Artículos
La industria publicitaria iberoamericana caracterizada desde un meta estudio de los anuncios premiados en festivales1
The Ibero-American Advertising Industry Characterized from a Meta-Study of the Advertisements Awarded at Festivals
A indústria publicitária ibero-americana caracterizada a partir de um meta-estudo dos anúncios premiados em festivais
La industria publicitaria iberoamericana caracterizada desde un meta estudio de los anuncios premiados en festivales1
Palabra Clave, vol. 21, núm. 2, pp. 524-549, 2018
Universidad de La Sabana
Recepción: 26 Julio 2017
Recibido del documento revisado: 15 Agosto 2017
Aprobación: 22 Agosto 2017
Resumen: En este artículo, los festivales y premios de publicidad son el objeto de estudio para caracterizar la publicidad, con un doble objetivo: por un lado, validar el uso de la información registrada en los festivales de publicidad internacionales, anuncios y premios como un buen objeto de estudio donde medir la producción de calidad de las agencias publicitarias y países; por otro, ejemplificar este objeto de estudio, analizando el ámbito iberoamericano. Se desarrolla una metodología fundamentada en un análisis documental y estadístico descriptivo de los premios (6921 premios analizados) recibidos por las agencias iberoamericanas (692 agencias analizadas) en 24 festivales de publicidad iberoamericanos e internacionales en 2012 y 2013. El artículo aporta una nueva dimensión y perspectiva: la visibilidad que las agencias y los países tienen en un espacio de competición clave en el sector y, además, en una región en conjunto, sobre la que no hay información, Iberoamérica, destacando el liderazgo de Brasil, Argentina, España, México y Colombia. A su vez, se descubre un panorama muy desigual en la distribución de premios por países: la existencia de una reducida élite de agencias -mayoritariamente multinacionales- con un alto impacto en el sistema. Esta desemejanza producida entre los premios y las agencias que los acaparan se ajusta al modelo matemático de Bradford. La investigación describe, por tanto, una realidad publicitaria desigual en Iberoamérica, de gran interés para su exploración en futuros estudios.
Palabras clave: Publicidad, Iberoamérica, ranking, anuncios publicitarios, festivales de publicidad, premios de publicidad.
Abstract: In this paper, festivals and advertising awards are the object of study in order to characterize advertising, with two goals: on one hand, to validate the use of the information registered in international advertising festivals, ads and awards as a good object of study in which to measure the quality production of advertising agencies and countries; and, on the other, to exemplify this object of study by analyzing the Ibero-American context. We develop a methodology based on a documentary and descriptive analysis of the awards (6921 analyzed awards) received by Ibero-American agencies (692 analyzed agencies) in 24 Ibero-American and international advertising festivals in 2012 and 2013. The paper brings a new dimension and perspective: the visibility that agencies and countries have in a key competition space in the sector and in a region as a whole, on which there is no information, Ibero-America, with particular emphasis on the leadership of Brazil, Argentina, Spain, Mexico, and Colombia. It also reveals a very uneven scenario in the distribution of awards per country: the existence of a reduced elite group of agencies-mostly multinational companies-with a high impact on the system. Such disparity between awards and the agencies monopolize them is consistent with Bradford's mathematical model. Accordingly, the investigation describes an unequal reality of advertising in Ibero-America of great interest to be explored in future studies.
Keywords: Advertising, Ibero-America, ranking, advertisements, advertising festivals, advertising awards.
Resumo: Neste artigo, os festivais e prêmios de publicidade são o objeto de estudo para caracterizar a publicidade, com um objetivo duplo: por um lado, validar o uso da informação registrada nos festivais de publicidade internacionais, anúncios e prêmios como um bom objeto de estudo onde medir a produção de qualidade das agências publicitárias e países; por outro, exemplificar este objeto de estudo, analisando o âmbito ibero-americano. Desenvolve-se uma metodologia fundamentada em uma análise documental e estatística descritiva dos prêmios (6921 prêmios analisados) recebidos pelas agências ibero-americanas (692 agências analisadas) em 24 festivais de publicidade ibero-americanos e internacionais em 2012 e 2013. O artigo proporciona uma nova dimensão e perspectiva: a visibilidade que as agências e os países têm em um espaço de competição chave no setor e, além do mais, em uma região em conjunto, sobre a que não há informação, Ibero-américa, destacando a liderança do Brasil, Argentina, Espanha, México e Colômbia. Por sua vez, se descobre um panorama muito desigual na distribuição de prêmios por países: a existência de uma reduzida elite de agências - na maioria, multinacionais - com um alto impacto no sistema. Esta falta de semelhança produzida entre os prêmios e as agências que os obtêm se ajusta ao modelo matemático de Bradford. A pesquisa descreve, portanto, uma realidade publicitária desigual na Ibero-américa, de grande interesse para sua exploração em estudos futuros.
