollahi, 2004). De la misma manera, en un estudio realizado en nuestro laboratorio se evidenció que el estrés agudo por restricción de movimientos (1h) afecta la recuperación de la memoria espacial evaluada 24h después del entrenamiento en el laberinto de Barnes, pues se observó que los animales estresados 30m antes de la prueba de retención cometieron un mayor número de errores para encontrar la caja meta y presentaron mayores latencias de escape con relación a los animales control (Troncoso, Lamprea, Cuestas & Múnera, 2010).
Este efecto perjudicial de la corticosterona sobre la recuperación de la memoria también se presenta en un tiempo inferior a una hora (Prado, 2009) haciendo poco probable la producción de nuevas proteínas; por esta razón se ha sugerido la existencia de una vía de acción no genómica (Haller, Mikics & Makara, 2008).
Si bien algunos estudios indican que la corticosterona puede ejercer efectos no genómicos independientes de los receptores MR y GR a través de receptores de membrana y a la liberación de mensajeros retrógrados (Di, Malcher-Lopes, Halmos & Tasker, 2003; Di, Malcher-Lopes, Marcheselli, Bazan & Tasker, 2005; Di, Maxson, Franco & Tasker, 2009) también se ha demostrado que la participación de los receptores MR y GR pueden ser cruciales para la expresión de efectos no genómicos (Groeneweg et al, 2011a).
En el caso particular de la recuperación de la memoria espacial, se ha observado que el efecto perjudicial de la corticosterona es resistente a la inhibición de síntesis de proteínas. Sin embargo, no se ha establecido claramente el papel de los receptores GR y MR. Roozendaal, Griffith, Buranday, de Quervain y McGaugh, (2003) encontraron que dicho efecto puede estar mediado por el receptor GR. En su investigación se inyectó un agonista de receptores GR en el hipocampo dorsal de un grupo de ratas veinticuatro horas después de haber sido entrenadas en el laberinto acuático de Morris y se observó que se reproducía el efecto perjudicial de la corticosterona sobre recuperación de la memoria en dicha tarea. Asimismo, en un estudio donde se utilizaron antagonistas para ambos receptores GR y MR, se encontró que solo el antagonista de receptores MR revirtió el efecto perjudicial de la corticosterona sobre la recuperación de la memoria en ratas entrenadas en el laberinto acuático de Morris (Khaksari et al, 2007).
Estos pocos estudios sobre el papel de los receptores GR y MR en la mediación de los efectos perjudiciales de la corticosterona sobre la recuperación de la memoria espacial presentan diferencias en el tiempo de inyección de la corticosterona, que varía entre 30 y 60min antes de la prueba, la vía de administración de los fármacos (local versus sistémica); y en el protocolo de entrenamiento seguido, que suele implicar varios días de adquisición. Asimismo, dichos estudios se han realizado en el laberinto acuático de Morris y no en el laberinto espacial de Barnes, un instrumento que promueve un aprendizaje más eficiente en comparación con el laberinto acuático de Morris, al resultar menos susceptible al estrés inducido por la tarea misma (Harrison, Hosseini & McDonald, 2009).
Teniendo en cuenta lo anterior el objetivo del presente estudio fue evaluar el papel de los receptores GR y MR sobre el déficit rápido en la recuperación de la memoria espacial inducido por la corticosterona en la tarea del laberinto de Barnes, a través de la inactivación temporal de dichos receptores por medio de la inyección subcutánea de antagonistas específicos antes de la inyección intraperitoneal de corticosterona y la evaluación de la memoria.
Método
Sujetos
37 ratas Wistar macho (270 ± 20 g), suministradas por el Instituto Nacional de Salud (INS). Los animales fueron trasladados al Laboratorio de Aprendizaje y Comportamiento Animal del Departamento de Psicología y fueron alojados en grupos de cuatro ratas, en cajas de policarbonato (38 x 32 x 18cm). Durante su estadía en el laboratorio los animales permanecieron en un bioterio con condiciones de temperatura controladas (20 ±1°C), con un ciclo de luz/oscuridad estándar de 12 horas (con las luces encendidas a las 7:00h) y con acceso libre al agua y al alimento. Todos los procedimientos experimentales se realizaron entre las 7:00 y las 12:30 h, con el fin de evitar el pico circadiano de corticosterona. Los animales tuvieron un periodo de 8 días de aclimatación a las condiciones del bioterio y tuvieron 3 días de manipulación de 5min diarios antes de iniciar los procedimientos.
