Artículo Original
Cuantificación de la pérdida de suelo por escorrentía bajo dos metodologías de labranza en la producción de caña de azúcar para la elaboración de panela
Quantification of soil loss due to runoff under two tillage methodologies in the production of sugarcane for the production of panela
Cuantificación de la pérdida de suelo por escorrentía bajo dos metodologías de labranza en la producción de caña de azúcar para la elaboración de panela
Siembra, vol. 10, núm. 2, e5435, 2023
Universidad Central del Ecuador

Recepción: 08 Septiembre 2023
Revisado: 10 Octubre 2023
Corregido: 08 Noviembre 2023
Aprobación: 13 Noviembre 2023
Financiamiento
Fuente: Ministerio de Agricultura y Desarrollo Rural de Colombia - MADR
Resumen: La degradación del suelo tiene como consecuencia directa la pérdida de la biodiversidad, la emisión de gases efecto invernadero y el desbalance del ciclo hidrológico del agua, reduciendo la capacidad productiva del suelo y la respuesta de este a las enmiendas y actividades de conservación, generando bajos rendimientos y mayores requerimientos hídricos y nutricionales. Dado que estos efectos ya están definidos, se requiere conocer la cantidad de suelo que se puede perder para dimensionar el problema. El objetivo del estudio fue cuantificar el proceso de erosión en un suelo bajo condiciones de precipitación típicas en la Hoya del río Suárez (Colombia) para el cultivo de caña de azúcar. Para esto se estableció un experimento evaluando dos sistemas de labranza (reducido y convencional) en parcelas de escorrentía cerradas, donde se midió la cantidad de suelo y agua arrastrados en los eventos de lluvia presentes en un ciclo del cultivo de caña de azúcar para la producción de panela. Se observó diferencias estadísticamente significativas (p < 0,05) cuando se prepara el suelo usando el sistema propuesto, disminuyendo en 2,5 la pérdida del suelo por efecto de la escorrentía comparado con el laboreo tradicional, evidenciando que puede ser una estrategia de mitigación del deterioro del suelo.
Palabras clave: erosión, pendiente, precipitación.
Abstract: Soil degradation has as a direct consequence the loss of biodiversity, the emission of greenhouse gases and the imbalance of the hydrological water cycle, reducing the productive capacity of the soil and its response to amendments and conservation activities, generating low yields and greater water and nutritional requirements. Since these effects are already defined, it is necessary to know the amount of soil that can be lost in order to size the problem. The objective of the study was to quantify the erosion process in a soil under typical precipitation conditions in the Hoya del Río Suárez (Colombia) for the cultivation of sugar cane. For this purpose, an experiment was carried out evaluating two tillage systems (reduced and conventional) in closed runoff plots, where the amount of soil and water washed away in the rainfall events present in a sugarcane crop cycle for panela production was measured. Statistically significant differences (p < 0.05) were observed when the soil was prepared using the proposed system, reducing soil loss by 2.5 times due to runoff compared to traditional tillage, showing to mitigate soil deterioration.
Keywords: soil erosion, slope, precipitation.
1. Introducción
La degradación de suelo por erosión se refiere a “la pérdida de la capa superficial de la corteza terrestre por acción del agua y/o del viento, que es medida por el ser humano y trae consecuencias ambientales, sociales, económicas y culturales” (Instituto de Hidrología, Meteorología y Estudios Ambientales [IDEAM], Ministerio de Ambiente y Desarrollo Sostenible [MADS], y Universidad de Ciencias Aplicadas y Ambientales [U.D.C.A.], 2015). En la pérdida del suelo actúan, principalmente, el agua (erosión hídrica) bien por escorrentía y/o por infiltración y la acción del viento (erosión eólica). Las lluvias (frecuencia e intensidad), la pendiente (el grado y longitud), el tipo de vegetación, el uso y manejo de los terrenos son los factores que favorecen la erosión hídrica (Montenegro González y Malagón Castro, 1990). Sin embargo, cuando el suelo ha sido perturbado (preparación de terrenos para siembra) y presenta pendiente, puede aumentar en cinco veces la pérdida de suelo por efecto de erosión hídrica comparado con un terreno en descanso con la misma inclinación (Verhulst et al., 2010).