Palavras-chave: Publicidade, Ibero-América, ranking, anúncios publicitários, festivais de publicidade, prêmios de publicidade.
Introducción (los festivales como marco de evaluación para la publicidad)
Los premios y festivales adquieren un rol determinante en la industria de la publicidad, ya que acumulan la confianza y el respeto del sector (Pratt, 2006) y permiten a las empresas atraer a nuevos anunciantes mediante su difusión como reclamo en las revistas especializadas (Fernández-Barros, 2004). Estudiar la publicidad tiene un problema de base cuando se quiere realizar a un nivel meso y macro (agencias y países), y es que se necesita un marco, un espacio común donde queden registrados los datos de cualquier agencia publicitaria, sin importar el país y en igualdad de condiciones. El problema de estudiar las agencias de un modo directo a través de sus productos, principalmente anuncios, es que tienen un marco geográfico limitado, casi siempre nacional. En un contexto local, sí se podrían estudiar los anuncios, pero no tendría lógica la comparación entre agencias de diferentes países o, aumentando el nivel de agregación, comparar los países entre sí. Por ello, tradicionalmente, se ha optado por estudiar la publicidad desde el punto de vista de ingresos y beneficios, reduciendo el sistema a su dimensión meramente económica (Fejes, 1980; Quester y Thompson, 2001).
No obstante, sí existe un espacio competitivo común, el formado por los festivales de publicidad (Shapiro, 1983), donde cualquier agencia publicitaria, sin importar procedencia, pueda participar. El objetivo de este trabajo es validar el uso de la información registrada en los festivales de publicidad internacionales, anuncios y premios como un espacio común donde medir la producción de calidad de las agencias publicitarias y países. En segundo lugar, este trabajo pretende ejemplificar este objeto de estudio, analizando el ámbito iberoamericano: cómo se puede caracterizar la publicidad en una región basándose en la participación en festivales publicitarios y cómo se analizan los principales indicadores de un sistema de evaluación basado en festivales de premios, número de premios, anuncios, agencias, etc. No es novedoso el uso de festivales de publicidad. De hecho, hay varios rankings de publicidad que se nutren de estos datos, como el Ranking Ad-Age-Ranking (Estados Unidos), el W&V-Kreativ-Ranking (Alemania) (W&V-Kreativ-Ranking, 2009) o el Ranking UNIR de Publicidad (Iberoamérica) (Repiso y Berlanga, 2015). La principal novedad es que se pretende analizar varios países a través del análisis de los premios obtenidos en festivales de publicidad y analizar los elementos internos generados dentro de los festivales: participación, premios y distribución de premios.
Un problema similar, y con un gran paralelismo, ocurre en el ámbito de la evaluación científica, donde en cierta forma las unidades de análisis también son "empresas creativas". ¿Cómo se evalúa la producción científica de las universidades, países y áreas temáticas en un ámbito global? Principalmente, midiendo su producción científica registrada en las bases de datos de referencia (marco común), especialmente Web of Science (Ball y Tunger, 2006; Delgado y Repiso, 2013; Santa y Herrero-Solana, 2010) y Scopus (Burnham, 2006). ¿Por qué Web of Science es un buen objeto de estudio para caracterizar la producción de las universidades? Porque se supone que en esa base de datos de cobertura internacional se encuentran las revistas y los artículos con mayor impacto científico según la ley de Bradford. Incluso, a la luz de estas fuentes de información, han surgido rankings de universidades que utilizan los artículos publicados en estas bases de datos midiendo aspectos como la producción, el cuartil de las revistas o las citas recibidas (Bornmann, Moya y Leydesdorff, 2012; Docampo, 2012; Robinson-García, Torres-Salinas, Delgado López-Cózar y Herrera, 2014), fenómenos que también se dan en el ámbito de la publicidad.
Los festivales y premios internacionales de publicidad nacen en los Estados Unidos como un fenómeno de peso en la década de 1960 (Kübler, 2012) y se desarrollan y estudian, principalmente, en el mundo anglosajón. ¿Por qué un festival de publicidad internacional es un espacio idóneo para evaluar la publicidad? Porque se dan cinco condiciones idóneas:
Están abiertos a cualquier agencia, sin importar el país de procedencia.
Existen procesos de evaluación y validación de objetivos llevados a cabo por expertos del sector para seleccionar los anuncios finalistas y premiados.
Se premia la excepcionalidad de los anuncios al premiarse la creatividad (One Show o Communication Arts) o la eficacia de los anuncios (Effies, IPA o Echo Awards) (Montano, 2004), aunque prima especialmente el elemento creativo, la publicidad novedosa (Helgesen, 1994).
A través de clasificaciones temáticas de categorías, se pretende representar la realidad de la publicidad en un momento dado.