Fármacos y procedimientos de inyección
El antagonista de receptores MR (Antagonista MR) Spironolactona (BIOMEDICALS) y el antagonista de receptores GR (Antagonista GR) RU486 (SIGMA) fueron diluidos en propilen glicol (50 mg/kg y 10 mg/kg de peso corporal, respectivamente) e inyectados subcutáneamente a un volumen de 1ml/Kg de peso corporal, 60 minutos antes de la prueba de recuperación en el laberinto de Barnes. El vehículo utilizado fue propilen glicol al mismo volumen.
La dosis de los antagonistas y el tiempo de la inyección subcutánea fueron seleccionados con base en estudios previos (Pugh, Fleshner, & Rudy, 1997; Zhou, Kindt, Joëls & Krugers, 2011) donde se mostraron efectivos para bloquear ambos tipos de receptores, principalmente en el hipocampo.
La corticosterona HBC (SIGMA) fue diluida en solución salina (0.125 mg/kg) e inyectada intraperitonealmente a un volumen de 1ml/Kg de peso corporal, 10 minutos antes de la prueba de recuperación (es decir, 50min después de la inyección subcutánea). El vehículo utilizado fue solución salina al mismo volumen.
La dosis de corticosterona se seleccionó con base en estudios previos de nuestro laboratorio, donde mostró ser efectiva para inducir efectos perjudiciales rápidos sobre el recobro de la memoria en la tarea espacial seleccionada (Prado, 2009).
Entrenamiento y evaluación de la memoria espacial
La evaluación de la memoria espacial se realizó en el laberinto de Barnes, que consiste en una plataforma circular elevada 80cm del suelo, con 122 cm de diámetro y 18 agujeros distribuidos en la periferia, espaciados de manera regular. Debajo de uno de dichos agujeros se ubicó una caja de escape o caja meta. La selección del agujero fue aleatoria para cada animal y se mantuvo durante el entrenamiento. En el centro del laberinto se ubicó una caja de salida, la cual era elevada por el experimentador mediante un sistema de poleas. En la sala de experimentación hubo claves espaciales extra-laberínticas, las cuales se mantuvieron fijas durante el experimento. Se siguió un protocolo de entrenamiento estándar, que consistió en una sesión de habituación, en la cual cada animal fue expuesto de manera no contingente a los elementos que conformaron el arreglo experimental. 24h después se realizó una sesión de entrenamiento que consistió en 8 ensayos en los que el animal estuvo expuesto a condiciones de alta iluminación y sonido hasta encontrar el agujero donde estaba emplazada la caja meta. Cada ensayo tuvo una duración máxima de 4 minutos y se estableció un intervalo de 4 minutos entre ensayos. En esta sesión se excluyó a los animales que no aprendieron la tarea.
Finalmente, la sesión de evaluación (o prueba de recuperación) se realizó 24 horas después del último ensayo de entrenamiento, y consistió en un ensayo de exploración libre de 4 minutos sin la caja meta.
Variables evaluadas
En los ensayos de entrenamiento se evaluó la latencia para alcanzar el agujero meta, el número de exploraciones realizadas en agujeros diferentes a la meta (errores de agujero), la distancia recorrida por el animal y la velocidad media de su recorrido.
Dado que la prueba de retención consiste en un ensayo de exploración de 4 minutos sin la caja meta, para obtener datos comparables en las variables anteriormente citadas, se evaluó el desempeño de los animales hasta que exploraron por primera vez el agujero meta, es decir, aquel que contuvo la caja de escape en la sesión de adquisición (Harrison, Reiserer, Tomarken, & McDonald, 2006).