La estimación de las pérdidas de suelo se puede realizar a través de la modelación del fenómeno (métodos indirectos) usando ecuaciones, como la ecuación universal de pérdida de suelo [USLE], por sus siglas en inglés (Valdivia-Martínez et al., 2022) y por el montaje de unidades experimentales en campo (métodos directos) como las parcelas de escorrentía y simuladores de lluvia (León Peláez, 2001). Estos métodos (directos e indirectos) se han comparado entre sí en diferentes estudios, como las parcelas experimentales y el método USLE (Oyarzun Ortega, 1993) en Chile y en México con el uso de estacas de erosión y la metodología RUSLE [USLE revisada] (Pando Moreno et al., 2012); evidenciando que el uso de las metodologías indirectas sobreestima los valores de erosión hídrica en las regiones estudiadas.
En Colombia, la producción de caña de azúcar para la elaboración de panela se ubica en zonas con topografía de montaña (región de la Hoya del río Suárez) y unido a las labores de labranza que se realizan para el establecimiento del cultivo, hace que los suelos sean propensos a la erosión (Vargas Diaz et al., 2023). Las causas de la erosión del suelo y su control están definidas, sin embargo, se requiere conocer las tasas de pérdida de suelo (Food and Agriculture Organization of the United Nations [FAO], 2019). Por lo anterior, es importante poder cuantificar las pérdidas del suelo por erosión hídrica en dos escenarios de labranza y en las condiciones de precipitación típicas de la producción de caña de azúcar para la elaboración de panela en la región de la Hoya del río Suárez.
2. Materiales y Métodos
El estudio se localizó en el departamento de Santander (municipio de Vélez) a una altitud de 1.518 m s. n. m. La zona presenta precipitaciones promedio entre 1.000 y 2.000 mm por año y temperaturas promedio entre los 18° y 28 °C (Álvarez Contreras y Camacho Ariza, 2018). El experimento se ubicó en un suelo con taxonomía Pachic Humudepts, paisaje de montaña, sobre la ladera estructural de un crestón en roca sedimentaria predominantemente de grano fino, la inclinación media de 12 % y la pendiente topográfica del sitio del experimento corresponde a la misma inclinación. En la Tabla 1 se muestran algunas características del suelo:
| Granulometría | Densidad | DMP** | Materia Orgánica | |||||||
| Fracción % | Clase* | g cm-3 | ||||||||
| Arena | Arcilla | Limo | Real | Aparente | mm | % | ||||
| 13,44 | 43,91 | 42,65 | ArL | 2,21 | 1,13 | 17,35 | 5,05 | |||
Table 1. Soil characteristics in the test performed in the department of Santander (municipality of Vélez).
* arcillo limoso / clay-loam** diámetro medio ponderado / Weighted average diameterEl diseño experimental utilizado fue un modelo de efectos fijos de un factor con dos tratamientos (Montgomery, 2004), donde el factor evaluado es el método de preparación o labranza primaria del suelo y los dos tratamientos corresponden a una alternativa de labranza reducida donde se prepara el suelo únicamente con un pase de cincel rígido (T1) y a la preparación convencional realizada por el agricultor que consiste en un pase de cincel rígido y dos pases de un arado de discos lisos (T2). Evaluando tres repeticiones por cada uno de los tratamientos para un total de seis parcelas de escorrentía cerradas. Cada una de las parcelas tiene un área confinada de 75 m. usando límites artificiales desmontables (construidos con lámina de hierro galvanizado) y con una capacidad de almacenamiento de agua de 1.250 litros (tanque A: 250 L y tanque B: 1.000 L) (Figura 1).