Y, por supuesto, la principal razón es el significado y la importancia que tienen los festivales y los premios de publicidad en el área para sus diferentes actores: agencias, marcas y los profesionales involucrados.
Los premios publicitarios otorgan a sus agraciados múltiples beneficios (Helgesen, 1994), reflejo de un trabajo extraordinario (Shapiro, 1983). Son un símbolo registrado de excelencia y liderazgo en un entorno competitivo. Legitiman tanto las agencias nuevas como las firmas consolidadas y contribuyen a mantener su reputación. Por esto, ganar un premio supone un aumento del prestigio y la visibilidad de los anuncios y las agencias que los producen, donde hasta el anunciante se beneficia "incrementando la visibilidad global del producto" (Sung, Nam y Chung, 2010); por tanto, son un vehículo de promoción de gran importancia en el área (Self, 2014). Esto también ayuda a consolidar la relación entre agencia y anunciante: "An award is tangible evidence that the agency is industry recognised and can produce for its clientes 'winning' campaigns" (Un premio es una prueba tangible de que la agencia es reconocida en la industria publicitaria y puede crear para sus clientes campañas "vencedoras") (Waller, Cusick, Matheson y Miller, 2001, p. 135). A su vez, es una oportunidad para aumentar la cartera de clientes. Los anuncios premiados obtienen también un valor simbólico: se instituyen en modelo de éxito, cuyas características suelen ser replicadas posteriormente (Sung, 2007). La importancia de ganar premios en festivales hace que las agencias dediquen tiempo y recursos a esta tarea para ganar premios en festivales (Kilgour, Sasser y Koslow, 2013), incluso, en muchos casos, compitiendo con anuncios creados con ese objetivo (Kübler, 2012).
No obstante, hay factores que pueden influir, negativamente, en los resultados de los festivales de publicidad y su representatividad. La participación en festivales supone, en muchos casos, que las agencias deben asumir costes de inscripción y posterior representación (Roca, Alegre y Pueyo, 2012). Este hecho puede reducir la participación de agencias, aunque tambien tiene un factor positivo: antes de involucrar a sus trabajos en un proceso de evaluación de este tipo, la agencia realizará una autoevaluación de sus trabajos para decidir cuáles va a enviar a competir. Otro aspecto importante es que los festivales y sus características organizativas, culturales o relacionadas con el enfoque que les dan a los premios (figura 1) incorporan sesgos. En este caso, la mayor parte de festivales internacionales son anglosajones. Con el objeto de reducir esta influencia, se aconseja que, en estudios basados en premios de festivales, se utilice un número elevado de eventos.

La publicidad iberoamericana
Se caracteriza, al igual que sucede en otras regiones, por ser un sector productivo altamente globalizado, donde son las agencias supranacionales anglosajonas las principales protagonistas del sistema, especialmente las agencias estadounidenses (Faulconbridge, Beaverstock, Nativel y Taylor, 2011). La publicidad es un elemento clave en los procesos de globalización de la economía. En la lógica expansionista propia del capitalismo, las grandes multinacionales necesitan otras empresas que les presenten servicios de asesoría jurídica, por lo cual un gran grupo de empresas de diferente índole -bufetes de abogados, bancos, agencias de publicidad, etc.- acompañan en esta aventura expansionista a las empresas multinacionales (Leslie, 1995). Como ejemplo, junto con el desembarco de General Motors en 1927 en España (Caro, 2010), apareció la agencia publicitaria JWT. En el resto de Iberoamérica, la lógica es similar: conforme los países se han ido abriendo a la inversión extranjera, han sido "invadidos" por las agencias de publicidad extranjeras.
En las primeras décadas del siglo XX, ya hay presencia de agencias norteamericanas en Iberoamérica. Agencias como JWT (1929) o McCann (1937) (Faulconbridge et al., 2011) ya estaban presentes antes de la Segunda Guerra Mundial (Fejes, 1980) y estas acompañaron a General Motors y Ford en su desembarco en Brasil (O'Barr, 2008). Pero es en la década de 1960 cuando se multiplicaron estas empresas que, además, no solo atienden a sus clientes internacionales, sino que compiten por los clientes nacionales. Para suplir la distancia cultural, contratan profesionales de la zona o, en muchos casos, se unen a agencias locales. Esta fue la estrategia de BBDO u Ogilvy, que en España se alió con Bassat para formar Bassat-Ogilvy. La publicidad, al ser una empresa con un fuerte componente cultural, necesita adaptarse a su objetivo. Otro aspecto importante y característico de la publicidad en Iberoamérica es la fluctuación de la presencia de agencias multinacionales en relación con las condiciones sociopolíticas. En periodos de crisis económicas, muchas agencias han cerrado sus filiales en países iberoamericanos y, en momentos de apertura y crecimiento, el número de agencias se multiplica, como fue el caso de JWT durante el Gobierno de Salvador Allende o el actual éxodo de agencias en Iberoamérica.
