Artículos originales
DOI: https://doi.org/10.62073/716my728
Resumen: Introducción: La meningitis es una infección del sistema nervioso central. El 80% de los casos ocurre en la infancia. Está asociada a alta morbimortalidad, lo que la convierte en una urgencia infectológica. Las principales etiologías son viral y bacteriana. El análisis citoquímico del líquido cefalorraquídeo es fundamental para orientar el diagnóstico etiológico e instaurar el tratamiento adecuado. Existe evidencia de que la proteína C reactiva sérica también podría contribuir a lograrlo. Objetivo: Analizar la utilidad de los parámetros citoquímicos del líquido cefalorraquídeo y la proteína C reactiva sérica para discriminar entre etiología bacteriana y viral en la meningitis pediátrica. Materiales y métodos: Se realizó un estudio observacional, retrospectivo, analítico y transversal. Se revisaron historias clínicas de niños con etiología confirmada de meningitis entre enero del 2016 y diciembre del 2019 en el Hospital General de Niños Pedro de Elizalde. Resultados: Se analizaron 101 historias clínicas. La proteinorraquia, el recuento de leucocitos en LCR y la proteína C reactiva sérica fueron significativamente mayores en las meningitis bacterianas respecto de las virales, mientras que la glucorraquia fue menor. No hubo diferencia en el lactato. Para establecer la etiología bacteriana, valores de proteína C reactiva mayores de 34,77 mg/L mostraron sensibilidad de 100 %, especificidad de 92 % y valor predictivo negativo de 100 %; la proteinorraquia de 0,52 g/L mostró la mejor sensibilidad, mientras que una glucorraquia de 55 mg/dL, la mayor especificidad. Conclusión: La proteinorraquia y la glucorraquia discriminaron mejor la etiología de la meningitis. La proteína C reactiva mostró muy buen desempeño, aunque es necesario profundizar su estudio en pediatría.
Palabras clave: líquido cefalorraquídeo, proteína C reactiva, meningitis, pediatría.
Abstract: Introduction: Meningitis is an infection of the central nervous system, which, in 80% of the cases, occurs in childhood. Due to its association with high morbimortality, it is considered an infectological emergency. The main etiologies are viral and bacterial. The chemical and cytological analysis of cerebrospinal fluid is key to orient the etiological diagnosis and provide proper treatment. There is evidence that serum C-reactive protein could contribute. Objective: To analyze the utility of cerebrospinal fluid parameters and C-reactive protein in the discrimination of viral and bacterial meningitis in pediatric patients. Materials and methods: The study was observational, analytical, cross-sectional and retrospective. Clinical records of children with diagnosis of meningitis with confirmed etiological agent assessed from January 2016 to December 2019 in the General de Niños Pedro de Elizalde Hospital (Buenos Aires, Argentina) were revised. Results: A total of 101 records were included. Total proteins, cell counts and C-reactive protein were significantly higher in patients with bacterial meningitis, whereas glucose was lower. No difference was found in lactate level. In establishing bacterial etiology, serum C-reactive protein level above 34.77 mg/L showed a sensitivity of 100%, a specificity of 92% and a negative predictive value of 100%; for total proteins, a cut-off point of 0.52 g/L showed the best sensitivity, while for glucose a cut-off point of 55 mg/dL had the highest specificity. Conclusion: Cerebrospinal fluid protein and glucose levels were the best parameters to discriminate between these etiologies. Serum C-reactive protein showed very good performance, although further studies in pediatric patients are needed to establish its utility.
Keywords: cerebrospinal fluid, C-reactive protein, meningitis, pediatrics.