Figure 1. Layout scheme for runoff plots in the department of Santander (municipality of Vélez).
Se realizó la caracterización de las lluvias mediante la visualización de las láminas de precipitación y el calculó de la tasa temporal de precipitación o profundidad por unidad de tiempo (mm h-1) (intensidad de la lluvia) (Chow et al., 1994). Después de uno o varios eventos de precipitación, las muestras de agua de escorrentía de cada una de las parcelas son colectadas al igual que los agregados presentes en la tolva (Figura 2). Estas muestras son llevadas al laboratorio donde se secan y se estima el peso seco de los sedimentos y de los agregados.

Figure 2. Sampling in the hoppers and tanks of the runoff plots in the department of Santander (municipality of Vélez).
El estudio de la información se realizó usando análisis de varianza [ANOVA], para establecer si se presentaron diferencias en los tratamientos evaluados al final del ciclo estudiado. Se verificó la normalidad e igualdad de varianza en los residuos en el modelo de ANOVA. En los análisis se usó el software estadístico R® (R Core Team, 2020).
3. Resultados y Discusión
Durante el periodo de evaluación, se registró la máxima precipitación el 16 de marzo del 2021 con una precipitación total de 75,2 mm, seguido de la del 16 de diciembre de 2019, con un valor de 63,6 mm, y de las lluvias registradas el 12 de octubre del 2020 y el 4 de noviembre con 49 mm y 47,4 mm, respectivamente. Asimismo, se observaron (Figura 3) dos periodos continuos de lluvia, el primero entre finales de abril y principios de agosto. El segundo periodo se registra desde finales de agosto hasta diciembre.

Figure 3. A Daily precipitation in mm from October 2019 to March 2021 in the department of Santander (municipality of Vélez).
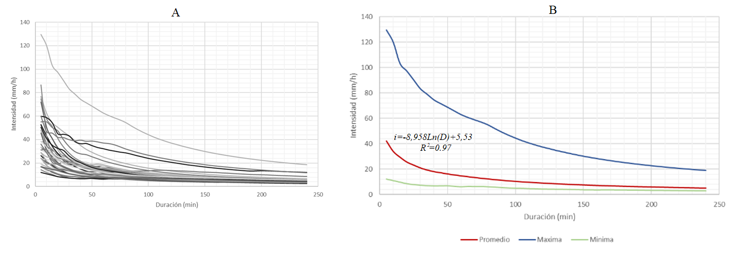
Se seleccionaron las precipitaciones diarias superiores a 12,5 mm (36 eventos de lluvia). De las tormentas seleccionadas, se obtuvo un conjunto de curvas intensidad-duración para la zona (Figura 4A). Se observó (Figura 4B) que las intensidades promedio más altas fueron entre 20 y 40 mm h-1 cuando la duración de las lluvias eran menores a 30 minutos.

Figure 4. Intensity-duration curves for the 36 storms (A) and intensity-duration curve maximum, average and minimum (B).
El ciclo de medición de pérdida de suelo correspondió a 539 días (77 semanas) comprendidos entre el 07 de octubre de 2019 y el 29 de marzo de 2021. Durante este periodo se realizaron 45 monitoreos en los cuales se tomó muestras del agua de escorrentía (Tabla 2).
| Tratamiento | Parcela | No muestreos tolvas* | No muestreos tanques** |
| 1 | 1 | 12 | 44 |
| 2 | 11 | 44 | |
| 3 | 17 | 44 | |
| 2 | 4 | 15 | 45 |
| 5 | 17 | 45 | |
| 6 | 24 | 43 |
Table 2. Number of sampling events carried out in the plots under evaluation.
