Artículo Original
Grado de infestación de garrapatas asociado con factores individuales del ganado bovino en ganaderías subtropicales del Ecuador
Level of tick infestation associated with individual factors of cattle in subtropical livestock farms in Ecuador
Grado de infestación de garrapatas asociado con factores individuales del ganado bovino en ganaderías subtropicales del Ecuador
Siembra, vol. 10, núm. 2, e5530, 2023
Universidad Central del Ecuador

Recepción: 20 Septiembre 2023
Revisado: 20 Noviembre 2023
Aprobación: 30 Noviembre 2023
Financiamiento
Fuente: L'Académie de Recherche et d'Enseignement supérieur (ARES)
Nº de contrato: No. 03E-2020
Resumen: En Ecuador, Rhipicephalus microplus es la principal garrapata que afecta al ganado bovino, cuyo control exige conocer su comportamiento. El objetivo de este estudio fue evaluar el grado de infestación de R. microplus, examinando la ubicación anatómica de las garrapatas y su posible asociación con factores intrínsecos de los animales como son el estado general de salud, condición corporal, color del pelaje. Se llevaron a cabo cuatro muestreos cada tres meses en un total de 15 fincas en el Noroccidente de Pichincha (localidad1) y 15 fincas en el Valle de los Quijos (localidad2). Las garrapatas mayores a 0,5 cm fueron contadas en 5 animales escogidos al azar. Como resultados, en cuatro muestreos realizados en las dos localidades, se encontró un promedio de 99,39 ± SD156,28 (0–1.426) garrapatas por animal, y un promedio de 108,8±SD179,43 (0–1.426) y 88,2 ± SD122,80 (0–824) para la localidad 1 y 2, respectivamente. Solo la variable "salud aparente de piel y pelaje" mostró una asociación estadística positiva, con un valor . < 0,05 y odds ratios de 5,13 (IC 95 %: 2,04-13,65) y 25,83(IC 95%: 7,63-109,39) en las categorías "regular" y "malo" respecto del estado considerado como bueno. Además, la categoría animal denominado "viejo" en la variable Edad tuvo un valor . = 0.05 y un odds ratio de 2,88 (IC 95 %: 1,04-8,80). Anatómicamente se encontraron más garrapatas en la zona anatómica correspondiente a muslos, ubre posterior, pierna y corvejón, con un promedio de 38,52±SD70, 17 (0–448) garrapatas. En conclusión, la infestación con garrapatas representa un problema grave que afecta a las ganaderías de regiones tropicales del país, este estudio ayuda a direccionar de mejor manera las formas y prácticas de control sobre los bovinos.
Palabras clave: parasitismo, vectores, ganado, control.
Abstract: In Ecuador, Rhipicephalus microplus is the primary tick species affecting cattle, and its control requires an understanding of its behavior. The objective of this study was to assess the degree of infestation by R. microplus, examining the anatomical location of ticks and their potential association with intrinsic factors of animals, such as overall health, body condition, and coat color. Four samplings were conducted every three months on a total of 15 farms in the Northwest of Pichincha (location1) and 15 farms in the Valle de los Quijos (location2). Ticks larger than 0.5 cm were counted on 5 randomly selected animals. The results from four samplings in both locations revealed an average of 99.39 ± SD156.28 (0–1426) ticks per animal, with averages of 108.8 ± SD179.43 (0–1426) and 88.2 ± SD122.80 (0–824) for locations 1 and 2, respectively. Only the variable "apparent skin and coat health" showed a statistically significant positive association, with a P-value <0.05 and odds ratios of 5.13 (95% CI: 2.04-13.65) and 25.83 (95% CI: 7.63-109.39) in the "fair" and "poor" categories compared to the considered good condition. Additionally, the category "old" in the Age variable had a P-value of 0.05 and an odds ratio of 2.88 (95% CI: 1.04-8.80). Anatomically, more ticks were found in the anatomical areas corresponding to thighs, rear udder, legs, and hock, with an average of 38.52±SD70.17 (0–448) ticks. In conclusion, tick infestation poses a serious problem affecting cattle in tropical regions of the country. This study contributes to better directing methods and control practices for cattle.
Keywords: parasitism, vectors, cattle, control.
1. Introducción
Las garrapatas que afectan a las ganaderías tropicales y subtropicales del mundo, son ectoparásitos hematófagos (Nava et al., 2022) que causan impactos significativos en la salud animal (Guglielmone et al., 2021). En Ecuador, existen varios estudios que dimensionan la problemática de las garrapatas en la ganadería (Bustillos y Rodríguez, 2016; Orozco Álvarez, 2018; Paucar et al., 2022; Pérez Otáñez, 2016; Rodríguez-Hidalgo et al., 2017). La principal garrapata infestando al ganado bovino es Rhipicephalus microplus (Bustillos y Rodríguez, 2016; Maya-Delgado et al., 2020; Tinoco et al., 2023), aunque también se ha descrito a la especie Amblyoma spp. de distribución localizada (Orozco Álvarez, 2018; Paucar et al., 2022).
Rhipicephalus microplus causa daños directos a los animales al alimentarse de su sangre, provocando anemia, reducción en la producción de leche y carne, transmisión de enfermedades (babesiosis y anaplasmosis) y, en casos graves, la muerte del ganado. Para el control de estas garrapatras, el principal método ha sido el uso de acaricidas; sin embargo, su uso prolongado, antitécnico e indiscriminado ha demostrado generar niveles de resistencia significativos en las garrapatas de campo (Pérez-Otáñez et al., 2023; Rodríguez-Hidalgo et al., 2017) y que representan costos económicos considerables al ganadero (Paucar-Quishpe et al., 2023).
La distribución y grado de infestación de Rhipicephalus microplus en los bovinos está influenciado por la interacción compleja entre factores bióticos y ambientales. En términos bióticos, la presencia y densidad del ganado bovino, así como su resistencia genética, juegan un papel fundamental en la proliferación de estas garrapatas (Jonsson et al., 2014; Tabor et al., 2017). Por otro lado, la temperatura y la humedad ambiental son cruciales para el desarrollo del su ciclo de vida (Castañeda Arriola et al., 2021). Las condiciones climáticas de las regiones tropicales, así como la disponibilidad de hábitats adecuados, principalmente de los pastizales, proporcionan un entorno propicio para el desarrollo y la supervivencia de R. microplus (Bustillos y Rodríguez, 2016). En investigaciones realizadas en otros países factores como el color, la raza y la edad de los animales están relacionados con niveles variables de infestación por garrapatas en ganado bovino (da Silva et al., 2013; da Silva et al., 2014; Ferraz da Costa et al., 2014). También se conoce que ciertas áreas del cuerpo del animal tienden a presentar un mayor o menor infestación (González-Cerón et al., 2009a).
Por lo expuesto previamente, el objetivo de esta investigación fue determinar el grado de infestación por R. microplus cuantitativamente y cualitativamente en el ganado bovino de dos regiones subtropicales del Ecuador y la posible relación con factores individuales de cada bovino, entre estos se tiene la edad, sexo, raza, color, condición de lactante, salud aparente, condición corporal, condición aparente de piel y pelaje, llenado capilar y temperatura. Los resultados de este estudio permitirán comprender el comportamiento de estos ectoparásitos y, a partir de este conocimiento, reconocer tratamientos acaricidas guiados, así como desarrollar planes de control específicos adaptados a la realidad del país.
2. Materiales y Métodos
2.1. Área de estudio
Este estudio fue parte del proyecto “Socio-eco-epidemiología de garrapatas, parásitos transmitidos por garrapatas, resistencia a acaricidas y efectos residuales de acaricidas en el ganado tropical ecuatoriano: impactos en la salud ambiental, animal y pública” (TICKs&TBD), el cual fue abordado en dos regiones ganaderas del subtrópico húmedo del Noroccidente de la provincia de Pichincha y el Valle de los Quijos en la provincia de Napo.