Introducción
La meningitis es un proceso inflamatorio agudo del sistema nervioso central (SNC), causado por distintos microorganismos que afectan las leptomeninges (aracnoides y piamadre).1Un 80 % de los casos ocurre en la infancia, especialmente en los menores de 10 años.2 Tanto en bebés como en niños resulta una urgencia infectológica, ya que está asociada a una alta morbimortalidad3. A diferencia de los adultos, en pediatría, los signos y síntomas de la meningitis suelen ser inespecíficos, por lo que su diagnóstico representa un desafío4. El cuadro clínico puede variar en función de la edad del paciente y del agente causal. Sus síntomas son: fiebre, cefalea y alteración del nivel de conciencia, entre otros.1
La etiología viral es la más frecuente, seguida de la bacteriana y, en menor medida, la protozoaria. El principal agente etiológico de la meningitis viral (MV) es Enterovirus.2 En el caso de la meningitis bacteriana (MB), el agente etiológico varía según la edad. Los más frecuentes son: Streptococcus agalactiae, Escherichia coli, Listeria monocytogenes, Klebsiella spp, Haemophilus influenzae, Streptococcus pneumoniae y Neisseria meningitidis.1
De acuerdo con el Boletín Integrado de Vigilancia, durante el año 2019, se notificaron en Argentina 2000 casos de meningitis, con una mayor cantidad en la región del centro, y se reportó igual número de casos de MB y MV, a diferencia del año 2018 en el cual se notificaron 489 y 816 casos de MB y MV, respectivamente.5En el Hospital General de Niños Pedro de Elizalde (HGNPE), se notifican por año aproximadamente 40 casos confirmados de meningitis, con mayor frecuencia, de etiología viral.
El diagnóstico diferencial entre MB y MV, en las primeras horas, es crucial para el pronóstico y tratamiento oportuno. Sin embargo, en algunos casos, es difícil distinguir clínicamente ambas entidades por la superposición de síntomas, y la identificación del agente etiológico puede demorarse o no llegar a determinarse.
Según la Organización Mundial de la Salud, el análisis del líquido cefalorraquídeo (LCR) es de suma importancia para establecer el diagnóstico precoz de meningitis.6 La interpretación de los parámetros bioquímicos del LCR, como el recuento de leucocitos, la concentración de lactato, de proteínas totales y de glucosa, resulta esencial para poder iniciar un tratamiento adecuado.7A su vez, existen biomarcadores séricos que podrían contribuir en el diagnóstico de meningitis, como la proteína C reactiva (PCR). Esta se utiliza principalmente como un marcador de inflamación, pero distintos estudios sugieren su utilidad para diferenciar infecciones bacterianas de virales.8
En Argentina, son escasas las publicaciones que analizan los valores de los parámetros estudiados en el LCR y la PCR sérica en pediatría. La mayoría de la bibliografía disponible proviene de otros países con características muy diferentes de nuestra población. En nuestro país, estos parámetros se encuentran disponibles en la mayor parte de los laboratorios de urgencias, dentro de las dos horas de ingresado el paciente a la institución de salud.
En este contexto, se propuso como objetivo analizar la utilidad de la proteinorraquia, glucorraquia, lactorraquia y proteína C reactiva sérica, para discriminar entre meningitis bacteriana y viral en pacientes pediátricos atendidos en el HGNPE.
Materiales y métodos
Población y muestra
Se evaluaron todas las historias clínicas de pacientes con diagnóstico de meningitis atendidos en el HGNPE de la Ciudad Autónoma de Buenos Aires durante el período de enero de 2016 a diciembre de 2019. Se eligió este período de tiempo para evitar sesgos que pudieran presentarse debido a la pandemia por SARS-CoV-2.
Los criterios de inclusión fueron: historias clínicas de pacientes de 0 a 18 años, con diagnóstico etiológico confirmado de meningitis bacteriana o viral, que disponían de la información de los parámetros del citoquímico del LCR correspondiente a la primera punción lumbar desde el ingreso. Se excluyeron las historias clínicas de pacientes con válvulas de derivación de LCR, con patologías crónicas del sistema nervioso y de pacientes inmunocomprometidos.
Se registraron los datos de: edad, sexo, glucorraquia, proteinorraquia, lactorraquia, recuento de leucocitos en LCR, y PCR sérica, en los casos en los cuales fue determinada. Se definió como criterio de eliminación: historias clínicas con datos incompletos del LCR.