Material y métodos
Según la fuente donde se obtengan los datos de un estudio, las investigaciones se pueden clasificar en dos tipos: en primer lugar, las técnicas que analizan datos provenientes de situaciones espontáneas; y en segundo lugar, las técnicas que analizan los datos creados por situaciones artificiales, provocadas, en gran medida, por el investigador, como son las encuestas o los experimentos (Piñuel, 2000). En el primer grupo de técnicas, los datos se adquieren mediante la observación del fenómeno o indirectamente mediante el estudio de la información que queda registrada en documentos; esto es, mediante el análisis documental y la monitorización del fenómeno. A esta tipología de técnicas corresponde el análisis que se deriva del estudio de los premios de publicidad que se presenta en este caso.
Este estudio es un análisis documental y estadístico descriptivo de los premios recibidos por las agencias iberoamericanas en festivales de publicidad iberoamericanos e internacionales en 2012 y 2013 (entendiendo por Iberoamérica aquellos festivales abiertos a cualquier país de habla española o portuguesa de América, España y Portugal. Se excluyen los premios nacionales limitados a las agencias de un solo país). Para ello, se han utilizado los principales festivales de publicidad internacionales e iberoamericanos (tabla 1), en total 24 festivales de los cuales se han analizado 6921 premios que reciben 3447 anuncios producidos a su vez por 692 agencias de publicidad iberoamericanas pertenecientes a 21 países.

Una vez identificados los festivales de publicidad y las páginas web donde se alojan los anuncios premiados, se procede a la descarga de todos los premios recibidos por agencias de publicidad iberoamericanas. Estos datos se descargan en una base de datos de Microsoft Access creada ad hoc. Posteriormente, se realiza una normalización para identificar las diferentes agencias y anuncios y que estos sean unificados bajo un mismo nombre. La normalización es especialmente importante, puesto que una agencia o un anuncio único puede presentar, en los festivales, diferentes variantes de su nombre. En el caso de que un anuncio no haya sido realizado por una agencia publicitaria, sino por otro organismo que realice esta función (un departamento de marketing de una empresa o un centro de formación), se ha considerado como agencia este organismo; por ejemplo, Adidas en Colombia, que genera sus propios anuncios, o la Universitat Pompeu Fabra en España, cuyos alumnos presentaron un anuncio al festival The One Club en la categoría Young Ones.
Con los datos extraídos de los festivales, se estudian dos aspectos: los premios en relación con los países y la relación entre las variables internas estudiadas. El primer apartado que se estudia son los premios en relación con los países. Para ello, se analizan los países registrados en festivales de publicidad (internacionales e iberoamericanos), distinguiéndose el origen de los datos y expresándose en orden descendiente según el número de premios. Igualmente, se estudia la relación entre el número de anuncios participantes en festivales, número de premios y número de agencias por estos países. Al final de los resultados, se incluyen las diez agencias que reciben un mayor número de premios en los cinco países más premiados, con el fin de ilustrar la concentración del sector en agencias multinacionales.
El segundo aspecto que se quiere estudiar es la relación entre las variables agencias, número de premios, anuncios, población y PIB de cada país en 2013 (el PIB y la población han sido extraídos del Fondo Monetario Internacional). En último lugar, se analiza la distribución de premios entre agencias. Para ello, se utiliza el índice de Gini para estudiar el reparto de los premios entre las agencias y se compara esta distribución con el modelo matemático de Bradford.
El índice de Gini es una medida de concentración (Gastwirth, 1972). Se utiliza para comparar el reparto de la riqueza, la renta o cualquier otra variable representada mediante una distribución de frecuencias. El índice de Gini varía entre 0 y 1,
si 0 representa el caso de máxima igualdad (todos los miembros de la población tienen el mismo número de premios) y
si 1 representa el caso de máxima desigualdad (todos los premios los recibe una empresa y el resto no recibe nada).
El modelo matemático de Bradford es un indicador bibliométrico de dispersión de la información científica (Bookstein, 1994). Postula que dentro de una producción científica determinada existe un núcleo de revistas utilizado con más frecuencia por los autores, y varios grupos o zonas (zonas de Bradford) que incluyen el mismo número de artículos que el núcleo. Así, el número de revistas en las diversas zonas de Bradford cumplirán la relación 1: n: n2... Este enunciado permite determinar qué revistas son las más utilizadas por los científicos en una disciplina determinada y se calcula tradicionalmente mediante las citas. Bradford indica que existe una élite de revistas que representa 20 % del total y que, en cambio, recibe 80 % de las citas. Eugene Garfield se apoyó en este modelo matemático para crear Web of Science (Garfield, 1971).
