Review papers
Beta functions in the quantum field theory
Бета-функции в квантовой теории поля
Бета функције у квантној теорији поља
Beta functions in the quantum field theory
Vojnotehnicki glasnik/Military Technical Courier, vol. 70, no. 1, pp. 157-168, 2022
University of Defence

Received: 05 March 2021
Revised document received: 30 December 2021
Accepted: 31 December 2021
Abstract:
Introduction/purpose: The running of the coupling constant in various Quantum Field Theories and a possible behaviour of the beta function are illustrated.
Methods: The Callan–Symanzik equation is used for the study of the beta function evolution.
Results: Different behaviours of the coupling constant for high energies are observed for different theories. The phenomenon of asymptotic freedom is of particular interest.
Conclusions: Quantum Electrodynamics (QED) and Quantum Chromod- inamics (QCD) coupling constants have completely different behaviours in the regime of high energies. While the first one diverges for finite energies, the latter one tends to zero as energy increases. This QCD phenomenon is called asymptotic freedom.
Keywords: Quantum Electrodynamics, Quantum Chromodynamics, Quantum Field Theory, Renormalization Group, Beta Function.
Pезюме:
Введение / цель: В данной статье представлено, как работает константа связи в различных квантовых теориях поля и возможные модели поведения бета-функции. Методы: Уравнение Каллана–Симанзика используется для изучения эволюции бета-функции. Результаты: Наблюдается различное поведение константы связи при высоких энергиях в различных теориях. Особый интерес представляет явление асимптотической свободы. Выводы: Константы связи квантовой электродинамики (КЭД) и квантовой хромодинамики (КХД) ведут себя совершенно по-разному в режиме высоких энергий. Первая отличается конечной энергией, в то время как вторая стремится к нулю, когда энергия увеличивается. Данное явление КХД называется асимптотической свободой.
Ключевые слова: квантовая электродинамика, квантовая хромодинамика, квантовая теория поля, ренормализационная группа, бета-функция.
Abstract:
Увод / циљ: Илустровани су рад константе спреге у разним квантним теоријaмa поља као и могуће понашање бета функције. Методе: Калан-Шиманзикова једначина користи се за проучавање еволуције бета функције. Резултати: Примећено је различито понашање константе спреге за високе енергије за различите теорије. Од посебног интереса је феномен асимптотске слободе. Закључак: Константе спреге квантне електродинамике (QED) и квантне хромодинамике (QCD) имају потпуно ра- зличито понашање у режиму високих енергија. Док се прва разилази за коначне енергије, друга тежи нули како се енергија повећава. Овај феномен QCD назива се асимптотска слобода.
Keywords: Квантна електродинамика, Квантна хромодинамика, Квантна теорија поља, Ренормализациона група, Бета функција.
Fixed points
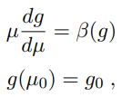
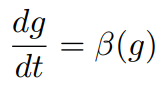
In (Fabiano, 2021) we have seen how a generic coupling constant be- haves at different renormalisation scales. It should be remarked that this result is valid also for different renormalisation schemes, not only for dimensional regularisation. In this sense, the coupling constant is a function depending on the energy scale , and is often regarded to as a running coupling constant. Just for the sake of simplicity, define the new variable t=log (the t variable could be also thought of as a “time” parameter). With this position, the Callan–Symanzik equation (Callan, 1970), (Symanzik, 1970) could be rewritten in a nicer form as:
(1)which is a differential equation governing the behaviour of the coupling constant g upon the energy scale considered. As such, it also needs some initial conditions in order to be solved – a Cauchy problem. The points
, for which
(2)are called fixed points (Symanzik, 1971), and once the coupling g reaches one of these points, it does not evolve anymore. In Fig. 1, a possible scenario for the function is shown. The origin 0, the points g1 and g2 are fixed points. If for the initial scale t=0 the coupling constant g is at one of these points, then it will remain there for any energy scale considered (or “forever”, depending on the language one prefers).