La región del Noroccidente de Pichincha abarca los cantones de San Miguel de los Bancos y Pedro Vicente Maldonado, así como varias parroquias rurales. Se encuentra en las estribaciones occidentales de la Cordillera de los Andes y se caracteriza por su clima tropical lluvioso, con una temperatura media anual de 20,6 °C y una precipitación anual que supera los 3.000 mm, donde el periodo de lluvias oscila entre enero y junio y el periodo de menor precipitación entre julio y diciembre, la humedad relativa promedio mensual es de 88,50 % (GAD San Miguel de los Bancos, 2015). En el sector Los Bancos, la producción ganadera comenzó en los años 90, con ganado Holstein y Brown Swiss (Centro de la Industria Láctea [CIL], 2015), formalizándose legalmente en 2003 con la creación de la Asociación Agrícola Ganadera (Guzmán Saltos y Sánchez Rodríguez, 2015). El Valle de los Quijos se ubica en el Cantón Quijos de la provincia de Napo en las estribaciones orientales de la Cordillera de los Andes, forma parte de la Amazonía ecuatoriana. Registra un clima templado-frío y se divide en dos franjas distintas en función de la altitud. La franja alta registra una temperatura promedio de alrededor de 10,5 ˚C; mientras que, la franja baja tiene una temperatura media de 17 ˚C (Flor, 2015). Las precipitaciones oscilan entre 1.000 y 1.500 mm en las franjas altas y de 3.000 a 3.500 mm anuales, llegando hasta 4.500 mm en las franjas más bajas y abrigadas. La temporada lluviosa comprende desde marzo hasta agosto y la temporada de menores lluvias se extiende desde septiembre hasta febrero (GAD Quijos, 2015). Las regiones de estudio con sus respectivas fincas participantes pueden observarse en la Figura 1.

Figure 1. Spatial location of monitored farms in Northwest of Pichincha and Quijos Valley
Dentro del universo de fincas del proyecto TICKs&TBD, se seleccionaron al azar 15 fincas por región; las cuales, fueron monitoreadas y muestreadas en cuatro ocasiones con un intervalo de tres meses desde diciembre 2020 a enero de 2022. Debido a la falta de disponibilidad de bovinos al momento de los muestreos, el número de fincas varió a lo largo del estudio (Tabla 1).
| Fincas efectivamente participantes por muestreo | ||||
| Región/ muestreo | 1er | 2do | 3er | 4to |
| Noroccidente de Pichincha | 14 | 12 | 11 | 11 |
| Valle de los Quijos | 15 | 8 | 7 | 10 |
Table 1. Farms monitored by each of the samplings in the study regions
2.2. Conteo de garrapatas
En cada finca, se seleccionaron aleatoriamente cinco animales; los cuales, fueron inspeccionados visualmente en su lado izquierdo y se contaron todas las garrapatas con tamaños superiores a 5 mm. El resultado fue duplicado de acuerdo con las recomendaciones de Miraballes et al. (2022). Luego del conteo, se recolectaron 10 garrapatas de cada animal las cuales fueron preservadas en tubos con alcohol absoluto para su identificación en el laboratorio. Esto fue realizado en cada muestreo. Previo a la visita se contactó a los productores para que no realicen control de garrapatas 15 días antes con la finalidad de que el control aplicado no interfiera en los conteos.
2.3. Variables en estudio
Solamente en el primer muestreo, por cada bovino se registró la raza, el color, el sexo, la condición de lactancia, la edad, el estado nutricional, el tiempo de llenado capilar, la salud aparente (Buena a mala), la temperatura y la calidad aparente de piel y pelaje (Bueno a mala), cada categoría utilizada puede ser revisada en la Tabla 2.
| Variables | Ítem | Descripción |
| Sexo | Macho | Animales con órganos reproductivos masculinos |
| Hembra | Animales con órganos reproductivos femeninos | |
| Edad | Joven | Menos de 23 meses |
| Adulto | Entre 24 y 83 meses | |
| Viejo | Más de 84 meses | |
| Raza | Bos taurus X Bos indicus | Cruces |
| Bos taurus | Razas como Holstein, Jersey, Brown Swiss. | |
| Bos indicus | Gyr, nelore. | |
| Color | Blanco | Animales color blanco |
| Negro | Animales color negro | |
| Café | Animales color café y rojo | |
| Blanco con negro | Animales color mezclado blanco y negro | |
| Estado de lactancia | Si | Animal en estado de lactancia |
| No | Animal no lactando | |
| Tiempo de llenado capilar | Normal | Entre 1 y 2 segundos |
| Anormal | Más de 3 segundos | |
| Condición corporal | Flaco | Grado 1 y 2 |
| Ideal | Grado 3 | |
| Obeso | Grado 4 y 5 | |
| Salud aparente | Bueno | Animal en pie, aparentemente sano |
| Regular | El animal tose, cojea, o presenta alguna incomodidad | |
| Malo | El animal no se puede parar o tiene problemas evidentes para respirar | |
| Temperatura | Normal | Animales con temperatura rectal entre 36 y 39°C |
| Elevada | Animales con temperatura rectal superior a 39.1° C | |
| Salud aparente del pelaje y piel | Bueno | Pelaje brilloso, sin cicatrices, sin deformaciones y sin heridas |
| Regular | Pelaje opaco, con cicatrices o deformaciones, pero sin heridas | |
| Malo | Pelaje opaco, con cicatrices o deformaciones y con heridas |
Table 2. Variables used to determine their relationship with the number of ticks in each of the categories by descriptive statistics and as possible risk factors for low or high tick infestation.
Para obtener la variable dicotómica de nivel de infestación de garrapatas, se siguió la metodología de Paucar et al. (2022). Los valores del conteo de garrapatas por animal se dividieron en tres zonas anatómicas: a) zona anatómica 1, desde la cabeza hasta la punta del tórax, b) zona anatómica 2, desde la punta del tórax hasta el hueso sacro, y c) zona anatómica 3, sacro, perineo y patas posteriores (Figura 2). Cada zona anatómica se consideró infestada si tenía 20 o más garrapatas. Los grados de infestación se clasificaron como: 1) "nulo" si ninguna zona estaba infestada, 2) "bajo" si una zona anatómica estaba infestada, 3) "medio" si dos zonas anatómicas estaban infestadas, y 4) "alto" si las tres zonas anatómicas estaban infestadas. Por último, para los análisis estadísticos de asociación, los grados de infestación se transformaron en una variable dicotómica, donde los estados "nulo" y "bajo" representaban un nivel BAJO (0) y "medio" y "alto" representaban un nivel ALTO (1). En total, se recopilaron datos de 147 animales para su análisis.
Para analizar la zona anatómica del bovino con mayor número de garrapatas, se utilizó la clasificación en tres zonas anatómicas anteriormente descrita (Figura 2).

Figure 2. Anatomical zone division of the bovine body for tick counts and determination of the level of infestation. Zone 1" comprised the head to the tip of the thorax, "zone 2" covered from the tip of the thorax to the sacrum, and "zone 3" included the sacrum, perineum, posterior udder, between the legs, and hind legs
2.4. Identificación morfológica de las garrapatas
En la Unidad de Entomología aplicada del Instituto de Investigación en Zoonosis de la Universidad Central del Ecuador (CIZ) las garrapatas se identificaron morfológicamente utilizando un estereomicroscopio (NIKON model SMZ745T, Tokyo, Japan) con aumentos ×0.67–5 y claves taxonómicas de Barros-Battesti et al. (2006) y Guerrero (1996).
2.5. Análisis estadísticos
Los datos recopilados fueron digitalizados en hojas de cálculo de Excel para su posterior análisis. Los datos relacionados con la infestación cuantitativa, se organizaron por animal, localidad y por muestreo para presentarlos con análisis estadísticos descriptivos.
Los datos que evaluaron variables específicas de los animales con el número de garrapatas, se analizaron utilizando exclusivamente la información del primer muestreo, en ambas localidades de manera general. Con estos datos se obtuvo el promedio, mínimo, máximo y desviación estándar del número de garrapatas por animal.