Se aplica el modelo de Bradford en la dispersión del número de premios recibidos por las distintas agencias de publicidad que aparecen en los festivales. En el proceso de concentración, la primera zona, llamada núcleo, se incluyen aquellas agencias que acumulan el mayor número de premios. Para el análisis del estudio, se tomaron los datos de 692 agencias de publicidad, que han recibido 6921 premios (los detalles se pueden consultar en https://goo.gl/SpBb4k).
Los datos han sido analizados y representados visualmente con los programas Microsoft Excel 2014®, SPSS 20 de IBM y Tableau (Murray, 2013).
Resultados
La distribución de premios por países en festivales de publicidad iberoamericanos e internacionales en 2012-2013 presenta una gran desigualdad (figura 2). El 80 % de los premios recaen en agencias de ocho países de los veintiún registrados en los festivales. Solo Brasil, el país que más premios recibe, ostenta 28.79 % del total, seguido de Argentina que aglutina 19.81 % de los premios y España con 12.22 %. Por otra parte, existe un grupo de países iberoamericanos como Uruguay, Venezuela, Bolivia, Honduras, Paraguay, El Salvador, Cuba o Nicaragua, cuyos premios, individualmente, no representan 1 % del total de los estudiados.
El mérito de las agencias brasileñas es especialmente llamativo si se estudian los premios recibidos en festivales internacionales, pues 36 % (715) de los premios que recibe proviene de festivales internacionales. Otro país que destaca en cuanto a presencia en rankings internacionales es Portugal, que, aunque posee en conjunto un número de premios bajo (78), 46 % de estos han sido obtenidos en festivales internacionales.

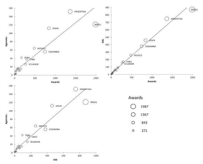
Existe una relación evidente entre el número de anuncios, las agencias y los premios recibidos en festivales internacionales (figura 3). Argentina se sitúa como el país con un mayor número de agencias premiadas, mientras que Brasil es el país que posee más anuncios premiados y más premios. En tercer lugar, aparece España, que se sitúa como el tercer país en número de agencias y anuncios premiados.

Si se compara el número de agencias con los premios recibidos, se observa que aproximadamente cada agencia recibe 9.52 premios, donde se destacan especialmente las agencias brasileñas con 16.4 premios y las colombianas y bolivianas con 13.32 y 11.66 premios, respectivamente. La mayor relación existente se da entre el número de anuncios y el número de premios (tabla 2). Cada anuncio recibe aproximadamente casi dos premios (1.92), con una desviación típica de 0.49. No obstante, algunos países como Paraguay, El Salvador o Brasil poseen un promedio de premios por anuncios superior (3.16, 2.8 y 2.27, respectivamente).


La distribución de premios por el conjunto de agencias iberoamericanas (total) escenifica una distribución desigual (figura 4). Un pequeño grupo de 150 agencias que representa 21.65 % del total recibe 79.97 % de los premios, mientras que las restantes 542 agencias (78.32 %) tan solo son capaces de obtener 20 % de los premios, con lo cual se logra una distribución desigual, con un índice de Gini de 0.47, es decir, se demuestra un reparto de premios poco equitativo. Esto indica que la dinámica en los festivales de publicidad iberoamericanos está regida por una dinámica de desigualdad: unas pocas agencias acumulan la mayor parte de los premios de los festivales de publicidad. La función de distribución de premios se ajusta correctamente al modelo de Bradford:
Total premios acum. = -717.49 + 1199.85*Log (acum. agencias), con un coeficiente de correlación de 0.9873 y una bondad de ajuste de 96.77 %.

La tabla 2 muestra la distribución decreciente de premios a agencias de publicidad (columnas 1 y 2); el número acumulado de agencias (columna 3); el total de premios (columna 4), que es el producto de las dos primeras columnas; el total de premios acumulados (columna 5); el logaritmo del número acumulado de agencias; y por último, la cantidad de premios calculados (columna 6). Para el cálculo de la columna 6, se ha realizado un ajuste a una función logarítmica mediante el método de mínimos cuadrados, considerando como variable dependiente el total de premios acumulados y como variable independiente el número acumulado de agencias.
Discusión y conclusiones
El estudio de la productividad de las agencias publicitarias en diferentes países a través de su éxito en festivales de publicidad aporta una nueva dimensión. Hasta ahora se habían realizado estudios que vinculaban la importancia de las agencias a las inversiones publicitarias realizadas en territorios específicos (Fejes, 1980; Quester y Thompson, 2001). Ahora podemos analizar un nuevo espacio competitivo con diferentes valores, como número de premios, anuncios y agencias.