Las sesiones fueron registradas a través de un circuito cerrado de televisión y grabadas para su posterior análisis con la ayuda del software X-PLORAT 2005 diseñando en el Laboratorio de Comportamiento Exploratorio de la Universidad de Sao Paulo, en Ribeirão Preto.
Diseño experimental
La investigación fue de tipo experimental y se realizó con base en un diseño factorial 2x2 con las variables independientes: a) inyección subcutánea antagonista (Antagonista GR/ Antagonista MR/Vehículo propilen glicol), y b) inyección intraperitoneal corticosterona (Corticosterona/Vehículo salina). A continuación se presenta un esquema del diseño experimental y el protocolo realizados.

Veh= Vehículo; Cor= corticosterona, AntGR= antagonista GR y AntMR= antagonista MR
Fuente: elaboración propiaAnálisis estadísticos
Las diferencias entre los ensayos de la fase de adquisición, para cada variable, fueron evaluadas utilizando un análisis de varianza (ANOVA) de una vía de medidas repetidas o la prueba no paramétrica Friedman de medidas repetidas y chi cuadrado, dependiendo del cumplimiento de las pruebas de normalidad y homogeneidad de varianzas y se utilizaron como pruebas post-hoc los métodos de comparaciones múltiples de Holm-Sidak y Dunn, respectivamente. Las diferencias en los indicadores establecidos durante la prueba de recuperación fueron evaluadas con un análisis de varianza (ANOVA) de dos vías y se utilizó como prueba post-hoc el método de comparaciones múltiples de Holm-Sidak. En todos los casos el nivel de significancia fue establecido para probabilidades menores o iguales a 0.05.
Resultados
Adquisición
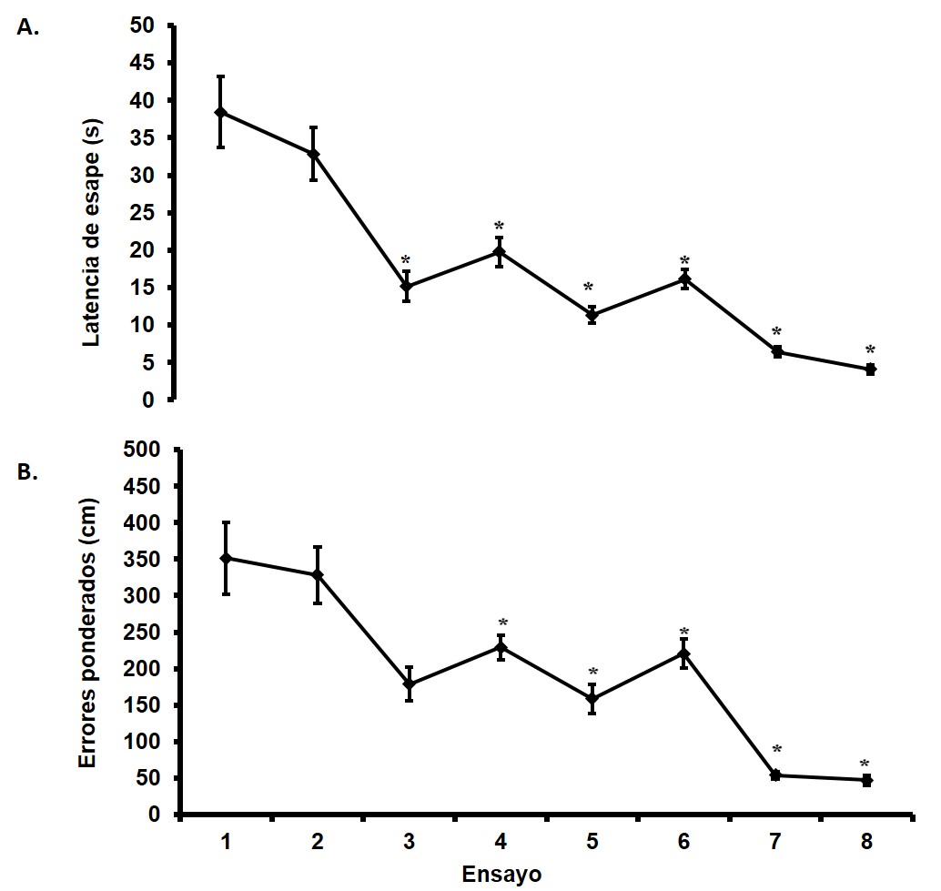
En la figura 2 se muestra el tiempo promedio que tardaron los animales en encontrar la caja meta durante la sesión de entrenamiento. Se observaron disminuciones significativas en este indicador a lo largo de los ensayos (χ2(7) = 96.448; p <0.001). De acuerdo con los análisis post hoc se encontraron diferencias significativas a partir del ensayo 3 de adquisición, con relación al ensayo 1. En la figura 2 se muestra la frecuencia de errores presentados durante los diferentes ensayos de adquisición. Se observa que los animales disminuyeron significativamente el número de exploraciones en agujeros diferentes a la meta a lo largo del entrenamiento (χ2(7) =42.866; p < 0.001). De acuerdo con los análisis post hoc se encontraron diferencias significativas a partir del ensayo 4 de adquisición, con relación al ensayo 1.