Con el propósito de determinar si existe una relación estadística entre las variables estudiadas y la intensidad de infestación de garrapatas se realizó un análisis univariado de asociación mediante el test exacto de Fisher, y una regresión logística múltiple. En los análisis univariados, se evaluó de manera individual todas las variables de la Tabla 2, excluyendo el sexo y la raza debido a la falta de variabilidad entre categorías en los resultados (que existan al menos 10 casos distintos por categoría). Para los modelos múltiples, se eligieron las variables con un valor de p ≤ 0,20 en el análisis univariado. En el primer paso, se calculó el Factor de Inflación de Varianza (VIF) y se retuvo aquellas con un VIF ≤ 8 para evitar la colinealidad entre variables. Se implementó un algoritmo de eliminación de variables “stepwise” para seleccionar el modelo más sencillo. La función StepAIC del paquete MASS en R facilitó la selección de modelos, utilizando un umbral basado en el Criterio de Información de Akaike (AIC). Se conservó el modelo con el valor de AIC más bajo. El nivel de significancia estadística se estableció en el 5 %. Se evaluó la idoneidad del modelo mediante el R. de Nagelkerke, el Área Bajo la Curva del Receptor/Operador (AUC), y la sensibilidad y especificidad mediante el paquete pROC en R (Paucar et al., 2022).
3. Resultados
El 100 % de garrapatas identificadas en las fincas de estudio correspondieron a la especie Rhiphicephalus microplus (Figura 3).

Figure 3. Dorsal view of the species Riphicephalus microplus: A) female, B) male.
3.1. Conteo de garrapatas
El promedio de garrapatas por animal en las dos regiones de estudio fue de 99,39 ± SD 156,28 (0 – 1.426) garrapatas, siendo 108,8 ± SD 179,43 (0 – 1.426) para el Noroccidente de Pichincha y 88,2 ± SD 122,80 (0 – 824) para el Valle de los Quijos. En la Tabla 3 se puede observar el promedio de garrapatas y la desviación estándar por animal en cada muestreo y por región.
| Total garrapatas por animal en promedio general por muestreo | ||||
| Región | 1er muestreo | 2do muestreo | 3er muestreo | 4to muestreo |
| (nov-dic) | (jun) | (sept) | (dic-en) | |
| Noroccidente Pichincha | 150,4 ± SD 239,96 | 68,53± SD 124,11 | 81,82± SD 133,97 | 129,4± SD 168,93 |
| (0 – 1.426) | (0 – 594) | (0 – 594) | (0 – 600) | |
| Valle de los Quijos | 110,3 ± SD 148,25 | 99,95± SD 113,38 | 24,73± SD 31,89 | 87,59± SD 113,65 |
| (0 - 824) | (0 – 406) | (0 – 122) | (0 – 670) | |
| Dos localidades | 129,6 ± SD 198,21 | 81,1± SD 120,34 | 60,16± SD 110,80 | 108,5± SD 144,76 |
| (0 – 1426) | (0 – 594) | (0 – 594) | (0 – 670) | |
Table 3. Mean and standard deviation of ticks on the animals, for each of the samplings in the study localities.
A nivel de finca, en todos los muestreos se evidenciaron valores promedios más altos de infestación en las fincas del Noroccidente de Pichincha respecto del Valle de los Quijos. En el Noroccidente de Pichincha el segundo muestreo presentó el menor promedio de garrapatas (nivel de infestación medio), de acuerdo con la categorización utilizado en el presente estudio; mientras que, en el Valle de los Quijos correspondió al tercer muestreo (nivel de infestación nulo). Sin embargo, por finca se reportó presencia de garrapatas en todos los muestreos, con variaciones de número de garrapatas en cada uno (Figura 4).

Figure 4. Maps of average number of ticks on cattle at the farm level, in each of the participating farms: A) first sampling, B) second sampling, C) third sampling, D) fourth sampling.
3.2. Zonas anatómicas del bovino y conteo de garrapatas
Durante los cuatro muestreos realizados en el Noroccidente de Pichincha, la zona anatómica 3 presentó la mayor cantidad de garrapatas, con un promedio de 44,79 ± SD 81,65 (0 – 448), seguida por la zona anatómica 1 con un promedio de 33,01 ± SD 69,36 (0 – 554), y la zona anatómica 2 con un promedio de 31± SD 54,49 (0 – 472) garrapatas. En contraste, en el Valle de los Quijos, la zona anatómica 1 tuvo el mayor número promedio de garrapatas, con 33,3 ± SD 50,91 (0 – 304), seguida de la zona anatómica 3 con 31,08 ± SD 52,67 (0 – 438), y la zona anatómica 2 con 23,73 ± SD 37,52 (0 – 210) garrapatas.
Es relevante destacar que, en ambas localidades de estudio, la zona anatómica 3 del cuerpo de los bovinos es el área con mayor cantidad de garrapatas, dado el mayor número de individuos encontrados (Figura 5).

Figure 5. Average number of ticks for each of the anatomical zones of the animals in each study locality
3.3. Variables individuales relacionadas al número de garrapatas por animal
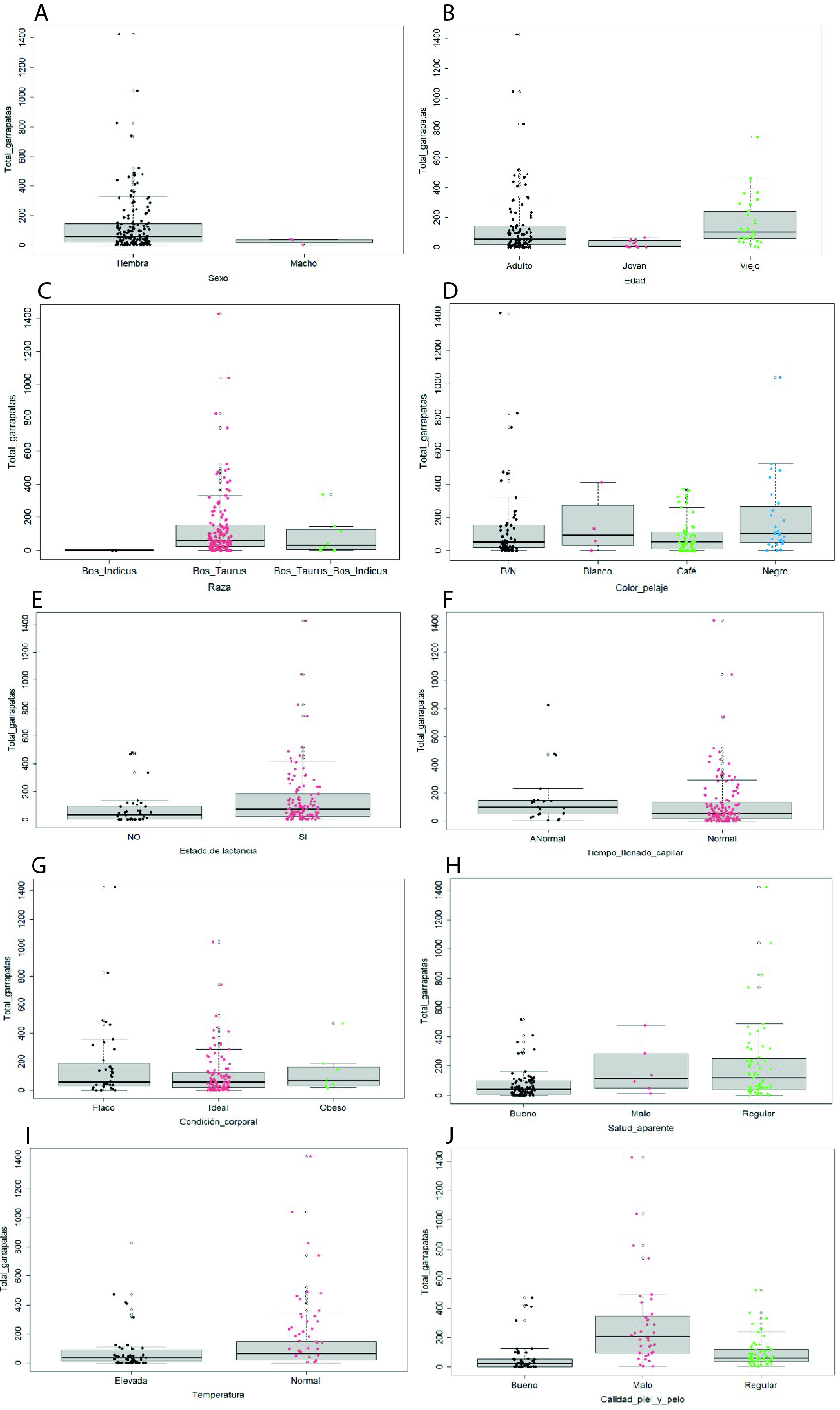
En la variable sexo, los bovinos hembra presentaron un promedio de 131,7 garrapatas y los machos un promedio de 24,67 garrapatas. En relación con la edad, los animales viejos presentaron 160,9 garrapatas en promedio, comparado con jóvenes y adultos que presentaron 22,46 y 133,8 respectivamente. Se puede destacar que los animales de color negro, en estado de lactación, con condición corporal baja, de regular salud aparente, con un llenado capilar anormal, y con mala salud de piel y pelaje, resultaron con mayor número de garrapatas en promedio comparado con las otras categorías dentro de cada variable (Tabla 4).
