Contenido de agua y consistencia Bostwick en granos de maíz ( Zea mays amylacea) tostados con microondas a diferentes tiempos
Water content and Bostwick consistency in maize kernels ( Zea maysamylacea) microwave roasted at different times
Contenido de agua y consistencia Bostwick en granos de maíz ( Zea mays amylacea) tostados con microondas a diferentes tiempos
Siembra, vol. 2, núm. 1, pp. 060-068, 2015
Universidad Central del Ecuador
Recepción: 24 Junio 2015
Aprobación: 16 Julio 2015
Resumen: El producto conocido en Ecuador como ?tostado? es un tipo de «snack» autóctono obtenido por la tostación del grano seco de los cultivares de maíz harinoso. En este estudio se planteó: evaluar la reducción del contenido de agua (CA) y la variación de la consistencia Bostwick (CB) en los granos de maíz completamente harinoso sometidos al efecto del tiempo de tostación por microondas; estandarizar los resultados con respecto a los valores iniciales determinados en granos crudos; e interpretar el grado de modificación del endospermo harinoso de los granos tostados. Se adquirió muestras del cultivar comercial más utilizado por los productores artesanales y se equilibró el contenido de agua en los granos de maíz a 14 g/100g de muestra. En muestras de granos de maíz tratadas con microondas por: 0; 78; 156; 234; 312 y 390 segundos (horno microondas a 492 w de potencia) se determinaron, el contenido de agua y la consistencia Bostwick. El análisis de varianza evidenció el efecto significativo del tiempo de tostación sobre las dos variables de medición indicadas. Los resultados del análisis multivariante y de regresión simple y múltiple revelaron la validez de los conceptos aplicados para el entendimiento y la interpretación del grado de modificación que se ha producido al interior de los granos de maíz, así como, la importancia de generar mayor conocimiento en el tema de grado de modificación del grano de maíz tostado con microondas.
Palabras clave: maíz tostado, microondas, contenido de agua, consistencia Bostwick.
Abstract: A product known in Ecuador as ?tostado? is a type of snack autochthonous, obtained by dry kernel toasting from floury maize cultivars. This study aimed to evaluate the Bostwick consistence and released water in maize kernels by effect of microwave toasting time; to standardize these results with respect to the initial values for raw kernels; and to interpret the modification degree relative to floury endosperm in toasted kernels. Samples of more popular commercial cultivar used to make ?tostado? by artisanal people were purchased. After, the water content of samples was equilibrated to 14 g/100g (wet sample). Water content and Bostwick consistence were determined in maize kernel samples toasted by microwaves oven at 492 w, during 0; 78; 156; 234; 312 y 390 seconds. The variance analysis showed the significant effect of toasting time on Bostwick consistence and remaining water. The multivariate analysis, simple and multiple regression results revealed the validity of fundaments used to understand the modification degree caused into maize kernels, as well as the importance of future research on modification degree of maize kernel by microwave toasting.
Keywords: supplementation, animal growth, calf, weight, growth, body condition.
1. Introducción
Tanto en hogares como en pequeños negocios de la región Andina, los granos de maíz con endospermo completamente harinoso (Zea mays amilacea), alargados y de color amarillo son utilizados para la elaboración de un tipo de «snack» conocido como ?tostado? o ?cancha? ( Lim, 2013; Johson, 2000). Este tipo de producto es consumido desde la época de las civilizaciones aborígenes y su forma de preparación es considerada un arte que ha evolucionado de generación en generación. En sus inicios, los granos secos eran colocados sobre una superficie caliente y llevados a tostación uniforme al revolver con la ayuda de algún tipo de espátula. Se podría anotar que dicho producto fue una clase de cereal para desayuno y «snakc» aborigen. En la actualidad, la tostación de los granos secos es una forma de freído en muy poca grasa. De tal forma, el maíz tostado ha prevalecido y es utilizado para acompañar las comidas típicas de los países de la región Andina ( Bechoff, 2003). A más de la apariencia del maíz tostado o sus atributos de sabor y textura ( Bechoff, 2003), otro aspecto de calidad es el grado de modificación del almidón debido al calor seco transmitido desde una superficie caliente o por aplicación de microondas. El calor seco causa la hidrólisis del almidón y contribuye a la formación de cadenas más cortas de dextrinas en harina tostada ( Vaclavik, 2002).