(*) p< 0.05 con respecto al ensayo 1
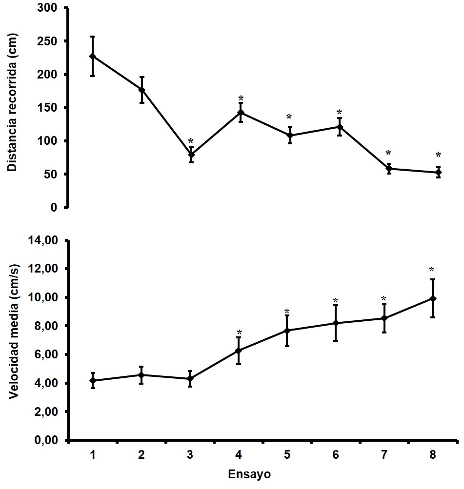
Fuente: elaboración propiaEn la figura 3 se muestra la distancia recorrida por los animales para llegar al agujero meta durante la sesión de entrenamiento. Los animales disminuyeron significativamente la distancia recorrida hasta llegar a la meta a lo largo del entrenamiento (χ2(7) =54.814; p < 0.001). De acuerdo con los análisis post hoc se encontraron diferencias significativas a partir del ensayo 3 de adquisición, con relación al ensayo 1. En la figura 3 se muestra la velocidad promedio de los animales durante cada ensayo de la sesión de entrenamiento. Como se puede observar los animales aumentaron significativamente su velocidad a lo largo del entrenamiento agujero (χ2(7) = 76.815; p < 0.001).De acuerdo con los análisis post hoc en la velocidad de los animales en los últimos ensayos de la adquisición fue significativamente mayor en comparación con los primeros ensayos.
En la figura 3 se muestra la distancia recorrida por los animales para llegar al agujero meta durante la sesión de entrenamiento. Los animales disminuyeron significativamente la distancia recorrida hasta llegar a la meta a lo largo de los ocho ensayos (χ2(7) =54.814; p < 0.001). De acuerdo con los análisis post hoc se encontraron diferencias significativas a partir del ensayo 3 de adquisición, con relación al ensayo 1. En la figura 3 se muestra la velocidad promedio de los animales durante cada ensayo de la sesión de entrenamiento. Se observa que los animales aumentaron significativamente su velocidad a lo largo del entrenamiento (χ2(7) = 76.815; p < 0.001). De acuerdo con los análisis post hoc se encontraron diferencias a significativas a partir del ensayo 4 de adquisición, con relación al ensayo 1.

(*) p < 0.05 con respecto al ensayo 1 (E1)
Fuente: elaboración propiaPrueba
En la figura 4 se muestra el tiempo promedio que tardaron los animales en encontrar la caja meta durante la sesión de prueba. No se observaron diferencias significativas entre los animales inyectados con vehículo intraperitoneal independientemente del tipo de inyección subcutánea recibida, demostrando que la sola administración de los antagonistas no afecta la latencia de escape (F= 2.596, p = 0.091). Por el contrario, se encontraron diferencias significativas entre los animales inyectados con corticosterona (F= 9.128, p=0.005). De acuerdo con los análisis post hoc, los animales inyectados con vehículo o antagonista GR subcutáneo y corticosterona intraperitoneal muestran mayores latencias de escape comparados con los animales control. Este efecto de la corticosterona es revertido con la administración del antagonista MR.

