Las verbalizaciones tipo regla del terapeuta a lo largo del proceso clínico*
The Therapist's rule-like Verbalizations throughout the Clinical Process
Las verbalizaciones tipo regla del terapeuta a lo largo del proceso clínico*
Universitas Psychologica, vol. 16, núm. 1, 2017
Pontificia Universidad Javeriana

Recepción: 17 Agosto 2015
Aprobación: 10 Noviembre 2016
Resumen: Se ha reconocido la importancia de las reglas del cliente para explicar un problema psicológico y para lograr superarlo. Sin embargo, no se ha incidido en el papel que podrían tener las reglas del terapeuta en el proceso clínico. Como un primer paso para poder dar una respuesta al respecto, en este estudio realizamos un análisis morfológico de las verbalizaciones en forma de regla emitidas por el terapeuta a lo largo del proceso clínico con el fin de identificar un patrón de emisión de este tipo de verbalizaciones que cambie de acuerdo con los distintos momentos de la terapia. Se analizaron las verbalizaciones en forma de regla emitidas por 9 terapeutas a lo largo de 19 casos clínicos (92 sesiones). Las verbalizaciones se codificaron de acuerdo con un Sistema de Categorización de las Reglas del Terapeuta (SISC-REGLAS-T). Los resultados mostraron diferencias entre el tipo de verbalizaciones en forma de regla y el objetivo que el terapeuta persigue alcanzar en los distintos momentos de la terapia. Estos resultados pueden ayudar a comprender cómo el terapeuta utiliza las verbalizaciones en forma de reglas, lo que contribuye al esclarecimiento del papel de las reglas que emite el terapeuta para conseguir el cambio clínico.
Palabras clave: reglas, verbalizaciones, proceso terapéutico, cambio clínico, terapeuta.
Abstract: It has been pointed out the importance of the rules to explain and to treat psychological problems. However it hasn’t emphasize the role that the therapist’s rules could have in clinical process. As a first step to give an answer, we realize a morphological analysis of verbalization-like-rule emitted by the therapist throughout the clinical process with the aim to identify a patron of emission of this kind of verbalization that changes according to different moments of therapy. This study analyzed the verbalization-like-rules emitted by 9 therapists over 19 clinical cases (92 sessions). The verbalizations were coded according to a system of categorization of the Rules Therapist (SISC-RULES-T). The results showed differences between the type of verbalizations-like-rules and target the therapist aims to achieve at different times of therapy. These results may help to understand how the therapist uses this kind of verbalizations, helping to clarify the functional role of rules issued by the therapist for clinical change.
Keywords: rules, verbalization, therapeutic process, clinical change, therapist.
Existe un consenso general sobre la eficacia de la psicoterapia para el tratamiento de distintos problemas psicológicos, sin embargo, no están claros los procesos de aprendizaje que subyacen en el tratamiento y están implicados en la consecución del cambio clínico. En este sentido, teniendo en cuenta que la mayor parte de lo que sucede en terapia es de carácter verbal, el análisis de las verbalizaciones que se emiten a lo largo del tratamiento podría aportar luces a esta cuestión. En estudios anteriores se han desarrollado distintos sistemas clasificatorios sobre la conducta verbal del terapeuta. La mayoría de estas clasificaciones contienen categorías nominales que pueden ser útiles para identificar modos de respuesta del terapeuta independientes del tema del discurso (Hill, 1978) asociados al regreso del cliente para continuar el proceso (Tryon, 2003). También pueden ser útiles para evaluar tipos de intervenciones del terapeuta en un tipo particular de terapia (Connolly, Crits-Christoph, Shappell, Barber, & Luborsky, 1998); estudiar la interacción terapéutica desde una perspectiva topográfica teniendo en cuenta la relación con su contexto de ocurrencia y enseñar habilidades del terapeuta (Zamignani & Meyer, 2011), identificar cómo el terapeuta responde de manera contingente y apropiada a los problemas del cliente (Callaghan, Summers, & Weidman, 2003); analizar el proceso de cambio emocional (Gumz, Lucklum, Herrmann, Geyer, & Bräler, 2011); identificar modos de respuesta del terapeuta (Elliott et al., 1987; Stiles 1992) y patrones temporales que caractericen distintos enfoques (Stiles & Shapiro, 1995). Con el fin de realizar una clasificación analítico funcional de la conducta verbal del terapeuta, Froján y su grupo de investigación (Froján-Parga, Montaño-Fidalgo, Calero-Elvira, & Ruíz-Sancho, 2008; Froján-Parga, Ruiz-Sancho, & Calero-Elvira, 2014) desarrollaron un sistema de categorías basadas en las conducta básicas de Catania.
Si bien los sistemas de categorías antes mencionados significaron grandes avances para el estudio del cambio clínico, en este estudio nos enfocamos en analizar un tipo específico de verbalización del terapeuta que no se incluye específicamente en ninguna de las categorías de estos sistemas.
El tipo de verbalización que analizamos en este estudio es lo que Skinner (1966) ha denominado regla como estímulo discriminativo especificador de contingencias, lo cual es morfológicamente entendido como la descripción de la relación entre una situación, una conducta y su consecuencia. Basados en la definición de Skinner (1996), el camino a seguir para dar una respuesta sobre cómo se logra el cambio terapéutico tendría que ser partiendo del análisis funcional de las verbalizaciones a lo largo de toda la terapia. Sin embargo, en este trabajo las analizaremos morfológicamente, pues consideramos, como lo señala Schlinger (1990), que el estudio morfológico de las verbalizaciones puede ser un paso previo decisivo para el posterior análisis funcional de las mismas.
En este estudio utilizaremos el término de verbalización en forma de regla para referirnos al tipo de verbalización y su morfología que analizamos en este estudio.
Así, partiendo de una concepción morfológica de una regla, consideramos dos criterios formales imprescindibles para identificar una verbalización en forma de regla: por un lado, basados en la concepción de regla de Skinner, esta debe describir una relación de contingencia entre una situación, una conducta y su consecuencia (aunque alguno de estos elementos no se describan explícitamente, pueden estar implícitos), y por otro, debe describir una generalidad o regularidad, es decir, sugerir una gran variedad de circunstancias (Martínez & Tamayo, 2005). Estos criterios inicialmente son morfológicos, pues aunque estemos de acuerdo en que una regla debe definirse funcionalmente, el intentar identificar las reglas que se emiten a lo largo del tratamiento, trae consigo una dificultad: solo podemos atender a lo que se dice dentro de la sesión, por lo que no podemos estar seguros de que un estímulo verbal está funcionando como un antecedente si la conducta relacionada no es visible o vocalizada. Para poder estudiar las reglas que se emiten dentro del contexto clínico, desde nuestro punto de vista, se debe atender a otro tipo de criterios que permitan poder identificarlas aunque sea atendiendo solo a sus cualidades morfológicas. Un ejemplo de verbalización en forma de regla, en un caso de celos, podría ser: “Si la próxima vez que tu marido se demore, en lugar de gritarle y reclamarle en cuanto lo veas, le preguntas tranquilamente el porqué de su retraso, puede significar una oportunidad para que él vea un cambio”. Esta verbalización incluye las verbalizaciones que refieren un antecedente y consecuente y que se pueden aplicar a distintas situaciones. Por otra parte, en esta verbalización el “retraso de la pareja” puede potencialmente cambiar su función de estímulo aversivo, ante el cual se desencadenan conductas como gritos y reclamos, a una función de ED que señala una conducta (hablar tranquilamente) reforzada positivamente (buen tono y buenas palabras) o negativamente (no discusión).