Diseño experimental
Se realizó un estudio observacional, retrospectivo, analítico, de corte transversal. Se definieron las variables de estudio como concentración de lactato en LCR (mg/dL), concentración de proteínas totales en LCR (g/L), concentración de glucosa en LCR (mg/dL), recuento total o absoluto de leucocitos en LCR (cantidad/mm3), recuento de leucocitos polimorfonucleares o monomorfonucleares en LCR en relación con el recuento absoluto (%), concentración de proteína C reactiva en suero (mg/L). La variable de resultado fue la etiología de meningitis: bacteriana o viral, confirmadas en LCR por cultivo bacteriano o reacción en cadena de la polimerasa, respectivamente.
Determinación de parámetros bioquímicos
Los parámetros bioquímicos fueron analizados en el autoanalizador Cobas c501 (Roche, Basilea, Suiza).
La medición de lactato en LCR se realizó mediante método colorimétrico (Roche), la de proteinorraquia (Roche) y PCR sérica, a través de turbidimetría (Roche) y la de glucorraquia, por método de referencia enzimático, empleando hexoquinasa (Roche).
El recuento de leucocitos en LCR se realizó a través de cámara de Neubauer en el microscopio óptico de campo claro.
Análisis de datos
Se construyó una base de datos en la que se volcaron los obtenidos de las historias clínicas de los pacientes. Se procuró la anonimización de los datos, de modo de resguardar la información personal.
Para el análisis estadístico, los resultados se expresaron como mediana +/-, con intervalo de confianza del 95% (IC95%). Las medianas se compararon mediante la prueba no paramétrica de Mann-Whitney. Se utilizó el modelo de regresión logística con el fin de evaluar la asociación entre las variables de predicción y la etiología de la meningitis. Se realizó, en primer lugar, un ajuste univariado y, en caso de ser estadísticamente significativo, se realizó un ajuste multivariado incluyendo las variables de control edad y sexo. La bondad de ajuste de la regresión se evaluó utilizando la prueba de Hosmer-Lemeshow. El poder discriminativo de los distintos parámetros estudiados se determinó mediante curvas de características operativas del receptor (ROC). El punto de corte diagnóstico para diferenciar MB de MV se definió de acuerdo con el valor máximo del índice de Youden, y se calcularon la sensibilidad (S), especificidad (E), valor predictivo positivo (VPP) y valor predictivo negativo (VPN) para cada parámetro. Para definir operativamente la variable resultado, se tomó como positiva la meningitis bacteriana para los distintos análisis. Se consideró un nivel de significación de 0,05.
Consideraciones éticas
El proyecto de investigación fue aprobado por el Comité de Docencia e Investigación y el Comité de Ética en Investigación del HGNPE considerando lo establecido en las Normativas de Investigación en Salud de los establecimientos dependientes del Gobierno de la Ciudad Autónoma de Buenos Aires.
Resultados
Se revisaron 370 historias clínicas de niños diagnosticados con meningitis, atendidos en el HGNPE. Se excluyeron 269: 145 no poseían identificación del agente etiológico, 3 tenían etiología tuberculosa y 121, datos incompletos de laboratorio. Finalmente, se incluyeron en el análisis 101 historias clínicas (Figura 1).
La mediana de edad de los niños fue de 5 años (IC95%: 3 - 6 años). En la Figura 2, se muestra la distribución de edades de los pacientes con MV y MB. Para las MV, se obtuvo una mediana de 5 años (IC95%: 4 - 6 años) y de 5,5 meses (IC95%: 3,0 - 13,0 meses) para MB. El 63,4% de los niños fueron varones, predominancia que se mantiene en ambas etiologías.
En la Tabla 1, se observa la frecuencia de los distintos agentes etiológicos detectados. El agente viral más frecuente fue Enterovirus, mientras que el bacteriano fue Haemophilus influenzae.
En la Tabla 2, se muestran las medianas de los distintos parámetros del citoquímico del LCR y la PCR sérica según la etiología. Las medianas de proteinorraquia, recuento de leucocitos y PCR sérica fueron significativamente mayores en las MB respecto de las MV. Por el contrario, la glucorraquia fue menor. No se observaron diferencias significativas entre las medianas de la concentración de lactato en LCR (p=0,1099).