| Variable | Ítem | # Animales | # Garrapatas | ||||
| Núm/Total | % | Prom. | SD | min – max | |||
| Sexo | Macho | 3/147 | 2 | 24,7 | 21.6 | 0 - 40 | |
| Hembra | 144/147 | 98 | 131,7 | 198.3 | 0 - 1.426 | ||
| Edad | Joven | 13/147 | 9 | 22,5 | 25.1 | 0 - 66 | |
| Adulto | 104/147 | 71 | 133,8 | 213.3 | 0 - 1.426 | ||
| Viejo | 30/147 | 20 | 160,9 | 164.4 | 0 - 740 | ||
| Raza | Bos taurus X Bos indicus | 8/147 | 5 | 82,0 | 116.3 | 0 - 336 | |
| Bos taurus | 137/147 | 93 | 134,2 | 201.6 | 0 - 1.426 | ||
| Bos indicus | 2/147 | 1 | 0,0 | 0.0 | 0 - 0 | ||
| Color | Blanco | 4/147 | 3 | 149,5 | 181.6 | 0 - 410 | |
| Negro | 28/147 | 19 | 191,3 | 229.8 | 0 - 1.042 | ||
| Café | 58/147 | 39 | 89,5 | 104.3 | 0 - 368 | ||
| Blanco con negro | 57/147 | 39 | 138,6 | 243.0 | 0 - 1.426 | ||
| Condición de lactancia | Si | 110/147 | 75 | 149,2 | 214.0 | 0 - 1.426 | |
| No | 37/147 | 25 | 71,0 | 117.4 | 0 - 480 | ||
| Tiempo de llenado capilar | Normal | 126/147 | 86 | 124,3 | 196.7 | 0 - 1.426 | |
| Anormal | 21/147 | 14 | 161 | 199.7 | 4 - 828 | ||
| Condición corporal | Flaco | 39/147 | 27 | 174,9 | 273.1 | 0 – 554 | |
| Bueno (ideal) | 100/147 | 68 | 112,1 | 160.6 | 0 - 1.042 | ||
| Obeso | 8/147 | 5 | 125,8 | 151.3 | 16 - 470 | ||
| Salud aparente | Bueno | 82/147 | 56 | 71,1 | 96.3 | 0 - 520 | |
| Regular | 59/147 | 40 | 205,9 | 266.3 | 0 - 1.426 | ||
| Malo | 6/147 | 4 | 177,3 | 175.8 | 14 - 480 | ||
| Temperatura | Normal | 120/147 | 82 | 131,3 | 198.0 | 0 - 1.426 | |
| Elevada | 27/147 | 18 | 36,7 | 195.1 | 0 - 226 | ||
| Salud aparente del pelaje y piel | Bueno | 52/147 | 35 | 58,2 | 107.4 | 0 - 470 | |
| Regular | 59/147 | 40 | 93,7 | 98.4 | 2 - 520 | ||
| Malo | 36/147 | 24 | 291,2 | 303.6 | 4 - 1.426 | ||
Table 4. Number and percentage of animals corresponding to each category, with their respective average number of ticks counted on the animal, standard deviation and minimum and maximum, by category.
* Núm número de individuos dentro de determinado ítem Total total de animales dentro del estudio Prom promedio de garrapatas por ítem SD desviación estándarNum = number of individuals within a given item; Total = total number of animals within the study; Avg = average number of ticks per item; SD = standard deviation.
En la Figura 6 se presentan gráficos en caja del conteo de garrapatas totales por animales en relación a las variables individuales en cada una de sus categorías utilizadas en el estudio. Soportando la información dada en la Tabla 4.

Figure 6. obtained with the values of the total tick count per animal, versus each of the individual variables and their categories, to observe those with the highest number of ticks. A sex, B age, C breed, D color, E lactation status, F capillary filling time, G body condition, H apparent health, I skin and hair quality, J temperature.
En los análisis estadísticos univariados, utilizando las variables individuales por animal versus el grado de infestación dicotómicos, se evidenció que, las variables: edad, salud aparente y salud aparente de piel y pelaje presentaron valor p < 0,05, los valores completos pueden ser revisados en la Tabla 5.
| Variable | Item | Total animales | Animales (+) | % | Valor p | OR | IC inf | IC sup |
| Edad | Adulto | 104 | 54 | 51.92 | Referencia | |||
| Joven | 13 | 2 | 15.38 | < 0,001 | 0,18 | 0,02 | 0,73 | |
| Viejo | 30 | 23 | 76.67 | 2,98 | 1,22 | 8,17 | ||
| Color | Blanco con negro | 57 | 27 | 47.37 | Referencia | |||
| Blanco | 4 | 3 | 75.00 | 3,02 | 0,33 | 90,47 | ||
| Café | 58 | 28 | 48.28 | 0,05 | 1,04 | 0,50 | 2,17 | |
| Negro | 28 | 21 | 75.00 | 3,25 | 1,23 | 9,51 | ||
| Condición de lactancia | No | 37 | 15 | 40.54 | Referencia | |||
| Si | 110 | 64 | 58.18 | 0,09 | 2,02 | 0,95 | 4,41 | |
| Tiempo de llenado capilar | Anormal | 21 | 15 | 71.43 | Referencia | |||
| Normal | 126 | 64 | 50.79 | 0,10 | 0,42 | 0,14 | 1,12 | |
| Condición corporal | Ideal (bueno) | 100 | 51 | 51.00 | Referencia | |||
| Flaco | 39 | 23 | 58.97 | 0,63 | 0,41 | 0,45 | 0,40 | |
| Obeso | 8 | 5 | 62.50 | 0,56 | 0,72 | 0,53 | ||
| Salud aparente | Bueno | 82 | 33 | 40.24 | Referencia | |||
| Regular | 59 | 41 | 69.49 | < 0,001 | 3,34 | 1,66 | 6,93 | |
| Malo | 6 | 5 | 83.33 | 6,58 | 0,95 | 179,86 | ||
| Temperatura | Elevada | 27 | 11 | 40.74 | Referencia | |||
| Normal | 120 | 68 | 56.66 | 0,14 | 1,89 | 0,81 | 4,55 | |
| Salud aparente del pelaje y piel | Bueno | 52 | 12 | 23.08 | Referencia | |||
| Regular | 59 | 35 | 59.32 | < 0,001 | 4,76 | 2,11 | 11,30 | |
| Malo | 36 | 32 | 88.89 | 24,68 | 7,91 | 98,95 | ||
Table 5. Univariate analysis using explanatory variables in relation to the high level of infestation at the per animal level, using Fisher's exact test.*
* NA No se obtuvo resultado debido al bajo número de observaciones positivas en uno de los items Animales Animales con altos grados de infestación de garrapatas OR odd ratio IC inf intervalo de confianza a 95% de confiabilidad valor inferior del OR IC sup intervalo de confianza a 95% de confiabilidad valor superior del ORNA = No result was obtained for one of the items due to a low number of positive observations. Animals (+) = Animals with high levels of tick infestation; OR = odd ratio; inf CI = confidence interval at 95% confidence lower value of OR; sup CI = confidence interval at 95% confidence upper value of OR.