En el contexto clínico, diversos estudios han demostrado la valía de las reglas en el tratamiento de problemas específicos como trastornos de alimentación, de personalidad, de autocontrol, sexuales o del estado de ánimo (Baruch, Kanter, Busch, Richardson, & Barnes-Holmes, 2007; Cuper, Merwin, & Lynch, 2007; Kanter, Cautilli, Busch, & Baruch, 2011; López, Muñoz, & Ballesteros, 2005; Merwin et al., 2010; Plaud & Newberry, 1996). De manera general, se ha destacado la importancia de las reglas para entender, explicar y promover el cambio clínico (Kanter et al., 2011; Kensche & Schweiger, 2015; Sturmey, Ward-Horner, Marroquin, & Doran, 2007; Törneke, Luciano, & Valdivia, 2008; Guinther & Dougher, 2013). Paradójicamente, se ha señalado que los problemas psicológicos pueden explicarse en función de un excesivo seguimiento de reglas o de su ausencia (Baruch, Kanter, Busch, Richardson, & Barnes-Holmes, 2007; Kanter et al., 2011). Aún bajo esa condición contradictoria, se han identificado tipos de reglas potencialmente explicativos de los problemas psicológicos (Törneke et al., 2008; Hayes, Barnes-Holmes, & Roche, 2001). Otros teóricos han considerado que lo fundamental no se encuentra en el número de reglas formuladas, sino en lo apropiado de su contenido. Estas posturas defienden que una parte fundamental del tratamiento se enfocaría en enseñar al individuo una formulación de reglas apropiadas (Plaud & Plaud, 1998; Zettle & Hayes, 1983). Además, se destaca el papel de las reglas para lograr la generalización de lo aprendido dentro del contexto clínico y trasladarlo al contexto natural del cliente (Abreu, Costa-Hübner, & Lucchese, 2012).
Según los estudios mencionados parece que una parte fundamental de la terapia estribaría en el cambio de las reglas del cliente. Sin embargo, hacen falta estudios empíricos que analicen cómo se logra este cambio y qué es lo que hace el terapeuta para conseguir este cambio. Para responder a esta cuestión, sería primordial estudiar la interacción terapeuta-cliente. Por lo tanto, como un primer paso en esa dirección, analizamos bajo un criterio morfológico las verbalizaciones del terapeuta, específicamente, las verbalizaciones en forma de regla que emite a lo largo del tratamiento.
Froján-Parga et al. (2014) han propuesto de forma detallada una metodología para estudiar el papel de las verbalizaciones en forma de regla dentro del campo clínico. Froján, Pardo, Vargas y Linares (2011), utilizando esta metodología en un estudio de caso, reportaron un patrón específico de regla con relación a la actividad que el terapeuta realiza: evaluar, explicar, tratar o consolidar el cambio. En otro estudio, Vargas-de la Cruz y Pardo-Cebrian (2014) confirmaron que el terapeuta experto, a diferencia del inexperto, ajusta mejor el tipo de regla de acuerdo con las actividades antes señaladas. Estos datos sugieren que las verbalizaciones en forma de regla parecen seguir un patrón relacionado con el momento de la terapia, lo que nos hace suponer que tienen un papel importante dentro de la terapia. Sin embargo, el reducido tamaño de las muestras estudiadas limita las conclusiones que podrían extraerse del análisis.
En el presente estudio analizamos las verbalizaciones en forma de regla a lo largo del proceso clínico con el fin de identificar las posibles diferencias formales entre los distintos modos de emitir una verbalización en forma de regla con relación a las distintas actividades que se realizan en terapia. Una diferencia con respecto a los estudios anteriores es que se utilizó una muestra de casos más extensa para recabar mayor evidencia empírica que soporte esta línea de análisis.
Para lograr este objetivo, diseñamos un sistema de categorías morfológico: el Sistema de Categorías de las Reglas emitidas por el Terapeuta (SISC-REGLAS-T), el cual fue utilizado en los estudios antes señalados. Ya que nuestro propósito tiene un carácter más morfológico que funcional, no incluimos las categorías tracking, pliance y augmenting (ver Hayes, Zettle, & Rosenfarb, 1989; Törneke et al., 2008) ya que están formuladas para hacer un análisis funcional. Para realizar un análisis funcional bajo estas categorías sería necesario identificar si el control es ejercido por la mediación de otros, por la forma de acción efectuada o por las funciones transformadas de estímulos; del mismo modo, la identificación de tactos y mandos (Skinner, 1957) requiere evaluar si la conducta está siendo controlada por el reforzador mencionado o por un reforzador generalizado. El análisis funcional constituiría un paso siguiente en la línea de investigación que proponemos.
El SISC-REGLAS-T incluye categorías según el tipo de agente, que se refiere al sujeto o sujetos que ejecutan la conducta señalada en la verbalización, y el tipo de contexto, que se refiere al ambiente donde se realiza la conducta señalada en la verbalización. Como subcategorías, los elementos de la contingencia que se especifican dentro de la verbalización: situación (sit), conducta (cd) y consecuencia (csc). Por ejemplo, en la verbalización “Si cada vez que mi novio me llama, yo lo riño, acabará por no llamarme” el agente es “yo”, el contexto es “cada vez que mi novio llama”. En relación con las subcategorías, “cada vez que mi novio llama” es la situación, “reñir” es la conducta y “acabará por no llamarme” es la consecuencia.

Toda verbalización en forma de regla tiene un tipo de agente, un tipo de contexto (excepto cuando se trata de un concepto, donde el contexto no es pertinente) y la explicitación de una, dos o las tres subcategorías.
Como se señala en la Tabla 1, cuando el agente de la contingencia es el mismo cliente, lo identificamos como Personal; cuando el agente es un individuo en particular o un colectivo, lo denominamos Concreto; cuando el agente es indefinido o impreciso, lo llamamos Indefinido; y, cuando el agente es un ente abstracto, lo codificamos como Concepto.
A su vez, cuando el entorno en el que se desarrolla la conducta es impreciso, lo denominamos contexto General y cuando la acción se desarrolla en un entorno determinado, pero no se refiere a una situación concreta, lo codificamos como contexto Particular.