Aun cuando, no se dispone de información publicada relativa al uso de calor seco para la tostación de grano de maíz por diversos medios, se estima que la modificación del almidón en maíz tostado difiere en algunos aspectos respecto al patrón de gelatinización descrito por varios autores para las mezclas almidón-agua tratadas térmicamente por diferentes métodos ( Zhang, Zhang, Xue & Zhou, 2014; Wang, Li Wang, Liu & Adhikari, 2012; Xue, Fukuoka & Sakai, 2010; Di Paola, Asis & Aldao, 2003). En humedad alta, los gránulos de almidón absorben agua, se hinchan, pierden cristalinidad y liberan amilosa ( Di Paola et al., 2003 ). En condiciones de baja humedad, la gelatinización no es completa, no son posibles, tanto el hinchamiento, como la ruptura de los gránulos de almidón y la pérdida de cristalinidad es parcial ( Baks et al., 2008 ; Xue, Fukuoka, & Sakai, 2008). Análogo comportamiento se ha observado en el almidón de grano de arroz por efecto del secado ( Jaiboon et al., 2011 ). Sin embargo, también se evidencia que depende del proceso, ya que, mediante extrusión se reporta 100% de gelatinización para mezclas de maíz y soya con 8 a 18% de humedad ( Konstance et al., 1998 ).
La reducción del contenido de agua en el grano tostado depende del tiempo de calentamiento, la transformación del agua interna en vapor, el flujo de éste hacia la superficie del grano y la salida al exterior a través o por ruptura del pericarpio. En función al tiempo de calentamiento y la reducción del contenido de agua del grano de maíz por eliminación en forma de vapor, la variación de la consistencia Bostwick es el producto del grado de modificación del almidón. La consistencia Bostwick es un parámetro de control muy utilizado en la industria de harinas precocida ( Konstance et al., 1998 ; Pacheco de Delahaye, 1990), de alimentos para bebés a base de arroz precocido ( Hsich & Luh, 1991) y otras fuentes amiláceas precocidas ( Mouquet, Greffeuille & Treche, 2006).
Para las pequeñas empresas y asociaciones artesanales productoras de tostado, la posibilidad de evaluar el grado de gelatinización del almidón por métodos térmicos o espectrofotométricos puede ser limitada. De ahí, la importancia de estandarizar la reducción del contenido de agua y la variación de la consistencia Bostwick en el grano tostado respecto a los valores iniciales en grano crudo, lo cual es una valoración empírica del grado de modificación del almidón. Los objeticos de este estudio fueron: conocer la variación del contenido de agua y la consistencia Bostwick en el grano de maíz por efecto de la tostación con microondas a diferentes tiempos; estandarizar la reducción del contenido de agua y la variación de la consistencia Bostwick en el grano tostado respecto a los valores iniciales en grano crudo; determinar correlaciones y establecer modelos matemáticos para interpretar la variación de los parámetros de medición por influencia del tiempo de tostación con microondas.
2. Materiales y métodos
1.1. Grano de maíz y preparación de muestras
Se utilizó grano de maíz de un cultivar harinoso (Carhuay) proveniente del Perú, de preferencia alta en el mercado ecuatoriano por su grano alargado, de color amarillo y endospermo muy suave. Con intervalo de 20 días, tres muestras diferentes de dos kilogramos fueron adquiridas en el mercado local de Quito, Ecuador, y acondicionadas a 14 % de humedad (14 g de agua /100 g de muestra) en concordancia con lo reportado por Sezer et al. (2011 ) y Co?kun, Yalç?n, & Özarslan (2006). De cada muestra de grano acondicionado, fueron tomadas 6 muestras de 150 gramos. Cada muestra se colocó en un sobre de papel kraft de 17.5 por 24 cm, rotulado al azar en cada repetición. Los sobres completamente cerrados fueron mantenidos en una cámara a temperatura ambiente hasta realizar la tostación del grano
1.2. Tostación de los granos de maíz con microondas
Uno a uno, los sobres con el grano de maíz fueron colocados sobre una placa de porcelana (placa de desecador) para distribuir de manera uniforme la muestra en el interior del sobre. A continuación, con toda la placa se aplicó la tostación con microondas por los tiempos seleccionados de 0, 78, 156, 234, 312 y 390 segundos. Se utilizó un horno microondas con control de tiempo digital (Panasonic, 1,200 w, 10 niveles de potencia, China). Para todos los tratamientos se fijó el nivel de potencia en 492 w, y se continuó la tostación de los experimentos individuales a los tiempos correspondientes. Cada 60 segundos, el funcionamiento del horno fue interrumpido para agitar rápidamente la placa con la muestra y continuar con la tostación hasta completar el tiempo preestablecido al inicio. De esa forma se operó hasta completar el período de tostación determinado para cada tratamiento. Al final de la tostación se abrió el sobre y se enfrió el grano a temperatura ambiente por 20 minutos. El grano tostado se colecto individualmente en botellas herméticas para continuar con la molienda de las muestras.