El modelo final de la tabla 6 incluyó tres variables, de las cuales solamente se determinó asociación positiva de la salud aparente del pelaje y piel con el alto nivel de infestación de garrapatas, con un valor p < 0,001 en sus categorías Regular y Malo, con Odd Ratio de 5,13 y 25,83 respectivamente. Este modelo obtuvo el menor valor Criterio de Información de Akaike (AIC) correspondiente a 162,9, su sensibilidad corresponde a 0,75 y su especificidad a 0,80. El valor de AUC es de 0,84 (0,77-0,90). Además, el valor de R. Nagelkerke es de 0,42, es decir el modelo tuvo un buen ajuste.
| Variable | Item | Valor p | OR | IC inf | IC sup |
| Salud aparente del pelaje y piel | Bueno | Referencia | |||
| Regular | < 0,001 | 5,13 | 2,07 | 13,65 | |
| Malo | < 0,001 | 25,83 | 7,63 | 109,39 | |
| Color | Blanco con negro | Referencia | |||
| Blanco | 0,07 | 15,13 | 1,06 | 480,41 | |
| Café | 0,18 | 1,91 | 0,76 | 5,07 | |
| Negro | 0,11 | 2,52 | 0,82 | 8,32 | |
| Edad | Adulto | Referencia | |||
| Joven | 0,11 | 0,25 | 0,03 | 1,17 | |
| Viejo | 0,05 | 2,88 | 1,04 | 8,80 | |
Table 6 Results of multivariate logistic regression analysis using explanatory variables in relation to the high level of infestation at the per animal level, using general linear models.
4. Discusión
El conocimiento y comprensión de la dinámica de las garrapatas que afectan al ganado bovino es fundamental, no solo para salvaguardar la salud de los animales, de los alimentos, sino también para mitigar las repercusiones económicas negativas que conlleva su presencia en la industria ganadera (Paucar-Quishpe et al., 2023).
Todas las garrapatas identificadas es este estudio correspondieron a R. microplus en ambas regiones analizadas. Los resultados coinciden con otros autores quienes reportaron a esta especie como principal garrapata afectando al ganado en regiones tropicales y subtropicales (Bermúdez Bajaña, 2018; Bustillos y Rodríguez, 2016; Orozco Álvarez, 2018; Paucar et al., 2022; Rodríguez-Hidalgo et al., 2017; Villamarín Álvarez, 2022).
En promedio se encontraron 99,39 ± SD 156,28 (0 – 1.426) garrapatas R. microplus por bovino, que representa un dato relevante en el contexto de la infestación de garrapatas en el ganado bovino. El valor obtenido podría considerarse relativamente alto si se compara con otros estudios del continente americano que reportaron valores entre 12 a 155 garrapatas por bovino (Castañeda Arriola et al., 2021; González-Cerón et al., 2009b; Miraballes et al., 2022; Rodríguez-Gallegos y Acosta-Rodríguez, 2011), aunque es importante considerar que la mayoría animales eran de fenotipo y razas lecheras, que son más susceptibles a la infestación de garrapatas. Es importante destacar que la magnitud de la infestación puede variar significativamente según las condiciones bioclimáticas de la región geográfica y las prácticas de manejo del ganado (Paucar et al., 2022). En el contexto ecuatoriano, estudios como el de Bustillos y Rodríguez (2016) mencionan un promedio de 70 garrapatas sobre ganado bovino lechero, con valores mínimos y máximos de 4 y 119 respectivamente. Si bien, resultan un promedio similar al obtenido en este estudio, los valores máximos por animal en el presente estudio resultan muy superiores, teniendo pocos animales con infestaciones extremadamente altas. Lo cual es esperado debido a la susceptibilidad individual y las condiciones distintas de cada animal y finca. Además, se reitera la necesidad de tener en consideración estos aspectos al decidir y aplicar métodos de control de garrapatas en cada finca.
Este estudio determinó una mayor cantidad de garrapatas en ciertas zonas anatómicas del animal, siendo la "zona anatómica 3" que incluyó el sacro, el perineo, ubre posterior, entrepierna y las patas posteriores las áreas más relevantes de la infestación. Esto es similar a los resultados obtenidos por Jacho Merino (2015) quien evidenció que las ubres y entre piernas eran las zonas anatómicas con más garrapatas. Esto es importante debido a que, se deduce que los productos acaricidas no son aplicados adecuadamente. Es importante destacar que en el momento de aplicar el acaricida se debería tomar en cuenta todo el animal, comenzar a aplicar el acaricida desde la cabeza del animal y continuar hacia atrás, siguiendo un patrón sistemático para cubrir todo el cuerpo y evitar áreas sensibles como los ojos, la nariz y la boca. Solamente así, se asegura que el acaricida es bien distribuido y cubre todo el pelaje del animal. Adicionalmente, se debería evita aplicar el acaricida en condiciones de viento fuerte, ya que se corre el riesgo de dispersarse y afectar a las personas y otros animales cercanos (Araque et al., 2014; Zintz, 2018).
Una serie de variables individuales desempeñan un papel crucial en la dinámica de infestación parasitaria. En este estudio en los resultados de análisis estadísticos univariados se observó asociación estadística positiva del grado de infestación con el color del pelaje de los bovinos, siendo el color negro el grupo que presentó 3,25 veces más probabilidad de presentar un alto nivel de infestación de garrapatas comparado con vacunos de color blanco, café y blanco/negro al igual que los animales viejos con 2,98 OR similar a resultados obtenidos por (Bianchi et al., 2003), esta característica ha sido observada en otros estudios y se la relacionado con el mimetismo de las garrapatas al evitar ser observadas por potenciales predadores en animales de pelajes más claros. Animales con salud aparente regular y mala presentaron valores de OR de 3,34 y 6,58 respectivamente, y animales con salud aparente del pelaje y piel regular y mala con 4,76 y 24,68 de OR. Se observó como factor protectivo a los animales jóvenes con un OR de 0,18, lo que indica que los animales viejos tienden a tener mayores niveles de infestación, esta característica estaría en principio relacionada con el cuidado que los dueños dan a los terneros al no permitirles que pasen de ciertos niveles de infestación. En el modelo multivariable se observó solamente asociación positiva con la salud aparente del pelaje y piel regular y mala con 5,13 y 25,83 OR respectivamente. Lo que difiere de los resultados obtenidos por Paucar et al. (2022), quienes determinaron asociación positiva con la edad, vacas lactantes y la condición corporal. Esto posiblemente al reducido número de animales en este estudio.
En base de los análisis descriptivos se observó que ciertos grupos dentro de las variables individuales presentaron un mayor número de garrapatas. En este estudio se observó que la raza taurina acusó mayor número de garrapatas, en concordancia con otros estudios (Wambura et al., 1998) donde cruces de razas B. taurus los cuales presentaron una mayor cantidad de garrapatas al conteo que junto a la composición de la piel o la respuesta inmune, se asociaron con una mayor infestación de R. microplus (Jonsson et al., 2014).
En relación con la edad, este estudio demostró mayor cantidad de garrapatas en animales viejos, lo que se atribuye al sistema inmunológico que tiende a reducirse con la edad, los animales viejos tienden a moverse menos lo que facilita a las garrapatas adherirse a ellos en los potreros o áreas de pastoreo. Contrario a, ciertos estudios que revelan mayor susceptibilidad en terneros (Adugna y Tamrat, 2022; Miraballes et al., 2022).
Cuantitativamente, las vacas de color negro acusaron mayor cantidad de garrapatas, ratificando lo que otros autores coinciden en afirmar que las garrapatas tienden a ser más activas en ambientes con sombra y humedad, y el pelaje oscuro les proporciona tal condición. Además durante los días y épocas de mayor intensidad de luz, los pelajes oscuros pueden evitar su desecación (Marufu et al., 2011). Es conocido que ciertos arácnidos como las garrapatas usan el mimetismo para pasar desapercibidas en su entorno, por lo que estar en el pelaje oscuro podría evitar ser detectadas fácilmente por depredadores (Pekár et al., 2011).