Este trabajo aporta una nueva perspectiva que permite una aproximación a la visibilidad que las agencias tienen en un espacio de competición clave en el sector publicitario: los festivales de publicidad. Al respecto, existen estudios centrados en los logros que las agencias alcanzan en los festivales publicitarios, pero ofrecen resultados parciales sobre los premios y el significado de estos. Algunos ejemplos de las mencionadas aportaciones son 1) la que hace Wilson (2010) sobre el caso de Hungría, 2) la propuesta de Pratt (2006) sobre Londres, 3) el análisis empírico que desarrollan Tippins y Kunkel (2006) sobre el impacto financiero que tiene ganar un Clio Award y 4) el análisis de contenido de las campañas ganadoras del Cannes Lions 2014 en la categoría de mobile que efectúan Martínez-Sáez, Martín-Núñez y García-Cubells (2015).
En esta investigación, el uso de múltiples festivales permite aumentar la información y la fiabilidad de los resultados haciendo posible el análisis cuantitativo de los datos y aportando luz sobre la situación de una región en conjunto, Iberoamérica, acerca de la que no hay apenas estudios científicos sobre publicidad.
Pero la clave es preguntarse ¿qué se obtiene al estudiar los premios en festivales en agencias y países? Los premios y festivales constituyen un indicador de rendimiento publicitario ampliamente aceptado dentro del sector, además de un instrumento vital para la promoción de las agencias (Helgesen, 1994). Generan puntos de referencia en la industria publicitaria y facilitan la diferenciación de las agencias galardonadas a través de la evaluación de sus productos (Pratt, 2006). Incluso, se ha llegado a definir la imagen de una agencia en relación con los premios que ha recibido en un festival determinado: "Image was measured using the number of awards received through Hungary's premier advertising award competition, the Golden Blade" (La imagen se determinó según el número de premios recibidos en el festival de publicidad más importante de Hungría, el Golden Blade) (Wilson, 2010, p. 154).
Esta imagen diferencial aporta a las agencias una reputación que 1) resulta clave para la decisión del cliente-anunciante en el proceso de selección de la agencia (Cagley y Roberts, 1984; Cagley, 1986; Fam y Waller, 1999) y 2) garantiza a las agencias que la consiguen una especie de ventaja competitiva dentro de la industria publicitaria, en la que sus premios actúan como "escaparate" de sus productos y su estilo (Pratt, 2006).
De este modo, se está midiendo el liderazgo y la visibilidad internacional de las agencias y, por tanto, también de los países estudiados. Este liderazgo mantiene, sin duda, una estrecha relación con la tradición en el sector y con una economía sana que permite la existencia de un sector publicitario amplio, con madurez y capacidad para liderar las tendencias publicitarias en el ámbito internacional. En este sentido, los premios en festivales internacionales, donde cualquier país puede competir, representan para los países un fortalecimiento de la marca nacional en el extranjero.
En el estudio presentado, la distribución de premios por países muestra un panorama muy desigual, porque pocos países aglutinan la mayor parte de los premios. Concentración que tiene su explicación en factores como el tamaño de los países y su riqueza. Los países con mayor presencia son Brasil, Argentina, España, México y Colombia.
En los festivales regionales iberoamericanos, organizados, mayoritariamente, en países hispanohablantes, Brasil se posiciona como la nación con un mayor número de premios, seguida, a poca distancia, de Argentina. Asimismo, en festivales internacionales, mayoritariamente anglosajones, Brasil mantiene un liderazgo indiscutible frente al resto de países iberoamericanos. La participación en estos festivales, que pueden suponer un terreno culturalmente "neutro", permite a Brasil posicionarse. Curiosamente, algo parecido le ocurre a Portugal, que, aunque durante 2012-2013 sus agencias reciben pocos premios, 46 % de estos los reciben en festivales internacionales.
Brasil no solo es el país con un mayor número de anuncios y premios en festivales iberoamericanos e internacionales en 2012-2013, sino que, además, sus agencias son las que poseen una mayor "rentabilidad". Sus agencias son aquellas que tienen una tasa de premios recibidos más alta (16.42), y sus anuncios consiguen la tercera mayor tasa de éxito, con 2.27 premios por anuncio, precedidos por los de Paraguay y El Salvador. Por tanto, es justa la fama que tienen sus agencias de producir algunos de los anuncios más creativos del mundo (O'Barr, 2008).
Las principales variables que se rescatan de los festivales: número de premios, anuncios y agencias, mantienen una fuerte similitud entre sí. Comparando el número de premios con el número de anuncios, se puede comprobar la eficiencia de los anuncios. Además, si se relaciona el número de premios con las agencias, se puede conocer el tejido productivo.