Toda verbalización en forma de regla Personal, Concreta o Indefinida puede ser también Particular o General; excepto, la de Concepto, pues al hacer alusión a una relación abstracta, el contexto va más allá de cualquier situación y analizar el tipo de contexto no es pertinente.
Para identificar las distintas actividades que se realizan durante el proceso terapéutico, nos basamos en el estudio de Ruiz-Sancho, Froján-Parga y Calero-Elvira (2013). En dicho estudio, después de la observación y análisis de un gran número de sesiones, las autoras reportaron que la conducta verbal del terapeuta mostró un patrón sistemático que cambiaba en relación al objetivo específico perseguido por el terapeuta en cada momento de la terapia. Para conseguir el objetivo general de la terapia, que es lograr el cambio clínico, el terapeuta debe alcanzar a lograr ciertos objetivos específicos. Estos objetivos están relacionados con un tipo de actividad específica, a la que denominaron actividad clínicamente relevante (ACR), término ya utilizado en terapias de tercera generación (ver Kohlenberg & Tsai, 1991). Las autoras identificaron cuatro ACR: evaluar, explicar, tratar o consolidar el cambio. En la actividad de evaluación el objetivo del terapeuta es examinar la problemática del cliente. En la de la explicación, el objetivo es explicar el análisis funcional y la propuesta de tratamiento de cada problemática. El objetivo en la actividad de tratamiento se centra en el entrenamiento y/o aplicación de estrategias dentro de sesión y en la evaluación de los cambios, dificultades y progresos producidos en el entorno del cliente con motivo de la aplicación del programa de intervención. Por último, en la actividad de consolidación, el objetivo es afianzar los logros del cliente.
El objetivo de este estudio es realizar un análisis morfológico de las verbalizaciones en forma de regla emitidas por el terapeuta a lo largo del tratamiento con el fin de encontrar un patrón de emisión de este tipo de verbalizaciones que cambie de acuerdo con los distintos objetivos que se persiguen en terapia.
La hipótesis de partida es que las verbalizaciones en forma de regla cambiarán de acuerdo con cada ACR. Si las reglas que emite el terapeuta cambian a lo largo del tratamiento con relación a las distintas ACR que se realizan durante la terapia confirmaríamos si las reglas del terapeuta se ajustan de acuerdo con los distintos objetivos específicos de cada momento o ACR de la terapia. Si esto es así, significaría que estas verbalizaciones no se emiten al azar. Los datos obtenidos aportarían evidencia a favor de la pertinencia de esta metodología para estudiar el papel de las reglas en el cambio clínico. Además, significaría un primer paso hacia la clarificación del papel de las reglas del terapeuta en el cambio clínico.
Método
Participantes
Se analizaron las grabaciones de 92 sesiones clínicas procedentes de 19 casos clínicos diferentes llevadas a cabo por nueve terapeutas de orientación cognitivo conductual. Dichas sesiones provenían del Instituto Terapéutico de Madrid, donde ejercían los terapeutas participantes.
En todos los casos, se trató de clientes adultos y la intervención psicológica fue individual con una duración aproximada de una hora. Se obtuvo el consentimiento de todos los clientes, a los que se garantizó la confidencialidad y privacidad de los datos. Este procedimiento fue aprobado por el Comité de Ética de la Investigación de la Universidad Autónoma de Madrid.
Materiales e instrumentos
Las grabaciones de las sesiones se hicieron en el centro colaborador mediante un circuito cerrado de cámaras y vídeo. En la Tabla 2 se muestran las características de las grabaciones.

* La sesión correspondiente a la fase final de tratamiento no pudo ser grabada ni analizada.
Para la codificación de las reglas del terapeuta se utilizó el Sistema de Categorías de las Reglas emitidas por el Terapeuta (SISC-REGLAS-T) y el software The Observer XT versión 7.0. Para el análisis estadístico de los datos, se utilizó el software SPSS 20.0.
Procedimiento
Después de grabar las sesiones de los casos completos mediante un circuito cerrado de cámaras, se seleccionaron al azar las sesiones que se utilizarían para el estudio. Una vez seleccionadas las sesiones, se realizó un análisis de conglomerados cuya variable de agrupación fue la ACR con el fin de clasificar cada sesión de acuerdo a la ACR a la que pertenecían. Dichas sesiones se integraron en cuatro grupos: Grupo de evaluación, de explicación, de tratamiento y de consolidación.
Posteriormente, se codificaron y registraron las verbalizaciones en forma de regla emitidas por el terapeuta a través del SISC-REGLAS-T. Se codificaron las categorías de acuerdo: con el tipo de agente (personal, concreto, indefinido y concepto) y de contexto (particular y general), y, las subcategorías de acuerdo con los elementos de la contingencia: situación, conducta y consecuencia.
Con el fin de garantizar un adecuado grado de acuerdo intra e inter observadores en el registro de las sesiones, se evaluó de forma periódica la confiabilidad entre los observadores. Cada observador registró la sesión de forma independiente y se hizo el cálculo del porcentaje de acuerdos, del índice kappa de Cohen y el porcentaje de precisión teórica de los observadores asociado a cada índice kappa de Cohen (Bakeman, Quera, McArthur, & Robinson, 1997). En el caso de los registros de un mismo observador, se calculó guardando un período de 10 días entre dos observaciones. En total se realizó el análisis de la fiabilidad en 26 sesiones, en 13 de las cuales se calculó el acuerdo entre el mismo observador y en las otras 13, el acuerdo entre distintos observadores. Los porcentajes de acuerdo oscilaron entre un 78 % y 92 % en el mismo observador y entre un 63 % y 90 % entre distintos observadores; los coeficientes kappa oscilaron entre 0.90 y 0.68 en el mismo observador y entre 0.84 y 0.60 en distintos observadores. Estos coeficientes reflejaron un grado de acuerdo entre “bueno” y “excelente”. Todos los análisis fueron significativos (nivel estadístico de 0.01), lo que lleva a rechazar la hipótesis de que los acuerdos observados se debían al azar. Los porcentajes de precisión asociada, en general, oscilaron entre un 77 % y 96 %.
Posteriormente, se procedió a la comparación del tipo de verbalización en forma de regla entre cada uno de estos grupos.
Esta comparación consistió en un análisis intergrupo, comparando cada ACR con respecto al tipo de verbalización en forma de regla (categorías y subcategorías), y un análisis intragrupo, comparando el tipo de verbalización en forma de regla (categorías y subcategorías) dentro de cada actividad. El grupo de evaluación estuvo conformado por 17 sesiones; el grupo de explicación por 25 sesiones; el grupo de tratamiento por 30 y el de consolidación por 20 sesiones.