Las hembras, especialmente de la categoría vacas en producción, parecen más vulnerables al ataque por una mayor cantidad de garrapatas, dado que esta categoría por lo general se encuentra en pastoreo permanente, en cuyo escenario las garrapatas pueden adherirse con más facilidad a las vacas (Bermúdez Bajaña, 2018; Rehman et al., 2017). Adicionalmente, es de destacar que las vacas lactantes experimentan una mayor demanda energética para sostener la producción de leche, que las expone a una condición de estrés fisiológico (Bianchi et al., 2003). La efectividad de Rhipicephalus microplus también se explica por su propia biología, que se caracteriza por acechar al huésped y adherirse a los animales cuando se acercan a la vegetación (Polanco Echeverry y Ríos Osorio, 2016). Por otro lado, los machos y los bovinos que no están produciendo leche, incluyendo los animales que están en corrales de engorde o en pastoreo de praderas con periodos de descanso largos, generalmente tienen una menor exposición al ambiente y, como resultado, presentan una menor infestación de garrapatas (Adugna y Tamrat, 2022). Esta información es coincidente con los resultados del estudio, ya que las vacas hembras, presentaron mayor número de garrapatas en comparación a los machos. Al igual que los bovinos que se encontraban en estado de lactancia.
La condición corporal reveló una mayor cantidad de garrapatas en los animales con baja condición corporal, cuyos resultados concuerdan con otros estudios que indican que los animales con una baja condición corporal tienen una mayor probabilidad de infestación en comparación con aquellos que están en buena condición (Adugna y Tamrat, 2022), cuyo fenómeno aparentemente se debe a una menor resistencia de los animales con baja condición corporal. De otra parte, es importante señalar que la baja condición corporal podría ser más bien una consecuencia de la alta infestación de garrapatas. Esto significa que, las garrapatas provocan estrés en los animales, alteran su comportamiento y reducen la ingesta de alimento debido a la picazón e irritación que estos ectoparásitos provocan, lo cual puede ocurrir igualmente con los animales con salud aparentemente normal (Solomon y Tanga, 2020).
Se observó mayor cantidad de garrapatas en animales con un llenado capilar lento. Al respecto, se conoce que las garrapatas se alimentan de sangre de sus huéspedes lo que podría ocasionar anemia en animales altamente infestados (Anderson y Magnarelli, 2008; Polanco Echeverry y Ríos Osorio, 2016). La presencia de garrapatas en bovinos se asoció con una mayor cantidad de estos parásitos en animales con mala calidad de piel y pelaje. Este fenómeno impacta negativamente la calidad del pelaje de los bovinos, ya que las garrapatas, al ser parásitos, generan efectos adversos en la salud y comportamiento del ganado. La constante actividad de alimentación de las garrapatas provoca picazón, irritación y molestias en la piel de los bovinos infestados. Como respuesta, los animales afectados tienden a rascarse y frotarse con objetos o estructuras disponibles en su entorno para aliviar la picazón, lo que puede resultar en daño y desgarramiento del pelaje (Khan et al., 2022).
Con respecto a la estacionalidad, en la región de Quijos, se distinguen claramente dos estaciones opuestas en cuanto a su patrón de precipitación. Los meses de enero, febrero y marzo se caracterizan por ser periodos secos, mientras que la temporada de lluvias abarca de julio a septiembre, correspondiendo a los meses donde menos garrapatas se reportaron en esta localidad. Esto contrasta con la región Noroccidental de Pichincha, donde los meses secos ocurren entre junio y septiembre, meses en los cuales se reportaron menor número de garrapatas, y la temporada de lluvias se extiende hacia finales del año y principios del nuevo año. Este contraste climático subraya la alta variabilidad en la presencia de garrapatas a lo largo del año independientemente de la época, ya que se ha reportado la infestación de garrapatas todo el año (Bustillos y Rodríguez, 2016; GAD Quijos, 2015; GAD San Miguel de los Bancos, 2015).
Cabe señalar que la mayor cantidad de garrapatas encontradas por animal en el Noroccidente de Pichincha, podría atribuirse al efecto de la temperatura promedio más alta en esta región respecto del valle de Quijos, especialmente en aquellos sitios abrigados como Pedro Vicente Maldonado que registra temperaturas más altas que fluctúan entre 20 y 25 °C, y también a las altas precipitaciones. Se discute si las características de los pastos predominantes de los géneros Setaria .Bracharia en ambas regiones brindan un escenario favorable para el desarrollo de las fases inmaduras de las garrapatas (Condo Velastegui, 2023).
Este estudio trabajó con 30 fincas ganaderas, lo que proporciona una visión detallada y valiosa de la situación local con respecto a la infestación de garrapatas en el ganado. Sin embargo, es esencial reconocer que esta cantidad limitada de muestras puede presentar desafíos al intentar generalizar los resultados a un nivel macro. Las variaciones inherentes en las condiciones ambientales, prácticas de manejo del ganado y otros factores a nivel regional pueden no estar completamente representadas en esta muestra limitada. Por lo tanto, aunque los hallazgos ofrecen una comprensión profunda de la realidad local, se debe ejercer cautela al extrapolar estos resultados a una escala más amplia. La diversidad en las prácticas agrícolas y condiciones climáticas entre diferentes regiones podría influir en los resultados de manera significativa. Se recomienda llevar a cabo estudios más extensos y abarcadores. Aumentar el número de fincas participantes y la cantidad de animales por finca en futuras investigaciones permitiría capturar una gama más amplia de condiciones y prácticas de manejo. A pesar de que esto podría implicar una inversión considerable en términos de recursos y tiempo de investigación, los beneficios potenciales superarían estas limitaciones.
5. Conclusiones
Comprender la dinámica de infestación de Rhipicephalus microplus es fundamental para salvaguardar la salud del ganado, asegurar la inocuidad alimentaria, y mitigar el impacto económico negativo en la industria ganadera. Las garrapatas identificadas en ambas localidades del estudio fueron consistentes con R. microplus, en línea con hallazgos previos en el país. El promedio de infestación de 99,39 ± SD 156,28 garrapatas por bovino destaca la importancia de controlar la infestación de garrapatas en el ganado. Las comparaciones con otros estudios indican un nivel de infestación relativamente alto, enfatizando la influencia de las prácticas de manejo del ganado. El análisis anatómico reveló que "la zona anatómica 3", que incluye el sacro, el perineo, la ubre posterior, la ingle y las patas traseras, es la más infestada, sugiriendo una aplicación subóptima de acaricidas. Varias variables individuales, como el color del pelaje, la edad y el estado de salud, desempeñaron un papel crucial en la dinámica de la infestación parasitaria. El estudio también destacó la necesidad de comprender de manera integral los factores que influyen en la infestación de garrapatas para implementar estrategias de control efectivas.
Contribuciones de los autores
Ximena Pérez-Otáñez: curación de datos - igual, análisis formal, investigación - igual, redacción – borrador original – principal.
Valeria Paucar: curación de datos - igual, investigación – igual.
José Buitrón: curación de datos - igual, redacción – borrador original - de apoyo.
Claude Saegerman: conceptualización – igual.
Jorge Grijalva: redacción – revisión y edición - de apoyo.
Cecilia Pérez-Escalante: redacción – revisión y edición - de apoyo.
Darío Cepeda-Bastidas: redacción – revisión y edición - de apoyo.
Susana Arciniegas: redacción – revisión y edición - de apoyo.
Sandra Enríquez: metodología – igual, redacción – revisión y edición - de apoyo.
Lenin Ron-Garrido: metodología – igual, redacción – revisión y edición - de apoyo.
Sophie O. Vanwambeke: conceptualización – igual, adquisición de fondos – igual.
Richar Rodríguez-Hidalgo: conceptualización - principal, adquisición de fondos - igual, redacción – revisión y edición.