There are different kinds of fixed points. Consider the point g1 and its neighbourhood. From the Figure 1, for 0 < g < g1, β(g) > 0 then the coupling constant increases with the scale because of eq. (2) (i.e. dg/dt > 0), moving towards g1 for t → +∞. On the contrary, in the interval g1 < g < g2 the β function is negative, so the coupling constant decreases and approaches again g1 as t t → +∞. We conclude that g1 is a stable fixed point, as g tends to it from either side. It is called the ultraviolet stable fixed point - the term “ultraviolet” is present because g → g1 as t → +∞.
On the other hand, for the points 0 and g2 it is clear that the inverse of the previous argument holds true: the coupling g “escapes” from them as t → +∞ and approaches them as energy decreases, for t → 0. Such points are named the infrared stable fixed points.
It is important to know that the fixed points of the β function are difficult to calculate because they are usually determined by nonperturbative effects, apart from the trivial zero at the origin, for g = 0.

Behaviour of β function
We shall consider some possible asymptotic behaviours of the function or energy scale µ → +∞. The exact problem we consider is given by
(3)whose formal solution is written as
(4)Different behaviours of the β function are shown in Fig. 2.

(a) approach infinity for a finite value of g, with β(g) > 0
(b) approach infinity as g → +∞
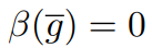
(c) have a finite fixed point in g1, β(g1) = 0
(d) approach −∞ for increasing g, with β(g) < 0.
Case (a)
Suppose that β(g) grows sufficiently rapidly in such a manner that the integral of eq. (4) converges (for instance, any power of g larger than 1), namely
(5)then it is clear that the scale µ has a finite upper bound µ+∞ corresponding to the coupling g = +∞ given by the relation
(6)We have already encountered such behaviour, for the QED coupling case as discussed in (Fabiano, 2021), where β(g) = g3/12π2 and µ+∞ is given by the Landau pole (Landau et al, 1954),(Landau and Pomeranchuk, 1955) of eq. (40) in (Fabiano, 2021).
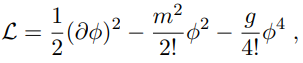
Another example is the scalar field theory with the interaction term gϕ4/4! given by the Langrangian
(7)for which the β function is
(8)The Lagrangian (7) is almost the same of the Higgs field in the Standard Model (Glashow, 1959), (Salam and Ward, 1959), (Weinberg, 1967). The only difference, yet an essential one, is that in the latter case the scalar field is coupled to fermion fields ψ via a term λψϕψ, so called Yukawa coupling (Yukawa, 1935), where λ is another coupling constant different from g.
Using only the first term of eq. (8), we arrive at the expression
(9)which has the same form of eq. (39) in (Fabiano, 2021) as anticipated; it has also a pole for µ = µ0 exp(16π2/(3g0)).
Case (b)
The integral of eq. (5) diverges. It means that the coupling constant g becomes infinite only at an infinite energy scale,
For instance, assume that β(g) = agk, with a > 0 and k < 1 but
, then one obtains for eq. (3) the solution
(10)The growth of g in µ is very slow, but in the very high energy limit the coupling becomes independent from the initial condition g0.
Case (c)
We encounter a fixed point like previously discussed in sec. Fixed points for the ultraviolet fixed point g1, that is β(g1) = 0. The β function stays positive for 0 < g < g1 and turns negative afterwards. Either if the initial condition g0 is such that g0 < g1 or g0 > g1 the coupling constant g will evolve towards the fixed point, g → g1 as µ → +∞.
Assuming that the root of β in g1 is simple, then
(11)with a > 0. The solution to eq. (3) is then
(12)with the assumption that g0 < g, g0 < g1 and g < g1.
It is worth noticing that we have already discussed a case in which, apparently, an ultraviolet fixed point is obtained. The ϕ4 scalar theory presents such a point. From eq. (8) one computes the fixed point g1 as
(13)which, however, has a huge value of g1 80 thus spoiling the perturbation theory as
. As the β functions that have been encountered so far have been computed using only the perturbation theory, it is clear that the result obtained above is invalid. The discussion regarding eq. (8) proves the statement of the section Fixed points , for which a fixed point could be basically only computed by means of nonperturbative techniques.
Case (d)
So far, all β functions discussed were positive at least for small positive g, so the renormalisation group flow drives away g() from the origin g=0.