(#) p < 0.05 con respecto al grupo control respectivo
Fuente: elaboración propiaEn la figura 5 se muestra la frecuencia de errores presentados durante la prueba. No se observaron diferencias significativas entre los animales inyectados con vehículo intraperitoneal independientemente del tipo de inyección subcutánea recibida, demostrando que la sola administración de los antagonistas no afecta el los errores cometidos (F= 3.111, p = 0.06). Por el contrario, se encontraron diferencias significativas entre los animales inyectados con corticosterona (F = 11.759, p = 0.002). De acuerdo con los análisis post hoc, los animales inyectados con vehículo o antagonista GR subcutáneo y corticosterona intraperitoneal muestran un mayor número de errores comparados con los animales control. Este efecto de la corticosterona es revertido con la administración del antagonista MR.

(#) p < 0.05 con respecto al grupo control respectivo
Fuente: elaboración propiaDiscusión
Los glucocorticoides pueden influenciar diferentes aspectos de la memoria a través de la activación de los receptores GR y MR. En este estudio se evaluó si la activación de los receptores GR y MR es crítica para la expresión de un déficit rápido en la recuperación de la memoria espacial inducido por la inyección de corticosterona. En conformidad con los hallazgos previos de nuestro laboratorio se observó que la corticosterona perjudicó la recuperación de la memoria espacial a largo plazo, y se evidenció que el bloqueo de MRs pero no de GRs revirtió dicho efecto. Este hallazgo proporciona evidencia a favor de la hipótesis según la cual los glucocorticoides perjudican la recuperación de la memoria a través de mecanismos que implican la interacción con MRs.
Aunque la navegación espacial puede ser afectada por factores motivacionales o motores, nuestros resultados revelan que la administración de corticosterona sola o en presencia de los antagonistas, no interfirió con la motivación de los animales para explorar el laberinto, ni afectó la coordinación motora requerida para la navegación, pues no hubo diferencias significativas entre los animales en la latencia para iniciar la exploración ni en la velocidad promedio mantenida durante la prueba. Asimismo, la administración de los antagonistas no afectó tales variables (datos no mostrados). Estos resultados son consistentes con estudios previos donde se observa que los fármacos no afectan el desempeño motor o la motivación en el laberinto acuático de Morris o en la tarea de evitación inhibitoria (Khaksari, et al, 2007; Roozendaal et al., 2003; Roozendaal et al., 2004); indicando que los efectos de la corticosterona fueron selectivos sobre la recuperación de la memoria espacial a largo plazo.
Dichos efectos de la corticosterona sobre la recuperación de la memoria espacial a largo plazo fueron observados en una ventana temporal de 10 minutos, lo que sugiere que podrían involucrar mecanismos de acción no genómicos. De acuerdo con Nishi y Kawata, (2006) se ha determinado que el tiempo que tarda la corticosterona en unirse a sus receptores y el tiempo que estos tardan en alcanzar los sitios de reconocimiento en el ADN es aproximadamente de 30min, y dado que los procesos de traducción y transcripción génica mediados por esta acción tardan aproximadamente 120min, se argumenta que cualquier efecto mediado por los glucocorticoides, que se presente en un tiempo menor a los 30min puede ser considerado como un efecto independiente de los mecanismos de acción genómica de dichas hormonas (Haller, Mikics & Makara, 2008). Sin embargo, aunque los efectos de la corticosterona sobre la recuperación de la memoria espacial podrían tratarse de efectos no genómicos, aún es posible que dichos efectos involucren la actividad de los receptores clásicos MR y GR.