* El número de muestras corresponde a los eventos en los que se encontró material en las tolvas / The number of samples corresponds to the events /where material was found in the hoppers. ** La diferencia de muestreos se debe a fallas en el sistema de tuberías desde las parcelas hacia los tanques, siendo 45 el total de muestreos realizados. / The difference in the number of samples is due to failures in the piping system from the plots to the tanks, being 45 the total number of samples taken.Se aprecia en la Figura 5 que la pérdida total de sedimentos [PTS] que se midió en las parcelas de escorrentía tiene una correlación alta (> 0,8) con respecto a la pérdida de agua por escorrentía [PAE] en los tratamientos evaluados, indicando que entre mayor es PAE los valores de PTS se incrementan. Un comportamiento similar se observa con respecto a la lámina total aplicada [LTA], donde los valores de correlación positivos en los dos tratamientos muestran que entre más agua producida por las precipitaciones los valores de PTS y PAE tienden a incrementarse.

Figure 5. Pearson correlation for the variables: PTS (total soil loss), PAE (loss of runoff water) and LTA (total accumulated sheet).
En la Tabla 3 se puede observar la pérdida de suelo total por cada parcela en cada tratamiento, donde el T1 corresponde al tratamiento de labranza de conservación (labranza vertical con un pase de cincel rígido) y el T2 corresponde a la labranza convencional realizada por el agricultor (un pase de cincel rígido y dos pases de arado de disco). En cuanto a la pérdida de suelo promedio para un ciclo productivo de caña panelera (18 meses) bajo el tratamiento con labranza tradicional (T2) corresponde a 2,63±1,31 t ha-1 ciclo-1. Por otra parte, para el tratamiento con labranza de conservación (T1), la media de la pérdida de suelo correspondió a 0,4±0,3 t ha-1 ciclo-1. En el análisis de varianza se presentaron diferencias estadísticamente significativas (p < 0,05) entre los tratamientos evaluados, indicando que se puede disminuir (en 2,5 veces) la pérdida del suelo promedio utilizando labranza de conservación cuando se establezcan los cultivos de caña de azúcar en comparación con la labranza convencional.
| Tratamiento | No Parcela | Pérdida suelociclo* | Pérdida suelo anual | Escorrentía* | ||||
| kg ha-1ciclo-1 | t ha-1ciclo-1 | t ha-1año-1 | L ha-1ciclo-1 | m3 ha-1ciclo-1 | ||||
| 1 | 1 | 116,68 | 0,12 | 0,08 | 69.599,6 | 69,6 | ||
| 2 | 377,79 | 0,38 | 0,25 | 374.362,0 | 374,4 | |||
| 3 | 712,08 | 0,71 | 0,47 | 1.267.662,0 | 1.267,7 | |||
| Media | 402,20 a | 0,40 | 0,27 | 570.541,2 | 570,5 a | |||
| SD | 298,40 | 0,30 | 0,20 | 622.658,1 | 622,7 | |||
| 2 | 4 | 1.775,80 | 1,78 | 1,18 | 4.709.850,0 | 4709,9 | ||
| 5 | 1.986,60 | 1,99 | 1,32 | 5.667.691,2 | 5.667,7 | |||
| 6 | 4.139,51 | 4,14 | 2,76 | 2.344.316,5 | 2.344,3 | |||
| Media | 2.633,9 b | 2,63 | 1,76 | 4.240.619,2 | 4.240,6 b | |||
| SD | 1.308,1 | 1,31 | 0,87 | 1.710.654,3 | 1.710,7 | |||
Table 3. Loss of soil and volume of runoff water by treatment. SD: standard deviation; The annual soil loss corresponds to 66.66 % of the soil loss in the cycle. t: ton, ha: hectare, L: liters.