Implicaciones éticas
Todos los animales involucrados en la investigación fueron tratados de acuerdo con las pautas de bienestar animal y los procedimientos habituales para la recolección de garrapatas en finca. Los ganaderos fueron informados y proporcionaron su consentimiento por escrito antes de llevar a cabo las visitas programadas. Los datos recopilados de los animales en cada finca se codificaron utilizando números y letras específicos que hacían referencia a la finca y la localidad visitada. Los datos se analizaron de manera general, respetando la confidencialidad y la privacidad de los participantes involucrados en el estudio.
Conflicto de interés
Los autores declaran que no existen conflictos de interés financieros o no financieros que podrían haber influido en el trabajo presentado en este artículo.
Información adicional
Este artículo es producto del póster presentado en el Encuentro Científico “Una Sola Salud, Biodiversidad e Inocuidad Alimentaria”, desarrollado el 17 y 18 de julio de 2023.
Agradecimientos
Muchas gracias a ARES, quien financió este estudio, y al Instituto de Investigación en Zoonosis donde se desarrolló el trabajo de laboratorio. Un agradecimiento a los estudiantes de pregrado de la Facultad de Medicina Veterinaria y Zootecnia, quienes participaron en la colecta de datos. Además, agradecemos a los ganaderos que permitieron las visitas constantes a sus fincas.
Referencias
Adugna, H., y Tamrat, H. (2022). Epidemiological study on Ixodid tick infestation and tick borne haemopathogens on cattle in Awi Zone, northwest Ethiopia. Veterinary Medicine and Science, 8(5), 2194-2205. https://doi.org/10.1002/vms3.878
Anderson, J. F., y Magnarelli, L. A. (2008). Biology of ticks. Infectious disease clinics of North America, 22(2), 195-215. https://doi.org/10.1016/j.idc.2007.12.006
Araque, A., Ujueta, S., Bonilla, R., Gómez, D., y Rivera, J. (2014). Resistencia a acaricidas en Rhipicephalus (Boophilus) microplus de algunas explotaciones ganaderas de Colombia. Revista U.D.C.A Actualidad & Divulgación Científica, 17(1), 161-170. https://doi.org/10.31910/rudca.v17.n1.2014.951
Barros-Battesti, D., Arzua, M., y Bechara, H. (2006). Carrapatos de importância medico-veterinaria da região neotropical: Um guia ilustrado para identificação de especiés. Vox/ICTTD/Buta.tan. https://repositorio.butantan.gov.br/handle/butantan/3153
Bermúdez Bajaña, J. D. (2018). Incidencia de Rhipicephalus boophilus microplus en bovinos. Santa Ana (hacienda Primavera) en la provincia de Manabí cantón Santa Ana en La Unión durante el período enero-junio del 2020. Universidad Laica Eloy Alfaron de Manabí. https://repositorio.uleam.edu.ec/handle/123456789/3344
Bianchi, M. W., Barré, N., y Messad, S. (2003). Factors related to cattle infestation level and resistance to acaricides in Boophilus microplus tick populations in New Caledonia. Veterinary Parasitology, 112(1-2), 75-89. https://doi.org/10.1016/S0304-4017(02)00415-6
Bustillos, R., y Rodríguez, R. (2016). Ecología parasitaria de Riphicephalus microplus en bovinos: Un problema de la ganadería de los trópicos del Ecuador (1. ed.). Editorial Académica Española.
Castañeda Arriola, R. O., Álvarez Martínez, J. A., Rojas Martínez, C., Lira Amaya, J. J., Ríos Utrera, Á. y Martínez Ibáñez, F. (2021). Rhipicephalus microplus infestation level and its association with climatological factors and weight gain in Bos taurus x Bos indicus cattle. Revista Mexicana de Ciencias Pecuarias, 12(1), 273-285. https://doi.org/10.22319/RMCP.V12I1.5392
Centro de la Industria Láctea [CIL]. (2015). La Leche del Ecuador: Historia de la lechería ecuatoriana. CIL. http://www.pichincha.gob.ec/phocadownload/publicaciones/la_leche_del_ecuador.pdf
Condo Velastegui, X. C. (2023). Intensificación del manejo de pasturas, calidad de biomasa y recuento de garrapatas en predios ganaderos en la cuenca del río Quijos de la Amazonía ecuatoriana. Universidad Central del Ecuador. http://www.dspace.uce.edu.ec/handle/25000/30287
da Silva, J. B., Rangel, C. P., de Azevedo Baêta, B., y da Fonseca, A. H. (2014). Analysis of the risk factors relating to cows’ resistance to Rhipicephalus microplus ticks during the peripartum. Experimental and Applied Acarology, 63(4), 551-557. https://doi.org/10.1007/s10493-014-9793-z
da Silva, J. B., Rangel, C. P., de Azevedo Baêta, B., y da Fonseca, A. H. (2013). Influence of the physiological state on infestation by Rhipicephalus microplus in dairy cows. Ticks and Tick-borne Diseases, 4(1), 52-56. https://doi.org/10.1016/j.ttbdis.2012.07.003
Ferraz da Costa, M. do S., Guimarães, M. P., Lima, W. dos S., Ferraz da Costa, A. J., Facury Filho, E. J., y Araujo, R. N. (2014). Seasonal variation and frequency distribution of ectoparasites in crossbreed cattle in Southeastern Brazil. Journal of Veterinary Medicine, 2014, 759854. https://doi.org/10.1155/2014/759854
Flor, S. N. (2015). Estudio de factibilidad para la creación de un ecolodge en el canton Quijos, provincia del Napo. Universidad Tecnológica Equinoccial. https://repositorio.ute.edu.ec/bitstream/123456789/15878/1/63439_1.pdf
GAD Quijos. (2015). Plan de desarrollo y ordenamiento territorial del cantón Quijos. GAD Quijos. https://info.napo.gob.ec/wp-content/uploads/2022/06/podtGadmQuijos.pdf
GAD San Miguel de los Bancos. (2015). Plan de Desarrollo y Ordenamiento Territorial Cantón San Miguel de Los Bancos. 2015-2025. GAD San Miguel de los Bancos. https://gadmsmb.gob.ec/images/Ley_Transparencia/LEY%20DE%20TRANSPARENCIA/2015/PDyOT__2015_2025.pdf
González-Cerón, F., Becerril-Pérez, C. M., Torres-Hernández, G., y Díaz-Rivera, P. (2009a). Garrapatas que infestan regiones corporales del Bovino Criollo lechero tropical en Veracruz, México. Agrociencia, 43(1), 11-19. https://agrociencia-colpos.org/index.php/agrociencia/article/view/692
González-Cerón, F., Becerril-Pérez, C. M., Torres-Hernández, G., Díaz-Rivera, P., Santellano-Estrada, E., y Rosendo-Ponce, A. (2009b). Infestación natural por Amblyomma cajennense y Boophilus microplus en bovinos criollo lechero tropical durante la época de lluvias. Agrociencia, 43.6), 577-584. https://agrociencia-colpos.org/index.php/agrociencia/article/view/743
Guerrero, R. (1996). Las garrapatas de Venezuela (acarina: ixodoidea): listado de especies y claves para su identificación. Boletín de la Dirección de Malariología y Saneamiento Ambiental, 36(1/2), 1-24.