Dos investigaciones realizadas en cortes del cerebro de ratas macho, han sugerido la presencia de dichos receptores en la membrana plasmática de las neuronas. En el primer estudio, Johnson, Farb, Morrison, Mc Ewen y Le Doux (2005), combinando técnicas de inmunohistoquímica con microscopía electrónica demostraron que además de encontrar inmunoreactividad para GR (GRi) en sitios tradicionales en las neuronas de la amígdala lateral, el núcleo basal y el núcleo central, se encontró GRi en sitios extra-somáticos como los terminales axónicos presinápticos, los procesos gliares, las dendritas y las espinas dendríticas, incluyendo las densidades de membrana postsináptica. Utilizando las mismas técnicas Prager, Brielmaier, Bergstrom, McGuire y Johnson (2010) también encontraron inmunoreactividad para MR, tanto en sitios tradicionales de la amígdala lateral como en los procesos gliares, los terminales axónicos presinápticos y en las densidades de membrana postsináptica. Dichos hallazgos de inmunoreactividad para GR y MR en densidades de membrana postsináptica favorecen la hipótesis de trasladar a la membrana los receptores clásicos de glucocorticoides (Groeneweg, Karst, de Kloet & Joëls, 2011b) y sugieren su posible participación en la mediación de los efectos rápidos de la corticosterona.
En el presente estudio, el bloqueo de los receptores GR con el antagoista RU486 no tuvo una influencia sobre los efectos perjudiciales rápidos de la corticosterona en la recuperación de la memoria espacial. Este resultado concuerda con el estudio de Khaksari et al., (2007), en el cual se observó que la infusión intracerebroventricular de RU486 en animales entrenados en el laberinto acuático de Morris no revirtió el efecto perjudicial de la corticosterona inyectada 30min antes de la prueba; sin embargo, estos resultados están en contraste con el estudio de Roozendaal et al.,(2003), donde se mostró que la activación específica de los receptores GR, con la infusión de dexametasona antes de la prueba de retención en el laberinto acuático de Morris reprodujo los efectos perjudiciales de la corticosterona.
Tales diferencias en los resultados se pueden deber a diferencias en la vía de administración de los fármacos. Mientras en el presente estudio y en el estudio de Khaksari et al., (2007), los fármacos fueron administrados de manera global; en el estudio de Roozendaal et al., (2003), la infusión fue local, en el hipocampo; entonces, es posible que con la administración global de un antagonista aunque se están bloqueando principalmente los receptores hipocampales (Pugh, Fleshner, & Rudy, 1997), el bloqueo de estos receptores en otras áreas enmascaren el efecto de los receptores en el hipocampo. Sin embargo, otra posibilidad es que el bloqueo de los receptores GR no necesariamente produzca efectos opuestos a su activación con otras sustancias.
Al bloquear los receptores MR se revirtieron los efectos de la corticosterona, pues los animales inyectados con el antagonista no fueron diferentes de los controles. Estos efectos fueron específicos para la actividad de la corticosterona y no fueron un sub-efecto de la inactivación de los receptores en sí, pues los animales inyectados con el antagonista y vehículo en vez de corticosterona no mostraron cambios en su ejecución en comparación con los animales control.
Este efecto del bloqueo de los receptores de tipo MR está en línea con estudios in vitro en los que se demostró la participación de este receptor en la mediación de los efectos rápidos de la corticosterona sobre la trasmisión glutamatérgica en neuronas del hipocampo. Por ejemplo, Karst, et al (2005), con la técnica de fijación de voltaje en micro-áreas de membrana en su configuración de célula completa, encontraron que la aplicación de corticosterona aumenta de manera rápida y reversible la frecuencia de mEPSCs en el área CA1 del hipocampo, y observaron que dichos efectos no son revertidos con la aplicación de cicloheximida. De la misma manera observaron que la aplicación de antagonistas para GR no revirtió el efecto de la corticosterona, mientras que ocurrió lo contrario con antagonistas para MR. De la misma manera, el efecto rápido de la corticosterona se observó en ratones knock-out para GR cerebral, pero no en animales knock-out para MR cerebral. En este experimento se demostró que a pesar de ser rápidos, resistentes a la inhibición de síntesis de proteínas e inducibles con conjugados de alto peso molecular, los efectos de los glucocorticoides sobre la trasmisión glutamatérgica en el área CA1 del hipocampo dependen de la participación del receptor clásico MR.