* Valores promedio con diferente letra son estadísticamente diferentes (p < 0,05) / Average values with different letter are statistically different (p < 0,05)Para poder comparar esta tasa de pérdida de suelo con otros estudios, es necesario llevarla a una tasa anual. Dado que el ciclo productivo corresponde a 18 meses, se estimó como tasa anual lo correspondiente al 66,66 % del total medido en cada parcela. Por tanto, para la labranza tradicional se encontró una tasa de pérdida anual de 1,76 t ha-1 año-1y para la labranza de conservación de 0,27 t ha-1 año-1. Comparando las tasas de pérdida de suelo obtenidas en el presente estudio, con las tasas tolerables de pérdida de suelo que han sido establecidas en FAO (2019) de acuerdo con la tasa de formación media de suelo, las encontradas aquí se encuentran por debajo de estos valores umbrales (2 t ha-1 año-1).
Comparando estas tasas de pérdida de suelo con otros estudios en Colombia, como el realizado en el cultivo de caña para panela en Cundinamarca, los valores obtenidos en este trabajo son menores a las registradas a través de la implementación de un simulador de lluvia, que en cultivos con corte por parejo y una inclinación topográfica de 35 %, la pérdida de suelo anual estimada mediante la aplicación del modelo USLE fue de 27 t ha-1 año-1 (Tauta Muñoz et al., 2018). La pérdida de suelo durante el primer año de desarrollo de un cultivo de caña de azúcar en un suelo con 9 % de pendiente fue de 2,58 t ha-1 año-1 (Youlton et al., 2016), valores similares a los encontrados en el presente estudio.
En la Figura 6 se puede observar la pérdida de suelo acumulada durante el tiempo del desarrollo vegetativo del cultivo, así como la precipitación mensual durante dicho periodo. De la gráfica se aprecia que, durante todo el ciclo productivo, la pérdida de suelo acumulada fue mayor para el tratamiento con labranza tradicional (T2), llegando a ser hasta 2,5 veces mayor que la pérdida acumulada para el tratamiento con labranza de conservación (T1).

Figure 6. Accumulated soil loss (A) and accumulated runoff water volume (B) during one canesugar crop cycle for panela production iin the department of Santander (municipality of Vélez).
Aunque el suelo evaluado presentó condiciones favorables como un terreno muy estable (DMP > 5 mm) (Gómez Giraldo, 2016) (Tabla 1), con alto contenido de materia orgánica (González Aguilar et al., 2021) y sin limitaciones para el desarrollo radicular de los cultivos por compactación (densidad aparente < 1,5) (Roncallo et al., 2012), es importante señalar que los meses con mayor pérdida de suelo estuvieron directamente relacionadas con los periodos de precipitación, siendo mayor el incremento de pérdida de suelo acumulado (mayor pendiente de cada gráfica) durante los primeros 3 meses de desarrollo del cultivo donde el suelo se encontraba sin cobertura vegetal, justo después de la siembra de la caña. Este comportamiento en la tasa de perdida de suelo refleja la influencia que tiene la cobertura (por cierre de calles del cultivo y caída de hojas secas) (Silva et al., 2012), indican que, con el incremento de la cobertura vegetal, se presenta una disminución exponencial de la pérdida de suelo.
Para el caso de la escorrentía (Figura 6) se presentó el mismo comportamiento descrito para la pérdida de suelo. Los mayores volúmenes de agua de escorrentía durante todo el periodo de desarrollo vegetativo fueron registrados en las parcelas con el tratamiento de labranza tradicional (T2). Adicionalmente, en la gráfica se observa que los incrementos significativos en el volumen de escorrentía acumulado se encuentran directamente relacionados con los periodos de precipitación presentados durante el desarrollo del cultivo. Finalmente, es importante resaltar que durante los primeros 6 meses de desarrollo de cultivo, la escorrentía acumulada en el tratamiento con labranza de conservación (T1) es baja (comportamiento asintótico al eje x), comportamiento que se espera dado que la labranza únicamente con cincel forma pequeñas “zanjas” en el suelo que sirven como “trincheras” o “trampas” tanto para el agua de escorrentía como para los sedimentos en suspensión (Ortiz Cañavate, 2012).