Para la comparación intergrupo e intragrupos se utilizaron pruebas no paramétricas debido al tamaño pequeño de la muestra de algunos grupos y porque las poblaciones de algunas de las variables, de acuerdo con la prueba Kolmogorov-Smirnov, no cumplieron con el supuesto de normalidad: las poblaciones relacionadas con el tipo de verbalizaciones en forma de reglas particulares (Z =1.651, p = 0.009) y concretas (Z = 2.259, p = 0).
La comparación intergrupo se realizó a través de la prueba H de Kruskal-Wallis, tomando como variable de agrupación las cuatro ACR. En relación con los resultados obtenidos, se realizó una segunda prueba, la U de Mann-Whitney acompañada de la corrección de Bonferroni para controlar la probabilidad de cometer errores de tipo I. Del mismo modo, para la comparación intragrupo se utilizó la prueba de Friedman y la de Wilcoxon para dos muestras relacionadas, acompañada de la corrección de Bonferroni.
Resultados

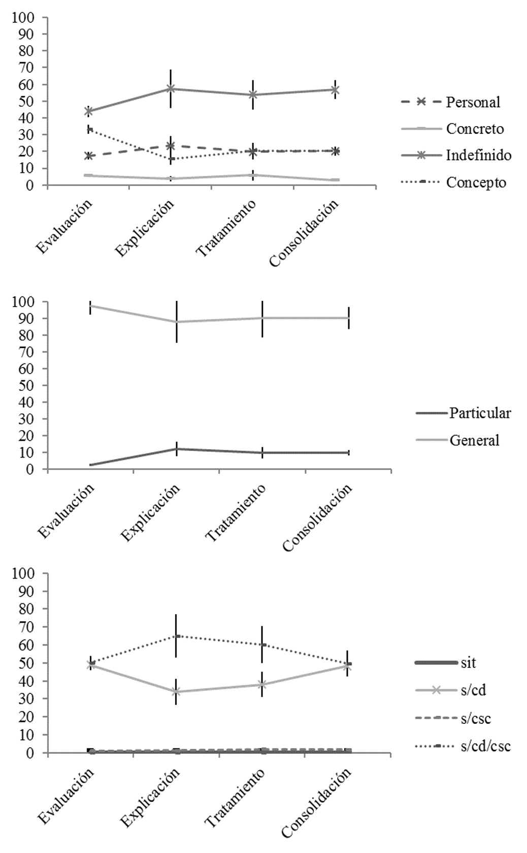
Como se muestra en la Figura 1, en la gráfica superior las verbalizaciones indefinidas se emitieron en mayor medida que el resto de las verbalizaciones (entre 43 y 65 %), y tendieron a aumentar a lo largo de la terapia, se emitieron en menor medida (entre 5.7 y 3.8 %) en tanto que las concretas tendieron a disminuir. Después del análisis funcional, las reglas personales tendieron a disminuir (de 23.4 a 19.8 %) y las reglas concepto a aumentar (de 15.4 a 20.5 %) en los momentos de tratamiento. En los de consolidación se mantienen constantes (20.2 %).
Atendiendo al tipo de contexto, de acuerdo con la gráfica central de la Figura 1, las reglas generales se emitieron en mayor medida (entre 87.9 y 97.4 %) que las reglas particulares (entre 2.5 y 12 %) en toda la terapia.
Con respecto al tipo de subcategoría, datos que se muestran en la gráfica inferior de la Figura 1, la emisión de situación sola fue nula prácticamente (entre 0 y 0.2 %) al igual que de Sit/Csc (entre 1 y 2 %). En los momentos de evaluación no hubo diferencia evidente entre Sit/Cd y Sit/Cd/Csc (48.9 y 50 %). En los momentos de explicación la explicitación de la Sit/Cd/Csc aumentó (65 %), en tanto que la explicitación de Sit/Cd disminuyó (33.9 %). En los momentos siguientes, en los de tratamiento y consolidación, la Sit/Cd/Csc tendió a disminuir (60 y 49.7 %) y la Sit/Cd a aumentar (37.8 y 48.2 %).
Comparación intergrupo: entre las ACR con respecto al tipo de regla emitido
Este tipo de análisis se realizó en función de la emisión de un tipo de verbalización entre las distintas actividades. Aunque no se pudo afirmar que un tipo de regla caracterizó algún tipo específico de ACR, sí se pudo identificar un patrón en el modo en el que el terapeuta utiliza las reglas, con pequeñas variaciones en determinados momentos.
Los resultados mostraron, con respecto al tipo de agente, que las únicas diferencias significativas se encontraron en las reglas indefinidas (X3 = 10.448; p = 0.015) y de concepto (X3 = 15.635; p = 0.001). Las verbalizaciones en forma de regla indefinidas se emitieron en mayor medida en los momentos de explicación (Z = -3.053; p = 0.002) y consolidación (Z = -2.796; p = 0.005), que en los momentos de evaluación. Las de tipo concepto se emitieron en mayor medida en los grupos de evaluación (Z = -3.539; p = 0.000) que en los de explicación. Con respecto al tipo de contexto, se encontró que las generales y particulares (X3 = 11.921; p = 0.008) arrojaron diferencias significativas en los momentos de evaluación con respecto al grupo de explicación (Z = -3.209; p = 0.001); de tratamiento (Z = -2.501; p = 0.012) y de consolidación (Z = -2.690; p = 0.007). Las verbalizaciones en forma de regla generales se emitieron en mayor medida en los grupos de evaluación que en el resto del tratamiento y las particulares en menor medida en los momentos de evaluación en el resto del tratamiento.
Con respecto a los elementos de la contingencia, se encontró que las subcategorías situación/conducta (X3 = 9.478; p = 0.024) y situación/conducta/consecuencia (X3 = 11.581; p = 0.009) cambiaron significativamente a lo largo del proceso. Con la prueba U de Mann-Whitney solo se pudo constatar que la subcategoría sit/cd/csc se emitió en mayor medida en los grupos de explicación que en los grupos de evaluación (Z = -2.731; p = 0.006) y de consolidación (Z = -2.753; p = 0.006).
Comparación intragrupo: entre los tipos de regla emitidos dentro de cada ACR
Los análisis intragrupo mostraron algunas diferencias o variaciones en el patrón de regla que no se percibieron en el análisis intergrupo, ya que el análisis intragrupo se realizó en función del tipo de regla y los demás tipos de regla emitidos en cada actividad.
Como se mostró en el análisis intergrupo, aunque las reglas indefinidas no difirieron significativamente entre los grupos de tratamiento y de evaluación, el análisis intragrupo arrojó una diferencia. En los momentos de tratamiento, se encontraron diferencias significativas entre las verbalizaciones indefinidas y los demás tipos de verbalizaciones (personales: Z = -4.176, p = 0.000; concretas: Z = -4.703, p = 0.000; concepto: Z =-4.207, p = 0.000). Al emitirse en mayor medida las verbalizaciones indefinidas que los demás tipos de verbalizaciones, se pudo constatar una mayoría de verbalizaciones indefinidas frente a los demás tipos de verbalizaciones, pero no en los momentos de evaluación, en los que las verbalizaciones indefinidas no difirieron significativamente de las de tipo concepto (personales: Z = -2.897, p = 0.004; concretas: Z = -3.517, p = 0.000; concepto: Z = - 0.738, p = 0.460).