1.3. Molienda y tamizado de las muestras
Las muestras de granos tostados de las tres réplicas fueron molidas en un molino de martillos (marca Cuisinart, Spice and nut grinder, USA). Con un tamiz de 630 µm de abertura se verificó que el tamaño más grande de partículas de los granos molidos fuera menor que 630 µm. Las muestras de grano molido fueron envasadas en los recipientes herméticos.
1.4. Contenido de agua y consistencia Bostwick en muestras de grano molido
El contenido de agua de las muestras de todos los tratamientos se determinó por diferencia de peso mediante secado en estufa de vacío a 100°C y 100 mm Hg ( AOAC, 1995). La consistencia se determinó con base al desplazamiento alcanzado por la mezcla de grano molido-agua sobre la escala horizontal graduada del consistómetro Bostwick ( Perona 2005; Lucisano et al., 2010 ). Las mezclas de grano molido-agua de los diferentes tiempos de tostación fueron preparadas al 73% de sólidos secos. Las suspensiones, después de un reposo de 10 minutos, fueron colocadas en el reservorio del consistómetro Bostwick (marca CSC Scientific, modelo 458, USA), con una escala horizontal graduada de 24 cm. Al levantar la compuerta del reservorio, la muestra se desplazó sobre la escala graduada. La distancia recorrida fue registrada a los 30 s de iniciado el desplazamiento de la muestra. Los resultados fueron expresados en cm/s.
1.5. Estandarización de la reducción del contenido de agua y la variación de la consistencia Bostwick
Se aplicó la expresión que estandariza la entalpía ?H de una muestra gelatinizada (g) respecto de la entalpía de la muestra cruda (r), determinadas por calorimetría diferencial de barrido, DSC por sus siglas en inglés ( Baks et al., 2007 ; Di Paola et al., 2003 ), donde DG (%) es interpretado como grado de gelatinización en porcentaje:
DG (%) = (1 ? [?Hg / ?Hr ]) × 100 (1)
Con criterio similar, fueron estandarizados los resultados de la reducción del contenido de agua (CA) y la variación de la consistencia Bostwick (CB) de los granos tostados con microondas a los diferentes tiempos. Los valores estandarizados (VE) fueron estimados desde las expresiones mostradas a continuación, donde los subíndices 0 y t fueron los resultados de CA y CB, obtenidos en la muestra cruda y en las muestras a los diferentes tiempos t, respectivamente:
VE (%) = (1 ? [CAt / CA0 ]) × 100 (2)
VE (%) = (1 ? [CBt / CB0 ]) × 100 (3)
1.6. Análisis estadístico
Todo el trabajo fue replicado tres veces para los granos de maíz del cultivar seleccionado. Los resultados de las mediciones físicas fueron sujetos de análisis de varianza de una vía y las diferencias entre medias fueron determinadas al 5% de probabilidad mediante la prueba Tukey HSD. Se aplicó la correlación de Pearson para determinar significancia entre parámetros evaluados y el tiempo de tostación. Regresión simple y regresión múltiple fueron usadas para entender los fenómenos físicos de reducción de agua e incremento de consistencia. El software Statgraphics Centurion XV (STATGRAPHICS Inc. USA) fue utilizado.