Al estudiar la distribución de premios por agencias, se percibe igualmente una desigualdad: pocas agencias reciben la mayor parte de los premios. Hecho que se demuestra al comprobar el ajuste de la distribución con el modelo de Bradford, lo cual refleja un sistema con una élite de agencias de alto impacto en el sistema, que acaparan la mayor parte de los premios producidos en festivales. Este subgrupo, además, está formado, mayoritariamente, por agencias multinacionales. De este modo, se confirmaría, en esta investigación, la hipótesis de Kübler (2012) que establecía que las campañas creadas por agencias de mayor tamaño, más experiencia y con contactos con asociaciones tienen más éxito en festivales y premios. Estos conglomerados publicitarios son resultado de los procesos de consolidación de las agencias y buscan una mayor participación en el mercado publicitario internacional implementando programas estandarizados según una estrategia global (Taylor, 2005).
Tal desequilibrio en el reparto de los premios ha sido percibido en otras investigaciones respecto del mercado. Hace años, The Economist (1990) y Advertising Age (1985) publicaron que la industria estaba altamente concentrada en cuatro grandes firmas en los Estados Unidos, que aglutinaban 23 % del mercado. La explicación de tal concentración se atribuyó a la existencia de algunas ventajas de ser una agencia internacional, como 1) transferencia de información, 2) ahorro en costes estructurales y 3) mejores servicios (integrales) para los clientes por una mejor capacidad de negociación dentro del sector (Villas-Boas, 1994).
Este aspecto puede ir muy relacionado con la "publicidad global" que reclamó por primera vez Saatchi como filosofía corporativa (Moriarty y Duncan, 1991), y que predecía, en la década de 1990, que la publicidad sería un fenómeno coordinado en el mundo por unas pocas agencias multinacionales (Leslie, 1995). Es un fenómeno que en el marco iberoamericano parece también confirmarse en gran medida. Los resultados de este trabajo descubren una realidad publicitaria desigual en Iberoamérica que sería de gran interés explorar en futuros estudios.
Referencias
Advertising Age (1985). The mighty urge to merge: Big-name buyers bag brands, 1, 38-46.
Ball, R. y Tunger, D. (2006). Science indicators revisited - Science citation index versus SCOPUS: A bibliometric comparison of both citation databases. Information Services and Use, 26, 293-301.
Bookstein, A. (1994). Towards a multi-disciplinary Bradford law. Scientometrics, 30(1), 353-361.
Bornmann, L., Moya Anegón, F. de y Leydesdorff, L. (2012). The new Excellence Indicator in the World Report ofthe SCImago Institutions Rankings 2011. Journal of Informetrics, 6(2), 333-335. https://doi.org/10.1016/j.joi.2011.11.006
Burnham, J. F. (2006). Scopus database: A review. Biomedical Digital Libraries, 3(1), 1. https://doi.org/10.1186/1742-5581-3-1
Cagley, J. W. (1986). Advertising agency selection factors: Agency Perceptions. Journal of Advertising Research, 26(3), 39-44.
Cagley, J. W. y Roberts, C. R. (1984). Criteria for advertising agency selection: An objective appraisal. Journal of Advertising Research , 24(2), 27-31.
Caro, A. (2010). Publicidad y globalización. Historia y Comunicación Social, 15, 111-123.
Delgado, E. y Repiso, R. (2013). The Impact of Scientific Journals of Communication: Comparing Google Scholar Metrics, Web of Science and Scopus. Comunicar, 26(41), 45-52. https://doi.org/10.3916/C41-2013-04
Docampo, D. (2012). Reproducibility of the Shanghai academic ranking of world universities results. Scientometrics , 94(2), 567-587. https://doi.org/10.1007/s11192-012-0801-y
Fam, K. S. y Waller, D. S. (1999). Factors in winning accounts: The views of agency account directors in New Zealand. Journal of Advertising Research , 39(3), 21-31.
Faulconbridge, J. R., Beaverstock, J. V., Nativel, C. y Taylor, P. J. (2011). The globalization of Advertising: Agencies, cities and spaces of creativity. Oxfordshire: Routledge.
Fejes, F. (1980). The growth of multinational advertising agencies in Latin America. Journal of Communication, 30(4), 36-49.
Fernández-Barros, M. L. (2004). Los que "piensan" la publicidad televisiva. Global Media Journal, 1(2).
Garfield, E. (1971). The mystery of the transposed journal lists: Wherein Bradford's Law of Scattering is generalized according to Garfield's Law of Concentration. Essys of an Information Scientist, 1, 222-223.
Gastwirth, J. L. (1972). The estimation of the Lorenz curve and Gini index. The Review of Economics and Statistics, 54(3), 306-316.
Halachmi, A. (1995). The pros and cons of participating in a quality award program. Global Business and Organizational Excellence, 15(1), 87-100.
Helgesen, T. (1994). Advertising awards and advertising agency performance criteria. Journal of Advertising Research , 34(4), 43-54.
Kilgour, M., Sasser, S. y Koslow, S. (2013). Creativity awards: Great expectations? Creativity Research Journal, 25(2), 163-171. https://doi.org/10.1080/10400419.2013.783741
Kübler, R. V. (2012). Faking or convincing: Why do some advertising campaigns win creativity awards? Business Research Journal, 5(1), 60-81.