Now suppose that β(g) < 0 for small positive g, like
(14)where a > 0, n > 1 and an integer. The solution to eq. (3) is then written as
(15)A dramatic difference between this and the previous cases is that, for large energy scales, the coupling constant vanishes, i.e.
(16)This phenomenon is called asymptotic freedom (Gross and Wilczek, 1973), (Politzer, 1973). With growing energy, the theory has a weaker coupling constant, approximating a free theory, i.e. one without interactions. So at larger energy scales, the perturbation theory gives better results. Remember actually that corrections C of any kind (propagator, coupling, etc.) are computed as series of powers of g,
(17)and this formal series is supposed to converge for small g.
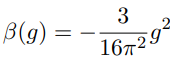
A toy model that exhibits asymptotic freedom could be obtained from the Lagrangian (7) with a negative potential (We neglect the fact that this theory is ill–defined and that the perturbation theory cannot be applied) -gϕ4/4!. Its β function has the form
(18)for which
(19)i.e. . goes to zero at logarithmic speed.
A very important class of theories that have the property of asymptotic freedom is the Yang–Mills theory (Yang & Mills, 1954), with the gauge group SU(N). Of particular relevance is one of them, quantum chromodynamics – QCD – that is the theory of strong interactions embedded in the Standard Model, whose gauge group is SU(3).
The QCD Lagrangian is written as
(20)where ψj(x) is the j–th quark field, indexed by j, k;
are the gluon fields,
a = 1..... 8.
are the usual Dirac matrices, the covariant derivative is given by 
is the gluon field strength tensor, similar to the Fµν electromagnetic tensor, defined by
(21)where fabc are the structure constants of SU (3), [Ta, Tb] = ifabcTc, with Ta being generators of the group.
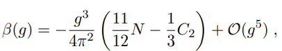
For a generic SU (N ) the Yang–Mills theory coupled to fermions the function at one–loop level is given by
(22)and for the QCD case C2 = nf /2,
(23)where nf is the number of quark flavours with masses much lower than the energy scale considered µ, which can be considered massless.
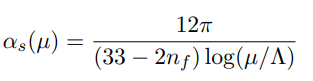
Defining the QCD strong coupling constant αs=g2/4π 2 in an analogous fashion to QED, where α=e2/4π, we obtain from eq. (49) in (Fabiano, 2021)
(24)which exhibits asymptotic freedom as far as the number of quark flavours is nf < 17. Another property due to the presence of (approxi- mately) massless particles is that a dimensionless coupling g0 is exchanged for a dimensionful parameter Λ, which is an integration constant with dimensions of energy. This phenomenon is referred to as dimensional trans- mutation (Coleman and Weinberg, 1973), (Weinberg, 1973). The β function eq. (24) is known today to four–loop order
, with three and four– loop coefficients being renormalisation scheme dependent. The measured value of a strong coupling constant at the Z peak is
(25)while the corresponding value of Λ is about 0.2 GeV.
A few remarks are in order. In the 1950s, Landau argued that in QED the increasing powers of logarithmic terms, that we already encountered at one–loop level in (Fabiano, 2021), of the form log(E/M), would coalesce and give raise to singularities for finite values of the energy E. This is the (a) case, with the Landau poles, also known as the Landau ghosts or the Moscow zero (because e0/e(µ) = 0), discovered by himself (Landau et al, 1954; Landau & Pomeranchuk, 1955). This argument does not rule out the cases (b) or (c), though. This possible inconsistency in the renormalisation procedure has not yet been proved but it is believed to actually exist.
Today, there is a broad agreement on the fact that the interacting field theo ries like QED or scalar ϕ4 we have discussed (which are not asymptotically free) are not mathematically consistent. About QED, there is some evi- dence against the case (c) with a finite fixed point that would be only possible in the presence of yet unknown nonperturbative effects. However, even if (c) is ruled out, there still remains the possibility (b) with a fixed point at infinity.