El análisis de la regresión logística se observa en la Tabla 3. El modelo univariado mostró una asociación significativa entre el diagnóstico etiológico y la concentración de PCR sérica, el recuento de leucocitos en LCR y la proteinorraquia. En el caso del modelo multivariado, incluyendo las variables de control edad y sexo, la asociación fue significativa para todos los parámetros.
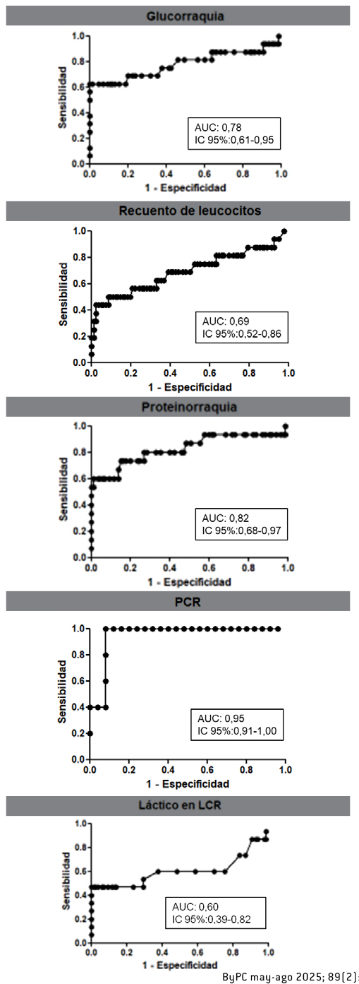
Se analizaron las curvas ROC de las distintas variables (Figura 3). Se observó que, excepto el lactato, todos los parámetros estudiados arrojaron áreas bajo la curva (AUC) estadísticamente significativas, lo que demuestra que son útiles para discriminar las etiologías de meningitis. La PCR sérica mostró la mayor área bajo la curva.
A partir del análisis de las curvas ROC, se definieron los valores de corte de los parámetros de laboratorio y se estimaron S, E VPP y VPN (Tabla 4).
En cuanto a su capacidad para establecer la etiología bacteriana, la PCR sérica mostró una S de 100 % (IC95%: 68-100 %), E de 92 % (IC95%: 78-99 %) y VPN de 100 % (IC95%: 92-100) para valores superiores a 34,77 mg/L.
Respecto de los parámetros del LCR, valores de proteinorraquia superiores a 0,52 g/L mostraron la mejor S para detectar MB, mientras que una glucorraquia por debajo de 55 mg/dL tuvo la E más alta (80 %, IC95%: 71-88 %). Un punto de corte de 157/mm3 para el recuento de leucocitos en LCR mostró el peor desempeño en la discriminación de MB y MV en cuanto a S y E, respecto de los demás parámetros. Los VPP resultaron bajos para los tres parámetros y, por el contrario, los VPN estuvieron por encima del 90 %.
No se pudo analizar estadísticamente la asociación del predominio celular con el diagnóstico con los mismos métodos usados para los otros parámetros, porque en esta serie de datos no hubo MB con predominio linfocitario.







Discusión
En la actualidad, hay consenso respecto de que es esencial un diagnóstico diferencial precoz de las meningitis y su etiología para aplicar un tratamiento oportuno y evitar sus complicaciones. En este estudio, se propuso obtener información acerca del comportamiento de los parámetros del citoquímico del LCR y la PCR sérica en niños con meningitis, y se evidenció que la proteinorraquia, el recuento de leucocitos en LCR y la PCR sérica tuvieron valores más elevados, y la glucorraquia, valores disminuidos en las MB respecto de las MV. No hubo diferencia significativa en la concentración de lactato en LCR según etiología, sin embargo, este parámetro mostró asociación con el diagnóstico etiológico en la regresión logística.
Está descrito que la glucorraquia disminuye en situaciones donde hay consumo de ella, por ejemplo, en el aumento de leucocitos en LCR, la presencia de células neoplásicas, de microorganismos o por alteraciones en la barrera hematoencefálica, por lo tanto, se encuentra disminuida en la mayoría de las MB9. Esto coincide con lo obtenido en este estudio.