Conclusión
Los glucocorticoides pueden perjudicar la recuperación de la memoria espacial a través de un mecanismo de acción no genómico que implica la actividad del receptor MR, sin embargo se debe determinar a través de qué cascadas moleculares la activación de dicho receptor regula los efectos de la corticosterona.
Referencias
Abel, T., & Lattal, M. (2001). Molecular mechanisms of memory acquisition, consolidation and retrieval. Current Opinion in Neurobiology11, 180–187.
Chao, H. M., Choo, P. H., & McEwen BS. (1989). Glucocorticoid and mineralocorticoid receptor mRNA expression in rat brain. Neuroendocrinology. 50(4), 365-71.
De Kloet, E., Joëls, M., & Holsboer, F. (2005). Stress and the brain: From adaptation to disease. Nature Reviews Neuroscience6, 463 – 475.
De Kloet, E., Oitzl, M., & Joëls M. (1999). Stress and cognition: Are corticosteroids good or bad guys? Trends in Neurosciences22 (10), 422-426.
Di, S., Malcher-Lopes, R., Halmos, K., & Tasker, J. (2003). Nongenomic glucocorticoid inhibition via endocannabinoid release in the hypothalamus: A fast feedback mechanism. The journal of neuroscience23(12), 4850–4857.
Di, S., Malcher-Lopes, R., Marcheselli, V., Bazan, N., & Tasker, J. (2005). Rapid glucocorticoid-mediated endocannabinoid release and opposing regulation of glutamate and γ-aminobutyric acid inputs to hypothalamic magnocellular neurons. Endocrinology145(10), 4292–4301.
Di, S., Maxson, M., Franco, A., & Tasker, J. (2009). Glucocorticoids regulate glutamate and GABA synapse-specific retrograde transmission via divergent nongenomic signaling pathways. The journal of neuroscience29(2), 393–401.
Galliot, E., Levaillant, M., Beard, E., Millot, J., & Pourié, G. (2010).Enhancement of spatial learning by predator odor in mice: Involvement of amygdala and hippocampus. Neurobiology of learning and memory93, 196–202.
Groeneweg, F., Karst, H., de Kloet, R., & Joëls, M. (2011a). Mineralocorticoid and glucocorticoid receptors at the neuronal membrane, regulators of nongenomic corticosteroid signaling. Molecular and Cellular Endocrinology2, 299-309. doi:10.1016/j.mce.2011.06.020.
Groeneweg, F., Karst, H., de Kloet, R., & Joëls, M. (2011b). Rapid non-genomic effects of corticosteroids and their role in the central stress response. Journal of Endocrinology209, 153–167.
Haller, J; Mikics, E; & Makara, G. (2008).The effects of non-genomic glucocorticoid mechanisms on bodily functions and the central neural system. A critical evaluation of findings. Frontiers in Neuroendocrinology, 29, 73–291.
Han, F., Ding, J., & Shi, J. (2014). Expression of amygdala mineralocorticoid receptor and glucocorticoid receptor in the single-prolonged stress rats. BMC Neuroscience15 (77), 1-11
Han, F., Ozawa, H., Matsuda, K., Nishi, M., & Kawata, M. (2004). Colocalization of mineralocorticoid receptor and glucocorticoid receptor in the hippocampus and hypothalamus. Neuroscience research51, 371-381.
Harrison, F. E., Hosseini, A. H., & McDonald, M. P. (2009). Endogenous anxiety and stress responses in water maze and Barnes maze spatial memory tasks. Behavioural Brain Research198(1), 247-251.
Harrison, F. E., Reiserer, R. S., Tomarken, A. J., & McDonald, M. P. (2006). Spatial and nonspatial escape strategies in the Barnes maze. Learning & Memory, 13(6):809-819. doi/10.1101/lm.334306.
Johnson, L., Farb, C., Morrison, J., MC Ewen, B., & Le Doux, J. (2005). Localization of glucocorticoid receptors at postsynaptic membranes in the lateral amygdala. Neuroscience136, 289–299.