3. Resultados y discusión
3.1 Variación del contenido de agua y la consistencia Bostwick
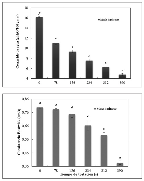
El contenido inicial de agua de los granos de maíz, expresado con base en los sólidos secos (g H2O/100g s.s.), disminuyó significativamente (p ? 0.05) por efecto del tiempo de tostación con microondas. Todos los niveles de tiempo de tostación resultaron ser estadísticamente diferentes. Para cada tiempo de tostación fueron graficados los valores promedio con sus respectivas desviaciones estándar ( Figura. 1a). Se encontró que la reducción del contenido de agua en el grano, por liberación en forma de vapor al medio circundante, fue más pronunciada de 0 a 78 s que de 78 a 390 s, lo cual causó el inicio del inflado de los sobres cerrados de papel kraft. La observación de dos tendencias más marcadas en la reducción del contenido de agua del grano de maíz, evidenció que la eliminación del agua del grano se realizó principalmente en dos etapas diferenciadas entre sí por el movimiento del agua líquida y su evaporación en algún punto en el interior del grano, en concordancia con el principio básico de secado de granos. Sin embargo, es importante señalar que el vapor de agua quedó retenido dentro del sobre cerrado que contenía el grano, el cual fue completamente liberado con la abertura del sobre al término de cada tratamiento de tostación. Aparentemente, se podría estimar que la interrupción momentánea de la tostación para agitar los sobres fue similar para todos los tiempos aplicados, ya que no se observó alteraciones irregulares en el conjunto de puntos de reducción del agua contenida en el grano versus tiempo de tostación. En adición, la desviación estándar se exhibe pequeña en todos los tiempos de tostación con microondas ( Figura 1a).
La Figura 1b, muestra la consistencia Bostwick (cm/s) en función del tiempo de tostación de los sistemas (mezclas) de multicomponentes, grano molido-agua. El gradiente no lineal decreciente demostró que las diferencias en desplazamiento de los sistemas grano molido-agua entre los tiempos de tostación 0 s, 78 s y 156 s no fueron significativas (p ? 0.05). La velocidad de desplazamiento fue significante (p ? 0.5) desde el tiempo 234 s en adelante y el valor más bajo fue a los 390 s de tostación de los granos de maíz. Se observó que mientras más baja fue la velocidad de desplazamiento, mayor fue el poder espesante (consistencia Bostwick) debido a la absorción de agua de los gránulos de almidón afectados parcialmente por el tratamiento con microondas. Sin embargo, es importante anotar que a más del almidón, la harina del grano tostado contiene proteína y fibra, los cuales según Uarrota, Amante, Demiate, Vieira, Deladillo & Maraschin (2013), pueden contribuir a una mayor absorción de agua en un sistema de multicomponentes.

De la tendencia que mostró la curva de consistencia versus tiempo se observó que a mayor tiempo de tostación fue menor el recorrido que alcanzó la muestra sobre la escala del consistómetro. De este modo se corroboró que la consistencia Bostwick es una medida empírica, que puede ser utilizada para estimar el grado de modificación de productos amiláceos tratados térmicamente ( Mouquet, et al., 2006 ).
3.2 Valores estandarizados de la variación de contenido de agua y consistencia Bostwick
Los cambios acumulados de CA y CB por efecto de los tiempos de tostación crecientes fueron estandarizados mediante las ecuaciones 2 y 3, respectivamente. La estandarización que en la práctica significa la división para los respectivos valores iniciales (t = 0) permite eliminar la influencia de diferencias existentes entre valores iniciales y que pueden distorsionar el efecto a determinar. Otro de los propósitos de la estandarización, aplicado por varios autores es para cuantificar el grado de modificación de parámetros específicos como el almidón debido a la aplicación de algún tratamiento determinado ( Baks et al., 2007 ; Di Paola et al., 2003 ). Con este propósito, se estandarizó los cambios acumulados de CA y CB en las muestras de maíz sometidas a los tiempos de tostación con microondas, desde 0 a 390 s.