El modelo de regresión logística multivariado presentó un buen ajuste a los datos experimentales: se observó que los niveles de glucorraquia evidenciaron una asociación significativa con el diagnóstico etiológico. Al analizar la performance diagnóstica de los parámetros, se vio que una glucorraquia de 55 mg/dL presentó elevada S y VPN para diagnosticar etiología bacteriana, valor similar al obtenido en un estudio prospectivo en neonatos realizado por Reshi Z. y col. donde se obtuvo una E de 85 % y un VPN de 96 % para una glucorraquia de 45 mg/dL10.
Respecto de la proteinorraquia, está aumentada en el 80 % de las MB, aunque debe tenerse en cuenta que, al inicio de la infección, puede ser normal y que solo un pequeño porcentaje de las MV cursan con proteínas aumentadas.9En este estudio, se observó que la proteinorraquia en las MB fue significativamente mayor que en las MV y, en la regresión logística, mostró una fuerte asociación con el diagnóstico etiológico. Además, la proteinorraquia fue la que mejor AUC arrojó de los parámetros del LCR (0,82) y, para un valor de corte de 0,52 g/L, se obtuvo una S de 80%, la más alta de los parámetros del LCR. Este resultado coincide con un estudio de cohorte retrospectivo, realizado por Dubos F y col.11, donde se demostró que la proteinorraquia, al igual que la procalcitonina, tuvieron el mejor valor predictivo para distinguir entre MB de meningitis aséptica en niños. Un valor de proteinorraquia mayor de 0,5 g/L presentó una S de 86 %, una E de 78 %, un OR igual a 34 (IC95%: 5-217) y el AUC de 0,93.
Por otra parte, los valores de referencia del recuento de leucocitos en LCR están relacionados con la edad. En la mayoría de las MB, se observa pleocitosis con un valor superior a 1000/mm3, con predominio polimorfonuclear.9,12 Los pacientes con pleocitosis se tratan frecuentemente con antibióticos, pero se debería tener en cuenta que esta no solo sugiere MB.13 En este estudio, la diferencia entre las medianas del recuento de leucocitos de las MB y MV fue estadísticamente significativa, y el modelo de regresión mostró que hay asociación entre dicha variable y el diagnóstico etiológico.
Para un valor de corte de recuento de leucocitos en LCR de 157 /mm3, se obtuvo una S del 68 % y una E del 61 %. Otro estudio realizado por Anahita Sanaei Dashti y col., para un punto de corte de 390 /mm3, presentó un VPN de 91,3 % y un VPP de 37 %, además de evidenciar alta sensibilidad y baja especificidad para discriminar meningitis.14Las bajas E y S observadas podrían deberse al método manual utilizado para realizar el recuento, ya que es altamente dependiente del operador, y a la calidad de la toma de muestra, aspecto fundamental en pediatría.
La proteinorraquia, glucorraquia y el recuento de leucocitos en LCR mostraron bajos VPP. Esto podría deberse a que la frecuencia de MB es baja en la muestra estudiada y, al haber un mayor número de MV, se incrementa la cantidad de falsos positivos, lo que da como consecuencia un valor predictivo positivo bajo.
El mecanismo del aumento de la concentración de lactato en el LCR de pacientes con meningitis no está claro, pero se ha relacionado con la glucólisis anaeróbica del tejido cerebral debido a una disminución del flujo sanguíneo y del consumo de oxígeno.15Este proceso no se ve afectado por los niveles de lactato en sangre, por lo tanto, el lactato en LCR refleja la infección intracraneal con precisión.15 En un estudio prospectivo realizado por Mudasir Nazir y col15, se estudiaron niños con hallazgos clínicos concordantes con meningitis, para evaluar el rendimiento del lactato en LCR como biomarcador, y se determinó un valor de corte óptimo para diferenciar entre MB y MV. Se observó un aumento estadísticamente significativo en el lactato del LCR en pacientes con MB en comparación con aquellos de etiología viral.