4. Conclusiones
La pérdida del suelo y el volumen de agua por escorrentía puede disminuirse en el establecimiento de cultivos de caña de azúcar para la producción de panela en zonas de ladera, utilizando técnicas de labranza reducida, mitigando así el impacto de deterioro del suelo.
El periodo de mayor susceptibilidad a la pérdida de suelo es después de la labor de preparación de suelo, ya que queda expuesto a las condiciones ambientales que puedan presentarse y es importante establecer medidas y prácticas de conservación en este punto, para reducir el efecto de la erosión.
Contribuciones de los autores
Ruy Edeymar Vargas Diaz: investigación, curación de datos, análisis formal, visualización, redacción – borrador original, redacción – revisión y edición.
Viviana Marcela Varón Ramírez: conceptualización, investigación, metodología, redacción – validación -revisión y edición.
Jhon Mauricio Estupiñan Casallas: redacción – revisión y edición.
Juan Carlos Lesmes Suárez: curación de datos, redacción – revisión y edición.
Ayda Fernanda Barona Rodríguez: redacción – revisión y edición.
Clara Viviana Franco Florez: redacción – revisión y edición.
Implicaciones éticas
Los autores declaran que no existen implicaciones éticas.
Conflicto de interés
Los autores declaran que no existen conflictos de interés financieros o no financieros que podrían haber influido en el trabajo presentado en este artículo.
Agradecimientos
Al Ministerio de Agricultura y Desarrollo Rural de Colombia (MADR) por la financiación y a la Corporación Colombiana de investigación Agropecuaria (Agrosavia) por la ejecución del proyecto “Ajuste de tecnologías para el manejo de suelos, transporte aéreo de caña y extracción de jugo de caña para la industria panelera” el cual pertenece al macroproyecto “Competitividad y sostenibilidad en la Producción de panela en Colombia” de la red de innovación de transitorios.
Referencias
Álvarez Contreras, D. L., y Camacho Ariza, E. J. (2018). Evaluación de las condiciones ambientales por el cambio en la dinámica de los cultivos de Guayaba en la provincia sur de Vélez, Santander. Universidad Francisco José de Caldas. http://hdl.handle.net/11349/15396
Chow, V. T., Maidment, D. R., y Mays, L. W. (1994). Hidrología aplicada. McGraw Hill.
Food and Agriculture Organization of the United Nations [FAO]. (2019). Soil erosion: The greatest challenge for sustainable soil management. FAO. https://www.fao.org/documents/card/en?details=CA4395EN
Gómez Giraldo, J. C. (2016). Manual de prácticas de campo y del laboratorio de suelos. Servicio Nacional de Aprendizaje. https://repositorio.sena.edu.co/handle/11404/2785
González Aguilar, D., Colás Sánchez, A., Rodríguez López, O., Álvarez Vásquez, D., Gattorno Muñoz, S., y Chacón Iznaga, A. (2021). Variabilidad espacial de la materia orgánica de suelos cultivados con Ipomea batatas (l.) Lam. Centro Agrícola, 48(2), 5-13. http://scielo.sld.cu/scielo.php?script=sci_arttext&pid=S0253-57852021000200005
Instituto de Hidrología, Meteorología y Estudios Ambientales [IDEAM], Ministerio de Ambiente y Desarrollo Sostenible [MADS], y Universidad de Ciencias Aplicadas y Ambientales [U.D.C.A.]. (2015). Estudio nacional de la degradación de suelos por erosión en Colombia - 2015. IDEAM. https://observatorio.epacartagena.gov.co/ftp-uploads/pub-estudio-nacional-degradacion-de-suelos-por-erosion.pdf
León Peláez, J. D. (2001). Estudio y control de la erosión hídrica. Universidad Nacional de Colombia. https://repositorio.unal.edu.co/handle/unal/20071
Montenegro González, H., y Malagón Castro, D. (1990). Propiedades físicas de los suelos. Instituto Geográfico Agustín Codazzi [IGAC].