Al estandarizar el cambio de CA con respecto al contenido inicial de agua en la muestra cruda, se cuantificó para cada tiempo de tostación la relación de comportamiento entre muestra procesada y muestra cruda. En porcentaje estas relaciones de cambio de CA y agua inicial variaron desde 0% a 70.35%. Bajo similar criterio de estandarización, la relación de variación de CB fue calculada para los diferentes tiempos de tostación microondas. El rango de variación de las relaciones de CB se extendió desde 0 a 51.75%. La acción del calentamiento con microondas se expande desde el centro hacia la superficie del grano y el efecto de la migración del agua en forma de vapor a través del endospermo harinoso fue interpretado con base a las relaciones estandarizadas, tanto de CA, como de CB. Por tanto, estas relaciones estandarizadas (%) determinadas desde el tiempo 0 al tiempo 390 s fueron entendidas como indicativos del grado de modificación de los multicomponentes de los granos tostados. En adición, las entalpías de gelatinización de granos molidos, tostados (2.78 ±
0.14 J/g al tiempo 390 s) y crudos (3.73 ± 0.04 al tiempo 0) fueron determinadas por DSC para calcular el grado de gelatinización del almidón en el grano tostado a 390 s. Utilizando la relación estandarizada de entalpías, reportada por Baks et al. (2007) , el grado de gelatinización de los granos molidos de las tres réplicas en promedio fue 33.11 ± 2.62% para el tiempo de tostación con microondas de 390 s, y fue significativamente más bajo que los grados de modificación por CA y CB, determinados para igual tiempo de tostación. Los resultados encontrados revelaron la validez de los conceptos aplicados y la necesidad de continuar con futuras investigaciones en el tema de determinación del grado de modificación en las propiedades del maíz por tostado con microondas.
3.3 Correlación de Pearson
Los resultados del análisis multivariante (n = 18) ejecutado entre contenido de agua (CA), consistencia Bostwick (CB), los valores estandarizados de éstos (VECA) y (VECB), respectivamente y el tiempo de tostación con microondas exhibieron coeficientes de correlación superiores a 0.8 en valor absoluto y alta significancia (p ? 0.0001). El cambio en CA correlaciono positiva y significativamente con la variación de CB, negativa y significativamente con los VECA, VECB y tiempo de tostación con microondas. La correlación fue negativa y significativamente alta entre la variación de CB frente a los VECA, VECB y el tiempo de microondas aplicado. El VECA correlacionó positiva y de forma significante con el VECB y el tiempo. Finalmente, entre VECB y tiempo de tostación, la correlación fue positiva y de significancia alta ( Tabla 1).
| Correlaciones | CA | CB | VECA | VECB | Tiempo |
| Contenido agua (CA) | 0.813 | -1.000 | -0.813 | -0.958 | |
| Consistencia Bostwick (CB) | 0.813 | -0.813 | -1.000 | -0.923 | |
| Valor estandarizado (VECA) | -1.000 | -0.813 | 0.812 | 0.958 | |
| Valor estandarizado (VECB) | -0.813 | -1.000 | 0.812 | 0.922 | |
| Tiempo | -0.958 | -0.923 | 0.958 | 0.922 |
Los resultados de la correlación de Pearson evidenciaron la pertinencia de establecer modelos matemáticos para explicar los cambios ocurridos en los granos enteros tostados con microondas. La aplicación de regresión simple develó el nivel de significación entre variables, esto es entre los parámetros de medición CA, CB, VECA, VECB y la variable independiente, tiempo de tostación. Los parámetros estadísticos demostraron la validez de los modelos establecidos ( Tabla 2). Los coeficientes de correlación (r), en valor absoluto, fueron igual o superiores a 0.98. Con valores desde 96.34% a 99.59%, (coeficientes de determinación R2), la variabilidad experimental fue explicada con los modelos seleccionados. El error estándar de los estimadores fue relativamente bajo. Los valores de probabilidad del estadístico Durbin-Watson no fueron significativos (p ? 0.05) lo cual significa ausencia de auto correlación serial en los residuos. En adicción, al graficar los datos experimentales de Ca y CB versus los valores estimados con los modelos correspondientes (Tabla 2) no se encontró puntos alejados de la línea de tendencia, con lo cual se confirmó la validez de los modelos y el buen ajuste alcanzado ( Figuras 2a y 2b).