En otro estudio realizado por Anahita Sanaei Dashti y col.14, se evaluaron los niveles de lactato y de otros biomarcadores en LCR. El lactato obtuvo la mejor S= 6,2 % y VPN= 97,1 %, por lo que representa el segundo marcador en descartar la MB, seguido del recuento absoluto de neutrófilos en LCR. Estos trabajos aportan evidencia de que el lactato en LCR sería un biomarcador de gran utilidad en el diagnóstico de MB.
En este estudio, no se pudo demostrar una diferencia significativa en las medianas de concentración de lactato en LCR entre ambas etiologías, aunque sí se observó asociación con el diagnóstico etiológico en la regresión logística. Esta inconsistencia podría atribuirse a la falta de precisión de la estimación tanto debido a la gran dispersión de los datos como a la menor cantidad de datos experimentales recolectados de las MB en comparación con las virales. Con respecto a la baja frecuencia de MB en esta serie, se podría especular cierta relación con el cumplimiento del esquema de vacunación.
La PCR sérica se utiliza principalmente como un marcador de inflamación, pero durante varios años se ha utilizado también para diferenciar infecciones bacterianas de virales. Si bien varios trabajos describen la utilidad de este biomarcador en LCR16, en este estudio, solo se disponía de los datos de PCR sérica.
Anahita Sanaei Dashti y col.14 evaluaron en un estudio transversal prospectivo los niveles de PCR y otros biomarcadores en suero útiles en la diferenciación de la MB y MV en niños. Observaron que la PCR sérica con un punto de corte igual a 57 mg/l tuvo la E más alta (100 %) y VPN, VPP y S de 90,3 %, 100 % y 85,9 % respectivamente, lo que indicó que sería un biomarcador útil.
En el presente estudio, se observó que las medianas de PCR sérica fueron significativamente diferentes entre las MB y MV. En concordancia con lo anterior, mediante el modelo de regresión logística univariado y multivariado, se demostró que la PCR sérica tuvo asociación con el diagnóstico de meningitis.
Además, se evidenció que la PCR sérica tuvo la mejor AUC (0,95) de los parámetros del LCR, lo que indica que es un buen biomarcador para discriminar entre ambas etiologías. El valor de corte de 34,77 mg/L arrojó la mejor S, E, VPP y VPN.
Este estudio demostró un buen rendimiento de la PCR sérica en la discriminación entre las etiologías de las MB y MV en pediatría, pero es importante destacar que fue el parámetro con la menor cantidad de datos recolectados.
Una de las limitaciones de este estudio fue que no se estableció como criterio de exclusión la existencia de otro foco al momento de presentarse el cuadro de meningitis. Debido a la naturaleza retrospectiva de los datos, se generaron dificultades para interpretar dicho parámetro. Es por esto por lo que es necesario realizar estudios prospectivos que tengan en cuenta este marcador, como así también, realizar estudios multicéntricos para aportar mayor evidencia.
Conclusión
Se concluye que este estudio aporta información importante acerca de la utilidad de los parámetros del LCR (glucorraquia, proteinorraquia y recuento leucocitario) en pediatría, puesto que proporciona evidencia sobre la utilidad de la PCR sérica y su relevancia en la discriminación de las meningitis bacterianas y virales.
Agradecimientos
Agradecemos a la Bioq. Macarena Llanos y a la Méd. María Eugenia Sevilla por su apoyo y colaboración en la corrección de este artículo.
Referencias bibliográficas
1. Dondoglio P, García-Pítaro L, Potasznik J, Saenz C, Vinellli N. Meningitis. Rev Pediatr Elizalde. 2018;9(1):51-54, https://www.apelizalde.org/revistas/2018-1-ARTICULOS/RE_2018_1_PP_6.pdf