There is an electromagnetic analogy for different behaviours of QED and QCD couplings. In QED, the charge is stronger at shorter distances, i.e. the vacuum acts like a dielectric medium with a dielectric constant
(26)shielding the charge. Remembering the relation of the relative magnetic permeability µ to the dielectric constant to the speed of light, which in our units is 1,
(27)we have a duality relation. The QED case corresponds to µ < 1, also known as Landau diamagnetism, where charged particles in the medium in response to an external magnetic field generate an opposed magnetic field, a phenomenon seen in superconductors, water, copper, and gold. In QCD, the opposite behaviour is observed: the chromoelectric charge is weaker at shorter distances, so its vacuum is anti screening, with a dielectric constant
(28)The equivalent magnetic permeability is µ > 1, known as Pauli param- agnetism, where the particles tend to align with the external field, as in tungsten, aluminium, or lithium. It has to be stressed that the electromag- netic terminology used for QCD is just an analogy to the QED case: by “the charge” we mean the colour charge, by “the magnetic moment “ the colour magnetic moment.
References
Callan, C.G. 1970. Broken Scale Invariance in Scalar Field Theory. Physical Review D, 2(8), pp.1541-1547. Available at: https://doi.org/10.1103/PhysRevD.2.1541.
Coleman, S. and Weinberg, E. 1973. Radiative Corrections as the Origin of Spontaneous Symmetry Breaking. Physical Review D, 7(6), pp.1888-1910. Available at: https://doi.org/10.1103/PhysRevD.7.1888.
Fabiano, N. 2021. Quantum electrodynamics divergencies. Vojnotehnički glasnik/Military Technical Courier, 69(3), pp.656-675. Available at: https://doi.org/10.5937/vojtehg69-30366.
Glashow, S. 1959. The renormalizability of vector meson interactions. Nuclear Physics, 10(February–May), pp.107-117. Available at: https://doi.org/10.1016/0029-5582(59)90196-8.
Gross, D.J. & Wilczek F. 1973. Asymptotically Free Gauge Theories. I. Physical Review D, 8(10), pp.3633-3652. Available at: https://doi.org/10.1103/PhysRevD.8.3633.
Landau, L.D., Abrikosov, A.A. & Khalatnikov, I.M. 1954. An asymptotic expression for the photon Green function in quantum electrodynamics. Dokl. Akad. Nauk SSSR, 95, 497, 773, 1177 (in Russian).
Landau, L.D. & Pomeranchuk, I.Ya. 1955. On point interactions in quantum electrodynamics. Dokl. Akad. Nauk SSSR, 102, 489 (in Russian).
Politzer, H.D. 1973. Reliable Perturbative Results for Strong Interactions? Physical Review Letters, 30(26) pp.1346-1349. Available at: https://doi.org/10.1103/PhysRevLett.30.1346.
Salam, A. and Ward, J.C. 1959. Weak and electromagnetic interactions. Il Nuovo Cimento, 11(4), pp.568-577. Available at: https://doi.org/10.1007/BF02726525.
Symanzik, K. 1970. Small distance behaviour in field theory and power counting. Communications in Mathematical Physics, 18(3), pp.227-246. Available at: https://doi.org/10.1007/bf01649434.
Symanzik, K. 1971. Small-distance-behaviour analysis and Wilson expansions. Communications in Mathematical Physics, 23(1), pp.49-86. Available at: https://doi.org/10.1007/BF01877596.
Weinberg, S. 1967. A Model of Leptons. Physical Review Letters, 19(21), pp.1264-1266. Available at: https://doi.org/10.1103/PhysRevLett.19.1264.
Weinberg, S. 1973. New Approach to the Renormalization Group. Physical Review D, 8(10), pp.3497-3509. Available at: https://doi.org/10.1103/PhysRevD.8.3497.
Yang, C.N. & Mills, R. 1954. Conservation of Isotopic Spin and Isotopic Gauge Invariance. Physical Review, 96(1), pp.191-195. Available at: https://doi.org/10.1103/PhysRev.96.191.
Yukawa, H. 1935. On the interaction of elementary particles. Proceedings of the Physico-Mathematical Society of Japan. 3rd Series, 17, pp.48-75. Available at: https://doi.org/10.11429/ppmsj1919.17.0_48.
Alternative link
https://scindeks.ceon.rs/article.aspx?artid=0042-84692201157F (html)
https://scindeks-clanci.ceon.rs/data/pdf/0042-8469/2022/0042-84692201157F.pdf (pdf)