Guglielmone, A. A., Nava, S., y Robbins, R. G. (2021). Neotropical Hard Ticks (Acari: Ixodida: Ixodidae): A Critical Analysis of Their Taxonomy, Distribution, and Host Relationships. Springer. https://doi.org/10.1007/978-3-030-72353-8
Guzmán Saltos, K. C., y Sánchez Rodríguez, L. C. (2015). Estudio de impacto ambiental y plan de manejo ambiental para el proyecto de procesamiento de leche de la Asociación agrícola ganadera 11 de junio, cantón San Miguel de los Bancos, provincia de Pichincha. Universidad Politécnica Salesiana. https://dspace.ups.edu.ec/handle/123456789/10092
Jacho Merino, M. G. (2015). Dinámica poblacional de la garrapata Rhipicephalus (Boophilus) microplus en ganado bovino lechero en el Cantón San Miguel de los Bancos. Universidad Central del Ecuador. http://www.dspace.uce.edu.ec/handle/25000/6770
Jonsson, N. N., Piper, E. K., y Constantinoiu, C. C. (2014). Host resistance in cattle to infestation with the cattle tick Rhipicephalus microplus. Parasite Immunology, 36(11), 553-559. https://doi.org/10.1111/pim.12140
Khan, S. S., Ahmed, H., Afzal, M. S., Khan, M. R., Birtles, R. J., y Oliver, J. D. (2022). Epidemiology, distribution and identification of ticks on livestock in Pakistan. International Journal of Environmental Research and Public Health, 19(5), 3024. https://doi.org/10.3390/ijerph19053024
Marufu, M. C., Qokweni, L., Chimonyo, M., y Dzama, K. (2011). Relationships between tick counts and coat characteristics in Nguni and Bonsmara cattle reared on semiarid rangelands in South Africa. Ticks and Tick-Borne Diseases, 2(3), 172-177. https://doi.org/10.1016/j.ttbdis.2011.07.001
Maya-Delgado, A., Madder, M., Benítez-Ortíz, W., Saegerman, C., Berkvens, D., y Ron-Garrido, L. (2020). Molecular screening of cattle ticks, tick-borne pathogens and amitraz resistance in ticks of Santo Domingo de los Tsáchilas province in Ecuador. Ticks and Tick-Borne Diseases, 11(5), 101492. https://doi.org/10.1016/j.ttbdis.2020.101492
Miraballes, C., Taño, M., y Riet-Correa, F. (2022). Evaluation of the one-side tick counting technique and of the level of infestation of bovines with Rhipicephalus microplus. Experimental & Applied Acarology, 86(3), 443-453. https://doi.org/10.1007/s10493-022-00691-1
Nava, S., Gamietea, I. J., Morel, N., Guglielmone, A. A., y Estrada-Peña, A. (2022). Assessment of habitat suitability for the cattle tick Rhipicephalus (Boophilus) microplus in temperate areas. Research in Veterinary Science, 150, 10–21. https://doi.org/10.1016/j.rvsc.2022.04.020
Orozco Álvarez, G. E. (2018). Distribución espacial de garrapatas que afectan a las ganaderías ecuatorianas de las tres regiones, usando como referencia la línea equinoccial. Universidad Central del Ecuador. http://www.dspace.uce.edu.ec/handle/25000/15985
Paucar, V., Pérez-Otáñez, X., Rodríguez-Hidalgo, R., Perez, C., Cepeda-Bastidas, D., Grijalva, J., Enríquez, S., Arciniegas-Ortega, S., Vanwambeke, S. O., Ron-Garrido, L., y Saegerman, C. (2022). The Associated decision and management factors on cattle tick level of infestation in two tropical areas of Ecuador. Pathogens, 11(4), 403. https://doi.org/10.3390/pathogens11040403
Paucar-Quishpe, V., Pérez-Otáñez, X., Rodríguez-Hidalgo, R., Cepeda-Bastidas, D., Pérez-Escalante, C., Grijalva-Olmedo, J., Enríquez, S., Arciniegas-Ortega, S., Sandoval-Trávez, L., Benavides-Erazo, B., Vanwambeke, S. O., Saegerman, C., y Ron-Garrido, L. (2023). An economic evaluation of cattle tick acaricide-resistances and the financial losses in subtropical dairy farms of Ecuador: A farm system approach. PLOS ONE, 18(6), e0287104. https://doi.org/10.1371/journal.pone.0287104
Pekár, S., Jarab, M., Fromhage, L., y Herberstein, M. E. (2011). Is the evolution of inaccurate mimicry a result of selection by a suite of predators? A case study using myrmecomorphic spiders. The American Naturalist, 178(1), 124-134. https://doi.org/10.1086/660287
Pérez Otáñez, X. F. (2016). Resistencia a alfa-cipermetrina, ivermectina y amitraz en garrapatas Rhipicephalus microplus (Canestrini, 1887) colectadas en cuatro localidades. Universidad Central del Ecuador. http://www.dspace.uce.edu.ec/handle/25000/10254
Pérez-Otáñez, X., Vanwambeke, S. O., Orozco-Alvarez, G., Arciniegas-Ortega, S., Ron-Garrido, L., y Rodríguez-Hidalgo, R. (2023). Widespread acaricide resistance and multi-resistance in Rhipicephalus microplus in Ecuador and associated environmental and management risk factors. Ticks and Tick-Borne Diseases, 15(1), 102274. https://doi.org/10.1016/j.ttbdis.2023.102274
Polanco Echeverry, D. N., y Ríos Osorio, L. A. (2016). Aspectos biológicos y ecológicos de las garrapatas duras. Ciencia y Tecnología Agropecuaria, 17(1), 81-95. https://doi.org/10.21930/rcta.vol17_num1_art:463
Rehman, A., Nijhof, A. M., Sauter-Louis, C., Schauer, B., Staubach, C., y Conraths, F. J. (2017). Distribution of ticks infesting ruminants and risk factors associated with high tick prevalence in livestock farms in the semi-arid and arid agro-ecological zones of Pakistan. Parasites & Vectors, 10(1), 190. https://doi.org/10.1186/s13071-017-2138-0
Rodríguez-Gallegos, C., y Acosta-Rodríguez, R. (2011). Genetic and environmental factors influencing the resistance of terminal cross calves to tick Rhipicephalus (Boophilus) microplus and horn fly Haematobia irritans. Tropical and Subtropical Agroecosystems, 13, 437-444. http://www.revista.ccba.uady.mx/urn:ISSN:1870-0462-tsaes.v13i3.1378
Rodríguez-Hidalgo, R., Pérez-Otáñez, X., Garcés-Carrera, S., Vanwambeke, S. O., Madder, M., y Benítez-Ortiz, W. (2017). The current status of resistance to alpha-cypermethrin, ivermectin, and amitraz of the cattle tick (Rhipicephalus microplus) in Ecuador. PLoS ONE, 12(4), e0174652. https://doi.org/10.1371/journal.pone.0174652
Solomon, A., y Tanga, B. M. (2020). The first investigation of tick vectors and tick-borne diseases in extensively managed cattle in Alle District, Southwestern Ethiopia. Veterinary Medicine International, 2020, 8862289. https://doi.org/10.1155/2020/8862289
Tabor, A. E., Ali, A., Rehman, G., Rocha Garcia, G., Zangirolamo, A. F., Malardo, T., y Jonsson, N. N. (2017). Cattle Tick Rhipicephalus microplus-host interface: A review of resistant and susceptible host responses. Frontiers in Cellular and Infection Microbiology, 7, 506. https://doi.org/10.3389/fcimb.2017.00506
Tinoco, T., Ron-Garrido, L., y Perez-Otañez, X. (2023). Evaluación preliminar de la efectividad del inmunógeno GAVAC ® y el uso racional de acaricidas como alternativa de un programa integrado de control de garrapatas en Ecuador. ESPOCH Congresses: The Ecuadorian Journal of S.T.E.A.M., 3(1), 793-806. https://doi.org/10.18502/espoch.v3i1.14487
Villamarín Álvarez, K. K. (2022). Identificación de la garrapata en bovinos (Bos Taurus) del Cantón Quijos, Parroquia San Francisco de Borja. Universidad Técnica de Cotopaxi. http://repositorio.utc.edu.ec/handle/27000/8890
Wambura, P. N., Gwakisa, P. S., Silayo, R. S., y Rugaimukamu, E. A. (1998). Breed-associated resistance to tick infestation in Bos indicus and their crosses with Bos taurus. Veterinary Parasitology, 77(1), 63-70. https://doi.org/10.1016/S0304-4017(97)00229-X
Zintz, R. (2018). Investigaciones sobre la epidemiología de las hemoparasitosis en fincas productoras de leche en los departamentos del Valle y del Quindío (Colombia). ICA, GTZ. http://hdl.handle.net/20.500.12324/19776
Notas de autor
xfperez@uce.edu.ec
Información adicional
e-location: e5530