2. Baquero F, Vecino R, Del Castillo F. Meningitis bacteriana. An Esp Pediatr. 2011;(6):47-57.
3. Chaudhary S, Bhatta NK, Lamsal M, Chaudhari RK, Khanal B. Serum Procalcitonin in bacterial & non-bacterial meningitis in children. BMC Pediatr. 2018;18(1):10-14, https://doi.org/10.1186/s12887-018-1314-5
4. Srinivasan L, Kilpatrick L, Shah SS, Abbasi S, Harris MC. Elevations of novel cytokines in bacterial meningitis in infants. PLoSOne. 2018;13(2):1-11, https://doi.org/10.1371/journal.pone.0181449
5. Boletín Integrado de Vigilancia. Dirección Nacional de Epidemiología Ampliado N°477 SE 50/2019. Ministerio de Salud Presidencia de la Nación. [Internet]. 2019. [Consultado 01 dic 2021]. Disponible en: https://www.argentina.gob.ar/sites/default/files/201912-biv_477.pdf
6. Kandil M, Khalil G, El-Attar E, Shehata G, Hassan S. Accuracy of heparin binding protein: as a new marker in prediction of acute bacterial meningitis. Braz J Microbiol. 2018;49 Suppl 1(Suppl 1): 213-219, https://doi.org/10.1016/j.bjm.2018.05.007
7. Muñoz AB, Hadley S, Sanz MI, Quijano TA, Camprubí MC. Role of beta-2-microglobulin as a biomarker in very preterm and extremely preterm infants with CNS inflammation. PLoSOne. 2019;14(5): e0216498, https://doi.org/10.1371/journal.pone.0216498
8. Javadinia S, Tabasi M, Naghdalipour M, Atefi N, Asgarian R, Khezerloo J et al. C-reactive protein of cerebrospinal fluid, as a sensitive approach for diagnosis of neonatal meningitis. Afr Health Sci. 2019;19(3):2372-2377, https://doi.org/10.4314/ahs.v19i3.10
9. D´Isa G, Iñiguez M, Fernández S, López A, Quattrocchi G. Recomendaciones sobre el análisis y procesamiento de LCR. Sociedad Argentina de Terapia Intensiva. [Internet]. 2019. [Consultado 10 ene 2023]. Disponible en: https://www.sati.org.ar/images/capitulo/CapituloBioquimico/Recomendaciones_LCR_SATI.pdf
10. Reshi Z, Nazir M, Wani W, Malik M, Iqbad J, Wajud S. Cerebrospinal fluid procalcitonin as a biomarker of bacterial meningitis in neonates. J. Perinatol. 2017;37(8):927-931, https://doi.org/10.1038/jp.2017.73
11. Dubos F, Moulin F, Gajdos V, et al. Serum procalcitonin and other biologic markers to distinguish between bacterial and aseptic meningitis. J Pediatr. 2006;149(1):72-76, https://doi.org/10.1016/j.jpeds.2006.02.034
12. Montero-Reguera R. Interpretación del líquido cefalorraquídeo. An Pediatr Contin. 2014;12(1):30-33, https://www.elsevier.es/es-revista-anales-pediatria-continuada-51-articulo-interpretacion-del-liquido-cefalorraquideo-S1696281814701647
13. Águeda S, Campos T, Maia A. Prediction of bacterial meningitis based on cerebrospinal fluid pleocytosis in children. Braz J Infect Dis. 2013;17(4):401-404, https://doi.org/10.1016/j.bjid.2012.12.002
14. Sanaei-Dashti A, Alizadeh S, Karimi A, Khalifeh M, Shoja S. A. Diagnostic value of lactate, procalcitonin, ferritin, serum-C-reactive protein, and other biomarkers in bacterial and viral meningitis. Medicine Baltimore. 2017;96:(35):e7637, https://doi.org/10.1097/md.0000000000007637
15. Nazir M, Wani WA, Malik MA, Mir MR, Ashraf Y, Kawoosa K, et al. Cerebrospinal fluid lactate: a differential biomarker for bacterial and viral meningitis in children. J Pediatr (Rio J). 2018;94(1),88-92, https://doi.org/10.1016/j.jped.2017.03.007
16. Javadinia, S. et al. C-reactive protein of cerebrospinal fluid, as a sensitive approach for diagnosis of neonatal meningitis. Afr Health Sci. 2019;19(3):2372-2377, https://doi.org/10.4314/ahs.v19i3.10
Notas
Notas de autor
ayeurruty@hotmail.com
Información adicional
redalyc-journal-id: 651