Al igual que en los momentos de tratamiento, en los momentos de explicación (personales: Z = -4.106, p = 0; concretas: Z = -4.372, p = 0; concepto: Z = -4.373, p = 0) y consolidación (personales: Z = -3.845, p = 0; concretas: Z = -3.921, p = 0; concepto: Z = -3.641, p = 0), también se puede constatar una mayoría significativa de reglas indefinidas.
También se pude constatar una minoría significativa de verbalizaciones concretas en todos los grupos. Se encontraron diferencias significativas en los grupos de evaluación (personales: Z = -2.844, p = 0.004; indefinidas: Z = -3.517, p = 0; concepto: Z = -3.517, p = 0), explicación (personales: Z = -4.286, p = 0; indefinidas: Z = -4.372, p = 0; concepto: Z = -4.257, p = 0), tratamiento (personales: Z =-3.964, p = 0; indefinidas: Z = -4.703, p = 0; concepto: Z = -4.454, p = 0) y consolidación (personales: Z = -3.597, p = 0; indefinidas: Z =-3.921, p = 0; concepto: Z = -3.920, p = 0).
En relación con las reglas concepto, en el análisis intergrupo se constató que las verbalizaciones concepto se emitieron significativamente en mayor medida en los momentos de evaluación que de explicación. El análisis intragrupo mostró diferencias en los grupos de evaluación, explicación y consolidación con respecto a los de evaluación. En los momentos de evaluación, las verbalizaciones concepto difirieron significativamente de las concretas (Z = -3.517, p = 0); en los de momentos de explicación, difirieron de los demás tipos de verbalizaciones (personales: Z = -4.106, p = 0; concretas: Z = -2.857, p = 0.004; indefinidas: Z = - 4.373, p = 0); en los de tratamiento y consolidación, difirieron de las verbalizaciones indefinidas (tratamiento: Z = -4.207, p = 0; consolidación: Z = -3.641, p = 0) y concretas (tratamiento: Z = -4.454, p = 0.000; consolidación: Z = -3.920, p = 0). En otras palabras, en los momentos de evaluación, las verbalizaciones concepto no son superadas significativamente por ningún otro tipo de verbalización, en los momentos de explicación, solo son superadas significativamente por las verbalizaciones indefinidas y en los momentos de explicación y consolidación, solo superan significativamente a las verbalizaciones concretas.
Respecto a las reglas personales, aunque en el análisis intergrupo no fue posible constatar ninguna diferencia significativa, en el análisis intragrupo se encontró que en los momentos de explicación, la emisión de verbalizaciones personales difirió del resto de grupos. En los momentos de explicación se encontraron diferencias significativas entre las verbalizaciones personales y los demás tipos de verbalizaciones (concretas: Z = -4.286, p = 0.000; indefinidas: Z = -4.372, p = 0; concepto: Z = -4.257, p = 0.000). Las verbalizaciones personales fueron superadas solo por las verbalizaciones indefinidas, obteniendo una significativa mayoría de emisión con respecto a las demás verbalizaciones, excepto de las indefinidas. En los demás grupos, las verbalizaciones personales solo fueron significativamente mayores a las reglas concretas (evaluación: Z = -2.844, p = 0.004; tratamiento: Z =-3.964, p = 0.000; consolidación: Z = -3.597, p = 0.000), pues no difirieron de las de concepto (evaluación: Z = -2.480, p = 0.013; tratamiento: Z = -0.076, p = 0.939; consolidación: Z = -0.071, p = 0.943) y fueron superadas significativamente por las indefinidas (evaluación: Z = -2.897, p = 0.004; tratamiento: Z = -40176, p = 0.000; consolidación: Z = -3.845, p = 0.000).
En cuanto al tipo de contexto en las cuatro actividades, las verbalizaciones en forma de reglas generales difirieron significativamente y predominaron frente a las particulares (evaluación: Z = -3.24, p = 0.000; explicación: Z = -4.375, p = 0.000; tratamiento: Z = -4.797, p = 0.000; y consolidación: Z = -3.827, p = 0.000).
Se pudo constatar que en todos los grupos la subcategoría de sit/csc obtuvo diferencias significativas con respecto a la de sit/cd (evaluación: Z = -3.627, p = 0.000; explicación: Z = -4.373, p = 0.000; tratamiento: Z = -4.782, p = 0.000; y consolidación: Z =-3.920, p = 0.000). En los momentos de evaluación no hay diferencia significativa entre la sit y la sit/csc (Z = -1.604, p = 0.109), por lo que no se puede hablar de una minoría significativa, pues estaría compartida por las dos subcategorías. Pero sí hubo diferencia significativa entre las dos subcategorías en los demás grupos (explicación: Z = -2.803, p = 0.005; tratamiento: Z = -2.668, p = 0.007; y consolidación: Z =-2.032, p = 0.004, donde la explicitación de la situación obtiene una minoría significativa. En los momentos de evaluación, tampoco se encontró una significativa mayoría de ninguna subcategoría, pues no hay diferencia significativa entre la sit/cd y la sit/cd/csc (Z = -0.175, p = 0.861). Lo mismo sucedió en los momentos de tratamiento (Z = -2.417, p = 0.016) y consolidación (Z =-0.221, p = 0.825). Sin embargo, en los momentos de explicación sí encontró una diferencia significativa entre la explicitación de la sit/cd y la sit/cd/csc (Z =-3.657, p = 0.000), obteniéndose una mayoría significativa en la explicitación de los tres elementos de la contingencia.
Discusión
El objetivo de este estudio fue realizar un análisis morfológico de las verbalizaciones en forma de regla emitidas por el terapeuta con el fin de encontrar un patrón de emisión de estas verbalizaciones que cambie en relación con el tipo de actividades clínicamente relevantes (ACR), es decir, de acuerdo con los distintos objetivos que se persiguen en la terapia.
De manera general, a pesar de que las diferencias entre las ACR no fueron tan evidentes, podemos asumir que tienen significación clínica. Fue posible identificar un cambio del patrón de reglas que se ajustó a los distintos objetivos de la terapia.
El presente sistema de categorías, a diferencia de los demás sistemas de categorías, permite el análisis específico y fino de un tipo de verbalización. Analizando un tipo específico de verbalización es posible identificar qué características morfológicas tiene que cumplir y en qué momento para ser más efectivas en el logro del cambio clínico.