Montgomery, D. C. (2004). Diseño y análisis de experimentos. Limusa Wiley.
Ortiz Cañavate, J. (2012). Las máquinas agrícolas y su aplicación (2. ed.). Mundi-Prensa Libros.
Oyarzun Ortega, C. E. (1993). Evaluación del modelo USLE para predecir pérdidas de suelo en áreas forestadas de la cuenca del río Bío-Bío. Bosque, 14(1). https://doi.org/10.4206/bosque.1993.v14n1-06
Pando Moreno, M., Gutiérrez Gutiérrez, M., Maldonado Hernández, A., Palacio Prieto, J. L., y Estrada Castillón, A. E. (2012). Comparación de métodos en la estimación de erosión hídrica. Investigaciones Geográficas, (51), 23-36. https://doi.org/10.14350/rig.30412
R Core Team. (2020). R: A Language and Environment for Statistical Computing. R Foundation for Statistical Computing. https://www.r-project.org/
Roncallo, B., Murillo, J., Bonilla, R., y Barros, J. (2012). Evolución de las propiedades del suelo en un arreglo agrosilvopastoril basado en Ceiba roja (Pachira quinata (Jacq.) W.S Alverson). Ciencia y Tecnología Agropecuaria, 13(2),167-178. https://doi.org/10.21930/rcta.vol13_num2_art:252
Silva, G. R. V. da, Souza, Z. M. de, Martins Filho, M. V., Barbosa, R. S., y Souza, G. S. de. (2012). Soil, water and nutrient losses by interrill erosion from green cane cultivation. Revista Brasileira de Ciência Do Solo, 36(3), 963-970. https://doi.org/10.1590/s0100-06832012000300026
Tauta Muñoz, J. L., Camacho-Tamayo, J. H., y Rodríguez Borray, G. A. (2018). Estimación de erosión potencial bajo dos sistemas de corte de caña panelera utilizando la ecuación universal de pérdida de suelos. Revista U.D.C.A Actualidad & Divulgación Científica, 21(2), 405-413. https://doi.org/10.31910/rudca.v21.n2.2018.1074
Valdivia-Martínez, O., Peña-Uribe, G. de J., Rufino-Rodríguez, F., Torres-González, J. A., Meraz-Jiménez, A. de J., y López-Santos, A. (2022). Ajuste de la ecuación universal de pérdida de suelo en parcelas de escurrimiento ubicadas en una región del centro de México. Terra Latinoamericana, 40, e990. https://doi.org/10.28940/terra.v40i0.990
Vargas Diaz, R. E., Galindo Pacheco, J. R., Giraldo Henao, R., Varón Ramírez, V. M., Wilches Ortiz, W. A., y Franco Florez, C. V. (2023). Metodologías de interpolación y predicción espacial para el análisis de las propiedades físicas del suelo en la hoya del río Suárez (Colombia). Siembra, 10(1), e4118. https://doi.org/10.29166/siembra.v10i1.4118
Verhulst, N., Govaerts, B., Verachtert, E., Castellanos-Navarrete, A., Mezzalama, M., Wall, P. C., Chocobar, A., Deckers, J., y Sayre, K. D. (2010). Conservation agriculture, improving soil quality for sustainable production systems? In R. Lal, y B. A.Stewart (eds.). Food Security and Soil Quality (1st ed.). CRC Press. https://doi.org/10.1201/EBK1439800577
Youlton, C., Bragion, A. P., y Wendland, E. (2016). Experimental evaluation of sediment yield in the first year after replacement of pastures by sugarcane. Ciencia e Investigación Agraria, 43(3), 374-383. https://doi.org/10.4067/s0718-16202016000300004
Notas de autor
rvargas@agrosavia.co
Información adicional
e-location: e5435