Evaluación de la Resistencia a Antimicrobianos en Neisseria gonorrhoeae mediante Secuenciación de Nueva Generación en Ecuador
Evaluación de la Resistencia a Antimicrobianos en Neisseria gonorrhoeae mediante Secuenciación de Nueva Generación en Ecuador
Siembra, vol. 12, núm. 3, Esp., e7780, 2025
Universidad Central del Ecuador

Palabras clave: Neisseria gonorrhoeae, Secuenciación completa, genes de resistencia
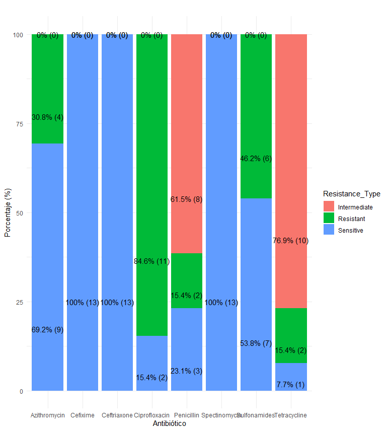
IntroducciónNeisseria gonorrhoeae [NG] es un agente importante dentro de las infecciones de transmisión sexual, que ha mostrado un aumento en la resistencia a múltiples antimicrobianos a nivel mundial. En Ecuador, la situación es particularmente preocupante, pues se desconocen sus patrones de resistencia. En parte debido al tratamiento empírico muy utilizado en pacientes con ITS, y por los pocos cultivos de NG solicitados y/o procesados. El objetivo de este estudio fue realizar en 13 aislamientos NG secuenciación completa [WGS], aislados en el 2023.
Materiales y métodos
Se recolectaron 13 NG de pacientes provenientes de diferentes regiones de Ecuador. 12 de sexo masculino, con edades entre 6-36 años. Se utilizó el secuenciador MinION™ MK1B (Oxford Nanopore). Se realizó un análisis de los perfiles de resistencia a antimicrobianos [AMR] mediante herramientas bioinformáticas para identificar mutaciones y determinantes de resistencia.
Resultados
Las cepas presentaron diversas mutaciones asociadas con la resistencia a antibióticos (Figura 1), entre ellas:
blaTEM (disruptiva)
mtrR_disrupted: La interrupción de este gen se ha asociado con un aumento en la resistencia a múltiples fármacos.
mtrR_G45D
ponA1_L421P: Esta mutación ha sido menos documentada, pero se ha observado en cepas resistentes a penicilina.
mtrR_G45D: también se ha asociado con resistencia a azitromicina y a penicilina.
mtrR_promoter_a-57del: esta deleción ha sido reportada en cepas resistentes a azitromicina.

Conclusiones
Las mutaciones identificadas en NG sugieren una adaptación del patógeno a los tratamientos disponibles en el Ecuador. Ceftriaxona continúa siendo una alternativa de tratamiento empírico mientras que penicilina, ciprofloxacino, azitromicina, tetraciclina no estarían recomendadas, salvo una confirmación con cultivo y prueba de sensibilidad previos.