Mediante el análisis realizado en este trabajo fue posible identificar un patrón de emisión de regla. Este patrón de verbalizaciones en forma de regla consiste en una mayoría de verbalizaciones generales e indefinidas y una minoría de particulares y concretas. Durante los momentos de evaluación el terapeuta se centró en recabar información del problema y proporcionar información general sobre el tratamiento, para lo cual se requieren verbalizaciones muy generales y conceptos abstractos. Esto se refleja en la mayoría de verbalizaciones que se emitieron en forma de regla indefinidas, generales y de concepto frente a las personales y particulares. Las categorías de Concepto parecen especialmente importantes en estos momentos. Se trata de una fase en la que el terapeuta está evaluando la problemática y aún no conoce los detalles de la misma. Por tanto, guiar la conducta del cliente a través de verbalizaciones lo más generales posible parece más adecuado para abarcar los puntos principales de la problemática, que hacerlo mediante verbalizaciones que destaquen detalles que puedan distraer.
Por otro lado, es frecuente encontrar que al cliente se le dificulte expresar verbalmente su punto de vista sobre algún tema específico relacionado con su problemática. Ante esta situación es común que el terapeuta intervenga organizando las verbalizaciones que ha emitido el cliente, matizando o destacando ciertos aspectos mencionados por él. Las verbalizaciones en forma de regla de tipo Concepto se ajustan muy bien a esta tarea, pues al exponer una idea aludiendo a conceptos abstractos podría parecer una idea mejor ordenada y completa. Por último, en esta fase dado que las explicaciones del terapeuta describen solamente lo que se hará durante el tratamiento de forma muy general, es natural que encontráramos una mayoría de verbalizaciones en forma de regla que no detallen consecuencias o que lo hagan de forma más general.
La actividad principal durante los momentos de explicación ya se centra en la explicación detallada de la problemática del cliente. De esta forma, son comunes las verbalizaciones alusivas a situaciones bien delimitadas que forman parte del contexto del problema del cliente o de sus conductas, lo que explicaría el incremento de las categorías Personales y Particulares sobre las de Concepto. El aumento de las verbalizaciones indefinidas y particulares puede estar relacionado con la introducción de ejemplos en forma de analogías o metáforas con el fin de ayudar al cliente a identificar la relación que se intenta explicar, ya que con una analogía o ejemplo se suele describir una conducta ejecutada por sujetos impersonales en una situación bien delimitada.
Con relación a las subcategorías, resultó lógico que las verbalizaciones emitidas en forma de regla describieran explícitamente los tres elementos de la contingencia, puesto que al tratarse de la explicación de la hipótesis del problema, el terapeuta remarca la relación entre la conducta del cliente y las consecuencias de la misma.
En las actividades de tratamiento y consolidación, con respecto a las de evaluación, hubo un mayor número de verbalizaciones en forma de regla particulares. Sin embargo, esta diferencia fue más acusada en los momentos de consolidación, pues en los de tratamiento hay un descenso de este tipo de verbalizaciones. Esto quiere decir que el terapeuta prefirió utilizar verbalizaciones en forma de regla más generales en los momentos de tratamiento que en los de consolidación. En los momentos de tratamiento predomina la explicación de técnicas y tareas a realizar, por lo que resulta congruente la descripción de relaciones de contingencia aplicadas a contextos determinados con el fin de que la relación de contingencia que el terapeuta pretende enseñar al cliente sea bien identificada a través de la aplicación de técnicas y tareas. También es común que el terapeuta intente destacar la relación de contingencia lo más general posible al momento de debatir y de resumir los beneficios por realizar las tareas, lo cual se reflejó en el aumento de verbalizaciones en forma de reglas generales y de concepto. En los momentos de consolidación, el aumento de verbalizaciones indefinidas y particulares pudo deberse a las frecuentes ejemplificaciones por medio de analogías que acompañan a las pautas finales para concluir el tratamiento. Además, es interesante destacar que a pesar del aumento de las verbalizaciones particulares, las de concepto no disminuyeron, reflejando el posible intento del terapeuta por destacar la relación de contingencia en términos más generales o abstractos para consolidar los cambios conseguidos.
Con relación a los elementos de la contingencia, la prioridad que se le daba en la explicación del análisis funcional, a que el cliente entendiera las consecuencias de las conductas que han ocasionado el problema, comenzó a disiparse durante el tratamiento hasta los momentos de consolidación, posiblemente porque el cliente ya ha aprendido la relación entre sus conductas y consecuencias, por lo que no fue necesaria la explicitación de las mismas.
A grandes rasgos, estas diferencias señalan, más que rasgos definitivos, algunas tendencias del terapeuta. Sin embargo, a pesar de ser tendencias muy sutiles, estas diferencias tuvieron significación clínica, lo que implica que el terapeuta, utilizó las verbalizaciones en forma de regla como una herramienta útil en ciertos momentos de la terapia y que sus distintos tipos podrían tener una utilidad distinta en esta. Parece que una vez explicado el análisis funcional, se volvió relevante el insistir en verbalizaciones más generales. Como si para explicar el problema se utilizaran especialmente las verbalizaciones en forma de regla más particulares, en cambio, para tratar y consolidar el cambio, se utilizarán las más generales.
Además, haciendo uso de las verbalizaciones en forma de regla que emite el terapeuta es posible que se ayude al cliente a discriminar a través de distintas situaciones, tareas o debates, una relación de contingencia en la que se señalan conductas más adaptativas relacionadas con su problemática y sus consecuencias. Con la variedad de modos para formular una verbalización en forma de regla, el cliente se expondría a una relación de contingencia en distintos contextos, unos más parecidos a situaciones que él conoce y otros más generales. Creemos que la comprensión de esta relación podría favorecer el cambio clínico y sobre todo su mantenimiento, pues el cliente estará en condiciones de discriminar y aplicar la relación de contingencia que ha aprendido en situaciones nuevas. En resumen, quizá no solo ayudaría a identificar dicha relación y aplicarla, sino que ayudaría a desarrollar o cambiar las reglas del cliente. Bajo esa lógica, de acuerdo con Abreu et al. (2012) y Palmer (2012) las reglas extraídas por el cliente pueden ser cruciales para lograr la generalización del cambio fuera del contexto clínico. Aunque en este estudio solo planteamos una hipótesis al respecto, sería interesante poder comprobar si las verbalizaciones en forma de regla del terapeuta juegan un papel importante para que el cliente desarrolle sus verbalizaciones en forma de regla y si son cruciales para la generalización del cambio más allá del contexto clínico.
En relación con la poca variabilidad en los momentos de tratamiento y consolidación, podría señalarse que la combinación de terapeutas expertos como inexpertos (cuya experiencia clínica está entre los 2 y 20 años) podría alterar o empañar el uso normal que se hace de las verbalizaciones en forma de regla. En ocasiones los terapeutas no prestan suficiente atención a la forma de su discurso como para modularlo y acoplarlo a cada objetivo que se persigue en terapia. La intervención terapéutica consiste no solo en lo que se dice, sino que lo crucial es cómo el contenido es transmitido (Hung, 2006). Aunque el terapeuta tenga clara la idea que intentará transmitir, la forma de transmitirla puede implicar una gran diferencia.