Karst, H., et al. (2005).Mineralocorticoid receptors are indispensable for nongenomic modulation of hippocampal glutamate transmission by corticosterone. PNAS102 (52), 19204–19207.
Khaksari, M., Rashidy-Pour, A., & Vafae, A. (2007). Central mineralocorticoid receptors are indispensable for corticosterone-induced impairment of memory retrieval in rats. Neuroscience149,729–738.
Nishi, M & Kawata, M. (2006). Brain corticosteroid receptor dynamics andtrafficking: Implications from live cell imaging. Neuroscientist12 (2),119–133
Nishi, M., Tanaka, M., Matsuda, K., Sunaguchi, M., & Kawata, M. (2004). Visualization of glucocorticoid receptor and mineralocorticoid receptor interactions in living cells with GFP-based fluorescence resonance energy transfer. The Journal of Neuroscience24(21), 4918 – 4927.
Prado, M. (2009). Efectos de la inyección sistémica de corticosterona sobre la recuperación en una tarea de memoria espacial. Trabajo de grado. Universidad Nacional de Colombia sede Bogotá.
Prager, E., Brielmaier, J., Bergstrom, H., McGuire, J., & Johnson, L. (2010).Localization of Mineralocorticoid Receptors at Mammalian Synapses. PLoS ONE5(12),1-10.
Pugh, C.R., Fleshner, M., & Rudy, J. W. (1997). Type II glucocorticoid receptor antagonists impair contextual but not auditory-cue fear conditioning in juvenile rats. Neurobiology of Learning and Memory, 67, 75–79.
Rashidy-Pour, A., Sadeghi, H., Taherain, A., Vafaei, A., & Fathollahi, Y. (2004). The effects of acute restraint stress and dexamethasone on retrieval of long-term memory in rats: an interaction with opiate system. Behavioural Brain Research154, 193–198.
Roozendaal, B. (2000). Glucocorticoids and the regulation of memory consolidation. Psychoneuroendocrinology25, 213 – 238.
Roozendaal, B. (2002). Stress and memory: Opposing effects of glucocorticoids on memory consolidation and memory retrieval. Neurobiology of Learning and Memory78, 578 – 595.
Roozendaal B, de Quervain DJ, Schelling G, & McGaugh JL (2004). A systemically administered β-adrenoceptor antagonist blocks corticosterone-induced impairment of contextual memory retrieval in rats. Neurobiology of Learning and Memory, 81,150–154
Roozendaal, B., Griffith, Q., Buranday, J., de Quervain, D., & McGaugh, J. (2003). The hippocampus mediates glucocorticoid-induced impairment of spatial memory retrieval: Dependence on the basolateral amygdala. PNAS100 (3), 1328–1333.
Roozendaal, B., & McGaugh, J. (1997).Glucocorticoid receptor agonist and antagonist administration into the basolateral but not central amygdala modulates memory storage. Neurobiology of learning and memory, 67, 176–179.
Schwabe, L., Joëls, M., Roozendaal, B., Wolf, O., & Oitzl, M. (2011). Stress effects on memory: An update and integration. Neuroscience and biobehavioral reviews7, 740-749. doi:10.1016/j.neubiorev.2011.07.002.
Troncoso, J., Lamprea, M., Cuestas, D., & Múnera, A. (2010). El estrés agudo interfiere con la evocación y promueve la extinción de la memoria espacial en el laberinto de Barnes. Acta Biológica Colombian,15(1), 207- 222.
Zhou, M., Kindt, M., Joëls, M., & Krugers, H. J. (2011). Blocking mineralocorticoid receptors prior to retrieval reduces contextual fear memory in mice. PLoS ONE6(10), 1-9.
Notas
Notas de autor
Información adicional
Para
citar este artículo: Lamprea, M. R., & Urueña-Méndez, G. P.
(2016). Efectos de la inactivación
sistémica de los receptores GR y MR sobre el daño rápido en la recuperación de
la memoria espacial inducido por corticosterona. Universitas Psychologica, 15(5). http://dx.doi.org/10.11144/Javeriana.upsy15-5.eisr