| Relación | r | R2 | Error estándar | Valor-p del estadístico D-G | Modelo |
| CA vs t | -0.998 | 99.585 | 0.254 | 0.643 | Y = a + b*X 0.5 |
| VECA vs t | 0.998 | 99.591 | 1.559 | 0.658 | Y = a + b*X 0.5 |
| CB vs t | -0.988 | 97.533 | 0.028 | 0.843 | Y2 = a + b*X 2 |
| VECB vs t | 0.982 | 96.336 | 3.660 | 0.537 | Y = a + b*X 2 |
r, coeficiente de correlación
R 2 coeficiente de determinación Error estándar del estimador
Valor-p, valor de probabilidad del estadístico Durbin-Watson

Los valores estandarizados de CA y CB con sus respectivas curvas de ajuste evidenciaron que los grados de cambio alcanzados después de 390 s de tostación fueron del orden de 70.35% y 51.75%, respectivamente ( Figura 3). La comparación entre los valores estandarizados y los estimados reveló que la discrepancia más notoria se presentó en las curvas de CB a los 312 s, quizá debido al cambio decreciente significativo detectado entre los niveles de tiempo de tostación de 312 y 390 s, ya mostrados en la Figura 1.

Por regresión múltiple, el VECB fue estimado desde los valores de tiempo de tostación y CA. La Figura 4, muestra la superficie de respuesta de la dependencia de los VECB sobre el tiempo y CA. La superficie de respuesta permitió la ubicación visual del rango de niveles de tiempo y CA relativos a los VECB concordantes a los obtenidos de forma experimental estandarizada. Los parámetros estadísticos denotaron que la validez de la regresión y la ausencia de auto correlación serial en los residuos. El 91.11% (coeficiente de determinación R2) de la variabilidad de los datos experimentales fue explicada con el modelo de regresión ejecutado. El error estándar del estimador de los residuos fue de 5.89 y la probabilidad del estadístico Durbin-Watson fue de 0.07 (? 0.05).

4. Conclusiones
Dado que es un tema no investigado y de interés para el Ecuador y su estrategia de cambios en la matriz productiva, este estudio aporta los primeros conocimientos sobre la valoración del grado de modificación de multicomponentes en granos de maíz harinoso tostados en horno microondas. A los 390 s de tostación, los grados de modificación debidos a la estandarización del contenido de agua y de la consistencia Bostwick de los granos tostados fueron de 70.35% y 51.75%, respectivamente. El grado de gelatinización del almidón estimado por DSC fue de 33.11% para el tiempo 390 s de tostación de los granos de maíz. Los resultados de la evaluación estadística demostraron la validez de los conceptos aplicados y la necesidad de continuar con futuras investigaciones en el tema de determinación del grado de modificación del grano de maíz harinoso tostado con microondas. La prueba de consistencia Bostwick ofrece la posibilidad de evaluar las modificaciones reológicas en granos tostados de forma económica y rápida.
Agradecimientos
La autora desea reconocer la ayuda técnica de Susana Fuertes y Elena Coyago, Analistas de Laboratorio del Departamento de Ciencia y Biotecnología de los Alimentos de la EPN. Este trabajo fue aprobado como Investigación I en el marco del curso regular del profesor Javier Enrione de la Universidad de Santiago, Chile. En tal sentido la autora agradece el reconocimiento a la calidad de un tema netamente ecuatoriano.
Referencias
AOAC (1995). Official methods of analysis(16th ed.). Maryland: Association of Official Analytical Chemists
Baks, T., Ngene, I., Soest, J., Janssen, A., & Boom, R. M. (2007). Comparison of methods to determinate the degree of gelatinization for both high and low starch concentrations, Carbohydrate Polymers, 67 (4), 481-490
Baks, T., Bruins, M. E., Janssen, A. E. M., & Boom, R. M. (2008). Effect of pressure and temperature on the gelatinization of starch at various starch concentrations. Biomacromolecules, 9, 296?304.