Con el trabajo realizado se pueden sugerir posibles estudios que ayudarían a desarrollar el análisis de las verbalizaciones en forma de regla en la clínica. Sería muy interesante separar los terapeutas expertos de los inexpertos y comprobar si los terapeutas expertos tienen diferencias más marcadas en la segunda mitad de la terapia. También, como señalábamos, sería interesante comprobar si las verbalizaciones en forma de regla del terapeuta son importantes para el desarrollo de reglas en el cliente y, de manera más específica, analizar cómo cambian o se desarrollan las reglas del cliente. Por otra parte, comprobar si los tipos de verbalizaciones en forma de regla que se usan más frecuentemente en determinado momento de la terapia son más efectivos que los demás tipos de verbalizaciones. Por último, se podría analizar si las verbalizaciones en forma de regla son más efectivas o en qué momentos lo son en comparación con las instrucciones que el terapeuta emite durante la terapia.
El objetivo principal de la terapia es ayudar a los pacientes a solucionar sus problemas, a mejorar su calidad de vida, considerando que los problemas son conductas no diagnósticas (Bernaldo-de-Quirós, Labrador, Estupiñá, & Fernández-Arias, 2013), por tanto creemos que el camino para realizar tratamientos más eficaces es el énfasis en el análisis funcional de estas conductas. En este sentido, el esclarecimiento del papel funcional de las verbalizaciones en forma de regla podría contribuir a un mejor ejercicio terapéutico y el estudio realizado supone un paso adelante para lograr dicho objetivo.
En definitiva, nuestros resultados señalan un patrón de emisión de la verbalización en forma de regla que cambia con respecto a la actividad u objetivo que se persigue en determinado momento de la terapia. A partir de los datos obtenidos, podríamos hipotetizar que existen distintas funciones de las verbalizaciones en forma de regla del terapeuta de acuerdo al momento de la terapia y distintas funciones que tiene cada tipo de regla. En este sentido, la metodología propuesta parece ser suficientemente sensible para permitir generar datos que contribuyan a desvelar el papel de las reglas en terapia.
De este modo, se intenta mostrar una visión general sobre la forma verbal con la que el terapeuta indica las contingencias adaptativas a seguir y se delinean investigaciones futuras que podrían contribuir a ganar entendimiento sobre el papel de las verbalizaciones en forma de regla durante el proceso terapéutico. Creemos que continuar con esta línea de investigación, representa caminar hacia una mayor efectividad del ejercicio clínico.
Referencias
Abreu, P. R., Costa Hübner, M. M., & Lucchese, F. (2012). The role of shaping the client’s interpretations in functional analytic psychotherapy. The Analysis of Verbal Behavior, 28(1), 151-157. Recuperado de https://www.ncbi.nlm.nih.gov/pmc/articles/PMC3363406/
Bakeman, R., Quera, V., McArthur, D., & Robinson, B. F. (1997). Detecting sequential patterns and determining their reliability with fallible observers. Psychological Methods, 2(4), 357-370. Recuperado de http://www.ub.edu/gcai/docs/bakeman-quera-97.pdf
Bernaldo-de-Quirós, M., Labrador, F. J., Estupiñá, F. J., & Fernández-Arias, I. (2013). La duración de los tratamientos psicológicos: diferencias entre los casos de corta, media y larga duración. Universitas Psychologica, 12(1), 21-30. Recuperado de http://www.scielo.org.co/pdf/rups/v12n1/v12n1a03.pdf
Baruch, D. E., Kanter, J. W., Busch, A. M., Richardson, J. V., & Barnes-Holmes, D. (2007). The differential effect of instructions on dysphoric and nondysphoric persons. The Psychological Record, 57(4), 543-554. Recuperado de https://contextualscience.org/Baruch_2007
Callaghan, G.M., Summers, C.J., & Weidman, M. (2003). The treatment of histrionic and narcissistic personality disorder behaviors: A singlesubject demonstration of clinical effectiveness using Functional Analytic Psychotherapy. Journal of Contemporary Psychotherapy, 33(4), 321-339. http://dx.doi.org/10.1023/B:JOCP.0000004502.55597.81
Connolly, M. B., Crits-Christoph, P., Shappell, S., Barber, J. P., & Luborsky, L. (1998). Therapist interventions in early sessions of brief supportive-expressive psychotherapy for depression. The Journal of psychotherapy practice and research, 7(4), 290-300. Recuperado de https://www.ncbi.nlm.nih.gov/pmc/articles/PMC3330510/
Cuper, P., Merwin, R., & Lynch, T. (2007). Personality disorders. In P. Sturmey (Ed.), Functional analysis in clinical treatment (pp. 403-427). San Diego, CA, US: Elsevier Academic Press. http://dx.doi.org/10.1016/B978-012372544-8/50021-5
Elliott, R., Hill, C. E., Stiles, W. B., Friedlander, M. L., Mahrer, A. R., & Margison, F. R. (1987). Primary therapist response modes: Comparison of six rating systems. Journal of Consulting and Clinical Psychology, 55(2), 218-223. Recuperado de http://psycnet.apa.org/index.cfm?fa=buy.optionToBuy&id=1987-28771-001
Froján-Parga, M. X., Ruiz-Sancho, E. M., & Calero-Elvira, A. (2014). A theoretical and methodological proposal for the descriptive assessment of therapeutic interactions. PsychotherapyResearch, (ahead-of-print), 1-22. http://dx.doi.org/10.1080/10503307.2014.935518
Guinther, P. M., & Dougher, M. J. (2013). From behavioral research to clinical therapy. En G. Madden, W. V. Dube, T. D. Hackenberg, G. P. Hanley & K. A. Lattal. (Eds.), APA handbook of behavior analysis, Vol. 2: Translating principles into practice (pp. 3-32). Washington, DC, US: American Psychological Association. http://dx.doi.org/10.1037/13938-001
Gumz, A., Lucklum, J., Herrmann, A., Geyer, M., & Brähler, E. (2011). Verbal expression of emotions in the stage-wise progress of a case of long-term psychodynamic therapy. Counselling and Psychotherapy Research, 11(1), 67-77. http://dx.doi.org/10.1080/14733145.2011.546208
Hayes, S. C., Barnes-Holmes, D., & Roche, B. (2001). Relational frame theory: A post-Skinnerian account of human language and cognition. New York: Plenum Press. Recuperado de http://espaciovirtualctd.weebly.com/uploads/3/0/7/7/30779661/rft.pdf
Hayes, S. F., Zettle, D., R., & Rosenfarb, I. (1989). Rule-following. In S. F. Hayes (Ed.), Rule Governed Behavior: Cognition, Contingencies and Instructional Control (pp. 191-220). Nueva York: Plenum Press.