Leslie, D. (1995). Global scan: The globalization of advertising agencies, concepts, and campaigns. Economic Geography, 71 (4), 402-426.
Martínez, J., Martín, M. y García, R. (2015). Un poco de rock&love: recursos creativos empleados por las marcas en la publicidad para móviles. Icono 14,13, 76-104. https://doi.org/10.7195/ri14.v13i1.759
Montano, J. R. (2004). Characteristics of US hispanic advertising: A comparison of award-winning and non-award-winning commercials (Tesis doctoral, University of Florida, Florida, Estados Unidos).
Moriarty, S. E. y Duncan, T. R. (1991). Global advertising: Issues and practices. Current Issues and Research in Advertising, 13(1-2), 313-341.
Murray, D. G. (2013). Tableau your data! Fast and easy visual analysis with tableau software. Indianapolis: Wiley.
O'Barr, W. (2008). Advertising in Brazil. MUSE, 9(2), 1-17.
Péricard, A. (2000). Communication and poverty reduction in Francophone West Africa. Communication et Lutte Contre La Pauvret-Ace En Afrique de lOuest Francophone, 21 (3), 797-823. Recuperado de http://www.scopus.com/inward/record.url?eid=2-s2.0-0034458125&partnerID=40&md5=065487b3198ec4edd3ac23b30adb61ec
Piñuel, J. L. (2000). Formación universitaria y formación de profesionales en métodos y técnicas de investigación social en comunicación. Ponencia presentada en el Congreso Nacional de Investigadores de la Comunicación Audiovisual, Madrid: Universidad Complutense de Madrid.
Pratt, A. C. (2006). Advertising and creativity, a governance approach: A case study of creative agencies in London. Environment and Planning A, 38(10), 1883-1899.
Quester, P. G. y Thompson, B. (2001). Advertising and promotion leverage on arts sponsorship effectiveness. Journal of Advertising Research , 41(1), 33-47.
Repiso, R. y Berlanga, I. (2015). Ranking UNIR, un proyecto de organización y clasificación de la mejor publicidad iberoamericana. El Profesional de la Información, 24(4).
Robinson-García, N., Torres-Salinas, D., Delgado López-Cózar, E. y Herrera, F. (2014). An insight into the importance of national university rankings in an international context: The case of the I-UGR rankings of Spanish universities. Scientometrics , 101, 1309-1324. https://doi.org/10.1007/s11192-014-1263-1
Roca, D., Alegre, I. y Pueyo, N. (2012). The Absence of creative women as judges in advertising awards: A case study of El Sol (1998-2008). Trípodos, 31, 143-157.
Santa, S. y Herrero-Solana, V. (2010). Cobertura de la ciencia de América Latina y el Caribe en Scopus vs Web of Science. Investigación Bibliotecológica, 24(52), 13-27.
Self, J. A. (2014). Mind the gap: Perceptions of design awards from the wild. International Journal of Design, 8(3), 123-138.
Shapiro, C. (1983). Premiums for high quality products as returns to reputations. The Quarterly Journal of Economics, 98(4), 659-679.
Sung, T. J. (2007). An empirical study of the perceived values ofworldclass design awards for Taiwan's design-award-winning firms. IASDR 2007 Proceedings.
Sung, W. O., Nam, K. Y. y Chung, K. W. (2010). Strategic use of international product design award schemes. Design Management Journal, 5(1), 72-86. https://doi.org/ 10.1111/j.1948-7177.2010.00016.x
Taylor, C. R. (2005). Moving international advertising research forward: A new research agenda. Journal of Advertising, 34(1), 7-16. https://doi.org/10.1080/00913367.2005.10639187
The Economist (1990). A survey of the advertising industry, 1-18.
Tippins, M. J. y Kunkel, R. A. (2006). Winning a Clio advertising award and its relationship to firm profitability. Journal of Marketing Communications, 12(1), 1-14. https://doi.org/10.1080/13527260500247942
Villas-Boas, J. M. (1994). Sleeping with the enemy: Should competitors share the same advertising agency? Marketing Science, 13(2), 190-202. https://doi.org/10.1287/mksc.13.2.190
W&V-Kreativ-Ranking. (2009). W&V Kreativ Ranking. Werben Und Verkaufen, 83(24), 1-4.
Waller, D. S., Cusick, D. J., Matheson, H. D. y Miller, M. K. (2001). Advertising agency activities used to attract new clients in Australia. Journal of Business & Industrial Marketing, 16(2), 129-140. https://doi.org/10.1108/08858620110384150
Wilson, R. T. (2010). Competing successfully against multinationals: A longitudinal perspective of Hungarian advertising agencies. Journal of Strategic Marketing, 18(2), 145-164. https://doi.org/10.1080/09652540903536974
Notas