Bechoff, A. (2003). ?Mesure de la dureté du mai?s frite équatorien: mise au point d?un test instrumental et corrélation á l?analyse sensorielle?, M. Sc. Thesis, ENSEA, Montpellier, Francia.
Co?kun, M. B., Yalç?n, I., & Özarslan, C. (2006). Physical properties of sweet corn seed (Zea mays saccharata Sturt). Journal of Food Engineering, 74, 523?528.
Di Paola, R.D., Asis, R., & Aldao, M. A.J. (2003). Evaluation of the Degree of Starch Gelatinization by a New Enzymatic Method. Starch/Stärke, 55, 403?409.
Hsich, F., & Luh, B. S. (1991). Breakfast rice cereal and baby foods. In: Rice: utilization. Bor S. Luh (Ed.). AVI Book, NY, USA. Second edition, 2, pp. 177-194.
Jaiboon. P., Prachayawarakorn, S., Devahastin, P., Tungtrakul, P.,& Soponronnarit, S., (2011). Effect of high-temperature fluidized-bed drying on cooking, textural and digestive properties of waxy rice. Journal of Food Engineering, 105, 89?97.
Johson, A. L. (2000). Corn: the mayor cereal of the Americas. In K. Kulp, & J. G. Ponte Jr. (eds.), Handbook of Cereal Science and Technology, Second Edition Revised and Expanded (31-80 ) New York: Marcel Dekker, Inc.
Konstance, R.P., C. I. Onwulata, C.I., Smith, P.W., Lu, D., Tunick, M.H., Strange, E.D., & Holsinger, V. H. (1998). Nutrient-based Corn and Soy Products by Twin-screw Extrusion. Journal of Food Science, 63, 1-5.
Lim, T. K. (2013). Edible medicinal and no-medicinal plants (Volume 5 Fruits). New York: Springer.
Lucisano, M., Cappa, C., Fongaro, L., & Mariotti, M. (2010). Methods for the characterisation of breadcrumb, an important ingredient of stuffed pasta. Journal of Cereal Science 51, 381-387
Mouquet, C., Greffeuille, V., & Treche S. (2006). Characterization of the consistency of gruels consumed by infants in developing countries: assessment of the Bostwick consistometer and comparison with viscosity measurements and sensory perception. International Journal of Food Science and Nutrition, 57, 459-469.
Pacheco de Delahaye, B., & Portillo, M., (1990). Enriquecimiento de harina precocida de maíz blanco (Zea mays) con harina de semilla de amaranto (Amaranthus sp.). Archivos Latinoamericanos de Nutrición, 40, 360-368.
Perona, P. (2005). Bostwick degree and rheological properties: an up-to-date viewpoint. Applied rheology, 15, 218?229.
Sezer I., Balkaya, A., Karaa?aç O., & Öner, F. (2011). Moisture dependent of some physical and morphological properties of dent corn (Zea mays var. indent?t? Sturt) seeds. African Journal of Biotechnology, 10, 2857-2866.
Vaclavik V. A. (2002). Fundamentos de Ciencia de los Alimentos. Acribia, S. A: Zaragoza.
Uarrota, V. G., Amante, E. R., Demiate, I. M., Vieira, F., Deladillo., & Maraschin, M. (2013). Physicochemical, thermal, and pasting properties of flours and starches of eight Brazilian maize landraces (Zea mays L.). Food Hydrocolloids, 30, 614-624
Wang, B., Li a, D., Wang, L., Liu, Y., & Adhikari, B. (2012). Effect of high-pressure homogenization on microstructure and rheological properties of alkali-treated high-amylose maize starch. Journal of Food Engineering, 113, 61?68.
Xue, C., Fukuoka, M., Sakai, N. 2010. Prediction of the degree of starch gelatinization in wheat flour dough during microwave heating. Journal of Food Engineering, 97, 40?45.
Xue, C., Fukuoka, M., Sakai, N. 2008. Use of microwave heating to control the degree of starch gelatinization in noodles. Journal of Food Engineering, 87, 357?362.
Zhang, H., Zhang, w., Xu, C., Zhou, X. 2014. Studies on the rheological and gelatinization characteristics of waxy wheat flour. International Journal of Biological Macromolecules, 64, 123-129.