Hill, C. E. (1978). The development of a system for classifying counselor responses. Journal of Counseling Psychology, 25, 461-468.
Hung, L. (2006). The use of verbal response tokens in psychotherapy. Dessertation Abstracts International: Section B: The Sciences and Engineering, 66(9-B), 5090.
Kanter, J. W., Cautilli, J. D., Busch, A. M., & Baruch, D. E. (2011). Toward a comprehensive functional analysis of depressive behavior: five environmental factors and possible sixth and seventh. The International Journal of Behavioral Consultation and Therapy, 7(1), 5-14. Recuperado de http://files.eric.ed.gov/fulltext/EJ959658.pdf
Kensche, M., & Schweiger, U. (2015). Relational Frame Theory-A Theoretical Framework for Contextual Behavioral Science. Psychotherapie, Psychosomatik, Medicinische Psychologie, 65(7), 273-84. http://dx.doi.org/10.1055/s-0034-1399897.
Kohlenberg, R. J., & Tsai, M. (1991). Functional analytic psychotherapy: Creating intense and curative therapeutic relationships. Nueva York: Plenum Press.
López, C. A., Muñoz, A., & Ballesteros, B. P. (2005). Cambio del contexto social-verbal desde la teoría de marcos relacionales en mujeres en riesgo de problemas alimentarios. Revista Latinoamericana de Psicología, 37(2), 359-378. Recuperado de http://pepsic.bvsalud.org/scielo.php?script=sci_arttext&pid=S0120-05342005000200009
Martínez, H., & Tamayo, R. (2005). Interactions of contingencies, instructional accuracy, and instructional history in conditional discrimination. The Psychological Record, 55, 633-646. Recuperado de http://opensiuc.lib.siu.edu/cgi/viewcontent.cgi?article=1205&context=tpr
Merwin, R. M., Timko, C. A., Moskovich, A. A., Ingle, K. K., Bulik, C. M., & Zucker, N. L. (2010). Psychological inflexibility and symptom expression in Anorexia Nervosa. The Journal of Treatment & Prevention, 19(1), 62-82. http://dx.doi.org/10.1080/10640266.2011.533606
Palmer, D. C. (2012). The Role of Atomic Repertoires in Complex Behavior. The Behavior Analyst, 35(1), 59-73. Recuperado de https://www.ncbi.nlm.nih.gov/pmc/articles/PMC3359856/
Parga, M. X. F., Cebrián, R. P., de la Cruz, I. V., & Carmona, F. L. (2011). Análisis de las reglas en el contexto clínico. EduPsykhé: Revista de psicología y psicopedagogía, 10(1), 135-154. https://dialnet.unirioja.es/servlet/articulo?codigo=3749683
Plaud, J. J., & Newberry, D. E. (1996). Rule-governed behavior and pedophilia. Sexual Abuse: Journal of Research and Treatment, 8(2), 143-159. http://dx.doi.org/10.1007/BF02258007
Plaud, J. J., & Plaud, D. (1998). Clinical Behavior Therapy and the experimental analysis of behavior. Journal of Clinical Psychology, 54(7), 905-921. http://dx.doi.org/10.1002/(SICI)1097-4679(199811)54:7<905::AID-JCLP5>3.0.CO;2-D
Ruiz-Sancho, E. M., Froján-Parga, M. X., & Calero-Elvira, A. (2013). Análisis de la conducta verbal del cliente durante el proceso terapéutico. Anales de Psicología, 29(3), 779-790. http://dx.doi.org/10.6018/analesps.29.3.135401
Schlinger, H. D. (1990). A reply to behavior analysts writing about rules and rule-governed behavior. The Analysis of Verbal Behavior, 8, 77-82. Recuperado de https://www.ncbi.nlm.nih.gov/pmc/articles/PMC2748605/
Skinner, B. F. (1957). Conducta Verbal. México: Trillas. Recuperado de http://www.conductitlan.org.mx/02_bfskinner/skinner/3.%20b_f_skinner_conducta_verbal.pdf
Skinner, B. F. (1966). An operant analysis of problem solving. En B. Kleinmuntz (Ed.), Problem solving: research, metho and theory (pp.225-257). Nueva York: John Wiley y Sons.
Stiles, W. B. (1992). Describing talk: A taxonomy of verbal response modes. Newbury Park: Sage Publications.
Stiles, W. B., & Shapiro, D. A. (1995). Verbal exchange structure of brief psychodynamic-interpersonal and cognitive-behavioral psychotherapy. Journal of Consulting and Clinical Psychology, 63(1), 15-27. http://dx.doi.org/10.1037/0022-006X.63.1.15
Sturmey, P., Ward-Horner, J., Marroquin, M., & Doran, E. (2007). Advanced concepts and methods of intervention in behavioral approaches to psychopathology. En P. Sturmey (Ed.), Functional analysis in clinical treatment (51-64). San Diego: Academic Press. http://dx.doi.org/10.1016/B978-012372544-8/50004-5
Törneke, N., Luciano, C., & Valdivia, S. (2008). Rule-governed behavior and psychological problems. International Journal of Psychology and Psychological Therapy, 8(2), 141-156. Recuperado de http://www.ijpsy.com/volumen8/num2/191/rule-governed-behavior-and-psychological-EN.pdf
Tryon, G. S. (2003). A therapist's use of verbal response categories in engagement and nonengagement interviews. Counselling Psychology Quarterly, 16(1), 29-36. http://dx.doi.org/10.1080/0951507021000050168
Vargas de la Cruz, I., & Pardo Cebrian, R. (2014). El papel de la experiencia del cliente en la aplicación de reglas en el contexto clínico. Conductual, 2(3), 36-51. Recuperado de http://www.conductual.com/sites/default/files/pdf-articles/El%20papel%20de%20la%20experiencia%20del%20terapeuta%20en%20la%20aplicaci%C3%B3n%20de%20reglas%20en%20el%20contexto%20cl%C3%ADnico_Vargas%20y%20Pardo.pdf
Zamignani, D., & Meyer, B. (2011). Therapist verbal behavior in the multidimensional system for coding behaviors in therapeutic interaction (SiMCCIT). Revista Perspectivas, 2(01), 25-45. Recuperado de http://pepsic.bvsalud.org/pdf/pac/v2n1/en_v2n1a04.pdf
Zettle, R. D., & Hayes, S. C. (1983). Effect of social context on the impact of coping self- statements. Psychological Reports, 52, 391-401. Recuperado de https://contextualscience.org/zettle_hayes_1983
Notas
Notas de autor
Información adicional
Para citar este artículo: Vargas de la Cruz, I., Pardo, R., Martínez, H., &, Froján,
M.X. (2017). Las
verbalizaciones tipo regla del terapeuta a lo largo
del proceso clínico. Universitas Psychologica, 16(1), 1-15. http://dx.doi.org/10.11144/Javeriana.upsy16-1.vtrt